Dissolution Testing of Nicotine Release from OTDN Pouches: Product Characterization and Product-to-Product Comparison
Abstract
1. Introduction
2. Materials and Methods
2.1. Test Products
2.2. Dissolution Fractions Collection
2.3. Quantitative Analysis of Nicotine
2.4. Cumulative and Percent of Total Release Profiles
2.5. F1 and F2 Calculations
3. Results and Discussion
3.1. Method Validation
3.2. Nicotine Release from on!® Pouches
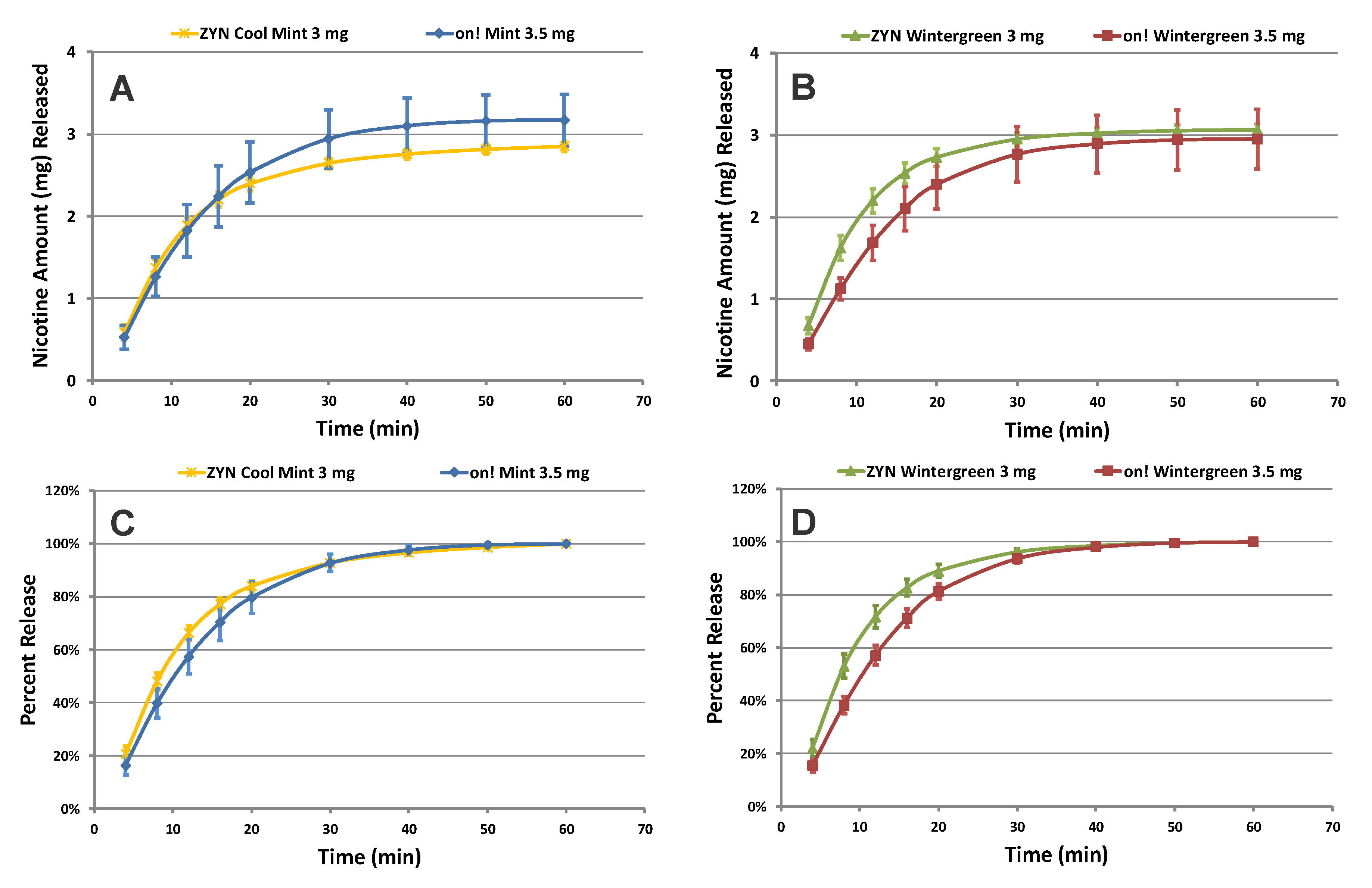
3.3. Comparison with Smokeless Tobacco and Other OTDN Pouch Products
4. Conclusions
Author Contributions
Funding
Informed Consent Statement
Data Availability Statement
Acknowledgments
Conflicts of Interest
References
- Mejia, A.B.; Ling, P.M.; Glantz, S.A. Quantifying the effects of promoting smokeless tobacco as a harm reduction strategy in the USA. Tob. Control 2010, 19, 297–305. [Google Scholar] [CrossRef] [PubMed]
- Rodu, B.; Godshall, W.T. Tobacco harm reduction: An alternative cessation strategy for inveterate smokers. Harm Reduct. J. 2006, 3, 37. [Google Scholar] [CrossRef] [PubMed]
- Hatsukami, D.K.; Lemmonds, C.; Tomar, S.L. Smokeless tobacco use: Harm reduction or induction approach? Prev. Med. 2004, 38, 309–317. [Google Scholar] [CrossRef] [PubMed]
- Hatsukami, D.K.; Carroll, D.M. Tobacco harm reduction: Past history, current controversies and a proposed approach for the future. Prev. Med. 2020, 140, 106099. [Google Scholar] [CrossRef] [PubMed]
- Kozlowski, L.T.; Sweanor, D.T. Young or adult users of multiple tobacco/nicotine products urgently need to be informed of meaningful differences in product risks. Addict. Behav. 2018, 76, 376–381. [Google Scholar] [CrossRef]
- Centers for Disease Control and Preventions (CDC). Smokeless Tobacco: Products and Marketing. Available online: https://www.cdc.gov/tobacco/data_statistics/fact_sheets/smokeless/products_marketing/index.htm#not-burned (accessed on 15 October 2020).
- Robichaud, M.O.; Seidenberg, A.B.; Byron, M.J. Tobacco companies introduce ‘tobacco-free’ nicotine pouches. Tob Control 2019, 29, e145–e146. [Google Scholar] [CrossRef]
- Choi, J.H.; Dresler, C.M.; Norton, M.R.; Strahs, K.R. Pharmacokinetics of a nicotine polacrilex lozenge. Nicotine Tob. Res. 2003, 5, 635–644. [Google Scholar] [CrossRef]
- West, R.; Shiffman, S. Effect of oral nicotine dosing forms on cigarette withdrawal symptoms and craving: A systematic review. Psychopharmacology 2001, 155, 115–122. [Google Scholar] [CrossRef]
- O’Connor, R.J.; Norton, K.J.; Bansal-Travers, M.; Mahoney, M.C.; Cummings, K.M.; Borland, R. US smokers’ reactions to a brief trial of oral nicotine products. Harm Reduct. J. 2011, 8, 1. [Google Scholar] [CrossRef]
- Fisher, M.T.; Tan-Torres, S.M.; Gaworski, C.L.; Black, R.A.; Sarkar, M.A. Smokeless tobacco mortality risks: An analysis of two contemporary nationally representative longitudinal mortality studies. Harm Reduct. J. 2019, 16, 27. [Google Scholar] [CrossRef]
- Gottlieb, S.; Zeller, M. A Nicotine-Focused Framework for Public Health. N. Engl. J. Med. 2017, 377, 1111–1114. [Google Scholar] [CrossRef] [PubMed]
- National Institute for Healthcare and Excellence (NICE). Smoking: Harm Reduction. 2013. Available online: https://www.nice.org.uk/guidance/ph45/resources/smoking-harm-reduction-pdf-1996359619525 (accessed on 15 October 2020).
- Hukkanen, J.; Jacob, P.; Benowitz, N.L. Metabolism and Disposition Kinetics of Nicotine. Pharmacol. Rev. 2005, 57, 79. [Google Scholar] [CrossRef]
- Qureshi, S.A. In vitro-in vivo correlation (ivivc) and determining drug concentrations in blood from dissolution testing–a simple and practical approach. Open Drug Deliv. J. 2010, 4, 38–47. [Google Scholar] [CrossRef]
- Williams, R.L.; Foster, T.S. Dissolution; a continuing perspective. Dissolution Technol. Augysr. 2004, 6, 14. [Google Scholar] [CrossRef]
- Wang, Q.; Fotaki, N.; Mao, Y. Biorelevant dissolution: Methodology and application in drug development. Dissolution Technol. 2009, 16, 6–12. [Google Scholar] [CrossRef]
- USP. 711 Dissolution USP. Available online: https://www.usp.org/sites/default/files/usp/document/harmonization/gen-method/q01_pf_ira_33_4_2007.pdf (accessed on 15 October 2020).
- Zieschang, L.; Klein, M.; Krämer, J.; Windbergs, M. In Vitro Performance Testing of Medicated Chewing Gums. Dissolution Technol. 2018, 25, 64–69. [Google Scholar] [CrossRef]
- Dressman, J.B.; Reppas, C. In vitro–in vivo correlations for lipophilic, poorly water-soluble drugs. Eur. J. Pharm. Sci. 2000, 11, S73–S80. [Google Scholar] [CrossRef]
- Amidon, G.L.; Lennernäs, H.; Shah, V.P.; Crison, J.R. A theoretical basis for a biopharmaceutic drug classification: The correlation of in vitro drug product dissolution and in vivo bioavailability. Pharm. Res. 1995, 12, 413–420. [Google Scholar] [CrossRef]
- Morjaria, Y.; Irwin, W.J.; Barnett, P.X.; Chan, R.S.; Conway, B.R. In Vitro Release of Nicotine From Chewing Gum Formulations. Dissolution Technol. 2004, 11, 12–15. [Google Scholar] [CrossRef]
- Delvadia, P.R.; Barr, W.H.; Karnes, H.T. A biorelevant in vitro release/permeation system for oral transmucosal dosage forms. Int. J. Pharm. 2012, 430, 104–113. [Google Scholar] [CrossRef]
- Nasr, M.M.; Reepmeyer, J.C.; Tang, Y. In vitro study of nicotine release from smokeless tobacco. J. AOAC Int. 1998, 81, 540–543. [Google Scholar] [CrossRef] [PubMed]
- Li, P.; Zhang, J.; Sun, S.-H.; Xie, J.-P.; Zong, Y.-L. A novel model mouth system for evaluation of In Vitro release of nicotine from moist snuff. Chem. Cent. J. 2013, 7, 176. [Google Scholar] [CrossRef] [PubMed]
- Cecil, T.L.; Brewer, T.M.; Holman, M.; Ashley, D.L. Food and Drug Administration. Dissolution as a Critical Comparison of Smokeless Product Performance: SE Requirements and Recommendations for the Review of Dissolution Studies. Memorandum from Cecil. 2016. Available online: https://www.fda.gov/media/124673/download (accessed on 15 October 2020).
- Kvist, C.; Andersson, S.B.; Fors, S.; Wennergren, B.; Berglund, J. Apparatus for studying in vitro drug release from medicated chewing gums. Int. J. Pharm. 1999, 189, 57–65. [Google Scholar] [CrossRef]
- Miller, J.H.; Danielson, T.; Pithawalla, Y.B.; Brown, A.P.; Wilkinson, C.; Wagner, K.; Aldeek, F. Method development and validation of dissolution testing for nicotine release from smokeless tobacco products using flow-through cell apparatus and UPLC-PDA. J. Chromatogr. B Anal. Technol. Biomed. Life Sci. 2020, 1141, 122012. [Google Scholar] [CrossRef]
- Food and Drug Administration. SUPAC-IR: Immediate-Release Solid Oral Dosage Forms: Scale-Up and Post-Approval Changes: Chemistry, Manufacturing and Controls, In Vitro Dissolution Testing, and In Vivo Bioequivalence Documentation. 1995. Available online: https://www.fda.gov/regulatory-information/search-fda-guidance-documents/supac-ir-immediate-release-solid-oral-dosage-forms-scale-and-post-approval-changes-chemistry (accessed on 15 October 2020).
- Food and Drug Administration. Guidance for Industry: Dissolution Testing of Immediate Release Solid Oral Dosage Forms. 1997. Available online: https://www.fda.gov/regulatory-information/search-fda-guidance-documents/dissolution-testing-immediate-release-solid-oral-dosage-forms (accessed on 15 October 2020).
- DIN V Test Method 53160-1. Colorfastness to Saliva; Determination of the Colorfastness of Articles in Common Use Part 1: Resistance to Artificial Saliva. Available online: http://www.manufacturingsolutionscenter.org/colorfastness-to-saliva-testing.html (accessed on 15 October 2020).
- Shah, V.P.; Tsong, Y.; Sathe, P.; Liu, J.-P. In Vitro Dissolution Profile Comparison—Statistics and Analysis of the Similarity Factor, f2. Pharm. Res. 1998, 15, 889–896. [Google Scholar] [CrossRef]
- Chow, S.C.; Ki, F.Y. Statistical comparison between dissolution profiles of drug products. J. Biopharm. Stat. 1997, 7, 241–258. [Google Scholar] [CrossRef] [PubMed]
- Kapoor, D.; Maheshwari, R.; Verma, K.; Sharma, S.; Pethe, A.; Tekade, R.K. Chapter 1—Fundamentals of diffusion and dissolution: Dissolution testing of pharmaceuticals. In Drug Delivery Systems; Tekade, R.K., Ed.; Academic Press: Cambridge, MA, USA, 2020; pp. 1–45. [Google Scholar]
- Long, M.; Chen, Y. Chapter 14—Dissolution Testing of Solid Products. In Developing Solid Oral Dosage Forms; Qiu, Y., Chen, Y., Zhang, G.G.Z., Liu, L., Porter, W.R., Eds.; Academic Press: San Diego, CA, USA, 2009; pp. 319–340. [Google Scholar]




| on!® Mint | |||
|---|---|---|---|
| Compared Products | f1 | f2 | Equivalency |
| 4 mg vs. 1.5 mg | 0.8 | 97.4 | Yes |
| 4 mg vs. 2 mg | 3.9 | 79.0 | Yes |
| 4 mg vs. 3.5 mg | 5.9 | 71.5 | Yes |
| 4 mg vs. 8 mg | 7.4 | 67.1 | Yes |
| on!® Citrus | |||
| Compared Products | f1 | f2 | Equivalency |
| 4 mg vs. 1.5 mg | 6.5 | 72.2 | Yes |
| 4 mg vs. 2 mg | 5.7 | 71.3 | Yes |
| 4 mg vs. 3.5 mg | 6.5 | 73.2 | Yes |
| 4 mg vs. 8 mg | 6.3 | 72.8 | Yes |
| on!® Wintergreen | |||
| Compared Products | f1 | f2 | Equivalency |
| 4 mg vs. 1.5 mg | 1.1 | 94.3 | Yes |
| 4 mg vs. 2 mg | 11.2 | 56.3 | Yes |
| 4 mg vs. 3.5 mg | 4.8 | 72.8 | Yes |
| 4 mg vs. 8 mg | 4.6 | 73.7 | Yes |
| on!® Coffee | |||
| Compared Products | f1 | f2 | Equivalency |
| 4 mg vs. 1.5 mg | 6.6 | 67.2 | Yes |
| 4 mg vs. 2 mg | 4.5 | 74.8 | Yes |
| 4 mg vs. 3.5 mg | 1.7 | 91.1 | Yes |
| 4 mg vs. 8 mg | 2.6 | 86.1 | Yes |
| on!® Berry | |||
| Compared Products | f1 | f2 | Equivalency |
| 4 mg vs. 1.5 mg | 8.6 | 63.0 | Yes |
| 4 mg vs. 2 mg | 4.1 | 76.4 | Yes |
| 4 mg vs. 3.5 mg | 1.5 | 92.3 | Yes |
| 4 mg vs. 8 mg | 6.4 | 67.6 | Yes |
| on!® Cinnamon | |||
| Compared Products | f1 | f2 | Equivalency |
| 4 mg vs. 1.5 mg | 8.1 | 63.8 | Yes |
| 4 mg vs. 2 mg | 2.3 | 87.3 | Yes |
| 4 mg vs. 3.5 mg | 2.3 | 86.9 | Yes |
| 4 mg vs. 8 mg | 4.0 | 79.4 | Yes |
| on!® Original | |||
| Compared Products | f1 | f2 | Equivalency |
| 4 mg vs. 1.5 mg | 8.5 | 62.2 | Yes |
| 4 mg vs. 2 mg | 4.0 | 77.3 | Yes |
| 4 mg vs. 3.5 mg | 8.4 | 62.6 | Yes |
| 4 mg vs. 8 mg | 3.0 | 82.8 | Yes |
| Compared Flavors | f1 | f2 | Equivalency |
|---|---|---|---|
| Mint vs. Berry | 3.0 | 82.3 | Yes |
| Mint vs. Cinnamon | 1.0 | 95.2 | Yes |
| Mint vs. Coffee | 1.9 | 88.9 | Yes |
| Mint vs. Original | 7.1 | 65.2 | Yes |
| Mint vs. Wintergreen | 1.7 | 91.5 | Yes |
| Mint vs. Citrus | 13.8 | 52.8 | Yes |
| Compared Flavors | f1 | f2 | Equivalency |
|---|---|---|---|
| on!® Mint 3.5 mg vs. ZYN® Cool Mint 3 mg | 9.2 | 60.1 | Yes |
| on!® Wintergreen 3.5 mg vs. ZYN® Wintergreen 3 mg | 16.1 | 48.7 | No |
| on!® Coffee 3.5 mg vs. ZYN® Coffee 3 mg | 23.5 | 40.9 | No |
| on!® Mint 8 mg vs. ZYN® Cool Mint 6 mg | 12.6 | 52.8 | Yes |
| on!® Wintergreen 8 mg vs. ZYN® Wintergreen 6 mg | 18.9 | 44.9 | No |
| on!®Coffee 8 mg vs. ZYN® Coffee 6 mg | 9.1 | 61.1 | Yes |
Publisher’s Note: MDPI stays neutral with regard to jurisdictional claims in published maps and institutional affiliations. |
© 2021 by the authors. Licensee MDPI, Basel, Switzerland. This article is an open access article distributed under the terms and conditions of the Creative Commons Attribution (CC BY) license (http://creativecommons.org/licenses/by/4.0/).
Share and Cite
Aldeek, F.; McCutcheon, N.; Smith, C.; Miller, J.H.; Danielson, T.L. Dissolution Testing of Nicotine Release from OTDN Pouches: Product Characterization and Product-to-Product Comparison. Separations 2021, 8, 7. https://doi.org/10.3390/separations8010007
Aldeek F, McCutcheon N, Smith C, Miller JH, Danielson TL. Dissolution Testing of Nicotine Release from OTDN Pouches: Product Characterization and Product-to-Product Comparison. Separations. 2021; 8(1):7. https://doi.org/10.3390/separations8010007
Chicago/Turabian StyleAldeek, Fadi, Nicholas McCutcheon, Cameron Smith, John H. Miller, and Timothy L. Danielson. 2021. "Dissolution Testing of Nicotine Release from OTDN Pouches: Product Characterization and Product-to-Product Comparison" Separations 8, no. 1: 7. https://doi.org/10.3390/separations8010007
APA StyleAldeek, F., McCutcheon, N., Smith, C., Miller, J. H., & Danielson, T. L. (2021). Dissolution Testing of Nicotine Release from OTDN Pouches: Product Characterization and Product-to-Product Comparison. Separations, 8(1), 7. https://doi.org/10.3390/separations8010007
