Thermodynamics of Ag(I) Complex Formations with 2-Mercaptoimidazole in Water−Dimethyl Sulfoxide Solvents
Abstract
1. Introduction
2. Results
3. Discussion
H+ + 2MI = H2MI+
| (1) |
Ag+ + 2MI= [Ag(2MI)]+
| (2) |
Ag+ + 2(2MI) = [Ag(2MI)2]+
| (3) |
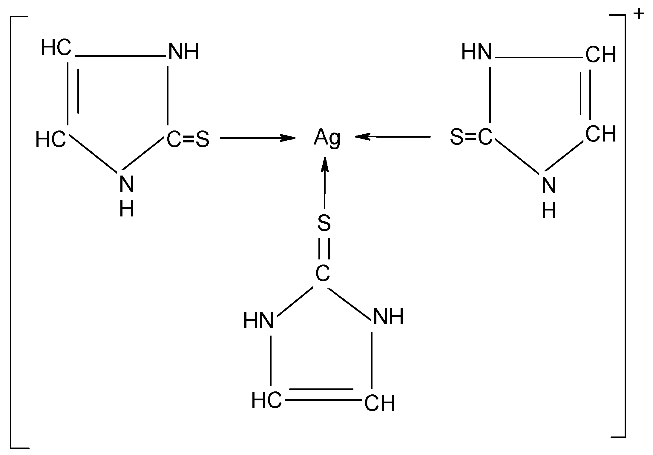
Ag+ +3(2MI) = [Ag(2MI)3]+
| (4) |
Ag+ +4(2MI) = [Ag(2MI)4]+
| (5) |
4. Materials and Methods
5. Conclusions
Supplementary Materials
Author Contributions
Funding
Data Availability Statement
Conflicts of Interest
References
- Chen, Z.; Zhang, Z.; Qi, J.; You, J.; Ma, J.; Chen, L. Colorimetric Detection of Heavy Metal Ions with Various Chromogenic Materials: Strategies and Applications. J. Hazard. Mater. 2023, 441, 129889. [Google Scholar] [CrossRef] [PubMed]
- Rani, N.; Singh, R. Molecular Modelling Studies of 1,4-Diaryl-2-Mercaptoimidazole Derivatives for Antimicrobial Potency. Curr. Comput. Aided Drug Desig 2019, 15, 409–420. [Google Scholar] [CrossRef] [PubMed]
- Methimazole. Drugs and Lactation Database (LactMed®). Available online: https://www.ncbi.nlm.nih.gov/books/NBK501024/ (accessed on 29 April 2023).
- Budiman, H.; Sri, H.K.F.; Setiawan, A.H. Preparation of Silica Modified with 2-Mercaptoimidazole and Its SorptionProperties of Chromium(III). J. Chem. 2009, 6, 141–150. [Google Scholar] [CrossRef]
- Kardaş, F. Facile Synthesis and Characterization of 5-[(3-Methylthiophene-2-Yl-Methyleneamino)]-2-Mercaptobenzimidazole and Its Potentiometric Sensor Application in a Polyvinyl Chloride Membrane for the Determination of Copper(II). Anal. Lett. 2019, 52, 1418–1431. [Google Scholar] [CrossRef]
- Somerset, V.S.; Klink, M.J.; Sekota, M.M.C.; Baker, P.G.L.; Iwuoha, E.I. Polyaniline-Mercaptobenzothiazole Biosensor for Organophosphate and Carbamate Pesticides. Anal. Lett. 2006, 39, 1683–1698. [Google Scholar] [CrossRef]
- Amidzhanov, A.A.; Beknazarova, N.S. Rhenium(V) Coordination Compounds with Amide and Thioamide Ligands, Aspects of Their Application; Tajik National University: Dushanbe, Tajikistan, 2021; 327p. (In Russian) [Google Scholar]
- Baghdasaryan, A.; Bürgi, T. Copper Nanoclusters: Designed Synthesis, Structural Diversity, and Multiplatform Applications. Nanoscale 2021, 13, 6283–6340. [Google Scholar] [CrossRef]
- Revesz, I.A.; Hickey, S.M.; Sweetman, M.J. Metal Ion Sensing with Graphene Quantum Dots: Detection of Harmful Contaminants and Biorelevant Species. J. Mater. Chem. B 2022, 10, 4346–4362. [Google Scholar] [CrossRef]
- Jiang, D.; Zhang, X.; Chen, Y.; Zhang, P.; Gong, P.; Cai, L.; Wang, Y. An α-naphtholphthalein-derived Colorimetric Fluorescent Chemoprobe for the Portable and Visualized Monitoring of Hg2+ by the Hydrolysis Mechanism. New J. Chem. 2022, 46, 11695–11705. [Google Scholar] [CrossRef]
- Zhou, Y.; Tang, L.; Zeng, G.; Zhang, C.; Zhang, Y.; Xie, X. Current Progress in Biosensors for Heavy Metal Ions Based on DNAzymes/DNA Molecules Functionalized Nanostructures: A Review. Sens. Actuators B Chem. 2016, 223, 280–294. [Google Scholar] [CrossRef]
- Wang, L.; Peng, X.; Fu, H.; Huang, C.; Li, Y.; Liu, Z. Recent Advances in the Development of Electrochemical Aptasensors for Detection of Heavy Metals in Food. Biosens. Bioelectron. 2020, 147, 111777. [Google Scholar] [CrossRef]
- De Benedetto, G.E.; Di Masi, S.; Pennetta, A.; Malitesta, C. Response Surface Methodology for the Optimisation of Electrochemical Biosensors for Heavy Metals Detection. Biosensors 2019, 9, 26. [Google Scholar] [CrossRef]
- Kozitsina, A.N.; Svalova, T.S.; Malysheva, N.N.; Okhokhonin, A.V.; Vidrevich, M.B.; Brainina, K.Z. Sensors Based on Bio and Biomimetic Receptors in Medical Diagnostic, Environment, and Food Analysis. Biosensors 2018, 8, 35. [Google Scholar] [CrossRef] [PubMed]
- Mehrotra, P. Biosensors and Their Applications—A Review. J. Oral Biol. Craniofac. Res. 2016, 6, 153–159. [Google Scholar] [CrossRef]
- Peixoto, P.S.; Machado, A.; Oliveira, H.P.; Bordalo, A.A.; Segundo, M.A.; Peixoto, P.S.; Machado, A.; Oliveira, H.P.; Bordalo, A.A.; Segundo, M.A. Paper-Based Biosensors for Analysis of Water; IntechOpen: London, UK, 2019; ISBN 978-1-78923-824-2. [Google Scholar]
- Reynoso, E.C.; Torres, E.; Bettazzi, F.; Palchetti, I. Trends and Perspectives in Immunosensors for Determination of Currently-Used Pesticides: The Case of Glyphosate, Organophosphates, and Neonicotinoids. Biosensors 2019, 9, 20. [Google Scholar] [CrossRef]
- Liu, X.; Yao, Y.; Ying, Y.; Ping, J. Recent Advances in Nanomaterial-Enabled Screen-Printed Electrochemical Sensors for Heavy Metal Detection. TrAC Trends Anal. Chem. 2019, 115, 187–202. [Google Scholar] [CrossRef]
- Ferrari, A.G.-M.; Carrington, P.; Rowley-Neale, S.J.; Banks, C.E. Recent Advances in Portable Heavy Metal Electrochemical Sensing Platforms. Environ. Sci. Water Res. Technol. 2020, 6, 2676–2690. [Google Scholar] [CrossRef]
- Moro, G.; Bottari, F.; Van Loon, J.; Du Bois, E.; De Wael, K.; Moretto, L.M. Disposable Electrodes from Waste Materials and Renewable Sources for (Bio)Electroanalytical Applications. Biosens. Bioelectron. 2019, 146, 111758. [Google Scholar] [CrossRef] [PubMed]
- Bruce, E.E.; van der Vegt, N.F.A. Molecular Scale Solvation in Complex Solutions. J. Am. Chem. Soc. 2019, 141, 12948–12956. [Google Scholar] [CrossRef] [PubMed]
- Choppin, G.R.; Morgenstern, A. Thermodynamics of Solvent Extraction. Solvent Extr. Ion Exch. 2000, 18, 1029–1049. [Google Scholar] [CrossRef]
- Miriyala, V.M.; Lo, R.; Bouř, P.; Wu, T.; Nachtigallová, D.; Hobza, P. Unexpected Strengthening of the H-Bond Complexes in a Polar Solvent Due to a More Efficient Solvation of the Complex Compared to Isolated Monomers. J. Phys. Chem. A 2022, 126, 7938–7943. [Google Scholar] [CrossRef]
- Krestov, G.A. Ionic Solvation; Ellis Horwood: London, UK, 1994; p. 264. [Google Scholar]
- Bakhromi, D.; Safarmamadzoda, S.M.; Fritskii, I.O.; Muborakkadamov, D.A. Complex Formation of Gold (I) with 2-methylimidazole. Chem-ChemTech[Izv. Vyssh. Uchebn. Zaved. Khim. Khim. Tekhnol.]. 2023, 66, 27–34. [Google Scholar]
- Safarmamadzoda, S.M.; Karimova, Z.I.; Bakhodurov, Y.F.; Mabatkadamzoda, K.S. Formation of Complexes of Silver(I) and 2-Mercaptobenzimidazole in Water–Ethanol Solutions. Russ. J. Phys. Chem. 2020, 94, 1119–1124. [Google Scholar] [CrossRef]
- Sodatdinova, A.S.; Usacheva, T.R.; Safarmamadzoda, S.M. Complexation of Silver (I) with 1-Methyl-2-Mercaptoimidazole in Water-Ethanol Solution. ChemChemTech[Izv. Vyssh. Uchebn. Zaved. Khim. Khim. Tekhnol.] 2022, 65, 22–31. [Google Scholar] [CrossRef]
- Czoik, R.M.; John, E.M.; Marczak, W.; Heintz, A. Complexes of Silver with Histidine and Imidazole Investigated by the Calorimetric and Potentiometric Methods. Acta Phys. Polonica A 2008, 114, 51–56. [Google Scholar] [CrossRef]
- Sodatdinova, A.S.; Safarmamadov, S.M.; Amndzhanov, A.A. Complexation of Silver(I) with 1-formyl- and 1-acetyl-3-thiosemicarbazide at 273-328 K. ChemChemTech[Izv. Vyssh. Uchebn. Zaved. Khim. Khim. Tekhnol.] 2014, 57, 62–65. (In Russian) [Google Scholar]
- Kalidas, C.; Hefter, G.; Marcus, Y. Gibbs Energies of Transfer of Cations from Water to Mixed Aqueous Organic Solvents. Chem. Rev. 2000, 100, 819–852. [Google Scholar] [CrossRef] [PubMed]
- Meshkov, A.N.; Gamov, G.A. KEV: A Free Software for Calculating the Equilibrium Composition and Determining the Equilibrium Constants Using UV–Vis and Potentiometric Data. Talanta 2019, 198, 200–205. [Google Scholar] [CrossRef]
- Casas, J.S.; Martinez, E.G.; Sanchez, A.; Gonzalez, A.S.; Sordo, J.; Casellato, U.; Graziani, R. Complexes of Ag(I) with 1-methyl-2(3H)-imidazolinethione. The Crystal Structure of tris[1-methyl-2(3H)-imidazolinethione]-Silver(I) Nitrate. Inorg. Chim. Acta 1996, 241, 117–123. [Google Scholar] [CrossRef]





| [2MI]H2O –DMSO × 105, mol L−1 | [2MI]hex × 105, mol L−1 | K1 | K2 | ∆trG0, kJ/mol |
|---|---|---|---|---|
| 9.55 | 0.45 | 0.045 ± 0.01 | - | 0 |
| 9.60 | 0.40 | |||
| 9.83 | 1.70 | - | 0.017 ± 0.003 | −2.38 ± 0.40 |
| 9.84 | 1.60 | |||
| 9.82 | 1.80 | |||
| 9.90 | 0.10 | - | 0.009 ± 0.002 | −4.00 ± 0.70 |
| 9.92 | 0.80 | |||
| 9.91 | 0.90 | |||
| 9.45 | 5.50 | - | 0.056 ± 0.004 | −1.55 ± 0.70 |
| 9.49 | 5.10 | |||
| 9.46 | 5.40 |
| ΧDMSO, mol. fr. | ||||
|---|---|---|---|---|
| 0.0 | 0.1 | 0.25 | 0.5 | |
| 298.15 | 2.97 ± 0.04 | 1.93 ± 0.07 | 2.34 ± 0.02 | 2.72 ± 0.08 |
| 308.15 | 2.76 ± 0.05 | 1.76 ± 0.04 | 2.23 ± 0.03 | 2.63 ± 0.07 |
| ΧDMSO, mol. fr. | 298 K | ||
|---|---|---|---|
| lgβ1 | lgβ2 | lgβ3 | |
| 0 | 6.84 ± 0.03 | 10.56 ± 0.03 | 12.27 ± 0.04 |
| 0.1 | 7.18 ± 0.04 | 10.49 ± 0.09 | 12.64 ± 0.3 |
| 0.25 | 6.58 ± 0.01 | 10.46 ± 0.01 | - |
| 0.50 | 5.86 ± 0.01 | 10.17 ± 0.01 | - |
| 308 K | |||
| 0 | 6.79 ± 0.03 | 10.36 ± 0.03 | 11.93 ± 0.4 |
| 0.1 | 6.88 ± 0.01 | 9.96 ± 0.02 | 11.60 ± 0.2 |
| 0.25 | 6.42 ± 0.01 | 9.72 ± 0.01 | - |
| 0.50 | 5.62 ± 0.01 | 9.81 ± 0.05 | - |
Disclaimer/Publisher’s Note: The statements, opinions and data contained in all publications are solely those of the individual author(s) and contributor(s) and not of MDPI and/or the editor(s). MDPI and/or the editor(s) disclaim responsibility for any injury to people or property resulting from any ideas, methods, instructions or products referred to in the content. |
© 2023 by the authors. Licensee MDPI, Basel, Switzerland. This article is an open access article distributed under the terms and conditions of the Creative Commons Attribution (CC BY) license (https://creativecommons.org/licenses/by/4.0/).
Share and Cite
Bobosaidzoda, S.; Sodatdinova, A.; Akimbekova, K.; Alister, D.; Molchanov, E.; Marfin, Y.; Usacheva, T.; Safarmamadzoda, S. Thermodynamics of Ag(I) Complex Formations with 2-Mercaptoimidazole in Water−Dimethyl Sulfoxide Solvents. Inorganics 2023, 11, 199. https://doi.org/10.3390/inorganics11050199
Bobosaidzoda S, Sodatdinova A, Akimbekova K, Alister D, Molchanov E, Marfin Y, Usacheva T, Safarmamadzoda S. Thermodynamics of Ag(I) Complex Formations with 2-Mercaptoimidazole in Water−Dimethyl Sulfoxide Solvents. Inorganics. 2023; 11(5):199. https://doi.org/10.3390/inorganics11050199
Chicago/Turabian StyleBobosaidzoda, Surayo, Anjuman Sodatdinova, Khazon Akimbekova, Diana Alister, Evgeniy Molchanov, Yuriy Marfin, Tatyana Usacheva, and Safarmamad Safarmamadzoda. 2023. "Thermodynamics of Ag(I) Complex Formations with 2-Mercaptoimidazole in Water−Dimethyl Sulfoxide Solvents" Inorganics 11, no. 5: 199. https://doi.org/10.3390/inorganics11050199
APA StyleBobosaidzoda, S., Sodatdinova, A., Akimbekova, K., Alister, D., Molchanov, E., Marfin, Y., Usacheva, T., & Safarmamadzoda, S. (2023). Thermodynamics of Ag(I) Complex Formations with 2-Mercaptoimidazole in Water−Dimethyl Sulfoxide Solvents. Inorganics, 11(5), 199. https://doi.org/10.3390/inorganics11050199
