Abstract
Globally, Campylobacter is a significant contributor to gastroenteritis. Efficient pathogens are qualified by their virulence power, resistance to antibiotics and epidemic spread. However, the correlation between antimicrobial resistance (AR) and the pathogenicity power of pathogens is complex and poorly understood. In this study, we aimed to investigate genes encoding virulence and AR mechanisms in 177 Campylobacter isolates collected from layer hens and eggs in Tunisia and to assess associations between AR and virulence characteristics. Virulotyping was determined by searching 13 virulence genes and AR-encoding genes were investigated by PCR and MAMA-PCR. The following genes were detected in C. jejuni and C. coli isolates: tet(O) (100%/100%), blaOXA-61 (18.82%/6.25%), and cmeB (100%/100%). All quinolone-resistant isolates harbored the Thr-86-Ile substitution in GyrA. Both the A2074C and A2075G mutations in 23S rRNA were found in all erythromycin-resistant isolates; however, the erm(B) gene was detected in 48.38% and 64.15% of the C. jejuni and C. coli isolates, respectively. The machine learning algorithm Random Forest was used to determine the association of virulence genes with AR phenotypes. This analysis showed that C. jejuni virulotypes with gene clusters encompassing the racR, ceuE, virB11, and pldA genes were strongly associated with the majority of phenotypic resistance. Our findings showed high rates of AR and virulence genes among poultry Campylobacter, which is a cause of concern to human health. In addition, the correlations of specific virulence genes with AR phenotypes were established by statistical analysis.
1. Introduction
The most prevalent cause of bacterial gastroenteritis, Campylobacter spp., accounts for 5–14% of all diarrheal diseases worldwide [1]. Among the human-associated Campylobacter species, 95% of campylobacteriosis is caused by the C. jejuni and C. coli species [2], causing 96 million cases of diarrhea each year globally. In addition, Campylobacter is the second most prevalent agent of diarrhea in Europe (after Salmonella) [3]. Campylobacter was the second aetiological agent of outbreaks related to food and water poisoning in 2018 [4]. Contrary to European and developing countries, there are few reports of human campylobacteriosis in North African countries, including Tunisia, presumably owing to the low prevalence of the disease or the sporadic cases of infections. Globally, high rates of antimicrobial resistance (AR) have been increasingly noted, which dramatically reduced treatment options for campylobacteriosis. The National Antimicrobial Resistance Surveillance System (NARMS, Atlanta, GA30329, USA, 2019) reports that Campylobacter causes 448,400 illnesses that are resistant to treatment with antibiotics each year, along with an estimated 70 fatalities. Tetracyclines, macrolides, and fluoroquinolones are the main antibiotics used to treat Campylobacter infections [2]. Owing to its broad antimicrobial spectrum, ciprofloxacin (a fluoroquinolone) use in the food-producing animal sectors is common. However, fluoroquinolone-resistant Campylobacter isolates from both human and animal sources have been dramatically described during the last decades [5,6]. Additionally, macrolides (such as tilmicosin, tulathromycin, and tildipirosin) have been widely utilized in animals raised for food in many geographic regions [7,8], which has led to the selection and spread of Campylobacter isolates that are resistant to these antibiotics [9,10,11].
Tetracycline is a broad-spectrum antibiotic with low cost and high efficacy; therefore, it has been extensively used in animal farming [12]. However, similarly to other antimicrobial agents, high rates of tetracycline-resistant Campylobacter isolates from livestock have been reported worldwide [13,14]. Overall, in recent decades, high frequencies of resistance to tetracycline-, ciprofloxacin-, and erythromycin have been reported in Campylobacter strains [15]. Interestingly, as a result of antimicrobial resistance selection under therapeutic treatment or antimicrobial use as a growth promoter, the rates of multi-drug resistant (MDR) Campylobacter isolates have drastically increased in human medicine [16] and livestock [17,18]. Pork and poultry or poultry products are the main origins of Campylobacter spp causing human diseases; therefore, the potential of MDR isolates spreading from animals to humans is a real cause of concern for human health.
The C257T mutation in gyrA in the Campylobacter species is the most prominent mechanism mediating quinolones and fluoroquinolones resistance [19]. In various bacteria species, three molecular mechanisms encoding tetracycline resistance have been reported: (i) efflux pumps, (ii) ribosome target protection, and (iii) the enzymatic modification of the antibiotic, mediated by more than 60 genes [20,21,22]. The tet(O) gene is the dominant tetracycline resistance determinant that has been detected in the Campylobacter species [12,23,24,25]. The Tet(O) protein mediates resistance by removing tetracycline from its major binding site on the ribosome. In Campylobacter, the primary molecular mechanisms of macrolides resistance are changes in the ribosomal target and active efflux. The alteration of the ribosomal target can occur either by the enzymatic methylation of the region V of 23S rRNA or by point mutation in the ribosomal proteins L4 (rplD gene) and L22 (rplV gene) [26]. The CmeABC multidrug efflux pumps mediate the active efflux of the antibiotic [27]. Macrolide resistance mediated by rRNA methylation, encoded by the ermB gene, was firstly reported in C. rectus (1995) and currently is sporadically reported in C. coli and C. jejuni [28].
It is yet unclear whether a rise in AR in Campylobacter has enhanced this bacterium’s potential for pathogenicity or vice versa. There is currently no consensus among scientists about the relationship between AR and pathogenicity [29]. As a result, it is unclear if an increase in AR leads to an increase in genes encoding virulence factors in pathogenic bacteria like Campylobacter. AR acquisition is essential for bacteria to survive in environments rich with antibiotics, while the virulence genes are necessary to surmount the host defense systems [29]. Additionally, the acquisition of antimicrobial encoding genes may be linked to a reduction in virulence, while some data imply the opposite, that AR may improve or enhance virulence [30]. When bacteria are found in an environment with antibiotics, they may be able to increase their virulence by using virulence determinants to escape the host’s defenses throughout the host–pathogen interaction, suggesting the potential for pathogenicity enhancement [29,31]. Additionally, according to some studies, acquired resistance mechanisms include a fitness cost, which may reduce pathogenicity in bacteria, making them less aggressive when fighting host defense [30,32]. However, there is evidence that AR genes can be suppressed without any biological costs, while other adaptive features are produced without affecting virulence [32]. Owing to these facts, it appears that the acquisition of AR is required to allow harmful bacteria like Campylobacter to avoid antimicrobial therapy without compromising their virulence.
This study sought to determine whether specific virulence genes, resistance genes, and AR characteristics were associated with one another in Campylobacter isolates. To achieve this, we determined the antimicrobial susceptibility and investigated by PCR-selected genes of virulence and AR in a collection of Campylobacter isolates collected from laying hens and eggs. The relationship between the different aforementioned traits was then investigated using a variety of statistical and computational methodologies.
2. Materials and Methods
2.1. Ethics Statement
The Biomedical Ethics Committee of the Institut Pasteur de Tunis gave its approval to this study, and the sampling protocol was performed according to internationally recognized guidelines ISO 10272-1:2006 (Annex E) for the detection of Campylobacter spp. [33].
2.2. Bacterial Strains
One hundred seventy-seven Campylobacter isolates have been reported previously [34]. These isolates include 124 C. jejuni and 53 C. coli recovered from five laying hen farms located in the northeast of Tunisia between October 2017 and May 2018.
2.3. Antimicrobial Susceptibility Testing
For all isolates, antimicrobial susceptibility testing was performed by the disk diffusion method on Mueller–Hinton medium (Bio Life, Milan, Italy) according to the European Committee on Antimicrobial Susceptibility Testing (EUCAST, City, Country, 2017) guidelines [2]. The used antibiotics were (Oxoid, Basingstocken, UK): ampicillin (AMP,10 μg), amoxicillin/clavulanic acid (AMC, 10/20 μg), gentamicin (GEN, 10 μg), tetracycline (TET, 30 μg), erythromycin (ERY, 15 μg), nalidixic acid (NAL, 30 μg), ciprofloxacin (CIP, 5 μg), and chloramphenicol (CHL, 30 μg) [35].
2.4. Detection of Genes Encoding Virulence Factors
PCR was used to detect 13 virulence genes specific to C. coli and C. jejuni: flaA (motility); cadF, racR, and dnaJ (cell adhesion); pldA, virB11, and ciaB (colonization and invasion); ceuE (iron absorption system); cdtA.B.C (production of cytotoxins); wlaN and cgtB (expression of Guillain-Barré syndrome) (Table A1). Positive control strains from our collection were used in every PCR analysis [36].
2.5. PCR Detection of Genes Encoding AR
Fluoroquinolone resistance is commonly encoded by single point mutation (Thr-86-Ile) in the quinolone resistance-determining region (QRDR) of the GyrA subunit of the DNA gyrase enzyme [37]. For C. jejuni isolates, MAMA-PCR was performed as previously reported [38], while for C. coli, the used protocol was as cited by Zirnstein et al. [37]. MAMA-PCR was also used to detect point mutations at positions 2074 and 2075 in domain V of the 23S rRNA gene, which are related to erythromycin resistance, as described previously [39]. For all isolates, the following genes were detected by the classical PCR method: erm(B) (erythromycin resistance) Qin et al. (2014), tet(O) (tetracycline resistance), aph-3-1 (aminoglycosides resistance), cmeB (multidrug efflux pumps), and blaOXA-61 (beta-lactam resistance) (Table A2). Positive control strains from our collection were used in every PCR analysis [36].
2.6. Statistical Analysis
Statistical analysis was performed to investigate a possible association between virulence genes and AR in all isolates. We studied the antimicrobial susceptibility phenotypes (resistance/susceptibility) against the eight tested antibiotics (Amp, Amc, Cip, Nal, Ery, Tet, Chl, and Gen), and associated the latter with the presence/absence of the investigated virulence genes (cadF, ciaB, racR, flaA, dnaJ, cdtA, cdtB, cdtC, virB11, pldA, wlaN, ceuE, and cgtB). This was investigated first for all Campylobacter isolates, and then for the isolates of each species. The association test of each virulence gene with the AR phenotype was computed by Pearson’s chi-square or Fisher’s exact test using R software via RStudio (version 1.4.1103). Fisher’s exact test was used when the expected cell counts for the contingency table held less than five isolates. If the p-value < 0.05, the association was deemed statistically significant.
2.7. Network Generation
Two groups of networks were built connecting phenotypical AR with virulence genes, as well as AR genes with virulence genes. The networks were displayed via Cytoscape (https://cytoscape.org/) (20 February 2022) (version 3.8.1) (https://pubmed.ncbi.nlm.nih.gov/14597658/) (20 February 2022). These networks were built with the aim of revealing co-occurrence patterns and identifying interactions that could reveal information on the patterns of the incidence of virulence genes and AR across all Campylobacter isolates (only virulence genes that showed a statistically significant association were used to build the network).
2.8. Predictive Analysis Using Machine Learning Random Forest Algorithm
Following the statistical association test, a predictive analysis was performed using the machine learning Random Forest algorithm, via the randomForest R package (https://link.springer.com/article/10.1023%2FA%3A1010933404324) (20 February 2022), in order to determine the most important virulence genes that could be related with a specific AR phenotype. Classification trees are used in the analysis to establish, for each variable, its importance in classifying the data and determining the outcome through the production of an importance score [40]. Only virulence genes that showed a statistically significant association with AR through Pearson’s chi-square/Fisher’s exact test for all Campylobacter isolates (both C. coli and C. jejuni species together) were considered for this classification. The Random Forest measures the contribution of each virulence gene to a particular resistance phenotype. The algorithm produces a MeanDecreaseGini score that gives a valuable estimation of the significance of the variable in the model and thus, in our case, valuable information to determine which gene is more likely to be linked to an increased probability of a specific AR [41].
3. Results
3.1. Virulotypes and Phenotypic Profiling of AR
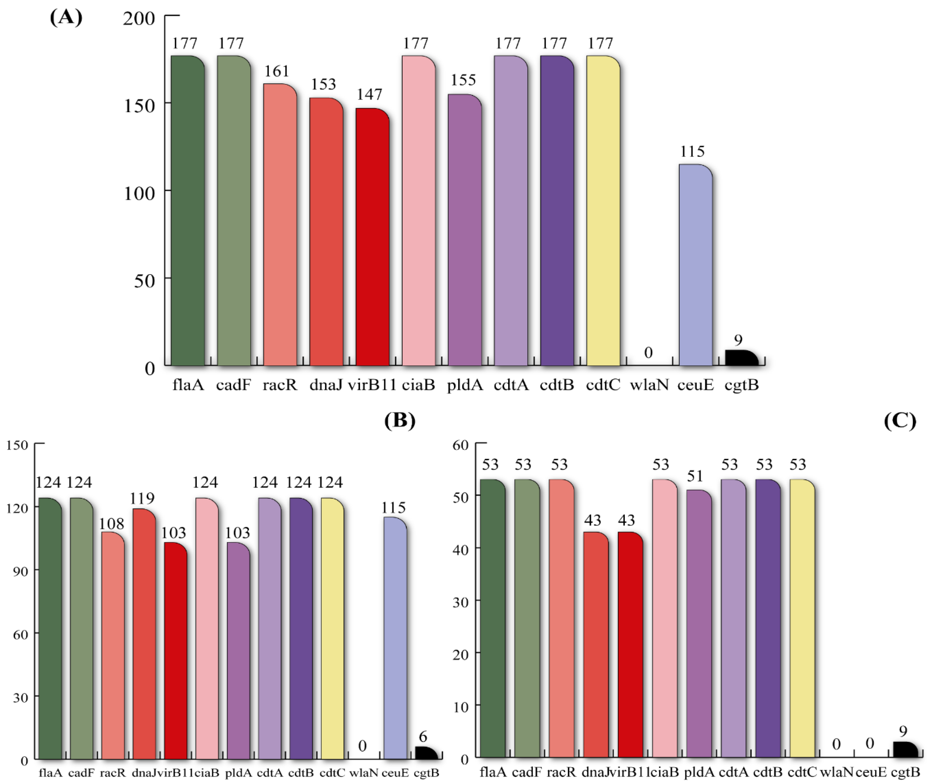
One-hundred-and-seventy-seven Campylobacter isolates (124 C. jejuni and 53 C. coli) were analyzed to determine the virulotype (content of genes encoding virulence factors) and phenotypic AR profiles. All isolates (n = 177, 100%) harbored the flaA, cadF, ciaB, and cdt genes, closely followed by the racR gene (n = 161, 90.96%) (Figure 1A). A close result was obtained when analyzing the 124 C. jejuni isolates. Indeed, the flaA, cadF, ciaB, and cdt genes were present in all isolates (100%), followed by the dnaJ (n = 119, 95.97%) and ceuE (n = 115, 92.74%) genes (Figure 1B). There were no discernible differences found in the C. coli species for the most common virulence genes. Indeed, all isolates contained the flaA, cadF, racR, ciaB, and cdt genes, whereas, the pldA gene was detected in 51 (96.22%) isolates. Interestingly, a major difference was observed concerning the ceuE gene, which was absent in all C. coli isolates but highly present in the C. jejuni ones (92.74%) (Figure 1C).
Figure 1.
Occurrence of virulence genes (number of positive isolates) across Campylobacter isolates (n = 177). (A) total isolates, (B) C. jejuni (n = 124), (C) C. coli (n = 53).
According to the phenotypic antimicrobial susceptibility profiling, all isolates were multi-drug-resistant, being resistant to at least three antibiotics belonging to different classes. Taking all the Campylobacter isolates, high rates of AR were observed for erythromycin (n = 175, 98.87%) and tetracycline (n = 174, 98.30%); however, a low resistance rate was observed for gentamicin (n = 2, 1.13%) (Figure 2A). When taken alone, the C. coli isolates showed a very high number of resistant isolates toward most of the antibiotics used except for ampicillin (n = 9, 16.98%) and gentamicin (n = 0) (Figure 2B). For the C. jejuni isolates, high resistance rates were detected for erythromycin (n = 122, 98.4%), tetracycline (n = 122, 98.4%), and chloramphenicol (n = 121, 97.6%); in contrast, the gentamicin resistance rate was low (n = 2, 1.61%) (Figure 2C).
Figure 2.
Antibiotic resistance distribution (number of resistant isolates) across Campylobacter isolates (n = 177). Antibiotic resistance distribution in all Campylobacter isolates (A), in C. coli (n = 53) (B), and in C. jejuni (n = 124) (C).
3.2. Molecular Detection of AR Genes
All isolates (n = 177) carried the tet(O) and cmeB genes, according to the PCR data. In the β-lactam-resistant C jejuni and C coli isolates, the blaOXA-61 gene was found in 18.82% and 6.25%, respectively. For the quinolone-resistant isolates, the Thr-86-Ile mutation in GyrA was found in all C. jejuni and C. coli isolates. Similarly, all erythromycin-resistant isolates harbored the A2075G and A2074C mutations, while the erm(B) gene was detected in 53.71% (94/175) of the erythromycin-resistant Campylobacter isolates, being in 60 (48.38%) and 34 (60.15%) of the erythromycin-resistant C. jejuni and C. coli isolates, respectively. There was no isolate harboring the aphA-3 gene.
3.3. Statistical Analysis of Phenotypic AR with Virulence Genes
Pearson’s chi-square and Fisher’s exact tests were executed to study the association between the set of virulence genes and AR in all isolates showing resistance to 4–6 antibiotics, as well as those resistant to more than six antibiotics (Table 1). A significant correlation between AR and various virulence genes was observed, more specifically with racR [χ2 = 16.144, p = 5.871 × 10−5], pldA [χ2 = 3.8849, p = 0.04872], and ceuE [χ2 = 24.265, p = 8.393 × 10−7]. A similar analysis was also performed for isolates of each species. The C. jejuni isolates showed a significant relationship between AR and different virulence genes, and more precisely for racR [χ2 = 16.144, p = 16.144], virB11 [χ2 = 8.2523, p = 0.004213], pldA [χ2 = 10.718, p = 0.001369] as well as cgtB [χ2 = 3.5443, p = 0.0933] (Table 2). However, no significant relationships were observed concerning the C. coli isolates (Table 3).
Table 1.
Associations between virulence genes and multidrug resistance in Campylobacter isolates (n = 177).
Table 2.
Associations between virulence genes and multidrug resistance in C. jejuni isolates (n = 124).
Table 3.
Associations between virulence genes and multidrug resistance in C. coli isolates (n = 53).
3.4. Network Analysis of Resistance, Virulence Genes, and Phenotypic AR
In order to examine the co-occurrence patterns, we generated networks describing the connections between (i) phenotypic AR with virulence genes and (ii) AR genes with virulence genes to provide information on the patterns and incidence of virulence genes and AR across all Campylobacter isolates. Figure 3 reveals three distinct networks that describe links between AR and the presence/absence of certain virulence genes for each isolate.
Figure 3.
Visualization of the co-occurrence pattern of phenotypic AR and virulence genes across Campylobacter isolates (only virulence genes that showed a statistically significant association were used). Red lines indicate a high incidence of links between AR and virulence among isolates. The line thickness between the nodes reveals the frequency of isolates with identical coincident connections. Nodes in orange and blue are AR and virulence genes, respectively. (A) Connections between phenotypic AR and virulence genes across 50 Campylobacter isolates out of 177 isolates. (B) Connections across 100 Campylobacter isolates out of 177 isolates. (C) Connections across all Campylobacter isolates (n = 177). Amp, ampicillin; Amc, amoxicillin/clavulanic acid; Cip, ciprofloxacin; Nal, nalidixic acid; Ery, erythromycin; Tet, tetracycline; Gen, gentamicin, and Chl, chloramphenicol.
Focusing only on the virulence genes that showed a statistically significant association, we noticed the coexistence of some connections between phenotypic AR and specific virulence genes among some isolates more frequently than other ones. Approximately, for a third of the isolates (n = 50), there was a high frequency of connections linking nalidixic acid (Nal), tetracycline (Tet), erythromycin (Ery), ciprofloxacin (Cip), ampicillin (Amp), and chloramphenicol (Chl) resistance with the virulence genes pldA and racR (Figure 3A). Similarly, when looking into the networks generated for 100 antimicrobial-resistant isolates and the total number of Campylobacter isolates (n = 177), the same high-frequency connections were created between phenotypic AR and the virulence genes pldA and racR as shown in Figure 3B,C, respectively.
In Figure 4, we displayed three networks that show the connections between resistance genes and the virulence genes for each Campylobacter isolate. For 50 isolates, there was a high frequency of connections linking the following resistance genes: cmeB, tet(O), Cj-gyrA, and 23S rRNA (mutated) with the virulence genes ceuE, pldA, and racR and the ermB with pldA and racR (Figure 4A). However, for 100 and 177 isolates, the latter connections were conserved by adding new connections linking ermB with the virulence gene ceuE. New added links have shown a high frequency of connection between blaOXA-61 with racR, pldA, and cgtB and Cc-gyrA with racR and pldA (Figure 4B,C).
Figure 4.
Visualization of the co-occurrence patterns of AR genes and virulence genes across Campylobacter isolates (only virulence genes that showed a statistically significant association were used). Red lines designate a high incidence of connections occurring together between resistance genes and virulence among isolates. The line thickness between the nodes reveals the frequency of isolates with identical coincident connections. The nodes in orange and blue are the resistance genes and the virulence genes, respectively. (A) Connections across 50 Campylobacter isolates out of 177 isolates. (B) Connections across 100 Campylobacter isolates out of 177 isolates. (C) Connections across all Campylobacter isolates (n = 177). High-frequency connections are shown in red bold lines. AR encoding genes: Quinolones (gyrA), erythromycin (23S rRNA), β-lactams (blaOXA-61), tetracycline (tet(O)), and multidrug-resistance pump (cmeB).
3.5. Predictive Analysis of AR/virulence Genes Links Using the Machine Learning Random Forest Algorithm
The Random Forest algorithm was used to further explore the possible association of the virulence genes that showed a significant association upon the statistical analysis for all Campylobacter isolates. In order to predict which one could be the best indicator of a specific AR, Random Forest produces a MeanDecreaseGini value, and the higher this value is, the higher the significance of the variable in the model.
This investigation showed that one virulence gene, racR, displayed the most important value with two antibiotics, nalidixic acid, and ciprofloxacin (Figure 5C,D). On the other hand, another gene, ceuE, has shown the most important value with five other antibiotics, Amoxicillin, Erythromycin, Tetracycline, Chloramphenicol, and Gentamicin (Figure 5A,E–H). Finally, the pldA gene showed an important value for Ampicillin only (Figure 5B).

Figure 5.
Random Forest analysis displaying the relationship between virulence genes and resistance status for each antibiotic (n = 177). Plots display the predominant genes determining the resistance phenotypes through the MeanDecreaseGini value. Prediction of predominant virulence genes for all isolates that have a resistance to a specific antibiotic was observed as follows: (A) Amoxicillin, (B) Ampicillin, (C) Nalidixic Acid, (D) Ciprofloxacin, (E) Erythromycin, (F) Tetracycline, (G) Chloramphenicol, (H) Gentamicin.
4. Discussion
4.1. Antimicrobial Resistance and Corresponding Genotypes
The treatment of Campylobacter infections is currently jeopardized by the emergence of AR, which has become a complex challenge and a major issue for global public health. The Tunisian government lacks an integrated program for monitoring AR in primary human and production animal pathogens such as C. jejuni, C. coli, and C. fetus, making it difficult to implement new antimicrobial control and restriction measures. Furthermore, unlike other European countries, Tunisia has no specific legislation mandating campylobacteriosis testing. AR studies are thus critical for characterizing the circulating Campylobacter strains in Tunisian poultry. Mobile genetic elements, including plasmids and transposons, which can also carry virulence determinants, are highly associated with the global spread of AR. In Tunisia, research on AR in Campylobacter isolates from laying hens and eggs is scarce. Thus, herein, we analyzed 177 Campylobacter isolates (124 C. jejuni and 53 C. coli) from the layer hens and eggs collected in the north of Tunisia. The isolates were investigated to determine their virulotypes and AR phenotypes.
This research revealed no discernible differences in the status of certain virulence genes between Campylobacter isolates that are resistant to 4–5 antibiotics or to more than 6 antibiotics. Our findings revealed that resistance to erythromycin, tetracycline, quinolone, and ciprofloxacin is common, which can considerably restrict the number of the available treatment options of infections caused by such strains. High rates of resistance are anticipated because these antibiotics have been on the market for a long time and have been used widely in both legal and illegal situations.
The interaction(s) between AR and virulence is still poorly understood. However, there is strong scientific proof that the development of AR by the overexpression of genes encoding AR or multidrug-resistant efflux pumps causes a fitness cost to bacteria, such as lower growth rates and pathogenicity [39,42]. However, many other studies have found that pathogens’ acquisition of AR improves their fitness and virulence [30,43].
The majority of our isolates were resistant to tetracycline, ciprofloxacin, and nalidixic acid. Several other studies, especially recent ones, have revealed similar high rates of resistance [35,44]. Indeed, the selection and development of antimicrobial-resistant Campylobacter are enhanced by the widespread use of these antibiotics in the treatment, management, and disease prevention in livestock.
In the majority of isolates, AR phenotypes corroborate well with the presence of genes and genetic mutations encoding AR. Tetracycline resistance has been linked to the tet(O) gene encoding the ribosomal protection protein TetO, which is commonly detected in a variety of Gram-positive and Gram-negative bacteria [45,46]. Furthermore, tetracycline is overused in the avian industry because of its low cost and simplicity of administration through drinking water [47]. It is worth noting that the chicken’s body temperature (42 °C) promotes conjugation and thus contributes to the sharing of plasmids carrying various AR genes [48].
Our isolates showed a high resistance rate to fluoroquinolones. The cmeABC operon, encoding multidrug efflux, is the major molecular cause of this resistance in Campylobacter [44]. This operon was detected in all our isolates independently of their resistance or susceptibility to quinolones/fluoroquinolones. The second resistance pathway involves one or more point mutations in the QRDR of the GyrA protein, namely the Thr-86-Ile substitution, which is frequently observed in quinolones/fluoroquinolones-resistant isolates [49]. The widespread use of a specific fluoroquinolone (enrofloxacin) in avian industries has caused the selection and wide dissemination of resistant Campylobacter strains, which explains the rising resistance trend globally [50]. The world health organization (WHO) classified fluoroquinolones-resistant Campylobacter strains as high-priority pathogens resistant to antibiotics, requiring the development of new antibiotics [51,52].
Similarly, numerous studies have shown that the misuse of macrolides in poultry production has resulted in high rates of macrolide resistance in avian Campylobacter strains. All erythromycin-resistant Campylobacter isolates had the two-point mutations A2075G and/or A2074C in the gene encoding 23S rRNA [49]. The erm (B) gene, which can be carried by a variety of multi-drug resistance gene islands (MDRGI), was found in 53.1% [94/177: 48.38% (60/124) C. jejuni and 64.15% (34/53) C. coli] of our erythromycin-resistant Campylobacter isolates. Since the discovery of the erm(B) gene in Campylobacter in China, it has also been detected in turkey isolates in Spain in 2016 [53] and in the United States in 2016 in a human who previously visited Malaysia [54]. Being found on MDRGIs alongside resistance genes to other antimicrobials including ampicillin, ciprofloxacin, and tetracycline makes noteworthy the presence of this gene in our Campylobacter isolates [6]. Since macrolides, in particular erythromycin and azithromycin, are the preferred antibiotics for treating human Campylobacter infections, these findings are worrisome.
Campylobacter spp. is intrinsically resistant to beta-lactam antibiotics, including ampicillin [55]. However, acquired resistance has been reported. Indeed, enzymatic inactivation by the beta-lactamase encoding gene blaOXA-61, detected in 18.82% and 6.25% of β-lactam resistant C jejuni and C coli isolates, respectively, is the main mechanism of acquired ampicillin resistance; in addition, other molecular mechanisms such as porins and the reduced affinity of penicillin-binding protein (PBP) have also been reported [55,56]. The majority of our isolates were gentamicin-susceptible, which is in agreement with previous reports [57,58,59]. This might be linked to its limited use for systemic infections [60], and it is not used in poultry production [58].
4.2. Virulence Power of Campylobacter Isolates
The virulome of the Campylobacter species contributes to their pathogenicity [61], hence the virulence factors of avian Campylobacter need to be investigated for consumer safety. All our isolates had the flaA, cadF, and ciaB genes, which are related to adhesion, colonization, and invasion, as well as the cdtA, cdtB, and cdtC genes, which are critical for CDT expression. The detected frequencies of these genes were analogous to those reported previously from Korea [62], Poland [63], and Italy [64], but higher than those reported from South Africa and Chile [65,66]. The presence of the cadF and ciaB genes promotes Campylobacter adhesion and internalization in cell models [47,67]. The pldA gene encoding the outer membrane phospholipase A was detected at a higher rate in C. jejuni than in C. coli, which is consistent with findings from South Africa [59], Japan [68], and Iran [69]. In addition, regardless of species, all Campylobacter isolates contained the virB, racR, and dnaJ genes.
4.3. Relationship between Virulence Genes and Phenotypic and Genotypic Antimicrobial Resistance
We identified a possible link between virulence genes and antibiotic resistance by analyzing the antibiotics to which Campylobacter isolates are more resistant or susceptible. Interestingly, using Pearson’s chi-square and Fisher’s exact tests, the virulence genes racR, pldA, CeuE, and cgtB were found to be closely associated with MDR Campylobacter isolates. The same analysis was also performed for each species. C. jejuni isolates showed a significant relationship between AR and the different virulence genes, specifically for racR, virB11, pldA, and cgtB. The racR, pldA, and virB11 genes facilitate bacterial adhesion and intracellular invasion [63]. In addition to the above-mentioned virulence genes linked to Campylobacter adhesion and invasion, the ceuE gene is one of the four most significant predictor genes in resistant Campylobacter isolates. Interestingly, the cgtB gene is also a significant gene that has demonstrated a substantial correlation between overall antibiotic resistance status and the prevalence of virulence genes. It is thought to play an important role in the manifestation of Guillain-Barré syndrome, the most severe side effect of human Campylobacter infection [70,71]. Since the cgtB gene enables bacteria to survive certain stressors, it can also be predicted to be associated with increased AR. However, no significant relationship was observed for C. coli, correlating with previous findings [36].
The co-occurrence network demonstrated three distinct networks that illustrate the links between phenotypic AR and the presence or absence of certain virulence genes in each isolate. We observed the coexistence of certain connections between AR and specific virulence genes among the isolates more frequently than others when we focused only on the virulence genes that showed a statistically significant association. There was a high frequency of connections linking nalidixic acid, tetracycline, erythromycin, ciprofloxacin, ampicillin, and chloramphenicol resistance with the virulence genes pldA and racR in nearly one-third of isolates (n = 50). Similarly, when the networks for resistant isolates (n = 100) and the total isolates (n = 177) were examined, the same high-frequency connections were observed between phenotypic AR and the virulence genes (pldA and racR).
When we looked at the relationship between virulence genes and AR using various approaches, we noticed that our network visualization matches the Random Forest analysis. We used the Random Forest approach to forecast the value of each virulence gene in order to figure out which gene is more significant for increasing the likelihood of phenotypic resistance in Campylobacter isolates. The virulence genes racR and ceuE were revealed to be the most important predictors of phenotypic resistance in Campylobacter. Finally, only one antibiotic, ampicillin, has proven significant value for the pldA gene.
5. Conclusions
Using statistical and computational tools, we demonstrated the relationship between the distribution of bacterial virulence genes and their phenotypic AR pattern and AR genes among Campylobacter isolates from layer hens and eggs. Furthermore, we have shown that the virulence genes racR, pldA, virB11, ceuE, and cgtB and the AR genes tet(O), cmeB, and blaOXA-61, as well as mutations in rRNA 23S and gyrA, warrant further investigation using a wide range of antimicrobials to prove links that may increase virulence in bacteria. The findings of this study will be valuable in determining the association between phenotypic traits and genetic characteristics such as the status of virulence and AR genes. Our findings thus open up the possibility for further research into the pathophysiology and the underlying causes of antibiotic resistance.
Author Contributions
Conceptualization, M.G. and A.M.; Data curation, M.G. and K.G.; Data analysis and interpretation, K.G., S.K., and C.H.; Investigation, M.G., A.B., K.G., and A.M.; Methodology, M.G., A.B., S.K., C.H., and K.G.; Project administration, A.M.; M.G. drafted the article. All authors have read and agreed to the published version of the manuscript.
Funding
This work was financed by funding provided to the Laboratory of Epidemiology and Veterinary Microbiology (LR16IPT03) by the Tunisian Ministry of Higher Education and Scientific Research and by the Internal Collaborative Project Institute Pasteur of Tunis, reference PCI-23 (2016–2017).
Institutional Review Board Statement
The study was approved by the Biomedical Ethics Committee of the Pasteur Institute of Tunis, with reference number: 2018/12/I/LR16IPT03.
Informed Consent Statement
Not applicable.
Data Availability Statement
The datasets generated and/or analyzed during the current study are available from the corresponding author on reasonable request.
Acknowledgments
This work was supported by the ‘Ministère de l’Enseignement Supérieur et de la Recherche Scientifique’, the ‘Laboratoire d’Épidémiologie et de Microbiologie Vétérinaire (LR16IPT03)’, and ‘Laboratoire de Bioinformatique, Biomathématiques et Biostatistiques’, Institut Pasteur de Tunis, Université de Tunis El Manar, Tunis’.
Conflicts of Interest
The authors declare no conflict of interest.
Appendix A
Table A1.
Sequences of genes encoding virulence factors investigated in Campylobacter isolates.
Table A1.
Sequences of genes encoding virulence factors investigated in Campylobacter isolates.
| Function | Gene | Primers (5-3′) | References |
|---|---|---|---|
| Motility | flaA | F: AATAAAAATGCTCATAAAAACAGGTG R: TACCGAACCAATGTCTGCTCTGATT | [72] |
| Adhesion | cadF | F: TTGAAGGTAATTTAGATATG R: CTAATACCTAAAGTTGAAAC | [73] |
| racR | F: GATGATCCTGACTTTG R: TCTCCTATTTTTACCC | [74] | |
| dnaJ | F: AAGGCTTTGGCTCATC R: CTTTTTGTTCATCGTT | [75] | |
| Cytolethal distending toxin | cdtA | F: CCTTGTGATGCAAGCAATC R: ACACTCCATTTGCTTTCTG | [76] |
| cdtB | F: CAGAAAGCAAATGGAGTGTT R: AGCTAAAAGCGGTGGAGTAT | [76] | |
| cdtC | F: CGATGAGTTAAAACAAAAAGATA R: TTGGCATTATAGAAAATACAGTT | [76] | |
| Invasion | virB11 | F: TCTTGTGAGTTGCCTTACCCCTTTT R: CCTGCGTGTCCTGTGTTATTTACCC | [72] |
| pldA | F: AAGCTTATGCGTTTTT R: TATAAGGCTTTCTCCA | [75] | |
| ciaB | F: TTTTTATCAGTCCTTA R: TTTCGGTATCATTAGC | [75] | |
| Neurological complications | WlaN | F: TTAAGAGCAAGATATGAAGGTG R: CCATTTGAATTGATATTTTTG | [77] |
| CgtB | F: TAAGAGCAAGATATGAAGGTG R: GCACATAGAGAACGCTACAA | ||
| CeuE, lipoprotein involved in iron acquisition | ceuE-Cj | F: CCTGCTACGGTGAAAGTTTTGC R: GATCTTTTTGTTTTGTGCTGC | [78] |
| ceuE-Cc | F: ATGAAAAAATA TTTAGTTTTTGCA R: ATTTTATTATTTG TAGCAGCG |
Table A2.
Sequences of genes encoding antibiotic resistance investigated in Campylobacter isolates.
Table A2.
Sequences of genes encoding antibiotic resistance investigated in Campylobacter isolates.
| Antibiotic/(MDR) | Target Gene | Primer Sequence (5′-3′) | References |
|---|---|---|---|
| Tetracycline | tet(O) | F: GCGTTTTGTTTATGTGCG R: ATGGACAACCCGACAGAAG | [79] |
| Multidrug CmeABC efflux system | cmeB | F: AGGCGGTTTTGAAATGTATGTT R: TGTGCCGCTGGGAAAAG | [80] |
| Ampicillin/Amoxicillin | blaOXA-61 | F: AGAGTATAATACAAGCG R: TAGTGAGTTGTCAAGCC | [81] |
| Gentamicin | aphA-3 | F: TGCGTAAAAGATACGGAAG R: CAATCAGGCTTGATCCCC | [81] |
| Erythromycin | 23S rRNA | 23S rRNA. F: TTAGCTAATGTTGCCCGTACCG ERY2075: TAGTAAAGGTCCACGGGGTCGC ERY2074: AGTAAAGGTCCACGGGGTCTGG | [39] |
| ermB | F: TGAAAAAGTACTCAACCAAAT R: TCCTCCCGTTAAATAATAGAT | [28] | |
| Ciprofloxacin/Nalidixic acid | gyrA-Cj | gryA1: TTTTTAGCAAAGATTCTGAT gyrA5: AAAGCATCATAAACTGCAA gyrA4: CAAAGCATCATAAACTGCAG | [38] |
| gyrA-Cc | gyrA3: TATGAGCGTTATTATCGGTC gyrA8: TAAGGCATCGTAAACAGCCA gyrA4: GTCCATCTACAAGCTCGTTA | [37] |
References
- Alaboudi, A.R.; Malkawi, I.M.; Osaili, T.M.; Abu-Basha, E.A.; Guitian, J. Prevalence, antibiotic Rrsistance and genotypes of Campylobacter Jejuni and Campylobacter coli isolated from chickens in Irbid governorate, Jordan. Int. J. Food Microbiol. 2020, 327, 108656. [Google Scholar] [CrossRef] [PubMed]
- Sifré, E.; Salha, B.A.; Ducournau, A.; Floch, P.; Chardon, H.; Mégraud, F.; Lehours, P. EUCAST Recommendations for Antimicrobial Susceptibility Testing Applied to the Three Main Campylobacter Species Isolated in Humans. J. Microbiol. Methods 2015, 119, 206–213. [Google Scholar] [CrossRef] [PubMed]
- Food, E.; Authority, S. The European Union One Health 2019 zoonoses report. EFSA J. 2021, 19, e06406. [Google Scholar] [CrossRef]
- Igwaran, A.; Okoh, A.I. Human Campylobacteriosis: A public health concern of global Importance. Heliyon 2019, 5, e02814. [Google Scholar] [CrossRef] [PubMed]
- Tang, M.; Zhou, Q.; Zhang, X.; Zhou, S.; Zhang, J.; Tang, X.; Lu, J.; Gao, Y. Antibiotic Resistance Profiles and Molecular Mechanisms of Campylobacter from Chicken and Pig in China. Front. Microbiol. 2020, 11, 1–11. [Google Scholar] [CrossRef] [PubMed]
- Wang, Y.; Dong, Y.; Deng, F.; Liu, D.; Yao, H.; Zhang, Q.; Shen, J.; Liu, Z.; Gao, Y.; Wu, C.; et al. Species Shift and Multidrug Resistance of Campylobacter from Chicken and Swine, China, 2008–2014. J. Antimicrob. Chemother. 2016, 71, 666–669. [Google Scholar] [CrossRef] [PubMed]
- Poehlsgaard, J.; Andersen, N.M.; Warrass, R.; Douthwaite, S. Visualizing the 16-membered ring macrolides tildipirosin and tilmicosin bound to their ribosomal site. ACS Chem. Biol. 2012, 7, 1351–1355. [Google Scholar] [CrossRef]
- McEwen, S.A.; Collignon, P.J. Antimicrobial resistance: A One Health perspective. Microbiol. Spectr. 2018, 6, 6-2. [Google Scholar] [CrossRef]
- Kaakoush, N.O.; Castaño-Rodríguez, N.; Mitchell, H.M.; Man, S.M. Global epidemiology of campylobacter infection. Clin. Microbiol. Rev. 2015, 28, 687–720. [Google Scholar] [CrossRef]
- Lim, P.W.N.; Tiam-Lee, D.C.; Paclibare, P.A.P.; Subejano, M.S.E.P.; Cabero-Palma, J.A.S.; Penuliar, G.M. High rates of contamination of poultry meat products with drug-resistant campylobacter in Metro Manila, Philippines. Jpn. J. Infect. Dis. 2017, 70, 311–313. [Google Scholar] [CrossRef]
- Hafez, H.M.; Attia, Y.A. Challenges to the poultry industry: Current perspectives and strategic future after the COVID-19 outbreak. Front. Vet. Sci. 2020, 7, 516. [Google Scholar] [CrossRef] [PubMed]
- Chopra, I.; Roberts, M. Tetracycline Antibiotics: Mode of Action, Applications, Molecular Biology, and Epidemiology of Bacterial Resistance. Microbiol. Mol. Biol. Rev. 2001, 65, 232–260. [Google Scholar] [CrossRef] [PubMed]
- Premarathne, J.M.K.J.K.; Anuar, A.S.; Thung, T.Y.; Satharasinghe, D.A.; Jambari, N.N.; Abdul-Mutalib, N.A.; Yew Huat, J.T.; Basri, D.F.; Rukayadi, Y.; Nakaguchi, Y.; et al. Prevalence and Antibiotic Resistance against Tetracycline in Campylobacter Jejuni and C. Coli in Cattle and Beef Meat from Selangor, Malaysia. Front. Microbiol. 2017, 8, 1–9. [Google Scholar] [CrossRef] [PubMed]
- Woźniak-Biel, A.; Bugla-Płoskońska, G.; Kielsznia, A.; Korzekwa, K.; Tobiasz, A.; Korzeniowska-Kowal, A.; Wieliczko, A. High Prevalence of Resistance to Fluoroquinolones and Tetracycline Campylobacter spp. Isolated from Poultry in Poland. Microb. Drug Resist. 2018, 24, 314–322. [Google Scholar] [CrossRef] [PubMed]
- García-Fernández, A.; Dionisi, A.M.; Arena, S.; Iglesias-Torrens, Y.; Carattoli, A.; Luzzi, I. Human Campylobacteriosis in Italy: Emergence of Multi-Drug Resistance to Ciprofloxacin, Tetracycline, and Erythromycin. Front. Microbiol. 2018, 9, 1–8. [Google Scholar] [CrossRef]
- Feizabadi, M.M.; Dolatabadi, S.; Zali, M.R. Isolation and Drug-Resistant Patterns of Campylobacter Strains Cultured from Diarrheic Children in Tehran. Jpn J. Infect. Dis. 2007, 60, 217–219. [Google Scholar]
- Li, B.; Ma, L.; Li, Y.; Jia, H.; Wei, J.; Shao, D.; Liu, K.; Shi, Y.; Qiu, Y.; Ma, Z. Antimicrobial Resistance of Campylobacter Species Isolated from Broilers in Live Bird Markets in Shanghai, China. Foodborne Pathog. Dis. 2017, 14, 96–102. [Google Scholar] [CrossRef]
- Neogi, S.B.; Islam, M.M.; Islam, S.K.S.; Akhter, A.H.M.T.; Sikder, M.M.H.; Yamasaki, S.; Kabir, S.M.L. Risk of Multi-Drug Resistant Campylobacter spp. And Residual Antimicrobials at Poultry Farms and Live Bird Markets in Bangladesh. BMC Infect. Dis. 2020, 20, 1–14. [Google Scholar] [CrossRef]
- Iovine, N.M. Resistance mechanisms in Campylobacter jejuni. Virulence 2013, 4, 230–240. [Google Scholar] [CrossRef]
- Roberts, M.C. Update on Acquired Tetracycline Resistance Genes. FEMS Microbiol. Lett. 2005, 245, 195–203. [Google Scholar] [CrossRef] [PubMed]
- Roberts, M.C. Genetic mobility and distribution of tetracycline resistance determinants. In Ciba Foundation Symposium 207-Antibiotic Resistance: Origins, Evolution, Selection and Spread: Antibiotic Resistance: Origins, Evolution, Selection and Spread: Ciba Foundation Symposium 207; John Wiley & Sons, Ltd.: Chichester, UK, 2007; pp. 206–222. [Google Scholar]
- Hormeño, L.; Campos, M.J.; Vadillo, S.; Quesada, A. Occurrence of tet(O/M/O) mosaic gene in tetracycline-resistant Campylobacter. Microorganisms 2020, 8, 1710. [Google Scholar] [CrossRef] [PubMed]
- Lynch, C.; Hawkins, K.; Lynch, H.; Egan, J.; Bolton, D.; Coffey, A.; Lucey, B. Investigation of Molecular Mechanisms Underlying Tetracycline Resistance in Thermophilic Campylobacter spp. Suggests That Previous Reports of Tet(A)-Mediated Resistance in These Bacteria Are Premature. Gut Pathog. 2019, 11, 19–21. [Google Scholar] [CrossRef] [PubMed]
- Tang, Y.; Jiang, Q.; Tang, H.; Wang, Z.; Yin, Y.; Ren, F.; Kong, L.; Jiao, X.; Huang, J. Characterization and Prevalence of Campylobacter Spp. From Broiler Chicken Rearing Period to the Slaughtering Process in Eastern China. Front. Vet. Sci. 2020, 7, 1–9. [Google Scholar] [CrossRef]
- Gibreel, A.; Tracz, D.M.; Nonaka, L.; Ngo, T.M.; Connell, S.R.; Taylor, D.R. Incidence of antibiotic resistance in Campylobacter jejuni isolated in Alberta, Canada, from 1999 to 2002, with special reference to tet(O)-mediated tetracycline resistance. Antimicrob. Agents Chemother. 2004, 48, 3442–3450. [Google Scholar] [CrossRef] [PubMed]
- Luangtongkum, T.; Jeon, B.; Han, J.; Plummer, P.; Logue, C.M.; Zhang, Q. Antibiotic Resistance in Campylobacter: Emergence, Transmission and Persistence. Future Microbiol. 2009, 4, 189–200. [Google Scholar] [CrossRef] [PubMed]
- Lin, J.; Overbye Michel, L.; Zhang, Q. CmeABC Functions as a Multidrug Efflux System in Campylobacter jejuni. Antimicrob. Agents Chemother. 2002, 46, 2124–2131. [Google Scholar] [CrossRef]
- Qin, S.; Wang, Y.; Zhang, Q.; Zhang, M.; Deng, F.; Shen, Z.; Wu, C.; Wang, S.; Zhang, J.; Shen, J. Report of Ribosomal RNA Methylase Gene Erm(B) in Multidrug-Resistant Campylobacter coli. J. Antimicrob. Chemother. 2014, 69, 964–968. [Google Scholar] [CrossRef]
- Beceiro, A.; Tomás, M.; Bou, G. Antimicrobial Resistance and Virulence: A Successful or Deleterious Association in the Bacterial World? Clin. Microbiol. Rev. 2013, 26, 185–230. [Google Scholar] [CrossRef]
- Roux, D.; Aubier, B.; Cochard, H.; Quentin, R.; Van Der Mee-Marquet, N. Contaminated Sinks in Intensive Care Units: An Underestimated Source of Extended-Spectrum Beta-Lactamase-Producing Enterobacteriaceae in the Patient Environment. J. Hosp. Infect. 2013, 85, 106–111. [Google Scholar] [CrossRef]
- Wesche, A.M.; Gurtler, J.B.; Marks, B.P.; Ryser, E.T. Stress, Sublethal Injury, Resuscitation, and Virulence of Bacterial Foodborne Pathogens. J. Food Prot. 2009, 72, 1121–1138. [Google Scholar] [CrossRef]
- Guerin, É.; Cambray, G.; Sanchez-Alberola, N.; Campoy, S.; Erill, I.; Re, S.D.; Gonzalez-Zorn, B.; Barbé, J.; Ploy, M.C.; Mazel, D. The SOS Response Controls Integron Recombination. Science 2009, 324, 1034. [Google Scholar] [CrossRef] [PubMed]
- ISO 10272-1 (Annex E); Microbiology of Food and Animal Feeding Stuffs: Horizontal Method for Detection and Enumera-tion of Campylobacter spp. I. Detection Method. International Organization for Standardization: Geneva, Switzerland, 2006.
- Gharbi, M.; Béjaoui, A.; Ben Hamda, C.; Alaya, N.; Hamrouni, S.; Bessoussa, G.; Ghram, A.; Maaroufi, A. Campylobacter spp. in Eggs and Laying Hens in the North-East of Tunisia: High Prevalence and Multidrug-Resistance Phenotypes. Vet. Sci. 2022, 9, 108. [Google Scholar] [CrossRef] [PubMed]
- Gharbi, M.; Béjaoui, A.; Ben Hamda, C.; Jouini, A.; Ghedira, K.; Zrelli, C.; Hamrouni, S.; Aouadhi, C.; Bessoussa, G.; Ghram, A.; et al. Prevalence and Antibiotic Resistance Patterns of Campylobacter spp. Isolated from Broiler Chickens in the North of Tunisia. BioMed Res. Int. 2018, 2018, 7943786. [Google Scholar] [CrossRef] [PubMed]
- Gharbi, M.; Béjaoui, A.; Ben Hamda, C.; Ghedira, K.; Ghram, A.; Maaroufi, A. Distribution of Virulence and Antibiotic Resistance Genes in Campylobacter jejuni and Campylobacter coli Isolated from Broiler Chickens in Tunisia. J. Microbiol. Immunol. Infect. 2021. [Google Scholar] [CrossRef] [PubMed]
- Zirnstein, G.; Helsel, L.; Li, Y.; Swaminathan, B.; Besser, J. Characterization of GyrA Mutations Associated with Fluoroquinolone Resistance in Campylobacter coli by DNA Sequence Analysis and MAMA PCR. FEMS Microbiol. Lett. 2000, 190, 1–7. [Google Scholar] [CrossRef] [PubMed]
- Zirnstein, G.; Li, Y.; Swaminathan, B.; Angulo, F. Ciprofloxacin Resistance in Campylobacter jejuni Isolates: Detection of GyrA Resistance Mutations by Mismatch Amplification Mutation Assay PCR and DNA Sequence Analysis. J. Clin. Microbiol. 1999, 37, 3276–3280. [Google Scholar] [CrossRef] [PubMed]
- Alonso, R.; Mateo, E.; Churruca, E.; Martinez, I.; Girbau, C.; Fernández-Astorga, A. MAMA-PCR Assay for the Detection of Point Mutations Associated with High-Level Erythromycin Resistance in Campylobacter jejuni and Campylobacter coli Strains. J. Microbiol. Methods 2005, 63, 99–103. [Google Scholar] [CrossRef]
- Liaw, A.; Wiener, M. Classification and Regression by RandomForest. R News 2002, 2, 18–22. [Google Scholar]
- Martinez-Taboada, F.; Redondo, J.I. The SIESTA (SEAAV Integrated Evaluation Sedation Tool for Anaesthesia) Project: Initial Development of a Multifactorial Sedation Assessment Tool for Dogs. PLoS ONE 2020, 15, e0230799. [Google Scholar] [CrossRef]
- Kugelberg, E.; Löfmark, S.; Wretlind, B.; Andersson, D.I. Reduction of the Fitness Burden of Quinolone Resistance in Pseudomonas Aeruginosa. J. Antimicrob. Chemother. 2005, 55, 22–30. [Google Scholar] [CrossRef]
- Skurnik, D.; Roux, D.; Cattoir, V.; Danilchanka, O.; Lu, X.; Yoder-Himes, D.R.; Han, K.; Guillard, T.; Jiang, D.; Gaultier, C.; et al. Enhanced in Vivo Fitness of Carbapenem-Resistant OprD Mutants of Pseudomonas Aeruginosa Revealed through High-Throughput Sequencing. Proc. Natl. Acad. Sci. USA 2013, 110, 20747–20752. [Google Scholar] [CrossRef] [PubMed]
- Lee, Y.; Choi, Y.; He, H.; Dodd, M.C. Degradation Kinetics of Antibiotic Resistance Gene Meca of Methicillin-Resistant Staphylococcus Aureus (Mrsa) during Water Disinfection with Chlorine, Ozone, and Ultraviolet Light. Environ. Sci. Technol. 2021, 55, 2541–2552. [Google Scholar] [CrossRef]
- Elhadidy, M.; Miller, W.G.; Arguello, H.; Álvarez-Ordóñez, A.; Duarte, A.; Dierick, K.; Botteldoorn, N. Genetic basis and clonal population structure of antibiotic resistance in Campylobacter jejuni isolated from broiler carcasses in Belgium. Front. Microbiol. 2018, 9, 1014. [Google Scholar] [CrossRef] [PubMed]
- Lynch, C.T.; Lynch, H.; Burke, S.; Hawkins, K.; Buttimer, C.; Mc Carthy, C.; Egan, J.; Whyte, P.; Bolton, D.; Coffey, A.; et al. Antimicrobial Resistance Determinants Circulating among Thermophilic Campylobacter Isolates Recovered from Broilers in Ireland Over a One-Year Period. Antibiotics 2020, 9, 308. [Google Scholar] [CrossRef] [PubMed]
- Song, D.G.; Yoon, K.Y.; Mboera, L.E.G.; Matee, M.I.; Mutangana, D.; Komba, E.V.G.; Pan, C.H.; Amachawadi, R.G. Genomic Characterization of Fluoroquinolone-Resistant Thermophilic Campylobacter Strains Isolated from Layer Chicken Feces in Gangneung, South Korea by Whole-Genome Sequencing. Genes 2021, 12, 1131. [Google Scholar] [CrossRef]
- Rozwandowicz, M.; Brouwer, M.S.M.; Mughini-Gras, L.; Wagenaar, J.A.; Gonzalez-Zorn, B.; Mevius, D.J.; Hordijk, J. Successful Host Adaptation of IncK2 Plasmids. Front. Microbiol. 2019, 10, 2384. [Google Scholar] [CrossRef]
- Fraqueza, M.J.; Martins, A.; Borges, A.C.; Fernandes, M.H.; Fernandes, M.J.; Vaz, Y.; Bessa, R.J.B.; Barreto, A.S. Antimicrobial Resistance among Campylobacter spp. Strains Isolated from Different Poultry Production Systems at Slaughterhouse Level. Poult. Sci. 2014, 93, 1578–1586. [Google Scholar] [CrossRef]
- Frazão, M.R.; Cao, G.; Medeiros, M.I.C.; Duque, S.D.S.; Allard, M.W.; Falcão, J.P. Antimicrobial Resistance Profiles and Phylogenetic Analysis of Campylobacter jejuni Strains Isolated in Brazil by Whole Genome Sequencing. Microb. Drug Resist. 2021, 27, 660–669. [Google Scholar] [CrossRef]
- Kim, J.; Park, H.; Kim, J.; Kim, J.H.; Jung, J.I.; Cho, S.; Ryu, S.; Jeon, B. Comparative Analysis of Aerotolerance, Antibiotic Resistance, and Virulence Gene Prevalence in Campylobacter jejuni Isolates from Retail Raw Chicken and Duck Meat in South Korea. Microorganisms 2019, 7, 433. [Google Scholar] [CrossRef]
- Hlashwayo, D.F.; Sigaúque, B.; Bila, C.G. Epidemiology and Antimicrobial Resistance of Campylobacter spp. in Animals in Sub-Saharan Africa: A Systematic Review. Heliyon 2020, 6, e03537. [Google Scholar] [CrossRef]
- Bolinger, H.K.; Zhang, Q.; Miller, W.G.; Kathariou, S. Lack of Evidence for Erm (B) Infiltration into Erythromycin-Resistant Campylobacter coli and Campylobacter jejuni from Commercial Turkey Production in Eastern North Carolina: A Major Turkey-Growing Region in the United States. Foodborne Pathog. Dis. 2018, 15, 698–700. [Google Scholar] [CrossRef] [PubMed]
- Chen, J.C.; Tagg, K.A.; Joung, Y.J.; Bennett, C.; Francois Watkins, L.; Eikmeier, D.; Folster, J.P. Report of Erm (B)+ Campylobacter jejuni in the United States. Antimicrob. Agents Chemother. 2018, 62, e02615-17. [Google Scholar] [CrossRef] [PubMed]
- Kashoma, I.P.; Kassem, I.I.; John, J.; Kessy, B.M.; Gebreyes, W.; Kazwala, R.R.; Rajashekara, G. Prevalence and Antimicrobial Resistance of Campylobacter Isolated from Dressed Beef Carcasses and Raw Milk in Tanzania. Microb. drug Resist. 2016, 22, 40–52. [Google Scholar] [CrossRef] [PubMed]
- De Vries, S.P.W.; Vurayai, M.; Holmes, M.; Gupta, S.; Bateman, M.; Goldfarb, D.; Maskell, D.J.; Matsheka, M.I.; Grant, A.J. Phylogenetic Analyses and Antimicrobial Resistance Profiles of Campylobacter spp. from Diarrhoeal Patients and Chickens in Botswana. PLoS ONE 2018, 13, e0194481. [Google Scholar] [CrossRef] [PubMed]
- Mäesaar, M.; Kramarenko, T.; Meremäe, K.; Sõgel, J.; Lillenberg, M.; Häkkinen, L.; Ivanova, M.; Kovalenko, K.; Hörman, A.; Hänninen, M. Antimicrobial Resistance Profiles of Campylobacter spp. Isolated from Broiler Chicken Meat of Estonian, Latvian and Lithuanian Origin at Estonian Retail Level and from Patients with Severe Enteric Infections in Estonia. Zoonoses Public Health 2016, 63, 89–96. [Google Scholar] [CrossRef]
- Cantero, G.; Correa-Fiz, F.; Ronco, T.; Strube, M.; Cerdà-Cuéllar, M.; Pedersen, K. Characterization of Campylobacter jejuni and Campylobacter coli Broiler Isolates by Whole-Genome Sequencing. Foodborne Pathog. Dis. 2018, 15, 145–152. [Google Scholar] [CrossRef]
- Pilay, S.; Amoako, D.G.; Abia, A.L.K.; Somboro, A.M.; Shobo, C.O.; Perrett, K.; Bester, L.A.; Essack, S.Y. Characterisation of Campylobacter spp. Isolated from Poultry in KwaZulu-Natal, South Africa. Antibiotics 2020, 9, 42. [Google Scholar] [CrossRef]
- Elhadidy, M.; Ali, M.M.; El-Shibiny, A.; Miller, W.G.; Elkhatib, W.F.; Botteldoorn, N.; Dierick, K. Antimicrobial resistance patterns and molecular resistance markers of Campylobacter jejuni isolates from human diarrheal cases. PLoS ONE 2021, 15, e0227833. [Google Scholar] [CrossRef]
- Han, X.; Guan, X.; Zeng, H.; Li, J.; Huang, X.; Wen, Y.; Zhao, Q.; Huang, X.; Yan, Q.; Huang, Y. Prevalence, Antimicrobial Resistance Profiles and Virulence-Associated Genes of Thermophilic Campylobacter spp. Isolated from Ducks in a Chinese Slaughterhouse. Food Control. 2019, 104, 157–166. [Google Scholar] [CrossRef]
- Oh, J.-Y.; Kwon, Y.-K.; Wei, B.; Jang, H.-K.; Lim, S.-K.; Kim, C.-H.; Jung, S.-C.; Kang, M.-S. Epidemiological Relationships of Campylobacter Jejuni Strains Isolated from Humans and Chickens in South Korea. J. Microbiol. 2017, 55, 13–20. [Google Scholar] [CrossRef]
- Wysok, B.; Wojtacka, J. Detection of Virulence Genes Determining the Ability to Adhere and Invade in Campylobacter spp. from Cattle and Swine in Poland. Microb. Pathog. 2018, 115, 257–263. [Google Scholar] [CrossRef] [PubMed]
- Facciolà, A.; Riso, R.; Avventuroso, E.; Visalli, G.; Delia, S.A.; Laganà, P. Campylobacter: From Microbiology to Prevention. J. Prev. Med. Hyg. 2017, 58, E79. [Google Scholar] [PubMed]
- Otigbu, A.C.; Clarke, A.M.; Fri, J.; Akanbi, E.O.; Njom, H.A. Antibiotic Sensitivity Profiling and Virulence Potential of Campylobacter jejuni Isolates from Estuarine Water in the Eastern Cape Province, South Africa. Int. J. Environ. Res. Public Health 2018, 15, 925. [Google Scholar] [CrossRef] [PubMed]
- González-Hein, G.; García, P.; Foerster, C.; Troncoso, M.; Figueroa, G. Campylobacter jejuni Isolated from Human Cases in Chile Showed Indistinguishable Pulsed Field Gel Electrophoresis Profiles with Strains Isolated from Poultry and Bovine Sources. CyTA-J. Food 2013, 11, 185–189. [Google Scholar] [CrossRef]
- Ramires, T.; de Oliveira, M.G.; Kleinubing, N.R.; de Fátima Rauber Würfel, S.; Mata, M.M.; Iglesias, M.A.; Lopes, G.V.; Dellagostin, O.A.; da Silva, W.P. Genetic Diversity, Antimicrobial Resistance, and Virulence Genes of Thermophilic Campylobacter Isolated from Broiler Production Chain. Braz. J. Microbiol. 2020, 51, 2021–2032. [Google Scholar] [CrossRef]
- Datta, S.; Niwa, H.; Itoh, K. Age-Dependent Variation of Virulence-Associated Genes Retained in Campylobacter jejuni Isolated from Chickens in a Poultry Farm. J. Vet. Med. Sci. 2009, 71, 1247–1249. [Google Scholar] [CrossRef]
- Khoshbakht, R.; Tabatabaei, M.; Hosseinzadeh, S.; Shekarforoush, S.S.; Aski, H.S. Distribution of Nine Virulence-Associated Genes in Campylobacter Jejuni and C. Coli Isolated from Broiler Feces in Shiraz, Southern Iran. Foodborne Pathog. Dis. 2013, 10, 764–770. [Google Scholar] [CrossRef]
- Gilbert, M.; Brisson, J.-R.; Karwaski, M.-F.; Michniewicz, J.; Cunningham, A.-M.; Wu, Y.; Young, N.M.; Wakarchuk, W.W. Biosynthesis of ganglioside mimics in Campylobacter jejuni OH4384: Identification of the glycosyltransferase genes, enzymatic synthesis of model compounds, and characterization of nanomole amounts by 600-MHz 1H and 13C NMR analysis. J. Biol. Chem. 2000, 275, 3896–3906. [Google Scholar] [CrossRef]
- Linton, D.; Gilbert, M.; Hitchen, P.G.; Dell, A.; Morris, H.R.; Wakarchuk, W.W.; Gregson, N.A.; Wren, B.W. Phase variation of a β-1, 3 galactosyltransferase involved in generation of the ganglioside GM1-like lipo-oligosaccharide of Campylobacter jejuni. Mol. Microbiol. 2000, 37, 501–514. [Google Scholar] [CrossRef]
- Datta, S.; Niwa, H.; Itoh, K. Prevalence of 11 pathogenic genes of Campylobacter jejuni by PCR in strains isolated from humans, poultry meat and broiler and bovine faeces. J. Med. Microbiol. 2003, 52, 345–348. [Google Scholar] [CrossRef]
- Konkel, M.E.; Gray, S.A.; Kim, B.J.; Garvis, S.G.; Yoon, J. Identification of the enteropathogens Campylobacter jejuni and Campylobacter coli based on the cadF virulence gene and its product. J. Clin. Microbiol. 1999, 37, 510–517. [Google Scholar] [CrossRef] [PubMed]
- Hermans, D.; Van Deun, K.; Martel, A.; Van Immerseel, F.; Messens, W.; Heyndrickx, M.; Haesebrouck, F.; Pasmans, F. Colonization factors of Campylobacter jejuni in the chicken gut. Vet. Res. 2011, 42, 82. [Google Scholar] [CrossRef] [PubMed]
- Ziprin, R.L.; Young, C.R.; Byrd, J.A.S.; tanker, L.H.; Hume, M.E.; Gray, S.A.; Kim, B.J.; Konkel, M.E. Role of Campylobacter jejuni potential virulence genes in cecal colonization. Avian Dis. 2001, 45, 549–557. [Google Scholar] [CrossRef]
- Hickey, T.E.; McVeigh, A.L.; Scott, D.A.; Michielutti, R.E.; Bixby, A.; Carroll, S.A.; Bourgeois, A.L.; Guerry, P. Campylobacter jejuni cytolethal distending toxin mediates release of interleukin- from intestinal epithelial cells. Infect. Immun. 2000, 68, 6535–6541. [Google Scholar] [CrossRef] [PubMed]
- Linton, D.; Owen, R.J.; Stanley, J. Rapid identification by PCR of the genus Campylobacter and of five Campylobacter species enteropathogenic for man and animals. Res. Microbiol. 1996, 147, 707–718. [Google Scholar] [CrossRef]
- Gonzalez, I.; Grant, K.A.; Richardson, P.T.; Park, S.F.; Collins, M.D. Specific identification of the enteropathogens Campylobacter jejuni and Campylobacter coli by using a PCR test based on the ceuE gene encoding a putative virulence determinant. J. Clin. Microbiol. 1997, 35, 759–763. [Google Scholar] [CrossRef]
- Pratt, A.; Korolik, V. Tetracycline resistance of Australian Campylobacter jejuni and Campylobacter coli isolates. J. Antimicrob. Chemother. 2005, 55, 452–460. [Google Scholar] [CrossRef]
- Olah, P.A.; Doetkott, C.; Fakhr, M.K.; Logue, C.M. Prevalence of the Campylobacter multi-drug efflux pump (CmeABC) in Campylobacter spp. Isolated from freshly processed turkeys. Food Microbiol. 2006, 23, 453–460. [Google Scholar] [CrossRef]
- Obeng, A.S.; Rickard, H.; Sexton, M.; Pang, Y.; Peng, H.; Barton, M. Antimicrobial susceptibilities and resistance genes in Campylobacter strains isolated from poultry and pigs in Australia. J. Appl. Microbiol. 2012, 113, 294–307. [Google Scholar] [CrossRef]
Publisher’s Note: MDPI stays neutral with regard to jurisdictional claims in published maps and institutional affiliations. |
© 2022 by the authors. Licensee MDPI, Basel, Switzerland. This article is an open access article distributed under the terms and conditions of the Creative Commons Attribution (CC BY) license (https://creativecommons.org/licenses/by/4.0/).





