Abstract
Aquaculture is becoming a strategic sector for many national economies to supply the increasing demand for fish from consumers. Fish culture conditions and processing operations can lead to an increase in microbial contamination of farmed fish that may shorten the shelf-life of fish products and byproducts, and ready-to-eat fishery products. The objective of this study was to evaluate the hygienic-sanitary status of water, environment, and processing of fresh-farmed rainbow trout (Oncorhynchus mykiss) fillets produced in a local fish farm in Andalusia, Spain. To achieve this, a longitudinal study was carried out by collecting environmental (air and food-contact surfaces), water from fish ponds, and rainbow trout samples. Thereby, seven sampling visits were performed between February 2021 and July 2022, where foodborne pathogens and spoilage microorganisms, together with physicochemical parameters, were analysed in the collected samples. Further, microbial identification of microbiota was achieved through a culture-dependent technique using blast analysis of 16S RNA gene sequencing. The results showed that Listeria monocytogenes and Salmonella were not detected in the analysed samples. Regarding the hygienic-sanitary status of the fish farm, the slaughtering bath, the eviscerating machine and the outlet water from fish ponds presented the highest counts of coliforms, Enterobacteriaceae, and Aerobic Mesophilic Bacteria. Staphylococcus aureus and sulphite-reducing Clostridium were identified in the conveyor belts, fish flesh, and viscera. The 16S RNA identification confirmed the presence of viable spoilage bacteria such as Citrobacter gillenii, Macrococcus caseolyticus, Hafnia paralvei, Lactococcus lactis, Lactococcus cremoris, Klebsiella, Escherichia coli, Morganella morganii, and Shewanella. Three of these genera (Citrobacter, Hafnia, and Pseudomonas) were present in all types of samples analysed. The results evidenced potential transmission of microbial contamination from contaminated packaging belts and boxes, evisceration and filleting machines to flesh and viscera samples, thus the establishment of control measures should be implemented in fish farm facilities to extend the shelf-life of farmed fishery products.
Keywords:
spoilage microorganisms; fish farm; food contact surfaces; water; environment; viscera; flesh; aquaculture 1. Introduction
The increasing demand for fishery products makes aquaculture one strategic sector for the farming and commercialisation of aquaculture organisms such as fish, mollusks, crustaceans, and algae on the coast and inland, reducing pressure on wild fish populations. According to FAO, aquaculture contributes to the efficient use of natural resources, food safety, and development of the economy, with a limited and controlled impact on the environment [1]. In terms of nutritional benefits, rainbow trout is considered very heart-healthy and nutritious; it is a low-fatty oily fish (3%), with most of its fatty acids polyunsaturated, omega-3, and unsaturated, it is rich in vitamins B3, B6, B12, and D and minerals such as selenium and phosphorus [2].
In the European Union (EU) in 2019, aquaculture production increased to 1,141,290 t, of which 191,262 t corresponded to rainbow trout, which was the third species in production and the first in value. Moreover, Spain was the member state with the largest aquaculture production, with 308,033 t (27% of the EU) [3]. In 2021, aquaculture production increased by 19,276 t in Spain, but rainbow trout production decreased considerably with a total production of 15,357 t. Consumption per capita of aquatic products in the EU in 2019 was 24.1 kg/person, while only 6.27 kg per capita corresponded to aquaculture, 0.41 kg per person in the case of rainbow trout [1]. In Spain, 70% of the rainbow trout comes from inland production (168 inland farms), built on the banks of rivers and where the circulation by gravity of fresh water is used to renew and oxygenate the water and to avoid contamination or sediment [1], as is the case of the fish farm under study. Quality requirements of water intended to be used in fish farming factories should have a carrying capacity between 18 and 25 kg/m3, with a dissolved oxygen concentration between 7.5 and 12 ppm, temperature between 13 and 18 °C, pH between 6.5 and 8.5 with a minimum water height of 60–80 cm [4]. Furthermore, in the production ponds, trout should be classified by size to avoid cannibalism among them, and the water conduction system daily supervised to detect possible leaks or blockages in its passage, since the lack of water for a few minutes can cause high mortalities or predispose the fish to diseases [5].
Fish muscle tissue is usually free of microorganisms at the time of catching since bacteria are normally present on the skin, mucus, digestive tract, gills [6], and internal organs such as the kidney, liver, and spleen of healthy fish [7]. The composition of the natural microbiota and the presence of pathogens in fish are related to the production and feeding regimes, culture techniques, and water environmental conditions [6,8,9,10,11,12,13]. Poor general hygienic or environmental conditions may be associated with an increased risk of exposure to a pathogen [14,15] and/or reduced product shelf-life due to microbial spoilage [16]. These conditions can be evaluated by testing food hygiene indicator microorganisms such as aerobic mesophilic bacteria (AMB) as a general indicator of microbiological quality, and Enterobacteriaceae, coliforms, and Escherichia coli for the assessment of inadequate hygiene practices and enteric contamination [17,18,19,20,21]. In global terms, the microbial ecology of rainbow trout may include groups like lactic acid bacteria (LAB) with genera like Lactococcus [22] or Lactobacillus, and other genera like Bacillus. [23,24], isolated both from the gastrointestinal tract of salmonids [11,25] and salmon faeces [26]. They are recognised as spoilage bacterial species but can also have a bioprotective effect against fish pathogens [23]. Balcázar et al. [27] identified LAB strains such as Carnobacterium maltaromaticum, Lactobacillus curvatus, Lactobacillus sakei, Lactobacillus plantarum, Lactococcus lactis subsp. cremoris, Lactococcus lactis subsp. lactis, and Leuconostoc mesenteroides. Presence of pathogenic bacteria and/or spoilage microorganisms have been identified in rainbow trout, such as Escherichia coli, Clostridium botulinum, Aeromonas [23,28,29,30], Macrococcus [24], Enterobacter [23], Yersinia ruckeri [31], sulphite-reducing Clostridium (SRC), Pseudomonas, Photobacterium, Shewanella, Vibrio, together with some yeasts and molds [32,33,34], Salmonella [35] and Listeria monocytogenes [36] specifically in water and culture surfaces and in gills, skin and viscera of rainbow trout.
To avoid the spread of microbial contamination during the catching, transformation, storage, and distribution of fish farm rainbow trout, good hygienic practices must be followed together with storage at refrigerated conditions (<4 °C). This will prevent the fish meat from rapidly decomposing due to microbial activity and contribute to extending the shelf-life of trout fillets [4,28]. Since little information is available in the literature on the hygienic-sanitary status of fresh rainbow trout, it would be relevant to shed light on the distribution of bacterial groups and species and contamination routes during product transformation in fish farm factories. This study aimed to carry out a systematic environmental and product sampling to evaluate the microbial status of farmed rainbow trout (Oncorhynchus mykiss) produced in a freshwater continental fish farm in Andalusia (Spain). Further, a molecular identification of the main pathogenic and/or spoilage species was achieved to study the origin and potential routes of transmission/cross-contamination along the fish production chain. Finally, food safety implications in the finished products have been discussed. The results obtained will be useful for risk managers in order to establish adequate measures to mitigate microbial risks during the production of fresh-farmed rainbow trout and products thereof.
2. Materials and Methods
2.1. Sampling and Experimental Design
A longitudinal study was carried out in a freshwater continental fish farm factory located in southern Spain. A total of 154 samples obtained from seven visits, were collected during a 20-month period (April, October, November 2021, January, April, July, and November 2022), classified into four different categories: water (n = 28), environmental air samples (n = 42), food-contact surfaces (n = 63), flesh (n = 21) and viscera (n = 21) from processed rainbow trout fillets coming from multiple rearing groups. The seasonal variations between samplings have been considered a source of microbial variability since water quality parameters, as well as the microbiota composition of the rainbow trout, may be affected by temperature and sunlight changes. For the purposes of this study, “seasonality” refers to the period during which samples were collected. The main industrial operations and the specific sampling points are indicated in the flow diagram described in Figure 1.
Figure 1.
Flow diagram of the main industrial operations of fish-farmed rainbow trout. Collected samples of water, environmental air, surfaces, flesh, and viscera of rainbow trout are illustrated as follows. Water samples (blue circles)—1: Input water, 2: Output water, 3: Processing water, 4: Ice samples. Environmental samples (green circles)—5: Slaughtering area, 6: Gutting area, 7: Packaging area. Rainbow trout samples (yellow circles)—8: Rainbow trout viscera sample, 9: Rainbow trout flesh sample. Food-contact surfaces samples (red circles)—10: Slaughtering bath, 11: Washing belt, 12: Gutting machine, 13: Knife, 14: Worker hands, 15: Filleting machine, 16: Packaging belt, 17: Packaging box, 18: Packaged fillets belt.
At each sampling, water samples were taken at the input (n = 1) and the output locations (n = 1) of the trout farming ponds. In addition, the processing water sample (n = 1) and ice sample (n = 1) were taken from the transformation plant, as shown in Figure 1. For water sampling, sterile glass bottles with a volume of 1 L were used, while a sterile duchess was used for ice.
Additionally, environmental air samples (n = 6) were taken from three different areas (slaughtering area, gutting area, and packaging area), with the aid of an air sampler (SAS Super 100 Air Sampler, Bioscience 2 International®, Rockville, MD, USA), as indicated in Figure 1. was used. Samples were taken sequentially from the same sites throughout the sampling period and collected by the same person to control reproducibility and repeatability. A total air volume of 200 L was collected at each site for enumeration of total AMB and yeasts and molds, using plate count agar (PCA, Oxoid, UK) and rose-bengal chloramphenicol agar (RBCA, Oxoid, UK) plates.
Flesh (n = 3) and viscera (n = 3) samples of rainbow trout were taken at each sampling by using sample collection bags and sterile duchesses, respectively.
Surface samples (n = 9) were taken at the rainbow trout processing and transformation plant at each sampling, selecting rough and hard-to-access surfaces (where cleaning and disinfection procedures are most likely to be ineffective), equipment, utensils, and the hands of a worker (Figure 1). Surface samples (n = 9) were taken using a sterile sampling swab previously moistened with sterile 0.1% peptone water (Oxoid, UK). The area covered by the swab was approximately 100 cm2. Swabs were placed in 4 mL peptone-water tubes and stored at 4 °C prior to microbial analysis.
All samples were transported at refrigerated temperatures in thermal boxes with ice (<4 °C) to the laboratory and were analysed within 24 h from the reception.
2.2. Physicochemical Analysis
Physicochemical parameters measured in the water samples were pH, conductivity, salinity, and Total Dissolved Solids (TDS) using a multiparameter water quality meter (PCI Instruments, Southport, United Kingdom). Free chlorine was measured by using a chlorine photometer (Hanna Instruments®, Singapore). In product samples of rainbow trout (flesh and viscera), pH was measured by using a calibrated pHmeter equipment with an insertion electrode (Edge multiparameter, Hanna Instruments, Madrid, Spain). Water activity (aw) of the flesh samples was measured using a calibrated Aqualab equipment (AQUALAB Serie 4, MeterFood®, Pullman, WA, USA).
2.3. Microbial Analysis
The standards and methods for microbial analysis followed are shown in Table 1.
Table 1.
Description of the analytical methods used for microbiological analyses of the samples from the fish farm.
Water samples were microbiologically analysed for the determination of total AMB, LAB, total coliforms, Enterobacteriaceae, SRC, and L. monocytogenes. Results were expressed in CFU/mL.
Environmental air samples were microbiologically analysed for AMB, and yeasts and molds (YM) [47]. Results were adjusted from probable counts to colony-forming units per cubic meter (CFU/m3) of sampled air, following the air sampler instructions.
Surface samples were microbiologically analysed for AMB, Enterobacteriaceae, total coliforms, coagulase-positive Staphylococcus, and L. monocytogenes. Samples were cultured using a spiral plater (IUL Instruments, Spain) and incubated at the appropriate temperatures. Subsequently, counts were carried out with the help of an automatic colony counter (Flash & Go, IUL; Barcelona, Spain), expressing the results in CFU/cm2. Prior to analysis, all tubes containing sampled swabs were shaken to facilitate the release of microorganisms into the broth culture. For L. monocytogenes detection, the two-step enrichment method based on ISO 11290–1 [46] was carried out. Environmental swabs were enriched in 4 mL of half-Fraser broth (HF) for each tube. After 24 h incubation, 100 mL of HF enrichment was spread onto plates and likewise 1:10 in full-strength Fraser broth (FF) [48]. The final concentration of microorganisms was expressed as CFU/cm2.
Rainbow trout flesh and viscera samples were microbiologically analysed for AMB, YM [47], Enterobacteriaceae, Enterococcaceae, coagulase-positive Staphylococcus, LAB, psychrotrophic bacteria, Salmonella, SRC, and L. monocytogenes. For the analysis, flesh, and viscera samples were cut with a sterile scalpel under aseptic conditions. Next, 10 g of muscle and viscera were weighed in sterile stomacher bags (Seward®, Easting Close Worthing West Sussex, UK), 1:10 diluted with 90 mL of diluent using a gravimetric dilutor system (IUL Instruments®, Barcelona, Spain), and homogenised in a blender (IUL Instruments, Spain) for 60 s at 1500 rpm. The diluents used were peptone water (PW, Oxoid, UK) and Listeria fraser broth (Oxoid) (the latter for the analysis of L. monocytogenes). Samples were cultured using a spiral plater (IUL Instruments, Barcelona) and incubated at the appropriate temperatures (Table 1). After incubation, colonies grown on plates were enumerated using an automatic counter (Flash & Go, IUL; Barcelona, Spain) to finally express the results in CFU/g of the sample.
2.4. Isolation and Molecular Identification
Based on the results obtained for the microbial groups analysed, the different colonies with typical morphology of Enterobacteriaceae, coliforms, Enterococcus, LAB, SRC, coagulase-positive Staphylococcus, Salmonella, L. monocytogenes, and Aeromonas were randomly selected from water, food-contact surfaces, and rainbow trout samples (flesh and viscera). All colonies obtained with the characteristic morphology of each microorganism analysed were selected. Then, all colonies were purified on tryptone soy agar culture medium (TSA, Oxoid, UK) to proceed with their molecular identification.
The procedure for the molecular identification of the samples from the purified isolates included (i) the extraction of bacterial chromosomal DNA using a specific kit (InstaGene Matrix, Bio-Rad), and (ii) PCR amplification of the 16S RNA ribosomal gene using the My Taq DNA polymerase enzyme (Bioline) following the manufacturer’s recommendations. In brief, a reaction mixture was prepared with 5 µL of 5X Buffer, 1 µL of oligonucleotide 27F 5′AGAGTTTGATCMTGGCTCAG3′(10 mM), 1 µL of oligonucleotide 1492R 5′CGGTTACCTTGTTACGACTT3′ (10mM), 10 µL of template DNA, 7.8 µL of molecular water and 0.2 µL of the enzyme. DNA amplification was performed in a Mastercycler Pro S vapo.protect (Eppendorf) programmed as follows: 4 min at 94 °C; 25 cycles of 2 min at 94 °C, 2 min at 55 °C and 2 min at 72 °C; and 7 min at 72 °C. The amplification products were analysed by electrophoresis in 1% agarose gel, stained with ethidium bromide (20 min), and visualised under ultraviolet light. Subsequently, the PCR product was purified using the purification kit (NucleoSpin PCR clean-up, Macheryy-Nagel). Finally, Sanger sequencing was carried out with STAB VIDA (Caparica, Portugal) and BLAST analysis in the NCBI database to determine the most probable identities of the strains. Only sequence similarities above 97% were considered significant for bacterial identification at the species level.
2.5. Statistical Analysis
R Studio software (version 2022.07.2) was used for data analysis. Graphs were built using ggstatsplot and ggplot packages. To compare the microbial contamination levels among the different processing areas and seasons, a descriptive analysis (e.g., median, mean, standard deviation), ANOVA analysis, and Tukey’s Honest Significant Difference [HSD] test of the obtained microbiological data and physicochemical parameters were carried out. In addition, Pearson correlation coefficients (r) were calculated to establish potential relationships between environmental air, water, food contact surfaces (FCS), and product samples (p < 0.05).
3. Results and Discussion
3.1. Physicochemical Assessment
The results of the physicochemical analysis of the water samples are presented in Table 2. For the pH parameter, processing water and ice had a value between 6.5 and 9.5, in accordance with the Spanish Royal Decree 3/2023, of 10 January, which establishes the technical-sanitary criteria for the quality of drinking water, its control, and supply [49]. In addition, the results obtained for the input and output water samples presented a pH within the range of 6.5–7.42, the same values obtained by other authors in farmed water of underground origin [50].
Table 2.
Results of the physicochemical analysis (mean ± standard deviation obtained from the seven independent visits) of water and ice samples.
The pH results of the viscera samples analysed were 6.59 ± 0.30, while those of the flesh were 6.43 ± 0.19 and with an aw value of 0.982 ± 0.001, more than 0.05 units higher than that found for flesh by Zapata et al. [51] (5.84), although very similar to the results of Díaz-Villanueva et al. [52], with a pH value of 6.5 in rainbow trout flesh after slaughtering, and the results by del Torre et. al. [53] with a pH value for flesh of 6.45 ± 0.16.
3.2. Microbiological Assessment
3.2.1. Water Samples
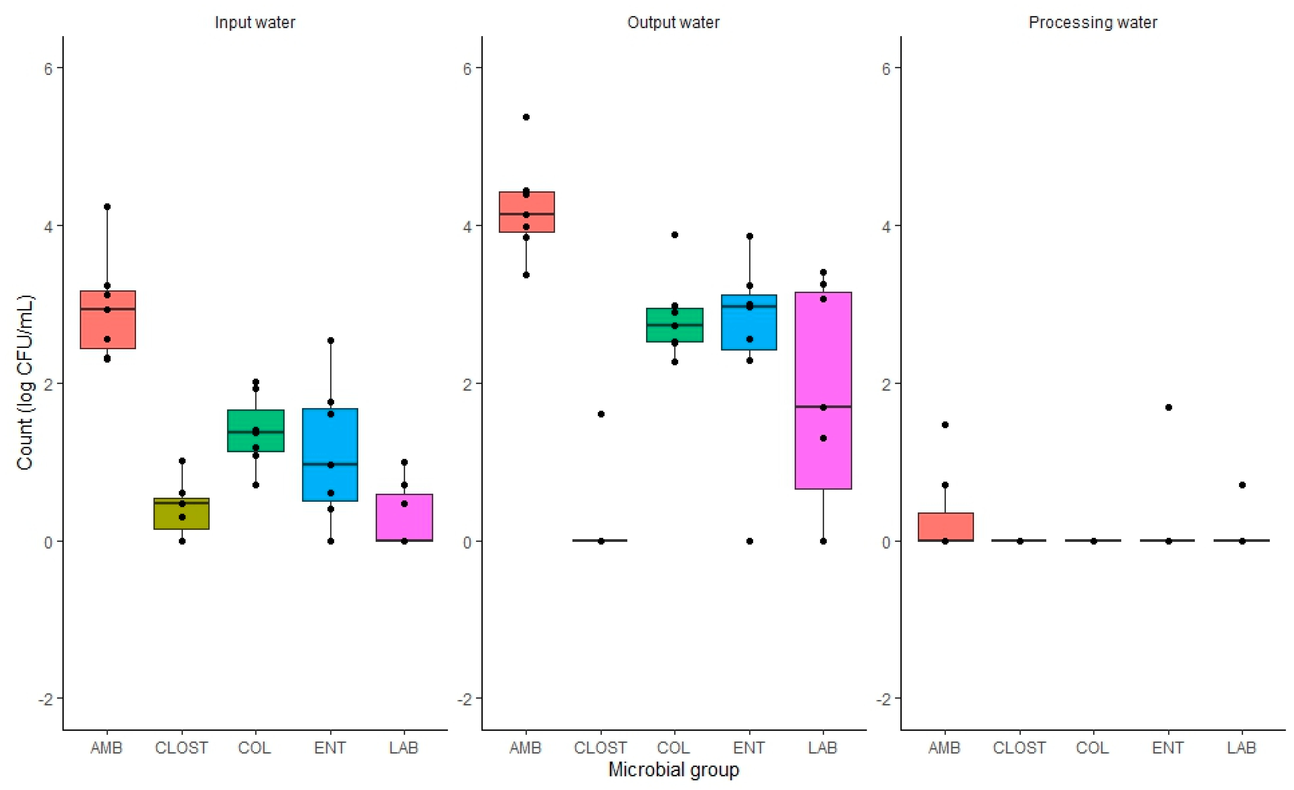
Results of the microbiological analysis of input and output water from the fish farm ponds and processing water are shown in Table S1 (Supplementary Material). Output water presented the highest microbial counts, finding significant differences (p < 0.05) with input and processing water in all the microbial groups analysed. Specifically, an increase of 1.27, 1.44, 1.51, and 1.45 log CFU/mL for AMB, Enterobacteriaceae, LAB, and total coliforms was found in output water with respect to input water. This result can be expected since output water usually carries faeces and food from the rainbow trout farm ponds. However, no significant differences in numbers were observed between input and processing water (p > 0.05).
Processing water presented the lowest counts for all analysed microbial groups as shown in Figure 2. This can be attributed to the microbial load of the rainbow trout, which was diluted by the washing process after slaughtering. Regarding the seasonal variations effect on the microbial loads (Table S2, Supplementary Material), there were no significant differences (p > 0.05) for any microorganism studied. According to the study of Grigoryan et al. [50], the bacteriological status of the water is directly related to the bacterial microbiota of the rainbow trout, constituting a source of contamination. Furthermore, the presence of coliforms in the fresh rainbow trout could indicate potential environmental contamination [54]. Finally, L. monocytogenes was not detected in any of the water samples analysed (limit of detection = 1 CFU/100 mL).
Figure 2.
Comparison of counts (log CFU/mL) of the microbial group’s aerobic mesophilic bacteria (AMB), sulphite-reducing Clostridium (SRC), total coliforms (COL), Enterobacteriaceae (ENT) and Lactic Acid Bacteria (LAB) studied in the input, output, and processing water samples. The detection limit has been set to 1 CFU/mL (0 log CFU/mL).
Bacterial Genus Presence in Water Samples
The water samples subjected to molecular identification corresponded to both input and output water, where the highest microbial counts were obtained. Isolation was carried out through the random selection and purification of 25–50 grown colonies of AMB, Enterobacteriaceae, total coliforms, LAB, and sulfite-reducing Clostridium-specific selective growth media. Colonies showing no growth and/or unpurified cultures were discarded for further identification. Out of the 26 isolates obtained, 76.92% of the identified species belonged to the order Enterobacterales, which were present in both input and output water samples. Species of the order Lactobacillales (11.54%) were detected in the output water, Pseudomonadales (7.69%) in both input and output water, and Bacillales (3.85%) exclusively in the output water (Figure 3).
Figure 3.
Frequency (%) of bacterial genus and orders identified in water samples.
Among the isolates of the Enterobacterales order, both Citrobacter and Hafnia were identified at a rate of 19.23% each. Notably, Citrobacter gillenii and Hafnia paralvei were the most frequently isolated species. The presence of Citrobacter has been associated with disease symptoms in farmed fish species, particularly in rainbow trout but also in other freshwater species [55,56]. They can be classified as faecal indicators, which suggests that their presence in water samples could be indicative of potential contamination [57]. Regarding Hafnia, there have been limited reports of detecting this genus in water samples [50]. However, it has been isolated from the intestinal microbiota of rainbow trout and is associated with various pathologies in farmed fish species [58]. Conversely, other studies have found that certain species of Hafnia are capable of producing bacteriocins, which inhibit the growth of pathogenic bacteria [59].
On the other hand, Pseudomonas aeruginosa has been isolated from the water samples in this study. P. aeruginosa is part of a large group of free-living bacteria that are ubiquitous in the environment and has been widely recognised as a potential pathogen for humans [60]. Prevalence cases have been reported where P. aeruginosa has been isolated in foods of animal origin, including fish products, and in vegetable foods and fruits [61,62,63,64]. Its detection in natural water environments, such as lakes, rivers, and ponds, appears to be primarily due to human presence and domestic activities [65,66,67]. Monitoring the microbial quality of water is essential to control the presence and spread of pathogens transmitted through contaminated water use in aquaculture farms. Additionally, the responsible use of antibiotics in fish farms and the surveillance of antibiotic susceptibility patterns are essential to prevent the rapid emergence of resistant strains of P. aeruginosa, which could pose a public health threat [50,68].
Lastly, Lactococcus garvieae was detected in 3.85% of the water samples, being found in the output water. This is an emerging pathogen in aquaculture, causing lactococcosis, a disease that results in significant economic losses. Moreover, it could be considered a potential foodborne pathogen for humans [69]. This species, as lactic acid bacteria, is a component of native microbiota in raw milk and derived products [70], and also, it is associated with the fermentation of fish products [71], although the disease is linked with the consumption of contaminated raw fish [72,73].
3.2.2. Air Samples
Results obtained for microbial air quality are shown in Table S3 (Supplementary Material). It can be seen that the air sampled in the gutting area presented a higher load of AMB compared to the slaughtering and packaging area, with a difference of 0.33 CFU/m3 (Figure 4). This could be associated with the evisceration area, where the viscera and intestines of the rainbow trout are removed, leading to an increase in the spread of microorganisms to the flesh of the fish. For molds and yeasts, the gutting area was the one with the highest counts observed, although no significant differences (p > 0.05) were observed with the slaughtering room (Figure 4). The packaging area presented slightly lower mean microbial counts in comparison to slaughtering or evisceration areas (Table S3, Supplementary Material).
Figure 4.
Comparison of log CFU/m3 counts for aerobic mesophilic bacteria (AMB) and molds and yeasts (MY) studied in the gutting, packaging, and slaughtering area. The detection limit was 1 CFU/m3 (0 log CFU/m3).
Regarding seasonal variations, there were no significant differences (p > 0.05) for AMB between the seasons of spring and summer (Table S4, Supplementary Material). Nevertheless, the greatest difference (p < 0.05) was shown between spring and winter, with a difference of 1.52 UFC/m3. For molds and yeasts, there were no significant differences (p > 0.05) between autumn and spring. However, between summer and winter, there were significant differences (p < 0.05), presenting the summer period with the highest microbial counts (1.64 UFC/m3). For both AMB and molds and yeasts, the effect of temperature increase during summer is reflected in higher microbial loads.
To study associations between variables, and thus, potential contamination routes, Pearson correlation coefficients (r) were calculated between the different sampled areas. Significant correlations were found (p < 0.05) between the slaughtering area and the gutting area, the slaughtering area and the packaging area, and between the gutting area and the packaging area for AMB (r = 0.972, r = 0.987 and r = 0.937, respectively) and molds and yeasts (r = 0.757, r = 0.838 and r = 0.939, respectively).
These results showed that environmental air contributed to the transfer of microbial contamination in the rainbow trout processing area. For this reason, air control should be considered in the Hazard Analysis and Critical Control Points (HACCP) systems of food processing plants [74].
3.2.3. Food-Contact Surfaces (FCS) Samples
The FCS sampling locations shown in Figure 1 were selected based on the risk of being potential sources of contamination during rainbow trout processing.
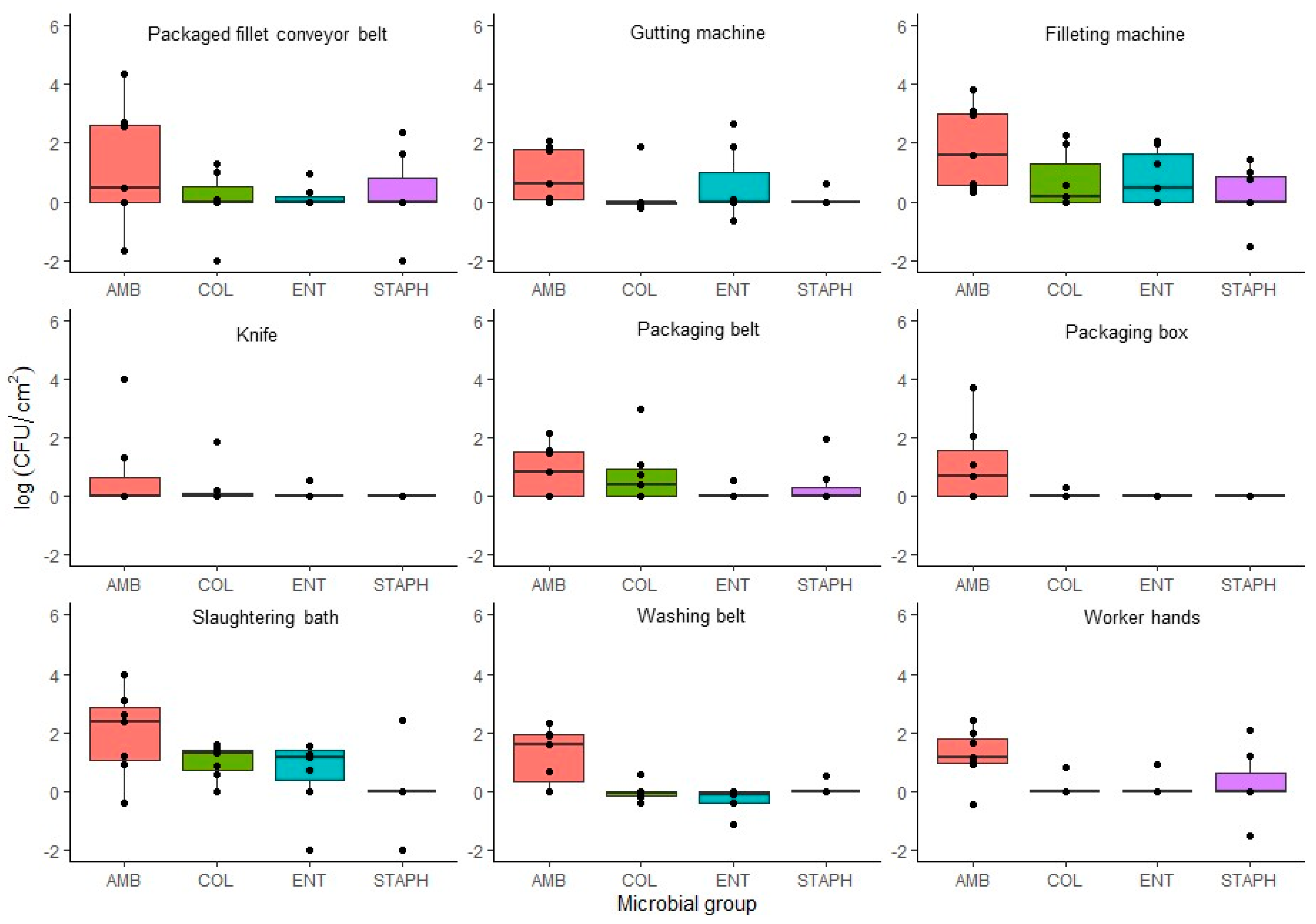
Results of the microbiological analysis of the FCS are shown in Table S5 (Supplementary Material). The FCS that presented the highest levels of contamination for the case of AMB, coliforms, and Enterobacteriaceae were the slaughtering bath and the evisceration machine, with levels of 1.89 ± 0.09 CFU/cm2, 0.86 ± 0.21 CFU/cm2, and 0.72 ± 0.16 CFU/cm2, respectively). However, in the case of coagulase-positive Staphylococcus, the most contaminated FCS were the evisceration machine, worker hands, packaging belt, and packaged fillet belt (0.30 ± 0.07 CFU/cm2) as shown in Figure 5.
Figure 5.
Comparison of counts (log CFU/cm2) for the microbial groups: aerobic mesophilic bacteria (AMB), coliforms (COL), Enterobacteriaceae (ENT), and coagulase-positive Staphylococcus (STAPH), studied in the food-contact surfaces studied. The detection limit has been set to 1 CFU/100 cm2 (−2 log CFU/mL).
The high AMB counts in the slaughtering bath could be due to the high microbial load of the output water as well as the microorganisms present on the rainbow trout skin. According to Figure 5 and Table S5 (Supplementary Material), the gutting machine was the FCS that presented the highest counts of Enterobacteriaceae and coagulase-positive Staphylococcus, possibly explained by the intestinal contents and viscera, with regular presence of Enterobacteriaceae. However, the presence of S. aureus may be also due to contamination through handlers. In this respect, positive results were obtained from samples taken from a worker’s hands (Table S5, Supplementary Material) just after being washed and disinfected. In addition, coagulase-positive Staphylococcus counts increased slightly throughout the processing chain, being higher in the FCS of the final stages such as the packaging belt and the packaged fillet belt. On the contrary, knives were the least contaminated surface by AMB despite samples having been collected immediately after cleaning and disinfection.
The effect of seasonal variations on microbial counts in FCS is represented in Table S6 (Supplementary Material). It can be seen that, for AMB, total coliforms, and Enterobacteriaceae, the highest counts were obtained in the visits of autumn, while for coagulase-positive Staphylococcus, the highest counts occurred in summer. However, there were no significant differences (p > 0.05) between seasons. The correlations found between the different FCS analysed are shown in Table 3. In general, the microbiological analysis of FCS in the fish farm revealed that the slaughtering bath and the evisceration machine were the FCS that presented higher counts of AMB, coliforms, and Enterobacteriaceae, although at relatively low counts. This could be an indicator that cleaning and disinfection procedures are carried out correctly in the rainbow trout processing plant. Regarding the correlations found between the FCS analysed, the highest correlations for AMB were found in packaging belts and packaging boxes with evisceration and filleting machines, respectively. Contamination of Enterobacteriaceae and total coliforms found in knives were significantly correlated with high counts in packaging belts and filleting machines. Finally, in the case of coagulase-positive Staphylococcus, slaughtering, and evisceration were the most critical areas for the transmission of this contamination.
Table 3.
Significant correlations between the different FCS analysed (p < 0.05).
According to the results obtained, although the hygienic-sanitary conditions of the analysed FCS were adequate, it is necessary to optimize the cleaning and disinfection procedures to reduce the risk of FCS contamination in aquaculture fishery processing plants.
Bacterial Genus Presence in Food-Contact Surfaces
Regarding samples from food-contact surfaces, a total of 25–50 grown colonies were randomly selected from AMB, Enterobacteriaceae, total coliforms, and CPS-specific selective growth media. Most of the isolates corresponded to the slaughtering bath, evisceration machine, and filleting machine, where the highest microbial counts were obtained. Out of the 35 isolates identified, 54.29% belonged to the order Enterobacterales, with Hafnia and Citrobacter, being the most frequent species, (20.00% and 11.43%, respectively) (Figure 6), as previously shown with the identifications obtained in the water samples. This result highlights a potential contamination route from water to the processing line.
Figure 6.
Frequency (%) of bacterial genus and orders identified in surface samples.
Subsequently, the order Bacillales represented 28.57% of the isolates, with Staphylococcus being the most representative genus (14.29%). Less frequently, strains of Brevibacterium, Pseudomonas, and Shewanella were identified (5.71% each). Enterobacteriaceae were present in all sampled surfaces except on the workers’ hands, where Staphylococcus warneri was identified. S. aureus were found in the evisceration machine, packaging belt, and packaged fillets belt. Pseudomonas was only isolated in the evisceration machine. The presence of Staphylococcus in food occurs frequently due to inappropriate manipulation of food by carriers of this microorganism [75]. S. aureus, which has been isolated from abiotic surfaces in this study, should be considered for its biofilm-forming capability on surfaces in the food industry, together with its known antimicrobial resistance properties [76]. Clearly, this factor is a serious problem in the food industry due to its impact on human health [77].
3.3. Rainbow Trout Samples
The microbiological results obtained from the analysis of flesh and viscera samples of rainbow trout are presented in Table 4. Overall, there were no significant differences between microbial counts found in viscera and flesh samples (p > 0.05). Further, neither Listeria nor Salmonella were detected in the analysed flesh and viscera samples.
Table 4.
Mean, standard deviation (S.D.), and 95% confidence intervals (log CFU/g) for aerobic mesophilic bacteria, psychrotrophic bacteria, molds and yeasts, lactic acid bacteria, Enterococcus, coagulase-positive Staphylococcus, Clostridium, Enterobacteriaceae counts in product samples (flesh and viscera).
For the spoilage bacteria, microbial counts indicated that good aquaculture practices were followed, as most of them fell within acceptable ranges. Other studies conducted on rainbow trout have shown higher counts for the total microbiota in the intestines of adult animals, ranging between 5 and 7 log CFU/g [24], and in other fish species such as seabass, seabream, or farmed mullet (6.29, 6.14, and 6.89 log CFU/g, respectively) [78] than the average counts found in our study for flesh (3.22 log CFU/g) and viscera (3.97 log CFU/g). Psychrotrophic bacteria counts were below the established limit of 6 log CFU/g for refrigerated fishery products [79,80]. Previous works reported higher average levels (5.81–6.15 log CFU/g) in flesh and viscera from other fish species such as seabass and seabream (Boulares, 2011) [78]. LAB, generally considered favorable due to their ability to antagonize bacterial pathogens, are frequently identified as part of the gut microbiota in fish [81]. Average LAB counts in viscera (2.98 log CFU/g) and in flesh samples (2.70 log CFU/g) were below those found by Araújo (2015) [23], who obtained values above 3 log CFU/g in the intestines of adult trouts. In the study carried out by Hagi et al. [82] the composition and seasonality of intestinal LAB in freshwater cultured fish were analysed; LAB numbers varied depending on water temperature, ranging from approximately 6 log CFU/g in summer to 5 log CFU/g in winter, concluding that temperature fluctuations are likely to result in shifts in the predominant LAB strains [83].
Counts of Staphylococcus were below 0.5 log CFU/g in the rainbow trout samples. Clostridium counts were below 1 log CFU/g. While not common, detection and isolation of Clostridium have been reported in farmed fish species [84].
The genus Aeromonas has been implicated in food poisoning and is ubiquitous, being found in soil, water, animals, and humans. This is a psychrotrophic species that is able to grow at refrigeration temperatures and has been isolated from wild rainbow trout [30]. In our study, counts of Aeromonadaceae in the flesh and viscera samples have been relatively high (nearly 4.5–5.5 log CFU/g), consistent with the results of Naviner et al. [85]. In that study, the seasonal variability effect on the intestinal microbiota of rainbow trout was examined, with particular attention to Aeromonas as a potential indicator of antimicrobial resistance (>5 log CFU/g). To mitigate economic losses, preventive measures are currently being implemented, such as the use of vaccines based on outer membrane proteins of Aeromonas species isolated from rainbow trout [86].
Bacterial Genus Presence in Rainbow Trout Samples
To proceed with the molecular identification of rainbow trout samples, 50–70 grown colonies were randomly isolated from AMB, psychrotrophic bacteria, moulds and yeasts, LAB, Enterobacteriaceae, Enterococcaceae, CPS, sulfite-reducing Clostridium and Aeromonadaceae specific selective growth media. A total of 37 isolates (20 from flesh and 17 from viscera) were selected for molecular identification. Most of them belonged to the order Enterobacterales (45.95%) (Figure 7), as previously described for water and food-contact surface samples. Within this order, Citrobacter was mostly identified (21.62% of the isolates).
Figure 7.
Frequency (%) of bacterial genus and orders identified in the product samples.
Identification results confirmed the presence of LAB species in the rainbow trout microbiota. The genus Lactococcus (27.03%) was only identified, belonging to the order Lactobacillales. Iorizzo et al. [87] studied the presence of LAB in the intestinal tract of wild Mediterranean trout, including Lactococcus lactis, which was also isolated in this study in the viscera. LAB plays an important role due to the production of antimicrobial substances, improvement of disease resistance, greater tolerance to oxidative stress, stimulation of the immune response, and increased nutrient availability. In contrast, Lactococcus garvieae, which has been isolated in the flesh samples in the present study, is the etiological agent of lactococcosis, an ichthyopathology that affects rainbow trout farming. Thus, it would be important to prevent and control the presence of L. garvieae in fish farming [69,88].
In the viscera of rainbow trout, the presence and dominance of enterobacteria, primarily from the Citrobacter genus followed by the Lactococcus genus, aligns with the findings of Araújo et. al. [23], in which Citrobacter and Lactococcus became predominant in the intestine.
There was a notable distinction between the genera isolated from flesh and viscera samples, which is significant in terms of food quality and safety. While various species of Lactococcus (L. lactis and L. cremoris) were isolated from viscera, comprising 47.06% of the isolates, Staphylococcus (S. warneri and S. hominis) were predominantly found in flesh, accounting for up to 25% of the isolates. S. warneri (25%) was primarily identified in the rainbow trout fillet samples. This species can be found as part of the epithelial microbiota of rainbow trout, and it is not a direct pathogen. It is a commensal microorganism with the potential to become indirect pathobionts, promoting the growth and colonisation of the host by other pathogens when changes in the skin microbiota occur, potentially leading to the occurrence of diseases [89].
3.4. Distribution of Bacterial Genus among Type of Samples
Venn diagram (Figure 8) illustrates that, although 57% of the identified genera are unique to each type of sample, there is a substantial percentage of bacterial genera (43%) present in both environmental and rainbow trout samples. As indicated in Table 5, it can be seen that Citrobacter, Hafnia, and Pseudomonas were isolated from all types of samples (water, food-contact surfaces, or rainbow trout samples). However, the results of the molecular identification of the selected isolates (98 isolates) from water, food contact surfaces, and rainbow trout samples (flesh and viscera) are reflected in Table S7 (Supplementary Material) in the function of visits to the industry. Therefore, it is crucial to maintain good hygienic conditions throughout the rainbow trout processing, as well as implement good manufacturing practices to preserve the health status of farmed fish.
Figure 8.
Venn diagram showing the relationship between the common bacterial groups in water, surfaces, and product samples.
Table 5.
Summary of bacterial genera shared between water samples, food contact surfaces, and rainbow trout.
4. Conclusions
This manuscript offers a comprehensive examination of the microbial status and potential contamination routes within the rainbow trout processing chain on the farm. The findings suggest that microbial transmission to the final product could have originated from various sources, including contaminated outlet water, as well as areas associated with slaughtering, gutting, and evisceration. While L. monocytogenes and Salmonella spp. were not detected in the analysed samples, other species such as Aeromonas spp., Staphylococcus spp., or Pseudomonas spp. were found in samples of contaminated water, food-contact surfaces, and trout.
In summary, the results indicate that the overall hygienic and sanitary conditions at the fish farm were deemed satisfactory. However, they underline the critical importance of monitoring both the physico-chemical and microbiological quality of rainbow trout production water, as well as the hygienic-sanitary conditions within the processing plant. These results serve as valuable clues for risk managers, highlighting the necessity of implementing targeted measures to safeguard the quality and safety of rainbow trout production, and ultimately ensuring consumer health and satisfaction.
Supplementary Materials
The following supporting information can be downloaded at: https://www.mdpi.com/article/10.3390/foods12203718/s1, Table S1: Mean, standard deviation (S.D.) and 95% confidence intervals (log CFU/mL) for aerobic mesophilic bacteria (AMB), Enterobacteriaceae, lactic acid bacteria (LAB), total coliforms and sulfite-reducing Clostridium (SRC) in the water samples analysed in the different processing areas; Table S2: Mean, standard deviation (S.D.) and 95% confidence intervals (log CFU/mL) for the aerobic mesophilic bacteria, Enterobacteriaceae, lactic acid bacteria, total coliforms, and sulphite-reducing Clostridium counts in water according to the seasonal variations; Table S3: Mean, standard deviation (S.D.) and 95% confidence intervals (CFU/m3) for the aerobic mesophilic bacteria and molds and yeasts counts in environmental air samples in the analysed processing areas; Table S4: Mean, standard deviation (S.D.) and 95% confidence intervals (CFU/m3) for the aerobic mesophilic bacteria and molds and yeasts counts in environmental air samples according to the seasonal variations; Table S5: Mean, standard deviation (S.D.) and 95% confidence intervals (log CFU/cm2) for the aerobic mesophilic bacteria, coliforms, Enterobacteriaceae, coagulase-positive Staphylococcus counts in food-contact surfaces samples in the analysed processing areas; Table S6: Mean, standard deviation (S.D.) and (95%) confidence intervals (log CFU/cm2) for the aerobic mesophilic bacteria, coliforms, Enterobacteriaceae, coagulase-positive Staphylococcus counts in FCS samples in the analysed processing areas according to the seasons of the year. Table S7: Molecular identification (16S rRNA gene PCR) of the 99 isolates selected based on visits to the industry (I–VII), category (water, food contact surfaces, and rainbow trout), and type of sample of each category.
Author Contributions
Conceptualization, S.M.S.H. and A.V.D.; methodology, S.M.S.H., J.S.-M., V.R.G., A.B.-C. and A.V.D.; software, S.M.S.H., A.B.-C. and A.V.D.; validation, S.M.S.H., E.C.J. and A.V.D.; formal analysis, S.M.S.H., E.C.J. and A.V.D.; investigation, S.M.S.H., J.S.-M., V.R.G., F.N.A.-L. and A.V.D.; resources, E.C.J., F.N.A.-L. and A.V.D.; data curation, S.M.S.H., E.C.J., A.B.-C. and A.V.D.; writing—original draft preparation, S.M.S.H. and V.R.G.; writing—review and editing, S.M.S.H., V.R.G., F.N.A.-L., E.C.J. and A.V.D.; visualization, S.M.S.H., J.S.-M., V.R.G., E.C.J. and A.V.D.; supervision, E.C.J. and A.V.D.; project administration, E.C.J., F.N.A.-L. and A.V.D.; funding acquisition, E.C.J. and A.V.D. All authors have read and agreed to the published version of the manuscript.
Funding
This research was funded by Ministry of Universities of Spain grant for University Teacher Training with number “FPU2020-01342”. The APC was funded by the Projects PROBIOFISH (P18 RT3177) (Junta de Andalucía, Spain) and ASEQURA (PID2019-108420RB-C31) (Ministry of Science and Innovation).
Data Availability Statement
The data used to support the findings of this study can be made available by the corresponding author upon request.
Acknowledgments
We appreciate the collaboration of an aquaculture fishing company located in Granada, Spain, for the provision of the samples.
Conflicts of Interest
The authors declare no conflict of interest. The funders had no role in the design of the study; in the collection, analyses, or interpretation of data; in the writing of the manuscript; or in the decision to publish the results.
References
- Spanish Aquaculture Producers Association (APROMAR-OPP30). Aquaculture in Spain 2021. Available online: https://apromar.es/wp-content/uploads/2021/12/La-Acuicultura-en-Espana-2021.pdf (accessed on 7 September 2023).
- Valero Gaspar, T.; Rodríguez Alonso, P.; Ruíz Moreno, E.; Ávila Torres, J.M.; Valera Moreiras, G. Rainbow trout (Oncorhynchus mykiss). In La Alimentación Española. Características Nutricionales de los Principales Alimentos de Nuestra Dieta, 2nd ed.; Ministerio de Agricultura, Pesca y Alimentación, Secretaría General Técnica, Centro de Publicaciones, Imprenta ROAL, S.L.: Madrid, Spain, 2018; pp. 519–520. ISBN 978-84-491-1506-6. Available online: https://www.fen.org.es/storage/app/media/imgPublicaciones/2018/libro-la-alimentacion-espanola.pdf (accessed on 6 October 2023).
- Spanish Aquaculture Producers Association (APROMAR-OPP30). Aquaculture in Spain 2022. 2022. Available online: https://apromar.es/wp-content/uploads/2022/10/Aquaculture-in-Spain-2022_APROMAR.pdf (accessed on 4 July 2023).
- Food and Agriculture Organization of the United Nations (F.A.O.). Practical Manual for Rainbow Trout Farming. 2014. Available online: http://www.fao.org/3/bc354s/bc354s.pdf (accessed on 7 September 2023).
- Barba Salcedo, R.; Martínez Pérez, J.M. La Acuicultura Continental en Andalucía; Consejería de Medio Ambiente de la Junta de Andalucía: Andalucía, Spain, 2010; ISBN 9788495785435. Available online: https://www.juntadeandalucia.es/medioambiente/consolidado/publicacionesdigitales/CA-220-4_LA_ACUICULTURA_CONTINENTAL_EN_ANDALUCIA/CA-220-4.htm (accessed on 6 October 2023).
- Roberts, T.A.; Cordier, J.L.; Gram, L.; Tompkin, R.B.; Pitt, J.I.; Gorris, L.G.M.; Swanson, K.M.J. Microorganisms in Foods 6: Microbial Ecology of Food Commodities, 2nd ed.; Springer: London, UK, 2005. [Google Scholar]
- Austin, B. The bacterial microflora of fish, revised. Sci. World J. 2006, 6, 931–945. [Google Scholar] [CrossRef] [PubMed]
- Ward, D.R. Microbiology of aquaculture products. Food Technol. 1989, 43, 82–85. [Google Scholar]
- Nedoluha, P.C.; Westhoff, D. Microbiological analysis of striped bass (Morone saxatilis) grown in flow-through tanks. J. Food Prot. 1995, 58, 1363–1368. [Google Scholar] [CrossRef] [PubMed]
- Gram, L.; Huss, H.H. Microbiological spoilage of fish and fish products. Int. J. Food Microbiol. 1996, 33, 121–137. [Google Scholar] [CrossRef] [PubMed]
- Wittwer, G. Caracterización Bacteriana de Intestino de Salmón del Atlántico Adulto. Bachelor’s Thesis, Universidad Austral de Chile, Valdivia, Chile, 2012; 94p. [Google Scholar]
- Painter, J.A.; Hoekstra, R.M.; Ayers, T.; Tauxe, R.V.; Braden, C.R.; Angulo, F.J.; Griffin, P.M. Attribution of foodborne illnesses, hospitalizations, and deaths to food commodities by using outbreak data, United States, 1998–2008. Emerg. Infect. Dis. 2013, 19, 407–415. [Google Scholar] [CrossRef]
- Svanevik, C.S.; Roiha, I.S.; Levsen, A.; Lunestad, B.T. Microbiological assessment along the fish production chain of the Norwegian pelagic fisheries sector—Results from a spot sampling programme. Food Microbiol. 2015, 51, 144–153. [Google Scholar] [CrossRef]
- Maji, U.; Mohanty, S.; Mahapatra, A.; Maiti, N. Diversity and probiotic potentials of putative lactic acid bacteria for application in freshwater aquaculture. Turk. J. Fish. Aquat. Sci. 2016, 16, 805–818. [Google Scholar] [CrossRef]
- Ghafir, Y.; China, B.; Dierick, K.; De Zutter, L.; Daube, G. Hygiene indicator microorganisms for selected pathogens on beef, pork, and poultry meats in Belgium. J. Food Prot. 2008, 71, 35–45. [Google Scholar] [CrossRef]
- Tortorello, M.L. Indicator organisms for safety and quality-uses and methods for detection: Minireview. J. AOAC Int. 2003, 86, 1208–1217. Available online: https://www.scopus.com/record/display.uri?eid=2-s2.0-1342329968&origin=inward&txGid=1a8a73e7af604fc94f2b6ebc5991be77 (accessed on 6 October 2023). [CrossRef]
- Koutsoumanis, K.; Nychas, G.J.E. Application of a systematic experimental procedure to develop a microbial model for rapid fish shelf life predictions. Int. J. Food Microbiol. 2000, 60, 171–185. [Google Scholar] [CrossRef]
- Anihouvi, D.G.H.; Kpoclou, Y.E.; Abdel Massih, M.; Iko Afé, O.H.; Assogba, M.F.; Covo, M.; Scippo, M.L.; Hounhouigan, D.J.; Anihouvi, V.; Mahillon, J. Microbiological characteristics of smoked and smoked–dried fish processed in Benin. Food Sci. Nutr. 2019, 7, 1821–1827. [Google Scholar] [CrossRef] [PubMed]
- Eizenberga, I.; Terentjeva, M.; Valcina, O.; Novoslavskij, A.; Strazdina, V.; Ošmjana, J.; Bērziņš, A. Microbiological quality of raw fish at retail market in Latvia. Nordic View to Sustainable Rural Development. In Proceedings of the 25th NJF Congress, Riga, Latvia, 16–18 June 2015; Volume 1, pp. 324–328. [Google Scholar]
- Papadopoulou, C.; Economou, E.; Zakas, G.; Salamoura, C.; Dontorou, C.; Apostolou, J. Microbiological and pathogenic contaminants of seafood in Greece. J. Food Qual. 2007, 30, 28–42. [Google Scholar] [CrossRef]
- Smoot, L.M.; Pierson, M.D. Indicator microorganisms and microbiological criteria. In Food Microbiology: Fundamentals and Frontiers; ASM Press: Washington, DC, USA, 1997; pp. 66–80. [Google Scholar]
- Popovic, N.T.; Skukan, A.B.; Dzidara, P.; Coz-Rakovac, R.; Strunjak-Perovic, I.; Kozacinski, L.; Jadan, M.; Brlek-Gorski, D. Microbiological quality of marketed fresh and frozen seafood caught off the Adriatic coast of Croatia. Vet. Med. 2010, 55, 233–241. [Google Scholar] [CrossRef]
- Araújo, C.; Muñoz, E.; Nahuelquína, Y.; Poeta, P.; Igrejas, G.; Hernández, P.; Herranz, C.; Cintas, L. Inhibition of fish pathogens by the microbiota from rainbow trout (Oncorhynchus mykiss, Walbaum) and rearing environment. Anaerobe 2015, 32, 7–14. [Google Scholar] [CrossRef]
- Muthukumar, P.; Kandeepan, C. Isolation, identification and characterization of probiotic organisms from intestine of fresh water fishes. Int. J. Curr. Microbiol. Appl. Sci. 2015, 4, 607–616. [Google Scholar]
- Quispe, W.; Mantilla, B.; Ccama, A.; Ortega, Y.; Sandoval, N. Aislamiento de bacterias nativas de Oncorhynchus mykiss con potencial probiótico frente a Yersinia ruckeri. Rev. Investig. Vet. Perú 2020, 31, e19024. [Google Scholar] [CrossRef]
- Henríquez, C.P. Caracterización de Propiedades Probióticas de Microorganismos del Tracto Digestivo de Salmónidos. Master’s Thesis, Universidad de Chile, Santiago de Chile, Chile, 2013; 43p. [Google Scholar]
- Balcázar, J.L.; Blas, I.; Ruiz-Zarzuela, I.; Vendrell, D.; Gironés, O.; Múzquiz, L. Sequencing of variable regions of the 16S rRNA gene for identification of lactic acid bacteria isolated from the intestinal microbiota of healthy salmonids. Comp. Immunol. Microbiol. Infect. Dis. 2007, 30, 111–118. [Google Scholar] [CrossRef] [PubMed]
- Pullela, S.; Fernandes, C.F.; Flick, G.J.; Libey, G.S.; Smith, S.A.; Coale, C.W. Indicative and pathogenic microbiological quality of aquaculture finfish grown in different production systems. J. Food Prot. 1998, 61, 205–210. [Google Scholar] [CrossRef] [PubMed]
- Pond, M.J.; Stone, D.M.; Alderman, D.J. Comparison of conventional and molecular techniques to investigate the intestinal microflora of rainbow trout (Oncorhynchus mykiss). Aquaculture 2006, 261, 194–203. [Google Scholar] [CrossRef]
- Reyes-Rodríguez, N.E.; Salgado-Miranda, C.; Flores-Valle, I.T.; González-Gómez, M.; Soriano-Vargas, E.; Peláez-Acero, A.; Vega-Sánchez, V. Molecular identification and virulence potential of the genus Aeromonas isolated from wild rainbow trout (Oncorhynchus mykiss) in Mexico. J. Food Prot. 2019, 82, 1706–1713. [Google Scholar] [CrossRef]
- Flores Durán, K. Determinación de la Diversidad Fenotípica de Yersinia ruckeri en Aislados de Truchas Arcoíris (Oncorhynchus mykiss) de Cultivo de las Regiones de Junín, Ancash y Huancavelica. Ph.D. Thesis, Universidad Nacional Mayor de San Marcos, Lima, Perú, 2013. [Google Scholar]
- Ghaly, A.E.; Dave, D.; Budge, S.; Brooks, M.S. Fish spoilage mechanisms and preservation techniques. Am. J. Appl. Sci. 2010, 7, 859–877. [Google Scholar] [CrossRef]
- Koutsoumanis, K. Predictive modeling of the shelf life of fish under nonisothermal conditions. Appl. Environ. Microbiol. 2001, 67, 1821–1829. [Google Scholar] [CrossRef] [PubMed]
- Tryfinopoulou, P.; Tsakalidou, E.; Nychas, G.J. Characterization of Pseudomonas spp. associated with spoilage of gilt-head sea bream stored under various conditions. Appl. Environ. Microbiol. 2002, 68, 65–72. [Google Scholar] [CrossRef]
- Antunes, P.; Campos, J.; Mourão, J.; Pereira, J.; Novais, C.; Peixe, L. Inflow water is a major source of trout farming contamination with Salmonella and multidrug resistant bacteria. Sci. Total Environ. 2018, 642, 1163–1171. [Google Scholar] [CrossRef]
- Miettinen, H.; Wirtanen, G. Prevalence and location of Listeria monocytogenes in farmed rainbow trout. Int. J. Food Microbiol. 2005, 104, 135–143. [Google Scholar] [CrossRef]
- ISO 4833-1:2013; Microbiology of the Food Chain—Horizontal Method for the Enumeration of Microorganisms—Part 1: Colony Count at 30 °C by the Pour Plate Technique. Food Microbiology, 1st ed. International Organization for Standardization: Geneva, Switzerland, 2013; pp. 1–9.
- ISO 6888-1:2021; Microbiology of the Food Chain—Horizontal Method for the Enumeration of Coagulase-Positive Staphylococci (Staphylococcus aureus and Other Species)—Part 1: Method Using Baird-Parker Agar Medium. Food Microbiology, 2nd ed. International Organization for Standardization: Geneva, Switzerland, 2021; pp. 1–20.
- ISO 15214:1998; Microbiology of Food and Animal Feeding Stuffs—Horizontal Method for the Enumeration of Mesophilic Lactic Acid Bacteria—Colony-Count Technique at 30 °C. Food Microbiology, 1st ed. International Organization for Standardization: Geneva, Switzerland, 1998; pp. 1–7.
- ISO 21527-1:2008; Microbiology of Food and Animal Feeding Stuffs—Horizontal Method for the Enumeration of Yeasts and Moulds—Part 1: Colony Count Technique in Products with Water Activity Greater than 0.95. Food Microbiology, 1st ed. International Organization for Standardization: Geneva, Switzerland, 2008; pp. 1–8.
- ISO 4832:2006; Microbiology of Food and Animal Feeding Stuffs—Horizontal Method for the Enumeration of Coliforms—Colony-Count Technique. Food Microbiology, 3rd ed. International Organization for Standardization: Geneva, Switzerland, 2006; pp. 1–6.
- ISO 21528-2:2017; Microbiology of the Food Chain—Horizontal Method for the Detection and Enumeration of Enterobacteriaceae—Part 2: Colony-Count Technique. Food Microbiology, 2nd ed. International Organization for Standardization: Geneva, Switzerland, 2018; pp. 1–15.
- ISO 15213-1:2023; Microbiology of the Food Chain—Horizontal Method for the Detection and Enumeration of Clostridium spp.—Part 1: Enumeration of Sulfite-Reducing Clostridium spp. by Colony-Count Technique. Food Microbiology, 1st ed. International Organization for Standardization: Geneva, Switzerland, 2023; pp. 1–21.
- ISO 17410:2019; Microbiology of the Food Chain—Horizontal Method for the Enumeration of Psychrotrophic Microorganisms. Food Microbiology, 2nd ed. International Organization for Standardization: Geneva, Switzerland, 2019; pp. 1–10.
- ISO 6579-1:2017; Microbiology of the Food Chain—Horizontal Method for the Detection, Enumeration and Serotyping of Salmonella—Part 1: Detection of Salmonella spp. Food Microbiology, 1st ed. International Organization for Standardization: Geneva, Switzerland, 2017; pp. 1–50.
- ISO 11290-1:2017; Microbiology of the Food Chain—Horizontal Method for the Detection and Enumeration of Listeria monocytogenes and of Listeria spp.—Part 1: Detection Method. Food Microbiology, 2nd ed. International Organization for Standardization: Geneva, Switzerland, 2017; pp. 1–36.
- Al Dagal, M.; Mo, O.; Fung, D.Y.C.; Kastner, C.A. Case study of the influence of microbial quality of air on product shelf life in a meat processing plant. Dairy Food Environ. Sanitat. 1992, 12, 69–70. [Google Scholar]
- Bonilla-Luque, O.M.; Possas, A.; López Cabo, M.; Rodríguez-López, P.; Valero, A. Tracking microbial quality, safety and environmental contamination sources in artisanal goat cheesemaking factories. Food Microbiol. 2023, 114, 104301. [Google Scholar] [CrossRef]
- Royal Decree 3/2023, of January 10, Which Establishes the Technical-Sanitary Criteria for the Quality of Drinking Water, Its Control and Supply. Available online: https://www.boe.es/eli/es/rd/2023/01/10/3/con (accessed on 6 October 2023).
- Grigoryan, K.; Badalyan, G.; Sargsyan, M.; Harutyunyan, A. Assessment of microbiological safety of ground water used in rainbow trout farms. LWT—Food Sci. Technol. 2014, 58, 360–363. [Google Scholar] [CrossRef]
- Zapata, J.E.; Moya, M.; Figueroa, O.A. Hidrólisis enzimática de la proteína de vísceras de trucha arcoíris (Oncorhynchus mykiss). Efecto del tipo de enzima, temperatura, pH y velocidad de agitación. Inf. Tecnol. 2019, 30, 63–72. [Google Scholar] [CrossRef]
- Díaz-Villanueva, J.; Robotham, H. Comparación de dos métodos de sacrificio en trucha arcoíris (Oncorhynchus mykiss). Lat. Am. J. Aquat. Res. 2015, 43, 287–294. [Google Scholar] [CrossRef]
- Del Torre, M.; Carraro, L.; Cardazzo, B.; Fasolato, L.; Betancourt-Barszcz, G.K.; Polese, P.; Stecchini, M.L. Changes of bacterial communities of rainbow trout (Oncorhynchus mykiss) at different processing steps in the production of burgers and their storage life enhancement by an acetate-based preservative. Food Control 2023, 154, 109949. [Google Scholar] [CrossRef]
- Cohen, J.; Shuval, H.I. Coliforms, fecal coliforms, and fecal streptococci as indicators of water pollution. Water Air Soil Pollut. 1973, 2, 85–95. [Google Scholar] [CrossRef]
- Duman, M.; Saticioglu, I.B.; Buyukekiz, A.G.; Balta, F.; Altun, S. Molecular characterization and antimicrobial resistance profile of atypical Citrobacter gillenii and Citrobacter sp. isolated from diseased rainbow trout (Oncorhynchus mykiss). J. Glob. Antimicrob. Resist. 2017, 10, 136–142. [Google Scholar] [CrossRef] [PubMed]
- Sun, H.Y.; Cao, X.H.; Jiang, Y.F.; Ni, L.Y.; Mo, Z.Q.; Qin, Q.W.; Li, Y.W. Outbreak of a novel disease associated with Citrobacter freundii infection in freshwater cultured stingray, Potamotrygon motoro. Aquaculture 2018, 492, 35–39. [Google Scholar] [CrossRef]
- Gerba, C.P. Indicator microorganisms. Environ. Microbiol. 2009, C23, 485–499. [Google Scholar] [CrossRef]
- Gelev, I.; Gelev, E.; Steigerwalt, A.G.; Carter, G.P.; Brenner, D.J. Identification of the bacterium associated with haemorrhagic septicaemia in rainbow trout as Hafnia alvei. Res. Microbiol. 1990, 141, 573–576. [Google Scholar] [CrossRef]
- Ramos Vivas, J.; Tapia, O.; Elexpuru-Zabaleta, M.; Tutusaus Pifarre, K.; Armas Diaz, Y.; Battino, M.; Giampieri, F. The molecular weaponry produced by the bacterium Hafnia alvei in foods. Molecules 2022, 27, 5585. [Google Scholar] [CrossRef]
- Mena, K.D.; Gerba, C.P. Risk assessment of Pseudomonas aeruginosa in water. Rev. Environ. Contam. Toxicol. 2009, 201, 71–115. [Google Scholar] [CrossRef]
- Viswanathan, P.; Kaur, R. Prevalence and growth of pathogens on salad vegetables, fruits and sprouts. Int. J. Hyg. Environ. Health 2001, 203, 205–213. [Google Scholar] [CrossRef]
- Aman, M.; Aneeqha, N.; Bristi, K.; Deeksha, J.; Afza, N.; Sindhuja, V.; Shastry, R.P. Lactic acid bacteria inhibits quorum sensig and biofilm formation of Pseudomonas aeruginosa strain JUPG01 isolated from rancid butter. Biocatal. Agric. Biotechnol. 2021, 36, 102115. [Google Scholar] [CrossRef]
- Hashemi, S.; Anvar, S.; Rahimi, E.; Ahari, H.; Ataee, M. Molecular investigation of prevalence, phenotypic and genotypic diversity, antibiotic resistance, frequency of virulence genes and genome sequencing in Pseudomonas aeruginosa strains isolated from lobster. Int. J. Food Microbiol. 2022, 382, 109901. [Google Scholar] [CrossRef]
- Wu, X.; Yang, L.; Wu, Y.; Li, H.; Shao, B. Spread of multidrug-resistant Pseudomonas aeruginosa in animal-derived foods in Beijing, China. Int. J. Food Microbiol. 2023, 403, 110296. [Google Scholar] [CrossRef] [PubMed]
- Aoi, Y.; Nakata, H.; Kida, H. Isolation of Pseudomonas aeruginosa from Ushubetsu River water in Hokkaido, Japan. Jpn. J. Vet. Res. 2000, 48, 29–34. [Google Scholar] [CrossRef]
- Suzuki, Y.; Kajii, S.; Nishiyama, M.; Iguchi, A. Susceptibility of Pseudomonas aeruginosa isolates collected from river water in Japan to antipseudomonal agents. Sci. Total Environ. 2013, 450–451, 148–154. [Google Scholar] [CrossRef] [PubMed]
- Nasreen, M.; Sarker, A.; Malek, M.A.; Ansaruzzaman, M.D.; Rahman, M. Prevalence and resistance pattern of Pseudomonas aeruginosa isolated from surface water. Adv. Microbiol. 2015, 5, 74–81. [Google Scholar] [CrossRef]
- Toh, S.C.; Lihan, S.; Soh, K.M.; Uyub, N.; Chai, L.C.; Müller, M. Screening and characterization of two strains of Pseudomonas aeruginosa from aquaculture and water environment. Malays. J. Microbiol. 2018, 14, 329–334. [Google Scholar] [CrossRef]
- Feito, J.; Araújo, C.; Gómez-Sala, B.; Contente, D.; Campanero, C.; Arbulu, S.; Saralegui, C.; Peña, N.; Muñoz-Atienza, E.; Borrero, J.; et al. Antimicrobial activity, molecular typing and in vitro safety assessment of Lactococcus garvieae isolates from healthy cultured rainbow trout (Oncorhynchus mykiss; Walbaum) and rearing environment. LWT 2022, 162, 113496. [Google Scholar] [CrossRef]
- Delgado, S.; Rachid, C.; Fernández, E.; Rychlik, T.; Alegría, A.; Peixoto, R.S.; Mayo, B. Diversity of thermophilic bacteria in raw, pasteurized and selectively-cultured milk, as assessed by culturing, PCR-DGGE and pyrosequencing. Food Microbiol. 2013, 36, 103–111. [Google Scholar] [CrossRef]
- Kopermsub, P.; Yunchalard, S. Identification of lactic acid bacteria associated with the production of plaa-som, a traditional fermented fish product of Thailand. Int. J. Food Microbiol. 2010, 138, 200–204. [Google Scholar] [CrossRef]
- Gibello, A.; Galán-Sánchez, F.; Blanco, M.M.; Rodríguez-Iglesias, M.; Domínguez, L.; Fernández-Garayzábal, J.F. The zoonotic potential of Lactococcus garvieae: An overview on microbiology, epidemiology, virulence factors and relationship with its presence in foods. Res. Vet. Sci. 2016, 109, 59–70. [Google Scholar] [CrossRef]
- Chan, J.F.W.; Woo, P.C.Y.; Teng, J.L.L.; Lau, S.K.P.; Leung, S.S.M.; Tam, F.C.C.; Yuen, K.Y. Primary infective spondylodiscitis caused by Lactococcus garvieae and a review of human L. garvieae infections. J. Infect. 2011, 39, 259–264. [Google Scholar] [CrossRef] [PubMed]
- Masotti, F.; Cattaneo, S.; Stuknytė, M.; De Noni, I. Airborne contamination in the food industry: An update on monitoring and disinfection techniques of air. Trends Food Sci. 2019, 90, 147–156. [Google Scholar] [CrossRef]
- Hatakka, M.; Björkroth, K.J.; Asplund, K.N.; Korkeala, H.J. Genotypes and enterotoxicity of Staphylococcus aureus isolated from the hands and nasal cavities of flight-catering employees. J. Food Prot. 2000, 63, 1487–1491. [Google Scholar] [CrossRef] [PubMed]
- Alonso, P.P.V.; Queiroz, M.M.; Gualberto, L.M.; Nascimento, S.M. Klebsiella pneumonia carbapenemase (KPC), methicillin-resistant Staphylococcus aureus (MRSA), and vancomycin-resistant Enterococcus spp. (VRE) in the food production chain and biofilm formation on abiotic surfaces. Curr. Opin. Food Sci. 2019, 26, 79–86. [Google Scholar] [CrossRef]
- Cha, Y.; Son, B.; Ryu, S. Effective removal of staphylococcal biofilms on various food contact surfaces by Staphylococcus aureus phage endolysin LysCSA13. Food Microbiol. 2019, 84, 103245. [Google Scholar] [CrossRef]
- Boulares, M.; Mejri, L.; Hassouna, M. Research note study of the microbial ecology of wild and aquacultured tunisian fresh fish. J. Food Prot. 2011, 74, 1762–1768. [Google Scholar] [CrossRef]
- Broekaert, K.; Heyndrickx, M.; Herman, L.; Devlieghere, F.; Vlaemynck, G. Seafood quality analysis: Molecular identification of dominant microbiota after ice storage on several general growth media. Food Microbiol. 2011, 28, 1162–1169. [Google Scholar] [CrossRef]
- ICMSF. International Commission on Microbiological Specifications for Foods. Preventing abuse of foods after processing. In Micro-Organisms in Foods 6; Springer: Boston, MA, USA, 1998; pp. 577–597. [Google Scholar]
- Merrifield, D.L.; Balcázar, J.L.; Daniels, C.; Zhou, Z.; Carnevali, O.; Sun, Y.-Z.; Hoseinifar, S.H.; Ringø, E. Indigenous lactic acid bacteria in fish and crustaceans. In Aquaculture Nutrition; Merrifield, D., Ringø, E., Eds.; John Wiley & Sons, Ltd.: Hoboken, NJ, USA, 2014. [Google Scholar] [CrossRef]
- Hagi, T.; Tanaka, D.; Iwamura, Y.; Hoshino, T. Diversity and seasonal changes in lactic acid bacteria in the intestinal tract of cultured freshwater fish. Aquaculture 2004, 234, 335–346. [Google Scholar] [CrossRef]
- Possas, A.; Valero, A.; Pérez-Rodríguez, F. New software solutions for microbiological food safety assessment and management. Curr. Opin. Food Sci. 2022, 44, 100814. [Google Scholar] [CrossRef]
- Lalitha, K.V.; Gopakumar, K. Distribution and ecology of Clostridium botulinum in fish and aquatic environments of a tropical region. Food Microbiol. 2000, 17, 535–541. [Google Scholar] [CrossRef]
- Naviner, M.; Giraud, E.; Le Bris, H.; Armand, F.; Mangion, C.; Ganière, J.P. Seasonal variability of intestinal microbiota in rainbow trout (Oncorhynchus mykiss), with a particular attention to Aeromonas spp. as candidate indicator of antimicrobial resistance. Revue Méd. Vét. 2006, 157, 599–604. [Google Scholar]
- Diao, J.; Li, L.; Fan, Y.; Wang, S.; Gai, C.; Wang, Y.; Yu, X.; Wang, X.; Xu, L.; Liu, H.; et al. Recombinant outer membrane protein C of Aeromonas salmonicida subsp. masoucida, a potential vaccine candidate for rainbow trout (Oncorhynchus mykiss). Microb. Pathog. 2020, 145, 104211. [Google Scholar] [CrossRef] [PubMed]
- Iorizzo, M.; Albanese, G.; Testa, B.; Ianiro, M.; Letizia, F.; Succi, M.; Tremonte, P.; D’Andrea, M.; Iaffaldano, N.; Coppola, R. Presence of lactic acid bacteria in the intestinal tract of the mediterranean trout (Salmo macrostigma) in its natural environment. Life 2021, 11, 667. [Google Scholar] [CrossRef]
- Soltani, M.; Naeiji, N.; Zargar, A.; Shohreh, P.; Taherimirghaed, A. Biotyping and serotyping of Lactococcus garvieae isolates in affected farmed rainbow trout (Oncorhynchus mykiss) in north Iran. Iran. J. Fish. Sci. 2021, 20, 1542–1559. [Google Scholar] [CrossRef]
- Musharrafieh, R.; Tacchi, L.; Trujeque, J.; LaPatra, S.; Salinas, I. Staphylococcus warneri, a resident skin commensal of rainbow trout (Oncorhynchus mykiss) with pathobiont characteristics. Vet. Microbiol. 2014, 169, 80–88. [Google Scholar] [CrossRef] [PubMed]
Disclaimer/Publisher’s Note: The statements, opinions and data contained in all publications are solely those of the individual author(s) and contributor(s) and not of MDPI and/or the editor(s). MDPI and/or the editor(s) disclaim responsibility for any injury to people or property resulting from any ideas, methods, instructions or products referred to in the content. |
© 2023 by the authors. Licensee MDPI, Basel, Switzerland. This article is an open access article distributed under the terms and conditions of the Creative Commons Attribution (CC BY) license (https://creativecommons.org/licenses/by/4.0/).







