Abstract
Spores are resistant against many extreme conditions including the disinfection and sterilization methods used in the food industry. Selective prevention of sporulation of Bacillus species is an ongoing challenge for food scientists and fermentation technologists. This study was conducted to evaluate the effects of single and combined supplementation of calcium and manganese on sporulation of common pathogenic and food spoilage Bacillus species: B. cereus, B. licheniformis, B. subtilis and B. coagulans. Sporulation of Bacillus vegetative cells was induced on sporulation media supplemented with diverse concentrations of the minerals. Under the various mineral supplementation conditions, the degree of sporulation was quantified with colonies formed by the Bacillus spores. The results revealed that B. licheniformis and B. cereus displayed the weakest sporulation capabilities on media with minimal supplementation levels of calcium and manganese. The lowest sporulation of B. subtilis and B. coagulans was observed on media supplemented with the highest level of calcium and low levels of manganese. Depending on effect of supplementation on sporulation, the Bacillus species were divided into two distinct groups: B. licheniformis and B. cereus; and B. subtilis and B. coagulans. The information provides valuable insight to selectively reduce sporulation of Bacillus species undesirable in the food industry.
1. Introduction
The genus Bacillus consists of versatile and ubiquitous gram-positive species that are mostly harmless, however some species demonstrate pathogenic capacities [1,2,3]. Food-borne pathogenic microorganisms are the major causes of food-borne diseases and were reported to be responsible for approximately 600 million cases of food-borne illnesses and 420,000 cases of deaths in 2010 worldwide according to the World Health Organization. While B. cereus is known as a common food-borne pathogenic species, other Bacillus spp. such as B. subtilis, B. coagulans and B. licheniformis are commonly known as food spoilage bacteria. Although B. licheniformis and B. subtilis are known to cause food-borne illnesses and may produce toxins, they are not considered common pathogenic species [3,4,5].
When encountering environmental stresses, the Bacillus species may form dormant, metabolically inert spores which are much more resistant than their vegetative counterparts [6,7]. Spores are also found to be resistant against many extreme conditions including the disinfection and sterilization methods used in the food industry. Total elimination or inactivation of bacterial vegetative cells is possible with mild disinfection or sterilization methods, however the same treatment may slightly weaken or even be completely ineffective against spores. Once formed, the complete elimination or inactivation of spores without compromising the sensory qualities of food proves to be an ongoing challenge. The difficulty associated with elimination or inactivation of spores faced in the food industry prompts the need for the preemptive prevention of spores through control of the spore formation process [8,9,10].
Although the sporulation ability of Bacillus spp. is mostly determined genetically, environmental conditions such as the mineral composition of media may have a significant effect on sporulation [11,12]. The mineral manganese has been studied extensively in the past, and is known to be essential for both the growth and sporulation of several Bacillus spp. [13,14,15]. For that reason, manganese is commonly used in cultivation media to induce sporulation of Bacillus spp. [2]. Although calcium supplementation is considered more effective than other minerals at increasing the heat resistance of spores, the effects of calcium on sporulation of Bacillus spp. are not well understood [6,16].
Research has already been conducted on several Bacillus spp. concerning the effect of manganese on sporulation, and calcium on heat resistance, however the effect of the combined manganese and calcium supplementation on the sporulation of Bacillus spp. has not been extensively studied. The objective of this study was to investigate the effects of no, single, and combined supplementation of calcium and manganese on the sporulation of common pathogenic and food spoilage Bacillus spp., including B. licheniformis, B. coagulans, B. subtilis and B. cereus. This is the first study to demonstrate the effects of both single and combined supplementation of calcium and manganese on sporulation of Bacillus species involved in food poisoning and spoilage as well as, often, food fermentation.
2. Materials and Methods
2.1. Microorganisms
The original stocks of Bacillus strains were purchased from the Korean Collection for Type Culture (KCTC; Daejeon, Korea), which included B. licheniformis (KCTC 1918), B. coagulans (KCTC 3625), B. subtilis (KCTC 3135) and B. cereus (KCTC 3624). The strains were grown in Tryptic Soy Broth (TSB; Becton Dickinson, Sparks, MD, USA) for 24 h at 37 °C (for B. licheniformis and B. coagulans) or 30 °C (for B. subtilis and B. cereus) according to the recommendation of the KCTC, and then stored as glycerol stocks (20%, v/v) in a freezer at −20 °C. All the media (and minerals) used in this study were sterilized prior to use.
2.2. Preparation of Vegetative Cell Suspension
The stock cultures were activated prior to use by three successive subculturing in TSB for 24 h at the aforementioned temperature specified for vegetative cell growth of each Bacillus strain. In the final activation step, 5 mL of the culture of each strain were transferred into 250 mL of TSB and incubated under the same conditions to obtain sufficient numbers of vegetative cells. The cultures were washed three times, and the cell pellets were collected after centrifugation at 15,000× g for 5 min at 4 °C. The final concentration of vegetative cell suspension was carefully adjusted to 109 CFU/mL with M/15 Sörensen’s phosphate buffer (disodium hydrogen phosphate—Na2HPO4 5.675 g, potassium dihydrogen phosphate—KH2PO4 3.63 g in 1 L of distilled water, pH 7.0; chemicals from Sigma-Aldrich Co., St. Louis, MO, USA).
2.3. Preparation of Sporulation Media with Cations
Sporulation media supplemented with varying concentrations of calcium and/or manganese divalent cations were prepared using nutrient agar containing 13 g/L of nutrient broth (MB cell, Seoul, Korea) and 20 g/L of agar (Ventech Bio Co., Ltd., Eumseong, Korea). The concentrations of supplemented divalent cations were based on reports by Amaha and Ordal [17], Levinson and Hyatt [18] and Bai [19] with minor modifications. The minerals, CaCl2·2H2O (calcium chloride dihydrate; Dushefa Biochemie, Harleem, the Netherlands) and MnSO4·H2O (manganese sulfate monohydrate; Biosesang, Seoul, Korea), were used to supply the cations at concentrations of 0.00, 0.25, 0.50, 1.00 and 2.00 mM and 0.00, 0.10, 0.25 and 0.50 mM, respectively. The media without mineral supplementation were used for control treatments.
2.4. Induction of Sporulation
Induction of sporulation was carried out based on a previous study [19]. For sporulation of Bacillus vegetative cells, 0.1 mL of vegetative cell suspension was spread onto the aforementioned sporulation media. Spore formation was induced by incubation of vegetative cells for 2 days at the temperature specified for each Bacillus strain. To harvest the spores, the agar surface was flooded with 7 mL of sterile M/15 Sörensen’s phosphate buffer and scraped with a disposable plastic cell scraper. The spores obtained from 20 plates were collected together, washed three times with M/15 Sörensen’s phosphate buffer by centrifugation at 19,000× g for 10 min at 4 °C, resuspended in 3 mL of the same buffer, and kept in a refrigerator (4 °C) until use.
2.5. Enumeration of Spores
To enumerate the spores, 0.1 mL of spore suspension was initially mixed with 0.9 mL of M/15 Sörensen’s phosphate buffer and placed in an 80 °C water bath (Sejong Scientific Co., Bucheon, Korea) for 15 min; heat-shock treatment. Immediately after heat shock, the mixed suspension was cooled in a crushed ice water bath. The treated suspension was serially diluted in sterile 0.1% peptone water, and 0.1 mL of each dilution was spread onto Plate Count Agar (PCA; Becton Dickinson) in duplicate. The colonies were manually counted after incubation under the aforementioned conditions for each Bacillus strain.
2.6. Statistical Analysis
The experiments were carried out in triplicate, and the data were presented as means and standard deviations of three independent experiments. The significance of differences was determined by analysis of variance (ANOVA) with Fisher’s multiple comparison module of the Minitab statistical software, version 17 (Minitab Inc., State College, PA, USA), and differences with p-values of <0.05 were considered statistically significant.
3. Results and Discussion
3.1. Sporulation Profiles of B. licheniformis and B. cereus
Extensive studies of manganese show that the mineral is essential for both the growth and sporulation of several Bacillus spp. [13,14,15]. Calcium supplementation in sporulation media is often associated with increased heat resistance [6,16]. Though supplementation of the sporulation media with both Ca2+ (calcium ion) and Mn2+ (manganese ion) has been speculated to increase the sporulation capability of Bacillus spp., the results obtained in the present study revealed that the response to the presence of the metallic ions varies widely among Bacillus species.
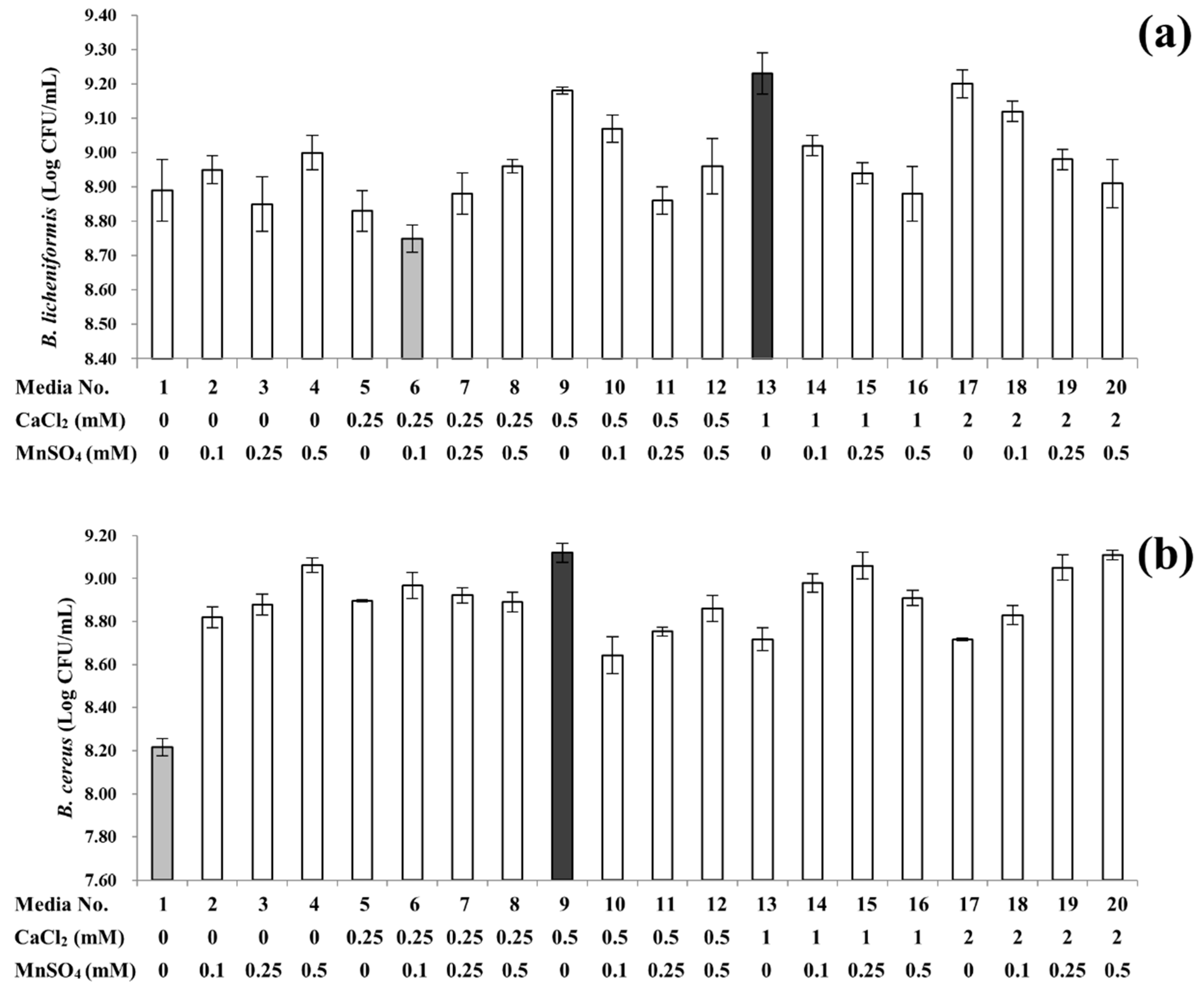
As shown in Figure 1a and Table S1, B. licheniformis produced the lowest quantity of spores (8.75 ± 0.04 Log CFU/mL) on media supplemented with the lowest levels of calcium (0.25 mM) and manganese (0.10 mM). In Figure 1b and Table S1, B. cereus displayed the weakest sporulation capability (8.22 ± 0.04 Log CFU/mL) when grown on the non-supplemented media. Optimum sporulation of B. licheniformis (9.24 ± 0.06 Log CFU/mL) was observed on media supplemented solely with 1.00 mM of calcium, while B. cereus displayed the highest sporulation capability (9.12 ± 0.04 Log CFU/mL) on media supplemented only with 0.50 mM of calcium. On media supplemented solely with a single mineral, the results also indicated that manganese supplementation was less effective than calcium at inducing sporulation, when calcium was supplemented at moderate levels (at least 0.50 mM for B. licheniformis and 0.50 mM for B. cereus). Interestingly, when manganese was supplemented along with lower levels of calcium, sporulation capabilities were slightly enhanced for both species.
Figure 1.
Sporulation profiles of Bacillus licheniformis (a) and B. cereus (b) under 20 different supplementation conditions. The light grey and dark grey columns highlight the lowest and highest spore yields, respectively. Error bars indicate standard deviations calculated from triplicate experiments.
Though B. licheniformis and B. cereus were similarly influenced by calcium and manganese supplementation concentrations as described above, the extent to which supplementations affect sporulation was somewhat different between the two species. In the case of B. licheniformis, higher levels of calcium supplementation were found to effectively enhance sporulation. The three highest B. licheniformis spore yields of 9.24 ± 0.06, 9.18 ± 0.01 and 9.15 ± 0.10 Log CFU/mL were obtained on media supplemented solely with calcium at concentrations of 1.00, 0.50 and 2.00 mM, respectively. Direct correlations were not found for media supplemented exclusively with manganese. The non-supplemented media yielded 8.89 ± 0.09 Log CFU/mL of spores, whereas media supplemented solely with manganese did not significantly affect sporulation capabilities (approximately 8.85 to 8.95 Log CFU/mL), regardless of concentration. However, alongside 1.00 or 2.00 mM of calcium, manganese was found to slightly inhibit the sporulation of B. licheniformis. In the case of B. cereus, supplementation of calcium and/or manganese significantly enhanced sporulation. Supplementations at all levels increased the spore yield by approximately 0.4 to 0.9 Log CFU/mL when compared to the spore yield obtained on the non-supplemented media. Furthermore, as the B. cereus revealed higher spore yields on most media supplemented with manganese, manganese appeared to be more effective than calcium for sporulation. Similarly, Ryu et al. [7] stated that in the absence of calcium, supplementation of manganese enhanced the spore formation of B. cereus strains grown in TSB. Nonetheless, it is noteworthy that in the present study, the highest spore yield of B. cereus was obtained on media supplemented only with calcium at a concentration of 0.50 mM.
3.2. Sporulation Profiles of B. subtilis and B. coagulans
In contrast to B. licheniformis and B. cereus, both B. subtilis and B. coagulans displayed the highest sporulation capabilities (9.97 ± 0.05 and 10.04 ± 0.02 Log CFU/mL, respectively) on non-supplemented media and the lowest capabilities (9.70 ± 0.03 and 9.74 ± 0.07 Log CFU/mL, respectively) with 2.00 mM calcium supplementation, as shown in Figure 2a,b and Table S2. On media supplemented solely with a single mineral, the results also indicated that calcium supplementation was less effective than manganese at inducing sporulation, when manganese was supplemented at a moderate level (0.25 mM or more for B. subtilis and 0.10 or 0.50 mM for B. coagulans). Other studies have also shown that manganese supplementation may enhance the spore formation capabilities of B. subtilis [13,20] and B. coagulans [21]. Conversely, Oomes et al. [22] reported that the addition of calcium to sporulation media increased the expression of genes involved in B. subtilis sporulation. Nonetheless, B. subtilis exhibited the lowest yield of spore production on media supplemented with both the highest concentration of calcium (2.00 mM) and a moderate level of manganese (0.25 mM) in the present study. B. coagulans also displayed the lowest yield of spores when grown on media with both the highest amount of calcium supplementation (2.00 mM) and a low level of manganese (0.10 mM). Depending on the concentrations and combinations of supplemented minerals, the spore yields of B. subtilis were consequently reduced by approximately 0.1 to 0.4 Log CFU/mL. Likewise, the supplementations decreased the spore yields of B. coagulans by approximately 0.1 to 0.3 Log CFU/mL. When calcium and manganese were not supplemented, both Bacillus spp. displayed the highest sporulation capabilities, as described above. The differences in results between previous reports and the present study are likely due to the variances of strains, media and experimental methodologies utilized. Furthermore, when compared to the single mineral supplementations, the results also imply that undetermined interactions between calcium and manganese may exist when supplemented together. Therefore, further studies on the complex interactions are necessary to understand the underlying mode(s) of action of combined supplementation on sporulation. It is worth reiterating that on media supplemented with a single mineral, manganese was favorable for the sporulation of B. subtilis and B. coagulans, as spore yields on media supplemented solely with manganese were relatively higher than the exclusive supplementation of calcium. Similar to B. cereus, the results for B. subtilis and B. coagulans highlighted the importance of manganese for sporulation in many Bacillus spp., as proposed in other studies [13,14,15].
Figure 2.
Sporulation profiles of B. subtilis (a) and B. coagulans (b) under 20 different supplementation conditions. The light grey and dark grey columns highlight the lowest and highest spore yields, respectively. Error bars indicate standard deviations calculated from triplicate experiments.
All things considered, depending on effect of supplementation on sporulation, the Bacillus species were divided into two distinct groups: B. licheniformis and B. cereus; B. subtilis and B. coagulans. Contrary to the sporulation patterns of the two groups observed in the present study, the complete genomic sequence of B. licheniformis has been found to be the more similar to B. subtilis than other Bacillus species [23,24]. It is therefore necessary to compare the expression of genes responsible for sporulation among species of Bacillus through further research.
3.3. Further Implications
Bacillus spp. are often regarded as contaminants in many foods [3,4,5], including fermented soybeans [25]. Many types of fermented soybean foods are typically prepared with salt at concentrations up to 10%, but may reach 20% or higher. Upon consideration of previous studies [26,27,28], it appears that under saline conditions either formation of spores or prevention of spore germination may occur through low water activity. Therefore, to ensure the quality and safety of food products, it is often imperative to eliminate or reduce spores rather than vegetative cells. Dormant Bacillus spores are extremely resistant to environmental stresses, enabling the spores to survive the wide variety of sterilization treatments used in the food industry [29,30]. Thus, development of methods to effectively prevent sporulation of Bacillus spp. may help to minimize contamination, ensuring the quality and safety of food products.
The species tested in the present study (B. subtilis, B. coagulans and B. licheniformis) are known to be the major contributors to the fermentation of soybeans (at least in some cases) as well as spoilage microorganisms in fermented soybeans [31,32]. Finely controlling the sporulation of different Bacillus species may facilitate the selective elimination of undesirable species (especially, B. cereus), while preserving beneficial Bacillus species in food products. The results found in this study may contribute to a better understanding of differences in sporulation between the two groups of Bacillus species, which may in turn be helpful in at least partially reducing contamination of fermented soybeans and other foods by undesirable Bacillus spores. Selective prevention of sporulation of undesirable Bacillus species may be more satisfactorily achieved if the knowledge obtained in this study is combined with other intervention strategies, which remains to be further studied. The intervention strategies may involve the use of heat-resistant spores as protective cultures, adjustment of conditions used for heat treatment and storage, and use of proper minerals and other additives affecting sporulation and heat resistance, which have been intensively studied with Clostridium sporogenes [33,34,35,36].
4. Conclusions
This study was conducted to analyze the effect of calcium and manganese on the sporulation of four common pathogenic and food spoilage Bacillus species: B. licheniformis, B. cereus, B. coagulans and B. subtilis. The results demonstrated that the lowest sporulation capacities of B. licheniformis and B. cereus were observed on media supplemented in minimal concentrations of minerals and non-supplemented media, respectively. Interestingly, the highest sporulation of B. subtilis and B. coagulans was observed on media without mineral supplementation. Moreover, the highest sporulation yields of B. licheniformis and B. cereus were obtained on media supplemented solely with calcium, while the lowest yields of B. subtilis and B. coagulans spores were obtained on media with high levels of calcium supplementation. Based on the observed spore yields, the tested Bacillus species may be divided into two groups: B. licheniformis and B. cereus; and B. subtilis and B. coagulans. This study may provide insight in the dynamics of sporulation useful for developing intervention and risk assessment strategies to ensure the quality and safety of food products. This study also suggests that selective prevention of sporulation of undesirable Bacillus species is possible, while not or less affecting beneficial Bacillus species in food products.
Supplementary Materials
The followings are available online at https://www.mdpi.com/2304-8158/8/4/119/s1, Table S1: Statistical comparison of sporulation of B. licheniformis and B. cereus influenced by calcium and manganese supplementation concentrations, Table S2: Statistical comparison of sporulation of B. subtilis and B. coagulans influenced by calcium and manganese supplementation concentrations.
Author Contributions
Conceptualization, Y.-W.K., H.-J.H., and J.-H.M.; Investigation, M.T.S. and Y.K.P.; Writing—original draft preparation, M.T.S.; Writing—review and editing, J.H.L., K.C.J., and J.-H.M.; Supervision, J.-H.M.
Funding
This work was supported by Korea Institute of Planning and Evaluation for Technology in Food, Agriculture and Forestry (IPET) through High Value-added Food Technology Development Program, funded by Ministry of Agriculture, Food and Rural Affairs (MAFRA) (314057-03-3-SB010).
Acknowledgments
The authors thank Young Hun Jin, Jun-Hee Lee, and Junsu Lee of Department of Food and Biotechnology at Korea University for technical assistance.
Conflicts of Interest
The authors declare no conflict of interest.
References
- Slepecky, R.A.; Hemphill, H.E. The genus Bacillus-nonmedical. In The Prokaryotes, 3rd ed.; Dworkin, M., Falkow, S., Rosenberg, E., Schleifer, K.H., Stackebrandt, E., Eds.; Springer: Berlin, Germany, 2006; Volume 4, pp. 530–562. [Google Scholar]
- Stöckel, S.; Meisel, S.; Böhme, R.; Elschner, M.; Rösch, P.; Popp, J. Effect of supplementary manganese on the sporulation of Bacillus endospores analysed by Raman spectroscopy. J. Raman Spectrosc. 2009, 40, 1469–1477. [Google Scholar] [CrossRef]
- Gopal, N.; Hill, C.; Ross, P.R.; Beresford, T.P.; Fenelon, M.A.; Cotter, P.D. The prevalence and control of Bacillus and related spore-forming bacteria in the dairy industry. Front. Microbiol. 2015, 6, 1418. [Google Scholar] [CrossRef] [PubMed]
- Salkinoja-Salonen, M.S.; Vuorio, R.; Andersson, M.A.; Kämpfer, P.; Andersson, M.C.; Honkanen-Buzalski, T.; Scoging, A.C. Toxigenic strains of Bacillus licheniformis related to food poisoning. Appl. Environ. Microbiol. 1999, 65, 4637–4645. [Google Scholar] [PubMed]
- Cazemier, A.E.; Wagenaars, S.F.M.; ter Steeg, P.F. Effect of sporulation and recovery medium on the heat resistance and amount of injury of spores from spoilage bacilli. J. Appl. Microbiol. 2001, 90, 761–770. [Google Scholar] [CrossRef] [PubMed]
- Nicholson, W.L.; Munakata, N.; Horneck, G.; Melosh, H.J.; Setlow, P. Resistance of Bacillus endospores to extreme terrestrial and extraterrestrial environments. Microbiol. Mol. Biol. Rev. 2000, 64, 548–572. [Google Scholar] [CrossRef] [PubMed]
- Ryu, J.-H.; Kim, H.; Beuchat, L.R. Spore formation by Bacillus cereus in broth as affected by temperature, nutrient availability, and manganese. J. Food Prot. 2005, 68, 1734–1738. [Google Scholar] [CrossRef] [PubMed]
- Cronin, U.P.; Wilkinson, M.G. Bacillus cereus endospores exhibit a heterogeneous response to heat treatment and low-temperature storage. Food Microbiol. 2008, 25, 235–243. [Google Scholar] [CrossRef] [PubMed]
- Leggett, M.J.; McDonnell, G.; Denyer, S.P.; Setlow, P.; Maillard, J.-Y. Bacterial spore structures and their protective role in biocide resistance. J. Appl. Microbiol. 2012, 113, 485–498. [Google Scholar] [CrossRef] [PubMed]
- Bassi, D.; Colla, F.; Gazzola, S.; Puglisi, E.; Delledonne, M.; Cocconcelli, P.S. Transcriptome analysis of Bacillus thuringiensis spore life, germination and cell outgrowth in a vegetable-based food model. Food Microbiol. 2016, 55, 73–85. [Google Scholar] [CrossRef] [PubMed]
- Slepecky, R.; Foster, J.W. Alterations in metal content of spores of Bacillus megaterium and the effect of some spore properties. J. Bacteriol. 1959, 78, 117–123. [Google Scholar] [PubMed]
- Sella, S.R.B.R.; Vandenberghe, L.P.S.; Soccol, C.R. Life cycle and spore resistance of spore-forming Bacillus atrophaeus. Microbiol. Res. 2014, 169, 931–939. [Google Scholar] [CrossRef]
- Charney, J.; Fisher, W.P.; Hegarty, C.P. Manganese as an essential element for sporulation in the genus Bacillus. J. Bacteriol. 1951, 62, 145–148. [Google Scholar]
- Kolodziej, B.J.; Slepecky, R.A. Trace metal requirements for sporulation of Bacillus megaterium. J. Bacteriol. 1964, 88, 821–830. [Google Scholar]
- Weinberg, E.D. Manganese requirement for sporulation and other secondary biosynthetic processes of Bacillus. Appl. Environ. Microbiol. 1964, 12, 436–441. [Google Scholar]
- Bender, G.R.; Marquis, R.E. Spore heat resistance and specific mineralization. Appl. Environ. Microbiol. 1985, 50, 1414–1421. [Google Scholar] [PubMed]
- Amaha, M.; Ordal, Z.J. Effect of divalent cations in the sporulation medium on the thermal death rate of Bacillus coagulans var. thermoacidurans. J. Bacteriol. 1957, 74, 596–604. [Google Scholar]
- Levinson, H.S.; Hyatt, M.T. Effect of sporulation medium on heat resistance, chemical composition, and germination of Bacillus megaterium spores. J. Bacteriol. 1964, 87, 876–886. [Google Scholar]
- Bai, X. Development of Spore Starter Technology to Control Food-Borne Pathogenic Bacteria in Fermented Soybean Products. Master’s Thesis, Korea University, Sejong, Korea, 2013. [Google Scholar]
- Vasantha, N.; Freese, E. The role of manganese in growth and sporulation of Bacillus subtilis. J. Gen. Microbiol. 1979, 112, 329–336. [Google Scholar] [CrossRef]
- Amaha, M.; Ordal, Z.J.; Touba, A. Sporulation requirements of Bacillus coagulans var. thermoacodurans in complex media. J. Bacteriol. 1956, 72, 34–41. [Google Scholar]
- Oomes, S.J.C.M.; Jonker, M.J.; Wittink, F.R.A.; Hehenkamp, J.O.; Breit, T.M.; Brul, S. The effect of calcium on the transcriptome of sporulating B. subtilis cells. Int. J. Food Microbiol. 2009, 133, 234–242. [Google Scholar] [CrossRef] [PubMed]
- Rey, M.W.; Ramaiya, P.; Nelson, B.A.; Brody-Karpin, S.D.; Zaretsky, E.J.; Tang, M.; Lopez de Leon, A.; Xiang, H.; Gusti, V.; Clausen, I.G.; et al. Complete genome sequence of the industrial bacterium Bacillus licheniformis and comparisons with closely related Bacillus species. Genome Biol. 2004, 5, R77. [Google Scholar] [CrossRef]
- Veitha, B.; Herzberga, C.; Steckel, S.; Feesche, J.; Maurer, K.H.; Ehrenreich, P.; Bäumer, S.; Hennea, A.; Liesegang, H.; Merkl, R.; et al. The complete genome sequence of Bacillus licheniformis DSM13, an organism with great industrial potential. J. Mol. Microbiol. Biotechnol. 2004, 7, 204–211. [Google Scholar] [CrossRef] [PubMed]
- Kung, H.-F.; Tsai, Y.-H.; Wei, C.-I. Histamine and other biogenic amines and histamine-forming bacteria in miso products. Food Chem. 2007, 101, 351–356. [Google Scholar] [CrossRef]
- Troller, J.A. Influence of water activity on microorganisms in foods. Food Technol. 1980, 34, 76–82. [Google Scholar]
- Sofos, J.N. Antimicrobial effects of sodium and other ions in foods: a review. J. Food Saf. 1983, 6, 45–78. [Google Scholar] [CrossRef]
- Nagler, K.; Setlow, P.; Li, Y.-Q.; Moeller, R. High salinity alters the germination behavior of Bacillus subtilis spores with nutrient and nonnutrient germinants. Appl. Environ. Microbiol. 2014, 80, 1314–1321. [Google Scholar] [CrossRef]
- Setlow, P. Mechanisms for the prevention of damage to DNA in spores of Bacillus species. Annu. Rev. Microbiol. 1995, 49, 29–54. [Google Scholar] [CrossRef] [PubMed]
- Setlow, P. Spores of Bacillus subtilis: their resistance to and killing by radiation, heat and chemicals. J. Appl. Microbiol. 2006, 101, 514–525. [Google Scholar] [CrossRef]
- Lee, M.Y.; Park, S.-Y.; Jung, K.-O.; Park, K.-Y.; Kim, S.D. Quality and functional characteristics of chungkukjang prepared with various Bacillus sp. isolated from traditional chungkukjang. J. Food Sci. 2005, 70, M191–M196. [Google Scholar] [CrossRef]
- Kubo, Y.; Rooney, A.P.; Tsukakoshi, Y.; Nakagawa, R.; Hasegawa, H.; Kimura, K. Phylogenetic analysis of Bacillus subtilis strains applicable to natto (fermented soybean) production. Appl. Environ. Microbiol. 2011, 77, 6463–6469. [Google Scholar] [CrossRef]
- Mah, J.-H.; Kang, D.-H.; Tang, J. Morphological study of heat-sensitive and heat-resistant spores of Clostridium sporogenes, using transmission electron microscopy. J. Food Prot. 2008, 71, 953–958. [Google Scholar] [CrossRef]
- Mah, J.-H.; Kang, D.-H.; Tang, J. Effects of minerals on sporulation and heat resistance of Clostridium sporogenes. Int. J. Food Microbiol. 2008, 128, 385–389. [Google Scholar] [CrossRef]
- Mah, J.-H.; Kang, D.-H.; Tang, J. Comparison of viability and heat resistance of Clostridium sporogenes stored at different temperatures. J. Food Sci. 2009, 74, M23–M27. [Google Scholar] [CrossRef]
- Byun, B.Y.; Liu, Y.; Tang, J.; Kang, D.-H.; Cho, H.-Y.; Hwang, H.-J.; Mah, J.-H. Optimization and evaluation of heat-shock condition for spore enumeration being used in thermal-process verification: Differential responses of spores and vegetative cells of Clostridium sporogenes to heat shock. Food Sci. Biotechnol. 2011, 20, 751–757. [Google Scholar] [CrossRef]
© 2019 by the authors. Licensee MDPI, Basel, Switzerland. This article is an open access article distributed under the terms and conditions of the Creative Commons Attribution (CC BY) license (http://creativecommons.org/licenses/by/4.0/).

