Liquid-Crystal Spin-VCSEL with Electro-Optically Controllable Birefringence
Abstract
:1. Introduction
2. VCSEL with a Liquid Crystal: Electro-Optical Birefringence Tuning
2.1. VCSEL with a Liquid Crystal: Schematic and Exemplary Structure
2.2. Electo-Optic Effect in the Liquid-Crystal Layer
2.3. Modal Properties of Liquid-Crystal VCSEL System
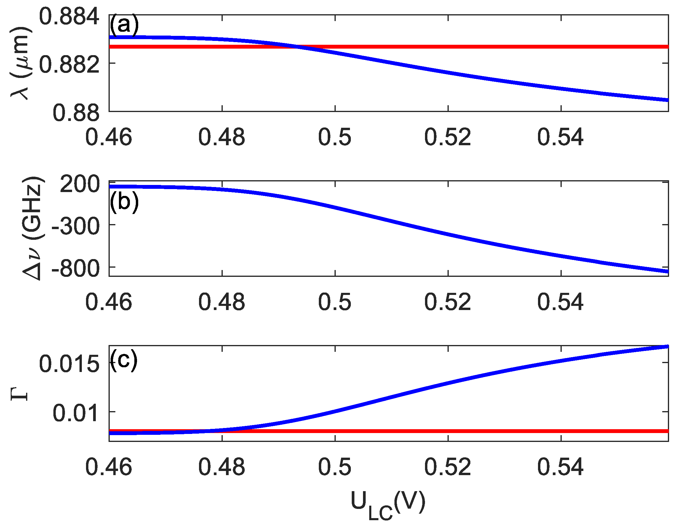
2.4. Electro-Optical Tuning of the Birefringence of the LC-VCSEL System
3. Modulation Characteristics of LC-Spin-VCSEL: Electro-Optical Tuning
4. Conclusions
Author Contributions
Funding
Data Availability Statement
Conflicts of Interest
Abbreviations
| MDPI | Multidisciplinary Digital Publishing Institute |
| VCSELs | Vertical-Cavity Surface-Emitting Lasers |
| QW | Quantum Well |
| LC | Liquid Crystal |
| SFM | Spin-Flip Model |
References
- Holub, M.; Bhattacharya, P. Spin-polarized light-emitting diodes and lasers. J. Phys. D Appl. Phys. 2007, 40, R179–R203. [Google Scholar] [CrossRef]
- Pusch, T.; Scherbl, S.; Lindemann, M.; Gerhardt, N.C.; Hofmann, M.R.; Michalzik, R. Spin Lasers for Optical Data Communication in Semiconductor Lasers and Laser Dynamics VIII, 10682; Panajotov, K., Sciamanna, M., Michalzik, R., Eds.; Proceedings SPIE; SPIE Press: Washington, DC, USA, 2018; pp. 120–125. [Google Scholar]
- Žutić, I.; Xu, G.; Lindemann, M.; Faria, P.E.; Lee, J.; Labinac, V.; Stojisic, K.; Sipahi, G.M.; Hofmann, M.R.; Gerhardt, N.C. Spin-Lasers: Spintronics Beyond Magnetoresistance. Solid State Commun. 2020, 316–317, 113949. [Google Scholar] [CrossRef]
- Miguel, M.S.; Feng, Q.; Moloney, J.V. Light-polarization dynamics in surface-emitting semiconductor lasers. Phys. Rev. A 1995, 52, 1728–1739. [Google Scholar]
- Martın-Regalado, J.M.; Prati, F.; SanMiguel, M.; Abraham, N.B. Polarization properties of vertical cavity surface-emitting lasers. IEEE J. Quantum Electron. 1997, 33, 765–783. [Google Scholar]
- Chang-Hasnain, C.J.; Harbison, J.P.; Hasnain, G.; Lehmen, A.C.V.; Florez, L.T.; Stoffel, N.G. Polarization and transverse mode characteristics of vertical-cavity surface-emitting lasers. IEEE J. Quantum Electron. 1991, 27, 1402–1408. [Google Scholar]
- Choquette, K.D.; Schneider, R.P.; Lear, K.L.; Leibenguth, R.E. Gain dependent polarization properties of vertical-cavity lasers. IEEE J. Sel. Top. Quantum Electron. 1995, 1, 661–666. [Google Scholar]
- Panajotov, K.; Sciamanna, M.; Arizaleta, M.; Thienpont, H. Optical Feedback in Vertical-Cavity Surface-Emitting Lasers. IEEE J. Sel. Top. Quantum Electron. 2013, 19, 1700312. [Google Scholar] [CrossRef]
- Panajotov, K.; Prati, F. Polarization Dynamics of VCSELs. In VCSELs; Michalzik, R., Ed.; Springer Series in Optical Sciences; Springer: Berlin/Heidelberg, Germany, 2012; Volume 166. [Google Scholar]
- Virte, M.; Panajotov, K.; Thienpont, H.; Sciamanna, M. Deterministic polarization chaos from a laser diode. Nat. Photonics 2012, 7, 60–65. [Google Scholar] [CrossRef]
- Rudolph, J.; Döhrmann, S.; Hägele, D.; Oestreich, M.; Stolz, W. Room-temperature threshold reduction in vertical-cavity surface-emitting lasers by injection of spin-polarized electrons. Appl. Phys. Lett. 2005, 87, 241117. [Google Scholar]
- Holub, M.; Shin, J.; Bhattacharya, P. Electrical spin injection and threshold reduction in a semiconductor laser. Phys. Rev. Lett. 2007, 98, 146603. [Google Scholar]
- Lindemann, M.; Xu, G.; Pusch, T.; Michalzik, R.; Hofmann, M.R.; Žutić, I.; Gerhardt, N.C. Ultrafast spin-lasers. Nature 2019, 568, 212–215. [Google Scholar] [CrossRef] [PubMed]
- Panajotov, K.; Nagler, B.; Verschaffelt, G.; Georgievski, A.; Thienpont, H.; Danckaert, J.; Veretennicoff, I. Impact of in-plane anisotropic strain on the polarization behaviour of vertical-cavity surface-emitting lasers. Appl. Phys. Lett. 2000, 77, 1590–1592. [Google Scholar] [CrossRef]
- Khoo, I.-C. Liquid Crystals, 2nd ed.; Wiley: New York, NY, USA, 2007; pp. 58–61. [Google Scholar]
- Andrews, J.R. Low voltage wavelength tuning of an external cavity diode laser using a nematic liquid crystal-containing birefringent filter. IEEE Photon. Technol. Lett. 1990, 2, 334–336. [Google Scholar]
- Merlier, J.D.; Mizutani, K.; Sudo, S.; Naniwae, K.; Furushima, Y.; Sato, S.; Sato, K.; Kudo, K. Full C-band external cavity wavelength tunable laser using a liquid-crystal-based tunable mirror. IEEE Photon. Technol. Lett. 2005, 17, 681–683. [Google Scholar]
- Wilkinson, C.I.; Woodhead, J.; Frost, J.E.F.; Roberts, J.S.; Wilson, R.; Lewis, M.F. Electrical polarization control of vertical-cavity surface-emitting lasers using polarized feedback and a liquid crystal. IEEE Photon. Technol. Lett. 1999, 11, 155–157. [Google Scholar]
- Panajotov, K.; Thienpont, H. Vertical-cavity surface-emitting laser with liquid crystal overlay. Opt. Express 2011, 19, 16749–16759. [Google Scholar] [CrossRef]
- Xie, Y.; Beeckman, J.; Woestenborghs, W.; Panajotov, K.; Neyts, K. VCSEL With Photo-Aligned Liquid Crystal Overlay. IEEE Phot. Technol. Lett. 2012, 24, 1509–1512. [Google Scholar]
- Xie, Y.; Beeckman, J.; Panajotov, K.; Neyts, K. Vertical-Cavity Surface-Emitting Laser With a Liquid Crystal External Cavity. Opt. Lett. 2014, 39, 6494–6497. [Google Scholar]
- Panajotov, K.; Xie, Y.; Dems, M.; Belmonte, C.; Thienpont, H.; Beeckman, J.; Neyts, K. Vertical-cavity surface-emitting laser emitting circularly polarized light. Laser Phys. Lett. 2013, 10, 105003. [Google Scholar] [CrossRef]
- Xie, Y.; Beeckman, J.; Panajotov, K.; Neyts, K. Vertical-Cavity Surface-Emitting Laser With a Chiral Nematic Liquid Crystal Overlay. IEEE Photonics J. 2014, 6, 1500010. [Google Scholar]
- Wilkinson, C.I.; Woodhead, J.; Frost, J.E.F.; Roberts, J.S.; Wilson, R.; Lewis, M.F. Enhancement of a liquid-crystal modulator using an external-cavity VCSEL. IEEE Photon. Technol. Lett. 1999, 11, 940–942. [Google Scholar]
- Belmonte, C.; Frasunkiewicz, L.; Czyszanowski, T.; Thienpont, H.; Beeckman, J.; Neyts, K.; Panajotov, K. Optimization of electrically tunable VCSEL with intracavity nematic liquid crystal. Opt. Express 2015, 23, 15706. [Google Scholar] [CrossRef] [PubMed]
- Frasunkiewicz, L.; Czyszanowski, T.; Thienpont, H.; Panajotov, K. Polarization- and Modal-Control in a Vertical-Cavity Surface-Emitting Laser With an External-Cavity Formed by a Liquid Crystal Overlay. J. Light. Technol. 2016, 34, 5437. [Google Scholar] [CrossRef]
- Frasunkiewicz, L.; Czyszanowski, T.; Thienpont, H.; Panajotov, K. Electrically tunable VCSEL with intra-cavity liquid crystal: Design, optimization and analysis of polarization- and mode-stability. Opt. Commun. 2018, 427, 271. [Google Scholar]
- Debernardi, P.; Simaz, A.; Tibaldi, A.; Boisnard, B.; Camps, T.; Bertazzi, F.; Goano, M.; Reig, B.; Doucet, J.-B.; Bardinal, V. Anisotropic Transverse Confinement Design for Electrically Pumped 850 nm VCSELs Tuned by an Intra Cavity Liquid-Crystal Cell. IEEE J. Sel. Top. Quantum Electron. 2022, 28, 1700111. [Google Scholar] [CrossRef]
- Castany, O.; Dupont, L.; Shuaib, A.; Gauthier, J.P.; Levallois, C.; Paranthoën, C. Tunable semiconductor vertical-cavity surface-emitting laser with an intracavity liquid crystal layer. Appl. Phys. Lett. 2011, 98, 161105. [Google Scholar]
- Sadani, B.; Boisnard, B.; Lafosse, X.; Camps, T.; Doucet, J.B.; Daran, E.; Paranthoen, C.; Levallois, C.; Dupont, L.; Bouchoule, S.; et al. Liquid-Crystal alignment by a nanoimprinted grating for wafer-scale fabrication of tunable devices. IEEE Photonics Technol. Lett. 2018, 30, 1388. [Google Scholar]
- Tkachenko, V.; Dyomin, A.A.; Tkachenko, G.V.; Abbate1, G.; Sukhoivanov, I.A. Electrical reorientation of liquid crystal molecules inside cylindrical pores for photonic device applications. J. Opt. A Pure Appl. Opt. 2008, 10, 055301. [Google Scholar]
- Panajotov, K.; Zujewski, M.; Thienpont, H. Coupled-cavity surface-emitting lasers: Spectral and polarization threshold characteristics and electrooptic switching. Opt. Exp. 2010, 18, 27525. [Google Scholar]
- Coldren, L.A.; Corzine, S.W. Diode Lasers and Photonic Integrated Circuits; Wiley: New York, NY, USA, 1995. [Google Scholar]
- Huang, Y.; Zhou, P.; Torre, M.; Li, N.; Henning, I.; Adams, M. Optically Pumped Spin-VCSELs: Toward High-Frequency Polarization Oscillations and Modulation. IEEE J. Quantum Electron. 2021, 57, 2400212. [Google Scholar]






| VCSEL: Bottom/Middle DBR: / Pairs | ||
|---|---|---|
| Material | Refr. Index | Thickness (m) |
| 0.0603 | ||
| 0.0683 | ||
| VCSEL cavity | ||
| 0.133 | ||
| 0.024 | ||
| 0.133 | ||
| LC and ITO | ||
| E7 | 2.15 | |
| photoalignment layer | 0.01 | |
| ITO | 0.1 | |
| LC dielectric mirror pairs | ||
| 2.49 | 0.0853 | |
| 1.53 | 0.1389 | |
Disclaimer/Publisher’s Note: The statements, opinions and data contained in all publications are solely those of the individual author(s) and contributor(s) and not of MDPI and/or the editor(s). MDPI and/or the editor(s) disclaim responsibility for any injury to people or property resulting from any ideas, methods, instructions or products referred to in the content. |
© 2023 by the authors. Licensee MDPI, Basel, Switzerland. This article is an open access article distributed under the terms and conditions of the Creative Commons Attribution (CC BY) license (https://creativecommons.org/licenses/by/4.0/).
Share and Cite
Panajotov, K.; Petrov, M.; Marinov, Y. Liquid-Crystal Spin-VCSEL with Electro-Optically Controllable Birefringence. Photonics 2023, 10, 179. https://doi.org/10.3390/photonics10020179
Panajotov K, Petrov M, Marinov Y. Liquid-Crystal Spin-VCSEL with Electro-Optically Controllable Birefringence. Photonics. 2023; 10(2):179. https://doi.org/10.3390/photonics10020179
Chicago/Turabian StylePanajotov, Krassimir, Minko Petrov, and Yordan Marinov. 2023. "Liquid-Crystal Spin-VCSEL with Electro-Optically Controllable Birefringence" Photonics 10, no. 2: 179. https://doi.org/10.3390/photonics10020179
APA StylePanajotov, K., Petrov, M., & Marinov, Y. (2023). Liquid-Crystal Spin-VCSEL with Electro-Optically Controllable Birefringence. Photonics, 10(2), 179. https://doi.org/10.3390/photonics10020179

