Abstract
Tetrodotoxin (TTX) is an extremely potent marine biotoxin. An analytical method was developed for both trace contamination and extremely high levels of TTX in gastropods by liquid chromatography-tandem mass spectrometry (LC-MS/MS) with clean-up of cation exchange solid phase extraction (SPE) in this study. The limit of detection (LOD) in the sample matrix was 0.5 μg/kg. With the calibration of a screened internal standard (validamycin, IS), the linear range was 0.1–100 ng/mL (1.5–1500 μg/kg in sample matrix) with a correlation coefficient of r2 > 0.999. The average recoveries at three spiking levels (1.5 μg/kg, 44 μg/kg, and 1500 μg/kg) were 82.6–94.4% with relative standard deviations (RSDs) less than 8.4%. TTX levels in seven gastropods (741 samples) were studied. The contamination and analogues in Neverita didyma (N. didyma, 565 samples collected in Zhejiang province, China, from 2016 to 2022) were first reported. The detection rate of TTX in N. didyma was 34.2%. The average concentration was 23.1 μg/kg, and the maximum value was 2327 μg/kg. The time distribution study indicated that high contaminations of TTX occurred from May to August for N. didyma.
1. Introduction
Tetrodotoxin (TTX) is an extremely potent marine biotoxin. A global retrospective study by Guardone et al. [1] found that poisoning incidents occurred annually worldwide due to the ingestion of marine animals containing high concentrations of TTX. The marine animals included puffer fishes, gastropods, arthropods, and cephalopods. TTX poisoning caused by gastropods ranked second (20.9%) besides that by puffer fishes (59.9%). The poisonous gastropods included nassarius [2], sea slug [3], and trumpet shell [4,5]. Additionally, trace levels of TTX were found in seafoods such as bivalve mollusks and gastropods [6].
The oral median lethal dose (LD50) for TTX was 232 μg/kg [7], and the LD50 value was 10.7 μg/kg for intraperitoneal administrations in mice [8]. A dose leading to adverse effects was 0.2 mg, and the minimum lethal dose for adults was 2 mg [9]. Japan has set an official regulatory limit of 10 mouse units/g (MU/g) for TTXs in puffer fish tissue (equivalent to 2000 μg/kg) based on mouse bioassay (MBA) [6]. In 2017, based on the intake of shellfish meat with 400 g, the European Food Safety Authority (EFSA) proposed a provisional concentration below 44 μg TTX equivalents/kg shellfish meat, which was considered not to result in adverse effects in humans [9]. The literature focuses more on the study of trace TTX in bivalve mollusks and the toxic levels in nassarius [1,6,10]. However, there is limited research on the analytical method and contamination of trace levels of TTX in gastropod seafood. The difficulty in the research of TTX analytical methods in gastropods is the need to consider both trace and highly toxic levels.
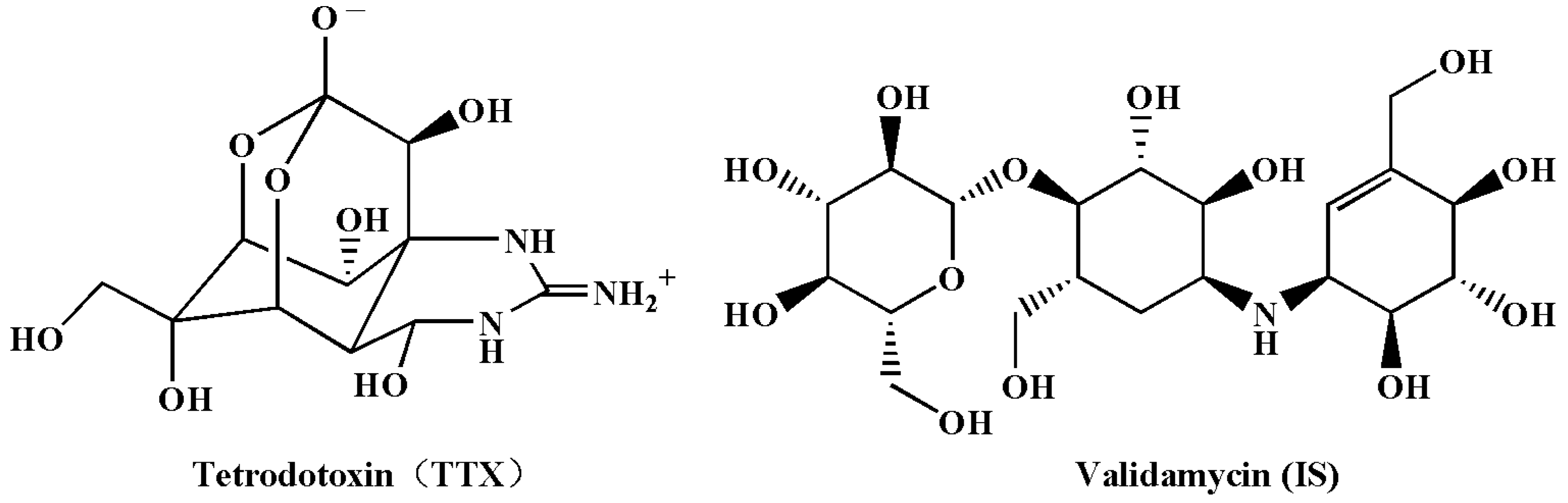
MBA is a classic method for TTX at mg/kg level in poisoning samples, while the sensitivity is insufficient for TTX at μg/kg level in seafood [6]. Immunoassay can quickly screen TTX in seafood, but its shortcomings in qualitative confirmation cannot be ignored as well [11]. The instrumental method based on the chromatographic separation principle is the most commonly used method for qualitative and quantitative determination of TTX in seafood [10]. TTX is a water-soluble and polar substance containing multiple hydroxyl groups (Figure 1). The reported method by gas chromatography-mass spectrometry (GC-MS) included two steps of complicated chemical reactions [12] and was not suitable for fast and batch measurement. There are no ultraviolet and fluorescence groups in the structure of TTX (Figure 1). Derivatives suitable for fluorescence detection can be obtained by treatment with 4 mol/L of sodium hydroxide (NaOH) at a high temperature. Combined with the post column derivatization technique, a high performance liquid chromatography-fluorescence detector (HPLC-FLD) was used to measure TTX in puffer fish [13]. Subsequently, this technique was applied for the determination of TTX in nassarius samples during poisoning events [2,14]. Liquid chromatography-tandem mass spectrometry (LC-MS/MS) is the preferred method for the determination of TTX in seafood due to its high sensitivity and selectivity [10,15]. However, compared to fish samples dominated by muscle tissue, the gastropod contains a large amount of visceral tissue. Meanwhile, the water content in gastropods is much lower than that in bivalve mollusks. Compared to that in fish and bivalve mollusk samples, the matrix interference is more severe for the determination of TTX by LC-MS/MS in gastropods [15].
Figure 1.
Structure of TTX and validamycin (IS).
Solid phase extraction (SPE) with a C18 cartridge [2] or C18 cartridge combined with ultrafiltration tube separation [14] was used for the clean-up of TTX in gastropods. Only some of the fat-soluble sample matrix and macromolecular proteins can be removed by the C18 cartridge and ultrafiltration tube, respectively. The signal suppression effects of mass spectrometry for TTX cannot be significantly improved by both clean-up methods. Graphitized carbon SPE cartridges are capable of desalting and were used for the clean-up of TTX in bivalve mollusks [10,16,17]. When cleaned by the ENVI-Carb SPE cartridge, the matrix effects of TTX in the adductor muscle of Pacific Oysters was 83%, while the result in the digestive gland was only 55% [18]. Severe matrix suppression effects of TTX were found in visceral tissues. The immune affinity SPE cartridge can selectively adsorb TTX and effectively remove matrix interferences. It is suitable for sample pretreatment of low levels of TTX in seafood [19,20]. However, due to the limitation of column capacity, it is not suitable for the clean-up of high concentrations, especially toxic levels of TTX. Furthermore, it only specifically adsorbs TTX and is not suitable for the determination of TTX analogues. The cation exchange SPE cartridge has been applied for the clean-up of TTX in biological matrices [2,21]. Two factors affecting the TTX recovery should be considered in the food matrix, namely the competitive adsorption of the interfering matrix during the clean-up of cation exchange and the high concentration of hydrochloric acid (HCl) in the eluate [22].
We established a new method for the determination of TTX in gastropods by LC-MS/MS after optimizing the sample extraction process, SPE clean-up conditions, and screening of a new internal standard. It was applied to the study of contamination, time distribution, and traceability of TTX in commercially available gastropods.
2. Materials and Methods
2.1. Samples
Neverita didyma (N. didyma), Bullacta exarata (B. exarata), Rapana bezoar (R. bezoar), Margarites pupillus (M. pupillus), Reishia clavigera (R. clavigera), and Hemifusus tuba (H. tuba) samples were collected from 2016–2022 in the markets of Zhejiang province, China. Nassarius semiplicatus (N. semiplicatus) samples were gotten from the coast of Zhejiang province, China.
2.2. Reagent and Materials
All reagents and solvents were of analytical grade unless specified.
TTX was supplied by Anpel (100 mg/L, Shanghai, China); validamycin (internal standard, IS) was bought from Dr. Ehrenstorfer (100 mg/L, Augsburg, Germany); voglibose was supported by TRC Co., Ltd. (Toronto, ON, Canada); the cation exchange cartridge (OASIS MCX, 60 mg/3 mL, treated with 3 mL methanol and water before sample loading) was bought from Waters (Milford, MA, USA). HCl was supplied by Sinopharm Chemical Reagent Co., Ltd. (Shanghai, China); HPLC-grade ammonia (>28%), formic acid, and acetic acid (HAc) were supported by Thermo Fisher Scientific (Shanghai, China); HPLC-grade acetonitrile and methanol were from TEDIA (Fairfield, OH, USA); ultra-pure water was prepared by Millipore (Bedford, MA, USA).
2.3. Preparation of Standard Solutions
TTX spiking standard solutions with 10 μg/L and 1000 μg/L were prepared by gradually diluting the stock solution with 50% acetonitrile/water. IS spiking solution with 1000 μg/L was prepared by gradually diluting the stock IS solution with 50% acetonitrile/water. Standard serial solutions with 0.1–100 μg/L of TTX were prepared by diluting the spiking standard solutions with 50% acetonitrile/water. Each milliliter of standard solution was spiked with 10 μL of IS spiking solution.
2.4. Instrumentation Conditions
LC-MS/MS with a positive electrospray ionization (ESI+) source (8060 NX LC-MS, Shimadzu, Japan) was used in this study. LC separation was performed on an XBridgeTM BEH Amide column (3.0 × 150 mm, 1.7 μm, Waters, USA) with a flow rate of 0.4 mL/min. The injection volume was 2.0 μL. The oven was maintained at 30 °C. The mobile phase consisted of 0.1% (v/v) of formic acid in water (Channel A) and acetonitrile (Channel B). Gradient elution was programmed as follows: 0–1.0 min, 75% B; 1.0–6.0 min, 75–45% B; 6.0–7.0 min, 45% B; 7.0–7.5 min, 45–75% B; 7.5–11.0 min, 75% B. The interface voltage was 4.5 kV. The dissolvent line, MS interface, and heat block temperatures were 250 °C, 300 °C, and 400 °C, respectively. Compressed air was used as heating gas (10 L/min) and argon was used as collision gas (270 kPa). Nitrogen was used as nebulizing gas (3 L/min) and drying gas (10 L/min).
Multiple reaction monitoring (MRM) mode was applied for TTX and IS. TTX and its analogues were measured according to the transitions of [M+H]+ > [M+H-H2O]+ (23 eV) and [M+H]+ >162 (37 eV) [23]. The analogues included in this study were 11-oxoTTX ([M+H]+ 336), 4-epiTTX ([M+H]+ 320), 5-deoxyTTX or 11-deoxyTTX ([M+H]+ 304), 4,9-anhydroTTX ([M+H]+ 302), 11-norTTX-6(S)-ol or 11-norTTX-6(R)-ol ([M+H]+ 290), 5,6,11-trideoxyTTX ([M+H]+ 272), and 4,9-anhydro-5,6,11-trideoxyTTX ([M+H]+ 254) [18]. The MRM conditions are listed in Table 1.
Table 1.
MRM conditions for TTX, TTX analogues, and IS.
2.5. Sample Preparation
The tissue was homogenized with a knife tissue homogenizer (Retsch GM 200, Retsch, Arzberg, Germany) for 2 min. About 2 g of the homogenized sample was weighed into a 15 mL polypropylene centrifugal tube. The sample was mixed on a vortex mixer (Muti Reax, Heidolph, Germany) with 8 mL of 1% HAc/50% methanol/water for 5 min and then conducted with ultrasound-assisted extraction for 20 min at room temperature. After that, the volume of the mixture was set to the 10 mL mark with 1% HAc/50% methanol/water and mixed for 0.1 min. The mixture was centrifuged at 8000 r/min for 5 min. An aliquot of 1 mL supernatant was mixed with 1.5 mL acetonitrile for 0.1 min and stayed at −18 °C for 10 min. Then, the mixture was centrifuged at 8000 r/min for 5 min and the supernatant was loaded onto a pretreated MCX SPE cartridge. The cartridge was washed with 3 mL of 0.2% HAc water and 3 mL of 0.2% HAc/50% acetonitrile/water successively after the upload finished. After that, the cartridge was vacuumed for 0.1 min and all the rinsed solvents were discarded. The analyte in the cartridge was then eluted with 3 mL of 0.2% HCl/50% acetonitrile/water. All the eluate was collected, spiked with 30 μL of IS spiking solution and 5 μL of ammonium, mixed for 0.1 min, and filtered by a Teflon membrane (0.2 μm) before LC-MS/MS measurement. The flow diagram for sample preparation is shown in Figure 2.
Figure 2.
Flow diagram for sample preparation.
2.6. Preparation of Quality Control (QC) Samples
Based on the optimized analytical method, N. didyma and N. semiplicatus samples were measured and some of the positive samples were used as QC samples. The TTX concentration of the QC sample came from the average value of 6 parallel measurements. The concentrations of the prepared QC samples for the N. didyma matrix were 1.42 μg/kg, 207 μg/kg, and 2427 μg/kg, respectively. The values of the prepared QC samples for the N. semiplicatus matrix were 609 μg/kg, 1856 μg/kg, and 34,730 μg/kg, respectively. All the QC samples were stored at −18 °C.
2.7. Condition Optimization of Sample Extraction
QC samples of N. didyma (207 μg/kg) and N. semiplicatus (609 μg/kg) and TTX spiking R. bezoar samples (50 μg/kg) were used for the optimization of sample extract solvents. Each sample was conducted by ultrasound-assisted extraction with 1% HAc methanol, 1% HAc/50% methanol/water, and 1% HAc water at room temperature, respectively. The other steps were the same as mentioned in the Section 2.5 Sample preparation.
Besides, another sample was processed by boiling-assisted extraction with 1% HAc water: About 2 g of the homogenized sample was weighed into a 15 mL polypropylene centrifuge tube. The sample was mixed with 8 mL of 1% HAc water for 5 min, and then incubated in boiling water for 5 min. After that, the sample mixture was cooled to room temperature with flowing tape water. The volume of the mixture was set to the 10 mL mark with 1% HAc water and mixed for 0.1 min. The next steps were the same as mentioned in the Section 2.5 Sample preparation.
2.8. Calculation of Matrix Effects
Matrix effects (ME) were calculated:
Amatrix is the peak area of TTX in the matrix and Asolvent is the peak area in pure solvent. The results more or less than 100% indicate matrix enhancement or suppression effects, respectively [24].
2.9. Graph making and Statistical Analysis
Statistical analysis was performed with SPSS 13.0 software (SPSS Inc. Chicago, IL, USA). Figures were generated using the Origin 8.0 (Origin Lab Inc. Northampton, MA, USA) program.
3. Results and Discussion
3.1. Sample Extraction
The extraction of TTX from seafood mainly included two methods: boiling-assisted extraction with HCl or HAc/water [15,16,17,22] and ultrasound-assisted extraction with an HAc/methanol/water mixture [19,20,23,25]. The boiling-assisted extraction method has a good effect on protein precipitation, but there is a loss in the recovery of TTX. Although the boiling time has decreased from 30 min [26] to 5 min [17,27], the method recoveries were only 70–84%. The recoveries of the ultrasound-assisted extraction method were 66.9–107% [19,20,23]. The recovery was related to the water content in the extract solvent mixture. The recovery results were a little to the low side with anhydrous extraction (dried product with HAc/methanol extraction) [23].
The recoveries of TTX in QC samples of N. didyma (207 μg/kg) and N. semiplicatus (609 μg/kg) and TTX spiking R. bezoar samples (50 μg/kg) with 4 extract solvents are shown in Figure 3. When extracted with 1% HAc methanol, the recoveries of TTX in three matrices were only 61.2–74.0%. When extracted with 1% HAc/50% methanol/water and 1% HAc water at room temperature, the results were 92.4–99.4%. The recoveries were reduced by about 10% under boiling-assisted extraction with 1% HAc water. When extracted with 1% HAc water at room temperature, the extract was easy to emulsify and produced foam, affecting constant volume operation. Therefore, ultrasound-assisted extraction with 1% HAc/50% methanol/water was used in this study.
Figure 3.
Recoveries of TTX in QC samples of N. didyma (207 μg/kg) and N. semiplicatus (609 μg/kg) and TTX spiking R. bezoar samples (50 μg/kg) extracted with 4 different extraction solvents.
3.2. Clean-Up by MCX Cartridge
3.2.1. Protein Precipitation before MCX Cartridge Clean-Up
Acetonitrile was used as the protein precipitation reagent in this study. Under the optimal extraction conditions with 1% HAc/50% methanol/water for the QC samples of N. didyma (207 μg/kg) and N. semiplicatus (609 μg/kg) and TTX spiking R. bezoar samples (50 μg/kg), the effects of the volume of acetonitrile on the TTX recoveries are shown in Figure 4. The recoveries were only 74.1–79.5% if an aliquot of 1 mL of extract was directly loaded onto the MCX cartridge without using acetonitrile for protein precipitation (Condition No. 1, Figure 4). The results were less than 70% if an aliquot of 2 mL of extract was directly loaded (No. 2, Figure 4).
Figure 4.
The effects of the volume of acetonitrile as the protein precipitation reagent on the TTX recoveries for the QC samples of N. didyma (207 μg/kg) and N. semiplicatus (609 μg/kg) and TTX spiking R. bezoar samples (50 μg/kg) extracted with 1% HAc/50% methanol/water.
Seafood, like gastropods, is rich in proteins in muscle and inorganic salts in viscus. Both will compete for the active sites of cation exchange in the MCX cartridge, affecting the recovery during SPE clean-up. The recoveries of TTX in each step during MCX cartridge clean-up (loading, washing with 0.2% HAc and 0.2% HAc/50% acetonitrile, eluting with 0.2% HCl/50% acetonitrile) are shown in Figure 5 for the QC sample of N. didyma (207 μg/kg) or the standard in the pure solvent mixture. TTX was not found during loading and washing steps if the standard in the pure solvent mixture was loaded. However, more than 20% or 30% of TTX was lost during loading and washing steps if an aliquot of 1 mL or 2 mL of sample extract was directly loaded (without precipitation of proteins and inorganic salts with acetonitrile), respectively. Therefore, it is necessary to select the appropriate extract solvent to minimize the contents of proteins and inorganic salts in the extract before MCX cartridge clean-up.
Figure 5.
Recoveries of TTX in each step during MCX cartridge clean-up (loading, washing with 0.2% HAc and 0.2% HAc/50% acetonitrile, eluting with 0.2% HCl/50% acetonitrile) for QC samples of N. didyma (207 μg/kg) or the standard in the pure solvent mixture.
Acetonitrile was used for further precipitation of protein and inorganic salts in the sample extract before MCX cartridge clean-up in this study. The recoveries of TTX in the studied three matrices were more than 90% if an aliquot of 1 mL of sample extract was added with 1 mL (No. 3 Figure 4) or 1.5 mL of acetonitrile (No. 4 Figure 4). TTX was not found during loading and washing steps (Figure 5) if an aliquot of 1 mL of sample extract was added with 1.5 mL of acetonitrile. The results slightly decreased if the volume of acetonitrile increased to 2 mL (No. 5 Figure 4). The solubility of TTX in water, methanol, and acetonitrile decreases sequentially. The increase in the acetonitrile content can improve the precipitation effects of protein and inorganic salts and improve the recovery during MCX cartridge clean-up. However, it will reduce the solubility of TTX in the extraction solution if the ratio of acetonitrile exceeds a certain value (No. 5, Figure 4).
In summary, acetonitrile can further remove proteins and inorganic salts in the sample extract before MCX cartridge clean-up. The optimal ratio is that an aliquot of 1 mL of sample extract is added with 1.5 mL of acetonitrile. Satisfactory results of recovery for TTX will be obtained under this condition.
3.2.2. TTX Eluting and the Treatment of Eluate
Normally, ammonia solution is used to elute the analyte from the cation exchange cartridge. However, TTX is unstable under alkaline conditions [6]. One to two milliliters of 0.1 or 0.2 mol/L HCl in methanol (about 1% or 2% HCl methanol) was used for the elution of TTX from the cartridge in literature [2,23]. This type of solvent mixture has strong elution strength, and severe matrix suppression effects were found for TTX in the eluate (less than 50%). In order to make it compatible with the subsequent separation of the LC column, it is also necessary to remove methanol and high concentrations of HCl by nitrogen drying. It is time-consuming and easy to corrode the nitrogen drying instrument as well.
TTX is a water-soluble substance. Its solubility in water is higher than that in methanol or acetonitrile. It is found in this study that increasing the proportion of water in the eluent can improve the elution ability of TTX. This makes it possible to reduce the concentration of HCl in the eluent. It was found that the optimal elution condition was 3 mL of 0.2% HCl/50% acetonitrile water. Furthermore, the pH value could be adjusted to greater than 3 when 5 μL of ammonia was added to the eluate from the MCX cartridge and meet the optimal pH requirement for the XBridgeTM BEH Amide column. Therefore, the eluate can be directly injected to LC-MS/MS without the nitrogen drying step.
3.3. Screening of Internal Standard
Chromatograms of TTX, IS, and voglibose are shown in Figure 6A, and matrix effects (n = 6) of TTX in N. didyma, H. tuba, R. bezoar, and B. exarata are illustrated in Figure 6B. The matrix effects of TTX in the studied 4 matrices were 86.9–92.2% analyzed by the optimized conditions. There was still about 10% signal suppression during LC-MS/MS measurement. Matrix matched standard calibration was required for the accurately quantitative determination of TTX in samples, which brings inconvenience to practical applications.
Figure 6.
Chromatograms of TTX, IS, and voglibose (A), and matrix effects (n = 6) of TTX, IS, and voglibose in N. didyma, H. tuba, R. bezoar, and B. exarata (B).
A stable isotope labeled internal standard calibration is the best solution to eliminate the influence of matrix effects in complex matrixes. However, there is no commercialized isotope labeled internal standard for TTX [28]. The key interfering factor of matrix effects for LC-MS/MS determination is the co-eluate during chromatographic separation. Therefore, when selecting non-isotopic internal standards, it is necessary to have a chromatographic retention time as close as possible between the internal standard and the analyte. Voglibose was used as an internal standard for the determination of TTX in blood. The retention time of voglibose differed from that of TTX by approximately 1 min [29,30]. Under the conditions used in this study, the difference in retention time between voglibose and TTX can be reduced to approximately 0.5 min. However, voglibose exhibited significant matrix enhancement effects in gastropod matrices (106–125%, Figure 6B). There was an obvious difference compared to the matrix suppression effects of TTX (86.9–92.2%). Voglibose is not suitable as an internal standard for quantitative correction of TTX in gastropods.
Screening the normally used drugs, it was found that validamycin has similar functional groups and physicochemical properties to TTX (Figure 1). Under the chromatographic separation conditions used in this study, the retention time of validamycin only differed by about 0.15 min from TTX (Figure 6A). The matrix effects of validamycin were almost consistent with those of TTX (88.1–94.6%, Figure 6B). The signal suppression effects of TTX during LC-MS/MS measurement can be effectively improved and the results can be calibrated with the standard in the solvent using the internal standard correlation with validamycin.
3.4. Selection of Chromatographic Column
TTX and IS belong to polar and hydrophilic substances containing multiple hydroxyl groups (Figure 1). The reversed C18 column has no retention capacity for TTX. An ion pair regent, such as sodium 1-heptanesulfonate or perfluorobutyric acid, is required for the LC-FLD determination of TTX [2,14]. Hydrophilic interaction chromatography (HILIC) columns can achieve a good separation effect of TTX without assistance from ion pair reagents. HILIC columns containing amide functional groups have the advantages of stable retention time, symmetrical chromatographic peaks, and high sensitivity. They have been widely used for the chromatographic separation of TTX [10,15,16,17,18,19,31]. The separation effects were compared between XBridgeTM BEH Amide columns (1.7 μm) with the specifications of 100 × 2.1 mm and 150 × 3.0 mm in this study. The retention time was about 2 min faster while the matrix effects were 70–84% if the former was used to separate TTX in gastropods. The matrix suppression effects separated with the former were much more severe than those separated with the latter (88.1–94.6%). Therefore, the XBridgeTM BEH Amide column (1.7 μm) with the specification of 150 × 3.0 mm was selected in this study.
3.5. Method Validation
3.5.1. Limit of Detection (LOD) and Quantification (LOQ), and Linear Range
LOD was calculated according to the content corresponding to the signal-to-noise ratio (S/N) at 3 for the qualitative ion pair and LOQ based on S/N at 10 for the quantitative ion pair in the matrix. The LOD and LOQ were 0.5 μg/kg and 1 μg/kg, respectively.
Calibrated with the internal standard, the linear range was 0.1–100 μg/L (equivalent to 1.5–1500 μg/kg in the sample matrix). The equations of linear regression were y = 0.629677x + 0.007502, y = 0.602943x + 0.003966, and y = 0.600798x + 0.004648 with the correlation coefficient (r2) of 0.9998, 0.9991, and 0.9990 in pure solvent, N. didyma, and R. bezoar, respectively. The slope ratios in the equations of linear regression in N. didyma and R. bezoar relative to that in pure solvent were 0.96 and 0.95, respectively. Therefore, the concentration of TTX in the sample matrix can be quantitatively calibrated by the standard in pure solvent with the use of validamycin as the internal standard.
3.5.2. Recovery
Three levels with six parallel measurements were done at 1.5, 44, and 1500 μg/kg in N. didyma, H. tuba, and R. bezoar. As shown in Table 2, the average recoveries in N. didyma, H. tuba, and R. bezoar were 83.0–92.5%, 82.6–94.4%, and 82.9–93.5% with the relative standard deviations (RSDs) of 4.7–8.4%, 3.8–8.0%, and 5.9–7.8%, respectively.
Table 2.
Recovery and RSD for TTX spiked in 3 sample matrices (n = 6).
3.5.3. Accuracy and Precision
QC samples of N. didyma (1.42 μg/kg, 207 μg/kg, and 2427 μg/kg, respectively) and N. semiplicatus (609 μg/kg, 1856 μg/kg, and 34,730 μg/kg, respectively) were used in this study. Six repetitions in the same day and three repetitions in three days, respectively, were done for measurements of intra-days’ and inter-days’ accuracy and precision. The eluate for QC samples with 2427 μg/kg of N. didyma or 1856 μg/kg of N. semiplicatus after MCX cartridge clean-up was 10-fold dilution with 50% ACN/water before measurement. The eluate for the QC sample with 34,730 μg/kg of N. semiplicatus after MCX cartridge clean-up was 50-fold dilution with 50% ACN/water before measurement. The results are presented in Table 3. The intra-day’s accuracy for TTX in N. didyma was 93.2–98.8% with the precision less than 7.4%. The inter-days’ accuracy for TTX in N. didyma was 92.4–97.8% with the precision less than 8.3%. The intra-days’ accuracy for TTX in N. semiplicatus was 91.8–97.4% with the precision less than 6.0%. The inter-days’ accuracy for TTX in N. semiplicatus was 92.0–93.6% with the precision less than 7.2%.
Table 3.
Intra- and inter-days’ accuracy and precision for QC samples of N. didyma and N. semiplicatus.
3.6. Comparing with the Reported LC-MS/MS Methods
LC-MS/MS has been applied for the determination of TTX and its analogues in fish, bivalve mollusks, gastropods, and cooked seafood as shown in Table 4. The method with LOD < 1 μg/kg was the clean-up technique of the immune affinity [19] or MCX (this study) SPE cartridge. However, TTX analogues cannot be measured with the clean-up technique of the former. According to the parameters of LOD, matrix effects, and recovery, good results were obtained with the use of the method developed in this study.
Table 4.
Summary of TTX and its analogues’ pretreatment and analysis.
3.7. TTX in Gastropods
3.7.1. TTX Contaminations in Gastropods
TTX contaminations in 741 samples with 7 species of gastropods sampled from 2016–2022 are presented in Table 5. Except for N. semiplicatus, the other six species of gastropods are commercially available seafood in Zhejiang province, China. TTX was not found in H. tuba and R. clavigera samples. The detection rates in R. bezoar and B. exarata samples were 3.2% and 6.7%, respectively, with concentrations less than 5.6 μg/kg. The detection rate in M. pupillus samples was 12.5% with concentrations less than 41.2 μg/kg. The concentrations of TTX in the above five species of gastropods were below the EFSA proposed provisional level of 44 μg TTX equivalents/kg in shellfish [9].
Table 5.
TTX contaminations in seven species of gastropods.
N. didyma (Figure 7A) is a gastropod and a delicious seafood in China. TTX contaminations were studied in 565 N. didyma samples from 2016 to 2022. The detection rate of TTX was 34.2% and the average concentration was 23.1 μg/kg (calculated as 1/2LOD if TTX was not detected). The concentrations of TTX in three samples were between 1000–2000 μg/kg, and in one sample exceeded 2000 μg/kg (2327 μg/kg). The concentrations of TTX in 8.1% of the samples exceeded the EFSA proposed provisional level of 44 μg TTX equivalents/kg in shellfish [9]. This level is based on the assessment of the intake of 400 g of shellfish meat. The intake for the meat of N. didyma is far below 400 g/day for the residents in China. The safety assessment for N. didyma needs to consider the actual intake.
Figure 7.
Time distribution of TTX contaminations in N. didyma. (A) The picture of N. didyma; (B) the detection rate; (C) the box chart of the TTX levels in different months; (D) zoom area of the TTX concentrations below 250 μg/kg in the box chart.
TTX was found in all the seven samples of N. semiplicatus gotten from the coast of Zhejiang province, China. The sample with a TTX content of 34,730 μg/kg came from a poisoning case. The clean-up with the immune affinity column can achieve accurate quantification of TTX for samples at low concentrations [19,20]. However, for samples with TTX contents exceeding the column capacity (usually 1000 ng), multiple dilutions and multiple clean-up treatments should be conducted to obtain accurate results. Using MCX cartridge clean-up, the results can be accurately quantified by a single clean-up and appropriate dilution of the eluate to let the TTX content within a linear range, even if the concentration reaches 34,730 μg/kg.
3.7.2. Time Distribution of TTX Contaminations in N. didyma
TTX contamination in N. didyma sampled from February to November are shown in Figure 7B–D. Samples were not collected in January and December. TTX was not detected in samples collected in February and November. The samples with the highest detection rates (exceeding 50%) were found in June and July. The samples with the highest concentration levels were found from May to August. In summary, the samples with high contaminations of TTX occurred from May to August.
TTX was supposed to be produced by symbiotic bacteria (endogenous) or accumulated through the food chain (exogenous) [10,38]. The results proved that the origin of TTX was the latter, but not the former since the concentrations of TTX in samples of N. didyma changed significantly over time. The results also indicated the concentration change of TTX in the food of N. didyma. The high contamination of TTX in the food of N. didyma began in May and June. The concentration of TTX in N. didyma reached its highest level in June and July through the accumulation in the food chain. After August, the concentration of TTX in the food of N. didyma decreased, obviously. The metabolic rate of TTX in N. didyma was greater than the supplementation rate from the food chain. Therefore, the contamination of TTX decreased quickly. Except from May to July, the concentrations of TTX in N. didyma were relatively lower in the other months.
3.7.3. TTX Analogues in N. didyma and N. semiplicatus
TTX analogues found in N. didyma and N. semiplicatus are shown in Figure 8. The analogues found in N. semiplicatus were 11-oxoTTX ([M+H]+ 336, 7), 4-epiTTX ([M+H]+ 320, 6), 5-deoxyTTX and 11-deoxyTTX ([M+H]+ 304, 5), 4,9-anhydroTTX ([M+H]+ 302, 4), 5,6,11-trideoxyTTX ([M+H]+ 272, 2), and 4,9-anhydro-5,6,11-trideoxyTTX ([M+H]+ 254, 1). The results were similar to those reported in the literature [39,40], except that a trace amount of 4,9-anhydro-5,6,11-trideoxyTTX ([M+H]+ 254, 1) was detected in this study. The analogues with 11-oxoTTX ([M+H]+ 336, 7), 4-epiTTX ([M+H]+ 320, 6), 5-deoxyTTX and 11-deoxyTTX ([M+H]+ 304, 5), 4,9-anhydroTTX ([M+H]+ 302, 4), 11-norTTX-6(S)-ol and 11-norTTX-6(R)-ol ([M+H]+ 290, 3), and 5,6,11-trideoxyTTX ([M+H]+ 272, 2) were detected in N. didyma. The analogues 11-norTTX-6(S)-ol and 11-norTTX-6®-ol ([M+H]+ 290, 3) were found in N. didyma but not in N. semiplicatus. On the contrary, 4,9-anhydro-5,6,11-trideoxyTTX ([M+H]+ 254, 1) was found in N. semiplicatus but not in N. didyma.
Figure 8.
TTX analogues in N. didyma and N. semiplicatus with 4,9-anhydro-5,6,11-trideoxyTTX ([M+H]+ 254, 1), 5,6,11-trideoxyTTX ([M+H]+ 272, 2), 11-norTTX-6(S)-ol and 11-norTTX-6(R)-ol ([M+H]+ 290, 3), 4,9-anhydroTTX ([M+H]+ 302, 4), 5-deoxyTTX and 11-deoxyTTX ([M+H]+ 304, 5), 4-epiTTX ([M+H]+ 320, 6), and 11-oxoTTX ([M+H]+ 336, 7).
Relative potency (RP) was used for the toxicity evaluation of TTX and some of its analogues [9]. TTX has the highest toxicity among the analogues and its RP value was set at 1. The second most toxic analogue was 11-oxoTTX (7) and its RP value was 0.75. The RP values were less than 0.2 for the other analogues. As shown in Figure 8, the signal of 5-deoxyTTX/11-deoxyTTX (5) was about 10% compared with that of TTX in N. didyma. The signals of the other analogues were less than 1%. Considering the RP values, the toxicity of the analogues was less than 10% of TTX. The signal of 5,6,11-trideoxyTTX (2) was about 10% compared with that of TTX in N. semiplicatus. Both the signals of 5-deoxyTTX/11-deoxyTTX (5) and 11-oxoTTX (7) were about 5% of that of TTX. The total signals of the analogues were more than 20%. The toxicity of the analogues cannot be ignored in N. semiplicatus. It is necessary to conduct quantitative measurements of the analogues to evaluate their toxicity if the standard products are commercially available.
4. Conclusions
The established analytical method of TTX in gastropods by LC-MS/MS with MCX cartridge clean-up is simple and fast in operation. It is suitable for the determination of trace TTX in seafood and high concentrations in poisoning samples. The matrix suppression effects of TTX in samples can be compensated with the use of validamycin as the internal standard to ensure the accuracy of quantitative results. The contamination of TTX in N. didyma is firstly reported in this study. The results indicate that the high contamination of TTX in N. didyma was found from May to August. By studying the time distribution of TTX, it is inferred that the main source of TTX in N. didyma is from the accumulation of food chains (exogenous).
Author Contributions
Conceptualization, J.-L.H.; methodology, J.-L.H., L.Z., P.-P.Z. and J.-J.X.; validation, X.-M.X., J.-J.X. and X.-D.P.; formal analysis, J.-L.H. and L.Z.; investigation, J.-L.H., X.-M.X., P.-P.Z. and P.C.; resources, J.-L.H. and X.-M.X.; data curation, P.C.; writing—original draft preparation, J.-L.H. and L.Z.; writing—review and editing, L.Z., P.-P.Z., P.C. and X.-M.X.; supervision, X.-M.X. and P.C.; project administration, P.C. and X.-M.X.; funding acquisition, J.-L.H. and X.-M.X. All authors have read and agreed to the published version of the manuscript.
Funding
This work was supported by the Science Research Foundation of Zhejiang Provincial Medicine and Health Program (2021KY615).
Data Availability Statement
The data presented in this study are available on request from the corresponding author.
Conflicts of Interest
The authors declare no conflict of interest.
References
- Guardone, L.; Maneschi, A.; Meucci, V.; Gasperetti, L.; Nucera, D.; Armani, A. A global retrospective study on human cases of tetrodotoxin (TTX) poisoning after seafood consumption. Food Rev. Int. 2020, 36, 645–667. [Google Scholar] [CrossRef]
- Jen, H.C.; Lin, S.J.; Tsai, Y.H.; Chen, C.H.; Lin, Z.C.; Hwang, D.F. Tetrodotoxin poisoning evidenced by solid-phase extraction combining with liquid chromatography-tandem mass spectrometry. J. Chromatogr. B 2008, 871, 95–100. [Google Scholar] [CrossRef]
- McNabb, P.; Selwood, A.I.; Munday, R.; Wood, S.A.; Taylor, D.I.; MacKenzie, L.A.; van Ginkel, R.; Rhodes, L.L.; Cornelisen, C.; Heasman, K.; et al. Detection of tetrodotoxin from the grey side-gilled sea slug—Pleurobranchaea maculata, and associated dog neurotoxicosis on beaches adjacent to the Hauraki Gulf, Auckland, New Zealand. Toxicon 2010, 56, 466–473. [Google Scholar] [CrossRef]
- Rodriguez, P.; Alfonso, A.; Vale, C.; Alfonso, C.; Vale, P.; Tellez, A.; Botana, L.M. First toxicity report of tetrodotoxin and 5,6,11-trideoxyTTX in the trumpet shell Charonia lampas lampas in Europe. Anal. Chem. 2008, 80, 5622–5629. [Google Scholar] [CrossRef]
- Costa, P.R.; Giraldez, J.; Rodrigues, S.M.; Leao, J.M.; Pinto, E.; Solino, L.; Gago-Martinez, A. High levels of tetrodotoxin (TTX) in trumpet shell Charonia lampas from the Portuguese coast. Toxins 2021, 13, 250. [Google Scholar] [CrossRef]
- Katikou, P.; Gokbulut, C.; Kosker, A.R.; Campas, M.; Ozogul, F. An updated review of tetrodotoxin and its peculiarities. Mar. Drugs 2022, 20, 47. [Google Scholar] [CrossRef]
- Abal, P.; Louzao, M.C.; Antelo, A.; Alvarez, M.; Cagide, E.; Vilarino, N.; Vieytes, M.R.; Botana, L.M. Acute oral toxicity of tetrodotoxin in mice: Determination of lethal dose 50 (LD50) and no observed adverse effect level (NOAEL). Toxins 2017, 9, 75. [Google Scholar] [CrossRef]
- Lago, J.; Rodriguez, L.P.; Blanco, L.; Vieites, J.M.; Cabado, A.G. Tetrodotoxin, an extremely potent marine neurotoxin: Distribution, toxicity, origin and therapeutical uses. Mar. Drugs 2015, 13, 6384–6406. [Google Scholar] [CrossRef]
- EFSA Panel on Contaminants in the Food Chain; Knutsen, H.K.; Alexander, J.; Barregard, L.; Bignami, M.; Bruschweiler, B.; Ceccatelli, S.; Cottrill, B.; Dinovi, M.; Edler, L.; et al. Risks for public health related to the presence of tetrodotoxin (TTX) and TTX analogues in marine bivalves and gastropods. EFSA J. 2017, 15, e04752. [Google Scholar]
- Hu, C.; Zhang, Y.; Zhou, Y.; Xiang, Y.J.; Liu, Z.F.; Wang, Z.H.; Feng, X.S. Tetrodotoxin and its analogues in food: Recent updates on sample preparation and analytical methods since 2012. J. Agric. Food Chem. 2022, 70, 12249–12269. [Google Scholar] [CrossRef] [PubMed]
- Li, Y.; Xu, X.; Liu, L.; Kuang, H.; Xu, L.; Xu, C. A gold nanoparticle-based lateral flow immunosensor for ultrasensitive detection of tetrodotoxin. Analyst 2020, 145, 2143–2151. [Google Scholar] [CrossRef]
- Man, C.N.; Noor, N.M.; Harn, G.L.; Lajis, R.; Mohamad, S. Screening of tetrodotoxin in puffers using gas chromatography-mass spectrometry. J. Chromatogr. A 2010, 1217, 7455–7459. [Google Scholar] [CrossRef] [PubMed]
- Yasumoto, T.; Tooru, M. Fluorometric determination of tetrodotoxin by high performance liquid chromatography. Agric. Biol. Chem. 1985, 49, 3077–3080. [Google Scholar]
- Jen, H.C.; Lin, S.J.; Lin, S.Y.; Huang, Y.W.; Liao, I.C.; Arakawa, O.; Hwang, D.F. Occurrence of tetrodotoxin and paralytic shellfish poisons in a gastropod implicated in food poisoning in southern Taiwan. Food Addit. Contam. 2007, 24, 902–909. [Google Scholar] [CrossRef] [PubMed]
- Hort, V.; Arnich, N.; Guerin, T.; Lavison-Bompard, G.; Nicolas, M. First detection of tetrodotoxin in bivalves and gastropods from the French mainland coasts. Toxins 2020, 12, 599. [Google Scholar] [CrossRef] [PubMed]
- Bordin, P.; Dall’Ara, S.; Tartaglione, L.; Antonelli, P.; Calfapietra, A.; Varriale, F.; Guiatti, D.; Milandri, A.; Dell’Aversano, C.; Arcangeli, G.; et al. First occurrence of tetrodotoxins in bivalve mollusks from Northern Adriatic Sea (Italy). Food Control 2021, 120, 107510. [Google Scholar] [CrossRef]
- Turner, A.D.; Dhanji-Rapkova, M.; Fong, S.Y.T.; Hungerford, J.; McNabb, P.S.; Boundy, M.J.; Harwood, D.T. Ultrahigh-performance hydrophilic interaction liquid chromatography with tandem mass spectrometry method for the determination of paralytic shellfish toxins and tetrodotoxin in mussels, oysters, clams, cockles, and scallops: Collaborative study. J. AOAC Int. 2020, 103, 533–562. [Google Scholar] [CrossRef]
- Dhanji-Rapkova, M.; Turner, A.D.; Baker-Austin, C.; Huggett, J.F.; Ritchie, J.M. Distribution of tetrodotoxin in Pacific oysters (Crassostrea gigas). Mar. Drugs 2021, 19, 84. [Google Scholar] [CrossRef]
- Ye, H.; Xi, Y.; Tian, L.; Huang, D.; Huang, X.; Shen, X.; Cai, Y.; Wangs, Y. Simultaneous determination of tetrodotoxin in the fresh and heat-processed aquatic products by high-performance liquid chromatography-tandem mass spectrometry. Foods 2022, 11, 925. [Google Scholar] [CrossRef]
- Zhang, X.J.; Yan, Z.Y.; Wang, Y.; Jiang, T.; Wang, J.; Sun, X.M.; Guo, Y.M. Immunoaffinity chromatography purification and ultrahigh performance liquid chromatography tandem mass spectrometry determination of tetrodotoxin in marine organisms. J. Agric. Food Chem. 2015, 63, 3129–3134. [Google Scholar] [CrossRef]
- Coleman, R.; Lemire, S.W.; Bragg, W.; Garrett, A.; Ojeda-Torres, G.; Hamelin, E.; Johnson, R.C.; Thomas, J. Development and validation of a high-throughput online solid phase extraction—Liquid chromatography—Tandem mass spectrometry method for the detection of tetrodotoxin in human urine. Toxicon 2016, 119, 64–71. [Google Scholar] [CrossRef]
- Reverte, L.; Rambla-Alegre, M.; Leonardo, S.; Belles, C.; Campbell, K.; Elliott, C.T.; Gerssen, A.; Klijnstra, M.D.; Diogene, J.; Campas, M. Development and validation of a maleimide-based enzyme-linked immunosorbent assay for the detection of tetrodotoxin in oysters and mussels. Talanta 2018, 176, 659–666. [Google Scholar] [CrossRef]
- Xu, X.M.; Yu, X.W.; Lu, M.; Huang, B.F.; Ren, Y.P. Study of the matrix effects of tetrodotoxin and its content in cooked seafood by liquid chromatography with triple quadrupole mass spectrometry. J. Sep. Sci. 2015, 38, 3374–3382. [Google Scholar] [CrossRef] [PubMed]
- Xu, X.M.; Zhang, J.S.; Huang, B.F.; Han, J.L.; Chen, Q. Determination of ibotenic acid and muscimol in plasma by liquid chromatography-triple quadrupole mass spectrometry with bimolecular dansylation. J. Chromatogr. B 2020, 1146, 122128. [Google Scholar] [CrossRef]
- Han, C.; Zhang, X.; Li, L.; Chen, S.; Yan, Z.; Gao, X.; Chang, J. Analysis and evaluation of tetrodotoxin in coastal aquatic products of Zhejiang Province. J. Coastal Res. 2018, 83, 380–385. [Google Scholar] [CrossRef]
- Huang, H.N.; Lin, J.; Lin, H.L. Identification and quantification of tetrodotoxin in the marine gastropod Nassarius by LC-MS. Toxicon 2008, 51, 774–779. [Google Scholar] [CrossRef]
- Turner, A.D.; Boundy, M.J.; Rapkova, M.D. Development and single-laboratory validation of a liquid chromatography tandem mass spectrometry method for quantitation of tetrodotoxin in mussels and oysters. J. AOAC Int. 2017, 100, 1469–1482. [Google Scholar] [CrossRef] [PubMed]
- Xin, L.; Liang, Y.; Yang, S.; Jiang, F.; Yu, F.; Zhang, M.; Chang, W.; Wang, W.; Yu, C.; Liu, G.; et al. Simple and fast determination of tetrodotoxin in human plasma based on hydrophilic-interaction/ion-exchange mixed-mode solid phase extraction combined with liquid chromatography-tandem mass spectroscopy. J. Chromatogr. A 2022, 1684, 463567. [Google Scholar] [CrossRef]
- Tsujimura, K.; Yamanouchi, K. A rapid method for tetrodotoxin (TTX) determination by LC-MS/MS from small volumes of human serum, and confirmation of pufferfish poisoning by TTX monitoring. Food Addit. Contam. A 2015, 32, 977–983. [Google Scholar] [CrossRef] [PubMed]
- Cho, H.E.; Ahn, S.Y.; Son, I.S.; In, S.; Hong, R.S.; Kim, D.W.; Woo, S.H.; Moon, D.C.; Kim, S. Determination and validation of tetrodotoxin in human whole blood using hydrophilic interaction liquid chromatography-tandem mass spectroscopy and its application. Forensic Sci. Int. 2012, 217, 76–80. [Google Scholar] [CrossRef] [PubMed]
- Ochi, N. Simultaneous determination of ten paralytic shellfish toxins and tetrodotoxin in scallop and short-necked clam by ion-pair solid-phase extraction and hydrophilic interaction chromatography with tandem mass spectrometry. J. Chromatogr. A 2021, 1651, 462328. [Google Scholar] [CrossRef]
- Jang, J.H.; Lee, J.S.; Yotsu-Yamashita, M. LC/MS analysis of tetrodotoxin and its deoxy analogs in the marine puffer fish Fugu niphobles from the southern coast of Korea, and in the brackishwater puffer fishes Tetraodon nigroviridis and Tetraodon biocellatus from Southeast Asia. Mar. Drugs 2010, 8, 1049–1058. [Google Scholar] [CrossRef] [PubMed]
- Chen, X.W.; Liu, H.X.; Jin, Y.B.; Li, S.F.; Bi, X.; Chung, S.; Zhang, S.S.; Jiang, Y.Y. Separation, identification and quantification of tetrodotoxin and its analogs by LC-MS without calibration of individual analogs. Toxicon 2011, 57, 938–943. [Google Scholar] [CrossRef]
- Bane, V.; Hutchinson, S.; Sheehan, A.; Brosnan, B.; Barnes, P.; Lehane, M.; Furey, A. LC-MS/MS method for the determination of tetrodotoxin (TTX) on a triple quadruple mass spectrometer. Food Addit. Contam. Part A 2016, 33, 1728–1740. [Google Scholar] [CrossRef] [PubMed]
- Chen, L.; Qiu, J.; Tang, Y.; Xu, J.; Huang, S.; Liu, Y.; Ouyang, G. Rapid in vivo determination of tetrodotoxin in pufferfish (Fugu) muscle by solid-phase microextraction coupled to high-performance liquid chromatography tandem mass spectrometry. Talanta 2017, 171, 179–184. [Google Scholar] [CrossRef] [PubMed]
- Rey, V.; Botana, A.M.; Antelo, A.; Alvarez, M.; Botana, L.M. Rapid analysis of paralytic shellfish toxins and tetrodotoxins by liquid chromatography-tandem mass spectrometry using a porous graphitic carbon column. Food Chem. 2018, 269, 166–172. [Google Scholar] [CrossRef]
- Patria, F.P.; Pekar, H.; Zuberovic-Muratovic, A. Multi-Toxin quantitative analysis of paralytic shellfish toxins and tetrodotoxins in bivalve mollusks with ultra-performance hydrophilic interaction LC-MS/MS—An in-house validation study. Toxins 2020, 12, 452. [Google Scholar] [CrossRef]
- Biessy, L.; Boundy, M.J.; Smith, K.F.; Harwood, D.T.; Hawes, I.; Wood, S.A. Tetrodotoxin in marine bivalves and edible gastropods: A mini-review. Chemosphere 2019, 236, 124404. [Google Scholar] [CrossRef]
- Wang, X.J.; Yu, R.C.; Luo, X.; Zhou, M.J.; Lin, X.T. Toxin-screening and identification of bacteria isolated from highly toxic marine gastropod Nassarius semiplicatus. Toxicon 2008, 52, 55–61. [Google Scholar] [CrossRef]
- Luo, X.; Yu, R.C.; Wang, X.J.; Zhou, M.J. Toxin composition and toxicity dynamics of marine gastropod Nassarius spp. collected from Lianyungang, China. Food Addit. Contam. A 2012, 29, 117–127. [Google Scholar] [CrossRef]
Disclaimer/Publisher’s Note: The statements, opinions and data contained in all publications are solely those of the individual author(s) and contributor(s) and not of MDPI and/or the editor(s). MDPI and/or the editor(s) disclaim responsibility for any injury to people or property resulting from any ideas, methods, instructions or products referred to in the content. |
© 2023 by the authors. Licensee MDPI, Basel, Switzerland. This article is an open access article distributed under the terms and conditions of the Creative Commons Attribution (CC BY) license (https://creativecommons.org/licenses/by/4.0/).







