Citrus Peel Extracts: Effective Inhibitors of Heterocyclic Amines and Advanced Glycation End Products in Grilled Pork Meat Patties
Abstract
:1. Introduction
2. Materials and Methods
2.1. Reagents and Chemicals
2.2. Preparation of Citrus Peel Extracts
2.3. Determination of Total Phenolic Content (TPC)
2.4. Determination of Total Flavonoid Content (TFC)
2.5. Antioxidant Activity of Citrus Peel Extracts
2.6. Pork Meat Preparation and Cooking
2.7. Qualitative and Quantitative Extraction and Determination of HAs
2.8. Determination of AGEs
2.9. Protein and Lipid Oxidation of the Grilled Meat Patties
2.10. Identification of Free Radicals in Fried Meatballs
2.11. Quality Analysis of Grilled Meat Patties
2.12. Identification of Phenolic Compounds Using UPLC-PDA-QTOF-MS
2.13. Statistical Analysis
3. Results and Discussion
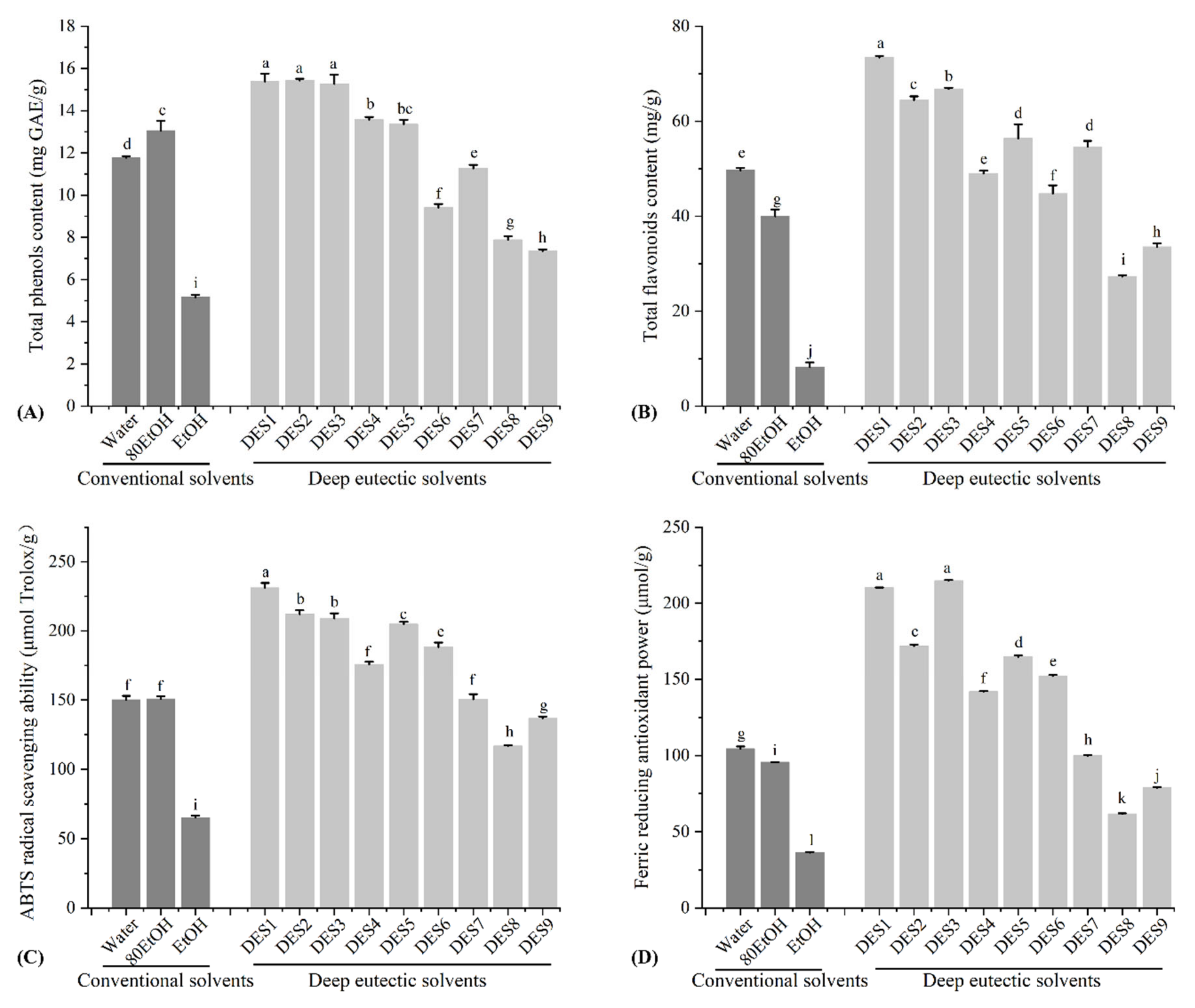
3.1. TPC and TFC of Citrus Peel Extracts
3.2. Antioxidant Activities of Citrus Peel Extract
3.3. Effects of Citrus Peel Extract on the Production of HAs in Meat Patties
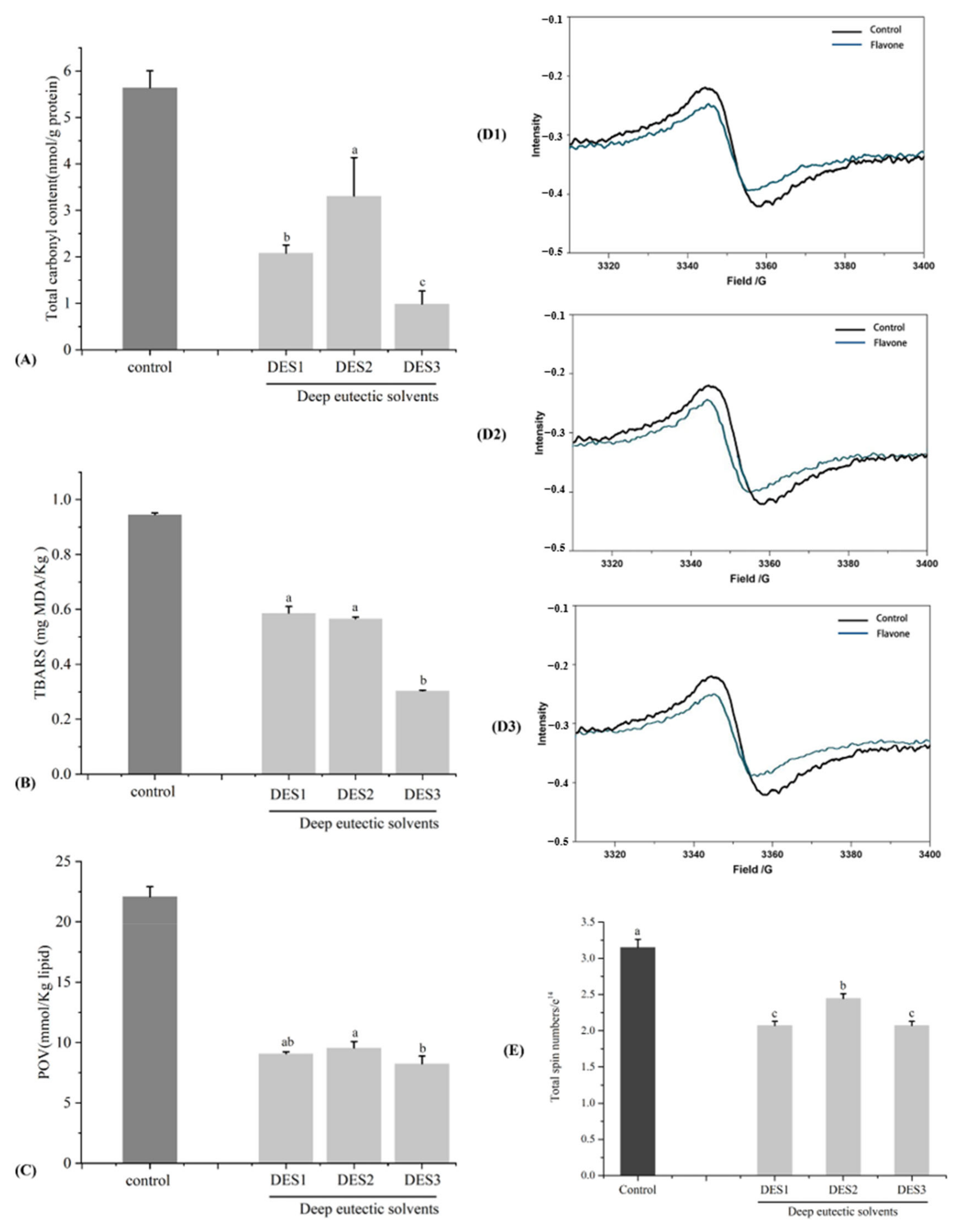
3.4. Effects of Citrus Peel Extract on the Formation of AGEs in Pork Meat Patties
3.5. Effects of Citrus Peel Extract on Protein and Lipid Peroxidation
3.6. Proximate and Texture Profile Analysis after Roasting
3.7. UHPLC–ESI-QTOF–MS Analysis of Citrus Peel Extract
4. Conclusions
Author Contributions
Funding
Institutional Review Board Statement
Informed Consent Statement
Data Availability Statement
Conflicts of Interest
References
- Nadeem, H.R.; Akhtar, S.; Ismail, T.; Sestili, P.; Lorenzo, J.M.; Ranjha, M.M.A.N.; Jooste, L.; Hano, C.; Aadil, R.M. Heterocyclic aromatic amines in meat: Formation, isolation, risk assessment, and inhibitory effect of plant extracts. Foods 2021, 10, 1466. [Google Scholar] [CrossRef] [PubMed]
- Adeyeye, S.A.O.; Ashaolu, T.J. Heterocyclic amine formation and mitigation in processed meat and meat products: A Mini-Review. J. Food Prot. 2021, 84, 1868–1877. [Google Scholar] [CrossRef] [PubMed]
- Quan, W.; Lin, Y.; Xue, C.; Cheng, Y.; Luo, J.; Lou, A.; Zeng, M.; He, Z.; Shen, Q.; Chen, J. Metabolic perturbations and health impact from exposure to a combination of multiple harmful Maillard reaction products on Sprague-Dawley rats. Food Funct. 2022, 13, 5515–5527. [Google Scholar] [CrossRef] [PubMed]
- Barzegar, F.; Kamankesh, M.; Mohammadi, A. Heterocyclic aromatic amines in cooked food: A review on formation, health risk-toxicology and their analytical techniques. Food Chem. 2019, 280, 240–254. [Google Scholar] [CrossRef] [PubMed]
- Wei, Q.; Liu, T.; Sun, D.W. Advanced glycation end-products (AGEs) in foods and their detecting techniques and methods: A review. Trends Food Sci. Technol. 2018, 82, 32–45. [Google Scholar] [CrossRef]
- Quan, W.; Jiao, Y.; Li, Y.; Xue, C.; Liu, G.; Wang, Z.; Qin, F.; He, Z.; Zeng, M.; Chen, J. Metabolic changes from exposure to harmful Maillard reaction products and high-fat diet on Sprague-Dawley rats. Food Res. Int. 2021, 141, 110129. [Google Scholar] [CrossRef]
- Gibis, M. Heterocyclic aromatic amines in cooked meat products: Causes, formation, occurrence, and risk assessment. Compr. Rev. Food Sci. Food Saf. 2016, 15, 269–302. [Google Scholar] [CrossRef]
- Uribarri, J.; del Castillo, M.D.; de la Maza, M.P.; Filip, R.; Gugliucci, A.; Luevano-Contreras, C.; Macías-Cervantes, M.H.; Markowicz Bastos, D.H.; Medrano, A.; Menini, T. Dietary advanced glycation end products and their role in health and disease. Adv. Nutr. 2015, 6, 461–473. [Google Scholar] [CrossRef]
- Quan, W.; Jiao, Y.; Xue, C.; Li, Y.; Liu, G.; He, Z.; Qin, F.; Zeng, M.; Chen, J. The effect of exogenous free N ε-(carboxymethyl) lysine on diabetic-model Goto-Kakizaki rats: Metabolomics analysis in serum and urine. J. Agric. Food Chem. 2021, 69, 783–793. [Google Scholar] [CrossRef]
- Ye, M.; Qi, X.; Ren, X.; Quan, W.; Xu, H.; Zeng, M.; Chen, J.; Li, M. Absorption and transport of myofibrillar protein-bound Nɛ-(carboxymethyl) lysine in Caco-2 cells after simulated gastrointestinal digestion. Food Res. Int. 2022, 161, 111870. [Google Scholar] [CrossRef]
- Xu, Y.; Jiao, Y.; Luo, J.; He, Z.; Zeng, M.; Shen, Q.; Chen, J.; Quan, W. The Influence of Deep Eutectic Solvents Extract from Ginger on the Formation of Heterocyclic Amines and Advanced Glycation End Products in Roast Beef Patties. Foods 2022, 11, 3161. [Google Scholar] [CrossRef] [PubMed]
- Jia, W.; Guo, A.; Zhang, R.; Shi, L. Mechanism of natural antioxidants regulating advanced glycosylation end products of Maillard reaction. Food Chem. 2022, 404, 134541. [Google Scholar] [CrossRef] [PubMed]
- Alaejos, M.S.; Afonso, A.M. Factors that affect the content of heterocyclic aromatic amines in foods. Compr. Rev. Food Sci. Food Saf. 2011, 10, 52–108. [Google Scholar] [CrossRef]
- Han, Z.; Zhu, M.; Wan, X.; Zhai, X.; Ho, C.T.; Zhang, L. Food polyphenols and Maillard reaction: Regulation effect and chemical mechanism. Crit. Rev. Food Sci. Nutr. 2022, 1–17. [Google Scholar] [CrossRef] [PubMed]
- Xue, C.; Deng, P.; Quan, W.; Li, Y.; He, Z.; Qin, F.; Wang, Z.; Chen, J.; Zeng, M. Ginger and curcumin can inhibit heterocyclic amines and advanced glycation end products in roast beef patties by quenching free radicals as revealed by electron paramagnetic resonance. Food Control 2022, 138, 109038. [Google Scholar] [CrossRef]
- Xue, C.; He, Z.; Qin, F.; Chen, J.; Zeng, M. Effects of amides from pungent spices on the free and protein-bound heterocyclic amine profiles of roast beef patties by UPLC–MS/MS and multivariate statistical analysis. Food Res. Int. 2020, 135, 109299. [Google Scholar] [CrossRef] [PubMed]
- Zeng, M.; Wang, J.; Zhang, M.; Chen, J.; He, Z.; Qin, F.; Xu, Z.; Cao, D.; Chen, J. Inhibitory effects of Sichuan pepper (Zanthoxylum bungeanum) and sanshoamide extract on heterocyclic amine formation in grilled ground beef patties. Food Chem. 2018, 239, 111–118. [Google Scholar] [CrossRef]
- Albuquerque, B.R.; Heleno, S.A.; Oliveira, M.B.P.; Barros, L.; Ferreira, I.C. Phenolic compounds: Current industrial applications, limitations and future challenges. Food Funct. 2021, 12, 14–29. [Google Scholar] [CrossRef]
- Zhang, X.; Chen, F.; Wang, M. Antioxidant and antiglycation activity of selected dietary polyphenols in a cookie model. J. Agric. Food Chem. 2014, 62, 1643–1648. [Google Scholar] [CrossRef]
- Liu, N.; Li, X.; Zhao, P.; Zhang, X.; Qiao, O.; Huang, L.; Guo, L.; Gao, W. A review of chemical constituents and health-promoting effects of citrus peels. Food Chem. 2021, 365, 130585. [Google Scholar] [CrossRef]
- Gómez-Mejía, E.; Rosales-Conrado, N.; León-González, M.E.; Madrid, Y. Citrus peels waste as a source of value-added compounds: Extraction and quantification of bioactive polyphenols. Food Chem. 2019, 295, 289–299. [Google Scholar] [CrossRef] [PubMed]
- Carullo, G.; Ramunno, A.; Sommella, E.M.; De Luca, M.; Belsito, E.L.; Frattaruolo, L.; Brindisi, M.; Campiglia, P.; Cappello, A.R.; Aiello, F. Ultrasound-assisted extraction, chemical characterization, and impact on cell viability of food wastes derived from southern Italy autochthonous citrus fruits. Antioxidants 2022, 11, 285. [Google Scholar] [CrossRef] [PubMed]
- Zhang, J.Y.; Zhang, Q.; Zhang, H.X.; Ma, Q.; Lu, J.Q.; Qiao, Y.J. Characterization of polymethoxylated flavonoids (PMFs) in the peels of ‘Shatangju’mandarin (Citrus reticulata Blanco) by online high-performance liquid chromatography coupled to photodiode array detection and electrospray tandem mass spectrometry. J. Agric. Food Chem. 2012, 60, 9023–9034. [Google Scholar] [CrossRef] [PubMed]
- Avilés-Betanzos, K.A.; Cauich-Rodríguez, J.V.; González-Ávila, M.; Scampicchio, M.; Morozova, K.; Ramírez-Sucre, M.O.; Rodríguez-Buenfil, I.M. Natural Deep Eutectic Solvent Optimization to Obtain an Extract Rich in Polyphenols from Capsicum chinense Leaves Using an Ultrasonic Probe. Processes 2023, 11, 1729. [Google Scholar] [CrossRef]
- Bajkacz, S.; Adamek, J. Development of a method based on natural deep eutectic solvents for extraction of flavonoids from food samples. Food Anal. Methods 2018, 11, 1330–1344. [Google Scholar] [CrossRef]
- Huang, R.; Wu, W.; Shen, S.; Fan, J.; Chang, Y.; Chen, S.; Ye, X. Evaluation of colorimetric methods for quantification of citrus flavonoids to avoid misuse. Anal. Methods 2018, 10, 2575–2587. [Google Scholar] [CrossRef]
- Kim, G.N.; Shin, M.-R.; Shin, S.H.; Lee, A.R.; Lee, J.Y.; Seo, B.-I.; Kim, M.Y.; Kim, T.H.; Noh, J.S.; Rhee, M.H. Study of antiobesity effect through inhibition of pancreatic lipase activity of Diospyros kaki fruit and Citrus unshiu peel. BioMed Res. Int. 2016, 2016, 1723042. [Google Scholar] [CrossRef]
- Quan, W.; Tao, Y.; Qie, X.; Zeng, M.; Qin, F.; Chen, J.; He, Z. Effects of high-pressure homogenization, thermal processing, and milk matrix on the in vitro bioaccessibility of phenolic compounds in pomelo and kiwi juices. J. Funct. Foods 2020, 64, 103633. [Google Scholar] [CrossRef]
- Quan, W.; Xu, Y.; Xie, Y.; Peng, F.; Lin, Y. In Vitro Antioxidant Properties and Phenolic Profile of Acid Aqueous Ethanol Extracts from Torreya grandis Seed Coat. Molecules 2022, 27, 5560. [Google Scholar] [CrossRef]
- Qie, X.; Chen, Y.; Quan, W.; Wang, Z.; Zeng, M.; Qin, F.; Chen, J.; He, Z. Analysis of β-lactoglobulin–epigallocatechin gallate interactions: The antioxidant capacity and effects of polyphenols under different heating conditions in polyphenolic–protein interactions. Food Funct. 2020, 11, 3867–3878. [Google Scholar] [CrossRef]
- Xue, C.; Quan, W.; Li, Y.; He, Z.; Qin, F.; Wang, Z.; Chen, J.; Zeng, M. Mitigative capacity of Kaempferia galanga L. and kaempferol on heterocyclic amines and advanced glycation end products in roasted beef patties and related mechanistic analysis by density functional theory. Food Chem. 2022, 385, 132660. [Google Scholar] [CrossRef] [PubMed]
- Du, H.; Huang, T.; Zeng, M.; Shen, Q.; Jiao, Y.; Quan, W. Inhibitory Effects of Some Hydrocolloids on the Formation of Advanced Glycation End Products and Heterocyclic Amines in Chemical Models and Grilled Beef Patties. Polymers 2023, 15, 3914. [Google Scholar] [CrossRef] [PubMed]
- Li, Y.; Xue, C.; Quan, W.; Qin, F.; Wang, Z.; He, Z.; Zeng, M.; Chen, J. Assessment the influence of salt and polyphosphate on protein oxidation and Nε-(carboxymethyl) lysine and Nε-(carboxyethyl) lysine formation in roasted beef patties. Meat Sci. 2021, 177, 108489. [Google Scholar] [CrossRef] [PubMed]
- Horwitz, W. (Ed.) Official Methods of Analysis of AOAC International. Volume I, Agricultural Chemicals, Contaminants, Drugs; AOAC International: Gaithersburg, MD, USA, 2010. [Google Scholar]
- Cannavacciuolo, C.; Pagliari, S.; Frigerio, J.; Giustra, C.M.; Labra, M.; Campone, L. Natural Deep Eutectic Solvents (NADESs) combined with sustainable extraction techniques: A review of the green chemistry approach in food analysis. Foods 2022, 12, 56. [Google Scholar] [CrossRef] [PubMed]
- Cui, H.; Yu, J.; Zhai, Y.; Feng, L.; Chen, P.; Hayat, K.; Xu, Y.; Zhang, X.; Ho, C.-T. Formation and fate of Amadori rearrangement products in Maillard reaction. Trends Food Sci. Technol. 2021, 115, 391–408. [Google Scholar] [CrossRef]
- Lund, M.N.; Ray, C.A. Control of Maillard reactions in foods: Strategies and chemical mechanisms. J. Agric. Food Chem. 2017, 65, 4537–4552. [Google Scholar] [CrossRef]
- Kenouche, S.; Sandoval-Yañez, C.; Martínez-Araya, J.I. The antioxidant capacity of myricetin. A molecular electrostatic potential analysis based on DFT calculations. Chem. Phys. Lett. 2022, 801, 139708. [Google Scholar] [CrossRef]
- Ke, Z.; Yang, Y.; Tan, S.; Zhou, Z. Characterization of polymethoxylated flavonoids in the peels of Chinese wild mandarin (Citrus reticulata Blanco) by UPLC-Q-TOF-MS/MS. Food Anal. Methods 2017, 10, 1328–1338. [Google Scholar] [CrossRef]



| Name of DES | Component 1 (HBA) | Component 2 (HBD) | Molar Ratio |
|---|---|---|---|
| DES1 | Choline chloride | Acetamide | 1:2 |
| DES2 | Choline chloride | Ethylene glycol | 1:2 |
| DES3 | Choline chloride | Carbamide | 1:2 |
| DES4 | Betaine | Acetamide | 1:2 |
| DES5 | Betaine | Ethylene glycol | 1:2 |
| DES6 | Betaine | Carbamide | 1:2 |
| DES7 | L-carnitine | Acetamide | 1:2 |
| DES8 | L-carnitine | Ethylene glycol | 1:2 |
| DES9 | L-carnitine | Carbamide | 1:2 |
| Free HAs (ng/g) | Control | DES1 | DES2 | DES3 |
|---|---|---|---|---|
| PhIP | 1.99 ± 0.42 a | 0.97 ± 0.04 (51.3%) b | 1.01 ± 0.07 (49.2%) b | 0.63 ± 0.07 (68.3%) c |
| MeIQx | 1.73 ± 0.28 a | 0.91 ± 0.04 (47.4%) c | 1.13 ± 0.05 (34.7%) b | 0.81 ± 0.03 (53.2%) d |
| 7,8-DiMeIQx | 0.88 ± 0.04 a | 0.63 ± 0.01 (28.4%) b | 0.60 ± 0.01 (31.8%) b | 0.48 ± 0.02 (45.4%) c |
| AαC | 0.53 ± 0.02 a | 0.12 ± 0.00 (77.4%) c | 0.23 ± 0.01 (56.6%) b | 0.17 ± 0.00 (67.9%) c |
| Norharman | 5.14 ± 0.75 a | 3.01 ± 0.02 (41.4%) b | 3.35 ± 0.02 (34.8%) b | 3.71 ± 0.04 (27.8%) b |
| Harman | 3.72 ± 0.62 a | 3.33 ± 0.01 (10.5%) a | 2.98 ± 0.02 (19.9%) b | 3.01 ± 0.03 (19.1%) b |
| Total | 14.01 | 8.97 (35.9%) | 9.21 (34.3%) | 8.81 (37.1%) |
| Bound HAs (ng/g) | Control | DES1 | DES2 | DES3 |
| PhIP | 9.04 ± 0.82 a | 4.38 ± 0.07 (51.5%) b | 4.70 ± 0.05 (48.0%) b | 3.34 ± 0.12 (63.1%) c |
| 1,5,6-TMIP | 3.82 ± 0.34 a | 3.61 ± 0.09 (5.49%) a | 3.74 ± 0.12 (2.09%) a | 3.01 ± 0.05 (21.2%) b |
| AaC | 1.91 ± 0.12 a | 0.84 ± 0.07 (56.0%) b | 0.86 ± 0.01 (54.9%) b | 0.64 ± 0.04 (66.5%) c |
| MeIQx | 4.13 ± 0.76 a | 2.16 ± 0.07 (47.7%) b | 2.33 ± 0.28 (43.6%) b | 1.98 ± 0.04 (52.1%) c |
| Harman | 367.4 ± 33.4 a | 312.2 ± 2.09 (15.0%) b | 335.8 ± 3.71 (8.60%) a | 297.5 ± 1.12 (19.0%) c |
| Norharma | 543.6 ± 62.6 a | 254.8 ± 0.56 (53.1%) b | 269.7 ± 0.49 (50.4%) b | 223.2 ± 3.2 (58.9%) c |
| 7,8-DiMeIQx | 5.17 ± 0.82 a | 3.66 ± 0.42 (29.2%) b | 2.12 ± 0.42 (58.9%) c | 3.27 ± 0.42 (36.8%) b |
| MeAaC | 38.3 ± 2.74 a | 32.7 ± 0.28 (14.6%) b | 30.8 ± 0.28 (19.6%) c | 33.9 ± 0.28 (11.5%) b |
| Total | 973.4 | 614.3 (36.9%) b | 650.0 (33.2%) | 566.8 (41.8%) |
| Free AGEs (μg/g) | Control | DES1 | DES2 | DES3 |
|---|---|---|---|---|
| CML | 59.4 ± 1.95 a | 31.1 ± 0.02 (47.6%) c | 35.6 ± 0.02 (40.1%) b | 29.2 ± 0.04 (50.8%) d |
| CEL | 88.1 ± 3.89 a | 51.3 ± 0.01 (41.8%) b | 42.1 ± 0.02 (52.2%) c | 43.8 ± 0.03 (50.3%) c |
| Total | 147.6 | 82.4 (44.2%) | 77.7 (47.4%) | 73.0 (50.5%) |
| Bound AGEs (μg/g) | Control | DES1 | DES2 | DES3 |
| CML | 2.51 a | 2.08 ± 0.07 (17.1%) b | 1.95 ± 0.05 (22.3%) b | 1.51 ± 0.12 (39.8%) c |
| CEL | 4.88 a | 4.04 ± 0.09 (17.2%) b | 4.06 ± 0.12 (16.8%) b | 3.39 ± 0.05 (30.5%) c |
| Total | 7.39 | 6.12 (17.1%) | 6.01 (18.7%) | 4.90 (33.7%) |
| Group | pH | Protein | Cooking Loss (%) | Ash (%) | Moisture Content (%) |
|---|---|---|---|---|---|
| Control | 6.27 ± 0.05 a | 13.2 ± 0.76 a | 30.9 ± 1.09 a | 1.39 ± 0.07 a | 56.7 ± 1.71 a |
| DES1 | 6.23 ± 0.01 a | 14.3 ± 0.95 a | 23.5 ± 0.56 c | 1.51 ± 0.05 a | 56.6 ± 1.87 a |
| DES2 | 6.24 ± 0.03 a | 12.9 ± 0.68 a | 26.1 ± 1.09 b | 1.64 ± 0.24 a | 54.8 ± 1.81 a |
| DES3 | 6.30 ± 0.03 a | 13.6 ± 1.32 a | 23.3 ± 1.13 c | 1.45 ± 0.05 a | 56.6 ± 1.38 a |
| Group | Hardness (g) | Springiness (mm) | Gumminess (g) | Cohesiveness (g) | Chewiness (g) |
| Control | 4326 ± 76.53 a | 0.90 ± 0.03 a | 2617 ± 34.7 a | 0.67 ± 0.02 a | 2306 ± 122 a |
| DES1 | 3107 ± 50.6 b | 0.87 ± 0.01 a | 2062 ± 96.0 b | 0.65 ± 0.31 a | 1790 ± 73.1 b |
| DES2 | 2776 ± 88.2 c | 0.92 ± 0.06 a | 1764 ± 35.6 c | 0.63 ± 0.02 a | 1553 ± 37.8 c |
| DES3 | 2295 ± 143 d | 0.89 ± 0.06 a | 1271 ± 148 d | 0.57 ± 0.05 b | 1107 ± 44.4 d |
| Peak | Rt | M+ | Fragment Ions | Molecular Formula | Compounds | CAS |
|---|---|---|---|---|---|---|
| (min) | (m/z) | (m/z) | ||||
| 1 | 10.14 | 593.1488 | 353.0683, 383.0770, 297.0777 | C27H30O15 | Vicenin Ⅱ | 23666-13-9 |
| 2 | 12.99 | 623.1613 | 383.0778, 413.0846 | C28H32O16 | Diosmetin 6,8-di-C-glu | 98813-28-6 |
| 3 | 14.97 | 649.2480 | 443.2060, 605.2650 | C32H42O14 | Limonin-hex | 1180-71-8 |
| 4 | 21.80 | 609.1819 | 301.0763 | C28H34O15 | Hesperidin | 520-26-3 |
| 5 | 22.20 | 373.1291 | 343.0820, 315.0859 | C20H20O7 | Isosinensetin | 17290-70-9 |
| 6 | 22.38 | 373.1289 | 329.0911, 312.0885 | C20H20O7 | Sinensetin | 2306-27-6 |
| 7 | 22.61 | 343.1082 | 282.0779 | C19H18O6 | Tetramethoxyflavone | 3162-43-4 |
| 8 | 23.00 | 373.1187 | 343.0740, 358.1048 | C20H20O7 | Tangeretin | 481-53-8 |
| 9 | 23.25 | 403.1299 | 373.0823 | C21H22O8 | Hexamethoxyflavone | 478-01-3 |
Disclaimer/Publisher’s Note: The statements, opinions and data contained in all publications are solely those of the individual author(s) and contributor(s) and not of MDPI and/or the editor(s). MDPI and/or the editor(s) disclaim responsibility for any injury to people or property resulting from any ideas, methods, instructions or products referred to in the content. |
© 2023 by the authors. Licensee MDPI, Basel, Switzerland. This article is an open access article distributed under the terms and conditions of the Creative Commons Attribution (CC BY) license (https://creativecommons.org/licenses/by/4.0/).
Share and Cite
Xu, Y.; Li, G.; Mo, L.; Li, M.; Luo, J.; Shen, Q.; Quan, W. Citrus Peel Extracts: Effective Inhibitors of Heterocyclic Amines and Advanced Glycation End Products in Grilled Pork Meat Patties. Foods 2024, 13, 114. https://doi.org/10.3390/foods13010114
Xu Y, Li G, Mo L, Li M, Luo J, Shen Q, Quan W. Citrus Peel Extracts: Effective Inhibitors of Heterocyclic Amines and Advanced Glycation End Products in Grilled Pork Meat Patties. Foods. 2024; 13(1):114. https://doi.org/10.3390/foods13010114
Chicago/Turabian StyleXu, Yang, Guangyu Li, Lan Mo, Maiquan Li, Jie Luo, Qingwu Shen, and Wei Quan. 2024. "Citrus Peel Extracts: Effective Inhibitors of Heterocyclic Amines and Advanced Glycation End Products in Grilled Pork Meat Patties" Foods 13, no. 1: 114. https://doi.org/10.3390/foods13010114
APA StyleXu, Y., Li, G., Mo, L., Li, M., Luo, J., Shen, Q., & Quan, W. (2024). Citrus Peel Extracts: Effective Inhibitors of Heterocyclic Amines and Advanced Glycation End Products in Grilled Pork Meat Patties. Foods, 13(1), 114. https://doi.org/10.3390/foods13010114

