Fe3O4-ZnO:V Nanocomposites with Modulable Properties as Magnetic Recoverable Photocatalysts
Abstract
1. Introduction
2. Results and Discussions
2.1. Structural and Morphological Investigations of Fe3O4-ZnO:V Nanocomposites
2.2. Optical Properties of Fe3O4-ZnO:V Nanocomposites
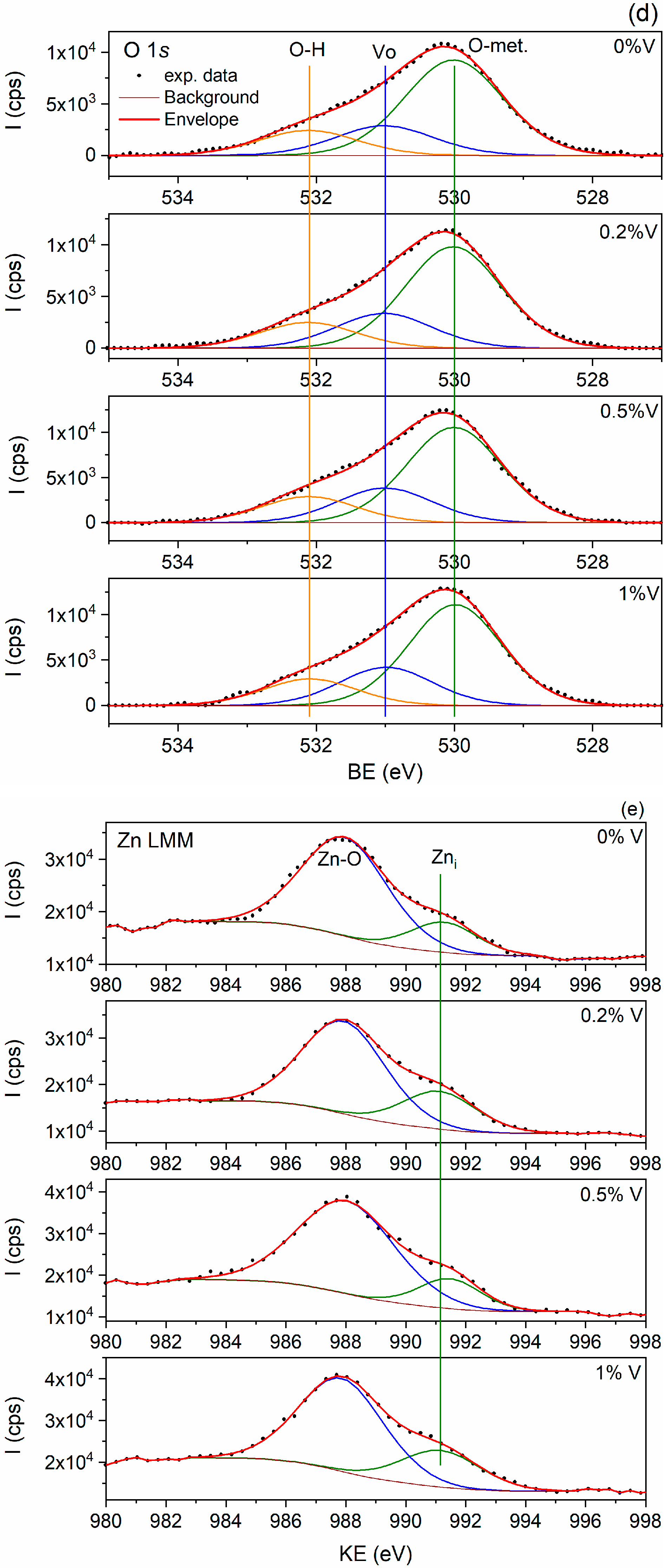
2.3. Compositional Analysis by XPS
2.4. Magnetic Characterization of Fe3O4-ZnO:V Nanocomposites
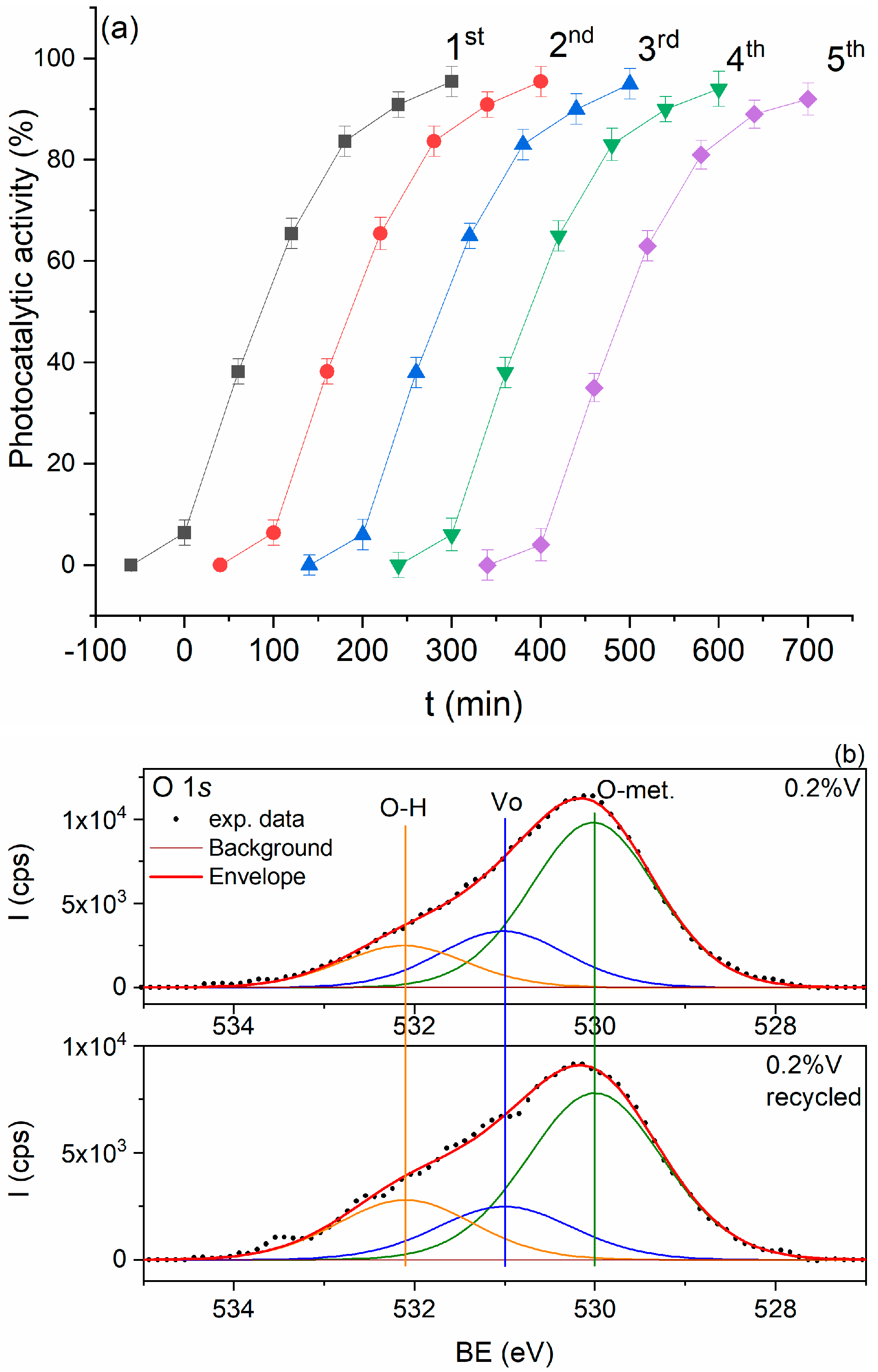
2.5. Photocatalytic Properties
2.5.1. Effect of the Solution pH on Pollutant Elimination
2.5.2. Effect of Photocatalyst Dosage
2.6. Reactive Oxygen Species Generation
2.7. Stability Tests
2.8. Electrochemical Studies
3. Experimental Part
3.1. Materials
3.2. Sample Preparation
3.3. Methods
4. Conclusions
Author Contributions
Funding
Data Availability Statement
Conflicts of Interest
References
- Dicker, M.P.M.; Duckworth, P.F.; Baker, A.B.; Francois, G.; Hazzard, M.K.; Weaver, P.M. Green Composites: A Review of Material Attributes and Complementary Applications. Compos. Part A Appl. Sci. Manuf. 2014, 56, 280–289. [Google Scholar] [CrossRef]
- Baig, N.; Kammakakam, I.; Falath, W.; Kammakakam, I. Nanomaterials: A Review of Synthesis Methods, Properties, Recent Progress, and Challenges. Mater. Adv. 2021, 2, 1821–1871. [Google Scholar] [CrossRef]
- Roychowdhury, A.; Pati, S.P.; Mishra, A.K.; Kumar, S.; Das, D. Magnetically Addressable Fluorescent Fe3O4/ZnO Nanocomposites: Structural, Optical and Magnetization Studies. J. Phys. Chem. Solids 2013, 74, 811–818. [Google Scholar] [CrossRef]
- Bahari, A.; Roeinfard, M.; Ramzannezhad, A.; Khodabakhshi, M.; Mohseni, M. Nanostructured Features and Antimicrobial Properties of Fe3O4/ZnO Nanocomposites. Natl. Acad. Sci. Lett. 2019, 42, 9–12. [Google Scholar] [CrossRef]
- Winatapura, D.S.; Dewi, S.H.; Adi, W.A. Synthesis, Characterization, and Photocatalytic Activity of Fe3O4@ZnO Nanocomposite. Int. J. Technol. 2016, 7, 408–416. [Google Scholar] [CrossRef]
- Feng, Q.; Li, S.; Ma, W.; Fan, H.J.; Wan, X.; Lei, Y.; Chen, Z.; Yang, J.; Qin, B. Synthesis and Characterization of Fe3O4/ZnO-GO Nanocomposites with Improved Photocatalytic Degradation Methyl Orange under Visible Light Irradiation. J. Alloys Compd. 2018, 737, 197–206. [Google Scholar] [CrossRef]
- Liu, K.; Qin, Y.; Muhammad, Y.; Zhu, Y.; Tang, R.; Chen, N.; Shi, H.; Zhang, H.; Tong, Z.; Yu, B. Effect of Fe3O4 Content and Microwave Reaction Time on the Properties of Fe3O4/ZnO Magnetic Nanoparticles. J. Alloys Compd. 2019, 781, 790–799. [Google Scholar] [CrossRef]
- Sayadi, M.H.; Sobhani, S.; Shekari, H. Photocatalytic Degradation of Azithromycin Using GO@Fe3O4/ZnO/SnO2 Nanocomposites. J. Clean. Prod. 2019, 232, 127–136. [Google Scholar] [CrossRef]
- Grecu, R.; Popovici, E.J.; Lǎdar, M.; Pascu, L.; Indrea, E. Spectroscopic Characterization of Chemical Bath Deposited Cadmium Sulphide Layers. J. Optoelectron. Adv. Mater. 2004, 6, 127–132. [Google Scholar]
- Popa, A.; Toloman, D.; Stan, M.; Stefan, M.; Radu, T.; Vlad, G.; Ulinici, S.; Baisan, G.; Macavei, S.; Barbu-Tudoran, L.; et al. Tailoring the RhB Removal Rate by Modifying the PVDF Membrane Surface through ZnO Particles Deposition. J. Inorg. Organomet. Polym. Mater. 2021, 31, 1642–1652. [Google Scholar] [CrossRef]
- Pana, O.; Leostean, C.; Soran, M.L.; Stefan, M.; Macavei, S.; Gutoiu, S.; Pop, V.; Chauvet, O. Synthesis and Characterization of Fe-Pt Based Multishell Magnetic Nanoparticles. J. Alloys Compd. 2013, 574, 477–485. [Google Scholar] [CrossRef]
- Zhu, D.; Zhou, Q. Action and Mechanism of Semiconductor Photocatalysis on Degradation of Organic Pollutants in Water Treatment: A Review. Environ. Nanotechnol. Monit. Manag. 2019, 12, 100255. [Google Scholar] [CrossRef]
- Ramadan, R.; Ahmed, M.K. Impact of Adding Vanadium Pentoxide to Mn-Doped Magnetite for Technological Uses. Appl. Phys. A Mater. Sci. Process. 2022, 128, 1056. [Google Scholar] [CrossRef]
- Abbasi, S.; Ahmadpoor, F.; Imani, M.; Ekrami-Kakhki, M.S. Synthesis of Magnetic Fe3O4@ZnO@graphene Oxide Nanocomposite for Photodegradation of Organic Dye Pollutant. Int. J. Environ. Anal. Chem. 2020, 100, 225–240. [Google Scholar] [CrossRef]
- Ammar, S.H.; Abdulnabi, W.A.; Kader, H.D.A. Synthesis, Characterization and Environmental Remediation Applications of Polyoxometalates-Based Magnetic Zinc Oxide Nanocomposites (Fe3O4@ZnO/PMOs). Environ. Nanotechnol. Monit. Manag. 2020, 13, 100289. [Google Scholar] [CrossRef]
- Kulkarni, S.D.; Kumbar, S.M.; Menon, S.G.; Choudhari, K.S.; Santhosh, C. Novel Magnetically Separable Fe3O4@ZnO Core–Shell Nanocomposite for UV and Visible Light Photocatalysis. Adv. Sci. Lett. 2017, 23, 1724–1729. [Google Scholar] [CrossRef]
- Zou, P.; Hong, X.; Chu, X.; Li, Y.; Liu, Y. Multifunctional Fe3O4/ZnO Nanocomposites with Magnetic and Optical Properties. J. Nanosci. Nanotechnol. 2010, 10, 1992–1997. [Google Scholar] [CrossRef] [PubMed]
- Goyal, P.; Chakraborty, S.; Misra, S.K. Multifunctional Fe3O4-ZnO Nanocomposites for Environmental Remediation Applications. Environ. Nanotechnol. Monit. Manag. 2018, 10, 28–35. [Google Scholar] [CrossRef]
- Domínguez-Talamantes, D.; Vargas-Hernández, D.; Hernández-Oloño, J.; Rodríguez-Castellón, E.; Arellano-Cortaza, M.; Castillo, S.; Tánori-Córdova, J. Enhanced photocatalytic activity of FeSO4 in a ZnO photocatalyst with H2O2 for dye degradation. Optik 2024, 304, 171753. [Google Scholar] [CrossRef]
- Chen, X.; Wu, Z.; Liu, D.; Gao, Z. Preparation of ZnO Photocatalyst for the Efficient and Rapid Photocatalytic Degradation of Azo Dyes. Nanoscale Res. Lett. 2017, 12, 4–13. [Google Scholar] [CrossRef]
- Pogacean, F.; Ştefan, M.; Toloman, D.; Popa, A.; Leostean, C.; Turza, A.; Coros, M.; Pana, O.; Pruneanu, S. Photocatalytic and Electrocatalytic Properties of NGr-ZnO Hybrid Materials. Nanomaterials 2020, 10, 1473. [Google Scholar] [CrossRef] [PubMed]
- Munawar, T.; Alomar, T.S.; Yan, C.; Fatima, S.; Mukhtar, F.; Zakaria, Y.; Iqbal, F. Boosted Charge Separation via Ce2S3 over Dual Z-Scheme ZnO–Ce2S3–MnO2 Core Double-Shell Nanocomposite for the Degradation of Diverse Dye Pollutants. Environ. Res. 2024, 251, 118675. [Google Scholar] [CrossRef] [PubMed]
- Pana, O.; Petran, A.; Popa, A.; Stefan, M.; Danut, T.; Leostean, C.; Stefan, B.; Pogacean, F.; Toloman, D. ZnxFe3-xO4–ZnO Heterojunction Interfaced with Poly (L-DOPA) Electron Transfer Mediator Layer for Enhanced Visible Light Photocatalytic Activity. J. Alloys Compd. 2024, 986, 174168. [Google Scholar] [CrossRef]
- Jothibas, M.; Manoharan, C.; Johnson Jeyakumar, S.; Praveen, P.; Kartharinal Punithavathy, I.; Prince Richard, J. Synthesis and Enhanced Photocatalytic Property of Ni Doped ZnS Nanoparticles. Sol. Energy 2018, 159, 434–443. [Google Scholar] [CrossRef]
- Quynh Hoa, N.T.; Lee, Z.; Kim, E.-T. Enhanced Photocatalytic Properties of TiO2 Nanobelts via In Situ Doping of C and Fe. J. Electrochem. Soc. 2011, 159, K42–K45. [Google Scholar] [CrossRef]
- Liu, C.; Zhang, L.; Liu, R.; Gao, Z.; Yang, X.; Tu, Z.; Yang, F.; Ye, Z.; Cui, L.; Xu, C.; et al. Hydrothermal Synthesis of N-Doped TiO2 Nanowires and N-Doped Graphene Heterostructures with Enhanced Photocatalytic Properties. J. Alloys Compd. 2016, 656, 24–32. [Google Scholar] [CrossRef]
- Yu, J.; Xiang, Q.; Zhou, M. Preparation, Characterization and Visible-Light-Driven Photocatalytic Activity of Fe-Doped Titania Nanorods and First-Principles Study for Electronic Structures. Appl. Catal. B Environ. 2009, 90, 595–602. [Google Scholar] [CrossRef]
- Alasmari, A.; Alshehri, K.; Azab, A.A.; Solyman, S. Detailed Investigation of the Structural and Electrical Properties of ZnO/Fe3O4 Nanocomposites. Phys. Scr. 2024, 99, 035921. [Google Scholar] [CrossRef]
- Elshypany, R.; Selim, H.; Zakaria, K.; Moustafa, A.H.; Sadeek, S.A.; Sharaa, S.I.; Raynaud, P.; Nada, A.A. Elaboration of Fe3O4/ZnO Nanocomposite with Highly Performance Photocatalytic Activity for Degradation Methylene Blue under Visible Light Irradiation. Environ. Technol. Innov. 2021, 23, 101710. [Google Scholar] [CrossRef]
- Collivignarelli, M.C.; Abbà, A.; Miino, M.C.; Caccamo, F.M.; Torretta, V.; Rada, E.C.; Sorlini, S. Disinfection of Wastewater by Uv-Based Treatment for Reuse in a Circular Economy Perspective. Where Are We At? Int. J. Environ. Res. Public Health 2021, 18, 77. [Google Scholar] [CrossRef]
- Ferreira, L.C.; Castro-Alférez, M.; Nahim-Granados, S.; Polo-López, M.I.; Lucas, M.S.; Li Puma, G.; Fernández-Ibáñez, P. Inactivation of Water Pathogens with Solar Photo-Activated Persulfate Oxidation. Chem. Eng. J. 2020, 381, 122275. [Google Scholar] [CrossRef]
- Rahman, Q.I.; Ahmad, M.; Misra, S.K.; Lohani, M. Effective Photocatalytic Degradation of Rhodamine B Dye by ZnO Nanoparticles. Mater. Lett. 2013, 91, 170–174. [Google Scholar] [CrossRef]
- Al-Gheethi, A.A.; Azhar, Q.M.; Senthil Kumar, P.; Yusuf, A.A.; Al-Buriahi, A.K.; Radin Mohamed, R.M.S.; Al-shaibani, M.M. Sustainable Approaches for Removing Rhodamine B Dye Using Agricultural Waste Adsorbents: A Review. Chemosphere 2022, 287, 132080. [Google Scholar] [CrossRef] [PubMed]
- Zheng, Q.; Liu, X.; Tian, L.; Zhou, Y.; Liao, L.; Lv, G. Mechanism of Fenton Catalytic Degradation of Rhodamine B Induced by Microwave. Chin. Chem. Lett. 2024, 109771. [Google Scholar] [CrossRef]
- Wang, J.; Yang, J.; Li, X.; Wang, D.; Wei, B.; Song, H.; Li, X.; Fu, S. Preparation and Photocatalytic Properties of Magnetically Reusable Fe3O4@ZnO Core/Shell Nanoparticles. Phys. E Low-Dimens. Syst. Nanostructures 2016, 75, 66–71. [Google Scholar] [CrossRef]
- Al-Buriahi, A.K.; Al-Gheethi, A.A.; Senthil Kumar, P.; Radin Mohamed, R.M.S.; Yusof, H.; Alshalif, A.F.; Khalifa, N.A. Elimination of Rhodamine B from Textile Wastewater Using Nanoparticle Photocatalysts: A Review for Sustainable Approaches. Chemosphere 2022, 287, 132162. [Google Scholar] [CrossRef] [PubMed]
- Rochkind, M.; Pasternak, S.; Paz, Y. Using Dyes for Evaluating Photocatalytic Properties: A Critical Review. Molecules 2015, 20, 88–110. [Google Scholar] [CrossRef] [PubMed]
- Pham, H.L.; Hao Nguyen, V.; Vu, T.T.; Khien Nguyen, V.; Ta, N.B.; Le, T.T.; Dang Nguyen, V.; Phung, T.O. Novel 3D Hierarchical Nanostructure of Fe3O4/ZnO Hybrid Composites for Enhanced Solar Light Photocatalytic Performance. J. Mater. Sci. Mater. Electron. 2021, 32, 25018–25032. [Google Scholar] [CrossRef]
- Ahmad, M.; Qureshi, M.T.; Rehman, W.; Alotaibi, N.H.; Gul, A.; Abdel Hameed, R.S.; Al Elaimi, M.; Abd El-Kader, M.F.H.; Nawaz, M.; Ullah, R. Enhanced Photocatalytic Degradation of RhB Dye from Aqueous Solution by Biogenic Catalyst Ag@ZnO. J. Alloys Compd. 2022, 895, 162636. [Google Scholar] [CrossRef]
- Li, X.; Liu, D.; Song, S.; Zhang, H. Fe3O4@SiO2@TiO2@Pt Hierarchical Core-Shell Microspheres: Controlled Synthesis, Enhanced Degradation System, and Rapid Magnetic Separation to Recycle. Cryst. Growth Des. 2014, 14, 5506–5511. [Google Scholar] [CrossRef]
- Williamson, G.K.; Hall, W.H. X-Ray Line Broadening from Filed Aluminium and Wolfram. Acta Metall. 1953, 1, 22–31. [Google Scholar] [CrossRef]
- Vijayaprasath, G.; Murugan, R.; Palanisamy, S.; Prabhu, N.M.; Mahalingam, T.; Hayakawa, Y.; Ravi, G. Role of Nickel Doping on Structural, Optical, Magnetic Properties and Antibacterial Activity of ZnO Nanoparticles. Mater. Res. Bull. 2016, 76, 48–61. [Google Scholar] [CrossRef]
- Fatima, H.; Azhar, M.R.; Khiadani, M.; Zhong, Y.; Wang, W.; Su, C.; Shao, Z. Prussian Blue-Conjugated ZnO Nanoparticles for near-Infrared Light-Responsive Photocatalysis. Mater. Today Energy 2022, 23, 100895. [Google Scholar] [CrossRef]
- Lavorato, G.; Lima, E.; Vasquez Mansilla, M.; Troiani, H.; Zysler, R.; Winkler, E. Bifunctional CoFe2O4/ZnO Core/Shell Nanoparticles for Magnetic Fluid Hyperthermia with Controlled Optical Response. J. Phys. Chem. C 2018, 122, 3047–3057. [Google Scholar] [CrossRef]
- Alyamani, A.A.; Albukhaty, S.; Aloufi, S.; Almalki, F.A.; Al-Karagoly, H.; Sulaiman, G.M. Green Fabrication of Zinc Oxide Nanoparticles Using Phlomis Leaf Extract: Characterization and in Vitro Evaluation of Cytotoxicity and Antibacterial Properties. Molecules 2021, 26, 6140. [Google Scholar] [CrossRef] [PubMed]
- El Ghoul, J. Synthesis of Vanadium Doped ZnO Nanoparticles by Sol–Gel Method and Its Characterization. J. Mater. Sci. Mater. Electron. 2016, 27, 2159–2165. [Google Scholar] [CrossRef]
- Mrabet, S.; Ihzaz, N.; Alshammari, M.; Khlifi, N.; Ba, M.; Bessadok, M.N.; Mejri, I.H.; El Mir, L. Structural, Optical, and Magnetic Properties of V-Doped ZnO Nanoparticles and the Onset of Ferromagnetic Order. J. Alloys Compd. 2022, 920, 165920. [Google Scholar] [CrossRef]
- Sin, J.C.; Tan, S.Q.; Quek, J.A.; Lam, S.M.; Mohamed, A.R. Facile Fabrication of Hierarchical Porous ZnO/Fe3O4 Composites with Enhanced Magnetic, Photocatalytic and Antibacterial Properties. Mater. Lett. 2018, 228, 207–211. [Google Scholar] [CrossRef]
- Safeen, K.; Safeen, A.; Arif, D.; Shah, W.H.; Ali, A.; Ali, G.; Hussain, F.; Imran, N.; Ullah Shah, A.; Alataway, A.; et al. Tuning the Optical Properties of ZnO by Co and Gd Doping for Water Pollutant Elimination. Water 2023, 15, 1470. [Google Scholar] [CrossRef]
- Ji, H.; Cai, C.; Zhou, S.; Liu, W. Structure, Photoluminescence, and Magnetic Properties of Co-Doped ZnO Nanoparticles. J. Mater. Sci. Mater. Electron. 2018, 29, 12917–12926. [Google Scholar] [CrossRef]
- Chiang, Y.D.; Chang, W.Y.; Ho, C.Y.; Chen, C.Y.; Ho, C.H.; Lin, S.J.; Wu, T.B.; He, J.H. Single-ZnO-Nanowire Memory. IEEE Trans. Electron Devices 2011, 58, 1735–1740. [Google Scholar] [CrossRef]
- Nichols, M.T.; Li, W.; Pei, D.; Antonelli, G.A.; Lin, Q.; Banna, S.; Nishi, Y.; Shohet, J.L. Measurement of Bandgap Energies in Low-k Organosilicates. J. Appl. Phys. 2014, 115, 094105. [Google Scholar] [CrossRef]
- Li, S.S.; Su, Y.K. Improvement of the Performance in Cr-Doped ZnO Memory Devices: Via Control of Oxygen Defects. RSC Adv. 2019, 9, 2941–2947. [Google Scholar] [CrossRef]
- Ilyas, U.; Rawat, R.S.; Tan, T.L.; Lee, P.; Chen, R.; Sun, H.D.; Fengji, L.; Zhang, S. Oxygen Rich P-Type ZnO Thin Films Using Wet Chemical Route with Enhanced Carrier Concentration by Temperature-Dependent Tuning of Acceptor Defects. J. Appl. Phys. 2011, 110, 093522. [Google Scholar] [CrossRef]
- ASLAN, N. Synthesis and Characterization of ZnO@Fe3O4 Composite Nanostructures by Using Hydrothermal Synthesis Method. Türk Doğa Fen Derg. 2022, 11, 95–101. [Google Scholar] [CrossRef]
- Gutiérrez-Pérez, R.M.; Holguin-Momaca, J.T.; Sáenz-Hernández, R.J.; Santillán-Rodriguez, C.R.; Espinosa-Magana, F.; Matutes-Aquino, J.A.; Olive-Méndez, S.F. Sintering Process Effect on the Magnetic Behavior of Vanadium-Doped ZnO Ceramics. Mater. Res. Express 2018, 5, 036103. [Google Scholar] [CrossRef]
- Yu, W.; Liu, H.; Zhang, L.; Gao, H.; Fu, G. Effect of Intrinsic Vacancies on the Ferromagnetism of V-Doped ZnO Based on First-Principles Calculation. Phys. Status Solidi Basic Res. 2010, 247, 2185–2189. [Google Scholar] [CrossRef]
- Kayaci, F.; Vempati, S.; Donmez, I.; Biyikli, N.; Uyar, T. Role of Zinc Interstitials and Oxygen Vacancies of ZnO in Photocatalysis: A Bottom-up Approach to Control Defect Density. Nanoscale 2014, 6, 10224–10234. [Google Scholar] [CrossRef]
- Chankhanittha, T.; Nanan, S. Visible-Light-Driven Photocatalytic Degradation of Ofloxacin (OFL) Antibiotic and Rhodamine B (RhB) Dye by Solvothermally Grown ZnO/Bi2MoO6 Heterojunction. J. Colloid Interface Sci. 2021, 582, 412–427. [Google Scholar] [CrossRef]
- Toloman, D.; Pana, O.; Stefan, M.; Popa, A.; Leostean, C.; Macavei, S.; Silipas, D.; Perhaita, I.; Lazar, M.D.; Barbu-Tudoran, L. Photocatalytic Activity of SnO2-TiO2 Composite Nanoparticles Modified with PVP. J. Colloid Interface Sci. 2019, 542, 296–307. [Google Scholar] [CrossRef]
- Toloman, D.; Popa, A.; Stan, M.; Stefan, M.; Vlad, G.; Ulinici, S.; Baisan, G.; Silipas, T.D.; Macavei, S.; Leostean, C.; et al. Visible-Light-Driven Photocatalytic Degradation of Different Organic Pollutants Using Cu Doped ZnO-MWCNT Nanocomposites. J. Alloys Compd. 2021, 866, 159010. [Google Scholar] [CrossRef]
- Talukdar, K.; Jun, B.M.; Yoon, Y.; Kim, Y.; Fayyaz, A.; Park, C.M. Novel Z-Scheme Ag3PO4/Fe3O4-Activated Biochar Photocatalyst with Enhanced Visible-Light Catalytic Performance toward Degradation of Bisphenol A. J. Hazard. Mater. 2020, 398, 123025. [Google Scholar] [CrossRef] [PubMed]



















| Sample | ZnO | Eg (eV) | |||
|---|---|---|---|---|---|
| a = b (Å) | c (Å) | V (Å3) | Deff (nm) | ||
| Fe3O4-ZnO:V 0% | 3.2467 | 5.1985 | 47.45 | 26.2 | 3.12 |
| Fe3O4-ZnO:V 0.2% | 3.2481 | 5.2038 | 47.54 | 29.3 | 3.15 |
| Fe3O4-ZnO:V 0.5% | 3.2474 | 5.2006 | 47.50 | 21.1 | 3.09 |
| Fe3O4-ZnO:V 1% | 3.2530 | 5.1860 | 47.53 | 11.0 | 3.03 |
| Sample | O1s Vo/O-Metal Ratio | Zn LMM Zni/ZnO Ratio |
|---|---|---|
| Fe3O4-ZnO:V 0% | 0.31 | 0.23 |
| Fe3O4-ZnO:V 0.2% | 0.34 | 0.35 |
| Fe3O4-ZnO:V 0.5% | 0.36 | 0.20 |
| Fe3O4-ZnO:V 1% | 0.37 | 0.36 |
| Sample | Ms (emu/g) | Hc (Oe) | Mr (emu/g) |
|---|---|---|---|
| Fe3O4-ZnO:V 0% | 3.3 | 20 | 0.1 |
| Fe3O4-ZnO:V 0.2% | 2.3 | 20 | 0.09 |
| Fe3O4-ZnO:V 0.5% | 2.5 | 21 | 0.09 |
| Fe3O4-ZnO:V 1% | 1.9 | 20 | 0.03 |
| Sample | Fe3O4-ZnO:V 0% | Fe3O4-ZnO:V 0.2% | Fe3O4-ZnO:V 0.5% | Fe3O4-ZnO:V 0.7% | Fe3O4-ZnO:V 1% |
|---|---|---|---|---|---|
| × 10−3 (min−1) | 1.5 | 2.97 | 4.97 | 2.36 | 10.3 |
| R2 | 0.97 | 0.94 | 0.98 | 0.99 | 0.99 |
Disclaimer/Publisher’s Note: The statements, opinions and data contained in all publications are solely those of the individual author(s) and contributor(s) and not of MDPI and/or the editor(s). MDPI and/or the editor(s) disclaim responsibility for any injury to people or property resulting from any ideas, methods, instructions or products referred to in the content. |
© 2024 by the authors. Licensee MDPI, Basel, Switzerland. This article is an open access article distributed under the terms and conditions of the Creative Commons Attribution (CC BY) license (https://creativecommons.org/licenses/by/4.0/).
Share and Cite
Varadi, A.; Leostean, C.; Stefan, M.; Popa, A.; Toloman, D.; Pruneanu, S.; Tripon, S.; Macavei, S. Fe3O4-ZnO:V Nanocomposites with Modulable Properties as Magnetic Recoverable Photocatalysts. Inorganics 2024, 12, 119. https://doi.org/10.3390/inorganics12040119
Varadi A, Leostean C, Stefan M, Popa A, Toloman D, Pruneanu S, Tripon S, Macavei S. Fe3O4-ZnO:V Nanocomposites with Modulable Properties as Magnetic Recoverable Photocatalysts. Inorganics. 2024; 12(4):119. https://doi.org/10.3390/inorganics12040119
Chicago/Turabian StyleVaradi, Ana, Cristian Leostean, Maria Stefan, Adriana Popa, Dana Toloman, Stela Pruneanu, Septimiu Tripon, and Sergiu Macavei. 2024. "Fe3O4-ZnO:V Nanocomposites with Modulable Properties as Magnetic Recoverable Photocatalysts" Inorganics 12, no. 4: 119. https://doi.org/10.3390/inorganics12040119
APA StyleVaradi, A., Leostean, C., Stefan, M., Popa, A., Toloman, D., Pruneanu, S., Tripon, S., & Macavei, S. (2024). Fe3O4-ZnO:V Nanocomposites with Modulable Properties as Magnetic Recoverable Photocatalysts. Inorganics, 12(4), 119. https://doi.org/10.3390/inorganics12040119

