Abstract
In Earth’s regions accessible for living organisms (Earth’s crust, crude oil, water sanctuaries and lower atmosphere), vanadium is present in the oxidation states +III and—essentially—+IV (cationic) and +V (cationic and anionic), with the redox interchange and biochemical recycling often monitored by bacteria. Organisms having available vanadium-containing (bio)molecules with essential functions for life include marine brown algae (haloperoxidases), ascidians and fan worms, as well as terrestrial organisms, viz., nitrogen-fixing bacteria (associated with the roots of legumes), and the fly agaric mushroom. The hypohalite generated by the algal haloperoxidases in turn is involved in the emission of bromoform into the atmosphere. Nitrogen fixation (N2 ε NH4+) is a process of immanent importance for life on our planet. Other bacterial issues include the reduction of vanadate to VO2+. Medicinal applications of vanadium coordination compounds are directed towards the treatment of diabetes mellitus (vanadium complexes with hypoglycemic activity) and cancer—although boundaries are set due to side effects such as oxidative damage elicited by vanadium-induced hyperoxide formation. Physiological actions of vanadium are often invoked due to the structural and physiological similarity between vanadate and phosphate. An additional field of medicinal applications addresses the treatment of cancer, such as leukaemia, malignant melanoma and bone cancer.
1. Introduction
On Earth, the crustal abundance of vanadium (0.019%; 20th most abundant element) compares to that of zinc; however, vanadium is more dispersed than Zn. The common redox states in the minerals of the Earth’s crust are +V, +IV and +III [1]. Crude oil (asphaltenes) can obtain up to 5 g V per litre; the high concentrations here originate from the coordinative incorporation of vanadium (VO2+) into, essentially, porphinogens. The main sources of atmospheric vanadium are marine aerosols and continental dust originating from geological processes, and due to anthropogenic input, including emissions—VO2, V2O5 and vanadium carbide—from combustion engines. In aqueous media, such as seawater, lakes and rivers, vanadium is present as H2VO4−/HVO42− (depending on the pH); common average concentrations in marine environments (pH~7; where the dominant species is H2VO4− (and HV2O73− at higher concentrations)) amount to 1.8 µg/L, in rivers to 0.7 µg/L. The average amount of vanadium in sediments is 150 mg/kg [2]. In mining areas, vanadium concentrations in aqueous environments can go up by a factor of 106. In human blood plasma, vanadium concentrations are higher by a factor of ~10 with respect to seawater, pointing towards a (possibly essential) role of vanadium in life: In living organisms, vanadate H2VO4− acts as an antagonist/competitor/enhancer of phosphate but tends to be toxic at non-physiological concentrations. Vanadate also forms binary and ternary compounds with carbonate, viz., HVO3CO32− and VO2(CO3)23−, with logK values of 1.09 and 0.17, respectively. At higher concentrations, oligomers such as the dimeric V2O74− can form; reducing conditions are responsible for the generation of VIVO2+·aq (which precipitates to form VO(OH)2 or remains dissolved due to coordination to (organic) substrates) and VIII·aq (present in, e.g., ascidians). The redox interconversion of vanadium (VV ↔ VIV ↔ VIII) in a natural environment is often monitored or exerted by specialised bacteria, such as Pseudomonas vanadiumreducens (see also Section 4).
Besides various strains of bacteria, several multicellular organisms resort to vanadium as an essential element, the latter occasionally also in cooperation with bacteria. Noteworthy among these higher organisms are ascidians, marine brown algae and certain mosses, amavadin in Amanita mushrooms and the nodules in the roots of legumes. The dual role of vanadium (beneficial vs. harmful effects) [3] and its environmental implications have been reviewed; see ref. [4] for a recent comprehensive survey.
2. Biogeochemical Cycling
Typically, vanadium is an accessory composite in minerals and rocks, in particular, in basic igneous rocks. In natural water reservoirs, the predominant species is H2VO4−. The mean concentration of vanadium in the upper part of the Earth’s crust amounts to 97 mg·kg−1 [5] and thus compares to that of zinc. Fossil fuels (crude oil), and consequently petroleum products as well, can hold VIV porphyrins; asphaltenes eventually contain up to 4.5 g V per litre. Common oxidation states in environmental fields are +V and +IV; the presence of H2S initiates the formation of VIII. Average vanadium concentrations in peridotite amount to 275 mg/kg. Peridotite—comprising 40% and more of the mineral olivine (Mg,Fe)2SiO4—is an ultramafic rock forming an essential part of the Earth‘s crust. An additional example is the coordination of vanadate to the iron centre in goethite {O2V < (µ-O)2Fe}. Depending on the partial oxygen pressure (and oxidative/reductive conditions), vanadium can attain the oxidation states +II, +III, +IV and +V, with VIV (VO2+) and VV (VO3+, VO2+, H2VO4−) being the dominant ones in habitable environments. VO2+ absorbs to organic matter (carboxylate and phenolate groups, humic substances).
Biogeochemical cycling of vanadium, i.e., the transport of vanadium between solid surface areas, water estuaries and the atmosphere, is a function of geological, biological and climatological processes. Wind erosion in particular is a main source for the natural delivery of vanadium oxides into the atmosphere. Important anthropogenic sources include coal combustion and burning of fuels. Rainfall is a major source of precipitation. Biological emissions on trend are the release of CHBr3 and CH3Br from seawater into the atmosphere, initiated by H2VO4− coordinated to a haloperoxidase present in brown algae (see ch. 3); these bromomethanes contribute to the depletion of ozone. Emissions due to human activity, in particular, into the atmosphere, exceed natural emissions by a factor of 1.7 [5]. The emission often includes redox interconversion, essentially between VV (oxidovanadium and vanadate, or VO(OH)+ in slightly acidic media) and VIV (VO2+). In anoxic environments, VIII (V3+) can come in; the presence of H2S in particular initiates the formation of VIII, which can become a constituent in minerals based on Fe3+. At higher vanadium concentrations, oligonuclear species such as tetra- and decavanadate can form. The free cations are present in hydrated form. The natural concentrations of vanadium in aqueous surroundings (seawater) amount to 1.8 µg·L−1~40 mM; concentrations often are subject to pH, mining activities and (industrially based) pollution. Leaching from industrial areas and agricultural activities can locally increase vanadium concentrations; the vanadium flux originating from chemical weathering has been estimated to ca. 21·109 g per year [5]. An important component in vanadium cycling is its release—in the form of aerosols and continental dust (including volcanic activity)—into the atmosphere. Additional sources for dust enriched with vanadium oxides are industrial exhalation and vehicle exhaust emissions. The latter is a consequence of the vanadium contents in fossil fuels. The biogeochemical cycling of vanadium consequently possesses a significant anthropogenic component [1,6]. The appropriateness of vanadium as a catalyst in naturally proceeding processes (nitrogen fixation, halide oxidation) is paralleled by its significance in a variety of industrial catalytic applications [7].
3. Vanadium in Haloperoxidases, Nitrogenases, Amanita Mushrooms, Ascidians and Fan Worms
Along with the potentiality of vanadium in many catalytic applications carried out in the frame of industrial processes (examples are oxidation reactions, carbon–carbon bond formation, hydrogenation and dehydrogenation and cyanation [7]), the role of vanadium in naturally occurring catalytic processes is noteworthy. These functions include the oxidation of halides catalysed by haloperoxidases (particularly in seawater estuaries) on the one hand, and the reductive conversion of aerial dinitrogen into ammonia/ammonium ions (and hence nitrogen in a form utilisable in bio-physiological processes), catalysed by nitrogenases on the other hand. An additional naturally occurring vanadium compound is amavadin, present in the fly agaric mushroom.
Specific brown and red algae, fungi and bacteria—such as the marine brown alga Ascophyllum nodosum, the marine flavobacterium Zobiella galactanivorans [8] and the cyanobacterium Synechocosccus (associated with macroalgae and specialised in the oxidation of iodide)—can have available vanadate-dependent haloperoxidases, one of the six known families of halogenating enzymes [9]. Actually, the VHPOs apparently derive from a species closely related to bacterial acid phosphatase [8], well in agreement with the structural similarity between phosphate and vanadate, and the competitive/comparable behaviour of these two anions in life processes. Iodide, bromide, chloride and cyanide may be subject to oxidation to hypohalite/hypohalous acid and cyanate, respectively. The halide specificity essentially reflects differences in hydrogen-bonding interaction between the active centre and the extended (second) coordination sphere. The oxidising agent commonly is H2O2/peroxide. Hypohalite in turn is involved in the biosynthesis of halogenated organic compounds, such as bromoform, which is released into the atmosphere. Figure 1 (left) shows the active centre of the vanadate-dependent iodo/bromoperoxidase of the marine brown alga Ascophyllum nodosum (Figure 1, right) from which this enzyme had been originally isolated [10] and characterised with respect to its reactivity [11]. The active centres of the enzyme present in other algal and bacterial species are essentially identical, i.e., they only differ in the second sphere amino acid surroundings of the central penta-coordinated {VO(OH)(O−)His} unit, and in H-bonding interaction between the first and the second coordination sphere. In summary, halogenases are involved in the oxidation of halides (to hypohalous acids) and, in such a way, in the halogenation of organic compounds and the oxidative elimination of (invasive) bacteria via the intermediate formation of reactive oxygen species [12].
Figure 1.
The active centre (schematised (left)) of vanadate-dependent, bromo/iodoperoxidases present in the brown alga Ascophyllum nodosum (right).
A second vanadium-based enzyme is the vanadium nitrogenase VNase (Figure 2), which—along with the more prominent molybdenum variant and an additional “alternative” nitrogenase based on iron only—is present in nitrogen-fixing (soil) bacteria, such as the obligate anaerobic Azotobacter vinelandii [13], facultative anaerobes (e.g., Klebsiella oxytoca) [13] and the cyanobacterium Anabaena variabilis [14]; VNase can also be expressed in, e.g., symbionts of lichens [15]. In all of these diazotrophic organisms, V-Nases are predominantly activated under conditions of Mo limitation. The bacterium Rhodopseudomonas palustris, present—inter alia—in marine coastal sediments, has available all three (Mo, V and Fe-only) nitrogenases. Most N2-fixing bacteria are obligatory anaerobes. The dominant function of this enzyme is the reductive conversion of inert dinitrogen to ammonium ions, Equation (1), thus making nitrogen accessible for (alimentary) utilisation by plants. The energy afforded for this reductive process, required to overcome a high activation energy barrier, is provided by adenosine triphosphate, ATP. The reduction of N2 progresses via HN=NH and H2N-NH2. In the absence of N2, H2 is generated. Other substrates, such as carbon monoxide, are equally reduced, eventually forming alkenes and alkanes, Equation (2) [16]. Furthermore, CO2 can be reduced to CH4, Equation (3) [17].
N2 + 8H+ + 6e− → 2NH4+
(powered by: MgATP + H+ ⮩ MgADP + HPO42−)
2CO + 3H2 → C2H4 + H2O (+ C2H6, C3H8, …)
CO2 + 4H2 → CH4 + 2H2O
Figure 2.
The active centre of vanadium nitrogenase and the soil bacterium Azotobacter vinelandii.
The fly agaric mushroom Amanita muscaria (Figure 3) accumulates vanadium at concentrations of up to several hundred mg kg−1 dry mass [18], with a maximum concentration found in the bulb. Other species of the genus Amanita can also store vanadium; examples are A. regalis and A. velatipes. Vanadium is present as the non-oxido V(IV) coordination compound amavadin (Figure 3) in the Ʌ and Δ isomeric forms. Its biological function has so far not yet been established with certainty. Due to the reversible oxidation/reduction (VIV ⇆ VV + e−), a role for amavadin as a redox catalyst is assumed: Amavadin homologues have been shown to mediate the reduction of NO2− to N2O and the oxidation of water to O2 [19].
Figure 3.
Amavadin present in the fly agaric (Amanita muscaria).
Sea dwellers such as ascidians (e.g., Ascidia sydneiensis samea) and polychaeta fan worms (Pseudopotamilla [20], Perkinsiana [21]) accumulate vanadium from seawater. The fan worm P. occelata (Figure 4, left) contains vanadium bound to a nucleoside diphosphate kinase homolog, located in the epidermis of the branchial crown. The function of vanadium may be associated with the suppression of the activity of a kinase by VIV (VO2+); the kinase otherwise remains unaffected by VV (H2VO4−) [20].
Figure 4.
The fan worm Pseudopotamilla occelata (left) and the sea squirt Ascidia sydneiensis (right), the latter with the branchial crown at the upper left.
Ascidians (also known as tunicates or sea squirts) such as Ascidia gemmata [21] and A. sydneiensis samea [22] accumulate vanadium in blood cells (the so-called vanadocytes; Figure 4, right). The actual vanadium concentration amounts to 350 mM, hence 107 times that of vanadium (H2VO4−) in seawater. Bacterial genera (Pseudomonas and Ralstonia) in the branchial sac of the ascidia, and Treponema and Borelia in the intestinal content, appear to contribute to vanadium accumulation by absorption of vanadium through the epithelium of the branchial sac and reduction of vanadate to oxidovanadium(IV) and V3+ [23], the latter being stored in the cytoplasm and vacuoles termed vanadocytes. Vanadium is thus also involved in the redox interconversion of disulphide/dithiolate. In its non-oxido +IV state, vanadium binds to proteins rich in cysteine residues, referred to as vanabins. Vanabins can differ in the number of amino acids. For a biomimetic system modelling the reduction of vanadate (V) and coordination of non-oxido-VIV to vanabin, see ref. [24].
4. Bacterial Issues
Matters concerning bacteria have already briefly been mentioned in ch. 3 in the context of N2 fixation (see also cyanobacteria in rice fields [25]), haloperoxidases, amanita mushrooms and ascidians. Other bacterial activities aiming at redox interconversion (essentially reduction of vanadium(V)) concern several strains of bacteria—belonging to the eucarya—that are able to reduce vanadate H2VO4− to oxidovanadium(IV) VO2+ (which commonly precipitates in the form of VO(OH)2) and thus can contribute to the removal of vanadate(V) from drinking water. Vanadate—being a phosphate antagonist—is toxic at higher, non-physiological concentrations. Examples of these bacteria are Pseudomonas vanadiumreductans, Shewanella oneidensis, Geobacter metallireducens and Saccharomyces cerevisiae [26]. Reduction of vanadate to VO2+ can also be achieved by mesophilic bacteria (an archaeal bacterial strain) such as Methanosarcina mazei, which is active at 37 °C, and the thermophile Methanothermobacter termautropicus, which is thriving at an optimum temperature of 65 °C [27] and further—at concentrations < 5 mM, by Thiobacillus thiooxidans [25]. This bio-reduction of VV to VIV (VO(OH)2↓) in a special anoxic growth medium inhibits methanogenesis (CO2/acetate →→ CH4, the reductant usually is H2), the otherwise common domain of activity for these bacteria.
5. Medicinal Applications
Vanadate and vanadium coordination compounds have attained long-standing attention in the therapy of various diseases, in particular, diabetes and cancer; more recently, preliminary overviews of vanadium’s potentiality in the treatment of SARS-CoV-2 (COVID-19) have been published [28].
Systematic therapeutic applications of vanadium compounds—in particular, the treatment of diabetes (i.e., vanadium compounds with hypoglycemic activity)—date back to the year 1899, when the—beneficial—effect of vanadate towards, inter alia, diabetes mellitus had been reported. Vanadate was administered orally in the form of NaVO3 [29] (which, at a pH of 7 in aqueous media, essentially exists in the form of H2VO4−). For a recent overview of the medicinal potentiality of vanadium coordination compounds, see ref. [30]; side effects such as oxidative damage provoked by the formation of hyperoxide O2•− is addressed in, e.g., ref. [31]. For additional examples of early reports on the mimesis/stimulation—by vanadate and/or VO2+—of insulin in the oxidation of glucose see also refs. [32,33]. The latter is a detailed investigation of the speciation of VO(maltol)2 under physiological conditions, and hence a “precursor” study to the work carried out by Orvig and Thomson that initiated the first clinical tests of the anti-diabetic potentiality of this maltolato complex [34]. For a review on the anti-diabetic properties of organic vanadates, see also ref. [34].
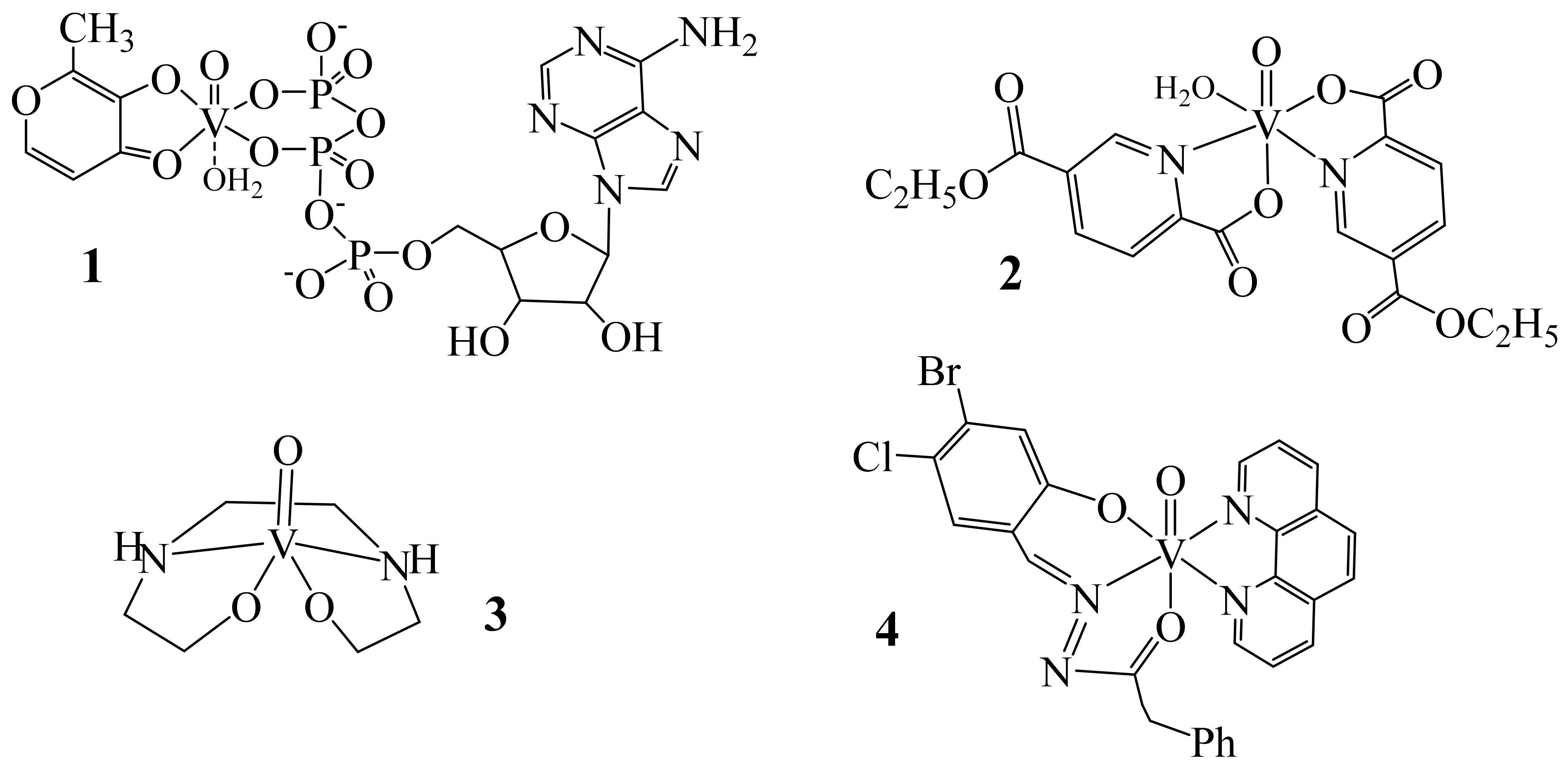
At physiological conditions, VO(maltol)2 (BMOV)—once absorbed intact—undergoes biotransformation, i.e., the compound interacts with the body’s own biomolecules such as haemoglobin [35] and adenosine triphosphate, 1 in Figure 5 [35]. Because of the structural and functional similarity between vanadate and phosphate (H2VO4− and H2PO4− at about neutral conditions—i.e., at a pH of 7 ± 0.5), vanadate can inhibit enzymes that depend on phosphate (examples are alkaline and acid phosphatases, as well as protein tyrosine phosphatase), or it can activate enzymes such as extracellular signal-regulated kinases. The inhibitory effect of vanadate with regard to protein tyrosine phosphatase (where vanadate can replace phosphate and thus deactivate the phosphatase) is a main functional aspect for the anti-diabetic effect of vanadate in the case of type 2 diabetes mellitus, i.e., diabetes as a result of ineffective insulin response: This deactivation of the phosphatase (via binding of vanadate into the active site of the enzyme) prevents dephosphorylation of a membrane-bound tyrosine in the proximity of the insulin receptor. In such a way, the input for the entry of insulin into the cellular compartments is restored and, consequently, also the degradation of intracellular glucose. Albumin and apo-transferrin commonly support the transport of vanadate in the blood. Figure 5 provides a selection of vanadium coordination compounds that have been shown to exhibit anti-diabetic potential. While the picolinato complex 2 remains essentially intact in the gastrointestinal tract, VO(maltol)2 partially dissociates [36].
Figure 5.
A selection of vanadium coordination compounds that have been shown to be effective in the treatment of diabetes mellitus. 1: The compound VO(maltol){ATP} formed in the blood from VO(maltol)2 and adenosine triphosphate (ATP) [37]. 2: A picolinato complex that triggers glucose degradation by simian-virus-modified mice fibroblasts [38]. 3: A diamine complex with insulin-enhancing activity [39]. The o-phenanthroline Schiff base complex 4 is involved in the insulin-signalling pathway and thus related to diabetes [40].
The multiplicity of interactions (covalent and non-covalent binding) of VO(maltol)2 and VO·aq with proteins at physiological conditions has recently been modelled with hen egg lysozyme [41]: Non-covalent binding is observed with cis-[VO(maltol)(H2O)] and [VO(maltol)(H2O)3]+, covalent binding with [VO(H2O)3/4]2+ and cis-[VO(maltol)2]. Coordinating functions of the protein are the C-terminal carboxylates of glutamic acid, aspartic acid and asparagine.
In addition to the potential of vanadium in the amelioration of diabetic symptoms, vanadium coordination compounds are being studied intensively with respect to their applicability in the treatment of cancer. Figure 6 represents a compilation of selected cytotoxic oxidovanadium complexes that exert activity against, inter alia, osteosarcoma cell lines, lymphoblastic leukaemia, hepatic carcinoma, colon, breast and cervical cancer and malignant melanoma.
Figure 6.
A selection of vanadium coordination compounds with anti-cancer activity. 1: VO(oda)phen (oda = oxodiacetate, phen = phenanthroline) and 2: VO(crys)(C2H5OH) (crys = chrysine) are active against human MG-63 osteosarcoma cell lines [42]. Compound 3—which transforms (at physiological conditions) to cis-[VO(Me2phen)2OH]+ and further to [VO(Me2phen)citrate/haemoglobin)]—is effective against, inter alia, lymphoblastic leukaemia [43]. The dipicolinato complex 4 is toxic towards cancer cells such as the hepatic carcinoma cell line Hep3B [44]. For compounds 5 and 6 (effective against HeLa and HT-29 cancer cell lines), see refs. [45,46]. For compound 7, which is more active than cisplatin in the treatment of melanoma and lung cancer cell lines, see ref. [47].
Hydrophobicity of the compound commonly is essential for high cytotoxicity (against cancer cell lines such as colon HT-29, breast MCF-7 and cervical HeLa [48]). Consequently, the activity (cytotoxicity) of maltol-based complexes is steered through its hydrophobicity and thus hydrolytic stability. In addition, cell apoptosis appears to be related to the formation of intracellular reactive oxygen species (ROS), induced by the vanadium complexes [49]. The potentiality of vanadium coordination compound in the treatment of cancer is thus—at least in part—due to the formation of DNA-hurtful ROS [50] in the physiological broth—as depicted in Equation (4). The intracellular formation of ROS (and thus the anti-cancer potentiality) is also activated by dinuclear complexes based on VV/Zn2+ and VV/MoVI [51], while mixed VO2+/M complexes (M = Ni2+, Cu2+, Co3+) show antioxidant as well as anti-cancer activity [52].
VO3+ + O2− → VO2+ + O2•−
Further (potential) health aspects concern the similarity/antagonistic behaviour (in view to the potency as pro- and antioxidants) between VO2+ and Mg2+, and thus, the potentiality of Mg2+ to act as an antagonist to oxidative damage implied by V2+/3+ [53]. As an example of the potential outcome of the toxic impact of vanadium, prenatal exposure to vanadium can go along with the risk of prenatal birth/low birth weight [54]. More generally, vanadium compounds (and thus vanadate and oxidovanadium(IV/V)) employed in health issues can impact intracellular signalling—due to, inter alia, its structural/functional similarity to phosphate and, respectively, other di- and trivalent metal ions [55].
6. Conclusions
In conclusion, vanadium—in its oxidation states +V (VO2+, H2VO4−), +IV (VO2+) and +III (V3+)—is a versatile transition metal employed in nature both as a free ion and incorporated into (coordinated to) sometimes complex organic matrices. The well-established examples are haloperoxidase, nitrogenase and vanadium in amanita mushrooms, ascidians and fan worms. The increasing research activities directed towards vanadium-based, naturally active compounds have inspired explorations into (potential) medicinal applications, in particular, in the treatment of diabetes and cancer, and in implications where bacterial issues are involved. In this respect, the structural and functional similarity between vanadate and phosphate appears to be a relevant if not crucial factor to be reckoned with.
7. Outlook and Perspectives
As far as the medicinal potentiality of vanadium (vanadate, vanadium coordination compounds) is concerned, the response of the pharmaceutical industry so far is conservative and reserved (or—to express the engagement of pharma free from value judgement—rather cautious). This bearing possibly will change, as the importance and the impact of the vanadate–phosphate antagonism in biological and bio-related issues (including medicinal applications) progressively become implemented into standard knowledge, also in the field of health aspects. A more direct involvement, participation and mutual entanglement of/between academics (laboratory experience) and pharmacists (pharmaceutical expertise) should help in establishing acceptance of the (potential) benefits of vanadium-based (coordination) compounds in a medicinal context.
This notion is implemented by naturally occurring functional vanadium compounds in living organisms, such as introduced and briefly surveyed in chs. 3 and 4, i.e., the functional and essential role of vanadium in processes such as (i) reductive nitrogen fixation by N2-fixing bacteria associated with the root nodules of legumes, (ii) halide oxidation by, inter alia, kelps such as the brown macroalga Ascophyllum nodosum, causing the oxidative annihilation of invasive bacteria, (iii) the oxidative annihilation of low-valent sulphur contaminants through vanadate accumulated in ascidians and (iv) the reductive elimination of—potentially toxic—vanadate by certain bacterial strains (such as Pseudomonas vanadiumreducens).
Funding
This research received no external funding.
Data Availability Statement
Not applicable.
Conflicts of Interest
The author declares no conflict of interest.
References
- Huang, J.-H.; Huang, F.; Evans, L.; Glasauer, S. Vanadium: Global (bio)geochemistry. Chem. Geol. 2015, 417, 68–89. [Google Scholar] [CrossRef]
- Awan, R.S.; Liu, C.; Yang, S.; Wu, Y.; Zang, Q.; Khan, A.; Li, G. The occurrence of vanadium in nature: Its biogeochemical cycling and relationship with organic matter—A case study of the early Cambrian black rocks of the niutitang formation, western Hunan, China. Acta Geochim. 2021, 40, 973–997. [Google Scholar] [CrossRef]
- Hanus-Fajerska, E.; Wiszniewska, A.; Kaminska, I. A dual role of vanadium in environmental systems—Beneficial and detrimental effects on terrestrial plants and humans. Plants 2021, 10, 1110. [Google Scholar] [CrossRef] [PubMed]
- Garribba, E.; Sanna, D.; Dinda, R.; Costa Pessoa, J.; Crans, D.C. Hydrolysis, ligand exchange and redox properties of vanadium compounds. Implications of solution transformation and environment, biology and therapeutic applications. Chem. Rev. 2023, in press. [Google Scholar]
- Schlesinger, W.H.; Klein, E.M.; Vengosh, A. Global biogeochemical cycle of vanadium. Proc. Natl. Acad. Sci. USA 2017, 114, E11092–E11100. [Google Scholar] [CrossRef]
- Gustafsson, J.P. Vanadium geochemistry in the biogeosphere—Speciation, soli-solution interactions, and ecotoxicity. Appl. Geochem. 2019, 102, 1–25. [Google Scholar] [CrossRef]
- Langeslay, R.R.; Kaphan, D.M.; Marshall, C.L.; Stair, P.C.; Sattelberger, A.P.; Delferro, M. Catalytic applications of vanadium: A mechanistic perspective. Chem. Rev. 2019, 119, 2128–2191. [Google Scholar] [CrossRef]
- Fournier, J.B.; Rebuffet, E.; Delage, L.; Grijol, R.; Meslet-Gladièr, L.; Rzonca, J.; Potin, P.; Michel, G.; Czjzek, M.; Leblanc, C. The vanadium iodoperoxidases from the marine Flavobacteriaceae Species Zobiella galactanivorans reveals novel molecular and evolutionary features of halide specifity in the vanadium haloperoxidase enzyme family. Appl. Environ. Microbiol. 2014, 80, 7561–7573. [Google Scholar] [CrossRef]
- Xu, G.; Wang, B.-G. Independent evolution of six families of halogenating enzymes. PLoS ONE 2016, 11, e0154619. [Google Scholar] [CrossRef]
- Vilter, H.; Glombitza, K.-W.; Grave, A. A role for vanadium in ascidians and marine algae. Bot. Mar. 1983, 26, 331–340. [Google Scholar]
- Butler, A. Vanadium peroxidases. Curr. Opin. Chem. Biol. 1998, 2, 279–285. [Google Scholar] [CrossRef]
- Baumgartner, J.T.; McKinnie, S.M.K. Investigating the role of vanadium-dependent haloperoxidase enzymology in microbial secondary metabolism and chemical ecology. mSystems 2021, 6, e00780-21. [Google Scholar] [CrossRef]
- Harwood, C.S. Iron-only and vanadium nitrogenase: Fail-safe enzymes or something more? Ann. Rev. 2020, 74, 247–266. [Google Scholar] [CrossRef]
- Darnajoux, R.; Bradley, R.; Bellenger, J.-P. In Vivo temperature dependence of molybdenum and vanadium nitrogenase activity in the heterocystous cyanobacteria Anabaena variabilis. Environ. Sci. Technol. 2022, 56, 2760–2769. [Google Scholar] [CrossRef]
- Hodkinson, B.P.; Allen, J.L.; Forrest, L.L.; Goffinet, B.; Sérusiaux, E.; Andrésson, Ó.S.; Miao, V.; Bellenger, J.P.; Lutzoni, F. Lichen-symbiontic cyanobacteria associated with Peltigera have an alternative vanadium-dependent nitrogen fixing system. Eur. J. Phycol. 2014, 49, 11–19. [Google Scholar] [CrossRef]
- Rohde, M.; Laun, K.; Einsle, O. Two ligands binding sites in CO-reducing V nitrogenase reveal a general mechanistic principle. Sci. Adv. 2021, 7, eabg4474. [Google Scholar] [CrossRef]
- Zheng, Y.; Harrsi, D.F.; Yu, Z.; Fu, Y.; Poudel, S.; Ledbetter, R.N.; Fixen, K.R.; Yang, Z.-Y.; Boyd, E.S.; Lidstrom, M.E.; et al. A pathway for biological methane production using bacterial iron-only nitrogenase. Nat. Microbiol. 2018, 3, 281–286. [Google Scholar] [CrossRef]
- Braeuer, S.; Walenta, M.; Steiner, L.; Goessler, W. Determination of the naturally occurring vanadium complex amavadin in Amanita muscaria with HPLC-ICPMS. J. Anal. At. Spectrom. 2021, 36, 954–967. [Google Scholar] [CrossRef]
- Dias, L.; Bekhti, N.; Kuznetsov, M.L.; Ferreira, J.A.B.; Bacariza, M.C.; da Silva, J.A.L. Nitrite reduction in aqueous solution mediated by amavadin homologues: N2O formation and water oxidation. Chem. Eur. J. 2017, 24, 2474–2482. [Google Scholar] [CrossRef]
- Yamaguchi, N.; Yoshinaga, M.; Kamino, K.; Ueki, T. Vanadium-binding ability of nucleoside diphosphate kinase from the vanadium-rich fan worm, Pseudopotomilla occelata. Zool. Sci. 2016, 33, 266–271. [Google Scholar] [CrossRef]
- Ueki, T.; Yamaguchi, N.; Romaidi; Isago, Y.; Tanahashi, H. Vanadium accumulation in ascidians: A system overview. Coord. Chem. Rev. 2015, 301–302, 300–308. [Google Scholar] [CrossRef]
- Romaidi; Ueki, T. Bioaccumulation of Vanadium by Vanadium-Resistant Bacteria Isolated from the Intestine of Ascidia sydneiensis samea. Mar. Biotechnol. 2016, 18, 359–371. [Google Scholar] [CrossRef] [PubMed]
- Ueki, T.; Fujie, M.; Romaidi; Satoh, N. Symbiotic bacteria associated with ascidian vanadium accumulation identified by 16S rRNA amplicon sequencing. Mar. Genom. 2019, 43, 33–42. [Google Scholar] [CrossRef] [PubMed]
- Lee, C.-H.; Lin, D.-J.; Pan, H.R.; Wu, J.; Liu, H.-K.; Hsu, H.-F. Reversible conversion of disulfide/dithiolate occurring at a vanadium(IV) centre: A biomimetic system for redox exchange in vanabin. Inorg. Chem. 2022, 61, 19882–19889. [Google Scholar] [CrossRef]
- Boison, G.; Steingen, C.; Stal, L.J.; Bothe, H. The rice field cyanobacteria Anabaena azotica and Anabaena sp. CH1 express vanadium-dependent nitrogenase. Arch. Microbiol. 2006, 186, 367–376. [Google Scholar] [CrossRef]
- Zhang, J.; Dong, H.; Zhao, L.; McCarrick, R.; Agrawal, A. Microbial reduction and precipitation of vanadium by mesophilic and thermophilic methanogens. Chem. Geol. 2014, 370, 29–39. [Google Scholar] [CrossRef]
- Wang, S.; Zhang, B.; Li, T.; Li, Z.; Fu, J. Soil vanadium(V) reducing related bacteria drive community response to vanadium pollution from a smelting plant over multiple gradients. Environ. Int. 2020, 138, 105630. [Google Scholar] [CrossRef]
- Semiz, S. Vanadium as potential therapeutic agent for COVID-19: A focus on its antiviral, anti-inflammatory, and antihyperglycemic effects. J. Trace Elem. Med. Biol. 2022, 69, 126887. [Google Scholar] [CrossRef]
- Lyonnet, B.; Martz, X.; Martin, E. L’emploi thérapeutique des dérivés du vanadium. La Presse Méd. 1899, 32, 191–192. [Google Scholar]
- Sharfalddin, A.A.; Al-Younis, I.M.; Mohammed, H.A.; Dhahri, M.; Mouffouk, F.; Abu Ali, H.; Anwar, M.J.; Quershi, K.A.; Hussien, M.A.; Alghrably, M.; et al. Therapeutic properties of vanadium complexes. Inorganics 2022, 10, 244. [Google Scholar] [CrossRef]
- Wang, J.P.; Zhang, K.Y.; Ding, X.M.; Bai, S.P.; Zeng, Q.F.; Xuan, Y.; Su, Z.W. High-fat diet increased renal and hepatic oxidative stress induced by vanadium Wistar rat. Biol. Trace Elem. Res. 2016, 170, 415–423. [Google Scholar] [CrossRef]
- Shechter, Y.; Karlish, S.J.D. Insulin-like stimulation of glucose oxidation in rat adipocytes by vanadyl(IV) ions. Nature 1980, 284, 556–558. [Google Scholar] [CrossRef]
- Elvingson, K.; Baró, A.G.; Pettersson, L. Speciation in vanadium bioinorganic systems. 2. An NMR, ESR, and Potentiometric Study of the Aqueous H+-Vanadate-Maltol System. Inorg. Chem. 1996, 33, 3388–3393. [Google Scholar] [CrossRef]
- Thomsen, K.H.; Orvig, C.J. Vanadium in diabetes: 100 years from phase 0 to phase I. Inorg. Biochem. 2006, 100, 1925–1935. [Google Scholar]
- Sanna, D.; Serra, M.; Micera, G.; Garribba, E. Interaction of antidiabetic vanadium compounds with hemoglobin and red blood cells and their distribution between plasma and erythrocytes. Inorg. Chem. 2014, 53, 1449–1464. [Google Scholar] [CrossRef]
- Dörnyei, Á.; Marcão, S.; Costa Pessoa, J.; Jakusch, T.; Kiss, T. Interactions of Insulin-Mimetic Vanadium Complexes with the Cell Constituents ATP and Glutathione. Eur. J. Inorg. Chem. 2006, 18, 3614–3621. [Google Scholar] [CrossRef]
- Gätjens, J.; Meier, B.; Kiss, T.; Nagy, E.M.; Buglyó, P.; Sakurai, H.; Kawabe, K.; Rehder, D. A new family of insulin-mimetic vanadium complexes derived from 5-carboxyalkoxypicolinates. Chem. Eur. J. 2003, 9, 4924–4935. [Google Scholar] [CrossRef]
- Levina, A.; McLeod, A.I.; Kremer, L.E.; Aitken, J.B.; Glover, C.J.; Johannessen, B.; Lay, P.A. Reactivity-activity relationship of oral antidiabetic vanadium complexes in gastrointestinal media: An X-ray absorption spectroscopic study. Metallomics 2014, 6, 180–1888. [Google Scholar] [CrossRef]
- Lima, L.M.A.; Belia, M.F.; Silva, W.A.; Postal, K.; Kostenkova, K.; Crans, D.C.; Rossiter, A.K.F.F.; da Silva, V.A. Vanadium(IV)-diamin complex with hypoglycemic activity and a reduction of testicular atrophy. J. Inorg. Biochem. 2021, 216, 111312. [Google Scholar] [CrossRef]
- Jasinska, A.; Szklarzewicz, J.; Jurowska, A.; Hodorowicz, M.; Kazek, G.; Mordyl, B.; Gluch-Lutwin, M. V(III) and V(IV) Schiff base complexes as potential insulin-mimetic compounds—Comparison, characterization and biological activity. Polyhedron 2022, 215, 115682. [Google Scholar] [CrossRef]
- Ferraro, G.; Paolillo, M.; Sciortino, G.; Garribba, E.; Merlino, A. Multiple and Variable Binding of Pharmacologically Active Bis(maltolato)oxidovanadium(IV) to Lysozyme. Inorg. Chem. 2022, 61, 16458–16467. [Google Scholar] [CrossRef] [PubMed]
- León, J.E.; Butenko, N.; Di Virgilio, A.L.; Muglia, C.I.; Cavaco, I.; Etcheverry, S.B. Vanadium and cancer Treatment: Antitumoral mechanisms of three oxidovanadium(IV) complexes on a human osteosarcoma cell line. J. Inorg. Biochem. 2014, 134, 106–117. [Google Scholar] [CrossRef] [PubMed]
- León, I.E.; Díez, P.; Etcheverry, S.B.; Fuentes, M. Deciphering the effect of an oxovanadium(IV) complex with flavonoid chrysin (VOChrys) on intracellular cell signalling pathways in an osteosarcoma cell line. Metallomics 2016, 8, 739–749. [Google Scholar] [CrossRef] [PubMed]
- Sanna, D.; Ugone, V.; Micera, G.; Buglyó, P.; Bíró, L.; Garribba, E. Speciation in human blood of Metvan, a vanadium based potential anti-tumor drug. Dalton Trans. 2017, 46, 8950–8967. [Google Scholar] [CrossRef] [PubMed]
- Biswal, D.; Pramanik, N.R.; Chakrabarti, S.; Drew, M.G.B.; Acharya, K.; Chandra, S. Synthesis, crystal structure, DFT calculations, protein interaction and anticancer activities of water soluble dipicolinic acid-imidazole based oxidovanadium(IV) complexes. Dalton Trans. 2017, 46, 16682–16702. [Google Scholar] [CrossRef]
- Mohanty, M.; Maurya, S.K.; Banerjee, A.; Patra, S.A.; Maurya, M.R.; Crochet, A.; Brzezinski, K.; Dinda, R. In vitro cytotoxicity and catalytic evaluation of dioxidovanadium(V) complexes in an azohydrazone ligand environment. New J. Chem. 2019, 43, 17680–17695. [Google Scholar] [CrossRef]
- Sahu, G.; Banerjee, A.; Samanta, R.; Mohanty, M.; Lima, S.; Tiekink, E.R.T.; Dinda, R. Water-Soluble Dioxidovanadium(V) Complexes of Aroylhydrazones: DNA/BSA Interactions, Hydrophobicity, and cell-Selective Anticancer Potential. Inorg. Chem. 2021, 60, 15291–15309. [Google Scholar] [CrossRef]
- Ribeiro, N.; Bulut, I.; Oósa, V.; Sewrgi, B. Solution chemical properties and anticancer potential of 8-hydroxyquinoline hydrazones and their oxidovanadium(IV) complexes. J. Inorg. Biochem. 2022, 235, 111932. [Google Scholar] [CrossRef]
- Sahu, G.; Patra, S.A.; Pattanayak, P.D.; Kaminsky, W.; Dinda, R. LVVO-Ethyl Maltol-Based Metallodrugs (L2− = Tridentate ONO Ligands): Hydrophobicity, Hydrolytic Stability, and Cytotoxicity via ROS-Mediated Apoptosis. Inorg. Chem. 2023, 62, 6722–6739. [Google Scholar] [CrossRef]
- Nunes, P.; Yildizhan, Y.; Adiguzel, Z.; Marques, F.; Costa Pessoa, J.; Acilan, C. Copper(II) and oxidovanadium(IV) complexes of chromone Schiff bases as potential anticancer agents. J. Biol. Inorg. Chem. 2022, 27, 89–109. [Google Scholar] [CrossRef]
- Loizou, M.; Papaphilippou, P.; Vlasiou, M.; Spilia, M.; Peschos, D.; Simos, Y.V.; Keramidas, A.D.; Drouza, C. Binuclear VIV/V, MoVI and ZnII—Hydroquinonate complexes: Synthesis, stability, oxidative activity and anticancer properties. J. Inorg. Biochem. 2022, 235, 111911. [Google Scholar] [CrossRef]
- Talebi, A.; Salehi, M.; Khaleghian, A.; Kubicki, M. Evaluation of anticancer activities, molecular docking, and antioxidant studies of new Ni(II), VO(IV), Cu(II) and Co(III) Schiff base complexes. Inorg. Chim. Acta 2023, 546, 121296. [Google Scholar] [CrossRef]
- Scibior, A. Vanadium (V) and manganese (Mg)—In vivo interaction: A review. Chem.-Biol. Interact. 2016, 258, 214–233. [Google Scholar] [CrossRef]
- Hu, J.; Xia, W.; Pan, X.; Zheng, T.; Zhang, B.; Zhou, A.; Buka, S.L.; Bassig, B.A.; Liu, W.; Wu, C.; et al. Association of adverse birth outcomes with prenatal exposure to vanadium: A population-based cohort study. Lancet Planet. Health 2017, 1, e230–e241. [Google Scholar] [CrossRef]
- Korbecki, J.; Baranowska-Bosiacka, I.; Gutowska, I.; Chlubek, D. Vanadium Compounds as Pro-inflammatory Agents: Effects on Cyclooxygenases. Int. J. Mol. Sci. 2015, 16, 12648–12668. [Google Scholar] [CrossRef]
Disclaimer/Publisher’s Note: The statements, opinions and data contained in all publications are solely those of the individual author(s) and contributor(s) and not of MDPI and/or the editor(s). MDPI and/or the editor(s) disclaim responsibility for any injury to people or property resulting from any ideas, methods, instructions or products referred to in the content. |
© 2023 by the author. Licensee MDPI, Basel, Switzerland. This article is an open access article distributed under the terms and conditions of the Creative Commons Attribution (CC BY) license (https://creativecommons.org/licenses/by/4.0/).





