Abstract
We present a scheme for realizing phase-controlled entanglement in a microwave optomechanical system comprising two microwave cavities and two mechanical oscillators. Under specific driving conditions, we show that this optomechanical interface can be exploited to generate simultaneously the stationary cavity–cavity entanglement, mechanical–mechanical entanglement, and cavity–mechanical entanglement. Due to the closed loop interaction, we find that the entanglement can be controlled flexibly by tuning the phase difference between the optomechanical coupling strengths. The dependence of the entanglement on the amplitudes of the optomechanical coupling strengths is also explored in detail. Moreover, the bipartite entanglements are robust against temperature, and it is shown that the mechanical oscillators are cooled to the ground state in the parameter regimes for observing entanglement.
1. Introduction
Entanglement, one essential feature of quantum mechanics, is an indispensable resource for quantum information processing. This phenomenon has been demonstrated in various systems, such as superconducting qubits [1], atomic ensembles [2,3], individual atoms [4] and ions [5], and electron spins [6]. In the past few decades, mechanical oscillators with high resonance frequencies and quality factors have been extensively explored. They can be coupled to a variety of quantum systems, including superconducting qubits [7], quantum dots [8], a single-spin qubit [9], Bose–Einstein condensate [10], and to photons at nearly arbitrary wavelength. Recently, entanglement between mechanical oscillator and atomic spin ensemble [11] as well as the phonon-mediated entanglement between two superconducting qubits [12] have been demonstrated. Therefore, hybrid mechanical systems provide a promising platform for building quantum networks [13].
Cavity optomechanical systems, where the mechanical oscillator interacts with the electromagnetic cavity via radiation pressure, can also serve as an excellent candidate for the interface that connects different components in quantum networks [14,15,16,17,18,19,20,21,22]. Recent milestones in this field include cooling of the mechanical oscillator to the quantum ground state [23,24,25] and observation of quantum effects such as optomechanical squeezing of light and mechanical motion [26,27,28,29]. Moreover, a myriad of schemes have been proposed to generate the entanglement based on optomechanical systems [30,31,32,33,34,35,36,37,38,39,40,41,42,43,44,45,46,47,48]. Recent optomechanical experiments have successfully demonstrated the entanglement between photons and a mechanical oscillator [49], between two mechanical oscillators [50,51,52,53], and between photons at both optical [54] and microwave [55] frequencies. Very recently, significant attention has been paid to the nonreciprocal transmission in multimode optomechanical systems with closed loop interaction [56,57,58,59,60,61,62,63,64,65,66,67,68,69,70], where the phase difference between the optomechanical coupling strengths can be exploited to control the direction of light propagation. In addition, it has been shown that the light-vibration entanglement can be controlled by the phase difference in three-mode optomechanical systems [71,72].
Here, we study the phase-controlled entanglement in a four-mode optomechanical system, which consists of two cavity modes coupled via two mechanical oscillators [64,65,66,67,68]. To generate the entanglement quantified by logarithmic negativity, the cavities are driven by four tones, including two blue tones and two red tones. By tuning the phase difference and the optomechanical coupling strengths, we show that this hybrid system provides a platform to generate simultaneously the cavity–cavity entanglement, mechanical–mechanical entanglement, and cavity–mechanical entanglement. Furthermore, we find that the stationary entanglement is robust against the environmental temperature and both the mechanical oscillators can be cooled to the ground state. Our scheme could be realized based on the current experiments [64,65,66,67].
2. Model and Theory
We consider the optomechanical system schematically shown in Figure 1a, where two cavity modes are, respectively, coupled to two mechanical oscillators via radiation pressure. The Hamiltonian of the system is given by
where the first term describes the energy of the cavity modes with creation (annihilation) operators and resonance frequency ; the second term represents the mechanical modes with creation (annihilation) operators and resonance frequency ; the third term denotes the optomechanical coupling between the cavity modes and the mechanical modes with being the vacuum optomechanical coupling strength; and the last term corresponds to the interaction between the cavity modes and the driving fields with amplitude , frequency , and phase . We linearize the Hamiltonian by expanding cavity modes as the sum of their steady-state field amplitudes and the small fluctuations, i.e., , where is the coherent state amplitude produced in cavity i due to the drive with detuning . Here, we choose , and with being the extra detuning from the exact red (blue) sidebands to study the entanglement in this system, as shown in Figure 1b. Moving into the rotating frame with respect to and neglecting the counter-rotating and off-resonant terms under the condition of , the linearized Hamiltonian can be derived as (see details in Appendix A)
where , , , and are the field-enhanced optomechanical coupling strengths. Here, we denote as the red (blue) sidebands of cavity on the mechanical mode . Due to the loop interaction in this optomechanical system, only the phase difference between the optomechanical coupling strengths has physical effects. By redefining the operators , the Hamiltonian Equation (2) becomes
with being the phase difference.
Figure 1.
(a) Schematic of the optomechanical system. Two cavity modes and are, respectively, coupled to two mechanical modes and with the effective optomechanical coupling strengths , , , and . (b) Frequency domain schematic of the four-tone driving scheme. Cavity mode with resonance frequency is driven by two tones at frequencies and . Cavity mode with resonance frequency is driven by two tones at frequencies and .
According to the linearized Hamiltonian (3) and Heisenberg equation of motion, the quantum Langevin equations (QLEs) can be derived by adding the damping and input noise terms phenomenologically [64,65,67,68], which yields
where is the decay rate of cavity mode with zero-mean noise operator , and is the damping rate of mechanical mode with zero-mean operator . Defining the quadratures , , , , and the corresponding input noise operators , , , , the linearized QLEs can be written in the following compact matrix form:
where is the vector of the fluctuation operators, is the vector of the corresponding noises, and the coefficient matrix
The system is stable when all of the eigenvalues of A have negative real parts, which can be derived from the Routh–Hurwitz criterion [73]. When the stability conditions are fulfilled, one can obtain in the steady state.
The steady state of the system is a zero-mean Gaussian state due to the linearized dynamics and the Gaussian nature of the input quantum noises, which is fully characterized by an correlation matrix (CM) V, with its components
When the system is stable, by substituting Equation (7) into Equation (9), we can obtain
where . According to the correlation functions that the noise operators satisfy,
where denotes the thermal phonon number of the mechanical mode with being the Boltzmann constant and T being the environment temperature, we can obtain , and Equation (10) becomes . The time evolution of the correlation matrix V satisfies [36]. In the steady state, the correlation matrix V fulfills the Lyapunov equation [30]:
which is a linear equation for V and can be straightforwardly solved for given parameters in matrix A and matrix D; but the general analytical expression is too cumbersome to be reported here. The bipartite entanglement between different modes can be quantified by the logarithmic negativity [30,31,74]
where , with . The reduced CM contains the entries of V, and it can be obtained by selecting the rows and columns of the interesting mode in V. By writing the reduced CM in a block form, we have
Note that matrix A in Equation (6) contains the phase difference ; hence, the correlation matrix V and the logarithmic negativity depend on . We will study how to control the entanglement quantified by Equation (13) in this optomechanical system by tuning the phase difference .
Furthermore, based on the correlation matrix V, the final average phonon numbers in the mechanical modes and can be calculated by
which affect the quantum entanglement in the hybrid system.
3. Results and Discussion
In this section, we choose the parameters from a recent experiment to demonstrate the numerical results about the phase-controlled entanglement in this system. The parameters are [65] MHz, MHz, MHz, MHz, Hz, Hz, and mK. The system works in the resolved sideband regime and the rotating-wave approximation is valid.
In Figure 2, we plot the logarithmic negativity between (a) the two cavity modes as well as (b) the two mechanical modes versus the optomechanical coupling strength and the phase difference . At , the optomechanical interactions cannot form a closed loop and the phase-dependent effect is absent. With the increase in the coupling strength , it is evident that the quantum entanglement depends on the phase difference . Note that cavity mode is driven on the blue (red) sideband of the mechanical mode (), while cavity mode is driven on the blue (red) sideband of the mechanical mode (). Therefore, the parametric-amplifier interaction entangles and , and the interaction entangles and . Moreover, the beam-splitter interaction swaps and , and the interaction swaps and . Consequently, the two cavity modes can be entangled via the routes and , and the two mechanical modes can also be entangled via the routes and , where the phase difference plays a vital role. At , we can see that both the cavity–cavity and mechanical–mechanical entanglement firstly decrease from an initial value to zero when increases. With further increasing above a critical value, it is shown that the quantum entanglement starts to increase again. This phenomenon is closely related to the quantum interference between the eigenmodes of the system [34].
Figure 2.
Contour plots of the logarithmic negativity between (a) the two cavity modes and (b) the two mechanical modes as functions of the coupling strength and the phase difference . Parameters are MHz, MHz, MHz, MHz, Hz, Hz, , MHz, MHz, and mK.
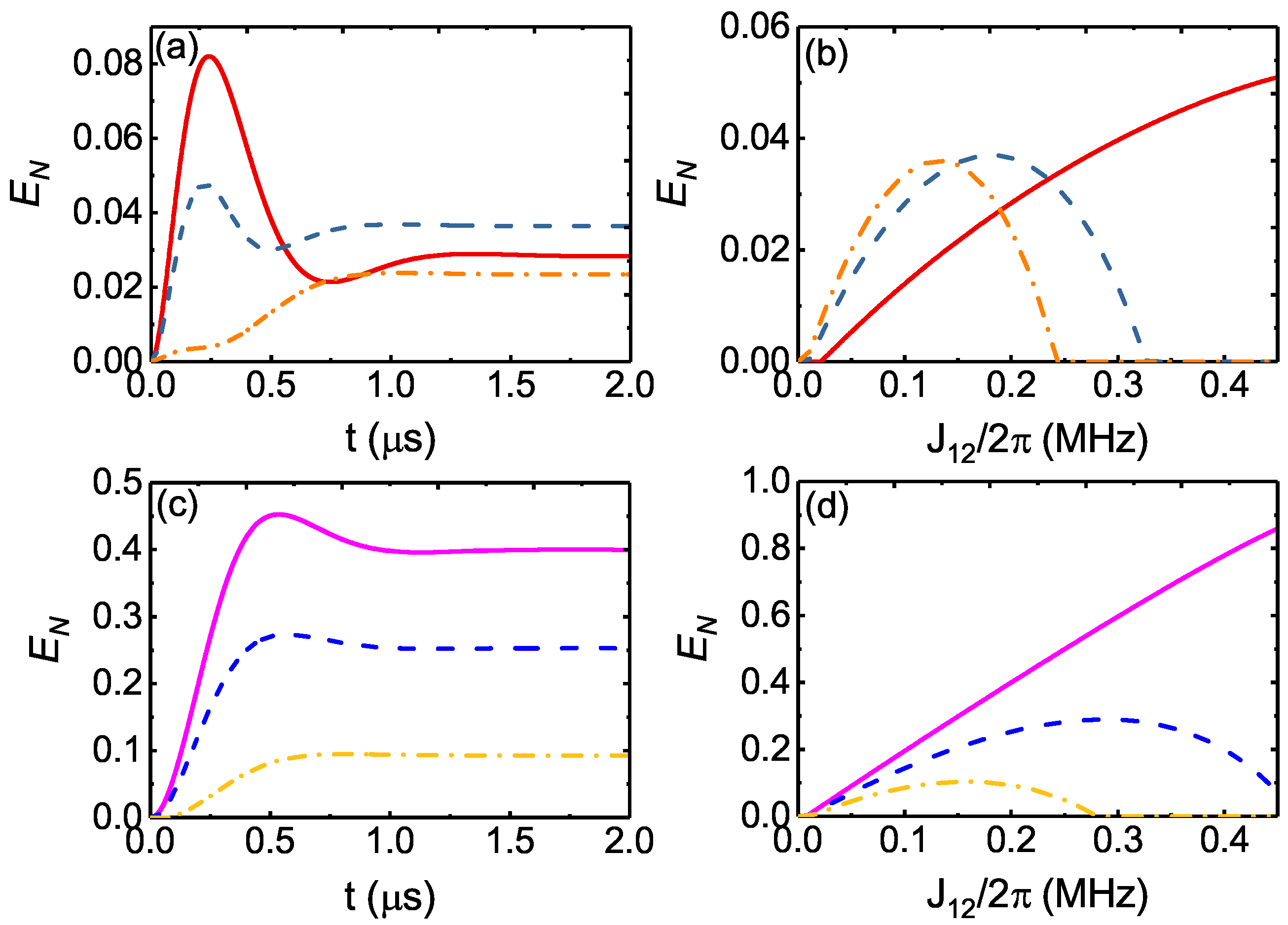
We proceed to study the effect of the entangling-interaction strength on the entanglement in Figure 3, assuming for simplicity. Figure 3a and Figure 3c plot, respectively, the dynamics of the cavity–cavity entanglement and mechanical–mechanical entanglement for , and . It is shown that stationary entanglement can be achieved after μs, which depends on the phase difference . Moreover, Figure 3b and Figure 3d plot the stationary cavity–cavity entanglement and mechanical–mechanical entanglement as functions of the entangling-interaction strength for different values of phase difference . At , both the cavity–cavity entanglement and the mechanical–mechanical entanglement are enhanced monotonically with the increase in the coupling strength in the parameter regimes. When the phase difference is tuned to be or , the stationary logarithmic negativity becomes larger and reaches the maximum with the increase of . With further increasing , the entanglement will decrease and be zero above a critical value of . On one hand, it is straightforward that the entanglement can be enhanced by increasing the coupling strengths , which are strengthened by the blue-detuned driving fields. On the other hand, increasing can suppress the cavity-cooling effect for given and increase the effective temperature of the cavity and mechanical modes, which will reduce the entanglement. In addition, when the coupling strengths and are too strong, the system will become unstable. Therefore, the maximum entanglement is achieved by balancing these two competing effects [35]. Throughout this work, we have checked numerically that the chosen parameters satisfy the stability condition.
Figure 3.
Logarithmic negativity affected by the phase difference . (a) Time evolution of the logarithmic negativity between the cavity modes and with MHz for , , and . (b) Stationary logarithmic negativity between the cavity modes and as a function of for , , and . (c) Time evolution of the logarithmic negativity between the mechanical modes and with MHz for , , and . (d) Stationary logarithmic negativity between the mechanical modes and as a function of for , , and . Here, correspond to the solid line, dashed line, and dash-dotted line, respectively. Other parameters are the same as Figure 2, except MHz. Here, we keep .
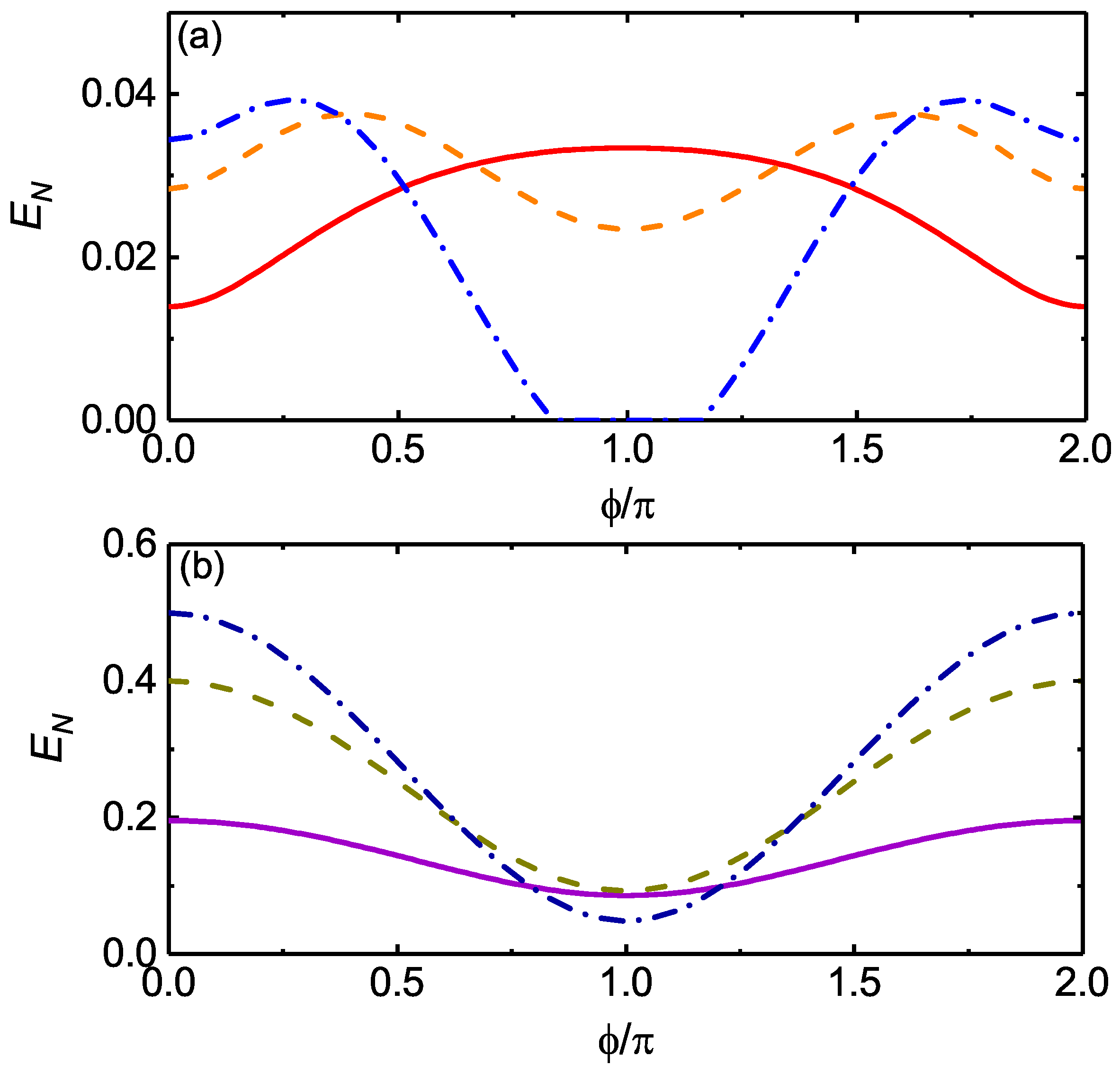
Furthermore, we study the phase dependence of the optomechanical entanglement in Figure 4. The logarithmic negativity between the two cavity modes is plotted as a function of the phase difference for different values of in Figure 4a. At MHz, the maximum cavity–cavity entanglement is achieved around and the minimum value locates at . However, when the value of is increased to be 0.2 MHz and 0.25 MHz, the peak around turns into a dip. Especially, the cavity–cavity entanglement in the vicinity of is absent for MHz. Therefore, the phase difference can be exploited as a switch of the cavity–cavity entanglement between zero and nonzero value. Similarly, Figure 4b plots the logarithmic negativity between the two mechanical modes versus the phase difference . It is shown that the mechanical–mechanical entanglement reaches the minimum at and the maximum at for , 0.2, and 0.25 MHz. Moreover, the entanglement can be strengthened monotonically by increasing the coupling strength at . Consequently, the quantum entanglement can be controlled by the phase difference in this optomechanical system.
Figure 4.
Plots of the logarithmic negativity between (a) the two cavity modes and (b) the two mechanical modes versus the phase difference for MHz (solid lines), 0.2 MHz (dashed lines), and 0.25 MHz (dash-dotted lines). The other parameters are the same as those in Figure 3.
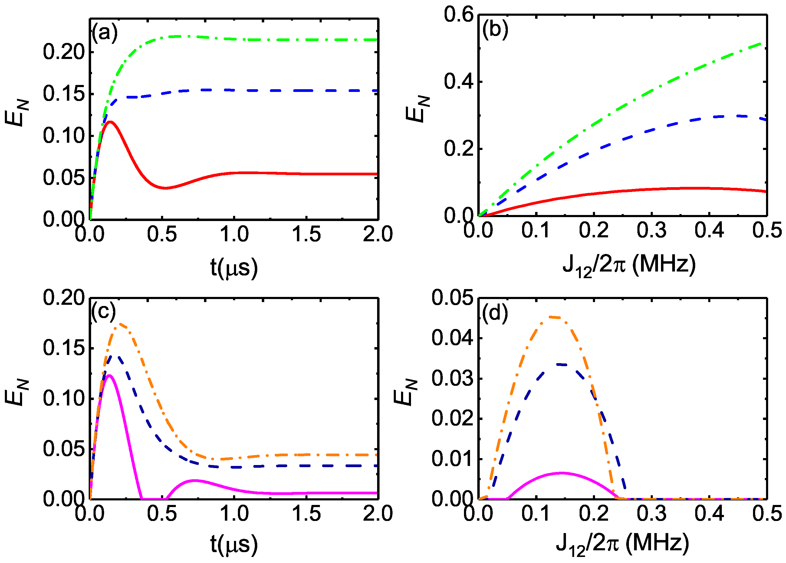
As mentioned above, the entanglement between the two cavity (mechanical) modes is realized via the entanglement transfer between the cavity and mechanical modes. In Figure 5, we study the optomechanical entanglement between the cavity mode and mechanical mode . Figure 5a plots the time evolution of the logarithmic negativity between the cavity mode and mechanical mode with MHz for different values of phase difference . It is shown that stationary entanglement can be achieved after μs and it is strengthened when the the phase difference is increased from 0 to . The logarithmic negativity between and versus the entangling-interaction strength is plotted in Figure 5b, which shows that stationary entanglement can be enhanced by increasing the strength and reaches the maximum at some critical value for and . In the chosen parameter regime, the stationary entanglement increases monotonically with the increase in for . In addition, Figure 5c plots the time evolution of the logarithmic negativity between and for , and , where stationary entanglement can also be obtained. The stationary entanglement between and versus is plotted in Figure 5d, where the maximum entanglement is achieved around MHz for various phase differences. Figure 5 also shows that the stationary entanglement between and is weaker than the entanglement between and , which is mainly due to under consideration.
Figure 5.
Logarithmic negativity between the cavity and mechanical modes affected by the phase difference . (a) Time evolution of the logarithmic negativity between the cavity mode and mechanical mode with MHz for , , and . (b) Stationary logarithmic negativity between the cavity mode and mechanical mode as a function of for various phase differences. (c) Time evolution of the logarithmic negativity between the cavity mode and mechanical mode with MHz for , , and . (d) Stationary logarithmic negativity between the cavity mode and mechanical mode versus the for various phase differences. Here, the solid line, dashed line, and dash-dotted line represent , , and , respectively. The other parameters are the same as those in Figure 3.
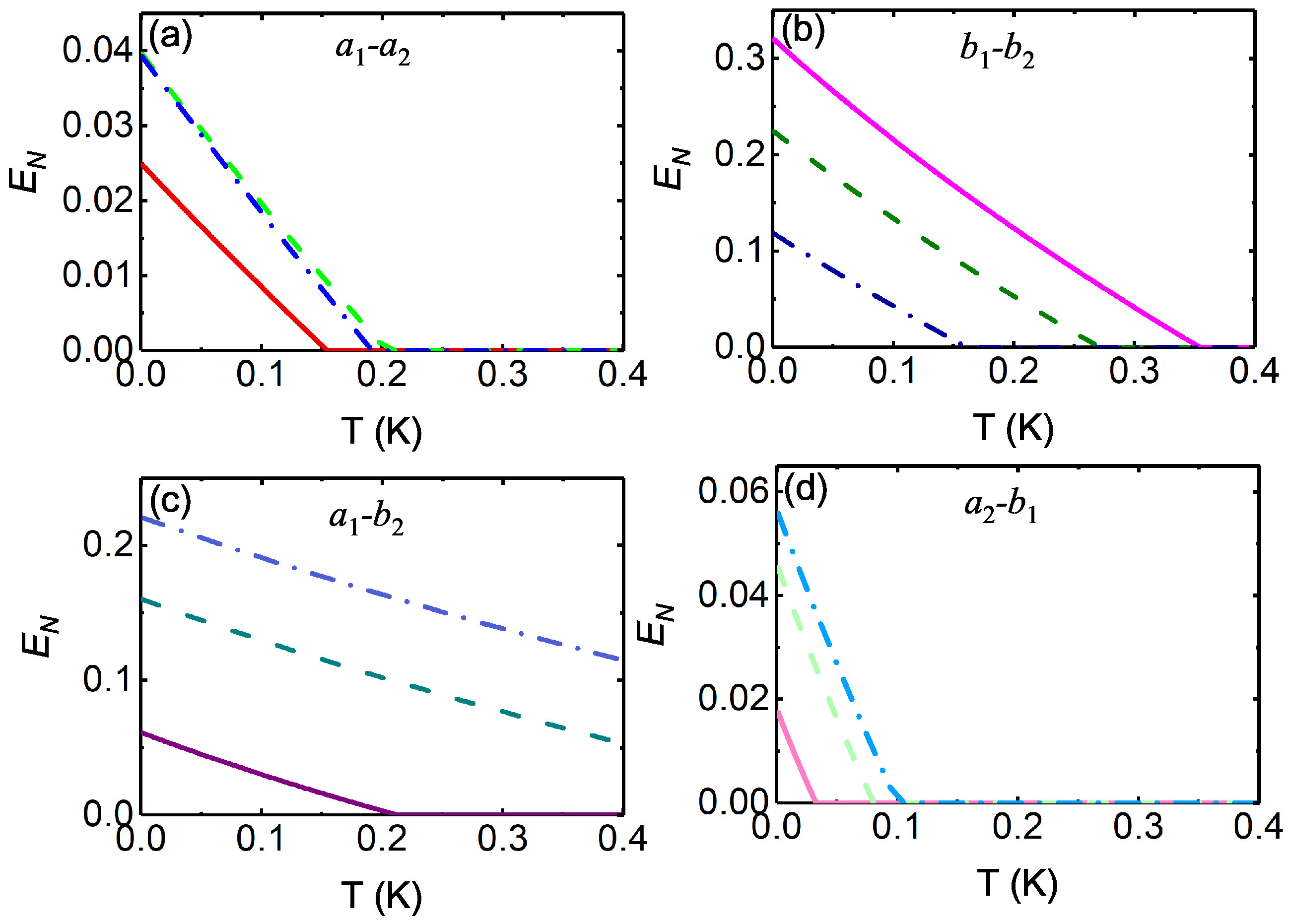
The robustness of the quantum entanglement with respect to the environmental temperature is shown in Figure 6. The value of decreases with the increasing temperature for various phase differences. Figure 6a plots the logarithmic negativity between the cavity modes and versus the temperature T. At , the cavity–cavity entanglement persists up to 150 mK. The entanglement vanishes at higher temperature for and . The entanglement between the two mechanical modes shown in Figure 6b is stronger than the cavity–cavity entanglement and survives at higher temperature. In addition, the entanglement between the cavity mode and mechanical mode versus the temperature is plotted in Figure 6c, where can be obtained for mK and . The logarithmic negativity between the cavity mode and mechanical mode is much smaller than the value in Figure 6c and survives at much lower temperature, which results from . The value of between and can be increased by reducing , but the entanglement between the two cavity (mechanical) modes will be absent in some parameter regimes shown in Figure 2.
Figure 6.
Plots of logarithmic negativity as functions of the environment temperature T for (solid lines), (dashed lines), and (dash-dotted lines). Panel (a) represents the entanglement between the two cavity modes, panel (b) represents the entanglement between the two mechanical modes, panel (c) corresponds to the entanglement between the cavity mode and mechanical mode , and panel (d) corresponds to the entanglement between the cavity mode and mechanical mode . The other parameters are the same as those in Figure 3, except MHz.
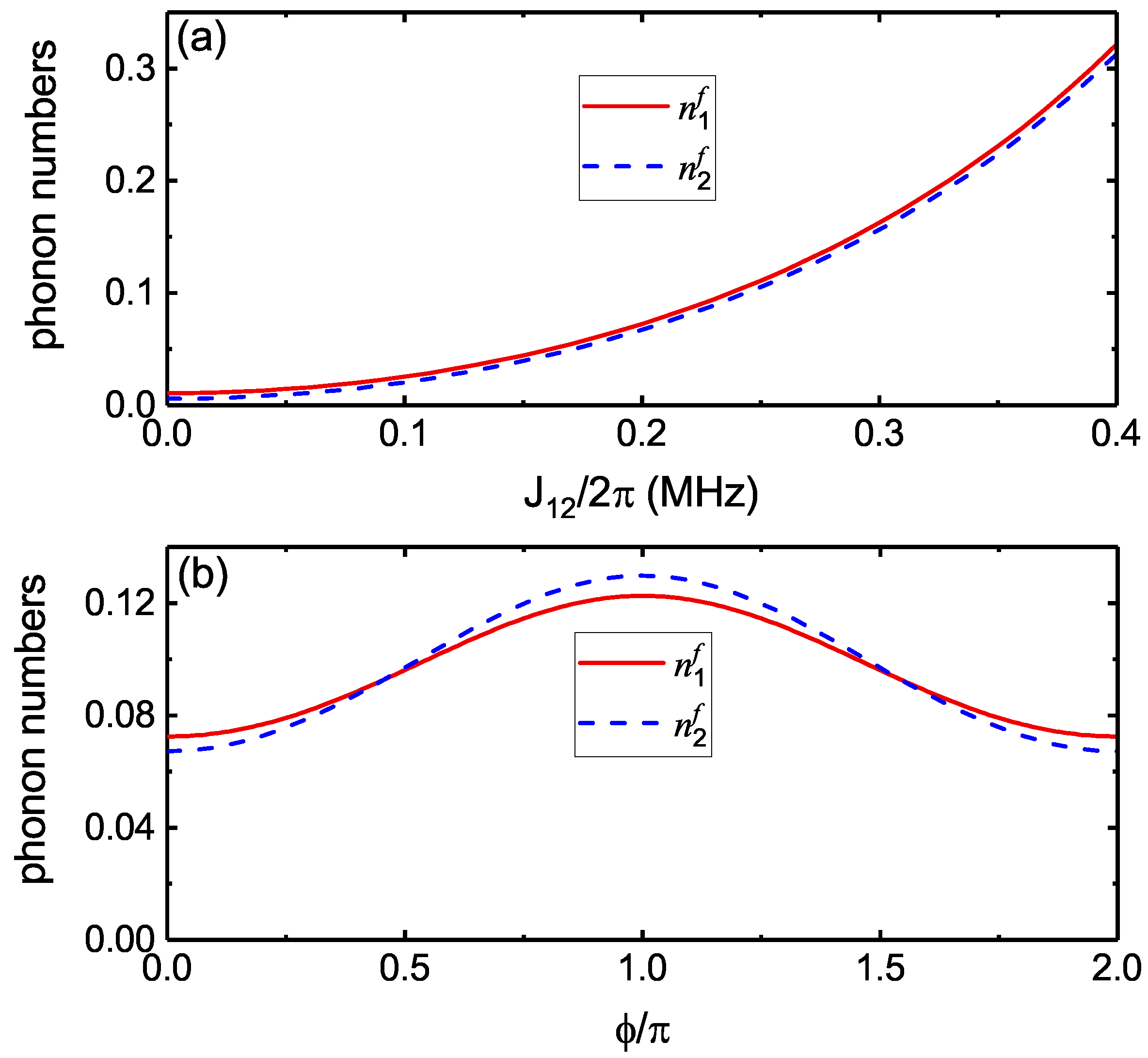
Finally, the entanglement usually survives at low final phonon numbers. The beam-splitter interaction such as can not only result in state transfer between and but also cool the mechanical mode . In Figure 7, we numerically study the final average phonon numbers and by choosing the parameters for observing the entanglement mentioned above. Figure 7a plots the phonon numbers and as a function of the optomechanical coupling strength with , which shows that both and increase monotonically with the enhancement of . The parametric-amplifier interaction is caused by driving the cavity mode on the blue sideband of mechanical mode , where a drive photon is scattered into a photon at frequency and a phonon at frequency , resulting in the monotonic increase in phonon number at larger . It is noted that quantum phase transition in the two-mode Rabi model has been recently investigated by analyzing the eigenenergy of the system [75], but quantum phase transition of the phonon number of the mechanical mode in optomechanical systems has seldom been reported. In addition, here, we show that both and are smaller than 1 in the chosen parameter regime. Therefore, simultaneous cooling of the mechanical modes and quantum entanglement can be realized in this optomechanical system. In addition, the phase dependence of phonon numbers is plotted in Figure 7b. The final average phonon numbers of the two mechanical modes reach the maximum at and the minimum at , which is contrary to the entanglement between the two mechanical modes shown in Figure 4b.
Figure 7.
The final average phonon numbers (solid line) and (dashed line) versus (a) the optomechanical coupling strength with and (b) the phase difference with MHz. The other parameters are the same as those in Figure 3.
4. Conclusions
In conclusion, we have explored the phase-controlled entanglement in a multimode optomechanical system, where two cavity modes are, respectively, coupled to two mechanical modes via radiation pressure. Four tones are applied to the cavity modes to generate the entanglement, where each cavity is driven on the red sideband and blue sideband of the two mechanical modes, respectively. The dynamics of the bipartite entanglement is studied, which shows that the stationary entanglement can be generated. We have shown that the entanglement can be effectively modulated by the phase difference between the optomechanical coupling strengths that form a loop interaction. By tuning the optomechanical coupling strengths and phase difference in some parameter regimes, we can realize simultaneously the entanglement between the two cavity mode, between the two mechanical modes, and between the cavity and mechanical modes. We also find that the entanglement is robust against temperature and the mechanical resonators can be cooled to the ground state when the entanglement is generated.
Author Contributions
Conceptualization and model, C.J.; numerical simulation, H.L. and Z.Z.; writing—original draft preparation, C.J.; writing—review and editing, G.C. and C.J. All authors have read and agreed to the published version of the manuscript.
Funding
This research was supported by National Natural Science Foundation of China (No: 11874170), Qinglan Project of Jiangsu Province of China, and Natural Science Research of Jiangsu Higher Education Institutions of China (19KJA150011).
Institutional Review Board Statement
Not applicable.
Informed Consent Statement
Not applicable.
Data Availability Statement
Not applicable.
Conflicts of Interest
The authors declare no conflict of interest.
Appendix A. Derivation of the Linearized Hamiltonian
We can linearize the Hamiltonian Equation (1) by the following two steps:
(1) Expanding the cavity modes as the sum of their steady-state field amplitudes and the small fluctuations [64,65,67,68], i.e., , where is the coherent state amplitude produced in cavity i due to the drive. Then, we can obtain the following approximation:
(2) Moving into the interaction picture with respect to [64,65,67,68],
the linearized Hamiltonian becomes
where describes the rapidly oscillating terms at frequencies and , and denotes the off-resonant terms oscillating at . Here, is the detuning of the drive tone with respect to cavity , and we consider the situation where
Under the condition , the rotation wave approximation (RWA) can be applied and the off-resonant terms can be ignored. Defining , , , and as the field-enhanced optomechanical coupling strengths, the linearized Hamiltonian can be written as
which is Equation (2) in the main text.
References
- Berkley, A.J.; Xu, H.; Ramos, R.C.; Gubrud, M.A.; Strauch, F.W.; Johnson, P.R.; Anderson, J.R.; Dragt, A.J.; Lobb, C.J.; Wellstood, F.C. Entangled macroscopic quantum states in two superconducting qubits. Science 2003, 300, 1548–1550. [Google Scholar] [CrossRef] [PubMed]
- Julsgaard, B.; Kozhekin, A.; Polzik, E.S. Experimental long-lived entanglement of two macroscopic objects. Nature 2001, 413, 400–403. [Google Scholar] [CrossRef] [PubMed]
- Chou, C.W.; Riedmatten, H.; Felinto, D.; Polyakov, S.V.; van Enk, S.J.; Kimble, H.J. Measurement-induced entanglement for excitation stored in remote atomic ensembles. Nature 2005, 438, 828–832. [Google Scholar] [CrossRef]
- Ritter, S.; Nölleke, C.; Hahn, C.; Reiserer, A.; Neuzner, A.; Uphoff, M.; Mücke, M.; Figueroa, E.; Bochmann, J.; Rempe, G. An elementary quantum network of single atoms in optical cavities. Nature 2012, 484, 195–200. [Google Scholar] [CrossRef]
- Moehring, D.L.; Maunz, P.; Olmschenk, S.; Younge, K.C.; Matsukevich, D.N.; Duan, L.-M.; Monroe, C. Entanglement of single-atom quantum bits at a distance. Nature 2007, 449, 68–71. [Google Scholar] [CrossRef]
- Hensen, B.; Bernien, H.; Dréau, A.E.; Reiserer, A.; Kalb, N.; Blok, M.S.; Ruitenberg, J.; Vermeulen, R.F.L.; Schouten, R.N.; Abellán, C.; et al. Loophole-free Bell inequality violation using electron spins separated by 1.3 kilometres. Nature 2015, 526, 682–686. [Google Scholar] [CrossRef]
- O’Connell, A.D.; Hofheinz, M.; Ansmann, M.; Bialczak, R.C.; Lenander, M.; Lucero, E.; Neeley, M.; Sank, D.; Wang, H.; Weides, M.; et al. Quantum ground state and single-phonon control of a mechanical resonator. Nature 2010, 464, 697–703. [Google Scholar] [CrossRef]
- Yeo, I.; Assis, P.L.; Gloppe, A.; Dupont-Ferrier, E.; Verlot, P.; Malik, N.S.; Dupuy, E.; Claudon, J.; Gérard, J.-M.; Auffêves, A.; et al. Strain-mediated coupling in a quantum dot-mechanical oscillator system. Nat. Nanotechnol. 2014, 9, 106–110. [Google Scholar] [CrossRef]
- Kolkowitz, S.; Jayich, A.C.B.; Unterreithmeier, Q.P.; Bennett, S.D.; Rabl, P.; Harris, J.G.E.; Lukin, M.D. Coherent sensing of a mechanical resonator with a single-spin qubit. Science 2012, 335, 1603–1606. [Google Scholar] [CrossRef]
- Hunger, D.; Camerer, S.; Hänsch, T.W.; König, D.; Kotthaus, J.P.; Reichel, J.; Treutlein, P. Resonant coupling of a Bose-Einstein Condensate to a micromechanical oscillator. Phys. Rev. Lett. 2010, 104, 143002. [Google Scholar] [CrossRef]
- Thomas, R.A.; Parniak, M.; Østfeldt, C.; Møller, C.B.; Bærentsen, C.; Tsaturyan, Y.; Schliesser, A.; Appel, J.; Zeuthen, E.; Polzik, E.S. Entanglement between distant macroscopic mechanical and spin systems. Nat. Phys. 2021, 17, 228–233. [Google Scholar] [CrossRef]
- Bienfait, A.; Satzinger, K.J.; Zhong, Y.P.; Chang, H.S.; Chou, M.H.; Conner, C.R.; Dumur, E.; Grebel, J.; Peairs, G.A.; Povey, R.G.; et al. Phonon-mediated quantum state transfer and remote qubit entanglement. Science 2019, 364, 368–371. [Google Scholar] [CrossRef] [PubMed]
- Kimble, H.J. The quantum internet. Nature 2008, 453, 1023–1030. [Google Scholar] [CrossRef] [PubMed]
- Aspelmeyer, M.; Kippenberg, T.J.; Marquardt, F. Cavity optomechanics. Rev. Mod. Phys. 2014, 86, 1391–1452. [Google Scholar] [CrossRef]
- Stannigel, K.; Rabl, P.; Sørensen, A.S.; Zoller, P.; Lukin, M.D. Optomechanical transducers for long-distance quantum communication. Phys. Rev. Lett. 2010, 105, 220501. [Google Scholar] [CrossRef]
- Wang, Y.D.; Clerk, A.A. Using interference for high fidelity quantum state transfer in optomechanics. Phys. Rev. Lett. 2012, 108, 153603. [Google Scholar] [CrossRef]
- Tian, L. Adiabatic state conversion and pulse transmission in optomechanical systems. Phys. Rev. Lett. 2012, 108, 153604. [Google Scholar] [CrossRef]
- Barzanjeh, S.; Abdi, M.; Milburn, G.J.; Tombesi, P.; Vitali, D. Reversible optical-to-microwave quantum interface. Phys. Rev. Lett. 2012, 109, 130503. [Google Scholar] [CrossRef]
- Andrews, R.W.; Peterson, R.W.; Purdy, T.P.; Cicak, K.; Simmonds, R.W.; Regal, C.A.; Lehnert, K.W. Bidirectional and efficient conversion between microwave and optical light. Nat. Phys. 2014, 10, 321–326. [Google Scholar] [CrossRef]
- Dong, C.H.; Wang, Y.D.; Wang, H.L. Optomechanical interfaces for hybrid quantum networks. Natl. Sci. Rev. 2015, 2, 510–519. [Google Scholar] [CrossRef]
- Forsch, M.; Stockill, R.; Wallucks, A.; Marinković, I.; Gärtner, C.; Norte, R.A.; van Otten, F.; Fiore, A.; Srinivasan, K.; Gröblacher, S. Microwave-to-Optics conversion using a mechanical oscillator in its quantum ground state. Nat. Phys. 2020, 16, 69–74. [Google Scholar] [CrossRef] [PubMed]
- Jiang, W.T.; Sarabalis, C.J.; Dahmani, Y.D.; Patel, R.N.; Mayor, F.M.; McKenna, T.P.; Laer, R.V.; Safavi-Naeini, A.H. Efficient bidirectional piezo-optomechanical transduction between microwave and optical frequency. Nat. Commun. 2020, 11, 1166. [Google Scholar] [CrossRef] [PubMed]
- Teufel, J.D.; Donner, T.; Li, D.; Harlow, J.W.; Allman, M.S.; Cicak, K.; Sirois, A.J.; Whittaker, J.D.; Lehnert, K.W.; Simmonds, R.W. Sideband cooling of micromechanical motion to the quantum ground state. Nature 2011, 475, 359–363. [Google Scholar] [CrossRef] [PubMed]
- Chan, J.; Alegre, T.P.M.; Safavi-Naeini, A.H.; Hill, J.T.; Krause, A.; Gröblacher, S.; Aspelmeyer, M.; Painter, O. Laser cooling of a nanomechanical oscillator into its quantum ground state. Nature 2011, 478, 89–92. [Google Scholar] [CrossRef] [PubMed]
- Delić, U.; Reisenbauer, M.; Dare, K.; Grass, D.; Vuletic, V.; Kiesel, N.; Aspelmeyer, M. Cooling of a levitated nanoparticle to the motional quantum ground state. Science 2020, 367, 892–895. [Google Scholar] [CrossRef]
- Safavi-Naeini, A.H.; Gröblacher, S.; Hill, J.T.; Chan, J.; Aspelmeyer, M.; Painter, O. Squeezed light from a silicon micromechanical resonator. Nature 2013, 500, 185–189. [Google Scholar] [CrossRef]
- Purdy, T.P.; Yu, P.L.; Peterson, R.W.; Kampel, N.S.; Regal, C.A. Strong optomechanical squeezing of light. Phys. Rev. X 2013, 3, 031012. [Google Scholar] [CrossRef]
- Wollman, E.E.; Lei, C.U.; Weinstein, A.J.; Suh, J.; Kronwald, A.; Marquardt, F.; Clerk, A.A.; Schwab, K.C. Quantum squeezing of motion in a mechanical resonator. Science 2015, 349, 952–955. [Google Scholar] [CrossRef]
- Pirkkalainen, J.M.; Damskägg, E.; Brandt, M.; Massel, F.; Sillanpää, M.A. Squeezing of quantum noise of motion in a micromechanical resonator. Phys. Rev. Lett. 2015, 115, 243601. [Google Scholar] [CrossRef]
- Vitali, D.; Gigan, S.; Ferreira, A.; Böhm, H.R.; Tombesi, P.; Guerreiro, A.; Vedral, V.; Zeilinger, A.; Aspelmeyer, M. Optomechanical entanglement between a movable mirror and a cavity field. Phys. Rev. Lett. 2007, 98, 030405. [Google Scholar] [CrossRef]
- Genes, C.; Mari, A.; Tombesi, P.; Vitali, D. Robust entanglement of a micromechanical resonator with output optical fields. Phys. Rev. A 2008, 78, 032316. [Google Scholar] [CrossRef]
- Barzanjeh, S.; Vitali, D.; Tombesi, P.; Milburn, G.J. Entangling optical and microwave cavity modes by means of a nanomechanical resonator. Phys. Rev. A 2011, 84, 042342. [Google Scholar] [CrossRef]
- Kuzyk, M.C.; Enk, S.J.; Wang, H.L. Generating robust optical entanglement in weak-coupling optomechanical systems. Phys. Rev. A 2013, 88, 062341. [Google Scholar] [CrossRef]
- Tian, L. Robust photon entanglement via quantum interference in optomechanical interfaces. Phys. Rev. Lett. 2013, 110, 233602. [Google Scholar] [CrossRef] [PubMed]
- Wang, Y.D.; Clerk, A.A. Reservoir-engineered entanglement in optomechanical systems. Phys. Rev. Lett. 2013, 110, 253601. [Google Scholar] [CrossRef]
- Wang, G.L.; Huang, L.; Lai, Y.C.; Grebogi, C. Nonlinear dynamics and quantum entanglement in optomechanical systems. Phys. Rev. Lett. 2014, 112, 110406. [Google Scholar] [CrossRef]
- Liao, J.Q.; Wu, Q.Q.; Nori, F. Entangling two macroscopic mechanical mirrors in a two-cavity optomechanical system. Phys. Rev. A 2014, 89, 014302. [Google Scholar] [CrossRef]
- Wang, M.; Lu, X.Y.; Wang, Y.D.; You, J.Q.; Wu, Y. Macroscopic quantum entanglement in modulated optomechanics. Phys. Rev. A 2016, 94, 053807. [Google Scholar] [CrossRef]
- Sun, F.X.; Mao, D.; Dai, Y.T.; Ficek, Z.; He, Q.Y.; Gong, Q.H. Phase control of entanglement and quantum steering in a three-mode optomechanical system. New J. Phys. 2017, 19, 123039. [Google Scholar] [CrossRef]
- Li, J.; Li, G.; Zippilli, S.; Vitali, D.; Zhang, T. Enhanced entanglement of two different mechanical resonators via coherent feedback. Phys. Rev. A 2017, 95, 043819. [Google Scholar] [CrossRef]
- Qin, L.G.; Wang, Z.Y.; Ma, H.Y.; Zhang, C.M.; Ren, L.; Wang, L.L.; Gong, S.Q. Optomechanical entanglement switch in the hybrid opto-electromechanical device. JOSA B 2019, 36, 1544–1550. [Google Scholar] [CrossRef]
- Hu, C.S.; Liu, Z.Q.; Liu, Y.; Shen, L.T.; Wu, H.; Zheng, S.B. Entanglement beating in a cavity optomechanical system under two-field driving. Phys. Rev. A 2020, 101, 033810. [Google Scholar] [CrossRef]
- Zhang, Y.L.; Yang, C.S.; Shen, Z.; Dong, C.H.; Guo, G.C.; Zou, C.L.; Zou, X.B. Enhanced optomechanical entanglement and cooling via dissipation engineering. Phys. Rev. A 2020, 101, 063836. [Google Scholar] [CrossRef]
- Zhong, C.C.; Han, X.; Tang, H.X.; Jiang, L. Entanglement of microwave-optical modes in a strongly coupled electro-optomechanical system. Phys. Rev. A 2020, 101, 032345. [Google Scholar] [CrossRef]
- Li, G.Y.; Nie, W.J.; Wu, Y.; Liao, Q.; Chen, A.; Lan, Y. Manipulating the steady-state entanglement via three-level atoms in a hybrid levitated optomechanical system. Phys. Rev. A 2020, 102, 063501. [Google Scholar] [CrossRef]
- Jiao, Y.F.; Zhang, S.D.; Zhang, Y.L.; Miranowicz, A.; Kuang, L.M.; Jing, H. Nonreciprocal optomechanical entanglement against backscattering losses. Phys. Rev. Lett. 2020, 125, 143605. [Google Scholar] [CrossRef]
- Lin, Q.; He, B.; Xiao, M. Entangling two macroscopic mechanical resonators at high temperature. Phys. Rev. Appl. 2020, 13, 034030. [Google Scholar] [CrossRef]
- Jiang, C.; Tserkis, S.; Collins, K.; Onoe, S.; Li, Y.; Tian, L. Switchable bipartite and genuine tripartite entanglement via an optoelectromechanical interface. Phys. Rev. A 2020, 101, 042320. [Google Scholar] [CrossRef]
- Palomaki, T.A.; Teufel, J.D.; Simmonds, R.W.; Lehnert, K.W. Entangling mechanical motion with microwave fields. Science 2013, 342, 710–713. [Google Scholar] [CrossRef]
- Ockeloen-Korppi, C.F.; Damskägg, E.; Pirkkalainen, J.M.; Asjad, M.; Clerk, A.A.; Massel, F.; Woolley, M.J.; Sillanpää, M.A. Stabilized entanglement of massive mechanical oscillators. Nature 2018, 556, 478–482. [Google Scholar] [CrossRef]
- Riedinger, R.; Wallucks, A.; Marinković, I.; Löschnauzer, C.; Aspelmeyer, M.; Hong, S.; Gröblacher, S. Remote quantum entanglement between two micromechanical oscillators. Nature 2018, 556, 473–477. [Google Scholar] [CrossRef] [PubMed]
- de Lépinay, L.M.; Ockeloen-Korppi, C.F.; Woolley, M.J.; Sillanpää, M.A. Quantum mechanics–free subsystem with mechanical oscillators. Science 2021, 372, 625. [Google Scholar] [CrossRef] [PubMed]
- Kotler, S.; Peterson, G.A.; Shojaee, E.; Lecocq, F.; Cicak, K.; Kwiatkowski, A.; Geller, S.; Glancy, S.; Knill, E.; Simmonds, R.W.; et al. Direct observation of deterministic macroscopic entanglement. Science 2021, 372, 622. [Google Scholar] [CrossRef]
- Chen, J.X.; Rossi, M.; Mason, D.; Schliesser, A. Entanglement of propagating optical modes via a mechanical interface. Nat. Commun. 2020, 11, 943. [Google Scholar] [CrossRef] [PubMed]
- Barzanjeh, S.; Redchenko, E.S.; Peruzzo, M.; Wulf, M.; Lewis, D.P.; Arnold, G.; Fink, J.M. Stationary entangled radiation from micromechanical motion. Nature 2019, 570, 480–483. [Google Scholar] [CrossRef]
- Xu, X.W.; Li, Y.; Chen, A.X.; Liu, Y. Nonreciprocal conversion between microwave and optical photons in electro-optomechanical systems. Phys. Rev. A 2016, 93, 023827. [Google Scholar] [CrossRef]
- Li, Y.; Huang, Y.Y.; Zhang, X.Z.; Tian, L. Optical directional amplification in a three-mode optomechanical system. Opt. Express 2017, 25, 18907. [Google Scholar] [CrossRef]
- Zhang, X.Z.; Tian, L.; Li, Y. Optomechanical transistor with mechanical gain. Phys. Rev. A 2018, 97, 043818. [Google Scholar] [CrossRef]
- Tian, L.; Li, Z. Nonreciprocal quantum-state conversion between microwave and optical photons. Phys. Rev. A 2017, 96, 013808. [Google Scholar] [CrossRef]
- Jiang, C.; Song, L.N.; Li, Y. Directional amplifier in an optomechanical system with optical gain. Phys. Rev. A 2018, 97, 053812. [Google Scholar] [CrossRef]
- Ruesink, F.; Miri, M.A.; Alù, A.; Verhagen, E. Nonreciprocity and magnetic-free isolation based on optomechanical interactions. Nat. Commun. 2016, 7, 13662. [Google Scholar] [CrossRef] [PubMed]
- Miri, M.A.; Ruesink, F.; Verhagen, E.; Alù, A. Optical nonreciprocity based on optomechanical coupling. Phys. Rev. Appl. 2017, 7, 064014. [Google Scholar] [CrossRef]
- Fang, K.J.; Luo, J.; Metelmann, A.; Matheny, M.H.; Marquardt, F.; Clerk, A.A.; Painter, O. Generalized non-reciprocity in an optomechanical circuit via synthetic magnetism and reservoir engineering. Nat. Phys. 2017, 13, 465. [Google Scholar] [CrossRef]
- Bernier, N.R.; Tóth, L.D.; Koottavida, A.; Ioannou, M.A.; Malz, D.; Nunnenkamp, A.; Feofanov, A.K.; Kippenberg, T.J. Nonreciprocal reconfigurable microwave optomechanical circuit. Nat. Commun. 2017, 8, 604. [Google Scholar] [CrossRef] [PubMed]
- Barzanjeh, S.; Wulf, M.; Peruzzo, M.; Kalaee, M.; Dieterle, P.B.; Painter, O.; Fink, J.M. Mechanical on-chip microwave circulator. Nat. Commun. 2017, 8, 953. [Google Scholar] [CrossRef]
- Peterson, G.A.; Lecocq, F.; Cicak, K.; Simmonds, R.W.; Aumentado, J.; Teufel, J.D. Demonstration of efficient nonreciprocity in a microwave optomechanical circuit. Phys. Rev. X 2017, 7, 031001. [Google Scholar] [CrossRef]
- de Lépinay, L.M.; Damskägg, E.; Ockeloen-Korppi, C.F.; Sillanpää, M.A. Realization of directional amplification in a microwave optomechanical device. Phys. Rev. Appl. 2019, 11, 034027. [Google Scholar] [CrossRef]
- Malz, D.; Tóth, L.D.; Bernier, N.R.; Feofanov, A.K.; Kippenberg, T.J.; Nunnenkamp, A. Quantum-limited directional amplifiers with optomechanics. Phys. Rev. Lett. 2018, 120, 023601. [Google Scholar] [CrossRef]
- Shen, Z.; Zhang, Y.L.; Chen, Y.; Sun, F.W.; Zou, X.B.; Guo, G.C.; Zou, C.L.; Dong, C.H. Reconfigurable optomechanical circulator and directional amplifier. Nat. Commun. 2018, 9, 1797. [Google Scholar] [CrossRef]
- Ruesink, F.; Mathew, J.P.; Miri, M.A.; Alù, A.; Verhagen, E. Optical circulation in a multimode optomechanical resonator. Nat. Commun. 2018, 9, 1798. [Google Scholar] [CrossRef]
- Lai, D.G.; Liao, J.Q.; Miranowicz, A.; Nori, F. Noise-tolerant optomechanical entanglement via synthetic magnetism. Phys. Rev. Lett. 2022, 129, 063602. [Google Scholar] [CrossRef] [PubMed]
- Liu, J.X.; Jiao, Y.F.; Li, Y.; Xu, X.W.; He, Q.Y.; Jing, H. Phase-controlled asymmetric optomechanical entanglement against defect losses. arXiv 2022, arXiv:2209.12508. [Google Scholar]
- DeJesus, E.X.; Kaufman, C. Routh-Hurwitz criterion in the examination of eigenvalues of a system of nonlinear ordinary differential equations. Phys. Rev. A 1987, 35, 5288. [Google Scholar] [CrossRef] [PubMed]
- Adesso, G.; Serafini, A.; Illuminati, F. Extremal entanglement and mixedness in continuous variable systems. Phys. Rev. A 2004, 70, 022318. [Google Scholar] [CrossRef]
- Shen, L.T.; Yang, J.W.; Zhong, Z.R.; Yang, Z.B.; Zheng, S.B. Quantum phase transition and quench dynamics in the two-mode Rabi model. Phys. Rev. A 2021, 104, 063703. [Google Scholar] [CrossRef]
Publisher’s Note: MDPI stays neutral with regard to jurisdictional claims in published maps and institutional affiliations. |
© 2022 by the authors. Licensee MDPI, Basel, Switzerland. This article is an open access article distributed under the terms and conditions of the Creative Commons Attribution (CC BY) license (https://creativecommons.org/licenses/by/4.0/).






