Abstract
This study evaluated the effects of probiotic Lactobacillus plantarum MC5 on the quality, antioxidant activity, and storage stability of yogurt, to determine its possible application as a starter in milk fermentation. Four groups of yogurt were made with different proportions of probiotic L. plantarum MC5 and commercial starters. The yogurt samples’ rheological properties, texture properties, antioxidant activity, storage stability, and exopolysaccharides (EPS) content during storage were determined. The results showed that 2:1 and 1:1 yogurt samples (supplemented with L. plantarum MC5) attained the highest EPS content (982.42 mg/L and 751.71 mg/L) during storage. The apparent viscosity, consistency, cohesiveness, and water holding capacity (WHC) of yogurt samples supplemented with L. plantarum MC5 were significantly higher than those of the control group (p < 0.05). Further evaluation of antioxidant activity revealed that yogurt samples containing MC5 starter significantly increased in DPPH, ABTS, OH, and ferric iron-reducing power. The study also found that adding MC5 can promote the growth of Streptococcus thermophilus. Therefore, yogurt containing L. plantarum MC5 had favorable rheological properties, texture, and health effects. The probiotic MC5 usage in milk fermentation showed adequate potential for industrial application.
1. Introduction
Fermentation is an old process of food preparation in the world whereby the growth and activity of microorganisms are used to preserve foods [1]. Yogurt is widely manufactured throughout the world, and approximately 400 generic names exist for traditional and commercial products [2]. According to the “2020 Yogurt Market Research Report” released by QY Research, the global yogurt market has reached USD 70 billion in 2019 [3]. Under the current background of great health, probiotic fermented dairy products are the first choice of consumers due to their health benefits, particular sensory properties, and extended shelf life [4]. These beneficial effects are closely related to probiotics and their metabolites. Exopolysaccharide (EPS) is a polymer with a high molecular mass metabolized in situ by specific lactic acid bacteria (such as Streptococcus, Lactobacillus, Lactococcus, and Leuconostoc). These EPS can covalently bind to the cell surface of lactic acid bacteria to form capsules [5], either loosely attached to its surface, or fully secreted into the surrounding environment during the growth of the strains. Among the wide variety of EPS-producing microorganisms, lactic acid bacteria (LAB) are generally considered safe due to their long history of use in human consumption [6,7]. It has been reported that its application to milk fermentation can increase viscosity [8]. In addition to maintaining bacterial homeostasis and promoting bacterial survival, research on EPS-producing LAB has focused on the health-promoting effects of EPS, such as immunoregulatory activity [9], antioxidant [10], and anti-tumor [11].
Currently, traditional fermented milk remains a natural, biodiverse resource bank for the search for “new” strains with technical and functional properties [12]. L. plantarum MC5 is a strain with various ideal functions isolated from traditionally fermented yak yogurt in domestic Tibetan areas by Zhu et al. [13]. These include inhibiting pathogenic bacteria, producing EPS, anti-oxidation, and tolerating simulated gastrointestinal fluid. Among the various functional properties of probiotic MC5, EPS-producing ability is one of the most important properties. Wang et al. [14] found that EPS produced by L. plantarum YW11, isolated from Tibetan kefir, had higher viscosity and water retention capacity when skim milk was treated with lower temperature, acidic pH, and shear positive contact behavior induction. Wang [15] reported that EPS isolated from Leuconostoc mesenterica XR1 can be used as a natural organic additive to replace chemical additives in dairy products. In addition, the EPS-producing LAB can also improve the sensory properties of fermented milk [16]. Therefore, screening new EPS-producing strains and renewing old strains’ resources is very valuable for maintaining biodiversity.
Lactobacillus plantarum has been reported as a producer of EPS with various properties and activities essential for commercialization by the food, cosmetic, or pharmaceutical industries [9,17]. On the one hand, EPS-LAB application in yogurt production is expected to increase due to consumers’ high demand for fermented foods with minimal or no chemical additives, smooth texture, and good sensory properties [18]. Again, most reports on EPS-producing LAB so far have focused on the functional characteristics of EPS. However, the influence of EPS-producing LAB as a compound starter on milk fermentation and the compound effect between the EPS-producing probiotics and commercial starters (S. thermophilus and Lb. delbrueckii subsp. bulgaricus) has not been well studied. Therefore, this study aims to investigate the effect of MC5 as a compound starter on the texture properties (firmness, consistency, and cohesiveness), rheological properties (apparent viscosity, elasticity, and stickiness), storage stability, and antioxidant activity of yogurt during storage. Thus, to determine the fermentation characteristics of MC5 and the interaction between EPS-MC5 and commercial starters in yogurt samples. This study provides information on the EPS-producing strains with the best technical capabilities (fermentation characteristics and health benefits) to enhance their applications in the dairy industry.
2. Materials and Methods
2.1. Materials and Reagents
Cow milk was collected from the dairy farm of Gansu Agricultural University. The contents of fat, solid not fat (SNF), protein, lactose, ash content, and total solids in Holstein milk were measured by a milk composition analyzer MCCWV1 (Hangzhou Melisco Technology Co., Ltd., Hangzhou, China). The composition of Holstein milk is shown in Table 1. L. plantarum MC5 was isolated from traditional fermented yak yogurt in Tibet [13], Gansu province. Strains MC5 were inoculated into skim milk-glycerol tubes and stored at −80 °C; yogurt starter (including Streptococcus thermophilus and Lactobacillus delbrueckii subsp. bulgaricus, low viscosity type) was obtained from Kunshan Baishengyou Biotechnology Company, Ltd., Kunshan, China).
Table 1.
Composition of Holstein milk.
MRS broth [19]: peptone (10 g/L), beef extracts (10 g/L), yeast extract (5 g/L), glucose (25 g/L), lactose (25 g/L), Tween 80 (1 mL/L), K2HPO4 (2 g/L), sodium acetate (5 g/L), diammonium hydrogen citrate (2 g/L), MgSO4 (0.2 g/L) and MnSO4 (0.08 g/L). It was sterilized at 121 °C for 20 min.
M17 broth [19]: fish peptone (5 g/L), peptone (2.5 g/L), casein peptone (2.5 g/L), beef extracts (5 g/L), yeast extract (5 g/L), lactose (3 g/L), MgSO4 (0.25 g/L), KH2PO4 (5 g/L) and sodium ascorbate (0.5 g/L). It was sterilized at 121 °C for 20 min.
Skim milk: skim milk powder (100 g/L), yeast extract powder (1 g/L), distilled water (100 mL). It was sterilized at 115 °C for 15 min.
2.2. Culture and Incubation of LAB
The L. plantarum MC5 were inoculated 4% (w/v) in sterilized and cooled skim milk and cultured at 140 rpm at 37 ◦C for 24 h. Then they were inoculated 4% (w/v) in MRS broth (in Section 2.1) for 2 generations (37 °C, 24 h) for subsequent experiments.
Commercial starters (Streptococcus thermophilus and Lactobacillus delbrueckii subsp. bulgaricus) were inoculated 4% (w/v) in sterilized and cooled skim milk and cultured at 42 °C for 12 h, respectively. Then they were inoculated 4% (w/v) in M17 broth (in Section 2.1) for 2 generations (42 °C, 12 h) for subsequent experiments.
2.3. Production of Coagulated Yogurt
Starter cultures: skim milk (14% w/v) was sterilized at 115 °C for 15 min. They were cooled and inoculated with L. plantarum MC5 and commercial starters (Streptococcus thermophilus and Lactobacillus delbrueckii subsp. bulgaricus), the inoculum amounts of L. plantarum MC5 and commercial starters are shown in Table 2. Then they were cultured at 42 °C to pH 4.6.
Table 2.
Inoculated amount of MC5 and starters in four groups of yogurt samples.
The production of the coagulated yogurt method by Heena et al. [20] was followed. Six (6)% sucrose was added to the cow milk, the mixture was preheated at 60 °C for 15 min, followed by cooling to 37–40 °C. It was divided into glass yogurt bottles, thermally treated at 95 °C for 5 min and cooled to 37 °C (desirable temperature for culture addition). Then, starter cultures were inoculated 3% (w/v) into the cow milk (starter cultures were mixed very slowly in the milk with a ladle). The filled cups were then incubated at 42 °C till pH reached around 4.6 ± 0.02, at which point the fermentation time was 5.5–6 h. Finally, yogurt samples were stored at refrigeration temperature (4 ± 1 °C) for 21 days (Figure 1). Total yogurt samples were 48. Analyses were performed on the yogurt samples after 1, 7, 14, and 21 days of storage. The experiment was repeated in triplicate.
Figure 1.
The production process of yogurt.
2.4. Determination of EPS in Yogurt
The EPS content was determined as follows: 10 mL of yogurt simple was heated in a 100 °C water bath for 15 min and then centrifuged (8000 r/min, 4 °C for 20 min). The supernatant (5 mL) was mixed with 20% (w/v) trichloroacetic acid (TCA), allowed to stand at 4 °C for 24 h, and then centrifuged again. The supernatant was collected, mixed with 95% alcohol (3:1 v/v), and allowed to stand again at 4 °C for 24 h. The mixture was centrifuged, the pellet was suspended in deionized water and dialyzed at 4 °C for 2 days using dialysis bags (molecular weights of 8 kDa-14 kDa). Afterward, the dialysate was concentrated and vacuum freeze-dried. The EPS concentration in the suspension after dialysis was quantified using the phenol-sulphuric method of Charchoghlyan et al. [21], and is expressed as glucose equivalent with glucose as the standard [22].
2.5. Analysis of Rheological Properties of Yogurt
2.5.1. Apparent Viscosity
Apparent viscosity was determined for all samples using an MCR301 Rheometer (Anton Paar, Glaz, Austria). The yogurt sample was linearly sheared at a constant temperature of 25 °C, the shear rate was 0.1 to 200/s, the measurement time was 1 min, and the change of the apparent viscosity of the samples with the shear rate was detected [23].
2.5.2. Shear Scan of Yogurt
The yield stress was determined for all samples using the MCR301 Rheometer (Anton Paar, Austria). Yield stress implied that stress had to be applied to the viscoelastic material until it began to flow. Stress–strain rate curves of the upward/downward strain rate sweep test were fitted using the Herschel–Bulkley model [21], which is used to elucidate the yielding behavior of viscoelastic materials and is calculated using:
σ = σo + K·γn,
σ: is shear stress as a function of shear rate;
σo: is yield stress;
K: is the consistency index;
n: is the flow behavior index.
2.5.3. Determination of Thixotropic Properties (TP) and Viscoelasticity of Yogurt
The TP of yogurt samples was measured by using MCR301 Rheometer in the range of 0–200 rad/s. The shear stress of yogurt samples was measured under the condition of 5% strain force and frequency of 0.1–100 Hz [15].
2.6. Analysis of Texture Properties of Yogurt
Texture Profile Analysis (TPA) was performed on all samples using Texture Analyzer TA.XT Express (Stable Micro Systems, Guildford, UK). Yogurt samples stored at 4 °C were evaluated for parameters such as firmness, consistency, and cohesiveness using an extrusion unit [24]. All assays were performed in triplicate.
2.7. In Vitro Determination of Antioxidant Activity of Yogurt
The yogurt samples and 95% ethanol were thoroughly mixed at a mass ratio of 1: 9 to prepare test samples.
2.7.1. Determination of DPPH Radical Scavenging Activity (RSA) in Yogurt
The RSA of DPPH method of Aguilar et al. [25] was followed. Sample (1.0 mL) was mixed with DPPH-ethanol solution (2.0 mL, 0.2 mmol/L) evenly, placed in the dark for 30 min, centrifuged (8000 r/min, 10 min) and the absorbance of the supernatant was measured at 517 nm (Aj). Blank was measured using ultrapure water (1 mL) and anhydrous ethanol (2 mL). The RSA of DPPH was calculated using:
Aj: Absorbance of ultrapure water (1 mL) + EPS solution (1 mL);
Ai: Absorbance of DPPH-95% ethanol (1 mL) + EPS solution (1 mL);
Ao: Absorbance of DPPH-95% ethanol + ultrapure water (1 mL).
2.7.2. Determination of ABTS Radical Scavenging Activity (RSA) in Yogurt
ABTS solution was prepared by mixing equal volumes of ABTS (7 mmol/L) and potassium persulfate solutions (2.45 mmol/L), and the mixture was placed in the dark for 16 h. Before the assay, the ABTS radical solution was diluted with PBS (0.2 mol/L, pH 7.4) and its absorbance was standardized to 0.70 ± 0.02 at the wavelength of 734 nm. Sample solution (0.4 mL) was added to 3 mL of the diluted ABTS solution and allowed to stand in the dark for 10 min. The absorbance of the sample solution was measured at a wavelength of 734 nm [26]. The formula for calculating the RSA of ABTS is as follows:
As: Absorbance of the sample + ABTS solution;
Ac: Absorbance of ABTS solution + ultrapure water;
Ao: Absorbance of sample + ultrapure water.
2.7.3. Determination of Hydroxyl (OH) Radical Scavenging Activity (RSA) in Yogurt
The Fenton method reported by Du et al. [27] was followed to determine the RSA of OH. To do this, 0.5 mL of 2.5 mmol/L phenanthroline solution, 0.5 mL of 2.5 mmol/L FeSO4 solution and 0.5 mL of 20 mmol/L H2O2 solution were sequentially added in 1 mL of 0.02 mol/L PBS (pH 7.4) solution and thoroughly mixed before addition of 0.5 mL of sample. The absorbance of the sample was measured at 536 nm after heating it in the water bath at 37 ℃ for 1 h. The formula for calculating the RSA of OH is as follows:
As: Absorbance of sample + H2O2;
Ac: Absorbance of ultrapure water + H2O2;
Ab: Absorbance of ultrapure water.
2.7.4. Determination of Ferric Iron-Reducing Power (FRP) in Yogurt
To 1 mL of the sample solution, 1 mL of phosphate buffer (pH 6.6, 0.2 mol/L) and 1 mL of potassium ferricyanide solution (1%, w/v) were added and mixed thoroughly. The mixture was kept at 50 °C for 20 min, 1 mL of TCA (10%, w/v) was added, and the mixture was centrifuged (3000 r/min, 10 min). To 2.5 mL of supernatant, 2.5 mL of deionized water, and 0.5 mL of ferric iron chloride solution (0.1%, w/v) were added and mixed. After standing for 10 min, the absorbance was measured at 700 nm [28]. The FRP is represented by the absorbance value, and the greater the absorbance value, the stronger the reducing power. The formula for calculating the RSA of OH is as follows:
A1: Absorbance of sample;
A0: Absorbance of the blank.
2.8. Microbiological Analysis in Yogurt
Yogurt samples were subjected to microbiological analysis on days 1, 7, 14, and 21. All microorganisms previously put into the milk for fermentation samples were enumerated by using different media and methods described below, yogurt (1 mL) was mixed with 9 mL of normal saline (0.85%), homogenized, and diluted at a 10-fold gradient. From three chosen dilutions, 10−6, 10−7, and 10−8, 0.1 mL of each was taken and evenly spread on the plate culture, and the total number of colonies was counted [29].
2.8.1. Streptococcus Thermophilus
M17 agar medium was used to enumerate S. thermophilus. Using the medium at pH 6.9 ± 0.20, the inoculated plates were incubated at 42 °C for 48 h.
2.8.2. L. delbrueckii subsp. bulgaricus
L. delbrueckii subsp. bulgaricus was cultured in an MRS agar medium (adjusted to pH 5.2 with glacial acetic acid) at 42 °C for 48 h.
2.8.3. Lactobacillus plantarum MC5
For samples supplemented with L. plantarum MC5 and commercial starters, the corresponding number of S. thermophilus and Lb. delbrueckii subsp. bulgaricus was subtracted. Then L. plantarum MC5 was cultured in an MRS agar medium supplemented with 0.01% (mass fraction) Staphylococcus aureus at 37 °C for 48 h. They were all cultured under anaerobic conditions.
2.9. Analysis of pH, Titratable Acidity (TA), and Water Holding Capacity (WHC) of Yogurt
The pH value of samples was measured at room temperature with a PHS-3C pH-Meter and a combined glass electrode (Shanghai INESA Scientific Instrument Co., Ltd., Shanghai, China).
The TA was determined by the Chinese National Food Safety Standard-Determination of Food Acidity (GB 5009.239-2016) [30] using phenolphthalein as an indicator using.
The WHC was determined using Paulina [31] with slight modifications. Yogurt samples (20.0 g) were accurately weighed and centrifuged at 5000 r/min for 10 min. The supernatant was discarded, the residue was weighed, and WHC was calculated according to the formula:
W1: weight of samples before centrifugation/g;
W2: weight of samples after centrifugation/g.
2.10. Statistical Analysis
All tests were performed in triplicate. Each sample was analyzed in triplicate. The total number of yogurt samples was 48 (4 yogurt types × 3 repeated measurements × 4 sampling time). Data were analyzed using the mixed linear model of SPSS 22.0 (Statistical Package for the Social Sciences, Chicago, IL, USA). The statistical models included fixed effects treatment (MC5 inclusion level), sampling days (time), interaction (Trat × T), and random effect repeated measures (sample ID). ANOVA tests were used to determine significant differences between treatments with a significance level of p < 0.05 by the SPSS 22.0 package program The figures were drawn using the Origin 8.0 software (Statistical Package for the Social Sciences, Hampton, MA, USA). The PCA results are presented both as a variables map (correlation between studied variables) and as an individual map (similarity between yogurt samples).
3. Results and Discussion
3.1. Content of EPS in Yogurt
EPS produced by LAB can change the rheological properties, texture properties, and taste of food [32]. The continual protein rearrangements in yogurt during storage and the greater number of protein–EPS–protein contacts established result in a more solid-like gel; thus, the presence of EPS channels in the serum confer a more polymer-like rheological behavior [33]. Dahi containing EPS-producing LAB had the maximum acceptability and highest sensory scores during storage [34]. Therefore, they are used in the food industry as tackifiers, stabilizers, emulsifiers, or gelling agents [35]. The results showed that EPS production in MC5 and commercial starter samples was significantly higher than those of the control S samples during storage (Figure 2) (p < 0.05). After 21 storage days, the EPS production in 1:1, 2:1, and 1:2 samples increased by 2.0, 1.2, 1.3 times more than those of the S samples, which showed that adding L. plantarum MC5 significantly contributed to the EPS production to yogurt samples. The EPS production in the four yogurt samples gradually increased during the storage: control S increased by 50.44%, while 1:1, 2:1 and 1:2 samples increased by 66.88%, 53.61%, and 55.15%, respectively. The highest EPS production observed were those of 1:1 and 2:1 samples, which were 751.71 mg/L and 982.42 mg/L. These increments were significantly higher than those of the S and 1:2 samples (p < 0.05), and this could be attributed to the synergy and antagonism interactions between the LAB. During the storage period, the EPS production in the 2:1 sample was always significantly higher than those of the 1:1 and 1:2 samples (p < 0.05) indicating that the 2:1 proportion of L. plantarum MC5 formulation was most effective in increasing the EPS production. Heena et al. [20] showed that protein and amino-acid metabolism enhanced over 0–14 days of goat milk yogurt storage, while fatty acid biosynthesis metabolism predominated during 14–28 days of storage. They also reported that upregulated metabolites included amino acids and peptides during 0–14 days, while saccharides and carboxylic acids were observed during 14–28 days. Furthermore, the Lactobacillus delbreuckii acted on cow milk proteins (mainly casein) and hydrolyzed these to free amino acids and peptides, while S. thermophilus helped in the formation of different metabolites such as pyruvic acid, formic acid, fatty acids, etc., for the growth of Lactobacillus spp. and production of EPS [36].
Figure 2.
Content of EPS in yogurt with different proportions of MC5 added during storage. The control group S only has added commercial starters, the 1:1, 2:1, and 1:2 groups denote that the proportion of adding MC5 and commercial starters is in a ratio of 1:1, 2:1, and 1:2, respectively. Error bars represent the standard errors (se) of the model-fitted mean value (n = 3). “a, b, c, d” indicate significant differences within yogurt groups during storage at p < 0.05.
It was also observed that the increment of EPS in the 2:1 group was higher than in the 1:1 group. The 1:2 group increased rapidly in the first 7 days and then stabilized. This may be due to the high concentration of nutrients available for yogurt LAB growth in the first 7 storage days, while those substances were used-up after the 14 storage days. The interaction between the addition ratio of MC5 and the storage time of yogurt samples had a significant effect on content of EPS (p < 0.05). Schmidt [20] reported that the highest EPS content of yogurt fermented with a combination of S. thermophilus and L. delbrueckii was 250 mg/kg after storage for 21 days. These results were lower than that of this current study and could most likely be due to differences in starters culture and, partly due to the milk treatment differences. In addition, Pachekrepapo has also shown that EPS produced by different species or different strains of the same species may have different yields, repeating unit structures, and molar masses during fermentation [37]. This study supports a previous study by Zannini [35] as the authors reported that EPS-producing LAB as a compound starter significantly increased EPS yield during storage.
3.2. Rheological Properties of Yogurt
3.2.1. Apparent Viscosity
To study the influence of the shear rate on yogurt gel properties, the shear stability of the four groups of yogurt was assessed. As shown in Figure 3, under the shear rate of 0~200/s, similar trends in apparent viscosities were observed in all the yogurt samples. The apparent viscosity of each group of samples was initially high and then decreased with increasing shear rate and time until it finally stabilized, indicating a correlation between the shear-thinning phenomenon, apparent viscosity, and time. The apparent viscosity in the 1:1, 2:1, and 1:2 groups was significantly higher than that of the S sample during the storage (p < 0.05), the highest apparent viscosity attained in the 1:1, 2:1, and 1:2 samples was 19.69 Pa.s, 21.76 Pa.s, and 20.23 Pa.s, respectively (after 21st storage day). In addition, when the shear rate was increased from 0 to 60/s, the apparent viscosity of control S decreased at a faster rate than the decreasing rates of 1:1, 2:1, and 1:2 samples. This may be due to the external force disruption of the balanced structure formed by unknown particles in yogurt suspension [38]. When the shear rate was extended higher than 60/s, the apparent viscosity of the four groups of samples decreased slowly and gradually stabilized. This implied that the four groups of samples showed characteristics of shear dilution, as well as constant and ideal Newtonian fluid behavior [39]. This characteristic of fermented strains has important applications for dairy processing.
Figure 3.
Changes in apparent viscosity of yogurt supplemented with different proportions of MC5 during storage. (A–D) Apparent viscosity of the four groups of yogurt milk on the 1st, 7th, 14th, and 21st days in storage, respectively. Error bars represent the standard errors (se) of the model-fitted mean value (n = 3). “a, b, c, d” indicate significant differences within yogurt groups during storage at p < 0.05.
During storage, the apparent viscosity of S, 1:1, 2:1 and 1:2 samples significantly increased from 1.90 Pa.s to 12.24 Pa.s, 2.03 Pa.s to 19.69 Pa.s, 4.16 Pa.s to 21.76 Pa.s, and 2.22 Pa.s to 20.23 Pa.s during 21 storage days, respectively. Even though the apparent viscosity of control S also increased, its increment was slower than those of the 1:1, 2:1, and 1:2 samples. In addition, the apparent viscosity of 1:1, 2:1, and 1:2 samples increased slowly before the 14 days of storage but increased rapidly after the 14 days of storage. Therefore, the results showed that the probiotic MC5 has stable apparent viscosity and tissue structure in yogurt samples. In addition, the apparent viscosity of yogurt samples was influenced by the power and number of bonds between casein micelles of yogurt, as well as their texture and spatial sharing [40]. Comparing the production of EPS in yogurt revealed that the higher apparent viscosity was caused by the accumulation of a large number of EPS in the situ metabolism of MC5 (especially in the last 7 days), as well as the formation of a protective film around MC5. In addition, Doleyres et al. [41] reported that in situ EPS production by the LAB could be a better approach than adding EPS as bioingredient to improve rheological characteristics of yogurt, which could also explain the better rheological properties observed in our study. At the same time, the results of Chaudhury [34] showed that the sensory quality of fermented milk produced by EPS-producing strains were the best. This suggested that EPS macromolecules added to milk before fermentation can interfere with acid coagulation and gel network formation differently than EPS produced in situ during milk acidification. Our research team previously found that the MC5 had good tolerance (with a survival rate of 88.32% and 69.03% after 3 h in simulated artificial gastrointestinal fluids). This may be because the EPS produced by MC5 formed a protective film on the surface of the bacteria, so it had a higher survival rate [5].
Furthermore, the highest apparent viscosity in all stirred yogurts was 1.7 Pa.s in Guénard-Lampron’ study [42], which was less than that of this study. Differences in apparent viscosity of yogurt made from EPS-producing strains could be attributed to differences in the number and the molecular characteristics of EPS and their ability to interact with proteins [43]. Kumar [44] showed that the apparent viscosity of dairy products decreased when the speed increased during agitation. However, when the stirring speed slowed down and finally stopped, the apparent viscosity of the dairy products increased accordingly, which was more conducive to the processing and production of coagulated yogurt. In addition, the yogurt samples of this study have a higher apparent viscosity, because they were coagulated yogurts. Piermaria et al. [45] reported that the milk fermented with all the L. paracasei strains presented the highest apparent viscosity; nevertheless, the viscoelastic characteristics of the resulting yogurts were different. Production of high molecular weight exopolysaccharides affects the viscosity of yogurt. In summary, yogurt addition of MC5 obtained a stronger structure between EPS and casein micelles, which could have a successful application in improving the texture of the fermented dairy products.
3.2.2. Shear Scan of Yogurt
Rheological parameters for yogurt samples were measured using the Herschel–Bulkley model to determine flow behavior. The determination coefficient (R2) for 1:1, 2:1, 1:2, and the control S samples ranged from 0.990 to 0.999, which was an acceptable fit for the flow curves (Table 3). The yield force is the maximum shear force that a Newtonian fluid needs to be applied to deform. During storage for 21 days, σo increased significantly for all yogurt samples. The yield forces of yogurt samples in 1:1 and 2:1 groups were as high as 66.90 Pa and 54.79 Pa. The results in this study were higher than those of Charchoghlyan [21], who reported that the yield stress of BHF, NHF, and NLF yogurt were 7.60 Pa, 5.22 Pa, and 3.99 Pa, respectively. The differences may be due to the type and concentrations of starters used. In addition, interaction between the addition ratio of MC5 and the storage time of yogurt samples had a significant effect on yield forces and K (p < 0.01). The consistency index K, and the flow behavior index n was obtained using the Herschel–Bulkley model [41]. The K value of the consistency coefficient of all samples increased with the increase of the viscosity of yogurt samples. The K of the 1:1, 2:1 and 1:2 yogurt samples increased from 2.51 Pa.sn to 18.79 Pa.sn, 4.70 Pa.sn to 49.09 Pa.sn, and 5.00 Pa.sn to 19.34 Pa.sn, respectively. The yogurt samples in this study were all typical pseudoplastic fluids (n < 1), the value of the fluid behavior index showed a decreasing trend with the increase of the viscosity of the yogurt samples. This may be due to the increased accumulation of EPS and the increased intramolecular friction of protein gels in yogurt, which increased the overall viscosity of the corresponding sample. The results indicated that the content of EPS in yogurt samples had a significant effect on K and n, and this was consistent with the results in 2.1. This study supports previous studies reporting that different EPS have different effects on the rheological properties of yogurt [37].
Table 3.
Rheological parameters were obtained using the Herschel–Bulkley model for yogurt samples during storage at 4 °C. “a, b, c, d” indicate significant differences within yogurt groups during storage at p < 0.05.
3.2.3. Determination of Thixotropic Properties and Viscoelasticity of Yogurt
In this study, the elastic modulus G’ and viscous modulus G″ of four groups of yogurt samples showed the same variation trend. As the frequency increased from 0.1 Hz to 100 Hz, the elastic moduli G′ and viscous moduli G″ of the four groups of yogurt samples increased gradually. Notably, all samples showed weak viscoelastic gel characteristics because G′ was greater than G″, indicating that the four groups of yogurt had elastic and solid-like characteristics (Figure 4).
Figure 4.
The elastic modulus G’ and the viscous modulus G″ of yogurt were added with different proportions of MC5 during storage. (A–D) G′ and G″ of the four groups of yogurt on the 1st, 7th, 14th, and 21st days of storage, respectively. Error bars represent the standard errors (se) of the model-fitted mean value (n = 3).
During the storage period, G′ of the 2:1 yogurt sample was significantly higher than that of 1:1, 1:2, and control S. In addition, the viscoelastic modulus of the control S slowly increased during the storage, while those of 1:1, 2:1, and 1:2 samples slowly increased before 14 storage days, then rapidly increased after 14 days of storage. These findings suggested that the fermentation performances, as well as viscoelasticity of the yogurts fermented with MC5 were the best. This may be due to the electrostatic interaction of EPS with casein and whey proteins during the first 14 days of storage, and EPS in yogurt can act as an active filler and increase viscoelastic modulus when interacting with proteins.
The results showed that the high concentration of EPS promoted more incompatibility with the protein network, which might have also led to the decrease in the G’ value of EPS-added yogurts. Zhang et al. [46] also reported that the interaction between EPS and CAS (casein) improved the viscoelasticity of the EPS-YW11/CAS complex with the addition of 1% EPS-YW11. Contrarily to this study, Ibrahim [47] reported that the viscoelasticity of yogurt was related to its gel point. Before gel formation, the presence of EPS in yogurt created macroporosity, leading to a decrease in viscoelastic modulus. After gelation, EPS production did not affect the porosity of the network but might have led to an increase in stiffness. This was due to the difference in the type of LAB, the amount and structure of EPS it produced (such as EPS type, molecular weight, and molecular composition) as well as the process parameters (such as temperature, time, and inoculation amount) yogurt production.
3.3. Texture Properties of Yogurt
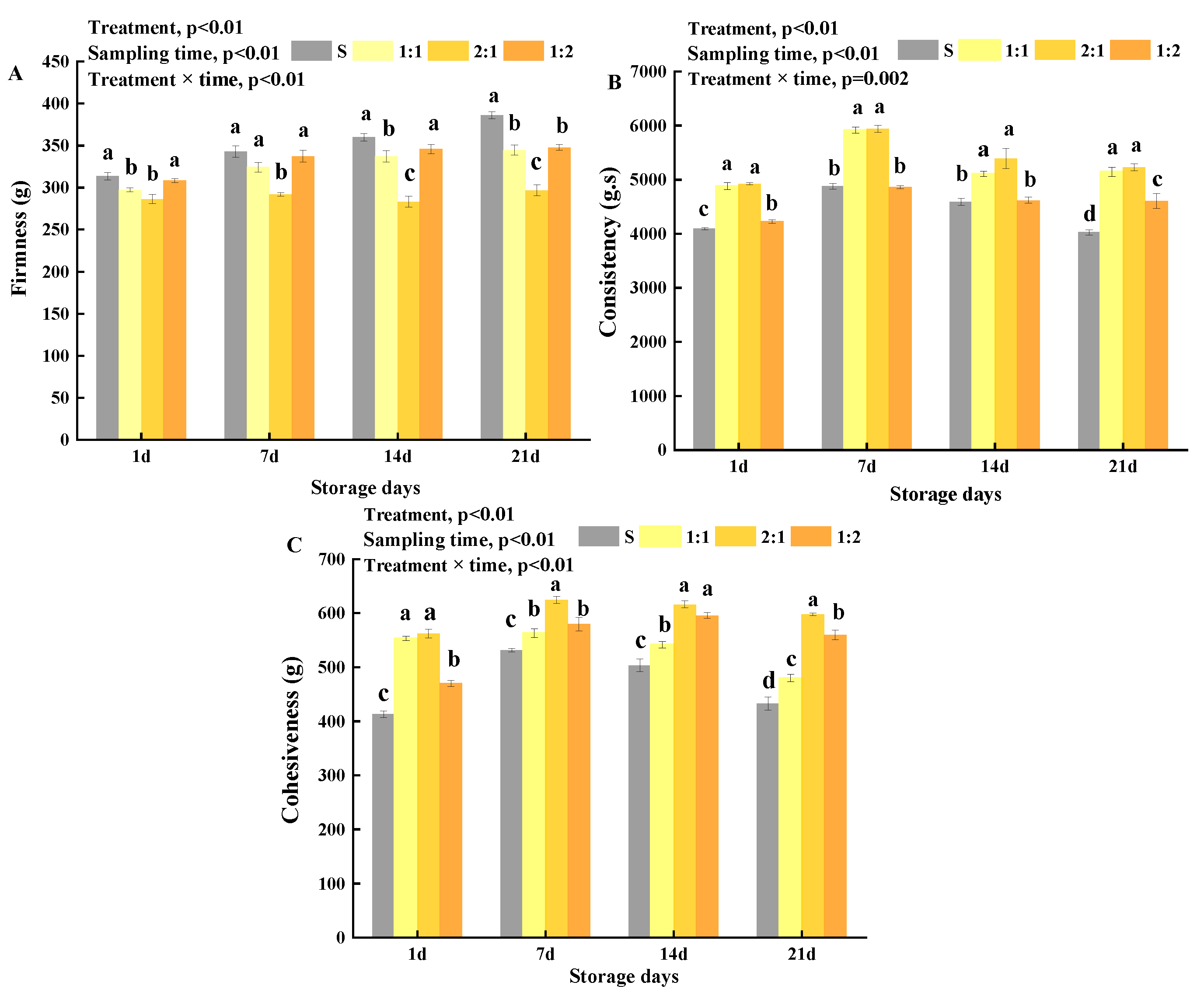
In this study, to assess the effect of adding MC5 on the texture of yogurt samples, the texture of four coagulated yogurt samples during storage was monitored. The parameters measured were firmness, consistency, and cohesiveness. Firmness, a key yogurt quality parameter, is defined as the force required to ensure certain deformation of food ingredients [48]. As shown in Figure 5A, the firmness of the 1:1 and 2:1, and 1:2 groups were lower than that of the control S. The 2:1 sample showed the lowest firmness (296.55 g) after 21 storage days; thus, MC5 addition significantly reduced the firmness of the yogurt samples. Similar results were reported by Bancalari [49], where it wsa observed that the firmness of yogurts made using EPS-producing starter cultures was generally lower than that of the control yogurt made without EPS-producing starter cultures. Guénard-Lampron [42] reported that the firmness of stirred yogurt was 250–500 N/m2 after 1 day of storage. Zhao et al. [50] reported that EPS could affect the textural properties of a yogurt clot by decreasing its firmness. However, the firmness of camel’s yogurt was lower than that of this study, which may be due to the differences in (i) soluble solids contents between camel milk and cow milk, (ii) starters, (iii) gel structures between curdled yogurt and stirred yogurt. The firmness of control S samples increased gradually with the extension of storage time, while those of 1:1, 2:1, and 1:2 samples remained fairly constant during storage. Yogurt samples with high consistency refer to a viscous product with high density. The yogurt samples showed a strong correlation between consistency and viscosity (R = 0.86). After 21 days of storage, the consistency of the 2:1 and 1:1 groups was 5141.05 g·s and 5229.12 g·s, respectively, and these values were significantly higher than those of the S and 1:2 groups (p < 0.05, Figure 5B). This observation may be due to the difference in the EPS production and post-acidification of yogurt during storage. Yildiz [24] reported that firmness and consistency were affected by syneresis, pH decrease, and casein hydration increase in yogurts with long storage time. The study also found that the interaction between the addition ratio of MC5 and the storage time of yogurt samples had a significant effect on firmness, consistency, and cohesiveness of yogurt (p < 0.01).
Figure 5.
Texture properties of yogurt were added with different proportions of MC5 during storage. (A–C) Firmness, consistency, and cohesiveness of yogurt, respectively. Error bars represent the standard errors (se) of the model-fitted mean value (n = 3). “a, b, c, d” indicate significant differences within yogurt groups during storage at p < 0.05.
Cohesiveness, a strong binding indicator, affects the structural integrity of yogurt [51]. The cohesiveness in the 1:1, 2:1, and 1:2 yogurt samples was significantly higher than that of the S (p < 0.05). The 1:1, 2:1, and 1:2 samples attained maximum levels of 479.96 g, 597.42 g, and 559.56 g at the end of storage, respectively (Figure 5C). This observation was most likely due to the myofibril filaments-like network formed between the fat globules embedded in the protein matrix, and the EPS produced by MC5 which connected the microbial cells and the yogurt protein matrix, forming a relatively stable gel system [52]. Delikanli et al. [53] reported that cohesiveness was related to the strength of gel composition, which reflected the water-holding properties of yogurt. In addition, specific types of EPS may be responsible for the different textures of yogurt. However, Khanal [54] reported that the reason for the different textures of yogurt is not only the concentration or molar mass of EPS. Chaudhary et al. [34] compared the effects of EPS producing and non-EPS producing strains on Dahi, and the results showed that among all cultures, better quality Dahi can be prepared by using cultures I2 and J2 (containing EPS-producing LAB). Therefore, the effect of EPS on yogurt depended on many factors. From the above results, it was found that adding MC5 could improve the texture of yogurt, which was consistent with the rheological structure during fermentation.
3.4. In Vitro Antioxidant Activity (AA) of EPS in Yogurt
EPS produced by LAB has various potential health benefits and functional roles (antioxidant activity, immunomodulatory properties, anticancer, antiulcer, etc.) in human or animal health, and antioxidant activity is one of its important probiotic functions [28]. Reactive oxygen species (ROS) are natural by-products of normal aerobic metabolism or host defense mechanisms [55] that are involved in various biological processes. With increasing health awareness among consumers, natural antioxidants have received great attention from researchers because of their ability to inhibit ROS and radicals. Hydroxyl radical (OH) have a free access to cell membranes and cause tissue damage. Thus, the scavenging of these specific radicals may avoid tissue injury [56]. In general, the antioxidant mechanisms of bacterial EPS may include degradation of superoxide anion and hydrogen peroxide via ROS, inhibition of lipid peroxidation, reduction of metal ion chelation activity, and upregulation of enzymatic and non-enzymatic antioxidant activities [57].
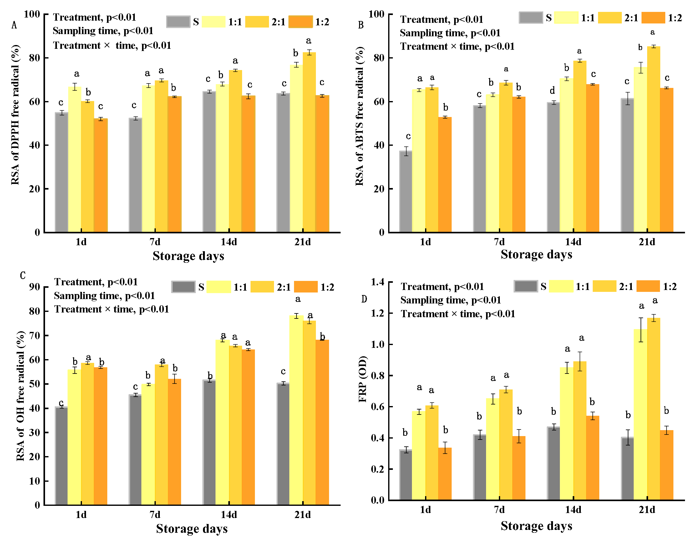
In this study, the antioxidant activity (AA) of four yogurt samples during storage was measured in terms of the RSA of DPPH, ABTS, OH, and ferric iron-reducing power (FRP). As shown in Figure 6, the antioxidant indexes (RSA of the DPPH, ABTS, OH, and FRP) of the 1:1, 2:1, and 1:2 groups were higher than those of the control S, indicating that the addition of MC5 significantly increased the AA in yogurt samples. This may be due to increased EPS production, metabolized in yogurt samples with the prolongation of storage time, as AA was consistent with the EPS production results in 2.1. During storage of the control S, the RSA of DPPH, ABTS, and OH increased slowly, while the FRP remained constant. The RSA of DPPH, ABTS, and OH in the 1:1, 2:1, and 1:2 groups increased at higher rates during storage, especially in the 1:1 and 2:1 groups. Compared with the control S, the DPPH value, ABTS value, and OH value in the 1:1 group increased by 13.18%, 14.14%, and 27.81%, respectively, while those of the 2:1 group increased by 18.87%, 23.87%, and 25.77%, respectively, during storage. Li et al. [58] reported dose-dependent OH, DPPH, and ABTS radical scavenging activity of EPS from LAB. The contents of active metabolites (polysugars and tri-peptides) increased after 14 days of storage [20]. These explained the antioxidant activity of the yogurt samples increased during storage in this study. After 21 storage days, the RSA of DPPH, ABTS, OH, and OD700 of FRP of 2:1 group yogurt samples were 82.51%, 85.20%, 76.02%, and 1.17, respectively. However, the interaction between the addition ratio of MC5 and the storage time of yogurt samples had a significant effect on AA (p < 0.01). These findings suggest that the MC5 of the yogurt could donate electrons or hydrogens to scavenge free radicals.
Figure 6.
Antioxidative properties of EPS in yogurt were added with different proportions of MC5 during storage. (A–C) Radical scavenging activity (RSA) of DPPH, ABTS, and OH, respectively. (D) OD of ferric iron-reducing power (FRP). Error bars represent the standard errors (se) of the model-fitted mean value (n = 3). “a, b, c, d” indicate significant differences within yogurt groups during storage at p < 0.05.
Many studies have demonstrated the AA of EPS, with some studies reporting lower AA than the results of this study. Yang [5] reported that the RSA of the EPS solution against the DPPH and OH were 40% and 17.76%, respectively. Wang et al. [10] showed that the ABTS scavenging activity of EPS from two Porphyridium strains was 35.97% and 47.02% at 5 mg/mL concentration, and that of superoxide anion scavenging activities reached 19.38% and 7.54%, respectively. Naoki et al. [59] reported that Lb. gasseri MYU 1 showed the highest ORAC test value, exhibiting approximately double the activity of the control (4.03 μmol TE/g). The authors also reported ORAC values for Lb. gasseri MYU 1, Lb. sakei MYU 10, Lb. gasseri MYU 17, and P. pentosaceus MYU 759 were 11.61, 12.77, 6.16, and 4.49 μmol GAE/g, respectively in the HORAC test. The results of Zhang et al. [60] indicated that L. plantarum C88-EPS exhibited relatively strong RSA of OH and DPPH (85.21% and 52.23%). Therefore, the difference may be caused by the concentration of EPS and the different starters in yogurt. In addition, some scholars have found that one of the antioxidant signaling pathways is the Nrf2-controlled antioxidant response element (ARE). These antioxidant systems included superoxide dismutase, catalase, and glutathione peroxidase, and small molecules (such as albumin, ceruloplasmin, and ferritin) and macromolecules [55], which could be another reason for the difference in AA.
3.5. Microbiological and Physicochemical Analysis of Yogurt during Storage
In this study, the changes in LAB survival counts, pH, titratable acid (TA), and water holding capacity (WHC) of four yogurt samples were tracked and monitored to comprehensively evaluate the probiotic capability, post-acidification, and stability of MC5 yogurt during storage. The results are shown in Table 3.
3.5.1. The Number of Survival LAB in Yogurt during Storage
Table 4 shows the changes in the viable counts of L. plantarum MC5, S. thermophilus, and L. delbrueckii subsp. bulgaricus in the four types of yogurt samples during storage. The number of viable S. thermophilus and L. delbrueckii subsp. bulgaricus in four yogurt samples gradually decreased as storage time increased (Table 4). Compared with the control S, the number of S. thermophilus in the yogurt samples supplemented with MC5 increased significantly (p < 0.05) after 14 days of storage, while the number of L. delbrueckii subsp. bulgaricus remained fairly constant. This showed that the addition of MC5 can promote the growth of S. thermophilus, which may be due to the EPS and other substances produced by MC5 in the metabolism as growth-promoting factors of S. thermophilus. In addition, the interaction between the addition ratio of MC5 and the storage time of yogurt samples had a significant effect on viable counts of MC5 and Streptococcus thermophilus (p < 0.01). Furthermore, the viable counts of L. plantarum MC5 in 2:1 and 1:2 were significantly higher than that of commercial starters (S. thermophilus and L. delbrueckii subsp. bulgaricus) throughout the storage period (p < 0.05) after 21 storage days. These findings showed that L. plantarum MC5 was highly stable in yogurt and met the requirements of EU and Australian standards (the number of viable LAB in probiotic products should not be less than 106 CFU/g or 106 CFU/mL) [61]. However, Yakult, a viable-LAB product that is now sold in many countries around the world and recognized by consumers, is fermented with L. casei Shirota with viable cells above 1 × 108 CFU/g, which is much higher than the lowest dose that can play a role (106 CFU/mL or 106 CFU/g). Japan stipulated a minimum of 107 CFU/g or 107 CFU/mL in probiotic products. Therefore, in this study, L. plantarum MC5 was relatively stable during storage, and the viable counts were above 108 CFU/mL, which could fully ensure its probiotic effect.
Table 4.
Quantities of commercial starters and MC5 survival counts (108 CFU/mL) in four groups of yogurt during storage. Data represented as the model-fitted mean ± standard errors. “A, B, C, D” indicate significant differences within yogurt groups in different storage at p < 0.05. “a, b, c, d” indicate significant differences within different strains of the same storage time at p < 0.05.
3.5.2. Analysis of pH, TA, and WHC of Four Yogurt Samples during Storage
There was no significant difference in pH and TA among all four yogurt samples on the first day of storage (p > 0.05); however, TA showed a significantly increasing trend as storage time progressed ((p > 0.05, Table 5). The fermentation time of four groups of yogurt samples was 5–6 h (pH 4.6). The pH of control S, 1:1, 2:1, and 1:2 decreased from 4.54 to 3.51, 4.55 to 4.09, 4.53 to 4.31, and 4.52 to 3.62, respectively, during storage. The results showed that the reduced speed of S was faster than those of other samples. After 14 and 21 days of storage, the pH values of the 1:1 and 2:1 yogurt samples were significantly lower than those of the control S and the 1:2 group (p < 0.05). This indicated that the degree of post-acidification in the 1:1 and 2:1 groups was very low and the addition of L. plantarum MC5 improved the post-acidification problem yogurt samples. The TA values of 1:1, 2:1 and 1:2 yogurt samples were 97.57°T, 93.90°T, and 101.83°T after 21 storage days. The TA values of the 1:1 and 2:1 yogurt samples were significantly higher than those of the control S and the 1:2 group (p < 0.05). This could be due to MC5 using the nutrients in the yogurt to produce large amounts of EPS and a small amount of lactic acid during the storage. On the contrary, the commercial starters utilized nutrients to metabolize and synthesize fewer EPS and more lactic acid and acetic acid. This could also be due to high buffering capacity of the crude EPS powder and starter culture inhibiting levels of lactic acid in yogurt [41]. In addition, the interaction between the addition ratio of MC5 and the storage time of yogurt samples had a significant effect on pH and WHC (p < 0.01).
Table 5.
Analysis of pH, TA, and WHC of four yogurt samples during storage. Data represented as the model-fitted mean ± standard errors. “a, b, c, d, e” indicate significant differences within yogurt groups during storage at p < 0.05.
On the other hand, the WHC of control S and 2:1 yogurt samples decreased significantly with the prolongation of storage time (p < 0.05), while those of 1:1 and 2:1 remained constant. The WHC values of the 1:1 and 2:1 yogurt samples were significantly higher than that of the control S (p < 0.05) during storage, the WHC of the 1:1 and 2:1 increased by 14.56%, 23.58% than that of S, respectively, at the end of storage (Table 5). After the 21 days of storage, the WHC levels of the 1:1 and 2:1 groups (68.33% and 60.59%) were still significantly higher than those of the control S and 1:2 groups (p < 0.05). These results indicated that the addition of MC5 probably improved the syneresis phenomenon of yogurt samples during storage, thereby making the stability of whey in the protein network structure higher in the 1:1 and 2:1 groups. It has been reported that milk fermented by the strain Ldb2214 producing EPS shows a good WHC value [62]. The results of Wang et al. [63] reported that the highest WHC of AE5 (adding EPS yogurt simple) was 66.23%. This implied that yogurt adding MC5 has a stronger ability to absorb water, which can extend the shelf life of the product.
Akhtar [64] reported that denaturation of whey proteins enhanced the gelling characteristics with suitable heating and improved the surface area which allowed high WHC of yogurt, while another study, observed that EPS can bind water [65]. This water-binding ability of EPS limited the whey precipitation of yogurt and the loosening of the protein gel structure, resulting in the high cohesiveness of the yogurt samples. In addition, the water-binding ability of EPS-LAB was influenced by its type, quantity, distribution, and the interaction of protein networks with EPS, as well as the fermentation time of the yogurt. The longer fermentation time allowed for more structural rearrangements, which led to the formation of weak structures and increased spontaneous whey precipitations [66,67]. Therefore, L. plantarum MC5 as a starter can greatly improve the stability of yogurt during storage.
3.6. Principal Component Analysis (PCA) of All Parameters
A PCA was applied to evaluate correlations between the following parameters: EPS production, apparent viscosity, firmness, consistency, cohesiveness, survival counts of S. thermophilus, antioxidant activity (DPPH, ABTS, OH, FRP), and physical and chemical indicators (pH, TA, WHC). Figure 7A shows the obtained variable map. Principal components 1 and 2 accounted for 78.20% and 14.88% of the total variance, respectively. A high correlation (R = 0.976) between EPS content and apparent viscosity of yogurt samples was observed, indicating that this parameter can be useful to monitor the quality change of the yogurt samples. Firmness and TA were negatively correlated with EPS content, apparent viscosity, and consistency. To better discriminate the four yogurt samples, a scores plot was performed according to PC1 and PC2 (Figure 7B). Yogurt samples supplemented with MC5 were separated from the control S, which showed that adding an MC5 starter affected the quality of yogurt. Furthermore, 2:1 and 1:1 samples were located on the positive sides of PC1, whereas 1:2 and control S were scattered along the negative sides of PC1. This supported the earlier findings made in this study, the yogurt properties of the 2:1 and 1:1 samples were better than 2:1 and control S.
Figure 7.
Principal component analysis (PCA) of all data. (A) Loading plot indicating the correlation between variables (EPS, apparent viscosity, firmness, consistency, cohesiveness, survival counts of S. thermophilus, DPPH, ABTS, OH, FRP, pH, TA, and WHC), EPS content, and viscosity. (B) Score plot indicating sample distribution based on the formulation.
4. Conclusions
The results showed that the addition of L. plantarum MC5 can stimulate metabolic activities of starters making them produce a large number of EPS content, which can be applied in the yogurt-making process. A more favorable apparent viscosity, modulus of elasticity, and antioxidant activity were obtained in the formulations using L. plantarum MC5 during storage. At the same time, the yogurt samples fermented with L. plantarum MC5 had the highest WHC and greatly improved syneresis during storage, indicating that adding MC5 could improve the stability of yogurt samples during storage. Notably, the addition of MC5 also had a growth-promoting effect on S. thermophilus in yogurt samples during storage. Therefore, the above results of this study revealed that the quality of yogurt produced from the combination of MC5 and commercial starters was better than that of control yogurt. Moreover, the optimal yogurt properties were obtained by 2:1 sample formulation, followed by 1:1 sample.
In a nutshell, the study highlighted the potential of MC5 strain as a compound starter and its contribution to improving the rheological, texture features, and storage stability of yogurt. The yogurt containing probiotic MC5 met consumers’ demands for naturalness and health. However, further research is needed on the metabolic mechanism of EPS under the interaction effect between LAB, and the structural properties of this EPS.
Author Contributions
Conceptualization, X.Z. and Q.L.; methodology, X.Z. and Q.L.; validation, X.Z.; formal analysis, X.Z.; investigation, Q.L.; resources, Q.L.; data curation, X.Z.; writing—original draft preparation, X.Z.; writing—review and editing, X.Z. and Q.L.; supervision, Q.L.; funding acquisition, Q.L. All authors have read and agreed to the published version of the manuscript.
Funding
This research was funded by the National Natural Science Foundation of China (grant number. 31660468).
Institutional Review Board Statement
Not applicable.
Informed Consent Statement
Not applicable.
Data Availability Statement
The data presented in this study are available upon request from the corresponding author. The data are not publicly available due to privacy.
Acknowledgments
The authors would like to acknowledge funding from the National Natural Science Foundation of China (grant number. 31660468). The authors would like to thank Xiangzhu Wang and Ying Liu from Gansu Liaoyuan Dairy Group for the help of funding acquisition and resources.
Conflicts of Interest
The authors declare no conflict of interest.
Abbreviations
| EPS | Exopolysaccharide |
| LAB | Lactic acid bacteria |
| AA | Antioxidant activity |
| RSA | Radical scavenging activity |
| DPPH | 1,1-Diphenyl-2-picrylhydrazyl, (free radical) |
| ABTS | 2,2’-Azinobis (3-ethylbenzothiazoline-6-sulfonic acid ammonium salt) |
| OH | Hydroxyl (free radicals) |
| FRP | Ferric reducing power |
| TA | Titratable acidity |
| WHC | Water holding capacity |
| PCA | Principal component analysis |
References
- Rezac, S.; Kok, C.R.; Heermann, M.; Hutkins, R. Fermented foods as a dietary source of live organisms. Front. Microbiol. 2018, 9, 1785. [Google Scholar] [CrossRef] [PubMed]
- Reza, M.; Amir, M.; Sara, S. The starter culture characteristics of probiotic microorganisms in fermented milks. Eng. Life Sci. 2012, 12, 399–409. [Google Scholar] [CrossRef]
- Moria, Y.; Du, Z.F. The history of yogurt development in the United States: 40 years of rapid development, the coexistence of brands and legends. Dairy Humanit. 2020, 6, 39–43. [Google Scholar] [CrossRef]
- Beltrn-Barrientos, L.M.; Hernndez-Mendoza, A.; Torres-Llanez, M.J.; González-Córdova, A.; Vallejo-Córdoba, B. Invited review: Fermented milk as antihypertensive functional food. J. Dairy Sci. 2016, 99, 4099–4110. [Google Scholar] [CrossRef] [PubMed]
- Yang, Z.N.; Li, S.Y.; Zhang, X. Capsular and slime-polysaccharide production by Lactobacillus rhamnosus JAAS8 isolated from Chinese sauerkraut: Potential application in fermented milk products. J. Biosci. Bioeng. 2010, 110, 53–57. [Google Scholar] [CrossRef] [PubMed]
- Nikolic, M.; López, P.; Strahinic, I. Characterisation of the exopolysaccharide (EPS)-producing Lactobacillus paraplantarum BGCG11 and its non-EPS producing derivative strains as potential probiotics. Int. J. Food Microbiol. 2012, 158, 155–162. [Google Scholar] [CrossRef]
- Suryawanshi, N.; Naik, S.; Eswari, J. Extraction and optimization of exopolysaccharide from Lactobacillus sp. using response surface methodology and artificial neural networks. Prep. Biochem. Biotech. 2019, 49, 987–996. [Google Scholar] [CrossRef]
- Dinc, M.; Pecikoza, U.; Djokic, J. Exopolysaccharide produced by probiotic strain Lactobacillus paraplantarum BGCG11 reduces inflammatory hyperalgesia in rats. Front. Pharmacol. 2018, 9, 1. [Google Scholar] [CrossRef]
- Zhu, Y.T.; Wang, X.J.; Pan, W.S.; Shen, X.F.; He, Y.; Yin, H.; Zhou, K.; Zou, L.; Chen, S.; Liu, S. Exopolysaccharides produced by yogurt-texture improving Lactobacillus plantarum RS20D and the immunoregulatory activity. Int. J. Biol. Macromol. 2019, 121, 342–349. [Google Scholar] [CrossRef]
- Wang, W.N.; Li, Y.; Zhang, Y. Comparison on characterization and antioxidant activity of exopolysaccharides from two Porphyridium strains. J. Appl. Phycol. 2021, 33, 2983–2994. [Google Scholar] [CrossRef]
- Yuan, P.C.; Fang, F.; Shao, T.L. Structure and anti-tumor activities of exopolysaccharides from alternaria mali roberts. Molecules 2019, 24, 1345. [Google Scholar] [CrossRef] [PubMed]
- Bhat, B.; Bajaj, B.K. Hypocholesterolemic and bioactive potential of exopolysaccharide from a probiotic Enterococcus faecium K1 isolated from kalarei. Bioresour. Technol. 2018, 254, 264–267. [Google Scholar] [CrossRef] [PubMed]
- Zhu, X.; Liang, Q.; Wang, X.Z.; Liu, Y. Comparison of bacterial diversity in traditional yak fermented dairy products in Tibetan areas of Gansu based on Illumina MiSeq highthroughput technology. J. Chin. Inst. Food Sci. Technol. 2021, 21, 336–344. [Google Scholar] [CrossRef]
- Wang, J.; Zhao, X.; Tian, Z. Characterization of an exopolysaccharide produced by Lactobacillus plantarum YW11 isolated from Tibet Kefir. Carbohyd. Polym. 2015, 125, 16–25. [Google Scholar] [CrossRef] [PubMed]
- Wang, L.; Gu, Y.C.; Zheng, X.Y. Analysis of physicochemical properties of exopolysaccharide from Leuconostoc mesenteroides strain XR1 and its application in fermented milk. LWT 2021, 146, 111449–111461. [Google Scholar] [CrossRef]
- Sarah, L.; Bijender, K.B.; Ingmar, J.C.; Konika, R. Physico-chemical characterization of exopolysaccharides of potential probiotic Enterococcus faecium isolates from infants’gut. Curr. Biochem. Eng. 2015, 2, 90–100. [Google Scholar] [CrossRef]
- Fontana, C.; Li, S.; Yang, Z.; Widmalm, G. Structural studies of the exopolysaccharide from Lactobacillus plantarum C88 using NMR spectroscopy and the program CASPER. Carbohydr. Res. 2015, 402, 87–94. [Google Scholar] [CrossRef]
- Zhang, M.; Luo, T.Q.; Zhao, X.; Hao, X.; Yang, Z. Interaction of exopolysaccharide produced by Lactobacillus plantarum YW11 with whey proteins and functionalities of the polymer complex. J. Food Sci. 2020, 85, 4141–4151. [Google Scholar] [CrossRef]
- Racheal, O.F.; Bukola, A.T.; Jadesola, S. Optimization of extracellular polysaccharide substances from lactic acid bacteria isolated from fermented dairy products. Microbiol. J. 2021, 11, 1–11. [Google Scholar] [CrossRef]
- Heena, S.; Ranjith, R. Gas chromatography-mass spectrometry based metabolomic approach to investigate the changes in goat milk yoghurt during storage. Food Res. Int. 2021, 140, 110072–110085. [Google Scholar] [CrossRef]
- Charchoghlyan, H.; Jung-Eun, B.; Heejun, K. Rheological properties and volatile composition of fermented milk prepared by exopolysaccharide-producing Lactobacillus acidophilus n.v. Er2 317/402 strain Narine. Biotechnol. Bioprocess Eng. 2017, 22, 327–338. [Google Scholar] [CrossRef]
- Panthavee, W.C.; Masafumi, N.; Narandalai, D. Characterization of exopolysaccharides produced by thermophilic lactic acid bacteria isolated from tropical fruits of thailand. Biol. Pharm. Bull. 2017, 40, 621–629. [Google Scholar] [CrossRef] [PubMed]
- Schmidt, C.; Mende, S.; Jaros, D. Fermented milk products: Effects of lactose hydrolysis and fermentation conditions on the rheological properties. Dairy Sci. Technol. 2016, 96, 199–211. [Google Scholar] [CrossRef][Green Version]
- Yildiz, E.; Ozcan, T. Functional and textural properties of vegetable-fibre enriched yoghurt. Int. J. Dairy Technol. 2019, 72, 199–207. [Google Scholar] [CrossRef]
- Aguilar-Toalá, J.E.; Santiago-López, L.; Peres, C.M. Assessment of multifunctional activity of bioactive peptides derived from fermented milk by specific Lactobacillus plantarum strains. J. Dairy Sci. 2017, 100, 65–75. [Google Scholar] [CrossRef]
- Kosti, A.; Milini, D.D.; Stanisavljevi, N.S.; Gašić, U.M.; Lević, S.; Kojić, M.O.; Tešić, L.; Nedović, V.; Barać, M.B.; Pešić, M.B. Polyphenol bioaccessibility and antioxidant properties of in vitro digested spray-dried thermally-treated skimmed goat milk enriched with pollen. Food Chem. 2021, 351, 129310–129321. [Google Scholar] [CrossRef]
- Du, R.P.; Qiao, X.X.; Zhao, F.K. Purification, characterization and antioxidant activity of dextran produced by Leuconostoc pseudomesenteroides from homemade wine. Carbohydr. Polym. 2018, 198, 529–536. [Google Scholar] [CrossRef]
- Wang, X.; Shao, C.G.; Liu, L. Optimization, partial characterization and antioxidant activity of an exopolysaccharide from Lactobacillus plantarum KX041. Int. J. Biol. Macromol. 2017, 103, 1173–1184. [Google Scholar] [CrossRef]
- Ashraf, R.; Shah, N.P. Selective and differential enumerations of Lactobacillus delbrueckii subsp. bulgaricus, Streptococcus thermophilus, Lactobacillus acidophilus, Lactobacillus casei and Bifidobacterium spp. in yoghurt—A review. Int. J. Food Microbiol. 2011, 149, 194–208. [Google Scholar] [CrossRef]
- China National Standard. GB 5009.239-2016; Fermented Milk-Phenolphthalein Indicator Method. China Natl. Stand: Beijing, China, 2016. Available online: https://www.doc88.com/p-6019778275152.html (accessed on 31 August 2016).
- Paulina, B.; Dorota, C.S.; Asli, Y. Storage stability of texture and sensory properties of yogurt with the addition of polymerized whey proteins. Foods 2019, 8, 548. [Google Scholar] [CrossRef]
- Caggianiello, G.; Kleerebezem, M.; Spano, G. Exopolysaccharides produced by lactic acid bacteria: From health-promoting benefits to stress tolerance mechanisms. Appl. Microbiol. Biotechnol. 2016, 100, 3877–3886. [Google Scholar] [CrossRef] [PubMed]
- Ozer, B.H.; Robinson, R.K.; Grandison, A.S. Gelation properties of milk concentrated by different techniques. Int. Dairy J. 1998, 8, 793–799. [Google Scholar] [CrossRef]
- Chaudhary, G.V.; Prajapati, J.B. Evaluation of exopolysaccharides (EPS) and nonexopolysaccharides (NON EPS) producing strains of lactic acid bacteria to select the best combinations of cultures for Dahi preparation. Int. J. Environ. Sci. Technol. 2016, 5, 3486–3493. Available online: https://www.ijset.net/journal/1332.pdf (accessed on 26 May 2016).
- Zannini, E.; Waters, D.; Coffey, A. Production, properties, and industrial food application of lactic acid bacteria-derived exopolysaccharides. App. Microbiol. Biotechnol. 2016, 100, 1121–1135. [Google Scholar] [CrossRef] [PubMed]
- Hagi, T.; Kobayashi, M.; Nomura, M. Metabolome analysis of milk fermented by γ-aminobutyric acid-producing Lactococcus lactis. J. Dairy Sci. 2016, 99, 994–1001. [Google Scholar] [CrossRef]
- Pachekrepapo, U.; Lucey, J.A.; Gong, Y. Characterization of the chemical structures and physical properties of exopolysaccharides produced by various Streptococcus thermophilus strains. J. Dairy Sci. 2017, 100, 3424–3435. [Google Scholar] [CrossRef]
- Bai, Y.; Liu, N.Q. Effect of exopolysaccharide produced by Lactobacillus casei HS4 on microstructure and rheological properties of fermented milk. Food Sci. 2019, 40, 145–152. [Google Scholar] [CrossRef]
- Lu, X.; Su, H.; Guo, J.J. Rheological properties and structural features of coconut milk emulsions stabilized with maize kernels and starch. Food Hydrocoll. 2019, 96, 385–395. [Google Scholar] [CrossRef]
- Khalifa, M.I.; Zakaria, A.M. Physiochemical, sensory characteristics and acceptability of a new set yogurt developed from camel and goat milk mixed with buffalo milk. Adv. Anim. Vet. Sci. 2019, 7, 172–177. [Google Scholar] [CrossRef]
- Doleyres, Y.; Schaub, L.; Lacroix, C. Comparison of the functionality of exopolysaccharides produced in situ or added as bioingredients on yogurt properties. J. Dairy Sci. 2005, 88, 4146–4156. [Google Scholar] [CrossRef]
- Guénard, L.V.; St, G.D.; Villeneuve, S.; Turgeon, S.L. Individual and sequential effects of stirring, smoothing, and cooling on the rheological properties of nonfat yogurts stirred with a technical scale unit. J. Dairy Sci. 2019, 102, 190–201. [Google Scholar] [CrossRef] [PubMed]
- Yan, S.; Yang, B.; Stanton, C. Ropy exopolysaccharid-producing Bifidobacterium longum YS108R as a starter culture for fermented milk. Int. J. Food Sci. Technol. 2019, 54, 240–248. [Google Scholar] [CrossRef]
- Kumar, A.; Sasmal, S. Rheological and physico-chemical properties of milk gel using isolate of pumpkin (cucurbita moschata) seeds: A new source of milk clotting peptidase. Food Hydrocoll. 2020, 106, 105866–105874. [Google Scholar] [CrossRef]
- Piermaria, J.A.; Abraham, A.G.; Hamet, M.E. Selection of EPS-producing Lactobacillus strains isolated from kefir grains and rheological characterization of the fermented milks. LWT 2015, 63, 129–135. [Google Scholar] [CrossRef]
- Zhang, M.; Tiantian, L.; Mengke, Y. Interaction of the exopolysaccharide from Lactobacillus plantarum YW11 with casein and bioactivities of the polymer complex. Foods 2021, 10, 1153. [Google Scholar] [CrossRef]
- Ibrahim, A.H. Effects of exopolysaccharide-producing starter cultures on physicochemical, rheological and sensory properties of fermented camel’s milk. Emir. J. Food Agric. 2015, 27, 374–383. [Google Scholar] [CrossRef]
- Zhang, S.; Zhang, L.W. Effect of exopolysaccharide producing lactic acid bacterial on the gelation and texture properties of yogurt. Adv. Matetials Res. 2012, 430–432, 890–893. [Google Scholar] [CrossRef]
- Bancalari, E.; Alinovi, M.; Bottari, B.; Caligiani, A.; Mucchetti, G.; Gatti, M. Ability of a wild Weissella strain to modify viscosity of fermented milk. Front. Microbiol. 2020, 10, 3086–3094. [Google Scholar] [CrossRef]
- Zhao, J.L.; Ma, C.M.; Zhao, X.H. Effects of yam (Dioscorea opposita Thunb.) juice on fermentation and textural attributes of set-style skimmed yoghurt. J. Food Meas. Charact. 2021, 15, 2220–2230. [Google Scholar] [CrossRef]
- Titapiccolo, G.I.; Corredig, M.; Alexander, M. Acid coagulation behavior of homogenized milk: Effect of interacting and non-interacting droplets observed by rheology and diffusing wave spectroscopy. Dairy Sci. Technol. 2011, 91, 185–201. [Google Scholar] [CrossRef]
- Abid, Y.; Casillo, A.; Gharsallah, H. Production and structural characterization of exopolysaccharides from newly isolated probiotic lactic acid bacteria. Int. J. Biol. Macromol. 2018, 108, 719–728. [Google Scholar] [CrossRef] [PubMed]
- Delikanli, B.; Ozcan, T. Effects of various whey proteins on the physicochemical and textural properties of set type nonfat yoghurt. Int. J. Dairy Technol. 2015, 67, 495–503. [Google Scholar] [CrossRef]
- Khanal, S.N.; Lucey, J.A. Effect of fermentation temperature on the properties of exopolysaccharides and the acid gelation behavior for milk fermented by Streptococcus thermophilus strains DGCC7785 and St-143. J. Dairy Sci. 2018, 101, 3799–3811. [Google Scholar] [CrossRef] [PubMed]
- Trabelsi, I.; Ktari, N.; Ben, S.S. Evaluation of dermal wound healing activity and in vitro antibacterial and antioxidant activities of a new exopolysaccharide produced by Lactobacillus sp.Ca6. Int. J. Biol. Macromol. 2017, 103, 194–201. [Google Scholar] [CrossRef]
- Segura, A.G.D.; Alcalde, M.; Plou, F.J. Encapsulation in lentikats of dextransucrase from Leuconostoc mesenteroides NRRL B1299, and its effect on product selectivity. Biocatal. Biotransform. 2003, 21, 325–331. [Google Scholar] [CrossRef]
- Li, Y.; Liu, Y.M.; Cao, C.G. Extraction and biological activity of exopolysaccharide produced by Leuconostoc mesenteroides SN-8. Int. J. Biol. Macromol. 2020, 157, 36–44. [Google Scholar] [CrossRef]
- Li, W.; Ji, J.; Rui, X.; Yu, J.; Tang, W.; Chen, X.; Jiang, M.; Dong, M. Production of exopolysaccharides by Lactobacillus helveticus MB2-1 and its functional characteristics in vitro. LWT 2014, 59, 732–739. [Google Scholar] [CrossRef]
- Naoki, Y.; Momoka, S.; Hiroki, H. Antioxidant capacity of soymilk yogurt and exopolysaccharides produced by lactic acid bacteria. Biosci. Microbiota Food Heal. 2019, 38, 97–104. [Google Scholar] [CrossRef]
- Zhang, L.; Liu, C.H.; Li, D. Antioxidant activity of an exopolysaccharide isolated from Lactobacillus plantarum C88. Int. J. Biol. Macromol. 2013, 54, 270–275. [Google Scholar] [CrossRef]
- Paseephol, T.; Sherkat, F. Probiotic stability of yoghurts containing Jerusalem artichoke inulins during refrigerated storage. J. Funct. Foods 2009, 1, 311–318. [Google Scholar] [CrossRef]
- Zhang, L.J.; Folkenberg, D.M.; Amigo, J.M. Effect of exopolysaccharide-producing starter cultures and post-fermentation mechanical treatment on textural properties and microstructure of low fat yoghurt. Int. Dairy J. 2016, 53, 10–19. [Google Scholar] [CrossRef]
- Wang, X.Y.; Kristo, E.; LaPointe, G. Adding apple pomace as a functional ingredient in stirred-type yogurt and yogurt drinks. Food Hydrocoll. 2020, 100, 105453–105504. [Google Scholar] [CrossRef]
- Akhtar, M.; Dickinson, E. Emulsifying properties of whey protein-dextran conjugates at low pH and different salt concentrations. Colloids Surf. B Biointerfaces 2003, 31, 125–132. [Google Scholar] [CrossRef]
- Anna, L.; Rossana, C.; Marco, M. Use of selected lactic acid bacteria and quinoa flour for manufacturing novel yogurt-like beverages. Foods 2018, 7, 51. [Google Scholar] [CrossRef]
- Han, X.; Yang, Z.; Jing, X.P. Improvement of the texture of yogurt by use of exopolysaccharide producing lactic acid bacteria. BioMed Res. Int. 2016, 2016, 7945675–7945681. [Google Scholar] [CrossRef]
- Hassan, A.N.; Corredig, M.; Frank, J.F. Capsule formation by nonropy starter cultures affect the viscoelastic properties of yogurt during structure formation. J. Dairy Sci. 2002, 85, 716–720. [Google Scholar] [CrossRef]
Publisher’s Note: MDPI stays neutral with regard to jurisdictional claims in published maps and institutional affiliations. |
© 2022 by the authors. Licensee MDPI, Basel, Switzerland. This article is an open access article distributed under the terms and conditions of the Creative Commons Attribution (CC BY) license (https://creativecommons.org/licenses/by/4.0/).






