Abstract
In this paper, a metal–insulator–metal (MIM) surface plasmon waveguide structure is proposed and numerically investigated. It is composed of a square-ring cavity with a silver baffle, an isosceles triangle cavity, and a bus waveguide with a silver baffle. The results show that the structure can produce triple Fano resonances that can be independently tuned by changing the structural parameters. The detection of refractive indexes at different positions in the structure was also accomplished, with a maximum sensitivity of 2259.56 nm/RIU. On the basis of this, the simultaneous measurement of multiple parameters (plasma concentration and glucose concentration) was performed. The numerical simulation results are beneficial to the applications of MIM waveguide structure in nanosensing and biosensing with time-sharing or simultaneous measurement of multiple parameters.
1. Introduction
Fano resonance is a universal resonance phenomenon first proposed by Ugo Fano in 1961, and it has been proven to be caused by the interference between discrete and continuous states in atomic systems [1,2,3,4]. Different from Lorentz resonance, the Fano resonance line shape is very sharp, so small changes in the geometry or the surrounding environment can usually lead to a great impact on Fano resonance, resulting in high sensing sensitivity [5,6,7,8,9]. Surface plasmon polaritons (SPPs) are electromagnetic waves propagating along the metal–dielectric interface that can be used in biomedical [10], chemistry [11], and information technology [12,13]. SPPs are excited by the interaction between incident photons and free electrons on the metal surface, and they can break the limitation of traditional optical diffraction. The metal–insulator–metal (MIM) waveguide structure is a typical surface plasmon waveguide used to produce SPPs. The MIM waveguide with SPPs has the advantages of high efficiency and simple structure, and Sekkat et al. theoretically accomplished giant field intensity enhancement with a maximum enhancement factor of 107, which has applications in ultra-sensing and enhanced spectroscopy [14,15,16]. To date, the MIM waveguide with SPPs has been widely used in optical integration [17,18,19,20,21,22,23] and designed into a variety of optoelectronic devices [24,25,26,27].
In the past few years, Fano resonance based on MIM waveguides has been proposed for different applications, such as filters [25,26,27], slow-light devices [18,28,29], and especially sensors [30,31,32,33,34,35,36]. Meanwhile, more and more researchers are turning their research focus to the independent tunability of Fano resonance because it may make MIM waveguide sensing devices more flexible and functional [12,15,19,20,21,22,23,24,33]. For example, Fu et al. proposed a cross rectangular cavity on two MIM waveguides that could achieve double Fano resonances, and the positions of the resonances could be manipulated independently by changing the size of the rectangular cavity [37]. Liu et al. reported an MIM structure with a semi-ring cavity and obtained triple Fano resonances that could be independently tuned well by changing the parameters of the semi-ring cavity [33]. Zhou et al. also achieved independently adjustable multiple Fano resonances in an MIM waveguide consisting of two stub resonators and a ring resonator, and the maximum sensitivity of the refractive index sensing was up to 1650 nm/RIU [38]. Although the independent tuning of Fano resonance has been achieved, its application has not been fully investigated and is still unclear. We found that it could be used to achieve time-sharing or simultaneous measurement of multiple parameters, which might greatly promote the applications of Fano resonance in integrated optical sensing and biosensing.
In this paper, a metal–insulator–metal (MIM) waveguide structure with a square-ring cavity and an isosceles triangle cavity is proposed and numerically investigated to produce multiple Fano resonances. The independent tuning of triple Fano resonances is discussed by changing the structural parameters. Then, the detection of refractive indexes at different positions in the structure is investigated by utilizing different Fano resonances. Finally, the simultaneous measurement of the plasma concentration and glucose concentration is performed in the structure.
2. Materials and Methods
Figure 1 shows the proposed MIM waveguide structure consisting of a square ring cavity with a silver baffle (SRCSB), an isosceles triangle cavity (ITC), and a bus waveguide with a silver baffle. The blue and white parts are defined as silver and air. The relative permittivity of air is , and the complex relative permittivity of silver is characterized by the Drude model [39]:
where is the relative permittivity at infinite frequency, is the angular frequency of incident light, is the plasma frequency, and is the damping frequency.
Figure 1.
Scheme of the MIM waveguide structure composed of a square ring cavity with a silver baffle, an isosceles triangle cavity, and a bus waveguide with a silver baffle.
As shown in Figure 1, w is the width of the bus waveguide, and t is the length of the silver baffle in the bus waveguide. b and H are the height and the bottom edge length of the ITC, respectively. In the SRCSB, L is the side length of the external square, d is the width of the silver baffle in the square, R is the radius of the internal circle, and a is the shortest distance between the internal circle and the external square. G1 is the distance between the ITC and the bus waveguide, while G2 is the distance between the SRCSB and the bus waveguide. The basic fabrication of the structure began with the preparation of an adequately thick Ag layer on a silicon substrate using chemical vapor deposition (CVD). Then, the bus waveguide, ITC, and SRCSB were etched onto the Ag layer using the electron beam etching technique.
According to the standing wave theory, the resonant wavelengths can be obtained by the resonant condition [40,41]:
where λ is the resonant wavelength, Leff is the effective length of the resonant cavity, φ is the phase shift caused by the reflection, Re(neff) is the real part of the effective refractive index, and m is the resonant mode order.
3. Results
Fano resonance can be achieved by the interference of broadband continuous states and narrowband discrete states, so we first investigated the transmission characteristics of the structure. The parameters used here were set as t = 10 nm, b = 300 nm, H = 450 nm, d = 10 nm, a = 10 nm, R = 180 nm, L = 2(a + R) = 400 nm, and G1 = G2 = 10 nm. w was set at 50 nm in order to make only the basic transverse magnetic mode exist in the structure. Figure 2 shows the transmission spectra of the structure without the silver baffle in the bus waveguide, the bus waveguide with the silver baffle, and the whole structure. The bus waveguide with the silver baffle provided a broadband continuous state for the structure, as shown by the blue line. In the absence of the silver baffle in the bus waveguide, the SRCSB and ITC coupled with the bus waveguide produced three transmission dips at 1041 nm, 1662 nm, and 2237 nm, which can be seen as narrowband discrete states indicated by the red line. Because of the interference between the continuous state and the discrete states, the whole structure formed three asymmetric Fano resonances at 1033 nm (FR1), 1617 nm (FR2), and 2208 nm (FR3).
Figure 2.
Transmission spectra of the structure without the silver baffle in the bus waveguide (red line), the bus waveguide with the silver baffle (blue line), and the whole structure (black line).
Figure 3a–c shows the magnetic field distributions () of FR1, FR2, and FR3, and Figure 3d–f shows the corresponding height expressions. In the SRCSB and ITC, the magnetic field distributions of FR1, FR2, and FR3 were all symmetric about the y-axis. Almost all the energy of FR1 was limited to the top of the ITC and mainly affected by H, indicating that the generation of FR1 is highly correlated with the ICT. On the other hand, almost no energy of FR2 or FR3 was in the ICT, and most energy was confined in the SRCSB; this means FR2 and FR3 depend on the SRCSB and are mainly affected by R. According to the above analysis, FR1 may be determined by the ITC, and FR2 and FR3 may be mainly determined by the SRCSB. Compared with H and R, other structural parameters had relatively little influence on the magnetic field distributions. Thus, triple Fano resonances can be effectively tuned by changing H and R.
Figure 3.
(a–c) Magnetic field patterns of FR1, FR2, and FR3. (d–f) Height expressions of the magnetic field patterns of FR1, FR2, and FR3.
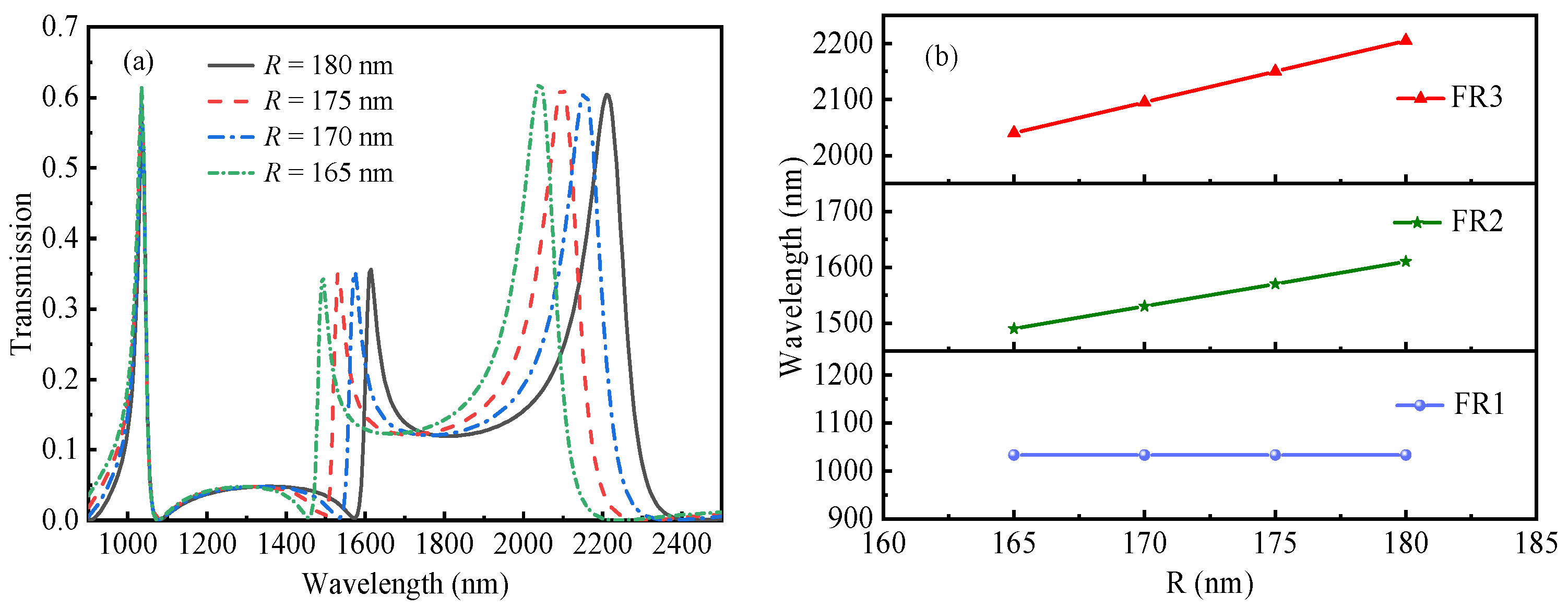
Next, the influences of the structural parameters of the ITC and SRCSB on Fano resonances were investigated. In Figure 4, the height of the ITC is increased from 450 nm to 480 nm with a step of 10 nm, while other structural parameters remain unchanged. With the increase of the height of the ITC, the effective length of the resonant cavity for FR1 also increased, but that for FR2 and FR3 did not change. Therefore, FR1 made an obvious redshift from 1033 nm to 1095 nm, and FR2 and FR3 were fixed at 1617 nm and 2208 nm, as shown in Figure 4a. Meanwhile, there was no change in the transmittance of FR2 and FR3. Figure 4b shows the linear fitting relationships between the height of the ITC and the resonant wavelengths of FR1, FR2, and FR3, and the corresponding linear correlation coefficients were all greater than 0.999. In Figure 5, the radius of the internal circle of the SRCSB is decreased from 180 nm to 165 nm with a step of 5 nm. In this case, the effective length of the resonant cavity for FR2 and FR3 was reduced, and that for FR1 was fixed. Then, FR2 and FR3 had obvious blueshifts from 1613 nm to 1491 nm and from 2212 nm to 2041 nm, respectively. The linear fitting relationships between the radius of the internal circle of the SRCSB and the resonant wavelengths of FR1, FR2, and FR3 also had good performances of linearity, as shown in Figure 5b. It can be seen that the Fano resonances can be independently tuned by changing the structural parameters, and the linearities of the tunings were fairly good, which may be applied to the simultaneous measurement of multiple parameters.
Figure 4.
(a) Transmission spectra of the structure with different heights (H) of the ITC. (b) Linear relationships between H and the resonant wavelengths of FR1 (blue), FR2 (green), and FR3 (red). (The parameters are t = 10 nm, b = 300 nm, d = 10 nm, a = 10 nm, R = 180 nm, L = 2(a + R), and G1 = G2 = 10 nm.)
Figure 5.
(a) Transmission spectra of the structure with different radii (R) of the internal circle of the SRCSB. (b) Linear relationships between R and the resonant wavelengths of FR1 (blue), FR2 (green), and FR3 (red). (The parameters are t = 10 nm, b = 300 nm, H = 450 nm, d = 10 nm, a = 10 nm, L = 2(a + R), and G1 = G2 = 10 nm.)
In practice, the refractive index of the structure may be easier to adjust to achieve an independent tuning of Fano resonance more suitable for sensing. It is necessary to investigate the refractive index sensing characteristics at different positions in the structure on the basis of the triple Fano resonance. The sensitivity usually used to evaluate sensing performances is [33]:
where Δλ is the change of resonant wavelength, and Δn is the variation of refractive index.
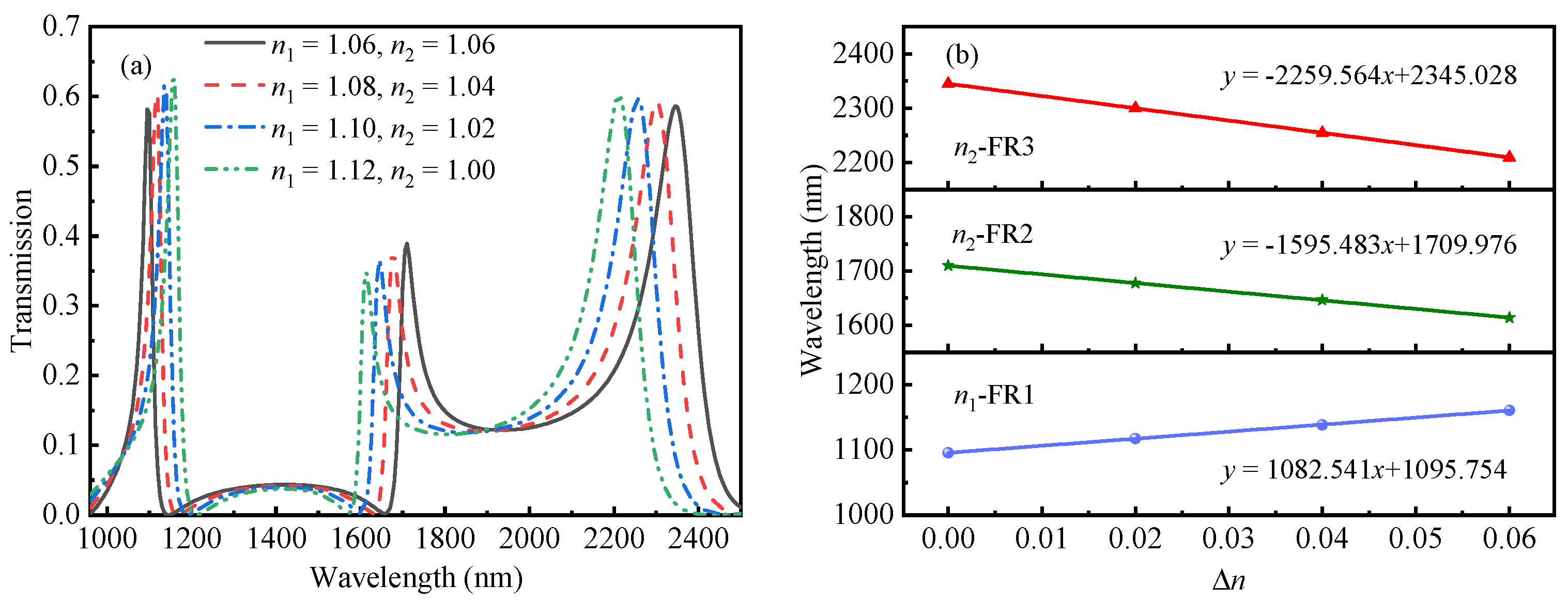
In Figure 6, the refractive indexes of the ITC and the SRCSB are increased separately from 1.00 to 1.08 with a step of 0.02. With the increase in the refractive index n1 of the ITC, only FR1 had an obvious shift, as shown in Figure 6a. On the contrary, when the refractive index n2 of the SRCSB increased, FR2 and FR3 showed significant redshifts in Figure 6b. Therefore, the independent tuning of the triple Fano resonances was achieved by adjusting the refractive index of the structure. When n1 was increased from 1.06 to 1.12 and n2 was decreased from 1.06 to 1.00, the transmission spectra of the structure were obtained, as shown in Figure 7. In this case, FR1 showed a redshift, while FR2 and FR3 showed blueshifts. Meanwhile, FR1, FR2, and FR3 all had good linearity, and their linear correlation coefficients were as high as 0.99996, 0.99987, and 0.99994 respectively. The sensitivities of FR1 and FR2 were 1082.54 nm/RIU and 1595.48 nm/RIU, as shown in Figure 7b. According to Equations (2) and (3), it can be seen that the sensitivity is approximately proportional to Leff/m, so the sensitivity of FR3 is larger than those of FR1 and FR2 and is 2259.56 nm/RIU. In this way, the detection of refractive indexes at different positions in the structure, such as the ITC and the SRCSB, was achieved. Comparing the refractive index sensing sensitivity with that of other structures [12,13,19,24,30,33,42,43], as shown in Table 1, the sensitivity of the structure is relatively high.
Figure 6.
(a) Transmission spectra of the structure with different refractive indexes of the ITC (n2 = 1.00). (b) Transmission spectra of the structure with different refractive indexes of the SRCSB (n1 = 1.00). (The parameters are t = 10 nm, b = 300 nm, H = 450 nm, d = 10 nm, a = 10 nm, R = 180 nm, L = 2(a + R), and G1 = G2 = 10 nm.)
Figure 7.
(a) Transmission spectra of the structure with different refractive indexes of the ITC and the SRCSB. (b) Linear relationships between the refractive index and the resonant wavelengths of FR1 (blue), FR2 (green), and FR3 (red). (The parameters are t = 10 nm, b = 300 nm, H = 450 nm, d = 10 nm, a = 10 nm, R = 180 nm, L = 2(a + R), and G1 = G2 = 10 nm.)
Table 1.
Comparison of the sensitivity with that of other structures.
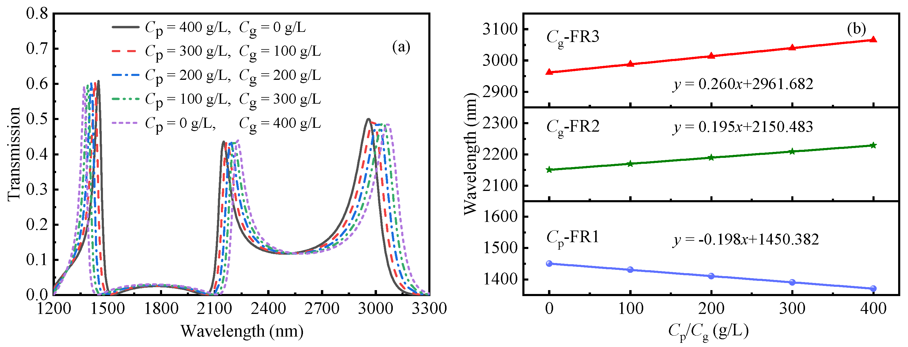
In order to verify the feasibility of multiparameter detection, two biological parameters, plasma concentration and glucose concentration, were selected for measurement. The air in the ITC was replaced with plasma, while simultaneously, the air in the SRCSB was replaced with glucose solution. The refractive indexes of plasma and glucose solution are [44,45]:
where Cp is the plasma concentration, and Cg is the concentration of glucose solution. In Figure 8, Cp in the ITC is decreased from 400 g/L to 0 g/L with a step of 100 g/L, and Cg in the SRCSB is increased from 0 g/L to 400 g/L with the same step. It is obvious that FR1 and the other two Fano resonances shifted in the opposite direction. The linear fitting relationships between the concentration and the resonant wavelengths of the triple Fano resonances are shown in Figure 8b. The linear correlation coefficients of FR1, FR2, and FR3 were 0.99993, 0.99989, and 0.99968 respectively, which are almost equal to those of refractive index sensing obtained in Figure 7b. The sensitivity of concentration sensing here was S = ∆λ/∆C, where ∆C is the variation of concentration. Then the sensitivity of FR1 for plasma concentration sensing was 0.198 nm·L/g, and the sensitivities of FR2 and FR3 were 0.195 nm·L/g and 0.260 nm·L/g for glucose concentration sensing. The results above show that time-sharing or simultaneous measurement of multiple parameters was achieved in the structure.
Figure 8.
(a) Transmission spectra of the structure with different glucose solution and plasma concentrations. (b) Linear relationships between the concentration and the resonant wavelengths of FR1 (blue), FR2 (green), and FR3 (red). (The parameters are: t = 10 nm, b = 300 nm, H = 450 nm, d = 10 nm, a = 10 nm, R = 180 nm, L = 2(a + R), and G1 = G2 = 10 nm.)
4. Discussion
In this paper, a MIM surface plasmon waveguide structure, consisting of the SRCSB, the ITC, and the bus waveguide, was designed to produce triple Fano resonances, which can be independently tuned by changing the structural parameters. The detection of refractive indexes at different positions, such as the ITC and the SRCSB, was achieved, and the maximum sensitivity was 2259.56 nm/RIU with a linear correlation coefficient of 0.99994. Furthermore, the simultaneous measurement of multiple parameters was demonstrated by utilizing two biological parameters. The maximum sensitivities of the plasma concentration and glucose concentration sensing were 0.198 nm·L/g and 0.260 nm·L/g, respectively. The most prominent advantage of this structure is that two independent resonators can perform time-sharing or simultaneous measurement of multiple parameters. In addition, the structure can also be used to measure other parameters that can cause a change in the refractive index, such as alcohol temperature. The results will greatly promote the application of Fano resonance in integrated optical sensing and biosensing.
Author Contributions
H.T.: conceptualization, resources, supervision, funding acquisition, and writing—review. M.W.: conceptualization, methodology, software, investigation, data curation, and writing—original draft and editing. X.L., J.L. and Y.L.: visualization. All authors have read and agreed to the published version of the manuscript.
Funding
Fundamental Research Funds for the Central Universities (2572019BC04); Heilongjiang Provincial Natural Science Foundation of China (LH2019F041).
Institutional Review Board Statement
Not applicable.
Informed Consent Statement
Not applicable.
Data Availability Statement
The data presented in this study are available on request from the author.
Conflicts of Interest
The authors declare that they have no known competing financial interests or personal relationships that could have appeared to influence the work reported in this paper.
References
- Zhang, S.; Bao, K.; Halas, N.J.; Xu, H.; Nordlander, P. Substrate-Induced Fano Resonances of a Plasmonic: Nanocube: A Route to Increased-Sensitivity Localized Surface Plasmon Resonance Sensors Revealed. Nano Lett. 2011, 11, 1657–1663. [Google Scholar] [CrossRef]
- Verellen, N.; Sonnefraud, Y.; Sobhani, H.; Hao, F.; Moshchalkov, V.V.; Van Dorpe, P.; Nordlander, P.; Maier, S.A. Fano Resonances in Individual Coherent Plasmonic Nanocavities. Nano Lett. 2009, 9, 1663–1667. [Google Scholar] [CrossRef] [PubMed]
- Miroshnichenko, A.E.; Flach, S.; Kivshar, Y.S. Fano resonances in nanoscale structures. Rev. Mod. Phys. 2010, 82, 2257–2298. [Google Scholar] [CrossRef] [Green Version]
- Luk’yanchuk, B.; Zheludev, N.I.; Maier, S.A.; Halas, N.J.; Nordlander, P.; Giessen, H.; Chong, C.T. The Fano resonance in plasmonic nanostructures and metamaterials. Nat. Mater. 2010, 9, 707–715. [Google Scholar] [CrossRef] [PubMed]
- Limonov, M.F.; Rybin, M.V.; Poddubny, A.N.; Kivshar, Y.S. Fano resonances in photonics. Nat. Photonics 2017, 11, 543–554. [Google Scholar] [CrossRef]
- Lassiter, J.B.; Sobhani, H.; Fan, J.A.; Kundu, J.; Capasso, F.; Nordlander, P.; Halas, N.J. Fano Resonances in Plasmonic Nanoclusters: Geometrical and Chemical Tunability. Nano Lett. 2010, 10, 3184–3189. [Google Scholar] [CrossRef]
- Fan, S.H.; Suh, W.; Joannopoulos, J.D. Temporal coupled-mode theory for the Fano resonance in optical resonators. J. Opt. Soc. Am. A 2003, 20, 569–572. [Google Scholar] [CrossRef] [Green Version]
- Singh, R.; Al-Naib, I.A.I.; Koch, M.; Zhang, W. Sharp Fano resonances in THz metamaterials. Opt. Express 2011, 19, 6312–6319. [Google Scholar] [CrossRef] [Green Version]
- Lu, H.; Liu, X.; Mao, D.; Wang, G. Plasmonic nanosensor based on Fano resonance in waveguide-coupled resonators. Opt. Lett. 2012, 37, 3780–3782. [Google Scholar] [CrossRef]
- Liu, G.; Cheng, D.; Zhang, B.; Shu, G.X.; Wang, J.X. A microwave biosensor based on spoof surface plasmon polaritons for in vivo measurement of the water content of human skin tissues. J. Phys. D Appl. Phys. 2019, 52, 205401. [Google Scholar] [CrossRef]
- Sun, M.T.; Hou, Y.X.; Xu, H.X. Can information of chemical reaction propagate with plasmonic waveguide and be detected at remote terminal of nanowire? Nanoscale 2011, 3, 4114–4116. [Google Scholar] [CrossRef]
- Zhao, X.; Zhang, Z.; Yan, S. Tunable Fano Resonance in Asymmetric MIM Waveguide Structure. Sensors 2017, 17, 1494. [Google Scholar] [CrossRef] [Green Version]
- Zhang, Y.; Kuang, Y.; Zhang, Z.; Tang, Y.; Han, J.; Wang, R.; Cui, J.; Hou, Y.; Liu, W. High-sensitivity refractive index sensors based on Fano resonance in the plasmonic system of splitting ring cavity-coupled MIM waveguide with tooth cavity. Appl. Phys. A 2019, 125, 13. [Google Scholar] [CrossRef]
- Refki, S.; Hayashi, S.; Ishitobi, H.; Nesterenko, D.V.; Rahmouni, A.; Inouye, Y.; Sekkat, Z. Resolution Enhancement of Plasmonic Sensors by Metal-Insulator-Metal Structures. Ann. Phys. 2018, 530, 1700411. [Google Scholar] [CrossRef]
- Sekkat, Z.; Hayashi, S.; Nesterenko, D.V.; Rahmouni, A.; Refki, S.; Ishitobi, H.; Inouye, Y.; Kawata, S. Plasmonic coupled modes in metal-dielectric multilayer structures: Fano resonance and giant field enhancement. Opt. Express 2016, 24, 20080–20088. [Google Scholar] [CrossRef]
- Andam, N.; Refki, S.; Hayashi, S.; Sekkat, Z. Plasmonic mode coupling and thin film sensing in metal-insulator-metal structures. Sci. Rep. 2021, 11, 15093. [Google Scholar] [CrossRef]
- Nasari, H.; Abrishamian, M.S.; Berini, P. Nonlinear optics of surface plasmon polaritons in subwavelength graphene ribbon resonators. Opt. Express 2016, 24, 708–723. [Google Scholar] [CrossRef]
- Zafar, R.; Salim, M. Wideband slow light achievement in MIM plasmonic waveguide by controlling Fano resonance. Infrared Phys. Technol. 2014, 67, 25–29. [Google Scholar] [CrossRef]
- Wang, M.; Zhang, M.; Wang, Y.; Zhao, R.; Yan, S. Fano Resonance in an Asymmetric MIM Waveguide Structure and Its Application in a Refractive Index Nanosensor. Sensors 2019, 19, 791. [Google Scholar] [CrossRef] [Green Version]
- Qi, J.; Chen, Z.; Chen, J.; Li, Y.; Qiang, W.; Xu, J.; Sun, Q. Independently tunable double Fano resonances in asymmetric MIM waveguide structure. Opt. Express 2014, 22, 14688–14695. [Google Scholar] [CrossRef]
- Pang, S.; Huo, Y.; Xie, Y.; Hao, L. Fano resonance in MIM waveguide structure with oblique rectangular cavity and its application in sensor. Opt. Commun. 2016, 381, 409–413. [Google Scholar] [CrossRef]
- Li, Z.; Wen, K.; Chen, L.; Lei, L.; Zhou, J.; Zhou, D.; Fang, Y.; Wu, B. Control of Multiple Fano Resonances Based on a Subwavelength MIM Coupled Cavities System. IEEE Access 2019, 7, 59369–59375. [Google Scholar] [CrossRef]
- Chen, Z.; Song, X.; Duan, G.; Wang, L.; Yu, L. Multiple Fano Resonances Control in MIM Side-Coupled Cavities Systems. IEEE Photonics J. 2015, 7, 2433012. [Google Scholar] [CrossRef]
- Li, Z.; Wen, K.; Chen, L.; Lei, L.; Zhou, J.; Zhou, D.; Fang, Y.; Wu, B. Refractive index sensor based on multiple Fano resonances in a plasmonic MIM structure. Appl. Opt. 2019, 58, 4878–4883. [Google Scholar] [CrossRef] [PubMed]
- Zhou, L.; Poon, A.W. Fano resonance-based electrically reconfigurable add-drop filters in silicon microring resonator-coupled Mach-Zehnder interferometers. Opt. Lett. 2007, 32, 781–783. [Google Scholar] [CrossRef] [PubMed]
- Song, J.F.; Ochiai, Y.; Bird, J.P. Fano resonances in open quantum dots and their application as spin filters. Appl. Phys. Lett. 2003, 82, 4561–4563. [Google Scholar] [CrossRef]
- Qiang, Z.; Yang, H.; Chen, L.; Pang, H.; Ma, Z.; Zhou, W. Fano filters based on transferred silicon nanomembranes on plastic substrates. Appl. Phys. Lett. 2008, 93, 061106. [Google Scholar] [CrossRef] [Green Version]
- Wu, C.; Khanikaev, A.B.; Shvets, G. Broadband Slow Light Metamaterial Based on a Double-Continuum Fano Resonance. Phys. Rev. Lett. 2011, 106, 107403. [Google Scholar] [CrossRef]
- Jiang, C.; Jiang, L.; Yu, H.; Cui, Y.; Li, X.; Chen, G. Fano resonance and slow light in hybrid optomechanics mediated by a two-level system. Phys. Rev. A 2017, 96, 053821. [Google Scholar] [CrossRef]
- Zhang, Z.; Luo, L.; Xue, C.; Zhang, W.; Yan, S. Fano Resonance Based on Metal-Insulator-Metal Waveguide-Coupled Double Rectangular Cavities for Plasmonic Nanosensors. Sensors 2016, 16, 642. [Google Scholar] [CrossRef] [Green Version]
- Lopez-Tejeira, F.; Paniagua-Dominguez, R.; Sanchez-Gil, J.A. High-Performance Nanosensors Based on Plasmonic Fano-like Interference: Probing Refractive Index with Individual Nanorice and Nanobelts. ACS Nano 2012, 6, 8989–8996. [Google Scholar] [CrossRef]
- Chen, Z.-Q.; Qi, J.-W.; Chen, J.; Li, Y.-D.; Hao, Z.-Q.; Lu, W.-Q.; Xu, J.-J.; Sun, Q. Fano Resonance Based on Multimode Interference in Symmetric Plasmonic Structures and its Applications in Plasmonic Nanosensors. Chin. Phys. Lett. 2013, 30, 057301. [Google Scholar] [CrossRef]
- Liu, X.; Li, J.; Chen, J.; Rohimah, S.; Tian, H.; Wang, J. Independently tunable triple Fano resonances based on MIM waveguide structure with a semi-ring cavity and its sensing characteristics. Opt. Express 2021, 29, 20829–20838. [Google Scholar] [CrossRef]
- Ji, P.; Shi, Q.; Zheng, L.; Wang, G.; Chen, F. High sensitivity plasmonic refractive index and temperature sensor based on square ring shape resonator with nanorods defects. Opt. Quantum Electron. 2022, 54, 184. [Google Scholar] [CrossRef]
- Li, J.; Chen, J.; Liu, X.; Tian, H.; Wang, J.; Cui, J.; Rohimah, S. Optical sensing based on multimode Fano resonances in metal-insulator-metal waveguide systems with X-shaped resonant cavities. Appl. Opt. 2021, 60, 5312–5319. [Google Scholar] [CrossRef]
- Rohimah, S.; Tian, H.; Wang, J.; Chen, J.; Li, J.; Liu, X.; Cui, J.; Hao, Y. Tunable multiple Fano resonances based on a plasmonic metal-insulator-metal structure for nano-sensing and plasma blood sensing applications. Appl. Opt. 2022, 61, 1275–1283. [Google Scholar] [CrossRef]
- Fu, H.X.; Li, S.L.; Wang, Y.L.; Song, G.; Zhang, P.F.; Wang, L.L.; Yu, L. Independently Tunable Ultrasharp Double Fano Resonances in Coupled Plasmonic Resonator System. IEEE Photonics J. 2018, 10, 2791612. [Google Scholar] [CrossRef]
- Zhou, C.; Huo, Y.P.; Guo, Y.Y.; Niu, Q.Q. Tunable Multiple Fano Resonances and Stable Plasmonic Band-Stop Filter Based on a Metal-Insulator-Metal Waveguide. Plasmonics 2021, 16, 1735–1743. [Google Scholar] [CrossRef]
- Jurich, G.; Sievers, S. Reply to “Comment on ‘Observation of an index-of-refraction-induced change in the Drude parameters of Ag films.’”. Phys. Rev. B. 1986, 34, 1322–1324. [Google Scholar] [CrossRef]
- Zhu, J.H.; Wang, Q.J.; Shum, P.; Huang, X.G. A Simple Nanometeric Plasmonic Narrow-Band Filter Structure Based on Metal-Insulator-Metal Waveguide. IEEE. Trans. Nanotechnol. 2011, 10, 1371–1376. [Google Scholar] [CrossRef]
- Tang, Y.; Zhang, Z.; Wang, R.; Hai, Z.; Xue, C.; Zhang, W.; Yan, S. Refractive Index Sensor Based on Fano Resonances in Metal-Insulator-Metal Waveguides Coupled with Resonators. Sensors 2017, 17, 784. [Google Scholar] [CrossRef] [PubMed] [Green Version]
- Chen, Y.; Xu, Y.; Cao, J. Fano resonance sensing characteristics of MIM waveguide coupled Square Convex Ring Resonator with metallic baffle. Results Phys. 2019, 14, 102420. [Google Scholar] [CrossRef]
- Chen, J.; Li, J.; Liu, X.; Rohimah, S.; Tian, H.; Qi, D. Fano resonance in a MIM waveguide with double symmetric rectangular stubs and its sensing characteristics. Opt. Commun. 2021, 482, 126563. [Google Scholar] [CrossRef]
- Xu, D.; Yan, S.; Yang, X.; Su, H.; Wu, X.; Hua, E. A Nanoscale Structure Based on a Ring With Matchstick-Shape Cavity for Glucose Concentration and Temperature Detection. IEEE Sens. J. 2021, 21, 4442–4450. [Google Scholar] [CrossRef]
- El-Khozondar, H.J.; Mahalakshmi, P.; El-Khozondar, R.J.; Ramanujam, N.R.; Amiri, I.S.; Yupapin, P. Design of one dimensional refractive index sensor using ternary photonic crystal waveguide for plasma blood samples applications. Physica. E 2019, 111, 29–36. [Google Scholar] [CrossRef]
Publisher’s Note: MDPI stays neutral with regard to jurisdictional claims in published maps and institutional affiliations. |
© 2022 by the authors. Licensee MDPI, Basel, Switzerland. This article is an open access article distributed under the terms and conditions of the Creative Commons Attribution (CC BY) license (https://creativecommons.org/licenses/by/4.0/).







