Next Article in Journal
Heterogeneous Catalytic Ozonation: Solution pH and Initial Concentration of Pollutants as Two Important Factors for the Removal of Micropollutants from Water
Next Article in Special Issue
Galactolipids from Launaea capitata (Spreng.) Dandy with In Vitro Anti-Inflammatory and Neuroprotective Activities
Previous Article in Journal
Apoptotic Cell Death via Activation of DNA Degradation, Caspase-3 Activity, and Suppression of Bcl-2 Activity: An Evidence-Based Citrullus colocynthis Cytotoxicity Mechanism toward MCF-7 and A549 Cancer Cell Lines
 
 
Font Type:
Arial Georgia Verdana
Font Size:
Aa Aa Aa
Line Spacing:
Column Width:
Background:
Article

Bronchodilator Secondary Metabolites from Rhazya stricta Decne Aerial Parts

by
Maged S. Abdel-Kader
1,2,*,
Najeeb U. Rehman
3,
Abdullah F. Aldosari
4,
Fahad S. Almutib
4,
Ali I. Al Muwinea
4 and
Abdulaziz S. Saeedan
3
1
Department of Pharmacognosy, College of Pharmacy, Prince Sattam Bin Abdulaziz University, Al-Kharj 11942, Saudi Arabia
2
Department of Pharmacognosy, College of Pharmacy, Alexandria University, Alexandria 21215, Egypt
3
Department of Pharmacology & Toxicology, College of Pharmacy, Prince Sattam Bin Abdulaziz University, Al-Kharj 11942, Saudi Arabia
4
College of Pharmacy, Prince Sattam Bin Abdulaziz University, Al-Kharj 11942, Saudi Arabia
*
Author to whom correspondence should be addressed.
Separations 2022, 9(12), 412; https://doi.org/10.3390/separations9120412
Submission received: 6 November 2022 / Revised: 29 November 2022 / Accepted: 1 December 2022 / Published: 6 December 2022

Abstract

The plant kingdom comprises medicinally useful plants that have provided many new drugs used to treat various diseases. In our search for bronchodilator secondary metabolites from plants growing in Saudi Arabia, the total extract of Rhazya stricta showed activity against carbamylcholine- (CCh) induced bronchoconstriction in guinea pig tracheal muscles used as an ex vivo model. The fractions obtained from liquid–liquid extraction process were tested for bronchodilator effects. The most active ethyl acetate fraction (RS-E) and aqueous fraction (RS-H) were subjected to biologically guided phytochemical study using different stationary phases and chromatographic techniques to isolate the pure secondary metabolites. Five known compounds were isolated from the active fractions. Three alkaloids namely; (-)-quebrachamine (1), (+)-eburenine (2), (+)-stemmadenine (3) as well as the two iridoid glycosides loganic acid (4) and loganine (5) were identified by various spectroscopic methods. Among the isolated compounds 1 and 5 were the only active as bronchodilators in the plant. It is worth to mention that iridoid glycosides are isolated for the first time from R. stricta.

Graphical Abstract

1. Introduction

Rhazya stricta (R. stricta) is a small shrub commonly grows in the Arabian Peninsula and the Indian subcontinent [1]. R. stricta is known in Arabic as “Harmal”. The plant is popular in the traditional medicine of many Asian and Middle Easter countries [2]. In India the plant is used for the treatment of chronic rheumatism, sore throats, and general debility [3]. while in Oman, the leaves of R. stricta are used as an antipyretic [4]. Different parts of R. stricta are used in Pakistan as a tonic, to cure sore throat, diabetes, constipation, intestinal and skin diseases [5,6]. In Saudi Arabia, the leaves of R. stricta are used as a vermifuge, purgative as well as a treatment for mange [7]. R. stricta is used in the United Arab Emirates traditional medicine as antidiabetic, antihelminthic, antiinflammatory, skin infections and stomach disorders [8,9].
Belonging to the family Apocynaceae, the two members of the genus R. stricta and R. orientalis are rich in indole alkaloids. More than 100 alkaloids were isolated from R. stricta [2]. The indole alkaloids 16-epi-Z-isositsirikine, didemethoxycarbonyl-tetrahydrosecamine, polyneuridine and rhazinilam isolated from R. stricta expressed anticancer activity [10,11,12,13]. Tetrahydrosecamine has antimicrobial and anticancer activities, while stemmadenine expressed only antimicrobial activity. Both alkaloids were isolated from R. stricta [14,15]. The total extract of R. stricta showed relaxant effect on the intestinal muscles of rats [16].
Medicinal plants represent important and unique sources of new drugs and are used to treat various diseases [17,18]. Current drugs used as bronchodilator are mostly of natural origin and mainly belong to three categories: anticholinergic agents such as tropane alkaloids and their semisynthetic analogues [19,20]; β2 adrenergic receptors agonists [21]; and the xanthine derivatives mainly theophylline [22,23]. In our search for bronchodilator secondary metabolites from plants growing in Saudi Arabia the total extract of Rhazya stricta showed promising bronchodilator effect against carbamylcholine- (CCh) induced bronchoconstriction. The current work describes the biologically guided phytochemical study conducted to separate and identify the active secondary metabolites from the plant, R. stricta.

2. Materials and Methods

2.1. General

Melting points for compounds 1–5 were determined using open capillary tubes Thermosystem FP800 Mettler FP80 central processor instrument (Mettler-Toledo, Columbus, OH, USA) fitted with FP81 MBC cell apparatus and were uncorrected. Ultraviolet absorptions spectra were measured on a Unicum Heyios a UV–Visible spectrophotometer (AQ8100APAC, Thermo Fisher Scientific, Waltham, MA, USA). 1H-, 13C-NMR as well as 2D-NMR experiments were accumulated using Bruker UltraShield Plus 500 MHz spectrometer (Bruker, Fällanden, Switzerland) located at the NMR Unite, College of Pharmacy, Prince Sattam Bin Abdulaziz. The instrument operated at 500 MHz for 1H and 125 MHz for 13C, respectively. Chemical shifts were presented in δ (ppm) based on the residual solvents’ peaks. Coupling constants (J) were reported in Hertz (Hz). 2D-NMR experiments (COSY, HSQC, H2BC and HMBC) were operated with standard Bruker program. HRESIMS were measured using Thermo Scientific UPLC RS Ultimate 3000-Q Exactive hybrid quadrupole-Orbitrap mass spectrometer (Thermo Fisher Scientific, Waltham, MA, USA) connected with high performance quadrupole precursor selection with high resolution, accurate-mass (HR/AM) Orbitrap™ (Thermo Fisher Scientific, Waltham, MA, USA) detection. The samples were measured by direct injection. Infusion of isocratic elution mixture composed of Acetonitrile/Methanol (70:30) with 0.1% formic acid was used for samples flushing. The runtime was set to 1 min using nitrogen as auxiliary gas adjusted to flow rate of 5 μL/min. Scan rang was set between 160–1500 m/z. Resolution Power of 70,000 @ m/z 200 was used. Positive and negative modes were separately used for detection. Calibration was achieved by Thermo Scientific (Thermo Fisher Scientific, Waltham, MA, USA) Pierce™ LTQ Velos ESI Positive Ion Calibration Solution of Met-Arg-Phe-Ala (MRFA), Caffeine, Ultramark 1621, n-Butyl-amine while Pierce™ LTQ Velos ESI Negative Ion Calibration Solution of sodium taurocholate, Ultramark 1621, sodium dodecyl sulphate (SDS). Capillary temperature set at 320 °C while capillary voltage at 4.2 Kv. Freeze drying was done using Millroch freeze drier model LD85 (Millroch, Kingston, NY, USA). Medium pressure liquid chromatography (MPLC) separation was performed on Buchi medium pressure system comprises Buchi pump module C-605 controlled by Buchi control unit C-620 equipped with Buchi fraction collector C-660. Column eluates were detected using Buchi UV photometer C-640. The used column was 15/460-044032 and the system was controlled by Sepacore control chromatography software (C-620, Buchi, Flawil, Switzerland). Silica gel 60/230–400 mesh (Merck, Kenilworth, NJ, USA), sephadex LH-20 (Amersham Biosciences, Uppsala, Sweden), RP C-18 silica gel 40–63/230–400 mesh (Fluka, Buchi, Switzerland) were used for column chromatography. Kiesel gel 60 F254 and RP-18 F254 (Merck, Kenilworth, NJ, USA) plates were used for thin layer chromatographic analysis and spots were detected using UV lamp (CN-15-MC, Vilber Lourmat, Cedex, France) operated at 254 nm.

2.2. Plant Materials

The plants of Rhazya stricta Decne were collected in January 2019 from Al-Kharj region South of Riyadh, 24.20450° N, 47.23455° E, Saudi Arabia. The authentication of the plant material was done by the taxonomist Dr. Mohammad Atiqur Rahman, MAP-PRC, College of Pharmacy, King Saud University, Riyadh, Saudi Arabia. The plant voucher specimen (#16723) was kept at the herbarium of this center.

2.3. Extraction and Isolation

Air-dried powdered aerial parts (1180 g) were extracted by percolation at room temperature with 95% ethanol till exhaustion. The ethanol was evaporated under reduced pressure using rotary vacuum evaporator at 42 °C to yield 147.92 g residue R. stricta total (RS-Total). Part of RS-Total was reconstituted in 800 mL of 40% aqueous ethanol and fractionated using light petroleum (500 mL × 3) to yield 22.1 g light petroleum soluble fraction, R. stricta petroleum (RS-P), chloroform (500 mL × 4) to yield 46.6 g of chloroform soluble fraction, R. stricta chloroform (RS-C) and ethyl acetate (400 mL × 3) to yield 17.11 g of ethyl acetate, R. stricta ethyl acetate (RS-E). The aqueous layer was freeze dried to produce 62.11 g of aqueous fraction, R. stricta aqueous (RS-H).
Part of RS-E (7 g) was fractionated on a Sephadex LH20 column (150 × 7 cm i.d., 200 g) eluting with 5% methanol in ethyl acetate followed by ethyl acetate/methanol mixtures with gradual increase in methanol contents. Fractions 20 mL each were collected, screened by TLC and similar fractions were pooled to yield 5 major fractions (RS-E-A to RS-E-E). Fraction RS-E-A (720 mg) eluted with 5–10% methanol in chloroform was further purified on MPLC silica gel column eluted with ethyl acetate followed by ethyl acetae/methanol mixtures in a gradient system of elution. Fractions eluted with 5% methanol afford 17 mg of 1 and 38 mg of 2 after crystallization from methanol. Fractions eluted with 10% methanol afforded 59 mg of 3 after crystallization from methanol. Fraction RS-E-D (1.9 g) was further purified over RP18 using VLC eluted with water followed by water/methanol mixtures with gradual increase of 5% methanol each 100 mL. Fractions eluted with 45–50% methanol afforded 54 mg of 4 and fractions 65–75% methanol afforded 61 mg of 5.
Similar purification of the water fraction over RP18 using VLC afforded 187 mg of 4 and 64 mg of 5.

2.4. Bronchodilator Effect

2.4.1. Chemicals

Carbachol was purchased from Merck (Rahway, NJ, USA) previously, Sigma-Aldric. All other chemicals and solvents were of analytical grade.

2.4.2. Animals

Guinea pigs (500–550 g) of either sex were obtained from King Saud University and kept at the Animal Care Unit, College of Pharmacy, Prince Sattam Bin Abdulaziz University, Saudi Arabia and maintained at 23–25 °C. Animals were supplied with tap water ad libitum and commercial standard diet. Experimental procedures followed the rulings of the Institute of Laboratory Animal Resources, Commission on Life Sciences, National Research Council (NRC, 1996). The current study get approval from the Bio-Ethical Research Committee (BERC) at Prince Sattam Bin Abdulaziz University, reference number BERC-001-12-19.

2.4.3. Guinea-Pig Trachea

Guinea pigs were sacrificed by cervical dislocation and the tracheas were dissected out and immediately kept in Kreb’s solution. The tracheal tubes were cut into small rings of 2–3 mm wide, each ring was opened by a longitudinal cut on the ventral side opposite to the smooth muscle layer to form tracheal strip with a central part of smooth muscle in between the cartilaginous portions on the edges. These tissues were mounted in 20 mL tissue bath containing Kreb’s solution, maintained at 37 °C and aerated with a mixture of 95% O2 and 5% CO2 (carbogen) prior to the experiments. A constant tension of 1 g was applied to each of the tracheal strips throughout the experiment. Equilibration time of 1 hr was elapsed before the addition of the used drugs. Carbachol (CCh, 1 µM) was used to stabilize the preparations until constant responses of each agonist were achieved. Then, CCh sustained contractions were obtained and the relaxant effect of the test material was assessed by cumulative addition to obtain concentration-dependent inhibitory responses. Isometric responses were recorded on an isolated organ bath (EmKa Bath, France) with iox software (2.10.8.6) installed.

3. Results

3.1. Identification of the Isolated Compounds 1–5

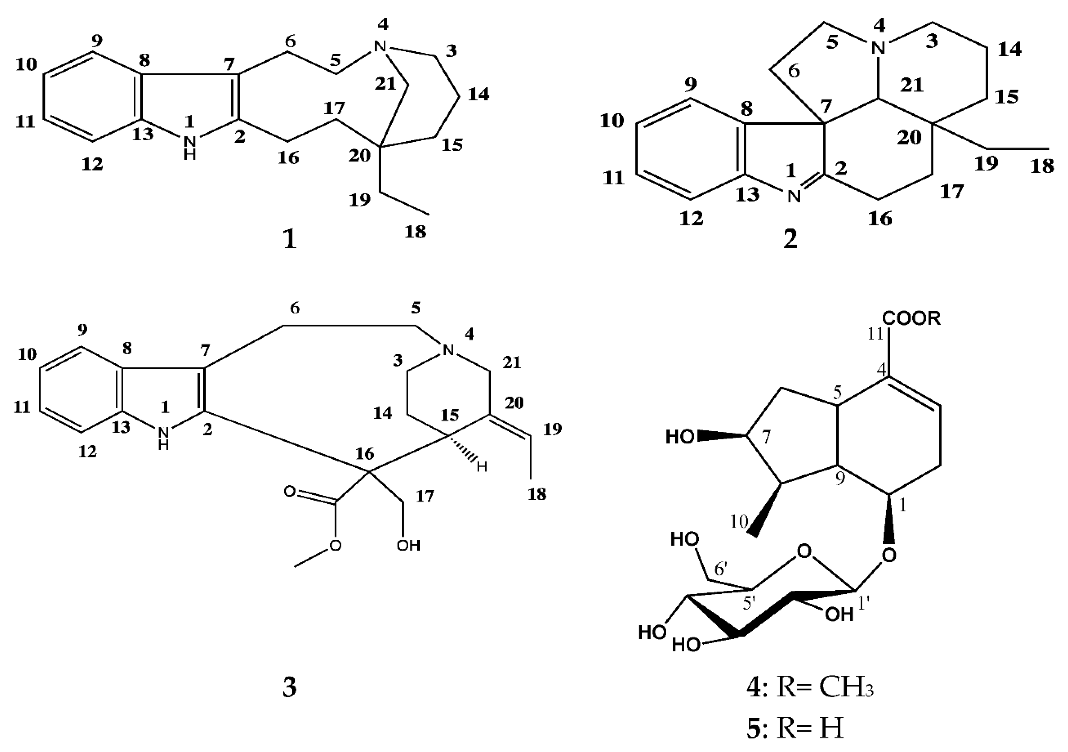
3.1.1. (−)-Quebrachamine (1)

C19H26N2; White powder; [α]25D -143; UV λmax MeOH: 218, 279; 1H and 13C NMR see Table 1, Figures S1–S5; HRESIMS [M + H] + m/z 283.2159 (calcd for C19H26N2 + H, 283.2174) (Figure S13).

3.1.2. (+)-Eburenine (2)

C19H24N2; White powder; [α]25D +199; UV λmax MeOH: 218, 263; 1H and 13C NMR see Table 1, Figures S14–S20; HRESIMS [M + H] + m/z 281.2010 (calcd for C19H24N2 + H, 281.2018) (Figure S28).

3.1.3. (+)-Stemmadenine (3)

C21H26N2O3; White crystals; [α]25D +132; UV λmax MeOH: 221, 280; 1H and 13C NMR see Table 1, Figures S29–S33; HRESIMS [M + H] + m/z 355.2022 (calcd for C21H26N2O3 + H, 355.2010) (Figure S44).

3.1.4. Loganic Acid (4)

C16H24O10; White powder; [α]25D -43; 1H and 13C NMR see Table 2, Figures S45–S47; HRESIMS [M + Na] + m/z 399.1258 (calcd for C16H24O10 + Na, 399.1267), [M-H]-m/z 375.1293 (calcd for C16H24O10-H, 375.1291) (Figures S53–S54).

3.1.5. Loganine (5)

C17H26O10; White powder; [α]25D -56; 1H and 13C NMR see Table 2, Figures S55–S59; HRESIMS [M + Na] + m/z 413.1410 (calcd for C17H26O10 + Na, 413.1424) (Figure S64).

3.2. Bronchodilator Effect

The total extract and all fractions obtained by liquid–liquid fractionation were tested for their possible relaxant effects against contractions provoked by carbachol (CCh, 1 µM) in isolated tracheal preparations. The activity was traced to the two polar fractions RS-E and RS-H (Figure 1).
The fractions obtained from the ethyl acetate Sephadex LH20 column (RS-E-A to RS-E-E) were again tested for their bronchodilator effect against CCh-induced constriction (Figure 2). Compounds 1–5 isolated from the active Sephadex LH20 column fractions RS-E-A and RS-E-D were subjected to the same procedures to explore their bronchodilator potential (Figure 2).

4. Discussion

In our search for bronchodilator natural compounds, the total extract of R. stricta (RS-Total) showed marked activity in our screen system using guinea pig tracheal muscles as an ex vivo model. The RS-Total was fractionated in regular fashion using liquid–liquid fractionation to yield a petroleum ether soluble fraction (RS-P), chloroform soluble fraction (RS-C), ethyl acetate soluble fraction (RS-E) and aqueous fraction (RS-H). All fractions were tested for their possible relaxant effects against contractions provoked by carbachol (CCh, 1 µM) in isolated tracheal preparations. The activity was traced to the two polar fractions RS-E and RS-H (Figure 2). The addition of RS-Total and its fractions (0.01–5 mg/mL) to the guinea pig isolated trachea caused a concentration-dependent relaxation in preparations pre-contracted with carbachol (CCh, 1 µM). The mean EC50 induced by RS-Total was 3.42 mg/mL (3.17–3.82, 95% CI, n = 4) with complete relaxation at 5 mg/mL, as shown in Figure 1. RS-P and RS-C were completely inactive. However, RS-E showed significantly (p ˂ 0.05) higher potency [0.28 mg/mL (0.22–0.34, 95% CI, n = 4)] compared to RS-H where the observed EC50 was recorded as 2.82 mg/mL (2.06–3.12, 95% CI, n = 4)] (Figure 1).
The RS-E soluble fraction was fractionated on a Sephadex LH20 column to yield five fractions (RS-E-A to RS-E-E). The five fractions were tested against contractions produced by carbachol (CCh, 1 µM) in isolated tracheal preparations. The activity was trapped to fractions RS-E-A and RS-E-D. Fraction RS-E-A expressed bronchodilator effect at concentration range of 0.003 to 0.1 mg/mL with EC50 value of 0.07 mg/mL (0.06–0.09, 95% CI, n = 4), while fraction RS-E-D was found to be less potent [0.24 mg/mL (0.21–0.26, 95% CI, n = 4)] (Figure 2). Chromatographic purification of RS-E-A on MPLC using silica gel resulted in the isolation of compounds 1–3, while RS-E-D provided 4 and 5 after purification on RP18, applying the VLC technique. Additional amounts of 4 and 5 were obtained from RS-H.
HRESIMS of 1 (Figure S13) showed quasi-molecular ion at m/z 283.2159 for the molecular formula C19H26N2. The 19 carbon atoms were clear in 13CNMR (Table 1, Figure S4) and sorted by the DEPT135 experiment (Figure S5) into 1XCH3, 9XCH2, 4XCH and 5 quaternary carbons. All four methins were in the aromatic region. In the 1HNMR (Table 1, Figures S1–S3) the four methin protons at δH 7.34 (d, J = 7.6 Hz), 6.87 (t, J = 7.6 Hz), 6.92 (t, J = 7 Hz) and 7.20 (d, J = 8 Hz) were assigned for positions 9–12 in the aromatic ring of the indole nucleus [24]. 1HNMR also showed a proton singlet at δH 10.64 assigned for the NH of the indole nucleus. UV absorption bands at 218, 279 nm were consistent with the presence of the indole nucleus. COSY (Figures S6 and S7) and HSQC experiments (Figures S8–S10) indicated the presence of two CH2-CH2 spine systems including one N-CH2 at δC 53.69, CH2-CH3 and N-CH2-CH2-CH2 spine systems. Another N-CH2 at δH 1.41, 2.32 each doublet with J = 12 Hz, δC 56.72 was assigned to position 2 (Table 1). Connectivity obtained from H2BC (Figure S11) and HMBC (Figure S12) fully supported the structure of 1 as (-)-quebrachamine (Figure 3) [25,26,27].
HRESIMS (Figure S4) of 2 showed a quasi-molecular ion at m/z 281.2010 for the molecular formula C19H24N2.The UV absorption maxima (MeOH) at 218 and 263 nm were diagnostic for the presence of indolenine moiety [11]. The 13CNMR (Table 1, Figures S17–S19) of 2 supported the indolenine moiety compared with the indole moiety in 1. The most dramatic changes were observed in the chemical shifts C-2, 7, 8, 13 at δC 191.72, 61.23, 147.63 and 154.85 respectively [28]. The indolenine protons appeared as δH 7.48 (t, J = 7.4 Hz, 2H, H-9 and 12), 7.33 (t, J = 7.6 Hz, H-10) and 7.22 (t, J = 7.3 Hz, H-11) (Figures S14–S16). The 1HNMR (Table 1) and HSQC (Figures S24–S26) indicated the presence of two methylene carbons attached to Nitrogen atom at δH 2.17, 3.19; δC 51.69 (C-3) as part of N-CH2-CH2-CH2 spine systems and 2.65, 3.19; δC 54.26 (C-5) as part of N-CH2-CH2 spine systems. The third methylene attached to nitrogen in 1 was replaced by N-CH appeared as singlet at δH 2.43 and δC 78.29 in 2. COSY (Figures S21–S23) and HSQC (Figures S24–S26) experiments showed another CH2-CH2 and CH2-CH3 spine systems. The data of 2 enabled the identification of the compound as eburenine (Figure 3) [28].
The HRESIMS of 3 (Figure S44) showed a quasi-molecular ion at m/z 355.2022 for the molecular formula C21H26N2O3. UV bands at 221, 280 nm as well as 1H and 13C NMR (Table 1, Figure S32) indicated the presence of indole moiety as in 1. The proton singlet at δH 10.53 was assigned to the NH of the indole nucleus (Figures S29–S31). 1H and 13C NMR (Table 1) showed a methyl ester signals at δH 3.71 (s); δC 52.74, 172.62, hydroxylated methylene at δH 4.14, 4.24 each doublet of doublet J = 4.5, 10.4 Hz, δC 67.57, = CH-CH3 at 5.53 (d, J = 6 Hz); δC 129.48 and 1.69 (d, J = 6 Hz); δC 14.38, respectively. COSY (Figures S34–S36) and HSQC (Figure S37) experiments showed one N-CH2-CH2 spine systems, one N-CH2-CH2-CH and one N-CH2 at δH 2.46 (d, J = 14.4 Hz), 3.36 (overlapped signal); δC 53.04. The data of 3 were identical with reported data for (+)-stemmadenine (Figure 3) [29,30,31]. Compounds 1–3 were previously reported from the same plant [32,33].
The molecular formula C16H24O10 was deduced to 4 based on the HRESIMS data. [M + Na]+ at m/z 399.1258 and [M − H] at m/z 375.1293 were observed in positive and negative modes (Figures S53–S54). Out of the 16 observed carbon resonances in the 13C NMR (Table 2, Figures S46 and S47) four oxygenated methin, one deoxygenated methin, and oxygenated methylene were assigned to β-glucopyranoside moiety [34]. The remaining signals sorted by the DEPT135 experiment into six X CH included one vinyl CH at δH 7.38 (s); δC 151.37, one oxygenated CH at δH 4.07 (s); δC 75.08, and one deoxygenated CH at δH 5.26 (d, J = 4 Hz); δC 97.53. Only one methylene carbon was observed, as well as two quaternary carbons one vinylic at δC 114.98 and one carboxylic carbonyl at δC 172.10. COSY (Figure S48), HSQC (Figure S49) H2BC (Figures S50–S51) and HMBC (Figure S52) experiments proved that 4 is the iridoid glycoside loganic acid (Figure 3) [35,36].
The 1H and 13C NMR (Table 2, (Figures S55–S59)) of 5 were quite similar to those of 4. However, 5 showed additional methoxyl at δH 3.71 (s); δC 50.49. The upfield shift of the carbonyl carbon to δC 168.31 indicated that 5 is the methyl ester of 4. The HRESIMS fully support the structure as it showed [M + Na]+ at m/z 413.1410 for the molecular formula C17H26O10 (Figure S64). Consequently, 5 was identified as loganin (Figure 3) [37,38]. This is the first report for the isolation of iridoids from Rhazya species.
Compounds 1–5 were challenged against carbachol (CCh, 1 µM) induced bronchoconstriction in isolated tracheal preparations. Compounds 2–4 showed no effect at the used concentrations. Compound 1 was the most active where it expressed relaxant effect with EC50 value of 0.04 mg/mL (0.03–0.25, 95% CI, n = 4) (Figure 2). The iridoid glycoside 5 showed relaxant effect at 0.24 mg/mL (0.21–0.27, 95% CI, n = 4) (Figure 2). Although the three isolated alkaloids belong to the same chemical class of the indole group, however, R. stricta alkaloids showed great diversity in ring fusion. Compound 1 skeleton is clearly different from those of 2 and 3. Compounds 4 and 5 share the same skeleton the former (4) contains free carboxylic group at C-11 while the later (5) is the methyl ester of 4. Esterification of the carboxylic group seems to be essential for the activity.
One of the limitations of the current bronchodilatory findings is the preliminary screening of the tested compounds against carbachol-mediated tracheal constriction without exploring the detailed pharmacodynamics involved in the observed tracheal smooth muscle relaxation. Multiple mechanistic pathways have been reported in the earlier studies conducted on natural products using guinea-pig trachea such as anticholinergic [39], phosphodiesterase inhibition [40], potassium channel activation [41], Ca++ channel inhibition [42] and/or leukotriene receptor blockade [43]. In our future studies, after getting a sufficient amount of the active compounds, we are planning to study the detailed pharmacodynamics with synergistic and/or side effect neutralizing components and draw more meaningful conclusions [44].

5. Conclusions

R. stricta is very rich in its alkaloidal contents. The current biologically guided chromatographic study enabled the identification of the main bronchodilator components from the ethyl acetate fraction of the plant. Purification steps utilized different techniques and mobile phases to separate pure compounds from very complex fractions. Biological activity was very critical in tracking the active fractions. Among the tens of alkaloids present in the plant (-)-quebrachamine (1) was identified as the main bronchodilator alkaloids. Two iridoid glycosides were identified for the first time from the genus Rhazya. One of the isolated iridoids loganin (5) was active while loganic acid (4) was inactive. The bronchodilator effect of the two compounds is reported here for the first time.

Supplementary Materials

The following supporting information can be downloaded at: https://www.mdpi.com/article/10.3390/separations9120412/s1, Figures S1–S64 Spectral data of compounds 1–5.

Author Contributions

Conceptualization, M.S.A.-K., N.U.R. and A.S.S.; methodology, M.S.A.-K., N.U.R. and A.S.S.; software, A.F.A., F.S.A., A.I.A.M. and N.U.R.; validation, M.S.A.-K., N.U.R. and A.S.S.; formal analysis, A.F.A., F.S.A., A.I.A.M. and N.U.R.; investigation, A.F.A., F.S.A., A.I.A.M. and N.U.R.; resources, F.S.A.; data curation, A.F.A., F.S.A., A.I.A.M. and N.U.R.; writing—original draft preparation, A.F.A., F.S.A. and A.I.A.M.; writing—review and editing, M.S.A.-K., N.U.R. and A.S.S.; visualization, A.F.A., F.S.A. and A.I.A.M.; supervision, M.S.A.-K., N.U.R. and A.S.S.; project administration, M.S.A.-K. All authors have read and agreed to the published version of the manuscript.

Funding

This research received no external funding.

Institutional Review Board Statement

The study was approved by the Bio-Ethical Research Committee (BERC) at Prince Sattam Bin Abdulaziz University, (BERC-001-12-19 on 1 December 2019).

Informed Consent Statement

Not applicable.

Data Availability Statement

Not applicable.

Acknowledgments

The Authors would like to thank the Deanship of Scientific Research, Prince Sattam Bin Abdulaziz University, Al-Kharj, Saudi Arabia for supporting the current research.

Conflicts of Interest

The authors declare no conflict of interest.

References

  1. Bukhari, N.A.; Al-Otaibi, R.A.; Ibhrahim, M.M. Phytochemical and taxonomic evaluation of Rhazya stricta in Saudi Arabia. Saudi J. Biol. Sci. 2017, 24, 1513–1521. [Google Scholar] [CrossRef] [PubMed]
  2. Gilani, S.A.; Kikuchi, A.; Shinwari, Z.K.; Khattak, Z.I.; Watanabe, K.N. Phytochemical, pharmacological and ethnobotanical studies of Rhazya stricta Decne. Phytother. Res. 2007, 21, 301–307. [Google Scholar] [CrossRef] [PubMed]
  3. Dymock, W.; Warden, C.J.H.; Hooper, D. Pharmacographia Indica; Kegan Paul, Trench, Trubner & Co.: London, UK, 1890. [Google Scholar]
  4. Read, M. Plants of Dhofar (The Southern Region of Oman, Traditional Economic and Medicinal Uses) Anthony G. Miller and Miranda Morris The Office of the Adviser for Conservation of the Environment, Diwan of Royal Court, Sultanate of Oman. 1988, 361pp., HB. In UK, available from Holmes McDougall Ltd., Allander House, 137–141 Leith Walk, Edinburgh EH6 8NS. £37.50 inc postage. Oryx 2009, 24, 232. [Google Scholar]
  5. Ahmad, H.; Bhatti, G.R.; Latif, A. Medicinal flora of the thar desert: An overview of problems and their feasible solutions. Zonas Áridas 2006, 8, 73–84. [Google Scholar]
  6. Ahmed, M. Checklist of Medicinal Flora of Tehsil Isakhel, District Mianwali-Pakistan. Ethnobot. Leafl. 2006, 2006, 10. [Google Scholar]
  7. Yahya, M.A. Saudi Plants: A Phytochemical and Biological Approach; King Abdulaziz City for Science and Technology: Riyadh, Saudi Arabia, 1990. [Google Scholar]
  8. Bashir, A.K.; Abdalla, A.A.; Hassan, E.S.; Wasfi, I.A.; Amiri, M.A.; Crabb, T.A. Alkaloids with antimicrobial activity from the root of Rhazya stricta Decn. growing in United Arab Emirates. Arab. Gulf J. Sci. Res. 1994, 12, 119–131. [Google Scholar]
  9. Tanira, M.; Ali, B.; Bashir, A.; Chandranath, I. Some pharmacologic and toxicologic studies on rhazya stricta decne in rats, mice and rabbits. Gen. Pharmacol. Vasc. Syst. 1996, 27, 1261–1267. [Google Scholar] [CrossRef]
  10. Mukhopadhyay, S.; El-Sayed, A.; Handy, G.A.; Cordell, G.A. Catharanthus Alkaloids XXXVII. 16-Epi-Z-Isositsirikine, a Monomeric Indole Alkaloid with Antineoplastic Activity from Catharanthus roseus and Rhazya stricta. J. Nat. Prod. 1983, 46, 409–413. [Google Scholar] [CrossRef]
  11. Atta ur, R.; Zaman, K. 1,2-dehydroaspidospermidine-N-oxide, an alkaloid from Rhazya stricta. Phytochemistry 1986, 25, 1779–1780. [Google Scholar] [CrossRef]
  12. Mukhopadhyay, S.; Handy, G.A.; Funayama, S.; Cordell, G.A. Anticancer Indole Alkaloids of Rhazya stricta. J. Nat. Prod. 1981, 44, 696–700. [Google Scholar] [CrossRef]
  13. Banerji, A.; Majumder, P.; Chatterjee, A. Occurrence of geissoschizine and other minor biogenetically related alkaloids in Rhazya stricta. Phytochemistry 1970, 9, 1491–1493. [Google Scholar] [CrossRef]
  14. Walls, F.; Collera, O.; Sandoval, A.L. Alkaloids from stemmadenia species-I: The alkaloids of S. Donnell-Smithii and S. Galeottiana. Tetrahedron 1958, 2, 173–182. [Google Scholar] [CrossRef]
  15. Mariee, N.K.; Khalil, A.A.; Nasser, A.A.; Al-Hiti, M.M.; Ali, W.M. Isolation of the Antimicrobial Alkaloid Stemmadenine from Iraqi Rhazya stricta. J. Nat. Prod. 1988, 51, 186–187. [Google Scholar] [CrossRef] [PubMed]
  16. Tanira, M.O.M.; Ali, B.H.; Bashir, A.K.; Wasfi, I.A.; Chandranath, I. Evaluation of the Relaxant Activity of some United Arab Emirates Plants on Intestinal Smooth Muscle. J. Pharm. Pharmacol. 1996, 48, 545–550. [Google Scholar] [CrossRef] [PubMed]
  17. Benchikha, N.; Chelalba, I.; Debbeche, H.; Messaoudi, M.; Begaa, S.; Larkem, I.; Amara, D.G.; Rebiai, A.; Simal-Gandara, J.; Sawicka, B.; et al. Lobularia libyca: Phytochemical Profiling, Antioxidant and Antimicrobial Activity Using In Vitro and In Silico Studies. Molecules 2022, 27, 3744. [Google Scholar] [CrossRef] [PubMed]
  18. Benchikha, N.; Messaoudi, M.; Larkem, I.; Ouakouak, H.; Rebiai, A.; Boubekeur, S.; Ferhat, M.A.; Benarfa, A.; Begaa, S.; Benmohamed, M.; et al. Evaluation of Possible Antioxidant, Anti-Hyperglycaemic, Anti-Alzheimer and Anti-Inflammatory Effects of Teucrium polium Aerial Parts (Lamiaceae). Life 2022, 12, 1579. [Google Scholar] [CrossRef]
  19. Rodrigo, G.J.; Rodrigo, C. The role of anticholinergics in acute asthma treatment: An evidence-based evaluation. Chest 2002, 121, 1977–1987. [Google Scholar] [CrossRef]
  20. Gross, N.J.; Skorodin, M.S. Anticholinergic, Antimuscarinic Bronchodilators. Am. Rev. Respir. Dis. 1984, 129, 856–870. [Google Scholar] [CrossRef]
  21. Hansel, T.T.; Barnes, P.J. An Atlas of Chronic Obstructive Pulmonary Disease, 1st ed.; The Parthenon Publishing Group Inc.: New York, NY, USA, 2004. [Google Scholar]
  22. Ward, A.J.; Mckenniff, M.; Evans, J.M.; Page, C.P.; Costello, J.F. Theophylline-an immunomodulatory role in asthma? Am. Rev. Respir. Dis. 1993, 147, 518–523. [Google Scholar] [CrossRef]
  23. Page, C.; Cotter, T.; Kilfeather, S.; Sullivan, P.; Spina, D.; Costello, J. Effect of chronic theophylline treatment on the methacholine dose-response curve in allergic asthmatic subjects. Eur. Respir. J. 1998, 12, 24–29. [Google Scholar] [CrossRef]
  24. Atta ur, R.; Zaman, K.; Perveen, S.; Muzaffar, A.; Choudhary, M.I.; Pervin, A. Alkaloids from Rhazya stricta. Phytochemistry 1991, 30, 1285–1293. [Google Scholar] [CrossRef]
  25. Deutsch, H.F.; Evenson, M.A.; Drescher, P.; Sparwasser, C.; Madsen, P.O. Isolation and biological activity of aspidospermine and quebrachamine from an Aspidosperma tree source. J. Pharm. Biomed. Anal. 1994, 12, 1283–1287. [Google Scholar] [CrossRef] [PubMed]
  26. Santos, T.A.D.; Ferreira, D.T.; Pinto, J.P.; Faccione, M.; Braz-Filho, R. New Alkaloid from Aspidosperma Polyneuron Roots. Nat. Prod. Commun. 2008, 3, 1934578X0800300212. [Google Scholar] [CrossRef]
  27. Wenkert, E.; Hagaman, E.W.; Kunesch, N.; Wang, N.Y.; Zsadon, B. 13C-NMR. Spectroscopy of Naturally Occuring Substances. XLII. Conformational analysis of quebra-chamine-like indole alkaloids and related substances. Helv. Chim. Acta 1976, 59, 2711–2723. [Google Scholar] [CrossRef]
  28. Abdul-Hameed, Z.H.; Alarif, W.M.; Sobhi, T.R.; Abdel-Lateff, A.; Ayyad, S.-E.N.; Badria, F.A.; Saber, J. New cytotoxic indole-type alkaloids obtained from Rhazya stricta leaves. S. Afr. J. Bot. 2021, 137, 298–302. [Google Scholar] [CrossRef]
  29. Sandoval, A.; Walls, F.; Shoolery, J.; Wilson, J.; Budzikiewicz, H.; Djerassi, C. Alkaloid studies.: The structures of stemmadenine and condylocarpine. Tetrahedron Lett. 1962, 3, 409–414. [Google Scholar] [CrossRef]
  30. Achenbach, H.; Benirschke, M.; Torrenegra, R. Alkaloids and other compounds from seeds of Tabernaemontana cymosa. Phytochemistry 1997, 45, 325–335. [Google Scholar] [CrossRef]
  31. Perera, P.; Sandberg, F.; van Beek, T.A.; Verpoorte, R. Tertiary Indole Alkaloids of Tabernaemontana dichotoma Seeds. Planta Medica 1983, 49, 28–31. [Google Scholar] [CrossRef]
  32. Obaid, A.Y.; Voleti, S.; Bora, R.S.; Hajrah, N.H.; Omer, A.M.S.; Sabir, J.S.M.; Saini, K.S. Cheminformatics studies to analyze the therapeutic potential of phytochemicals from Rhazya stricta. Chem. Central J. 2017, 11, 11. [Google Scholar] [CrossRef]
  33. Ali, B.H.; Al-Qarawi, A.A.; Bashir, A.K.; Tanira, M.O. Phytochemistry, pharmacology and toxicity of Rhazya stricta Decne: A review. Phytother. Res. 2000, 14, 229–234. [Google Scholar] [CrossRef]
  34. Abdel-Kader, M.S.; Stermitz, F.R. Iridoid and other glycosides from Penstemon species. Phytochemistry 1993, 34, 1367–1371. [Google Scholar] [CrossRef]
  35. Wu, M.; Wu, P.; Liu, M.; Xie, H.; Jiang, Y.; Wei, X. Iridoids from Gentiana loureirii. Phytochemistry 2009, 70, 746–750. [Google Scholar] [CrossRef] [PubMed]
  36. Çelebi, B.; Recep, T.A.Ş.; Akşit, H.; Celebioglu, H.U. Effects of Loganic Acid isolated from Vinca sonerii on Surface Hydrophobicity and Auto-Aggregation of Probiotic Bacteria, Lactobacillus acidophilus and Lactobacillus rhamnosus. Erzincan Univ. J. Sci. Technol. 2020, 13, 115–122. [Google Scholar]
  37. Alqasoumi, S.I.; Al-Rehaily, A.J.; Abdel-Kader, M.S. Constituents of the aerial parts of Lonicera etrusca growing in Saudi Ara-bia. Nat. Prod. Sci. 2009, 15, 121–124. [Google Scholar]
  38. Mitsunaga, K.; Koike, K.; Fukuda, H.; Ishii, K.; Ohmoto, T. Ligustrinoside, a New Bisiridoid Glucoside from Strychnos ligustrina. Chem. Pharm. Bull. 1991, 39, 2737–2738. [Google Scholar] [CrossRef]
  39. Rehman, N.U.; Ansari, M.N.; Haile, T.; Karim, A.; Abujheisha, K.Y.; Ahamad, S.R.; Imam, F. Possible Tracheal Relaxant and Antimicrobial Effects of the Essential Oil of Ethiopian Thyme Species (Thymus serrulatus Hochst. ex Benth.): A Multiple Mechanistic Approach. Front. Pharmacol. 2021, 12, 615228. [Google Scholar] [CrossRef]
  40. Imam, F.; Rehman, N.U.; Ansari, M.N.; Qamar, W.; Afzal, M.; Al-Harbi, K.S. Effect of Roflumilast in airways disorders via dual inhibition of phosphodiesterase and Ca2+-channel. Saudi Pharm. J. 2020, 28, 698–702. [Google Scholar] [CrossRef]
  41. Khan, M.; Rehman, N.-U.; Khan, A.-U.; Gilani, A.H. Pharmacological basis for the medicinal use of Morus alba in gut and airways disorders. Bangladesh J. Pharmacol. 2012, 7, 289–298. [Google Scholar] [CrossRef]
  42. Rehman, N.U.; Ansari, M.N.; Samad, A.; Ahmad, W. In Silico and Ex Vivo Studies on the Spasmolytic Activities of Fenchone Using Isolated Guinea Pig Trachea. Molecules 2022, 27, 1360. [Google Scholar] [CrossRef]
  43. McCaig, D.J.; Rodger, I.W. Effects of leukotriene D4 on the mechanical and electrical properties of guinea-pig isolated trachealis. Br. J. Pharmacol. 1988, 94, 729–736. [Google Scholar] [CrossRef]
  44. Gilani, A.; Rehman, N.; Mehmood, M.H.; Alkharfy, K.M. Species Differences in the Antidiarrheal and Antispasmodic Activities of Lepidium sativum and Insight into Underlying Mechanisms. Phytother. Res. 2013, 27, 1086–1094. [Google Scholar] [CrossRef]
Figure 1. Concentration-dependent inhibitory (bronchodilatory) effects of (A) R. stricta toal extract (RS-Total), (B) Factions namely; R. stricta ethyl acetate (RS-E), R. stricta petroleum (RS-P), R. stricta chloroform (RS-C) and R. stricta aqueous (RS-H) against carbachol (CCh; 1 μM) induced contraction in isolated guinea pig tracheal preparations. Symbols represent mean ± SEM; n = 4.
Figure 1. Concentration-dependent inhibitory (bronchodilatory) effects of (A) R. stricta toal extract (RS-Total), (B) Factions namely; R. stricta ethyl acetate (RS-E), R. stricta petroleum (RS-P), R. stricta chloroform (RS-C) and R. stricta aqueous (RS-H) against carbachol (CCh; 1 μM) induced contraction in isolated guinea pig tracheal preparations. Symbols represent mean ± SEM; n = 4.
Separations 09 00412 g001
Figure 2. Concentration-dependent inhibitory (bronchodilatory) effects of (A) R. stricta ethyl acetate (RS-E) Sephadex LH20 column fractions, (B) Compounds 1–5 against carbachol (CCh; 1 μM) induced contraction in isolated guinea pig tracheal preparations. Symbols represent mean ± SEM; n = 4.
Figure 2. Concentration-dependent inhibitory (bronchodilatory) effects of (A) R. stricta ethyl acetate (RS-E) Sephadex LH20 column fractions, (B) Compounds 1–5 against carbachol (CCh; 1 μM) induced contraction in isolated guinea pig tracheal preparations. Symbols represent mean ± SEM; n = 4.
Separations 09 00412 g002
Figure 3. Structures of the isolated compounds 1–5.
Figure 3. Structures of the isolated compounds 1–5.
Separations 09 00412 g003
Table 1. 1H and 13C-NMR data of compounds 1, 2 and 3 in CD3OD *.
Table 1. 1H and 13C-NMR data of compounds 1, 2 and 3 in CD3OD *.
Pos123
1H **13C1H **13C1H **13C
2-140.82-191.72-135.54
32.22 (Overl)
2.36 (m)
55.222.17 (Overl, m)
3.19 (t, 8, 2H)
51.692.84 (h, 6.7)
3.25 (dd, 7.7, 13.4)
45.80
52.22 (Overl)
2.42 (m)
53.692.65 (Overl, m)
3.19 (t, 8, 2H)
54.263.11 (m)
3.36 (Overl)
55.35
62.59 (dd, 7.8, 14.8)
2.73 (Overl)
21.361.54 (Overl, m)
2.17 (Overl, m)
35.043.36 (Overl)23.15
7-107.30-61.23-109.67
8-128.91-147.63-126.97
97.34 (d, 7.6)117.207.48 (t, 7.4, 2H)121.657.59 (d, 7.9)118.30
106.87 (t, 7.6)118.147.33 (t, 7.6)125.457.02 (t, 7.5)119.32
116.92 (t, 7)119.637.22 (t, 7.3)127.767.10 (t, 7.2)121.80
127.20 (d, 8)110.687.48 (t, 7.4, 2H)120.047.45 (d, 8)112.21
13-135.10-154.85-134.32
141.23 (Overl)
1.51 (m)
22.771.54 (Overl, m)
1.85 (m)
21.992.30 (m)
2.46 (m)
24.85
151.57 (m)
1.80 (dd, 13.8,7)
33.741.02 (dt, 5, 13.5)
1.42 (Overl)
33.223.67 (Overl)35.13
162.73 (Overl)
2.92 (m)
22.272.65 (Overl, m)
3.11 (dt, 5, 9)
23.48-60.55
171.10 (Overl, m)
1.23 (Overl)
34.781.54 (Overl, m)
2.47 (dt, 3.3, 12.6)
27.214.14 (dd, 4.5, 10.4)
4.24 (dd, 4.5, 10.4)
67.57
180.84 (t, 4.45)8.150.50 (t, 7)7.611.69 (d, 6)14.38
191.10 (Overl, m)
1.23 (Overl)
31.830.61 (m)
1.42 (Overl)
29.685.53 (d, 6)129.48
20 -36.51-127.59
21 2.43 (s)78.292.46 (d, 14.4), 3.36 (Overl)53.04
COOCH3----3.71 (s)52.74, 172.65
NH10.64 (s)---10.53 (s)
OH 5.82 (bs)
* Assignments based on COSY, HSQC, HMBC, H2BC and comparison with literature data for known compounds. ** δ ppm, J in parentheses in Hz.
Table 2. 1H and 13C-NMR data of compounds 1 and 2 in CD3OD *.
Table 2. 1H and 13C-NMR data of compounds 1 and 2 in CD3OD *.
Pos45
1H **13C1H **13C
15.26 (d, 4)97.535.28 (d, 4.4)96.37
37.38 (s)151.377.41 (s)150.85
4-114.98-112.62
53.11 (q, 8)32.113.12 (q, 8)30.73
61.67 (p, 7)
2.25 (dd, 7.7, 13.3)
42.491.63 (m)
2.24 (dd, 8)
41.28
74.07 (bs)75.084.06 (bs)73.70
81.87 (m)41.961.88 (m)40.70
92.04 (m)46.422.04 (h, 4.3)45.07
101.10 (d, 6.7)13.541.11 (d, 7)12.15
11-172.10-168.31
1′4.70 (d, 7.8)99.854.68 (d, 8)98.64
2′3.26 (t, 8.5)74.553.23 (t, 8.5)73.30
3′3.46 (m)77.713.41 (t, 8.7)76.55
4′3.34 (m)71.383.33 (m)70.15
5′3.34 (m)78.003.33 (m)76.87
6′3.72 (bd, 9)
3.92 (d, 11.6)
62.573.68 (Overl)
3.91 (d, 11.4)
61.35
-OCH3--3.71 (s)50.49
* Assignments based on COSY, HSQC, HMBC, H2BC and comparison with literature data for known compounds. ** δ ppm, J in parentheses in Hz.
Publisher’s Note: MDPI stays neutral with regard to jurisdictional claims in published maps and institutional affiliations.

Share and Cite

MDPI and ACS Style

Abdel-Kader, M.S.; Rehman, N.U.; Aldosari, A.F.; Almutib, F.S.; Al Muwinea, A.I.; Saeedan, A.S. Bronchodilator Secondary Metabolites from Rhazya stricta Decne Aerial Parts. Separations 2022, 9, 412. https://doi.org/10.3390/separations9120412

AMA Style

Abdel-Kader MS, Rehman NU, Aldosari AF, Almutib FS, Al Muwinea AI, Saeedan AS. Bronchodilator Secondary Metabolites from Rhazya stricta Decne Aerial Parts. Separations. 2022; 9(12):412. https://doi.org/10.3390/separations9120412

Chicago/Turabian Style

Abdel-Kader, Maged S., Najeeb U. Rehman, Abdullah F. Aldosari, Fahad S. Almutib, Ali I. Al Muwinea, and Abdulaziz S. Saeedan. 2022. "Bronchodilator Secondary Metabolites from Rhazya stricta Decne Aerial Parts" Separations 9, no. 12: 412. https://doi.org/10.3390/separations9120412

APA Style

Abdel-Kader, M. S., Rehman, N. U., Aldosari, A. F., Almutib, F. S., Al Muwinea, A. I., & Saeedan, A. S. (2022). Bronchodilator Secondary Metabolites from Rhazya stricta Decne Aerial Parts. Separations, 9(12), 412. https://doi.org/10.3390/separations9120412

Note that from the first issue of 2016, this journal uses article numbers instead of page numbers. See further details here.

Article Metrics

Back to TopTop