Abstract
In advanced spectroscopy, the classical symmetric optical frequency comb is limited in temporal flexibility and selection freedom, which constrains the efficiency and stability of quantum manipulation. To overcome this limitation, we propose a method to realize precise energy-level manipulation using a femtosecond non-temporally symmetric optical frequency comb in the semiclassical three-level system. Numerical calculations show that the fall time of the pulse is the key parameter to realize the precise manipulation, and a shorter fall time contributes to the efficient accumulation of population. By optimizing the pulse parameters, 99.15% accumulation of population in the target state can be successfully achieved and stably maintained using an asymmetric slowly turned-on and rapidly turned-off (STRT) pulse train. Our demonstration of the non-temporally symmetric optical frequency comb provides a promising approach to efficient quantum-state preparation using spectral modulation.
1. Introduction
The spectroscopy of atoms and molecules plays a significant role in areas of physics, chemistry, biology, and astronomy [,,,,,,,,,,]. Advanced Spectroscopy Technologies [,,,,] are based on the principle of “the interaction between light and matter”. They innovate upon traditional spectroscopy through light-modulation mechanisms (such as ultrafast pulses [,,,,,,,], X-ray pulses [], dual-comb light sources [,,,,,,,]), high-sensitivity detection devices (such as single-photon detectors [], multi-probe measurement techniques []), and advanced data analysis methods (such as machine learning [,,]).
A series of studies based on advanced spectroscopy has been conducted in the quantum field experimentally. Stern, L., and others enable direct sub-Doppler and hyperfine spectroscopy based on a Kerr microcavity optical comb []; Suh, M.G., Zhang, Z., and others demonstrated that a miniature soliton-based dual-comb system showing the potential for integrated spectroscopy with high signal-to-noise ratios and fast acquisition rates [,]; Coppola, C.M. and others presented an integrated spectrometer based on two cascaded ring resonators covered with phase change material, achieving a resolution smaller than 0.1 nm, a footprint of ≃0.03 mm2, and a bandwidth of the order of tens of nanometers []. Glier, T.E. and others studied Higgs modes in superconductors by employing innovative non-equilibrium anti-Stokes Raman spectroscopy []; Chen, N. and others prepared a porous carbon nanowire array for highly sensitive surface-enhanced Raman scattering []; Wan, S. and others developed a self-locked Raman-electro-optic (REO) microcomb in a lithium niobate microresonator with cooperative nonlinear processes to achieve low-noise operation without external feedback []; Engelhardt, G. and others have detected axion dark matter with Rydberg atoms via induced electric dipole transitions, realizing highly sensitive detection under resonance-free cavity conditions [].
In advanced spectroscopy, ultracold atoms with properties of high quantum-state controllability and long coherence time have become ideal targets for exploring the interaction between light and matter and promoting precision quantum spectroscopy measurements [,,,,]. Optical frequency combs, with high-frequency precision and broad spectral coverage, have been widely applied in energy-level manipulation of ultracold atoms, quantum-state preparation, and spectral parameter measurement [,,,,,,,]. Previously, optical frequency combs were employed to manipulate ultracold atoms [,,,], typically utilizing symmetric laser pulses such as Gaussian pulses or chirped pulses. These pulses depend on smooth and symmetric rise and fall times to maintain the time derivative of the Hamiltonian at a low level. This efficiently satisfies the adiabatic approximation conditions, suppressing quantum-state decoherence generated by non-adiabatic transitions and demonstrating remarkable robustness in quantum manipulation and quantum entanglement preparation. However, the symmetric design, despite enhancing efficiency and robustness, has an inherent time-bandwidth limitation. This means that the total pulse duration must be extended proportionally in pursuit of high-frequency selectivity (narrow bandwidth), hardly fitting the demand of rapid response in spectral measurements. More crucially, its symmetric rising and falling edges employ a uniform time-scale optimization design, limiting the potential for further accelerating specific phase transitions through independent optimization of individual phases.
To overcome the limitations of symmetric pulses in time and flexibility while retaining the advantages of their smooth evolution, asymmetric pulse designs [,,] provide an attractive alternative for controlling ultracold atoms. Compared to traditional symmetric pulses, the core advantage of this approach lies in its ability to achieve temporal optimization and precise choice of quantum states through independent control of each stage. Furthermore, it can stably maintain the population at the target state after transferring it to the maximum value, without fallback or oscillation. The Gaussian pulses, with their symmetry, easily allow the system to evolve back along an adiabatic path after the pulse ends, causing most of the population to return to the initial state. In contrast, an asymmetric slowly turned-on and rapidly turned-off (STRT) laser pulse, with its rapid closing characteristic, can rapidly withdraw the light field after transfer completion, thereby disrupting the back-transfer path and effectively “locking” the population at the target energy level, achieving a high and stable final-state population.
We propose a femtosecond pulse spectrum shaping technique and quantum control method for 87Rb atoms that utilizes a STRT pulse train to induce energy-level transitions. Its slow rise time ensures that the system fully satisfies adiabatic conditions during the initiation phase of the transition, minimizing initial non-adiabatic transitions. Meanwhile, its rapid shut-off feature takes effect during the ending phase of the transition. Its slow rise time ensures that the system fully satisfies adiabatic conditions during the initiation phase of the transition, minimizing initial non-adiabatic transitions. Its rapid shut-off feature takes effect during the ending phase of the transition process. By swiftly closing the optical field, this aims to lock the final-state population, suppress reverse transition, and minimize decoherence or population loss caused by persistent laser presence. This approach maximizes and stabilizes the final population accumulation efficiency. By optimizing parameters, we successfully excited atoms to the target state, achieving a population up to 99.15%, maintaining the atoms in the target state stably, and realizing precise control of energy levels.
2. Theoretical Methods
We consider a semiclassical model of a three-level quantum system interacting with a STRT pulse train. The time-dependent electric field for a STRT pulse train can be expressed as
where the envelope is given by
where is the amplitude, is the corresponding time of the amplitude of the first pulse, is the carrier frequency, is the repetition period, and is the phase difference between two adjacent pulses. and denote the rising and falling times, respectively. and are the beginning and ending time of the ith pulse. We apply a STRT pulse train in the three-level system, aiming to create full population transfer from the initial state through the intermediate state to the final state (Figure 1).

Figure 1.
A three-level system modeling the state being the initial state, the state being the intermediate state, and the state being the target state in an atomic. The transitional frequencies used in the calculations are THz, THz.
For a description of the time evolution of the three-level system, we refer to the Liouville–von Neumann equation with relaxation terms that take into account spontaneous decay and elastic collisions. After defining , the interaction Hamiltonian element can be written as
We apply this Hamilton quantity in the Liouville–von Neumann equation to numerically calculate population transfers in a three-level system. The Liouville–von Neumann equation gives a set of reduced density matrix elements to account for decoherence terms
where and is the rate of decay from the excited state to the initial and the final state, respectively; , and describe collisions between atoms, corresponding to dephasing rates between the middle state and initial state, between the middle state and final state, and between the initial state and final state, respectively.
3. Results and Discussion
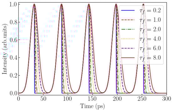
We performed spectral shaping on pulses derived from a femtosecond optical frequency comb. This pulse shaping method enabled independent control of the rising and falling edges of the pulse envelope. To visually demonstrate the effect of this shaping method, the envelope shapes of STRT pulse trains with a series of different fall times () under a constant rise time ( ps) are shown in Figure 2. It clearly showed that the asymmetry of the pulse envelope gradually increased with a decreasing under our shaping, and produced a sharply changing falling edge.

Figure 2.
The envelope shapes of the STRT pulse train with different fall times () under a constant rise time ( ps). Corresponding to ps, it can be observed that the asymmetry of the pulse envelope gradually increased with a decreasing .
We have optimized the laser parameters yielding ps, fs, ps, ps, . The envelopes of the STRT pulse train (blue) and intact Gauss-type pulse train ( ps, orange dotted line) are shown in Figure 3. With the same rise time, the envelope shapes of both pulse trains are completely identical during the rising edge phase. During the falling edge phase, the fall time of the STRT pulse train is significantly less than that of the Gauss-type pulse train. It can be observed that the envelope curve rapidly decreases after the peak time, exhibiting a clear overall asymmetry. This presents a stark comparison to the envelope shape of the Gauss-type pulse train.

Figure 3.
The envelope of the STRT pulse train with parameter ps, fs (blue) and the envelope of the full Gauss-type pulse train with parameter ps (orange dashed line).
We characterized the population evolution of the STRT pulse train and the Gauss-type pulse train interacting with the three-level system (Figure 4). The parameters of the STRT pulse train are ps, fs, ps, ps, . At the initial moment (), the system is completely in its ground state . Under the influence of the STRT pulse train, the system performs strong coherent dynamics, with all three energy levels displaying clear Rabi oscillations, indicating effective coherent coupling between the pulse field and the quantum system. One of the most remarkable features is the clearly “step-like” raising behavior of the population in the target state , and the period aligns perfectly with the repetition period ( ps) of the STRT pulse train: each laser pulse effectively transfers a part of the population from state to state , causing a sharp jump in the population of state and forming a “step”; In the absence of strong-field driving, the population redistributes between energy levels via coherent oscillations during the period between pulses, manifesting as small oscillations near each “step”. More importantly, it can be shown that the overall trend of the state is one of stepwise cumulative growth rather than returns to the baseline after each cycle. The target state has a cumulative population of approximately 0.9915 after the entire STRT pulse train is completed. This demonstrates that the design of the asymmetric STRT pulse train played a crucial role: the slower rise time allowed the population to increase gradually with the optical field, achieving an adiabatic population transfer, and the fast fall time effectively retained population in the target state, significantly suppressing the fallback probability to the initial state via stimulated radiation. The time-dependent population created by the Gauss-type pulse train with the same parameters, except ps. We can note a distinct difference with the STRT pulse train. When applying a Gauss-type pulse train, although the cumulative population reaches a maximum at the center of the total duration, the final cumulative population approaches zero by the end of the evolution. This indicates that the Gauss-type pulse train fails to meet the requirement for selective retention in the target state. The entire population transfer is completed within 300 ns, within the lifetime of the 87Rb atom.

Figure 4.
(a) Population dynamics in the three-level system realized with a STRT pulse train. The values of the system parameters are THz, THz. The rise time is ps, the fall time is fs, the amplitude of the first pulse is ps, the repetition period is ps, and the number of pulses is . It can be observed that the population of the target state gradually accumulates to 1, the initial state gradually decreases to 0, and the intermediate state has very few fillings during the evolution. (b) Population dynamics in the three-level system realized with a Gauss-type pulse train. The values of the system parameters are ps.
In the presence of decoherence, population dynamics in the three-level system induced by the STRT pulse train are shown in Figure 5. The spontaneous decay rate is and the collision rate . In the presence of spontaneous radiation and collision decoherence, the final population of the target state is obviously reduced, yet it still maintains a stepped growth trend, and the population can still be effectively retained in the target state.

Figure 5.
Population dynamics in the three-level system induced by a STRT pulse train in the presence of decoherence. The values of the system parameters are THz, THz. The rise time is ps, the fall time is fs, the amplitude of the first pulse is ps, the repetition period is ps, and the number of pulses is . Spontaneous decay rate is and the collision rate is .
3.1. Different Fall Time
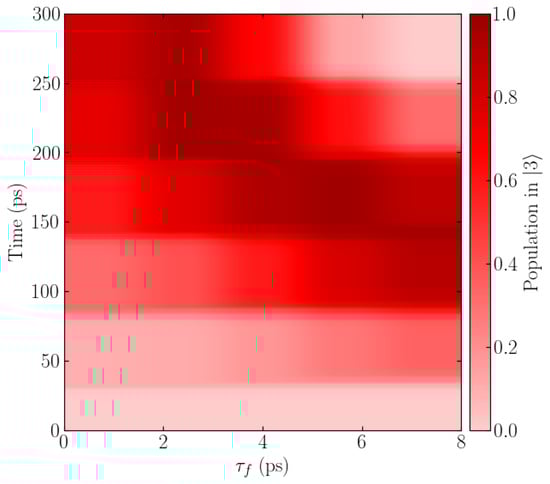
To gain insight into the dynamics of a stepwise population transfer to the final state in a three-level system by the STRT pulse train, we performed an analysis of the effects with different fall times, keeping all other parameters constant, as Figure 6. Figure 7 characterizes the specific conditions of population transfers achieved using STRT pulse trains under four different fall times, corresponding, respectively, to ps, 1 ps, 4 ps, 7 ps. During the initial longer duration of the laser pulse rise time (approximately the first 30 ps), no obvious population transfer was seen for all considered laser pulse trains. However, both the populations of the target states begin to increase as the pulse reaches its first peak (32 ps).

Figure 6.
Population dynamics in the three-level system induced by a STRT pulse train with different fall times. The values of the system parameters are THz, THz. The rise time is ps, the amplitude of the first pulse is ps, the repetition period is ps, and the number of pulses is .

Figure 7.
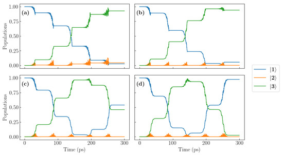
The same values of the system parameters are THz, THz. The rise time is ps, the amplitude of the first pulse is ps, the repetition period is ps, and the number of pulses is . (a) ps. (b) = 1 ps. (c) = 4 ps. (d) = 7 ps.
The study revealed that shorter fall times provide higher populations of the target state. Most importantly, it can stably maintain the population at a high value after transfer without falling back or oscillating phenomena commonly seen in symmetric pulses, such as a Gauss-type pulse. The property is the key advantage of asymmetric pulses compared to the traditional symmetric waveshapes. Owing to the temporal symmetry, Gauss-type pulses lead the system to naturally evolve backwards along an adiabatic path after the pulses end, causing most of the population to return to its initial state. The rapid turn-off feature of STRT pulses (such as ps) allows for the instantaneous removal at the end of the transfer. It is equivalent to abruptly removing the adiabatic passage, resulting in the disruption of the physical pathway back to the ground state. Since the population excited to the target state has lost the path back to the lower energy level via stimulated radiation, effectively trapping and locking the population at the target state. With the increase in fall time, the effect gradually diminishes. When the fall time extends to be equal to the rise time ( ps), the behavior gradually approaches the symmetric pulse, allowing the system to evolve backwards along the adiabatic passage. This permits most of the population to return to the ground state after the pulses end, consistent with the results obtained from traditional symmetric Gauss-type pulses. This means that the strong asymmetry of the pulse envelope is not only critical for achieving efficient population transfer but also the core principle for ensuring the stable presence of the final state and suppressing population repetition.
3.2. Number of Pulses
After determining that the very short fall time has a high effect on the population transfer, we further performed the evolution of the population of the target state when the number of STRT pulse trains N increases, as shown in Figure 8. Figure 9 characterizes the specific conditions of population transfers achieved using STRT pulse trains under four different numbers of pulses, corresponding, respectively, to . With an increasing number of pulses N from 1, the final number of populations of the target state shows a significant stepwise increase. Within the first few pulse cycles, each additional pulse induces a significant redistribution of the population in the system, leading to a clear step in the level of the population, suggesting that each pulse effectively drives additional population from the lower energy level to the target state. This stepwise increase arises from the coherent cumulative effect of the interference between pulses. However, when the number of pulses continues to increase (N = 5 to 15), the system performs a more complex nonlinear behavior. The population no longer grows monotonically; it shows an oscillatory evolutionary mode of rising-falling-rising.

Figure 8.
Population dynamics in the three-level system induced by a STRT pulse train with a different number of pulses. The values of the system parameters are THz, THz. The rise time is ps, the amplitude of the first pulse is ps, and the repetition period is ps.

Figure 9.
The same values of the system parameters are THz, THz. The rise time is ps, the amplitude of the first pulse is ps, and the repetition period is ps. (a) . (b) . (c) . (d) .
This phenomenon reveals the dual nature of the effect of multi-pulse quantum interference: when the phase of the coherent state established by the previous pulse matches the phase of the driving of the subsequent pulse, interference is generated, promoting population transfer; whereas phase mismatch leads to phase-eliminating interference, causing a decrease in the population. This oscillatory behavior can be attributed to several mechanisms: as the number of pulses increases, the quantum phases accumulated in the system become more complex, leading to the periodic change in the coherent condition between the pulses; the circular transfer of the population between the three energy levels leads to this regular evolutionary behavior.
3.3. Laser Intensity
We further explored the effect of laser intensity driving the laser field on the population transfer, and the results are shown in Figure 10. Figure 11 characterizes the specific conditions of population transfers achieved using STRT pulse trains under four different laser intensities, corresponding, respectively, to . Simulations reveal that the population transfer efficiency has a nonlinear dependence on the laser intensity, and a higher laser intensity does not necessarily lead to a larger population of the target state.

Figure 10.
Population dynamics in the three-level system induced by a STRT pulse train with different laser intensity. The values of the system parameters are THz, THz. The rise time is ps, the amplitude of the first pulse is ps, the repetition period is ps. and the number of pulses is .

Figure 11.
The values of the system parameters are THz, THz. The rise time is ps, the fall time is fs, the amplitude of the first pulse is ps, the repetition period is ps and the number of pulses is . (a) . (b) . (c) . (d) .
When the field strength is too low (), the pulse train barely achieves an effective population transfer, and the population of the target state is always maintained at a level close to zero. This suggests the presence of a minimum laser intensity threshold beyond which only the STRT pulse train can effectively drive the quantum system. When the laser intensity is in the medium intensity range ( 0.5–1.0), the system demonstrates the most efficient population transfer, and the target state is enabled to reach the maximum population. In this region, a typical Rabi oscillatory behavior is observed, and the evolution of the population with time shows a regular oscillatory mode, indicating that the system is in a coherent driving region. When the laser intensity is further increased, , the population shows a cyclic evolution of rising-falling-rising, and it occurs earlier and faster with the increase of the laser intensity. This is the result of Rabi oscillations. As the laser intensity increases, the oscillations become more intense, and the stable manipulation of the target state is lost. In general, higher laser intensity induces stronger Rabi oscillations. In our study, we chose a lower power to suppress the Rabi frequency, achieving efficient population accumulation, as shown in Figure 4.
4. Conclusions
We have demonstrated the potential for quantum manipulation of atomic systems using a femtosecond non-temporally symmetric optical frequency comb. Compared to traditional spectral techniques, the advantages of this approach lie in its slow rise phase, which ensures the system fully satisfies adiabatic conditions, achieving maximum adiabatic transition; the rapid decay phase enables atoms to stably maintain the target state, preventing them from falling back to the ground state. Focusing on the 87Rb, we have achieved efficient coherent transfer of population by applying a non-temporal symmetric optical frequency comb to modulate the relevant parameters, which is both temporally flexible and operationally stable. This asymmetric pulse design effectively combines the robustness of the adiabatic passage and the high efficiency of the fast turn-off, achieving a population accumulation of 99.15%. The parameter study demonstrates that fall time is the key factor affecting the transfer efficiency, and a shorter fall time contributes to enhance population of the target state; the number of pulses and the laser intensity, on the other hand, have a complex effect on the final population through the multi-pulse interference and nonlinear Rabi oscillation mechanisms, and there is an obvious optimal parameter region.
Our technique effectively overcomes the temporal limitations of conventional technology by flexibly modulating time-domain characteristics, significantly enhancing precision and temporal resolution to provide new avenues for advanced spectroscopic research. The robustness of asymmetric time-domain adiabatic passage and the efficiency of rapid shutdown support the application of our technique for accurate manipulation of quantum systems.
Furthermore, our research provides a theoretically practical technological approach to the adiabatic manipulation of quantum gates. The technique contributes to the adiabatic conditions through the slow rising edge, which provides a reliable environment for the adiabatic evolution of quantum gates and effectively avoids the interference of non-adiabatic transitions on the manipulation accuracy of quantum gates; the fast-falling edge can effectively “lock” the population in the target state, which significantly reduces the loss of fidelity of quantum gates due to decoherence.
Author Contributions
Conceptualization, H.F. and X.W.; methodology, H.F. and X.W.; software, H.F., X.W. and Y.Z.; validation, H.F., X.W., Z.B. and Y.Z.; formal analysis, H.F. and X.W.; investigation, H.F. and Y.Z.; resources, Y.Z.; data curation, H.F. and X.W.; writing—original draft preparation, H.F.; writing—review and editing, H.F., X.W., Z.B. and Y.Z.; visualization, H.F. and X.W.; supervision, Y.Z.; project administration, Y.Z.; funding acquisition, Y.Z. All authors have read and agreed to the published version of the manuscript.
Funding
This work was supported by the National Natural Science Foundation of China (Nos. 61505100 and 12574375), Fundamental Research Program of Shanxi Province (Grant No. 202203021211301), and the Research Project Supported by Shanxi Scholarship Council of China (Nos. 2023-028 and 2022-014).
Institutional Review Board Statement
Not applicable.
Informed Consent Statement
Not applicable.
Data Availability Statement
The raw data supporting the conclusions of this article will be made available by the authors on request.
Conflicts of Interest
The authors declare no conflicts of interest.
References
- Wang, J.; Sciarrino, F.; Laing, A.; Thompson, M.G. Integrated photonic quantum technologies. Nat. Photonics 2020, 14, 273–284. [Google Scholar] [CrossRef]
- Thekkadath, G.; Bell, B.; Patel, R.; Kim, M.; Walmsley, I. Measuring the joint spectral mode of photon pairs using intensity interferometry. Phys. Rev. Lett. 2022, 128, 023601. [Google Scholar] [CrossRef]
- Marpaung, D.; Yao, J.; Capmany, J. Integrated microwave photonics. Nat. Photonics 2019, 13, 80–90. [Google Scholar] [CrossRef]
- Gu, Z.; Zhang, W.; Yu, Y.; Zhang, X. Disordered-guiding photonic chip enabled high-dimensional light field detection. Nat. Commun. 2025, 16, 7741. [Google Scholar] [CrossRef] [PubMed]
- Du, Y.; Sua, Y.M.; Kumar, S.; Zhang, J.; Li, X.; Hu, Y.; Ghuman, P.; Huang, Y. Chip-integrated spectroscopy capable of temperature retrieval. Sci. Rep. 2025, 15, 30437. [Google Scholar] [CrossRef]
- Zhang, C.; Wang, G.; Xu, L.; Fu, B. Polarization-multiplexed single-cavity dual combs and application in absorption spectroscopy. Sens. Actuators A Phys. 2023, 360, 114554. [Google Scholar] [CrossRef]
- Phillips, C.R.; Willenberg, B.; Nussbaum-Lapping, A.; Callegari, F.; Camenzind, S.L.; Pupeikis, J.; Keller, U. Coherently averaged dual-comb spectroscopy with a low-noise and high-power free-running gigahertz dual-comb laser. Opt. Express 2023, 31, 7103–7119. [Google Scholar] [CrossRef] [PubMed]
- Chang, K.F.; Lesko, D.M.; Mashburn, C.; Chang, P.; Tsao, E.; Lind, A.J.; Diddams, S.A. Multi-harmonic near-infrared–ultraviolet dual-comb spectrometer. Opt. Lett. 2024, 49, 1684–1687. [Google Scholar] [CrossRef]
- Tian, H.; Sterczewski, L.A. Impact of optical frequency comb noise on free-running dual-comb spectroscopy. Opt. Express 2025, 33, 5075–5087. [Google Scholar] [CrossRef] [PubMed]
- Martin, E.P.; Ahmad, S.T.; Chandran, S.; Rosado, A.; Ruth, A.A.; Anandarajah, P.M. Stability Characterisation and Application of Mutually Injection Locked Gain Switched Optical Frequency Combs for Dual Comb Spectroscopy. J. Light. Technol. 2023, 41, 4516–4521. [Google Scholar] [CrossRef]
- Diao, Y.; Hu, H.; Li, X.; Li, Z.; Zeng, F.; Chen, Y.; You, S. Microwave-Controlled Spectroscopy Evolution for Different Rydberg States. Photonics 2025, 12, 715. [Google Scholar] [CrossRef]
- Magunia, A.; Rebholz, M.; Appi, E.; Papadopoulou, C.C.; Lindenblatt, H.; Trost, F.; Meister, S.; Ding, T.; Straub, M.; Borisova, G.D.; et al. Time-resolving state-specific molecular dissociation with XUV broadband absorption spectroscopy. Sci. Adv. 2023, 9, eadk1482. [Google Scholar] [CrossRef] [PubMed]
- Long, D.A.; Cich, M.J.; Mathurin, C.; Heiniger, A.T.; Mathews, G.C.; Frymire, A.; Rieker, G.B. Nanosecond time-resolved dual-comb absorption spectroscopy. Nat. Photonics 2024, 18, 127–131. [Google Scholar] [CrossRef]
- Chou, C.; Collopy, A.L.; Kurz, C.; Lin, Y.; Harding, M.E.; Plessow, P.N.; Fortier, T.; Diddams, S.; Leibfried, D.; Leibrandt, D.R. Frequency-comb spectroscopy on pure quantum states of a single molecular ion. Science 2020, 367, 1458–1461. [Google Scholar] [CrossRef]
- Yu, M.; Okawachi, Y.; Griffith, A.G.; Picqué, N.; Lipson, M.; Gaeta, A.L. Silicon-chip-based mid-infrared dual-comb spectroscopy. Nat. Commun. 2018, 9, 1869. [Google Scholar] [CrossRef] [PubMed]
- Ycas, G.; Giorgetta, F.R.; Baumann, E.; Coddington, I.; Herman, D.; Diddams, S.A.; Newbury, N.R. High-coherence mid-infrared dual-comb spectroscopy spanning 2.6 to 5.2 μm. Nat. Photonics 2018, 12, 202–208. [Google Scholar] [CrossRef]
- Matselyukh, D.T.; Rott, F.; Schnappinger, T.; Zhang, P.; Li, Z.; Richardson, J.O.; de Vivie-Riedle, R.; Wörner, H.J. Attosecond spectroscopy of molecular charge transfer uncovers a 1.5-fs delay in population transfer. Nat. Commun. 2025, 16, 7211. [Google Scholar] [CrossRef]
- Maiuri, M.; Garavelli, M.; Cerullo, G. Ultrafast spectroscopy: State of the art and open challenges. J. Am. Chem. Soc. 2019, 142, 3–15. [Google Scholar] [CrossRef]
- Zanotto, S.; Conte, G.; Bellieres, L.C.; Griol, A.; Navarro-Urrios, D.; Tredicucci, A.; Martínez, A.; Pitanti, A. Optomechanical modulation spectroscopy of bound states in the continuum in a dielectric metasurface. Phys. Rev. Appl. 2022, 17, 044033. [Google Scholar] [CrossRef]
- Sielaff, L.; Kehl, A.; Aden, A.; Meyer, A.; Bennati, M. Pulsed dipolar hyperfine spectroscopy for molecular distance measurements in the angstrom to nanometer scale. Sci. Adv. 2025, 11, eady5665. [Google Scholar] [CrossRef]
- Silvestri, C.; Qi, X.; Taimre, T.; Rakić, A.D. Frequency combs induced by optical feedback and harmonic order tunability in quantum cascade lasers. APL Photonics 2023, 8, 116102. [Google Scholar] [CrossRef]
- Dan, L.; Xu, H.; Guo, P.; Zhao, J. Dynamics in direct two-photon transition by frequency combs. Europhys. Lett. 2022, 137, 25001. [Google Scholar] [CrossRef]
- Sekhar, P.; Fredrick, C.; Carlson, D.R.; Newman, Z.L.; Diddams, S.A. 20 GHz fiber-integrated femtosecond pulse and supercontinuum generation with a resonant electro-optic frequency comb. APL Photonics 2023, 8, 116111. [Google Scholar] [CrossRef]
- Wang, C.; Sun, Y.; Zhao, Q.; Yang, C.; Zeng, C.; Feng, Z.; Zhang, Y.; Li, L.; Zhou, K.; Wei, X.; et al. Ultrafine electro-optical frequency comb based on cascade phase modulation with cyclic frequency shifting. Opt. Lett. 2023, 48, 4665–4668. [Google Scholar] [CrossRef]
- Lambert, G.; Vodungbo, B.; Gautier, J.; Mahieu, B.; Malka, V.; Sebban, S.; Zeitoun, P.; Luning, J.; Perron, J.; Andreev, A.; et al. Towards enabling femtosecond helicity-dependent spectroscopy with high-harmonic sources. Nat. Commun. 2015, 6, 6167. [Google Scholar] [CrossRef]
- Peng, D.; Gu, C.; Zuo, Z.; Di, Y.; Zou, X.; Tang, L.; Deng, L.; Luo, D.; Liu, Y.; Li, W. Dual-comb optical activity spectroscopy for the analysis of vibrational optical activity induced by external magnetic field. Nat. Commun. 2023, 14, 883. [Google Scholar] [CrossRef]
- Bauer, C.P.; Bejm, Z.A.; Bollier, M.K.; Pupeikis, J.; Willenberg, B.; Keller, U.; Phillips, C.R. High-sensitivity dual-comb and cross-comb spectroscopy across the infrared using a widely tunable and free-running optical parametric oscillator. Nat. Commun. 2024, 15, 7211. [Google Scholar] [CrossRef] [PubMed]
- Han, J.J.; Zhong, W.; Zhao, R.C.; Zeng, T.; Li, M.; Lu, J.; Peng, X.X.; Shi, X.P.; Yin, Q.; Wang, Y.; et al. Dual-comb spectroscopy over a 100 km open-air path. Nat. Photonics 2024, 18, 1195–1202. [Google Scholar] [CrossRef]
- Villares, G.; Hugi, A.; Blaser, S.; Faist, J. Dual-comb spectroscopy based on quantum-cascade-laser frequency combs. Nat. Commun. 2014, 5, 5192. [Google Scholar] [CrossRef]
- Herman, D.I.; Walsh, M.; Genest, J. Mode-resolved optical frequency comb fixed point localization via dual-comb interferometry. Opt. Lett. 2024, 49, 7098–7101. [Google Scholar] [CrossRef]
- Zhang, C.; Qu, F.; Ou, P.; Sun, H.; He, S.; Fu, B. Recent advances and outlook in single-cavity dual comb lasers. Photonics 2023, 10, 221. [Google Scholar] [CrossRef]
- Nürnberg, J.; Willenberg, B.; Phillips, C.R.; Keller, U. Dual-comb ranging with frequency combs from single cavity free-running laser oscillators. Opt. Express 2021, 29, 24910–24918. [Google Scholar] [CrossRef] [PubMed]
- Bunel, T.; Chatterjee, D.; Lumeau, J.; Moreau, A.; Conforti, M.; Mussot, A. Dual-frequency comb in fiber Fabry–Perot resonator. APL Photonics 2025, 10, 036115. [Google Scholar] [CrossRef]
- Tsao, C.; Ling, H.; Hinkle, A.; Chen, Y.; Jha, K.K.; Yan, Z.L.; Utzat, H. Enhancing spectroscopy and microscopy with emerging methods in photon correlation and quantum illumination. Nat. Nanotechnol. 2025, 20, 1001–1016. [Google Scholar] [CrossRef]
- Sakurai, A.; Iwamoto, K.; Miwa, Y.; Hori, H.; Ishikawa, A.; Uchiyama, K.; Kobayashi, K.; Kishino, K.; Sakai, M. Scanning near-field optical spectroscopy and carrier transport based analysis in mesoscopic regions for two-dimensional semiconductors. Sci. Rep. 2022, 12, 10348. [Google Scholar] [CrossRef]
- Qi, Y.; Hu, D.; Jiang, Y.; Wu, Z.; Zheng, M.; Chen, E.X.; Liang, Y.; Sadi, M.A.; Zhang, K.; Chen, Y.P. Recent progresses in machine learning assisted Raman spectroscopy. Adv. Opt. Mater. 2023, 11, 2203104. [Google Scholar] [CrossRef]
- Chen, X.; Yao, Z.; Xu, S.; McLeod, A.S.; Gilbert Corder, S.N.; Zhao, Y.; Tsuneto, M.; Bechtel, H.A.; Martin, M.C.; Carr, G.L.; et al. Hybrid machine learning for scanning near-field optical spectroscopy. ACS Photonics 2021, 8, 2987–2996. [Google Scholar] [CrossRef]
- Saikia, D.; Dadhara, R.; Tanan, C.; Avati, P.; Verma, T.; Pandey, R.; Singh, S.P. Combating Antimicrobial Resistance: Spectroscopy Meets Machine Learning. Photonics 2025, 12, 672. [Google Scholar] [CrossRef]
- Stern, L.; Stone, J.R.; Kang, S.; Cole, D.C.; Suh, M.G.; Fredrick, C.; Newman, Z.; Vahala, K.; Kitching, J.; Diddams, S.A.; et al. Direct Kerr frequency comb atomic spectroscopy and stabilization. Sci. Adv. 2020, 6, eaax6230. [Google Scholar] [CrossRef]
- Suh, M.G.; Yang, Q.F.; Yang, K.Y.; Yi, X.; Vahala, K.J. Microresonator soliton dual-comb spectroscopy. Science 2016, 354, 600–603. [Google Scholar] [CrossRef]
- Zhang, Z.; Peng, T.; Nie, X.; Agarwal, G.S.; Scully, M.O. Entangled photons enabled time-frequency-resolved coherent Raman spectroscopy and applications to electronic coherences at femtosecond scale. Light Sci. Appl. 2022, 11, 274. [Google Scholar] [CrossRef]
- Coppola, C.M.; De Carlo, M.; De Leonardis, F.; Passaro, V.M. High-Resolution On-Chip Digitally Tunable Spectrometer Based on Double-Cascaded Ring Resonators. Adv. Photonics Res. 2025, 6, 2500021. [Google Scholar] [CrossRef]
- Glier, T.E.; Tian, S.; Rerrer, M.; Westphal, L.; Lüllau, G.; Feng, L.; Dolgner, J.; Haenel, R.; Zonno, M.; Eisaki, H.; et al. Non-equilibrium anti-Stokes Raman spectroscopy for investigating Higgs modes in superconductors. Nat. Commun. 2025, 16, 7027. [Google Scholar] [CrossRef] [PubMed]
- Chen, N.; Xiao, T.H.; Luo, Z.; Kitahama, Y.; Hiramatsu, K.; Kishimoto, N.; Itoh, T.; Cheng, Z.; Goda, K. Porous carbon nanowire array for surface-enhanced Raman spectroscopy. Nat. Commun. 2020, 11, 4772. [Google Scholar] [CrossRef]
- Wan, S.; Wang, P.Y.; Li, M.; Ma, R.; Niu, R.; Sun, F.W.; Bo, F.; Guo, G.C.; Dong, C.H. Self-locked broadband Raman-electro-optic microcomb. Nat. Commun. 2025, 16, 4829. [Google Scholar] [CrossRef]
- Engelhardt, G.; Bhoonah, A.; Liu, W.V. Detecting axion dark matter with Rydberg atoms via induced electric dipole transitions. Phys. Rev. Res. 2024, 6, 023017. [Google Scholar] [CrossRef]
- Chen, C.; Emperauger, G.; Bornet, G.; Caleca, F.; Gély, B.; Bintz, M.; Chatterjee, S.; Liu, V.; Barredo, D.; Yao, N.Y.; et al. Spectroscopy of elementary excitations from quench dynamics in a dipolar XY Rydberg simulator. Science 2025, 389, eadn0618. [Google Scholar] [CrossRef]
- Schlossberger, N.; Talashila, R.; Prajapati, N.; Holloway, C.L. Angle-of-arrival detection of radio-frequency waves via Rydberg-atom fluorescence imaging of standing waves in a glass vapor cell. Phys. Rev. Appl. 2025, 24, 024056. [Google Scholar] [CrossRef]
- Liu, B.; Zhang, L.; Liu, Z.; Deng, Z.; Ding, D.; Shi, B.; Guo, G. Electric Field Measurement and Application Based on Rydberg Atoms. Electromagn. Sci. 2023, 1, 0020151. [Google Scholar] [CrossRef]
- Feng, Z.; Liu, X.; Song, Z.; Qu, J. Multi-parameter microwave quantum sensing with a single atomic probe. Sci. Rep. 2025, 15, 5379. [Google Scholar] [CrossRef] [PubMed]
- Jing, M.; Hu, Y.; Ma, J.; Zhang, H.; Zhang, L.; Xiao, L.; Jia, S. Atomic superheterodyne receiver based on microwave-dressed Rydberg spectroscopy. Nat. Phys. 2020, 16, 911–915. [Google Scholar] [CrossRef]
- Torres-Company, V.; Weiner, A.M. Optical frequency comb technology for ultra-broadband radio-frequency photonics. Laser Photonics Rev. 2014, 8, 368–393. [Google Scholar] [CrossRef]
- Holzwarth, R.; Udem, T.; Hänsch, T.W.; Knight, J.; Wadsworth, W.; Russell, P.S.J. Optical frequency synthesizer for precision spectroscopy. Phys. Rev. Lett. 2000, 85, 2264. [Google Scholar] [CrossRef] [PubMed]
- Diddams, S.A.; Jones, D.J.; Ye, J.; Cundiff, S.T.; Hall, J.L.; Ranka, J.K.; Windeler, R.S.; Holzwarth, R.; Udem, T.; Hänsch, T.W. Direct link between microwave and optical frequencies with a 300 THz femtosecond laser comb. Phys. Rev. Lett. 2000, 84, 5102. [Google Scholar] [CrossRef]
- Davila-Rodriguez, J.; Ozawa, A.; Hänsch, T.W.; Udem, T. Doppler cooling trapped ions with a UV frequency comb. Phys. Rev. Lett. 2016, 116, 043002. [Google Scholar] [CrossRef]
- Stowe, M.C.; Cruz, F.C.; Marian, A.; Ye, J. High Resolution Atomic Coherent Control via Spectral Phase Manipulation of an Optical Frequency Comb. Phys. Rev. Lett. 2006, 96, 153001. [Google Scholar] [CrossRef]
- Picqué, N.; Hänsch, T.W. Frequency comb spectroscopy. Nat. Photonics 2019, 13, 146–157. [Google Scholar] [CrossRef]
- Lien, C.Y.; Seck, C.M.; Lin, Y.W.; Nguyen, J.H.; Tabor, D.A.; Odom, B.C. Broadband optical cooling of molecular rotors from room temperature to the ground state. Nat. Commun. 2014, 5, 4783. [Google Scholar] [CrossRef]
- Marin-Palomo, P.; Kemal, J.N.; Karpov, M.; Kordts, A.; Pfeifle, J.; Pfeiffer, M.H.; Trocha, P.; Wolf, S.; Brasch, V.; Anderson, M.H.; et al. Microresonator-based solitons for massively parallel coherent optical communications. Nature 2017, 546, 274–279. [Google Scholar] [CrossRef]
- Fortier, T.; Baumann, E. 20 years of developments in optical frequency comb technology and applications. Commun. Phys. 2019, 2, 153. [Google Scholar] [CrossRef]
- Malinovskaya, S.A.; Liu, G. Harmonic spectral modulation of an optical frequency comb to control the ultracold molecules formation. Chem. Phys. Lett. 2016, 664, 1–4. [Google Scholar] [CrossRef]
- Shi, W.; Malinovskaya, S. Implementation of a single femtosecond optical frequency comb for rovibrational cooling. Phys. Rev. A 2010, 82, 013407. [Google Scholar] [CrossRef]
- Mansourzadeh-Ashkani, N.; Saadati-Niari, M.; Zolfagharpour, F.; Nedaee-Shakarab, B. Nuclear-state population transfer using composite stimulated Raman adiabatic passage. Nucl. Phys. A 2021, 1007, 122119. [Google Scholar] [CrossRef]
- Muramatsu, M.; Hita, M.; Minemoto, S.; Sakai, H. Field-free molecular orientation by an intense nonresonant two-color laser field with a slow turn on and rapid turn off. Phys. Rev. A 2009, 79, 011403. [Google Scholar] [CrossRef]
- Zhang, W.; Wang, G.R.; Cong, S.L. Efficient photoassociation with a train of asymmetric laser pulses. Phys. Rev. A 2011, 83, 045401. [Google Scholar] [CrossRef]
- Sussman, B.J.; Underwood, J.G.; Lausten, R.; Ivanov, M.Y.; Stolow, A. Quantum control via the dynamic Stark effect: Application to switched rotational wave packets and molecular axis alignment. Phys. Rev. A 2006, 73, 053403. [Google Scholar] [CrossRef]
Disclaimer/Publisher’s Note: The statements, opinions and data contained in all publications are solely those of the individual author(s) and contributor(s) and not of MDPI and/or the editor(s). MDPI and/or the editor(s) disclaim responsibility for any injury to people or property resulting from any ideas, methods, instructions or products referred to in the content. |
© 2025 by the authors. Licensee MDPI, Basel, Switzerland. This article is an open access article distributed under the terms and conditions of the Creative Commons Attribution (CC BY) license (https://creativecommons.org/licenses/by/4.0/).