Preparation of Gallic Acid-Grafted Silkworm Pupae Chitosan Composite Film and Its Application in Blueberry Preservation
Abstract
1. Introduction
2. Materials and Methods
2.1. Materials
2.2. Synthesis and Identification of GA-g-CS
2.2.1. Synthesis of GA-g-CS
2.2.2. Determination of the Grafting Rate of GA-g-CS
2.2.3. Ultraviolet and Visible Light Spectrum Analysis
2.2.4. Fourier Transform Infrared Spectroscopy Analysis
2.2.5. X-Ray Diffraction Pattern Analysis
2.2.6. Scanning Electron Microscopy Analysis
2.3. Preparation of GA-g-CS Composite Film
2.4. Determination of Physical Properties of GA-g-CS Composite Film at Different Concentrations
2.4.1. Determination of Particle Size and Zeta Potential of GA-g-CS Composite Film-Forming Solutions at Different Concentrations
2.4.2. Determination of Mechanical Properties of GA-g-CS Composite Film at Different Concentrations
2.5. Functional Testing of GA-g-CS Composite Film
2.5.1. Determination of the Water Solubility of the GA-g-CS Composite Film
2.5.2. Determination of Barrier Properties of the GA-g-CS Composite Film
2.5.3. Determination of the Transmittance of the GA-g-CS Composite Film
2.5.4. Determination of Oil Extraction Migration of the GA-g-CS Composite Film
2.5.5. Determination of the Antimicrobial Activity of the GA-g-CS Composite Film
2.5.6. Determination of the Antioxidant Activity of the GA-g-CS Composite Film
2.6. Preservation of Blueberries by GA-g-CS Composite Film
2.6.1. Treatment of Blueberries
2.6.2. Effect of the GA-g-CS Composite Film on the External Quality of Blueberry
2.6.3. Effects of the GA-g-CS Composite Film on the Intrinsic Quality of Blueberries
2.7. Data Statistics and Analysis
3. Results
3.1. Synthesis and Identification of GA-g-CS
3.2. Preparation and Properties of GA-g-CS Composite Film
3.2.1. Effect of Concentration on the GA-g-CS Composite Film
3.2.2. Functionality of GA-g-CS Composite Film
3.2.3. Antimicrobial Activity of GA-g-CS Composite Film
3.2.4. Antioxidant Activity of GA-g-CS Composite Film
3.3. Application of GA-g-CS Composite Film in the Preservation of Blueberries
3.3.1. Effect of GA-g-CS Composite Film on the External Quality of Blueberries
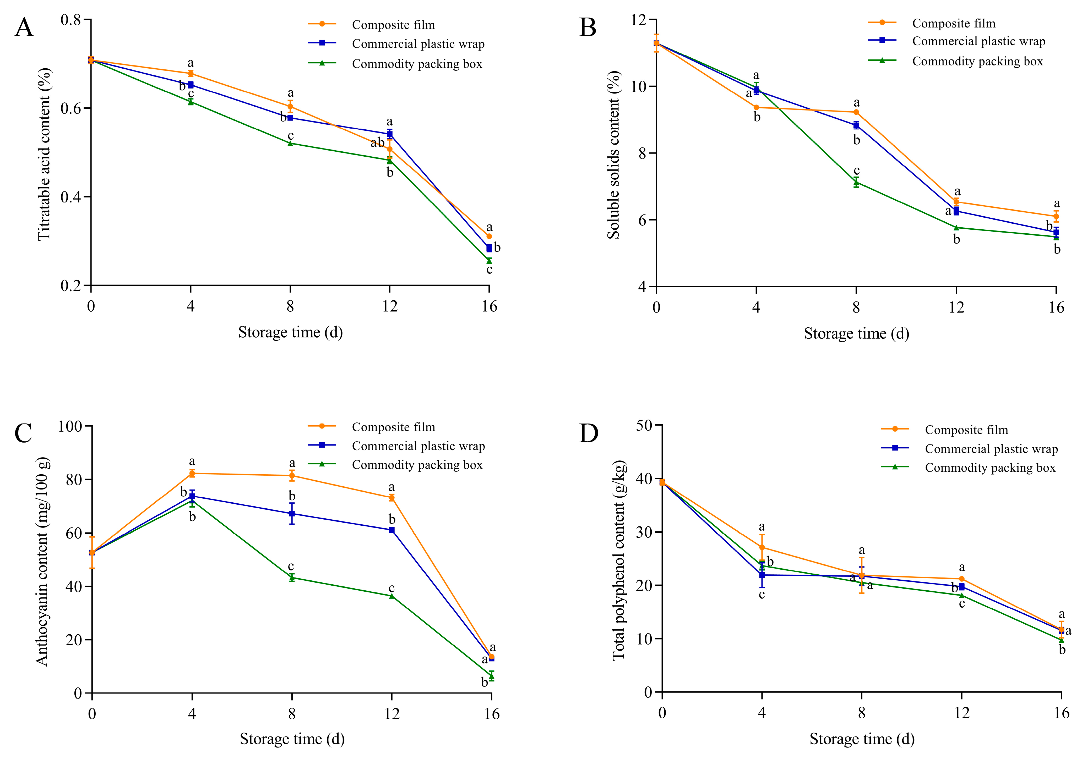
3.3.2. Effects of GA-g-CS Composite Film on the Intrinsic Quality of Blueberries
4. Discussion
5. Conclusions
Author Contributions
Funding
Institutional Review Board Statement
Informed Consent Statement
Data Availability Statement
Conflicts of Interest
References
- Aghbashlo, M.; Amiri, H.; Moosavi Basri, S.M.; Rastegari, H.; Lam, S.S.; Pan, J.; Gupta, V.K.; Tabatabaei, M. Tuning chitosan’s chemical structure for enhanced biological functions. Trends Biotechnol. 2023, 41, 785–797. [Google Scholar] [CrossRef]
- Martău, G.A.; Mihai, M.; Vodnar, D.C.J.P. The use of chitosan, alginate, and pectin in the biomedical and food sector—Biocompatibility, bioadhesiveness, and biodegradability. Polymers 2019, 11, 1837. [Google Scholar] [CrossRef]
- Kozma, M.; Acharya, B.; Bissessur, R. Chitin, Chitosan, and Nanochitin: Extraction, Synthesis, and Applications. Polymers 2022, 14, 3989. [Google Scholar] [CrossRef]
- Mohan, K.; Ganesan, A.R.; Muralisankar, T.; Jayakumar, R.; Sathishkumar, P.; Uthayakumar, V.; Chandirasekar, R.; Revathi, N. Recent insights into the extraction, characterization, and bioactivities of chitin and chitosan from insects. Trends Food Sci. Technol. 2020, 105, 17–24. [Google Scholar] [CrossRef]
- Luo, Q.; Wang, Y.; Han, Q.; Ji, L.; Zhang, H.; Fei, Z.; Wang, Y. Comparison of the physicochemical, rheological, and morphologic properties of chitosan from four insects. Carbohydr. Polym. 2019, 209, 266–275. [Google Scholar] [CrossRef]
- Yi, K.; Miao, S.; Yang, B.; Li, S.; Hu, Y.; Lu, Y. Application of chitosan extracted from silkworm pupae by ultrasound-assisted enzymatic method on strawberry preservation. Int. J. Biol. Macromol. 2025, 327, 147489. [Google Scholar] [CrossRef]
- Battampara, P.; Sathish, T.N.; Reddy, R.; Guna, V.; Nagananda, G.S.; Reddy, N.; Ramesha, B.S.; Maharaddi, V.H.; Rao, A.P.; Ravikumar, H.N.; et al. Properties of chitin and chitosan extracted from silkworm pupae and egg shells. Int. J. Biol. Macromol. 2020, 161, 1296–1304. [Google Scholar] [CrossRef]
- Wu, Q.; Zhou, J. The application of polyphenols in food preservation. Adv. Food Nutr. Res. 2021, 98, 35–99. [Google Scholar] [CrossRef] [PubMed]
- Gim, S.Y.; Hong, S.; Kim, M.J.; Lee, J. Gallic Acid Grafted Chitosan Has Enhanced Oxidative Stability in Bulk Oils. J. Food Sci. 2017, 82, 1608–1613. [Google Scholar] [CrossRef] [PubMed]
- Xie, M.; Hu, B.; Wang, Y.; Zeng, X. Grafting of gallic acid onto chitosan enhances antioxidant activities and alters rheological properties of the copolymer. J. Agric. Food Chem. 2014, 62, 9128–9136. [Google Scholar] [CrossRef]
- Liu, J.; Pu, H.; Liu, S.; Kan, J.; Jin, C. Synthesis, characterization, bioactivity and potential application of phenolic acid grafted chitosan: A review. Carbohydr. Polym. 2017, 174, 999–1017. [Google Scholar] [CrossRef]
- Duan, Y.; Tarafdar, A.; Chaurasia, D.; Singh, A.; Bhargava, P.C.; Yang, J.; Li, Z.; Ni, X.; Tian, Y.; Li, H.; et al. Blueberry fruit valorization and valuable constituents: A review. Int. J. Food Microbiol. 2022, 381, 109890. [Google Scholar] [CrossRef]
- Yang, J.; Yin, J.; Wang, K.; Zhao, L.; Yang, Z.; Cai, Y.; Lou, J.; Huang, C.; Shen, Q. Advanced technology in fruit preservation: Effects of nanoscale charged water particles on storage quality and reactive oxygen species in blueberries. Food Res. Int. 2024, 198, 115331. [Google Scholar] [CrossRef]
- Dat, N.M.; Nam, N.T.H.; Cong, C.Q.; Huong, L.M.; Hai, N.D.; Tai, L.T.; An, H.; Duy, B.T.; Dat, N.T.; Viet, V.N.D.; et al. Chitosan membrane drafting silver-immobilized graphene oxide nanocomposite for banana preservation: Fabrication, physicochemical properties, bioactivities, and application. Int. J. Biol. Macromol. 2023, 242, 124607. [Google Scholar] [CrossRef]
- Yu, D.; Yu, Z.; Zhao, W.; Regenstein, J.M.; Xia, W. Advances in the application of chitosan as a sustainable bioactive material in food preservation. Crit. Rev. Food Sci. Nutr. 2021, 62, 3782–3797. [Google Scholar] [CrossRef]
- Liu, J.; Pu, H.; Chen, C.; Liu, Y.; Bai, R.; Kan, J.; Jin, C. Reaction Mechanisms and Structural and Physicochemical Properties of Caffeic Acid Grafted Chitosan Synthesized in Ascorbic Acid and Hydroxyl Peroxide Redox System. J. Agric. Food Chem. 2018, 66, 279–289. [Google Scholar] [CrossRef]
- Feng, X.; Li, S.; Sun, Z.; Yuan, H.; Li, R.; Yu, N.; Zhang, Y.; Chen, X. The Preservation Effect of Chitosan-hawthorn Leaf Extract Coating on Strawberries. J. Food Prot. 2024, 87, 100244. [Google Scholar] [CrossRef] [PubMed]
- Lunkov, A.; Shagdarova, B.; Konovalova, M.; Zhuikova, Y.; Drozd, N.; Il’ina, A.; Varlamov, V. Synthesis of silver nanoparticles using gallic acid-conjugated chitosan derivatives. Carbohydr. Polym. 2020, 234, 115916. [Google Scholar] [CrossRef] [PubMed]
- Zhang, B.; Lan, W.; Wang, Z.; Shao, Z.; Xie, J. Modified chitosan with different phenolic acids: Characterization, physicochemical properties, and biological activity. Food Chem. 2024, 441, 138337. [Google Scholar] [CrossRef] [PubMed]
- Surendhiran, D.; Roy, V.C.; Park, J.S.; Chun, B.S. Fabrication of chitosan-based food packaging film impregnated with turmeric essential oil (TEO)-loaded magnetic-silica nanocomposites for surimi preservation. Int. J. Biol. Macromol. 2022, 203, 650–660. [Google Scholar] [CrossRef]
- Xing, Z.; Zhu, L.; Wu, Y.; Wu, D.; Gao, C.; Meng, L.; Feng, X.; Cheng, W.; Wang, Z.; Yang, Y.; et al. Effect of nano-TiO(2) particle size on the bonding performance and film-forming properties of starch-based wood adhesives. Int. J. Biol. Macromol. 2023, 235, 123697. [Google Scholar] [CrossRef]
- Ma, M.; Gu, M.; Zhang, S.; Yuan, Y. Effect of tea polyphenols on chitosan packaging for food preservation: Physicochemical properties, bioactivity, and nutrition. Int. J. Biol. Macromol. 2024, 259, 129267. [Google Scholar] [CrossRef]
- Roy, S.; Zhai, L.; Kim, H.C.; Pham, D.H.; Alrobei, H.; Kim, J. Tannic-Acid-Cross-Linked and TiO(2)-Nanoparticle-Reinforced Chitosan-Based Nanocomposite Film. Polymers 2021, 13, 228. [Google Scholar] [CrossRef] [PubMed]
- Zhao, J.; Wang, Y.; Li, J.; Lei, H.; Zhen, X.; Gou, D.; Liu, T. Preparation of chitosan/Enoki mushroom foot polysaccharide composite cling film and its application in blueberry preservation. Int. J. Biol. Macromol. 2023, 246, 125567. [Google Scholar] [CrossRef] [PubMed]
- Kang, L.; Liang, Q.; Rashid, A.; Qayum, A.; Chi, Z.; Ren, X.; Ma, H. Ultrasound-assisted development and characterization of novel polyphenol-loaded pullulan/trehalose composite films for fruit preservation. Ultrason. Sonochem. 2023, 92, 106242. [Google Scholar] [CrossRef]
- Kang, L.; Liang, Q.; Chen, H.; Zhou, Q.; Chi, Z.; Rashid, A.; Ma, H.; Ren, X. Insights into ultrasonic treatment on the properties of pullulan/oat protein/nisin composite film:mechanical, structural and physicochemical properties. Food Chem. 2023, 402, 134237. [Google Scholar] [CrossRef]
- Zheng, T.; Tang, P.; Li, G. Development of composite film based on collagen and phenolic acid-grafted chitosan for food packaging. Int. J. Biol. Macromol. 2023, 241, 124494. [Google Scholar] [CrossRef] [PubMed]
- Lian, H.; Peng, Y.; Shi, J.; Wang, Q. Effect of emulsifier hydrophilic-lipophilic balance (HLB) on the release of thyme essential oil from chitosan films. Food Hydrocoll. 2019, 97, 105213. [Google Scholar] [CrossRef]
- Buonsenso, F.; Schiavon, G.; Spadaro, D. Efficacy and Mechanisms of Action of Essential Oils’ Vapours against Blue Mould on Apples Caused by Penicillium expansum. Int. J. Mol. Sci. 2023, 24, 2900. [Google Scholar] [CrossRef]
- Sathiyabama, M.; Muthukumar, S. Chitosan guar nanoparticle preparation and its in vitro antimicrobial activity towards phytopathogens of rice. Int. J. Biol. Macromol. 2020, 153, 297–304. [Google Scholar] [CrossRef]
- Hao, W.; Li, K.; Ma, Y.; Li, R.; Xing, R.; Yu, H.; Li, P. Preparation and Antioxidant Activity of Chitosan Dimers with Different Sequences. Mar. Drugs 2021, 19, 366. [Google Scholar] [CrossRef]
- Beyazit, N.; Çakran, H.S.; Cabir, A.; Akışcan, Y.; Demetgül, C. Synthesis, characterization and antioxidant activity of chitosan Schiff base derivatives bearing (-)-gossypol. Carbohydr. Polym. 2020, 240, 116333. [Google Scholar] [CrossRef]
- Medina-Jaramillo, C.; Quintero-Pimiento, C.; Díaz-Díaz, D.; Goyanes, S.; López-Córdoba, A. Improvement of Andean Blueberries Postharvest Preservation Using Carvacrol/Alginate-Edible Coatings. Polymers 2020, 12, 2352. [Google Scholar] [CrossRef] [PubMed]
- Zhou, X.; Liu, L.; Li, J.; Wang, L.; Song, X. Extraction and Characterization of Cellulose from Jerusalem Artichoke Residue and Its Application in Blueberry Preservation. Foods 2022, 11, 1065. [Google Scholar] [CrossRef] [PubMed]
- Yu, K.; Xu, J.; Zhou, L.; Zou, L.; Liu, W. Effect of Chitosan Coatings with Cinnamon Essential Oil on Postharvest Quality of Mangoes. Foods 2021, 10, 3003. [Google Scholar] [CrossRef]
- Tafi, E.; Triunfo, M.; Guarnieri, A.; Ianniciello, D.; Salvia, R.; Scieuzo, C.; Ranieri, A.; Castagna, A.; Lepuri, S.; Hahn, T.; et al. Preliminary investigation on the effect of insect-based chitosan on preservation of coated fresh cherry tomatoes. Sci. Rep. 2023, 13, 7030. [Google Scholar] [CrossRef]
- Lee, J.; Durst, R.W.; Wrolstad, R.E. Determination of total monomeric anthocyanin pigment content of fruit juices, beverages, natural colorants, and wines by the pH differential method: Collaborative study. J. AOAC Int. 2005, 88, 1269–1278. [Google Scholar] [CrossRef] [PubMed]
- Curcio, M.; Puoci, F.; Iemma, F.; Parisi, O.I.; Cirillo, G.; Spizzirri, U.G.; Picci, N. Covalent insertion of antioxidant molecules on chitosan by a free radical grafting procedure. J. Agric. Food Chem. 2009, 57, 5933–5938. [Google Scholar] [CrossRef]
- Huang, B.; Hu, Q.; Zhang, G.; Zou, J.; Fei, P.; Wang, Z. Exploring the emulsification potential of chitosan modified with phenolic acids: Emulsifying properties, functional activities, and application in curcumin encapsulation. Int. J. Biol. Macromol. 2024, 263, 130450. [Google Scholar] [CrossRef]
- Jantzen da Silva Lucas, A.; Quadro Oreste, E.; Leão Gouveia Costa, H.; Martín López, H.; Dias Medeiros Saad, C.; Prentice, C. Extraction, physicochemical characterization, and morphological properties of chitin and chitosan from cuticles of edible insects. Food Chem. 2021, 343, 128550. [Google Scholar] [CrossRef]
- Vu, D.C.; Vo, P.H.; Coggeshall, M.V.; Lin, C.H. Identification and Characterization of Phenolic Compounds in Black Walnut Kernels. J. Agric. Food Chem. 2018, 66, 4503–4511. [Google Scholar] [CrossRef]
- Zhang, X.; Wu, H.; Zhang, L.; Sun, Q. Horseradish peroxidase-mediated synthesis of an antioxidant gallic acid-g-chitosan derivative and its preservation application in cherry tomatoes. RSC Adv. 2018, 8, 20363–20371. [Google Scholar] [CrossRef]
- Han, X.; Zheng, Z.; Yu, C.; Deng, Y.; Ye, Q.; Niu, F.; Chen, Q.; Pan, W.; Wang, Y. Preparation, characterization and antibacterial activity of new ionized chitosan. Carbohydr. Polym. 2022, 290, 119490. [Google Scholar] [CrossRef]
- Petrochenko, P.E.; Pavurala, N.; Wu, Y.; Yee Wong, S.; Parhiz, H.; Chen, K.; Patil, S.M.; Qu, H.; Buoniconti, P.; Muhammad, A.; et al. Analytical considerations for measuring the globule size distribution of cyclosporine ophthalmic emulsions. Int. J. Pharm. 2018, 550, 229–239. [Google Scholar] [CrossRef]
- Chamberlayne, C.F.; Zare, R.N. Simple Estimate of the Potential Drop across an Amphiprotic Liquid-Liquid Interface. J. Phys. Chem. B 2022, 126, 8112–8118. [Google Scholar] [CrossRef] [PubMed]
- Sultan, M.; Abdelhakim, A.; Nassar, M.; Hassan, Y.R. Active packaging of chitosan film modified with basil oil encapsulated in silica nanoparticles as an alternate for plastic packaging materials. Food Biosci. 2023, 51, 102298. [Google Scholar] [CrossRef]
- Yang, K.; Dang, H.; Liu, L.; Hu, X.; Li, X.; Ma, Z.; Wang, X.; Ren, T. Effect of syringic acid incorporation on the physical, mechanical, structural and antibacterial properties of chitosan film for quail eggs preservation. Int. J. Biol. Macromol. 2019, 141, 876–884. [Google Scholar] [CrossRef]
- Wang, S.Y.; Herrera-Balandrano, D.D.; Jiang, Y.H.; Shi, X.C.; Chen, X.; Liu, F.Q.; Laborda, P. Application of chitosan nanoparticles in quality and preservation of postharvest fruits and vegetables: A review. Compr. Rev. Food Sci. Food Saf. 2023, 22, 1722–1762. [Google Scholar] [CrossRef]
- Yaghoubi, M.; Ayaseh, A.; Alirezalu, K.; Nemati, Z.; Pateiro, M.; Lorenzo, J.M. Effect of Chitosan Coating Incorporated with Artemisia fragrans Essential Oil on Fresh Chicken Meat during Refrigerated Storage. Polymers 2021, 13, 716. [Google Scholar] [CrossRef] [PubMed]
- Kalt, W.; Cassidy, A.; Howard, L.R.; Krikorian, R.; Stull, A.J.; Tremblay, F.; Zamora-Ros, R. Recent Research on the Health Benefits of Blueberries and Their Anthocyanins. Adv. Nutr. 2020, 11, 224–236. [Google Scholar] [CrossRef]
- Liu, Q.; Li, Y.; Xing, S.; Wang, L.; Yang, X.; Hao, F.; Liu, M. Genipin-crosslinked amphiphilic chitosan films for the preservation of strawberry. Int. J. Biol. Macromol. 2022, 213, 804–813. [Google Scholar] [CrossRef] [PubMed]









| Sample | Water Vapor Permeability (g/m2·24 h) | POV (meq/kg) | Water Solubility (%) |
|---|---|---|---|
| Chitosan film | 5.03 ± 0.04 * | 6.61 ± 0.07 * | 15.91 ± 1.88 |
| GA-g-CS Composite film | 0.45 ± 0.01 | 2.28 ± 0.05 | 20.19 ± 2.23 * |
| Sample | GA-g-CS Composite Film (cm) | Chitosan Film (cm) | Blank Control (cm) |
|---|---|---|---|
| E. coli | 2.33 ± 0.19 a | 1.78 ± 0.06 b | 0.63 ± 0.03 c |
| S. aureus | 1.75 ± 0.17 a | 1.23 ± 0.06 b | 0.62 ± 0.03 c |
Disclaimer/Publisher’s Note: The statements, opinions and data contained in all publications are solely those of the individual author(s) and contributor(s) and not of MDPI and/or the editor(s). MDPI and/or the editor(s) disclaim responsibility for any injury to people or property resulting from any ideas, methods, instructions or products referred to in the content. |
© 2025 by the authors. Licensee MDPI, Basel, Switzerland. This article is an open access article distributed under the terms and conditions of the Creative Commons Attribution (CC BY) license (https://creativecommons.org/licenses/by/4.0/).
Share and Cite
Yi, K.; Yang, B.; Wu, Y.; Miao, S.; Lu, Y. Preparation of Gallic Acid-Grafted Silkworm Pupae Chitosan Composite Film and Its Application in Blueberry Preservation. Foods 2025, 14, 3280. https://doi.org/10.3390/foods14183280
Yi K, Yang B, Wu Y, Miao S, Lu Y. Preparation of Gallic Acid-Grafted Silkworm Pupae Chitosan Composite Film and Its Application in Blueberry Preservation. Foods. 2025; 14(18):3280. https://doi.org/10.3390/foods14183280
Chicago/Turabian StyleYi, Kexin, Bixing Yang, Yunlong Wu, Shiyuan Miao, and Yujie Lu. 2025. "Preparation of Gallic Acid-Grafted Silkworm Pupae Chitosan Composite Film and Its Application in Blueberry Preservation" Foods 14, no. 18: 3280. https://doi.org/10.3390/foods14183280
APA StyleYi, K., Yang, B., Wu, Y., Miao, S., & Lu, Y. (2025). Preparation of Gallic Acid-Grafted Silkworm Pupae Chitosan Composite Film and Its Application in Blueberry Preservation. Foods, 14(18), 3280. https://doi.org/10.3390/foods14183280

