Effects of Various Drying Methods on Some Physico-Chemical Properties and the Antioxidant Profile and ACE Inhibition Activity of Oyster Mushrooms (Pleurotus Ostreatus)
Abstract
1. Introduction
2. Materials and Methods
2.1. Raw Materials
2.2. Chemicals
2.3. Drying Process
2.3.1. Freeze Drying (FD)
2.3.2. Hot Air Drying (HAD)
2.3.3. Microwave Drying (MWD)
2.3.4. Sun Drying (SD)
2.4. Determination of Structure and Rehydration Ratio
2.4.1. X-ray CT
2.4.2. Determination of Rehydration Ratio (RR)
2.5. In Vitro Digestion Methods
2.6. Chemical Analysis of Oyster Mushroom Extracts
2.6.1. Determination of the Basic Chemical Parameters
2.6.2. Total Phenol Content (TPC)
2.6.3. Total Flavonoid Content (TFC)
2.6.4. Gas Chromatographic Analysis
2.6.5. Matrix-Assisted Laser Desorption/Ionization (MALDI) Time-of-Flight (TOF) Mass Spectrometry
2.7. Determination of Antioxidative Activity
2.7.1. ABTS Radical Scavenger Activity
2.7.2. Reduction of Performance Activity
2.7.3. Ferri Reducibility (the FRAP Assay)
2.7.4. Determination of Total Antioxidant Capacity by Electrochemical Method
2.7.5. Lipid Peroxidation Inhibition Test
2.8. Angiotensin-Converting Enzyme Assay (ACE) Inhibitory Assay
2.9. Statistical Analysis
3. Results and Discussion
3.1. X-ray CT Analysis
3.2. Effects of Drying Methods on the Rehydration Ratio
3.3. Influence of Drying Processes on Some Chemical Properties of Pleurotus Ostreatus under In Vitro Conditions Simulating the Gastrointestinal Digestive Process
3.3.1. Basic Chemical Parameters
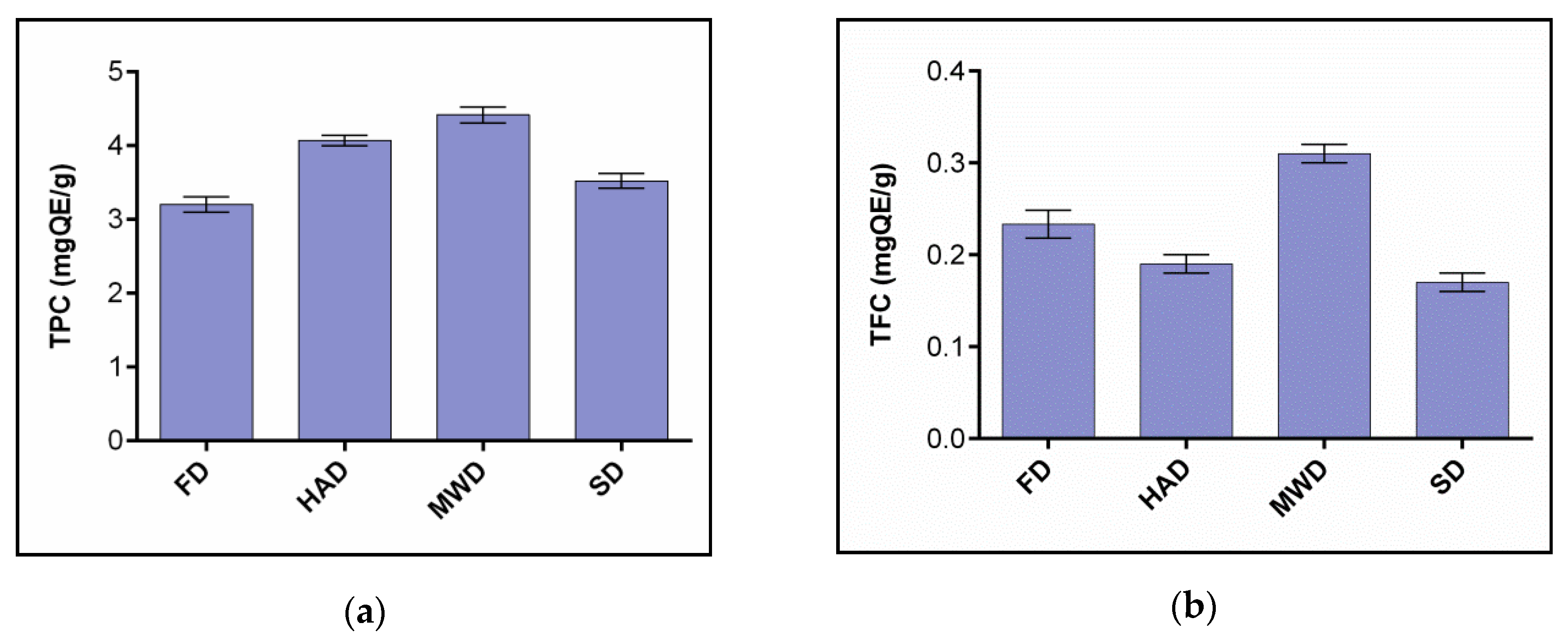
3.3.2. Effects of Drying Processes on the TPC and TFC of Oyster Mushroom Extracts
3.3.3. Composition of Secondary Metabolites
3.3.4. MALDI-TOF Mass Spectrometry
3.4. Influence of Drying Processes on the Antioxidative Activity of Pleurotus Ostreatus In Vitro for the Simulation of Gastrointestinal Digestion
3.5. ACE Inhibitory Activity
4. Conclusions
Author Contributions
Funding
Conflicts of Interest
References
- Vidović, S.S.; Mujić, I.O.; Zeković, Z.P.; Lepojević, Ž.D.; Tumbas, V.T.; Mujić, A.I. Antioxidant Properties of Selected Boletus Mushrooms. Food Biophys. 2009, 5, 49–58. [Google Scholar] [CrossRef]
- Willett, W.S. Eat, Drink, and Be Healthy: The Harvard Medical School Guide to Healthy Eating; Simon and Schuster: New York, NY, USA, 2001. [Google Scholar]
- Munzel, T.; Keaney, J.F. Are ACE Inhibitors a “Magic Bullet” Against Oxidative Stress? Circulation 2001, 104, 1571–1574. [Google Scholar] [CrossRef] [PubMed]
- Maslov, L.N.; Naryzhnaya, N.V.; Boshchenko, A.A.; Popov, S.V.; Ivanov, V.V.; Oeltgen, P.R. Is oxidative stress of adipocytes a cause or a consequence of the metabolic syndrome? J. Clin. Transl. Endocrinol. 2019, 15, 1–5. [Google Scholar] [CrossRef] [PubMed]
- Yunusova, N.V.; Kondakova, I.V.; Kolomiets, L.A.; Afanas’ev, S.G.; Kishkina, A.Y.; Spirina, L.V. The role of metabolic syndrome variant in the malignant tumor’s progression. Diabetes Metab. Syndr. Clin. Res. Rev. 2018, 12, 807–812. [Google Scholar] [CrossRef]
- Skurikhin, E.G.; Pershina, O.V.; Pakhomova, A.V.; Pan, E.S.; Krupin, V.A.; Ermakova, N.N.; Vaizova, O.E.; Pozdeeva, A.S.; Zhukova, M.A.; Skurikhina, V.E.; et al. Endothelial Progenitor Cells as Pathogenetic and Diagnostic Factors, and Potential Targets for GLP-1 in Combination with Metabolic Syndrome and Chronic Obstructive Pulmonary Disease. Int. J. Mol. Sci. 2019, 20, 1105. [Google Scholar] [CrossRef]
- Lu, X.; Brennan, M.A.; Serventi, L.; Liu, J.; Guan, W.; Brennan, C.S. Addition of mushroom powder to pasta enhances the antioxidant content and modulates the predictive glycaemic response of pasta. Food Chem. 2018, 264, 199–209. [Google Scholar] [CrossRef]
- Proserpio, C.; Pagliarini, E.; Laureati, M.; Frigerio, B.; Lavelli, V. Acceptance of a New Food Enriched in β-Glucans among Adolescents: Effects of Food Technology Neophobia and Healthy Food Habits. Foods 2019, 8, 433. [Google Scholar] [CrossRef]
- Sałata, A.; Lemieszek, M.; Parzymies, M. The nutritional and health properties of an oyster mushroom (Pleurotus ostreatus (Jacq. Fr) P. Kumm.). Acta Sci. Pol. Hortorum Cultus. 2018, 17, 185–197. [Google Scholar] [CrossRef]
- Yan, J.; Zhu, L.; Qu, Y.; Qu, X.; Mu, M.; Zhang, M.; Sun, L. Analyses of active antioxidant polysaccharides from four edible mushrooms. Int. J. Biol. Macromol. 2019, 123, 945–956. [Google Scholar] [CrossRef]
- Koutrotsios, G.; Kalogeropoulos, N.; Kaliora, A.C.; Zervakis, G.I. Toward an Increased Functionality in Oyster (Pleurotus) Mushrooms Produced on Grape Marc or Olive Mill Wastes Serving as Sources of Bioactive Compounds. J. Agric. Food Chem. 2018, 66, 5971–5983. [Google Scholar] [CrossRef]
- Liu, D.; Chen, Y.-Q.; Xiao, X.-W.; Zhong, R.-T.; Yang, C.-F.; Liu, B.; Zhao, C. Nutrient Properties and Nuclear Magnetic Resonance-Based Metabonomic Analysis of Macrofungi. Foods 2019, 8, 397. [Google Scholar] [CrossRef] [PubMed]
- Ji, H.; Du, A.; Zhang, L.; Li, S.; Yang, M.; Li, B. Effects of Drying Methods on Antioxidant Properties and Phenolic Content in White Button Mushroom. Int. J. Food Eng. 2012, 8, 1–14. [Google Scholar] [CrossRef]
- Piskov, S.I.; Timchenko, L.D.; Rzhepakovsky, I.V.; Avanesyan, S.S.; Bondareva, N.I.; Sizonenko, M.N.; Areshidze, D.A. Effect of pre-treatment conditions on the antiatherogenic potential of freeze-dried oyster mushrooms. Foods Raw Mater. 2019, 7, 375–386. [Google Scholar] [CrossRef]
- Maray, A.R.M.; Mostafa, M.K.; El-Fakhrany, A.E.-D.M.A. Effect of pretreatments and drying methods on physico-chemical, sensory characteristics and nutritional value of oyster mushroom. J. Food Process. Preserv. 2017, 42, e13352. [Google Scholar] [CrossRef]
- Tian, Y.; Zhao, Y.; Huang, J.; Zeng, H.; Zheng, B. Effects of different drying methods on the product quality and volatile compounds of whole shiitake mushrooms. Food Chem. 2016, 197, 714–722. [Google Scholar] [CrossRef]
- Duan, J.-L.; Xu, J.-G. Effects of Drying Methods on Physico-Chemical Properties and Antioxidant Activity of Shiitake Mushrooms (Lentinus edodes). Agric. Food Sci. Res. 2015, 2, 51–55. [Google Scholar]
- Dalmau, M.E.; Bornhorst, G.M.; Eim, V.; Rosselló, C.; Simal, S. Effects of freezing, freeze drying and convective drying on in vitro gastric digestion of apples. Food Chem. 2017, 215, 7–16. [Google Scholar] [CrossRef]
- Ucar, T.M.; Karadag, A. The effects of vacuum and freeze-drying on the physicochemical properties and in vitro digestibility of phenolics in oyster mushroom (Pleurotus ostreatus). J. Food Meas. Charact. 2019, 13, 2298–2309. [Google Scholar] [CrossRef]
- Parniakov, O.; Bals, O.; Lebovka, N.; Vorobiev, E. Pulsed electric field assisted vacuum freeze-drying of apple tissue. Innov. Food Sci. Emerg. Technol. 2016, 35, 52–57. [Google Scholar] [CrossRef]
- Prosapio, V.; Norton, I. Influence of osmotic dehydration pre-treatment on oven drying and freeze drying performance. LWT 2017, 80, 401–408. [Google Scholar] [CrossRef]
- Al-Amin, M.; Hossain, M.S.; Iqbal, A. Effect of pre-treatments and drying methods on dehydration and rehydration characteristics of carrot. Univers. J. Food Nutr. Sci. 2015, 3, 23–28. [Google Scholar] [CrossRef]
- Ando, Y.; Maeda, Y.; Mizutani, K.; Wakatsuki, N.; Hagiwara, S.; Nabetani, H. Impact of blanching and freeze-thaw pretreatment on drying rate of carrot roots in relation to changes in cell membrane function and cell wall structure. LWT-Food Sci. Technol. 2016, 71, 40–46. [Google Scholar] [CrossRef]
- Hernando, I.; Sanjuán, N.; Pérez-Munuera, I.; Mulet, A. Rehydration of Freeze-Dried and Convective Dried Boletus edulis Mushrooms: Effect on Some Quality Parameters. J. Food Sci. 2008, 73, E356–E362. [Google Scholar] [CrossRef]
- Cafarelli, B.; Spada, A.; Laverse, J.; Lampignano, V.; Del Nobile, M.A. X-ray microtomography and statistical analysis: Tools to quantitatively classify bread microstructure. J. Food Eng. 2014, 124, 64–71. [Google Scholar] [CrossRef]
- McDougall, G.J.; Fyffe, S.; Dobson, P.; Stewart, D. Anthocyanins from red wine—Their stability under simulated gastrointestinal digestion. Phytochemistry 2005, 66, 2540–2548. [Google Scholar] [CrossRef]
- Lahl, W.J.; Braun, S.D. Enzymatic production of protein hydrolysates for food use. Food Technol. 1994, 48, 68–71. [Google Scholar]
- Gornall, A.G.; Baradawill, J.; David, M. Determination of serum protein by means of the biuret reaction. J. Biol. Chem. 1949, 77, 751–766. [Google Scholar]
- Swain, T.; Hills, W.E. The phenolic constituents of Prunus domestica. J. Sci. Food Agric. 1959, 10, 63–68. [Google Scholar] [CrossRef]
- Chang, C.-C.; Yan, M.-H.; Wen, H.-M.; Chern, J.-C. Estimation of Total Flavonoid Content in Propolis by Two Complementary Colorimetric Methods. J. Food Drug Anal. 2002, 10, 178–182. [Google Scholar]
- Minkiewicz, P.; Iwaniak, A.; Darewicz, M. BIOPEP-UWM Database of Bioactive Peptides: Current Opportunities. Int. J. Mol. Sci. 2019, 20, 5978. [Google Scholar] [CrossRef]
- Klompong, V.; Benjakul, S.; Kantachote, D.; Shahidi, F. Antioxidative activity and functional properties of protein hydrolysate of yellow stripe trevally (Selaroides leptolepis) as influenced by the degree of hydrolysis and enzyme type. Food Chem. 2007, 102, 1317–1327. [Google Scholar] [CrossRef]
- Piljac-Žegarac, J.; Valek, L.; Stipčević, T.; Martinez, S. Electrochemical determination of antioxidant capacity. Food Chem. 2010, 121, 820–825. [Google Scholar] [CrossRef]
- Hoyos-Arbeláez, J.; Vázquez, M.; Contreras-Calderón, J. Electrochemical methods as a tool for determining the antioxidant capacity of food and beverages: A review. Food Chem. 2017, 221, 1371–1381. [Google Scholar] [CrossRef]
- Kimatu, B.M.; Zhao, L.; Biao, Y.; Ma, G.; Yang, W.; Pei, F.; Hu, Q. Antioxidant potential of edible mushroom (Agaricus bisporus) protein hydrolysates and their ultrafiltration fractions. Food Chem. 2017, 230, 58–67. [Google Scholar] [CrossRef]
- Abdullah, N.; Ismail, S.M.; Aminudin, N.; Shuib, A.S.; Lau, B.F. Evaluation of Selected Culinary-Medicinal Mushrooms for Antioxidant and ACE Inhibitory Activities. Evidence-Based Complementary Altern. Med. 2012, 2012, 1–12. [Google Scholar] [CrossRef]
- Rudy, S.; Dziki, D.; Krzykowski, A.; Gawlik-Dziki, U.; Polak, R.; Różyło, R.; Kulig, R. Influence of pre-treatments and freeze-drying temperature on the process kinetics and selected physico-chemical properties of cranberries (Vaccinium macrocarpon Ait.). LWT Food Sci. Technol. 2015, 63, 497–503. [Google Scholar] [CrossRef]
- Izli, N.; Isik, E. Effect of different drying methods on drying characteristics, colour and microstructure properties of mushroom. J. Food Nutr. Res. 2014, 53, 105–116. [Google Scholar]
- Piskov, S.I.; Timchenko, L.D.; Rzhepakovsky, I.V.; Avanesyan, S.S.; Sizonenko, M.N.; Areshidze, D.A.; Kovalev, D.A. The influence of the drying method for food properties and hypolidemic potential of oyster mushrooms (Pleurotus ostreatus). Vopr. Pitan. Probl. Nutr. 2018, 87, 65–76. [Google Scholar] [CrossRef]
- Niamnuy, C.; Devahastin, S.; Soponronnarit, S. Some recent advances in microstructural modification and monitoring of foods during drying: A review. J. Food Eng. 2014, 123, 148–156. [Google Scholar] [CrossRef]
- Laverse, J.; Frisullo, P.; Conte, A.; Del Nobile, M.A. X-Ray Microtomography for Food Quality Analysis. In Food Industrial Processes—Methods and Equipment; Benjamin, V., Ed.; InTech: Vienna, Austria, 2012; pp. 339–362. [Google Scholar] [CrossRef]
- Apati, G.P.; Furlan, S.A.; Laurindo, J.B. Drying and rehydration of oyster mushroom. Braz. Arch. Biol. Technol. 2010, 53, 945–952. [Google Scholar] [CrossRef]
- Singh, N.J.; Pandey, R.K. Rehydration characteristics and structural change of sweet potato cubes after dehydration. Am. J. Food Technol. 2011, 6, 709–716. [Google Scholar] [CrossRef]
- Seremet (Ceclu), L.; Botez, E.; Nistor, O.-V.; Andronoiu, D.G.; Mocanu, G.-D. Effect of different drying methods on moisture ratio and rehydration of pumpkin slices. Food Chem. 2016, 195, 104–109. [Google Scholar] [CrossRef] [PubMed]
- Jin, B.; Zhou, X.; Li, B.; Lai, W.; Li, X. Influence of In vitro Digestion on Antioxidative Activity of Coconut Meat Protein Hydrolysates. Trop. J. Pharm. Res. 2015, 14, 441. [Google Scholar] [CrossRef][Green Version]
- Sun, J.; He, H.; Xie, B.J. Novel Antioxidant Peptides from Fermented Mushroom Ganoderma Lucidum. J. Agric. Food Chem. 2004, 52, 6646–6652. [Google Scholar] [CrossRef] [PubMed]
- Ferreira, I.; Barros, L.; Abreu, R. Antioxidants in Wild Mushrooms. Curr. Med. Chem. 2009, 16, 1543–1560. [Google Scholar] [CrossRef] [PubMed]
- Lim, Y.Y.; Murtijaya, J. Antioxidant properties of Phyllanthus amarus extracts as affected by different drying methods. LWT Food Sci. Technol. 2007, 40, 1664–1669. [Google Scholar] [CrossRef]
- Toor, R.K.; Savage, G.P. Effect of semi-drying on the antioxidant components of tomatoes. Food Chem. 2006, 94, 90–97. [Google Scholar] [CrossRef]
- Chan, E.W.C.; Lim, Y.Y.; Wong, L.F.; Lianto, F.S.; Wong, S.K.; Lim, K.K.; Lim, T.Y. Antioxidant and tyrosinase inhibition properties of leaves and rhizomes of ginger species. Food Chem. 2008, 109, 477–483. [Google Scholar] [CrossRef]
- Dewanto, V.; Wu, X.; Adom, K.K.; Liu, R.H. Thermal Processing Enhances the Nutritional Value of Tomatoes by Increasing Total Antioxidant Activity. J. Agric. Food Chem. 2002, 50, 3010–3014. [Google Scholar] [CrossRef]
- Kubra, I.R.; Rao, L.J.M. Microwave drying of ginger (Zingiber officinale Roscoe) and its effects on polyphenolic content and antioxidant activity. Int. J. Food Sci. Technol. 2012, 47, 2311–2317. [Google Scholar] [CrossRef]
- Garau, M.C.; Simal, S.; Rosselló, C.; Femenia, A. Effect of air-drying temperature on physico-chemical properties of dietary fibre and antioxidant capacity of orange (Citrus Aurantium v. Canoneta) by-products. Food Chem. 2007, 104, 1014–1024. [Google Scholar] [CrossRef]
- Lacramioara, O.; Radu, G.A.; Andreea, V.; Marius, N.G. Effect of Freeze-drying and Oven-drying Methods on Flavonoids Content in two Romanian Grape Varieties. Revista de Chimie-Bucharest-Original Edition 2019, 70, 491–494. [Google Scholar]
- Fan, Y.; He, X.; Zhou, S.; Luo, A.; He, T.; Chun, Z. Composition analysis and antioxidant activity of polysaccharide from Dendrobium denneanum. Int. J. Biol. Macromol. 2009, 45, 169–173. [Google Scholar] [CrossRef] [PubMed]
- Kolupaev, Y.Y.; Yastreb, T.O.; Karpets, Y.V.; Miroshnichenko, N.N. Influence of salicylic and succinic acids on antioxidant enzymes activity, heat resistance and productivity of Panicum miliaceum L. J. Stress Physiol. Biochem. 2011, 7, 154–163. [Google Scholar]
- Heleno, S.A.; Ferreira, R.C.; Antonio, A.L.; Queiroz, M.-J.R.P.; Barros, L.; Ferreira, I.C.F.R. Nutritional value, bioactive compounds and antioxidant properties of three edible mushrooms from Poland. Food Bioscience 2015, 11, 48–55. [Google Scholar] [CrossRef]
- Amarowicz, R. Antioxidant activity of Maillard reaction products. Eur. J. Lipid Sci. Technol. 2009, 111, 109–111. [Google Scholar] [CrossRef]
- Asamoa, A.A.; Essel, E.A.; Jacob, K.; Agbenorhevi, I.; Oduro, N. Effect of Processing Methods on the Proximate Composition, Total Phenols and Antioxidant Properties of Two Mushroom Varieties. Am. J. Food Nutr. 2018, 6, 55–59. [Google Scholar] [CrossRef]
- Kang, K.S.; Yamabe, N.; Kim, H.Y.; Okamoto, T.; Sei, Y.; Yokozawa, T. Increase in the free radical scavenging activities of American ginseng by heat processing and its safety evaluation. J. Ethnopharmacol. 2007, 113, 225–232. [Google Scholar] [CrossRef]
- Čechovská, L.; Cejpek, K.; Konečný, M.; Velíšek, J. On the role of 2,3-dihydro-3,5-dihydroxy-6-methyl-(4H)-pyran-4-one in antioxidant capacity of prunes. Eur. Food Res. Technol. 2011, 233, 367–376. [Google Scholar] [CrossRef]
- Muszyńska, B.; Grzywacz-Kisielewska, A.; Kała, K.; Gdula-Argasińska, J. Anti-inflammatory properties of edible mushrooms: A review. Food Chem. 2018, 243, 373–381. [Google Scholar] [CrossRef]
- Rzhepakovsky, I.V.; Timchenko, L.D.; Areshidze, D.A.; Avanesyan, S.S.; Budkevich, E.V.; Piskov, S.I.; Mannino, S.; Lodygin, A.D.; Kovalev, D.A.; Kochergin, S.G. Antioxidant activity of chicken embryo tissues powder obtained by different methods of hydrolysis. J. Hyg. Eng. Des. 2019, 27, 127–133. [Google Scholar]
- Cheung, L.M.; Cheung, P.C.K. Mushroom extracts with antioxidant activity against lipid peroxidation. Food Chem. 2005, 89, 403–409. [Google Scholar] [CrossRef]
- Kim, M.-J.; Chu, W.-M.; Par, E.J. Antioxidant and antigenotoxic effects of shiitake mushrooms affected by different drying method. J. Korean Soc. Food Sci. Nutr. 2012, 41, 1041–1048. [Google Scholar] [CrossRef]
- Manimaran, M.; Kannabiran, K. Marine Streptomyces Sp. VITMK1 Derived Pyrrolo [1, 2-A] Pyrazine-1, 4-Dione, Hexahydro-3-(2-Methylpropyl) and Its Free Radical Scavenging Activity. Open Bioact. Compd. J. 2017, 5, 23–30. [Google Scholar] [CrossRef]
- Ibadallah, B.; Abdullah, N.; Shuib, A. Identification of Angiotensin-Converting Enzyme Inhibitory Proteins from Mycelium of Pleurotus pulmonarius (Oyster Mushroom). Planta Medica. 2015, 81, 123–129. [Google Scholar] [CrossRef]
- Manoharan, S.; Shuib, A.S.; Abdullah, N.; Mohamad, S.B.; Aminudin, N. Characterisation of novel angiotensin-I-converting enzyme inhibitory tripeptide, Gly-Val-Arg derived from mycelium of Pleurotus pulmonarius. Process Biochem. 2017, 62, 215–222. [Google Scholar] [CrossRef]
- Lau, C.-C.; Abdullah, N.; Aminudin, N.; Shuib, A.S. Effect of Freeze-Drying Process on the Property of Angiotensin I-Converting Enzyme Inhibitory Peptides in Grey Oyster Mushrooms. Dry. Technol. 2013, 31, 1693–1700. [Google Scholar] [CrossRef]







| POV 1 | OSVR 2 | FI 3 | DA 4 | SMI 5 | |
|---|---|---|---|---|---|
| FD | 87.14 ± 3.78 a | 0.015 ± 0.00067 a | −0.08 ± 0.0034 a | 0.26 ± 0.010 a | −32.08 ± 1.39 a |
| HAD | 72.34 ± 3.20 b | 0.019 ± 0.00081 b | 0.000029 ± 0.0000012 b | 0.37 ± 0.016 b | 0.009 ± 0.00034 b |
| MWD | 56.76 ± 2.53 c | 0.018 ± 0.00077 b | 0.00082 ± 0.00034 c | 0.55 ± 0.024 a | 0.27 ± 0.012 c |
| SD | 59.93 ± 2.58 c | 0.021 ± 0.0011 b | −0.014 ± 0.00060 d | 0.34 ± 0.014 b | −0.38 ± 0.016 d |
| The Investigated Parameter | FD | HAD | MWD | SD |
|---|---|---|---|---|
| Amount of dry matter, g/L | 40.0 ± 1.73 a,b | 37.3 ± 1.61 a | 43.3 ± 1.92 b | 39.9 ± 1.82 a,b |
| Ionometry (pH) | 7.05 ± 0.31 | 6.91 ± 0.29 | 7.5 ± 0.33 | 6.93 ± 0.31 |
| Total nitrogen (TN),% | 0.27 ± 0.01 a | 0.20 ± 0.01 a | 0.32 ± 0.01 b | 0.22 ± 0.01 a |
| Amine nitrogen (AN), g/L | 0.87 ± 0.04 a | 0.95 ± 0.04 a,c | 0.80 ± 0.04 b | 1.01 ± 0.04 c |
| Degree of hydrolysis (DH),% | 32.1 ± 1.56 a | 46.7 ± 2.08 b | 25.1 ± 1.21 c | 45.8 ± 2.08 b |
| Amount of amino acids, g/L | 3.81 ± 0.17 a | 4.16 ± 0.18 b | 3.51 ± 0.15 a | 4.02 ± 0.19 b |
| Amount of peptides, g/L | 8.06 ± 0.35 a | 4.73 ± 0.21 b | 10.46 ± 0.45 c | 5.23 ± 0.21 b |
| Amount of monosaccharides in recalculation for glucose,% | 0.24 ± 0.01 a | 0.21 ± 0.01 a | 0.23 ± 0.01 a | 0.22 ± 0.01 a |
| Name of the Compounds | Structure | Relative Peak Area (%) | |||
|---|---|---|---|---|---|
| FD | HAD | MWD | FD | ||
| l-Lactic acid | ![]() | 48.72 | 22.24 | 27.23 | 28.81 |
| Butanedioic acid, 2,3-dihydroxy- [R-(R*,R*)]-, dimethyl ester | ![]() | nd | 0.17 | 1.79 | nd |
| Glycerin | ![]() | 6.10 | 2.08 | 3.15 | 2.08 |
| 6-Nitrohexan-2-ol | ![]() | nd | 1.14 | nd | nd |
| 1-Butanamine, 3-methyl-N-(3-methylbutylidene)- | ![]() | nd | nd | 1,23 | nd |
| Cyclopentane, 1-acetyl-1,2-epoxy- | ![]() | nd | nd | 1,11 | nd |
| 1-Propanol, 2-(2- hydroxypropoxy)- | ![]() | 2.19 | 1.65 | 2.88 | 1.61 |
| 2-Propanol, 1,1’-oxybis- | ![]() | 1.19 | 1.11 | 2.2 | 0.96 |
| Propanamide, N-methyl-2-amino- | ![]() | nd | nd | nd | 1.49 |
| Benzeneethanamine | ![]() | 2.14 | 1.72 | nd | 1.92 |
| Butanedioic acid, monomethyl ester | ![]() | 0.98 | 0.61 | 14.78 | 0.87 |
| 2(3H)-Furanone, dihydro-4-hydroxy- | ![]() | nd | nd | 1.24 | nd |
| Ornithine | ![]() | 3.09 | 6.74 | nd | 2.85 |
| Benzeneacetic acid | ![]() | nd | 4.56 | nd | 0.45 |
| dl-Valine | ![]() | nd | nd | nd | 1.99 |
| Alanine | ![]() | nd | 5.31 | nd | nd |
| 1,3-Dimethyl-3,4,5,6-tetrahydro-2(1H)-pyrimidinone | ![]() | 1.38 | nd | nd | nd |
| d-Leucine | ![]() | 0.65 | 7.26 | nd | 2.54 |
| 2-Dimethyl silyloxytetradecane | ![]() | nd | nd | nd | 5.3 |
| d-Mannitol,1,4-anhydro- | ![]() | nd | nd | nd | 7.52 |
| Uracil | ![]() | 0.37 | 4.12 | nd | nd |
| 1,3-Dimethyl-3,4,5,6-tetrahydro-2(1H)-pyrimidinone | ![]() | 1.58 | nd | nd | 1.67 |
| 4H-Pyran-4-one, 2,3-dihydro-3,5-dihydroxy-6-methyl- | ![]() | nd | nd | 2.89 | nd |
| 1-Acetyl-4-piperidinecarboxylic acid | ![]() | nd | 2.0 | nd | nd |
| dl-Phenylalanine | ![]() | nd | 3.3 | nd | nd |
| dl-Proline,5-oxo- | ![]() | 4.01 | 2.68 | 1.64 | 4.28 |
| Adenosine 3’,5’-cyclic monophosphate | ![]() | nd | nd | 2.71 | 2.67 |
| 4-Cyanobenzoic acid, 2-phenylethyl ester | ![]() | nd | nd | nd | 1.19 |
| N-(gamma-l-Glutamyl) phenylalanine | ![]() | 3.38 | nd | nd | nd |
| 3-Methyl-1,4-diazabicyclo [4.3.0] nonan-2,5-dione, N-acetyl- | ![]() | 1.28 | nd | nd | 0.94 |
| dl-Alanyl-l-leucine | ![]() | 1.03 | 3.74 | nd | 1.71 |
| Pyrrolo [1,2-a] pyrazine-1,4-dione, hexahydro-3-(2-methylpropyl)- | ![]() | 3.19 | 2.68 | 2.59 | 5.49 |
| 5,10-Diethoxy-2,3,7,8-tetrahydro-1H,6H-dipyrrolo[1,2-a:1’,2’-d] pyrazine | ![]() | 2.29 | 1.89 | 1.65 | 1.0 |
| 2,4-Imidazolidinedione, 5-(4-hydroxybutyl)- | ![]() | nd | 0.53 | nd | 1.11 |
| n-Hexadecanoic acid | ![]() | 2.43 | 1.17 | 2.50 | 1.24 |
| 9,12-Hexadecadienoic acid, methyl ester | ![]() | nd | nd | nd | 1.15 |
| 9,12-Octadecadienoic acid (Z,Z)- | ![]() | 3.53 | nd | 3.97 | nd |
| Hexadecanoic acid, 2-hydroxy-1-(hydroxymethyl)ethyl ester | ![]() | nd | nd | 2.99 | nd |
| 9,12-Octadecadienoic acid (Z,Z)-, 2,3-dihydroxypropyl ester | ![]() | 1.42 | nd | 2.96 | nd |
| Ergosterol | ![]() | 1.68 | nd | nd | 0.56 |
| Pyrrolo[1,2-a] pyrazine-1,4-dione, hexahydro-3-(phenylmethyl)- | ![]() | nd | 1.39 | 0.51 | 0.58 |
| Chemical Mass, Da | ID | Sequence | Activity | FD | HAD | MWD | SD |
|---|---|---|---|---|---|---|---|
| 243 | 3342 | GPA | ACE inhibitor | + | + | − | + |
| 7810 | KP | ACE inhibitor | + | + | − | + | |
| 7837 | PQ | ACE inhibitor | + | + | − | + | |
| 9041 | AGP | ACE inhibitor | + | + | − | + | |
| 8218 | KP | antioxidative | + | + | − | + | |
| 355 | 8000 | LHS | antioxidative | + | + | − | + |
| 373 | 7654 | NKL | ACE inhibitor | + | + | + | + |
| 395 | 8220 | TFE | antioxidative | + | + | − | + |
| 405 | 3301 | HLH | antioxidative | − | − | + | − |
| 3302 | LHH | antioxidative | − | − | + | − | |
| 7909 | IHH | antioxidative | − | + | − | ||
| 7919 | NHH | antioxidative | − | − | + | − | |
| 7984 | HIH | antioxidative | − | − | + | − | |
| 8017 | LWS | antioxidative | − | − | + | − | |
| 8225 | SWN | antioxidative | − | − | + | − | |
| 9179 | QYP | antioxidative | − | − | + | − | |
| 9190 | MAW | ACE inhibitor | − | − | + | − | |
| 9350 | TTW | ACE inhibitor | − | − | + | − | |
| 456 | 7652 | KFY | ACE inhibitor | + | + | − | + |
| 472 | 3364 | HGLF | ACE inhibitor | + | − | − | + |
| 7551 | YQY | ACE inhibitor | + | − | − | + | |
| 7651 | YKY | ACE inhibitor | + | − | − | + | |
| 7653 | KYY | ACE inhibitor | + | − | + | ||
| 7931 | KYY | antioxidative | + | − | − | + | |
| 7934 | YKY | antioxidative | + | − | − | + | |
| 7937 | YYK | antioxidative | + | − | − | + | |
| 7948 | YYQ | antioxidative | + | − | − | + | |
| 7966 | QYY | antioxidative | + | − | − | + | |
| 7969 | YQY | antioxidative | + | − | − | + | |
| 477 | 3364 | HGLF | ACE inhibitor | + | − | − | + |
| 7551 | YQY | ACE inhibitor | + | − | − | + | |
| 7651 | YKY | ACE inhibitor | + | − | − | + | |
| 491 | 7904 | SALAM | antioxidative | − | + | − | + |
| 7943 | YYF | antioxidative | − | + | − | + | |
| 7961 | FYY | antioxidative | − | + | − | + | |
| 7963 | YFY | antioxidative | − | + | − | + | |
| 8431 | MGSPT | antioxidative | − | + | − | + | |
| 9070 | MRW | ACE inhibitor | − | + | − | + | |
| 516 | 8078 | RWR | antioxidative | + | + | + | − |
| 552 | 9242 | PLPLL | ACE inhibitor | − | − | + | − |
| 566 | 7485 | TKVIP | ACE inhibitor | + | − | − | |
| 602 | 8278 | VPYPQ | antioxidative | − | − | − | + |
| 8963 | VPVST | antioxidative | − | − | − | + | |
| 654 | 3566 | EPKAIP | ACE inhibitor | + | + | − | − |
| 3970 | WLAHK | ACE inhibitor | + | + | − | − | |
| 9217 | TFPHGP | ACE inhibitor | + | + | − | − | |
| 8430 | HVAGTVA | antioxidative | + | + | − | − | |
| 671 | 3367 | GKKVLQ | ACE inhibitor | + | + | − | + |
| 9099 | MTEEY | ACE inhibitor | + | + | − | + | |
| 9109 | LIWKL | ACE inhibitor | + | + | − | + | |
| 9100 | MTEEY | antioxidative | + | + | − | + | |
| 687 | 2651 | VLPYPV | ACE inhibitor | − | − | − | + |
| 2667 | LHLPLP | ACE inhibitor | − | − | − | + | |
| 3575 | QPQAFP | ACE inhibitor | − | − | − | + | |
| 7568 | KVREGT | ACE inhibitor | − | − | − | + | |
| 8730 | RWAEK | antioxidative | − | − | − | + | |
| 699 | 3420 | GVYPHK | ACE inhibitor | − | − | + | − |
| 8305 | QLGNLGV | antioxidative | − | − | + | − | |
| 8950 | WCTSVS | antioxidative | − | − | + | − | |
| 701 | 9443 | AGDDAPR | antioxidative | + | − | − | + |
| 9444 | GKDAVIV | antioxidative | + | − | − | + | |
| 8306 | RDVPSLM | antioxidative | + | − | − | + | |
| 9449 | IDDVLK | antioxidative | + | − | − | + | |
| 884 | 9224 | MPVHTDAD | ACE inhibitor | + | + | − | + |
| 9445 | AIGVGAIEP | antioxidative | + | + | − | + | |
| 9531 | SNLCRPCD | antioxidative | + | + | − | + | |
| 8448 | WHNVSGSP | antioxidative | + | + | − | + | |
| 1615 | 8100 | LKQELEDLLEKQE | antioxidative | + | − | − | − |
| 1726 | 3809 | LQSGDALRVPSGTTYY | antioxidative | + | + | − | + |
| 1754 | 9240 | LVYPFPGPIPNSLPQN | ACE inhibitor | − | − | − | + |
| 9370 | VKRRGQDCIHGFCSD | antioxidative | − | − | − | + | |
| 1778 | 8464 | LVMFLDNQHRVIRH | antioxidative | − | + | − | − |
| 2012 | 9201 | DPAQPNYPWTAVLVFRH | antioxidative | + | + | − | − |
| Drying Method | ABTS Radical Scavenging Activity μmolTrolox/g | Reducing Power Activity mg Equivalent to Ascorbic Acid/g | Ferric Reducing Ability mg Equivalent to Ascorbic Acid/g | Total Antioxidant Capacity by the Electrochemical Method mg Equivalent to Gallic Acid/L |
|---|---|---|---|---|
| FD | 24.0 ± 1.04 a | 8.76±0.36 a | 3.26 ± 0.14 a | 9.04 ± 0.26 a |
| HAD | 24.8 ± 1.23 a | 12.4 ± 0.54 b | 4.15 ± 0.17 b | 10.99 ± 0.21 b |
| MWD | 28.6 ± 1.25 b | 14.2 ± 0.62 c | 5.03 ± 0.23 c | 7.09 ± 0.38 c |
| SD | 25.4 ± 1.10 a | 9.8 ± 0.43 d | 3.38 ± 0.14 a | 7.39 ± 0.28 c |
© 2020 by the authors. Licensee MDPI, Basel, Switzerland. This article is an open access article distributed under the terms and conditions of the Creative Commons Attribution (CC BY) license (http://creativecommons.org/licenses/by/4.0/).
Share and Cite
Piskov, S.; Timchenko, L.; Grimm, W.-D.; Rzhepakovsky, I.; Avanesyan, S.; Sizonenko, M.; Kurchenko, V. Effects of Various Drying Methods on Some Physico-Chemical Properties and the Antioxidant Profile and ACE Inhibition Activity of Oyster Mushrooms (Pleurotus Ostreatus). Foods 2020, 9, 160. https://doi.org/10.3390/foods9020160
Piskov S, Timchenko L, Grimm W-D, Rzhepakovsky I, Avanesyan S, Sizonenko M, Kurchenko V. Effects of Various Drying Methods on Some Physico-Chemical Properties and the Antioxidant Profile and ACE Inhibition Activity of Oyster Mushrooms (Pleurotus Ostreatus). Foods. 2020; 9(2):160. https://doi.org/10.3390/foods9020160
Chicago/Turabian StylePiskov, Sergey, Lyudmila Timchenko, Wolf-Dieter Grimm, Igor Rzhepakovsky, Svetlana Avanesyan, Marina Sizonenko, and Vladimir Kurchenko. 2020. "Effects of Various Drying Methods on Some Physico-Chemical Properties and the Antioxidant Profile and ACE Inhibition Activity of Oyster Mushrooms (Pleurotus Ostreatus)" Foods 9, no. 2: 160. https://doi.org/10.3390/foods9020160
APA StylePiskov, S., Timchenko, L., Grimm, W.-D., Rzhepakovsky, I., Avanesyan, S., Sizonenko, M., & Kurchenko, V. (2020). Effects of Various Drying Methods on Some Physico-Chemical Properties and the Antioxidant Profile and ACE Inhibition Activity of Oyster Mushrooms (Pleurotus Ostreatus). Foods, 9(2), 160. https://doi.org/10.3390/foods9020160










































