Synthesis and Study of Correlated Phase Transitions of CrN Nanoparticles
Abstract
1. Introduction
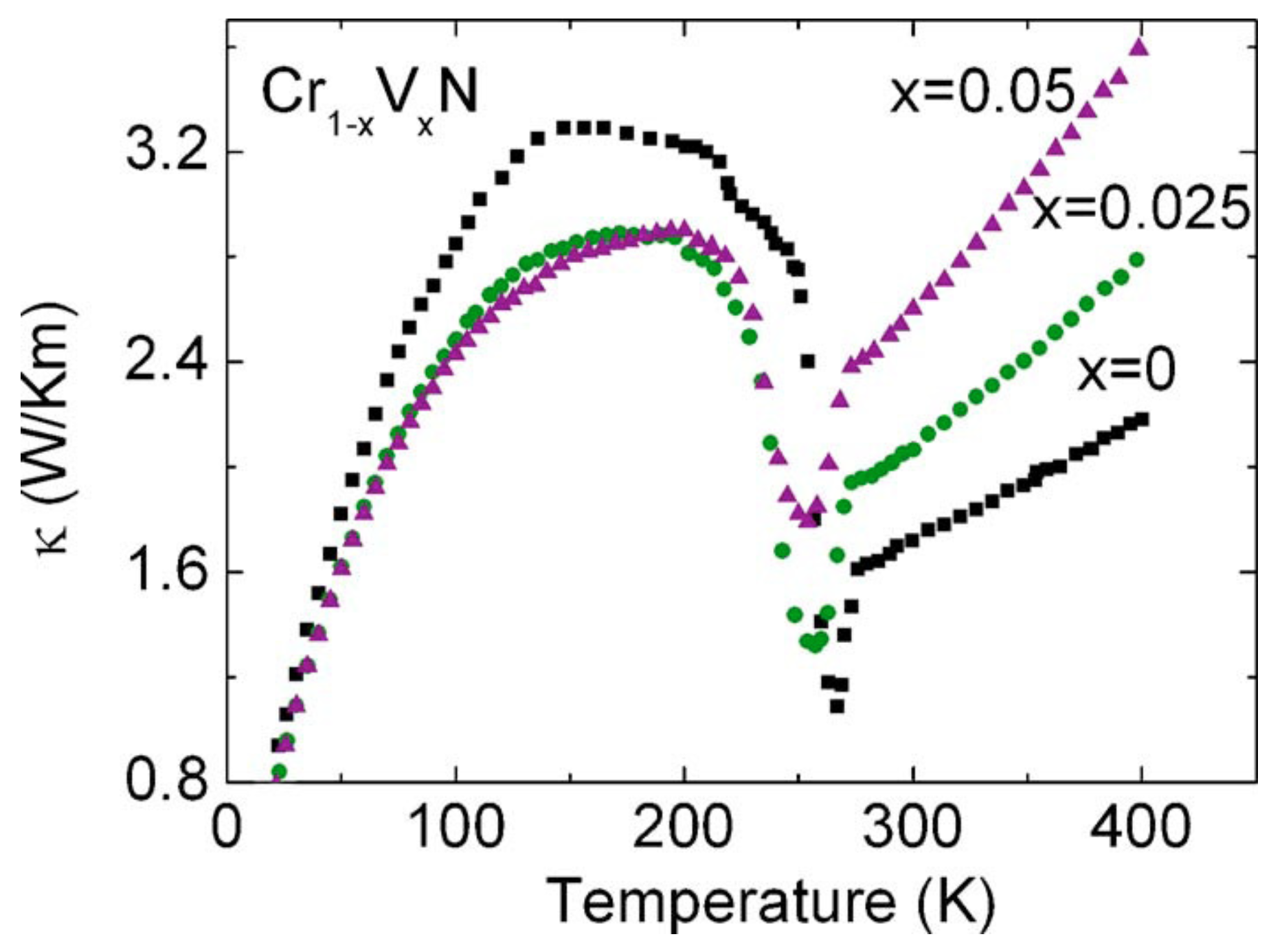
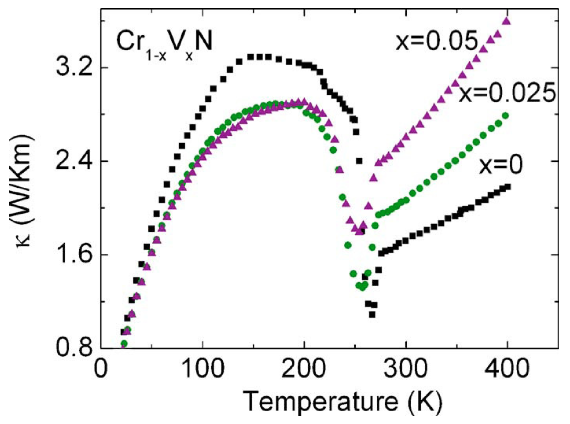
2. Chromium Nitride Nanoparticles
3. Chromium Nitride Computational Models
4. Conclusions and Prospects
Funding
Data Availability Statement
Conflicts of Interest
References
- Cheng, Z.; Qi, W.; Pang, C.H.; Thomas, T.; Wu, T.; Liu, S.; Yang, M. Recent advances in transition metal nitride-based materials for photocatalytic applications. Adv. Funct. Mater. 2021, 31, 2100553. [Google Scholar] [CrossRef]
- Young, A.F.; Sanloup, C.; Gregoryanz, E.; Scandolo, S.; Hemley, R.J.; Mao, H.K. Synthesis of novel transition metal nitrides IrN2 and OsN2. Phys. Rev. Lett. 2006, 96, 155501. [Google Scholar] [CrossRef]
- Eklund, P.; Kerdsongpanya, S.; Alling, B. Transition-metal-nitride-based thin films as novel energy harvesting materials. J. Mater. Chem. C 2016, 4, 3905–3914. [Google Scholar] [CrossRef] [PubMed]
- Qi, W.; Zhou, Y.; Liu, S.; Liu, H.; Hui, L.S.; Turak, A.; Wang, J.; Yang, M. Oxidized impurity in transition metal nitride for improving the hydrogen evolution efficiency of transition metal nitride-based catalyst. Appl. Mater. Today 2020, 18, 100476. [Google Scholar] [CrossRef]
- Juneja, S.; Shishodia, M.S. Surface plasmon amplification in refractory transition metal nitrides based nanoparticle dimers. Opt. Commun. 2019, 433, 89–96. [Google Scholar] [CrossRef]
- Sharma, K.; Arora, A.; Tripathi, S.K. Review of supercapacitors: Materials and devices. J. Energy Storage 2019, 21, 801–825. [Google Scholar]
- Smyrnova, K.; Sahul, M.; Haršáni, M.; Čaplovič, L.; Beresnev, V.; Čaplovičová, M.; Kusy, M.; Pogrebnjak, A. Effect of bias voltage on the structural properties of WN/NbN nanolayer coatings deposited by cathodic-arc evaporation. J. Phys. Conf. Ser. 2024, 2712, 012014. [Google Scholar] [CrossRef]
- Weinberger, C.R.; Yu, X.X.; Yu, H.; Thompson, G.B. Ab initio investigations of the phase stability in group IVB and VB transition metal nitrides. Comput. Mater. Sci. 2017, 138, 333–345. [Google Scholar] [CrossRef]
- Biswas, A.; Alvarez, G.A.; Tripathi, M.; Lee, J.; Pieshkov, T.S.; Li, C.; Gao, B.; Puthirath, A.B.; Zhang, X.; Gray, T.; et al. Cubic and hexagonal boron nitride phases and phase boundaries. J. Mater. Chem. C 2024, 12, 3053–3062. [Google Scholar] [CrossRef]
- Corliss, L.; Elliott, N.; Hastings, J. Antiferromagnetic structure of CrN. Phys. Rev. 1960, 117, 929. [Google Scholar] [CrossRef]
- Srivastava, A.; Chauhan, M.; Singh, R. Pressure induced phase transitions in transition metal nitrides: Ab initio study. Phys. Status Solidi B 2011, 248, 2793–2800. [Google Scholar] [CrossRef]
- Ojha, P.; Aynyas, M.; Sanyal, S.P. Pressure-induced structural phase transformation and elastic properties of transition metal mononitrides. J. Phys. Chem. Solids 2007, 68, 148–152. [Google Scholar] [CrossRef]
- Wang, H.; Li, J.; Li, K.; Lin, Y.; Chen, J.; Gao, L.; Nicolosi, V.; Xiao, X.; Lee, J.M. Transition metal nitrides for electrochemical energy applications. Chem. Soc. Rev. 2021, 50, 1354–1390. [Google Scholar] [CrossRef] [PubMed]
- Tokura, Y.; Nagaosa, N. Orbital physics in transition-metal oxides. Science 2000, 288, 462–468. [Google Scholar] [CrossRef] [PubMed]
- Börgel, J.; Campbell, M.G.; Ritter, T. Transition metal d-orbital splitting diagrams: An updated educational resource for square planar transition metal complexes. J. Chem. Educ. 2016, 93, 118–121. [Google Scholar] [CrossRef]
- Li, Y.H.; Hung, T.H.; Chen, C.W. A first-principles study of nitrogen-and boron-assisted platinum adsorption on carbon nanotubes. Carbon 2009, 47, 850–855. [Google Scholar] [CrossRef]
- Mananghaya, M.R.; Santos, G.N.; Yu, D. Nitrogen substitution and vacancy mediated scandium metal adsorption on carbon nanotubes. Adsorption 2017, 23, 789–797. [Google Scholar] [CrossRef]
- Ma, Y.; Foster, A.S.; Krasheninnikov, A.; Nieminen, R.M. Nitrogen in graphite and carbon nanotubes: Magnetism and mobility. Phys. Rev. B 2005, 72, 205416. [Google Scholar] [CrossRef]
- Lin, C.; Liu, X.; Qu, J.; Feng, X.; Seh, Z.W.; Wang, T.; Zhang, Q. Strain-controlled single Cr-embedded nitrogen-doped graphene achieves efficient nitrogen reduction. Mater. Adv. 2021, 2, 5704–5711. [Google Scholar] [CrossRef]
- Feng, H.; Ma, J.; Hu, Z. Nitrogen-doped carbon nanotubes functionalized by transition metal atoms: A density functional study. J. Mater. Chem. 2010, 20, 1702–1708. [Google Scholar] [CrossRef]
- Mateti, S.; Sultana, I.; Chen, Y.; Kota, M.; Rahman, M.M. Boron Nitride-Based Nanomaterials: Synthesis and Application in Rechargeable Batteries. Batteries 2023, 9, 344. [Google Scholar] [CrossRef]
- Thomas, S.A.; Pallavolu, M.R.; Khan, M.E.; Cherusseri, J. Graphitic carbon nitride (g-C3N4): Futuristic material for rechargeable batteries. J. Energy Storage 2023, 68, 107673. [Google Scholar] [CrossRef]
- Xiong, T.; Li, J.; Roy, J.C.; Koroma, M.; Zhu, Z.; Yang, H.; Zhang, L.; Ouyang, T.; Balogun, M.S.; Al-Mamun, M. Hetero-interfacial nickel nitride/vanadium oxynitride porous nanosheets as trifunctional electrodes for HER, OER and sodium ion batteries. J. Energy Chem. 2023, 81, 71–81. [Google Scholar] [CrossRef]
- Jin, C.; Huang, Y.; Li, L.; Wei, G.; Li, H.; Shang, Q.; Ju, Z.; Lu, G.; Zheng, J.; Sheng, O.; et al. A corrosion inhibiting layer to tackle the irreversible lithium loss in lithium metal batteries. Nat. Commun. 2023, 14, 8269. [Google Scholar] [CrossRef] [PubMed]
- Wang, Y.Y.; Zhang, X.Q.; Zhou, M.Y.; Huang, J.Q. Mechanism, quantitative characterization, and inhibition of corrosion in lithium batteries. Nano Res. Energy 2023, 2, e9120046. [Google Scholar] [CrossRef]
- Ren, L.; Hu, Z.; Peng, C.; Zhang, L.; Wang, N.; Wang, F.; Xia, Y.; Zhang, S.; Hu, E.; Luo, J. Suppressing metal corrosion through identification of optimal crystallographic plane for Zn batteries. Proc. Natl. Acad. Sci. USA 2024, 121, e2309981121. [Google Scholar] [CrossRef]
- Zhou, X.; Chen, H.; Shu, D.; He, C.; Nan, J. Study on the electrochemical behavior of vanadium nitride as a promising supercapacitor material. J. Phys. Chem. Solids 2009, 70, 495–500. [Google Scholar] [CrossRef]
- Xie, Y.; Wang, Y.; Du, H. Electrochemical capacitance performance of titanium nitride nanoarray. Mater. Sci. Eng. B 2013, 178, 1443–1451. [Google Scholar] [CrossRef]
- Shen, H.; Wei, B.; Zhang, D.; Qi, Z.; Wang, Z. Magnetron sputtered NbN thin film electrodes for supercapacitors. Mater. Lett. 2018, 229, 17–20. [Google Scholar] [CrossRef]
- Arif, M.; Sanger, A.; Singh, A. Sputter deposited chromium nitride thin electrodes for supercapacitor applications. Mater. Lett. 2018, 220, 213–217. [Google Scholar] [CrossRef]
- Ting, Y.J.B.; Lian, K.; Kherani, N. Fabrication of titanium nitride and molybdenum nitride for supercapacitor electrode application. ECS Trans. 2011, 35, 133. [Google Scholar] [CrossRef]
- Chen, Z.; Song, Y.; Cai, J.; Zheng, X.; Han, D.; Wu, Y.; Zang, Y.; Niu, S.; Liu, Y.; Zhu, J.; et al. Tailoring the d-band centers enables Co4N nanosheets to be highly active for hydrogen evolution catalysis. Angew. Chem. Int. Ed. 2018, 57, 5076–5080. [Google Scholar] [CrossRef] [PubMed]
- Li, D.; Xing, Y.; Yang, R.; Wen, T.; Jiang, D.; Shi, W.; Yuan, S. Holey cobalt–iron nitride nanosheet arrays as high-performance bifunctional electrocatalysts for overall water splitting. ACS Appl. Mater. Interfaces 2020, 12, 29253–29263. [Google Scholar] [CrossRef] [PubMed]
- Mahadik, S.; Surendran, S.; Kim, J.Y.; Janani, G.; Lee, D.K.; Kim, T.H.; Kim, J.K.; Sim, U. Syntheses and electronic structure engineering of transition metal nitrides for supercapacitor applications. J. Mater. Chem. A 2022, 10, 14655–14673. [Google Scholar] [CrossRef]
- Zhang, X.; Gall, D. CrN electronic structure and vibrational modes: An optical analysis. Phys. Rev. B 2010, 82, 045116. [Google Scholar] [CrossRef]
- Zhou, Y.; Guo, W.; Li, T. A review on transition metal nitrides as electrode materials for supercapacitors. Ceram. Int. 2019, 45, 21062–21076. [Google Scholar] [CrossRef]
- Gharavi, M.A.; Kerdsongpanya, S.; Schmidt, S.; Eriksson, F.; Nong, N.; Lu, J.; Balke, B.; Fournier, D.; Belliard, L.; Le Febvrier, A.; et al. Microstructure and thermoelectric properties of CrN and CrN/Cr2N thin films. J. Phys. D Appl. Phys. 2018, 51, 355302. [Google Scholar] [CrossRef]
- Wei, B.; Liang, H.; Zhang, D.; Wu, Z.; Qi, Z.; Wang, Z. CrN thin films prepared by reactive DC magnetron sputtering for symmetric supercapacitors. J. Mater. Chem. A 2017, 5, 2844–2851. [Google Scholar] [CrossRef]
- Gao, Z.; Wan, Z.; Wu, Z.; Huang, X.; Li, H.; Zhang, T.F.; Mayrhofer, P.H.; Wang, Q. Synthesis and electrochemical properties of nanoporous CrN thin film electrodes for supercapacitor applications. Mater. Des. 2021, 209, 109949. [Google Scholar] [CrossRef]
- Sun, Q.; Fu, Z.W. An anode material of CrN for lithium-ion batteries. Electrochem. Solid-State Lett. 2007, 10, A189. [Google Scholar] [CrossRef]
- Zhang, L.; Liang, P.; Shu, H.B.; Man, X.L.; Du, X.Q.; Chao, D.L.; Liu, Z.G.; Sun, Y.P.; Wan, H.Z.; Wang, H. Design rules of heteroatom-doped graphene to achieve high performance lithium–sulfur batteries: Both strong anchoring and catalysing based on first principles calculation. J. Colloid Interface Sci. 2018, 529, 426–431. [Google Scholar] [CrossRef] [PubMed]
- Heckmann, A.; Krott, M.; Streipert, B.; Uhlenbruck, S.; Winter, M.; Placke, T. Suppression of Aluminum Current Collector Dissolution by Protective Ceramic Coatings for Better High-Voltage Battery Performance. ChemPhysChem 2017, 18, 156–163. [Google Scholar] [CrossRef] [PubMed]
- Sun, Q.; Fu, Z.W. Cr1-xFexN (0 ≦x≦ 1) Ternary Transition-Metal Nitrides as Anode Materials for Lithium-Ion Batteries. Electrochem. Solid-State Lett. 2008, 11, A233. [Google Scholar] [CrossRef]
- Gu, L.; Wu, S.Y.; Liu, H.; Singh, R.; Newman, N.; Smith, D.J. Characterization of Al (Cr) N and Ga (Cr) N dilute magnetic semiconductors. J. Magn. Magn. Mater. 2005, 290, 1395–1397. [Google Scholar] [CrossRef]
- Ney, A.; Rajaram, R.; Parkin, S.; Kammermeier, T.; Dhar, S. Magnetic properties of epitaxial CrN films. Appl. Phys. Lett. 2006, 89, 112504. [Google Scholar] [CrossRef]
- Alsaad, A. Magnetic and structural properties of Cr-based diluted magnetic semiconductors and alloys. Phys. B Condens. Matter 2010, 405, 951–954. [Google Scholar] [CrossRef]
- Song, Y.; Zhang, Y.F.; Pan, J.; Du, S. Ultra-low Young’s modulus and high super-exchange interactions in monolayer CrN: A promising candidate for flexible spintronic applications. Chin. Phys. B 2021, 30, 047105. [Google Scholar] [CrossRef]
- Ponce-Pérez, R.; Cocoletzi, G.H.; Takeuchi, N. Antiferromagnetic coupling in the initial stages of the MnN epitaxial growth on the CrN (001) surface. Appl. Surf. Sci. 2022, 573, 151451. [Google Scholar]
- Feng, X.; Bao, K.; Huang, Y.; Ma, S.; Tao, Q.; Zhu, P.; Cui, T. Complete ligand reinforcing the structure of cubic-CrN. J. Alloys Compd. 2019, 783, 232–236. [Google Scholar] [CrossRef]
- Liu, L.; He, Z.; Peng, J.; Guo, D.; Xu, Z.; Wang, C. Enhancing thermoelectric performance of CrN ceramics by optimizing sintering temperature. J. Eur. Ceram. Soc. 2024, 44, 7660–7667. [Google Scholar] [CrossRef]
- Yuan, M.; Wan, X.; Meng, Q.; Lu, X.; Sun, L.; Wang, W.; Jiang, P.; Bao, X. Suppression of secondary phase in CrN matrix to boost the high-temperature thermoelectric performance. Mater. Today Phys. 2021, 19, 100420. [Google Scholar] [CrossRef]
- Guo, W.; Liang, Z.; Tang, Y.; Cai, K.; Qiu, T.; Wu, Y.; Zhang, K.; Gao, S.; Zou, R. Understanding the lattice nitrogen stability and deactivation pathways of cubic CrN nanoparticles in the electrochemical nitrogen reduction reaction. J. Mater. Chem. A 2021, 9, 8568–8575. [Google Scholar] [CrossRef]
- Das, B.; Reddy, M.; Rao, G.S.; Chowdari, B. Synthesis and Li-storage behavior of CrN nanoparticles. RSC Adv. 2012, 2, 9022–9028. [Google Scholar] [CrossRef]
- Zhao, L.; Ding, B.; Qin, X.Y.; Wang, Z.; Lv, W.; He, Y.B.; Yang, Q.H.; Kang, F. Revisiting the roles of natural graphite in ongoing lithium-ion batteries. Adv. Mater. 2022, 34, 2106704. [Google Scholar] [CrossRef] [PubMed]
- Shuang, Y.; Mori, S.; Yamamoto, T.; Hatayama, S.; Saito, Y.; Fons, P.J.; Song, Y.H.; Hong, J.P.; Ando, D.; Sutou, Y. Soret-Effect Induced Phase-Change in a Chromium Nitride Semiconductor Film. ACS Nano 2024, 18, 21135–21143. [Google Scholar] [CrossRef] [PubMed]
- Cox, D. Neutron-diffraction determination of magnetic structures. IEEE Trans. Magn. 1972, 8, 161–182. [Google Scholar] [CrossRef]
- Mrozińska, A.; Przystawa, J.; Sòlyom, J. First-order antiferromagnetic transition in CrN. Phys. Rev. B 1979, 19, 331. [Google Scholar] [CrossRef]
- Filippetti, A.; Hill, N.A. Magnetic stress as a driving force of structural distortions: The case of CrN. Phys. Rev. Lett. 2000, 85, 5166. [Google Scholar] [CrossRef]
- Gall, D.; Shin, C.; Haasch, R.; Petrov, I.; Greene, J. Band gap in epitaxial NaCl-structure CrN (001) layers. J. Appl. Phys. 2002, 91, 5882. [Google Scholar] [CrossRef]
- Zhang, X.; Chawla, J.; Deng, R.; Gall, D. Epitaxial suppression of the metal-insulator transition in CrN. Phys. Rev. B 2011, 84, 073101. [Google Scholar] [CrossRef]
- Biswas, B.; Chakraborty, S.; Joseph, A.; Acharya, S.; Pillai, A.I.K.; Narayana, C.; Bhatia, V.; Garbrecht, M.; Saha, B. Secondary phase limited metal-insulator phase transition in chromium nitride thin films. Acta Mater. 2022, 227, 117737. [Google Scholar] [CrossRef]
- Inumaru, K.; Koyama, K.; Imo-Oka, N.; Yamanaka, S. Controlling the structural transition at the Néel point of CrN epitaxial thin films using epitaxial growth. Phys. Rev. B 2007, 75, 054416. [Google Scholar] [CrossRef]
- Jin, Q.; Zhao, J.; Roldan, M.A.; Qi, W.; Lin, S.; Chen, S.; Hong, H.; Fan, Y.; Rong, D.; Guo, H.; et al. Anisotropic electronic phase transition in CrN epitaxial thin films. Appl. Phys. Lett. 2022, 120, 073103. [Google Scholar] [CrossRef]
- Rivadulla, F.; Bañobre-López, M.; Quintela, C.X.; Piñeiro, A.; Pardo, V.; Baldomir, D.; López-Quintela, M.A.; Rivas, J.; Ramos, C.A.; Salva, H.; et al. Reduction of the bulk modulus at high pressure in CrN. Nat. Mater. 2009, 8, 947–951. [Google Scholar] [CrossRef]
- Yan, M.; Zhou, X.; Cheng, H.; Wang, L.; Zhang, J.; Yu, X.; He, D.; Mei, J.W.; Zhao, Y.; Wang, S. Compressibility and thermoelasticity of CrN. High Press. Res. 2020, 40, 423–433. [Google Scholar] [CrossRef]
- Alling, B.; Marten, T.; Abrikosov, I.A. Questionable collapse of the bulk modulus in CrN. Nat. Mater. 2010, 9, 283–284. [Google Scholar] [CrossRef]
- Alam, K.; Ponce-Pérez, R.; Sun, K.; Foley, A.; Takeuchi, N.; Smith, A.R. Study of the structure, structural transition, interface model, and magnetic moments of CrN grown on MgO (001) by molecular beam epitaxy. J. Vac. Sci. Technol. A 2023, 41, 053411. [Google Scholar] [CrossRef]
- Alam, K.; Disseler, S.M.; Ratcliff, W.D.; Borchers, J.A.; Ponce-Pérez, R.; Cocoletzi, G.H.; Takeuchi, N.; Foley, A.; Richard, A.; Ingram, D.C.; et al. Structural and magnetic phase transitions in chromium nitride thin films grown by rf nitrogen plasma molecular beam epitaxy. Phys. Rev. B 2017, 96, 104433. [Google Scholar] [CrossRef]
- Alam, K.; Meng, K.Y.; Ponce-Pérez, R.; Cocoletzi, G.H.; Takeuchi, N.; Foley, A.; Yang, F.; Smith, A.R. Exchange bias and exchange spring effects in Fe/CrN bilayers. J. Phys. D Appl. Phys. 2020, 53, 125001. [Google Scholar] [CrossRef]
- Constantin, C.; Haider, M.B.; Ingram, D.; Smith, A.R. Metal/semiconductor phase transition in chromium nitride (001) grown by rf-plasma-assisted molecular-beam epitaxy. Appl. Phys. Lett. 2004, 85, 6371–6373. [Google Scholar] [CrossRef]
- Singh, A.; Tešanović, Z. Collective excitations in a doped antiferromagnet. Phys. Rev. B 1990, 41, 614. [Google Scholar] [CrossRef] [PubMed]
- Darradi, R.; Derzhko, O.; Zinke, R.; Schulenburg, J.; Krüger, S.; Richter, J. Ground state phases of the spin-1/2 J 1–J 2 Heisenberg antiferromagnet on the square lattice: A high-order coupled cluster treatment. Phys. Rev. B 2008, 78, 214415. [Google Scholar] [CrossRef]
- Völkel, A.; Mertens, F.; Bishop, A.; Wysin, G. Motion of vortex pairs in the ferromagnetic and antiferromagnetic anisotropic Heisenberg model. Phys. Rev. B 1991, 43, 5992. [Google Scholar] [CrossRef] [PubMed]
- Zieschang, A.M.; Bocarsly, J.D.; Dürrschnabel, M.; Kleebe, H.J.; Seshadri, R.; Albert, B. Low-temperature synthesis and magnetostructural transition in antiferromagnetic, refractory nanoparticles: Chromium nitride, CrN. Chem. Mater. 2018, 30, 1610–1616. [Google Scholar] [CrossRef]
- Nasr-Eddine, M.; Bertaut, E. Etude de la transition de premier ordre dans CrN. Solid State Commun. 1971, 9, 717–723. [Google Scholar] [CrossRef]
- Browne, J.; Liddell, P.; Street, R.; Mills, T. An investigation of the antiferromagnetic transition of CrN. Phys. Status Solidi A 1970, 1, 715–723. [Google Scholar] [CrossRef]
- Quintela, C.; Rivadulla, F.; Rivas, J. Thermoelectric properties of stoichiometric and hole-doped CrN. Appl. Phys. Lett. 2009, 94, 152103. [Google Scholar] [CrossRef]
- Quintela, C.X.; Podkaminer, J.P.; Luckyanova, M.N.; Paudel, T.R.; Thies, E.L.; Hillsberry, D.A.; Tenne, D.A.; Tsymbal, E.Y.; Chen, G.; Eom, C.B.; et al. Epitaxial CrN thin films with high thermoelectric figure of merit. Adv. Mater. 2015, 27, 3032–3037. [Google Scholar] [CrossRef]
- Wang, S.; Yu, X.; Zhang, J.; Wang, L.; Leinenweber, K.; He, D.; Zhao, Y. Synthesis, hardness, and electronic properties of stoichiometric VN and CrN. Cryst. Growth Des. 2016, 16, 351–358. [Google Scholar] [CrossRef]
- Alam, K.; Haider, M.B.; Al-Kuhaili, M.F.; Ziq, K.A.; Haq, B.U. Electronic phase transition in CrN thin films grown by reactive RF magnetron sputtering. Ceram. Int. 2022, 48, 17352–17358. [Google Scholar] [CrossRef]
- Ebad-Allah, J.; Kugelmann, B.; Rivadulla, F.; Kuntscher, C.A. Infrared study of the magnetostructural phase transition in correlated CrN. Phys. Rev. B 2016, 94, 195118. [Google Scholar] [CrossRef]
- Herle, P.S.; Hegde, M.; Vasathacharya, N.; Philip, S.; Rao, M.R.; Sripathi, T. Synthesis of TiN, VN, and CrN from ammonolysis of TiS2, VS2, and Cr2S3. J. Solid State Chem. 1997, 134, 120–127. [Google Scholar] [CrossRef]
- Herwadkar, A.; Lambrecht, W.R. Electronic structure of CrN: A borderline Mott insulator. Phys. Rev. B 2009, 79, 035125. [Google Scholar] [CrossRef]
- Bhobe, P.; Chainani, A.; Taguchi, M.; Takeuchi, T.; Eguchi, R.; Matsunami, M.; Ishizaka, K.; Takata, Y.; Oura, M.; Senba, Y.; et al. Evidence for a correlated insulator to antiferromagnetic metal transition in CrN. Phys. Rev. Lett. 2010, 104, 236404. [Google Scholar] [CrossRef]
- Himmetoglu, B.; Floris, A.; De Gironcoli, S.; Cococcioni, M. Hubbard-corrected DFT energy functionals: The LDA+ U description of correlated systems. Int. J. Quantum Chem. 2014, 114, 14–49. [Google Scholar] [CrossRef]
- Jankovskỳ, O.; Sedmidubskỳ, D.; Huber, Š.; Šimek, P.; Sofer, Z. Synthesis, magnetic and transport properties of oxygen-free CrN ceramics. J. Eur. Ceram. Soc. 2014, 34, 4131–4136. [Google Scholar] [CrossRef]
- Gui, Z.; Gu, C.; Cheng, H.; Zhu, J.; Yu, X.; Guo, E.J.; Wu, L.; Mei, J.; Sheng, J.; Zhang, J.; et al. Improper multiferroiclike transition in a metal. Phys. Rev. B 2022, 105, L180101. [Google Scholar] [CrossRef]
- Singh, D.; Tamrakar, S.; Shrivas, K.; Dewangan, K. Nitridation of Cr–urea complex into nanocrystalline CrN and its antiferromagnetic magnetostructural transition study. New J. Chem. 2022, 46, 20879–20885. [Google Scholar] [CrossRef]
- Lang, X.; Zheng, W.; Jiang, Q. Size and interface effects on ferromagnetic and antiferromagnetic transition temperatures. Phys. Rev. B 2006, 73, 224444. [Google Scholar] [CrossRef]
- Fisher, M.E.; Barber, M.N. Scaling theory for finite-size effects in the critical region. Phys. Rev. Lett. 1972, 28, 1516. [Google Scholar] [CrossRef]
- Jin, Q.; Cheng, H.; Wang, Z.; Zhang, Q.; Lin, S.; Roldan, M.A.; Zhao, J.; Wang, J.O.; Chen, S.; He, M.; et al. Strain-Mediated High Conductivity in Ultrathin Antiferromagnetic Metallic Nitrides. Adv. Mater. 2021, 33, 2005920. [Google Scholar] [CrossRef] [PubMed]
- Wang, L.; Xu, W.; Zhou, X.; Gu, C.; Cheng, H.; Chen, J.; Wu, L.; Zhu, J.; Zhao, Y.; Guo, E.J.; et al. Anomalous finite-size effect on the magnetostructural transition in CrN. Phys. Rev. B 2023, 107, 174112. [Google Scholar] [CrossRef]
- Alam, K.; Ponce-Pérez, R.; Sun, K.; Foley, A.; Takeuchi, N.; Smith, A.R. Investigating the magnetic and atomic interface configuration for a model Fe/CrN bilayer system. J. Vac. Sci. Technol. A 2021, 39, 063209. [Google Scholar] [CrossRef]
- Filippetti, A.; Pickett, W.; Klein, B. Competition between magnetic and structural transitions in CrN. Phys. Rev. B 1999, 59, 7043. [Google Scholar] [CrossRef]
- Wang, S.; Yu, X.; Zhang, J.; Chen, M.; Zhu, J.; Wang, L.; He, D.; Lin, Z.; Zhang, R.; Leinenweber, K.; et al. Experimental invalidation of phase-transition-induced elastic softening in CrN. Phys. Rev. B 2012, 86, 064111. [Google Scholar] [CrossRef]
- Ponce-Pérez, R.; Alam, K.; Cocoletzi, G.H.; Takeuchi, N.; Smith, A.R. Structural, electronic, and magnetic properties of the CrN (001) surface: First-principles studies. Appl. Surf. Sci. 2018, 454, 350–357. [Google Scholar] [CrossRef]
- Hernández, J.C.M.; Ponce-Pérez, R.; Cocoletzi, G.H.; Takeuchi, N.; Hoat, D. Tuning the half-metallicity in reconstructed CrN (111) surfaces. Surf. Interfaces 2022, 35, 102420. [Google Scholar] [CrossRef]
- Chen, M.; Wang, S.; Zhang, J.; He, D.; Zhao, Y. Synthesis of Stoichiometric and Bulk CrN through a Solid-State Ion-Exchange Reaction. Chem. Eur. J. 2012, 18, 15459–15463. [Google Scholar] [CrossRef]
- Rojas, T.; Ulloa, S.E. Strain fields and electronic structure of antiferromagnetic CrN. Phys. Rev. B 2017, 96, 125203. [Google Scholar] [CrossRef]
- Tenelanda-Osorio, L.I.; Vélez, M.E. First principles study of the thermodynamic, mechanical and electronic properties of crystalline phases of Chromium Nitrides. J. Phys. Chem. Solids 2021, 148, 109692. [Google Scholar] [CrossRef]
- Haq, B.U.; Alam, K.; Haider, M.B.; Alsharari, A.M.; Ullah, S.; Kim, S.H. Structural, electronic, magnetic, and optical properties of exfoliated chromium nitride ultrathin films. Phys. E Low Dimens. Syst. Nanostruct. 2023, 150, 115697. [Google Scholar] [CrossRef]
- Ceperley, D.M.; Alder, B.J. Ground state of the electron gas by a stochastic method. Phys. Rev. Lett. 1980, 45, 566. [Google Scholar] [CrossRef]
- Perdew, J.P.; Burke, K.; Ernzerhof, M. Generalized gradient approximation made simple. Phys. Rev. Lett. 1996, 77, 3865. [Google Scholar] [CrossRef] [PubMed]
- Anisimov, V.I.; Zaanen, J.; Andersen, O.K. Band theory and Mott insulators: Hubbard U instead of Stoner I. Phys. Rev. B 1991, 44, 943. [Google Scholar] [CrossRef]
- Dudarev, S.L.; Botton, G.A.; Savrasov, S.Y.; Humphreys, C.; Sutton, A.P. Electron-energy-loss spectra and the structural stability of nickel oxide: An LSDA+ U study. Phys. Rev. B 1998, 57, 1505. [Google Scholar] [CrossRef]
- Alling, B.; Marten, T.; Abrikosov, I. Effect of magnetic disorder and strong electron correlations on the thermodynamics of CrN. Phys. Rev. B 2010, 82, 184430. [Google Scholar] [CrossRef]
- Cheiwchanchamnangij, T.; Lambrecht, W.R. Quasiparticle self-consistent G W band structure of CrN. Phys. Rev. B 2020, 101, 085103. [Google Scholar] [CrossRef]
- Botana, A.S.; Pardo, V.; Baldomir, D.; Blaha, P. Conducting states caused by a surface electric dipole in CrN (001) very thin films. Phys. Rev. B 2013, 87, 075114. [Google Scholar] [CrossRef]
- Kamoru, W.S.; Haider, M.B.; Haq, B.U.; Aleithan, S.H.; Alsharari, A.M.; Ullah, S.; Alam, K. Structural, electronic, and optical properties of chromium oxynitride thin films grown by RF magnetron sputtering. Res. Phys. 2024, 57, 107387. [Google Scholar]






| Reference | Preparation Method | TN (K) | Structural Transition | Electronic Transition | Magnetic Transition | 
|---|---|---|---|---|---|
| Corliss et al. [10] | Cr + NH3 at 1100 °C | 273 | FCC (HT) to orthorhombic (LT) | Paramagnetic (HT) to antiferromagnetic (LT) | |
| Nasr-Eddine et al. [75] | 285 | FCC (HT) to orthorhombic (LT) | Paramagnetic (HT) to antiferromagnetic (LT) | ||
| Browne et al. [76] | Cr + N2 at 950 °C for 100 h | ∼285 | FCC (HT) to orthorhombic (LT) | metallic (HT) to metallic (LT) | Paramagnetic (HT) to antiferromagnetic (LT) | 
| Quintela et al. [77] | Cr3S4 + NH3 at 800 °C for 10 h | 286 | semiconducting (HT) to metallic (LT) | ||
| Ebad-Allah et al. [81] | Cr3S4 + NH3 at 800 °C for 10 h | 270 | FCC (HT) to orthorhombic (LT) (also shows transtion at RT under 0.6 GPa) | ||
| Yan et al. [65] | Na2CrO4 + h-BN at 5 GPa at 1573 K for 20 min [98] | FCC (HT) to orthorhombic (LT) at ∼5 GPa | |||
| Bhobe et al. [84] | CrCl3 + NH3 at 1173 K for 20 h | 286 | semiconducting (HT) to metallic (LT) | Paramagnetic (HT) to antiferromagnetic (LT) | |
| Zieschang et al. [74] | Na + CrCl3 + NH3 at 195 K for 1.5 h | 248–273 | FCC (HT) to orthorhombic (LT) | Paramagnetic (HT) to antiferromagnetic (LT) | |
| Jankovsky et al. [86] | CrCl3 + NH3 at 1073 K for 72 h | 291 | metallic (HT) to metallic (LT) | Paramagnetic (HT) to antiferromagnetic (LT) | |
| Singh et al. [88] | [Cr(NO3)39H2O] + NH2CONH2 at 623 K for 2 h ⟹ NH3 at temperature of 1073 K for 6 h | 265 | metallic (HT) to metallic (LT) | Paramagnetic (HT) to antiferromagnetic (LT) | |
| Wang et al. [92] | CrCl3 + NaNH2 compressed at 1–5 GPa heated to 573–1773 K for 20 min then quenching | 256–285 (size-dependent) | Paramagnetic (HT) to antiferromagnetic (LT) | ||
| Gui et al. [87] | Na2CrO4 + h-BN at 3.5–5 GPa at 1573 K for 20 min [79] | 273 | FCC (HT) to orthorhombic (LT) | metallic (HT) to metallic (LT) | Paramagnetic (HT) to antiferromagnetic (LT) | 
| Disclaimer/Publisher’s Note: The statements, opinions and data contained in all publications are solely those of the individual author(s) and contributor(s) and not of MDPI and/or the editor(s). MDPI and/or the editor(s) disclaim responsibility for any injury to people or property resulting from any ideas, methods, instructions or products referred to in the content. | 
© 2024 by the author. Licensee MDPI, Basel, Switzerland. This article is an open access article distributed under the terms and conditions of the Creative Commons Attribution (CC BY) license (https://creativecommons.org/licenses/by/4.0/).
Share and Cite
Alam, K. Synthesis and Study of Correlated Phase Transitions of CrN Nanoparticles. Inorganics 2024, 12, 247. https://doi.org/10.3390/inorganics12090247
Alam K. Synthesis and Study of Correlated Phase Transitions of CrN Nanoparticles. Inorganics. 2024; 12(9):247. https://doi.org/10.3390/inorganics12090247
Chicago/Turabian StyleAlam, Khan. 2024. "Synthesis and Study of Correlated Phase Transitions of CrN Nanoparticles" Inorganics 12, no. 9: 247. https://doi.org/10.3390/inorganics12090247
APA StyleAlam, K. (2024). Synthesis and Study of Correlated Phase Transitions of CrN Nanoparticles. Inorganics, 12(9), 247. https://doi.org/10.3390/inorganics12090247
 
        




 
                         
       