Chiral Pesticides with Asymmetric Sulfur: Extraction, Separation, and Determination in Different Environmental Matrices
Abstract
:1. Introduction
2. Extraction and Clean-Up Methods Used in the Determination of Chiral Pesticides
3. Analytical Techniques for Determination of Chiral Pesticides in Environmental Samples
3.1. Gas Chromatography (GC)
3.2. Liquid Chromatography (LC)
3.3. Supercritical Fluid Chromatography (SFC)
3.4. Capillary Electrophoresis (CE)
4. Extraction and Chiral Determination of Pesticides Containing Asymmetric Sulfur
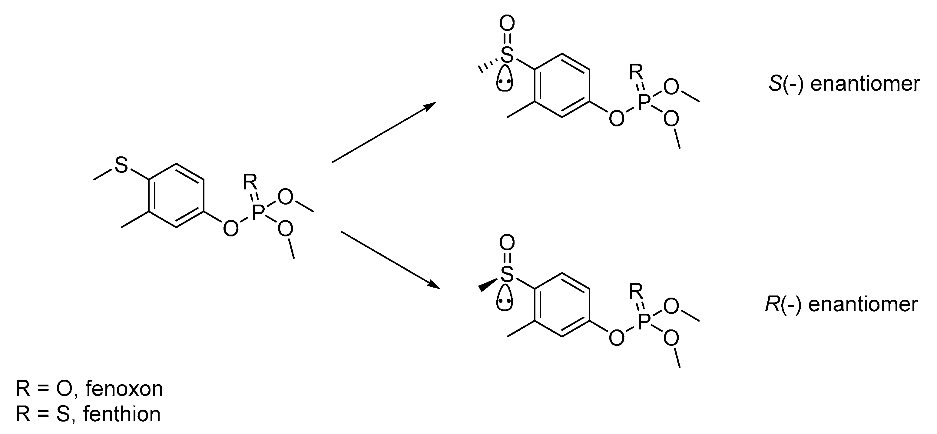
4.1. Organophosphorus
4.2. Phenylpyrazoles
4.3. Sulfoximines
5. Conclusions and Future Perspective
- -
- Carry out the environmental risks assessment of the stereoisomers separately due to the possible enantioselectivity of its bioactivity against target pest and its toxicity against non-target organisms.
- -
- Take into account the possible stereoselective behavior of pesticide metabolites that have chiral sulfur in their structure.
- -
- Develop new CS and CSP to improve the resolution of chiral pesticides with asymmetric S atoms.
- -
- Optimize the instrumentation of promising techniques such as SFC or CE techniques for inclusion in the routine analysis of these pesticides.
Author Contributions
Funding
Acknowledgments
Conflicts of Interest
References
- Ulrich, E.M.; Morrison, C.N.; Goldsmith, M.R.; Foreman, W.T. Chiral Pesticides: Identification, Description, and Environmental Implications. In Reviews of Environmental Contamination and Toxicology; Whitacre, D.M., Ed.; Springer: New York, NY, USA, 2012; pp. 1–74. ISBN 9781461423287. [Google Scholar]
- Jeschke, P. Current status of chirality in agrochemicals. Pest Manag. Sci. 2018, 74, 2389–2404. [Google Scholar] [CrossRef]
- Musarurwa, H.; Tavengwa, N.T. Green aspects during synthesis, application and chromatographic analysis of chiral pesticides. Trends Environ. Anal. Chem. 2020, 27, e00093. [Google Scholar] [CrossRef]
- Drăghici, C.; Chirila, E.; Sica, M. Enantioselectivity of Chiral Pesticides in the Environment. In Environmental Security Assessment and Management of Obsolete Pesticides in Southeast Europe; Simeonov, L.I., Macaev, F.Z., Simeonova, B.G., Eds.; Springer: Dordrecht, The Netherlands, 2013; pp. 91–102. ISBN 9789400764606. [Google Scholar]
- Hegeman, W.J.M.; Laane, R.W. Enantiomeric enrichment of chiral pesticides in the environment. Rev. Environ. Contam. Toxicol. 2002, 173, 85–116. [Google Scholar]
- Sparks, T.C.; Watson, G.B.; Loso, M.R.; Geng, C.; Babcock, J.M.; Thomas, J.D. Sulfoxaflor and the sulfoximine insecticides: Chemistry, mode of action and basis for efficacy on resistant insects. Pestic. Biochem. Physiol. 2013, 107, 1–7. [Google Scholar] [CrossRef] [Green Version]
- Zhou, S.; Jia, Z.; Xiong, L.; Yan, T.; Yang, N.; Wu, G.; Song, H.; Li, Z. Chiral dicarboxamide scaffolds containing a sulfiliminyl moiety as potential ryanodine receptor activators. J. Agric. Food Chem. 2014, 62, 6269–6277. [Google Scholar] [CrossRef] [PubMed]
- Petrie, B.; Camacho Muñoz, M.D.; Martín, J. Stereoselective LC–MS/MS methodologies for environmental analysis of chiral pesticides. TrAC-Trends Anal. Chem. 2019, 110, 249–258. [Google Scholar] [CrossRef]
- Anastassiades, M.; Lehotay, S.J.; Stajnbaher, D.; Schenck, F.J. Fast and Easy Multiresidue Method Employing Acetonitrile Extraction/Partitioning and “Dispersive Solid-Phase Extraction” for the Determination of Pesticide Residues in Produce. J. AOAC Int. 2003, 86, 413–431. [Google Scholar] [CrossRef] [Green Version]
- Lesueur, C.; Gartner, M.; Mentler, A.; Fuerhacker, M. Comparison of four extraction methods for the analysis of 24 pesticides in soil samples with gas chromatography-mass spectrometry and liquid chromatography-ion trap-mass spectrometry. Talanta 2008, 75, 284–293. [Google Scholar] [CrossRef] [PubMed]
- Bruzzoniti, M.C.; Checchini, L.; De Carlo, R.M.; Orlandini, S.; Rivoira, L.; Del Bubba, M. QuEChERS sample preparation for the determination of pesticides and other organic residues in environmental matrices: A critical review. Anal. Bioanal. Chem. 2014, 406, 4089–4116. [Google Scholar] [CrossRef] [PubMed]
- Liu, H.; Lin, T.; Li, Q. A magnetic multi-walled carbon nanotube preparative method for analyzing asymmetric carbon, phosphorus and sulfur atoms of chiral pesticide residues in Chinese herbals by chiral liquid chromatography-quadrupole/linear ion trap mass spectrometry determination. J. Chromatogr. B Anal. Technol. Biomed. Life Sci. 2020, 1148, 122152. [Google Scholar]
- Zhao, P.; Wang, Z.; Li, K.; Guo, X.; Zhao, L. Multi-residue enantiomeric analysis of 18 chiral pesticides in water, soil and river sediment using magnetic solid-phase extraction based on amino modified multiwalled carbon nanotubes and chiral liquid chromatography coupled with tandem mass spectrometry. J. Chromatogr. A 2018, 1568, 8–21. [Google Scholar] [CrossRef] [PubMed]
- Jackson Ellington, J.; Evans, J.J.; Prickett, K.B.; Champion, W.L. High-performance liquid chromatographic separation of the enantiomers of organophosphorus pesticides on polysaccharide chiral stationary phases. J. Chromatogr. A 2001, 928, 145–154. [Google Scholar] [CrossRef]
- Anigbogu, V.C.; Woldeab, H.; Garrison, A.W.; Avants, J.K. Enantioseparation of malathion, cruformate, and fensulfothion organophosphorus pesticides by mixed-mode electrokinetic capillary chromatography. Int. J. Environ. Anal. Chem. 2003, 83, 89–100. [Google Scholar] [CrossRef]
- Cai, X.; Xiong, W.; Xia, T.; Chen, J. Probing the stereochemistry of successive sulfoxidation of the insecticide fenamiphos in soils. Environ. Sci. Technol. 2014, 48, 11277–11285. [Google Scholar] [CrossRef]
- Lecoeur-Lorin, M.; Delépée, R.; Morin, P. Simultaneous enantioselective determination of fenamiphos and its two metabolites in soil sample by CE. Electrophoresis 2009, 30, 2931–2939. [Google Scholar] [CrossRef]
- Gao, J.; Qu, H.; Zhang, C.; Li, W.; Wang, P.; Zhou, Z. Direct chiral separations of the enantiomers of phenylpyrazole pesticides and the metabolites by HPLC. Chirality 2017, 29, 19–25. [Google Scholar] [CrossRef] [Green Version]
- Zhang, L.; Miao, Y.; Lin, C. Enantiomeric separation of six chiral pesticides that contain chiral sulfur/phosphorus atoms by supercritical fluid chromatography. J. Sep. Sci. 2018, 41, 1460–1470. [Google Scholar] [CrossRef]
- Nillos, M.G.; Lin, K.; Gan, J.; Bondarenko, S.; Schlenk, D. Enantioselectivity in fipronil aquatic toxicity and degradation. Environ. Toxicol. Chem. 2009, 28, 1825–1833. [Google Scholar] [CrossRef]
- Ulrich, E.M.; TenBrook, P.L.; McMillan, L.M.; Wang, Q.; Lao, W. Enantiomer-specific measurements of current-use pesticides in aquatic systems. Environ. Toxicol. Chem. 2018, 37, 99–106. [Google Scholar] [CrossRef]
- Qu, H.; Ma, R.; Liu, D.; Gao, J.; Wang, F.; Zhou, Z.; Wang, P. Environmental behavior of the chiral insecticide fipronil: Enantioselective toxicity, distribution and transformation in aquatic ecosystem. Water Res. 2016, 105, 138–146. [Google Scholar] [CrossRef]
- Tan, H.; Cao, Y.; Tang, T.; Qian, K.; Chen, W.L.; Li, J. Biodegradation and chiral stability of fipronil in aerobic and flooded paddy soils. Sci. Total Environ. 2008, 407, 428–437. [Google Scholar] [CrossRef] [PubMed]
- Liu, D.; Wang, P.; Zhu, W.; Gu, X.; Zhou, W.; Zhou, Z. Enantioselective degradation of fipronil in Chinese cabbage (Brassica pekinensis). Food Chem. 2008, 110, 399–405. [Google Scholar] [CrossRef] [PubMed]
- Chen, H.; Gao, G.; Yin, P.; Dai, J.; Chai, Y.; Liu, X.; Lu, C. Enantioselectivity and residue analysis of fipronil in tea (Camellia sinensis) by ultra-performance liquid chromatography Orbitrap mass spectrometry. Food Addit. Contam. Part A 2018, 35, 2000–2010. [Google Scholar] [CrossRef]
- Tian, M.; Zhang, Q.; Shi, H.; Gao, B.; Hua, X.; Wang, M. Simultaneous determination of chiral pesticide flufiprole enantiomers in vegetables, fruits, and soil by high-performance liquid chromatography. Anal. Bioanal. Chem. 2015, 407, 3499–3507. [Google Scholar] [CrossRef] [PubMed]
- Li, J.; Zhang, Y.; Cheng, Y.; Yuan, S.; Liu, L.; Shao, H.; Li, H.; Li, N.; Zhao, P.; Guo, Y. Simultaneous enantioselective determination of phenylpyrazole insecticide flufiprole and its chiral metabolite in paddy field ecosystem by ultra-high performance liquid chromatography/tandem mass spectrometry. J. Pharm. Biomed. Anal. 2016, 121, 261–270. [Google Scholar] [CrossRef] [PubMed]
- Zhang, Q.; Shi, H.; Gao, B.; Tian, M.; Hua, X.; Wang, M. Enantioseparation and determination of the chiral phenylpyrazole insecticide ethiprole in agricultural and environmental samples and its enantioselective degradation in soil. Sci. Total Environ. 2016, 542, 845–853. [Google Scholar] [CrossRef] [PubMed]
- Zhang, Q.; Xiong, W.; Gao, B.; Cryder, Z.; Zhang, Z.; Tian, M.; Sanganyado, E.; Shi, H.; Wang, M. Enantioselectivity in degradation and ecological risk of the chiral pesticide ethiprole. Land Degrad. Dev. 2018, 29, 4242–4251. [Google Scholar] [CrossRef] [Green Version]
- Chen, Z.; Dong, F.; Xu, J.; Liu, X.; Cheng, Y.; Liu, N.; Tao, Y.; Zheng, Y. Stereoselective Determination of a Novel Chiral Insecticide, Sulfoxaflor, in Brown Rice, Cucumber and Apple by Normal-Phase High-Performance Liquid Chromatography. Chirality 2014, 26, 114–120. [Google Scholar] [CrossRef]
- Liu, H.; Jiang, M.M.; Li, Q. Determination of neonicotinoid sulfoxaflor residues and stereoselective degradation in Pu-erh tea and Black tea by liquid chromatography–high-resolution mass spectrometry. J. Food Process. Preserv. 2020, 44, e14589. [Google Scholar] [CrossRef]
- Liu, H.; Jiang, M.M.; Li, Q. Nonstereoselective dissipation of sulfoxaflor in different Puer tea processing. Food Sci. Nutr. 2020, 8, 4929–4935. [Google Scholar] [CrossRef]
- Chen, Z.; Dong, F.; Xu, J.; Liu, X.; Cheng, Y.; Liu, N.; Tao, Y.; Pan, X.; Zheng, Y. Stereoselective separation and pharmacokinetic dissipation of the chiral neonicotinoid sulfoxaflor in soil by ultraperformance convergence chromatography/tandem mass spectrometry. Anal. Bioanal. Chem. 2014, 406, 6677–6690. [Google Scholar] [CrossRef] [PubMed]
- Chen, Z.; Dong, F.; Pan, X.; Xu, J.; Liu, X.; Wu, X.; Zheng, Y. Influence of Uptake Pathways on the Stereoselective Dissipation of Chiral Neonicotinoid Sulfoxaflor in Greenhouse Vegetables. J. Agric. Food Chem. 2016, 64, 2655–2660. [Google Scholar] [CrossRef] [PubMed]
- Jiménez-Jiménez, S.; Amariei, G.; Boltes, K.; García, M.Á.; Marina, M.L. Stereoselective separation of sulfoxaflor by electrokinetic chromatography and applications to stability and ecotoxicological studies. J. Chromatogr. A 2021, 1654, 462450. [Google Scholar] [CrossRef] [PubMed]
- Arenas, M.; Martín, J.; Santos, J.L.; Aparicio, I.; Alonso, E. An overview of analytical methods for enantiomeric determination of chiral pollutants in environmental samples and biota. TrAC Trends Anal. Chem. 2021, 143, 116370. [Google Scholar] [CrossRef]
- Carrão, D.B.; Perovani, I.S.; de Albuquerque, N.C.P.; de Oliveira, A.R.M. Enantioseparation of pesticides: A critical review. TrAC Trends Anal. Chem. 2020, 122, 115719. [Google Scholar] [CrossRef]
- Molaabasi, F.; Talebpour, Z. Enantiomeric discrimination and quantification of the chiral organophosphorus pesticide fenamiphos in aqueous samples by a novel and selective 31P nuclear magnetic resonance spectroscopic method using cyclodextrins as chiral selector. J. Agric. Food Chem. 2011, 59, 803–808. [Google Scholar] [CrossRef]
- Iarocz, L.E.B.; Silva, M.S. Nuclear magnetic resonance chiral discrimination of fipronil and malathion agrochemicals: A case study. Chirality 2021, 33, 528–534. [Google Scholar] [CrossRef]
- Pérez-Fernández, V.; García, M.Á.; Marina, M.L. Chiral separation of agricultural fungicides. J. Chromatogr. A 2011, 1218, 6561–6582. [Google Scholar] [CrossRef]
- Schurig, V. Separation of enantiomers by gas chromatography. J. Chromatogr. A 2001, 906, 275–299. [Google Scholar] [CrossRef]
- Xie, S.M.; Chen, X.X.; Zhang, J.H.; Yuan, L.M. Gas chromatographic separation of enantiomers on novel chiral stationary phases. TrAC Trends Anal. Chem. 2020, 124, 115808. [Google Scholar] [CrossRef]
- Nillos, M.G.; Gan, J.; Schlenk, D. Chirality of organophosphorus pesticides: Analysis and toxicity. J. Chromatogr. B Anal. Technol. Biomed. Life Sci. 2010, 878, 1277–1284. [Google Scholar] [CrossRef] [PubMed]
- Hellinghausen, G.; Armstrong, D.W. Cyclofructans as Chiral Selectors: An Overview. Methods Mol. Biol. (Clifton, N.J.) 2019, 1985, 183–200. [Google Scholar] [CrossRef]
- Altomare, C.; Carotti, A.; Cellamare, S.; Fanelli, F.; Gasparrini, F.; Villani, C.; Carrupt, P.-A.; Testa, B. Enantiomeric resolution of sulfoxides on a DACH-DNB chiral stationary phase: A quantitative structure–enantioselective retention relationship (QSERR) study. Chirality 1993, 5, 527–537. [Google Scholar] [CrossRef]
- Gegenava, M.; Chankvetadze, L.; Farkas, T.; Chankvetadze, B. Enantioseparation of selected chiral sulfoxides in high-performance liquid chromatography with polysaccharide-based chiral selectors in polar organic mobile phases with emphasis on enantiomer elution order. J. Sep. Sci. 2014, 37, 1083–1088. [Google Scholar] [CrossRef]
- Deng, H.; Ji, Y.; Tang, S.; Yang, F.; Tang, G.; Shi, H.; Lee, H.K. Application of Chiral and Achiral Supercritical Fluid Chromatography in Pesticide Analysis: A Review. J. Chromatogr. A 2020, 1634, 461684. [Google Scholar] [CrossRef]
- Lemasson, E.; Bertin, S.; West, C. Use and practice of achiral and chiral supercritical fluid chromatography in pharmaceutical analysis and purification. J. Sep. Sci. 2016, 39, 212–233. [Google Scholar] [CrossRef]
- Harps, L.C.; Joseph, J.F.; Parr, M.K. SFC for chiral separations in bioanalysis. J. Pharm. Biomed. Anal. 2019, 162, 47–59. [Google Scholar] [CrossRef]
- Bernardo-Bermejo, S.; Sánchez-López, E.; Castro-Puyana, M.; Marina, M.L. Chiral capillary electrophoresis. TrAC Trends Anal. Chem. 2020, 124, 115807. [Google Scholar] [CrossRef]
- Ali, I.; Gupta, V.K.; Aboul-Enein, H.Y. Chiral resolution of racemic environmental pollutants by capillary electrophoresis. Crit. Rev. Anal. Chem. 2008, 38, 132–146. [Google Scholar] [CrossRef]
- Jiang, C.; Tong, M.Y.; Breitbach, Z.S.; Armstrong, D.W. Synthesis and examination of sulfated cyclofructans as a novel class of chiral selectors for CE. Electrophoresis 2009, 30, 3897–3909. [Google Scholar] [CrossRef]
- Declerck, S.; Vander Heyden, Y.; Mangelings, D. Enantioseparations of pharmaceuticals with capillary electrochromatography: A review. J. Pharm. Biomed. Anal. 2016, 130, 81–99. [Google Scholar] [CrossRef] [PubMed]
- Simó, C.; García-Cañas, V.; Cifuentes, A. Chiral CE-MS. Electrophoresis 2010, 31, 1442–1456. [Google Scholar] [CrossRef] [PubMed] [Green Version]
- Li, L.; Zhou, S.; Jin, L.; Zhang, C.; Liu, W. Enantiomeric separation of organophosphorus pesticides by high-performance liquid chromatography, gas chromatography and capillary electrophoresis and their applications to environmental fate and toxicity assays. J. Chromatogr. B Anal. Technol. Biomed. Life Sci. 2010, 878, 1264–1276. [Google Scholar] [CrossRef] [PubMed]
- Jiménez-Jiménez, S.; Casado, N.; García, M.Á.; Marina, M.L. Enantiomeric analysis of pyrethroids and organophosphorus insecticides. J. Chromatogr. A 2019, 1605, 360345. [Google Scholar] [CrossRef] [PubMed]
- Gadepalli, R.S.V.S.; Rimoldi, J.M.; Fronczek, F.R.; Nillos, M.; Gan, J.; Deng, X.; Rodriguez-Fuentes, G.; Schlenk, D. Synthesis of fenthion sulfoxide and fenoxon sulfoxide enantiomers: Effect of sulfur chirality on acetylcholinesterase activity. Chem. Res. Toxicol. 2007, 20, 257–262. [Google Scholar] [CrossRef] [PubMed]






| Group | Pesticide | Matrix | Extraction and Clean-Up | Analytical Determination | Chiral Stationary Phase (Chiral Column) or Chiral Selector | Analysis Conditions | Ref. |
|---|---|---|---|---|---|---|---|
| Organophosphorus compounds | Fensulfothion | Standard solutions | HPLC-UV | Amylose tris(3,5-dimethylphenylcarbamate) (Chiralpak® AD column, Daicel Corporation, Tokyo, Japan), 250 mm × 4.6 i.d. and 10 μm particle size | Heptane:ethanol (90:10) at a flow rate of 1 mL/min and Tcolumn: 25 °C | [14] | |
| MEKC-ABS (detection at 200 nm) | Sodium dodecylsulfate/carboxymethyl-β-CD/hydroxypropyl-β-CD | BGE: sodium borate buffer (pH 8.7), T: 25 °C and voltage of 10–30 kV | [15] | ||||
| Fenamiphos sulfoxide | Soils | QuEChERS and clean-up by DSPE using MgSO4 and PSA as sorbents | HPLC-DAD (detection at 225 nm) | Amylose tris(3,5-dimethylphenylcarbamate) (Chiralpak® AD-H column, Daicel Corporation, Tokyo, Japan), 250 mm × 4.6 i.d. and 5 μm particle size | N-hexane:2-propanol (87:13) at a flow rate of 0.8 mL/min, Vinjection: 20 μL and Tcolumn: 20 °C | [16] | |
| - Accelerated solvent extraction - Solid–liquid extraction with organic solvents | CE-UV (detection at 214 nm) | Carboxymethyl-β-CD/hydroxypropyl-β-CD | BGE: acetic acid/ammonia buffer (pH 5), T: 25 °C and voltage of 25 kV | [17] | |||
| Phenylpyrazoles | Fipronil | Standard solutions | HPLC-DAD (detection at 230 nm) | Cellulose tris(3,5 dimethylphenylcarbamate) (Chiralpak® IB column, Daicel Corporation, Tokyo, Japan), 250 mm × 4.6 mm i.d. and 5 μm particle size | N-hexane:2-propanol (95:5) at a flow rate of 1 mL/min, Vinjection: 20 μL, and Tcolumn: 30 °C | [18] | |
| SFC-UV/Vis (detection at 230 nm) | Cellulose tris(3,5-dimethylphenylcarbamate) (Lux 3μ Cellulose-1 column), 250 mm × 4.6 mm i.d. and 3 μm particle size | ScCO2:methanol (95:5) at a flow rate of 2 mL/min, Vinjection: 10 μL, and Tcolumn: 35 °C | [19] | ||||
| Water and sediments | Water: liquid–liquid extraction with an organic solvent Sediments: solid–liquid extraction with organic solvents and clean-up by SPE using Alltech silica cartridge | GC-ECD | Tert-butyldimethylsilyl-β -cyclodextrin) dissolved in 15% diphenyl and 85% dimethyl polysiloxane (BGB-172 column), 30 m × 0.24 mm i.d. and 0.25 μm film | Detector temperature: 325 °C, detector gas: nitrogen (60 mL/min), and inlet T: 260 °C | [20] | ||
| Extraction of samples not detailed | GC-MS | Tert-butyldimethylsilyl-β -cyclodextrin) dissolved in 15% diphenyl and 85% dimethyl polysiloxane (BGB-172 column), 30 m × 0.24 mm i.d. and 0.25 μm film | MS source and the quadrupoles temperature: 230 °C and 150 °C, carrier gas: helium (25 psi) and inlet T: 230 °C | [21] | |||
| Sediments and aquatic organisms (L. minor and A. woodiana) | Extraction with an organic solvent and clean-up of the extracts from organisms by SPE using a silica cartridge for L. minor and a Florisil cartridge for A. woodiana | GC-ECD | Tert-butyldimethylsilyl-β -cyclodextrin) dissolved in 15% diphenyl and 85% dimethyl polysiloxane (BGB-172 column), 30 m × 0.24 mm and 0.25 μm film | Detector temperature: 350 °C Inlet T: 250 °C | [22] | ||
| Soils and water | Water: extraction with MMWCNTs-NH2 Soils: extraction with an organic solvent and MSPE using MMWCNTs-NH2 as sorbent | UPLC-MS/MS (API mass spectrometer) | Amylose tris(3-chloro-5-methylphenylcarbamate) (Chiralpak® IG column, Daicel Corporation, Tokyo, Japan), 250 mm × 4.6 mm i.d. and 5 μm particle size | Acetonitrile:water (5 mM ammonium acetate and 0.05% formic acid) (53:47) at a flow rate of 0.6 mL/min and Tcolumn: 30 °C | [13] | ||
| Paddy soils | Solid–liquid extraction with organic solvents and clean-up by glass chromatography column using active carbon, Al2O3, and anhydrous Na2SO4 as sorbents | HPLC-DAD (detection at 280 nm) | Cellulose tris(3,5-dimethylphenylcarbamate) (Chiralpak® OD-H column, Daicel Corporation, Tokyo, Japan), 250 mm × 4.6 mm i.d. and 5 μm particle size | N-hexane:2-propanol (90:10) at a flow rate of 1 mL/min, Vinjection: 20 μL and Tcolumn: 22 °C | [23] | ||
| Vegetables | Solid–liquid extraction with an organic solvent and clean-up with glass chromatography column using active carbon, Al2O3, and Na2SO4 as sorbents | HPLC-UV (detection at 225 nm) | 1-(3,5-dinitrobenzamido)-1,2,3,4-tetrahydrophenanthrene (Whelk-O1® column, Regis Technologies, Morton Grove, IL, USA) and 250 mm × 4.6 mm i.d. | N-hexane:isopropanol (95:5) at a flow rate of 1 mL/min, Vinjection: 20 μL and Tcolumn: 10 °C | [24] | ||
| Plant samples | Extraction with an organic solvent and clean-up by DSPE using PSA, C18, and carbon nanotubes as sorbent. | UPLC-Q-Exactive Orbitrap MS | Amylose tris(3,5-dimethylphenylcarbamate) (Chiralpak® AD-RH column, Daicel Corporation, Tokyo, Japan), 150 mm × 4.6 mm i.d. and 5 μm particle size | Water:acetonitrile (50:50) at a flow rate of 0.3 mL/min | [25] | ||
| QuEChERS and clean-up by DSPE using MMWCNTs as sorbent | UHPLC-MS/Qtrap | Amylose tris(3-chloro-5-methylphenylcarbamate) (Chiralpak® IG column, Daicel Corporation, Tokyo, Japan), 250 mm × 4.6 mm i.d. and 5 μm particle size | Water (0.1% formic acid):acetonitrile (gradient condition) at a flow rate of 0.4 mL/min, Vinjection: 2 μL and Tcolumn: 35 °C | [12] | |||
| Flufiprole | Standard solutions | HPLC-DAD (detection at 230 nm) | Cellulose tris(3,5 dimethylphenylcarbamate) (Chiralpak® IB column, Daicel Corporation, Tokyo, Japan), 250 mm × 4.6 mm i.d. and 5 μm particle size | N-hexane:ethanol (95:5) at a flow rate of 1 mL/min, Vinjection: 20 μL and Tcolumn: 30 °C | [18] | ||
| SFC-UV/Vis (detection at 230 nm) | Cellulose tris(3,5-dimethylphenylcarbamate) (Chiralpak® OD-H column, Daicel Corporation, Tokyo, Japan), 250 mm × 4.6 mm i.d. and 5 μm particle size | ScCO2:ethanol (91:9) at a flow rate of 2 mL/min, Vinjection: 10 μL and Tcolumn: 35 °C | [19] | ||||
| Soils, vegetables, and fruits | QuEChERS and clean-up by SPE using Alumina-N-SPE cartridge | HPLC-UV (detection at 230 nm) | Cellulose tris(3-chloro-4-methylphenylcarbamate) (Lux Cellulose-2 column), 250 mm × 4.6 mm i.d. and 5 μm particle size | Acetonitrile:water (55:45) at a flow rate of 0.7 mL/min, Vinjection: 20 μL and Tcolumn: 30 °C | [26] | ||
| Paddy fields, rice straw, and rice | QuEChERS and clean-up by SPE using Cleanert PestiCarb/PSA cartridge | UPLC-MS/MS | Cellulose tris(4-chloro-3-methylphenylcarbamate) (Lux Cellulose-4 column), 150 mm × 2.0 mm i.d. and 3 μm particle size | Acetonitrile:water (0.1% acid formic) (65:35) at a flow rate of 0.25 mL/min, Vinjection: 1 μL and Tcolumn: 25 °C | [27] | ||
| Plant samples | QuEChERS and clean-up by DSPE using MMWCNTs as sorbent | UHPLC-MS/Qtrap | Amylose tris(3-chloro-5-methylphenylcarbamate) (Chiralpak® IG column, Daicel Corporation, Tokyo, Japan), 250 mm × 4.6 mm i.d. and 5 μm particle size | Water (0.1% formic acid):acetonitrile (gradient condition) at a flow rate of 0.4 mL/min, Vinjection: 2 μL and Tcolumn: 30 °C | [12] | ||
| Ethiprole | Standard solutions | SFC-UV/Vis (detection at 230 nm) | Amylose tris(S)-α-(3,5-dimethylphenylcarbamate) (Chiralpak® AS-H column, Daicel Corporation, Tokyo, Japan), 250 mm × 4.6 mm i.d. and 5 μm particle size | ScCO2:methanol (91:9) at a flow rate of 2 mL/min, Vinjection: 10 μL and Tcolumn: 35 °C | [19] | ||
| Soils, paddy soils, vegetables, and fruits | QuEChERS and clean-up by SPE using Florisil cartridge | HPLC-UV (detection at 225 nm) | Cellulose tris(3-chloro-4-methylphenylcarbamate) (Lux Cellulose-2 column), 250 mm × 4.6 mm i.d. and 3 μm particle size | Methanol:water (65:35) at a flow rate of 0.7 mL/min, Vinjection: 20 μL and Tcolumn: 35 °C | [28,29] | ||
| Sulfoxamines | Sulfoxaflor | Rice, cucumber and apple samples | QuEChERS and clean-up by SPE using Cleanert PestiCarb/PSA cartridge | HPLC-DAD (detection at 220 nm) | Amylose tris(3,5-dimethylphenyl carbamate) (Chromega Chiral ®, ES Industries, West Berlin, USA CCA), 250 mm × 4.6 mm i.d. and 5 μm particle size | N-hexane:ethanol:methanol (90:2:8) at a flow rate of 1 mL/min, Vinjection: 20 μL and Tcolumn: 20 °C | [30] |
| Plant samples | QuEChERS and clean-up by DSPE using MMWCNTs | UHPLC-MS/Qtrap | Amylose tris(3-chloro-5-methylphenyl carbamate) (Chiralpak® IG column, Daicel Corporation, Tokyo, Japan), 250 mm × 4.6 mm i.d. and 5 μm particle size | Water (0.1% formic acid):acetonitrile (gradient condition) at a flow rate of 0.4 mL/min, Vinjection: 2μL and Tcolumn: 30 °C | [12] | ||
| Plant samples (tea leaves) | MSPD using Florisil and C18 as sorbents | UHPLC-HRMS | Cellulose tris-(4-methylbenzoate) (Chiral Cel® OJ-3R, Daicel Corporation, Tokyo, Japan), 150 mm × 4.6 mm i.d. and 3 μm particle size | Water (0.1% formic acid):acetonitrile (48:52) at a flow rate of 0.4 mL/min, Vinjection: 1 μL and Tcolumn: 30 °C | [31] | ||
| DSPE using PSA as sorbent | UHPLC-MS/MS | Cellulose tris-(4-methylbenzoate) (Chiral Cel OJ-3R), 150 × 4.6 mm i.d. and 3 μm particle size | Water:acetonitrile (80:20) at a flow rate of 0.3 mL/min, Vinjection:1 μL and Tcolumn: 30 °C | [32] | |||
| Soils and vegetables | QuEChERS and clean-up by DSPE using MWCNTs and anhydrous MgSO4 as sobents | UPC2-MS-MS | Amylose tris(3,5-dimethylphenyl carbamate) (Chiralpak® IA-3, Daicel Corporation, Tokyo, Japan), 150 mm × 4.6 mm i.d. and 3 μm particle size | scCO2::2-propanol:acetonitrile (95:3:2) at a flow rate of 2.2 mL/min, Vinjection: 1 μL and Tcolumn: 40 °C | [33] | ||
| Vegetables | QuEChERS and clean-up by DSPE with MWCNTs | UHPSFC-MS/MS | Amylose tris(3,5-dimethylphenyl carbamate) (Chiralpak® IA-3, Daicel Corporation, Tokyo, Japan), 150 mm × 4.6 mm i.d. and 3 μm particle size | scCO2::2-propanol:acetonitrile (95:3:2) at a flow rate of 2.2 mL/min, Vinjection: 1 μL and Tcolumn: 40 °C | [34] | ||
| Marine and freshwater media | - | EKC-DAD | Succinyl-β-CD | BGE: borate buffer (pH 9.0), T: 15 °C and voltage of 20 kV | [35] |
Publisher’s Note: MDPI stays neutral with regard to jurisdictional claims in published maps and institutional affiliations. |
© 2022 by the authors. Licensee MDPI, Basel, Switzerland. This article is an open access article distributed under the terms and conditions of the Creative Commons Attribution (CC BY) license (https://creativecommons.org/licenses/by/4.0/).
Share and Cite
López-Cabeza, R.; Francioso, A. Chiral Pesticides with Asymmetric Sulfur: Extraction, Separation, and Determination in Different Environmental Matrices. Separations 2022, 9, 29. https://doi.org/10.3390/separations9020029
López-Cabeza R, Francioso A. Chiral Pesticides with Asymmetric Sulfur: Extraction, Separation, and Determination in Different Environmental Matrices. Separations. 2022; 9(2):29. https://doi.org/10.3390/separations9020029
Chicago/Turabian StyleLópez-Cabeza, Rocío, and Antonio Francioso. 2022. "Chiral Pesticides with Asymmetric Sulfur: Extraction, Separation, and Determination in Different Environmental Matrices" Separations 9, no. 2: 29. https://doi.org/10.3390/separations9020029
APA StyleLópez-Cabeza, R., & Francioso, A. (2022). Chiral Pesticides with Asymmetric Sulfur: Extraction, Separation, and Determination in Different Environmental Matrices. Separations, 9(2), 29. https://doi.org/10.3390/separations9020029

