The Effect of Different Packaging Systems on the Shelf Life of Refrigerated Ground Beef
Abstract
1. Introduction
2. Materials and Methods
2.1. Beef Sampling
2.2. Preparation of Ground Beef
2.3. Packaging and Storage of Ground Beef
2.4. Gas Analysis
2.5. Physicochemical Analyses
2.6. Bacteriological Analyses
2.7. Statistical Analyses
3. Results and Discussion
3.1. Headspace Gas Levels in the MAP Samples
3.2. Physicochemical Parameters
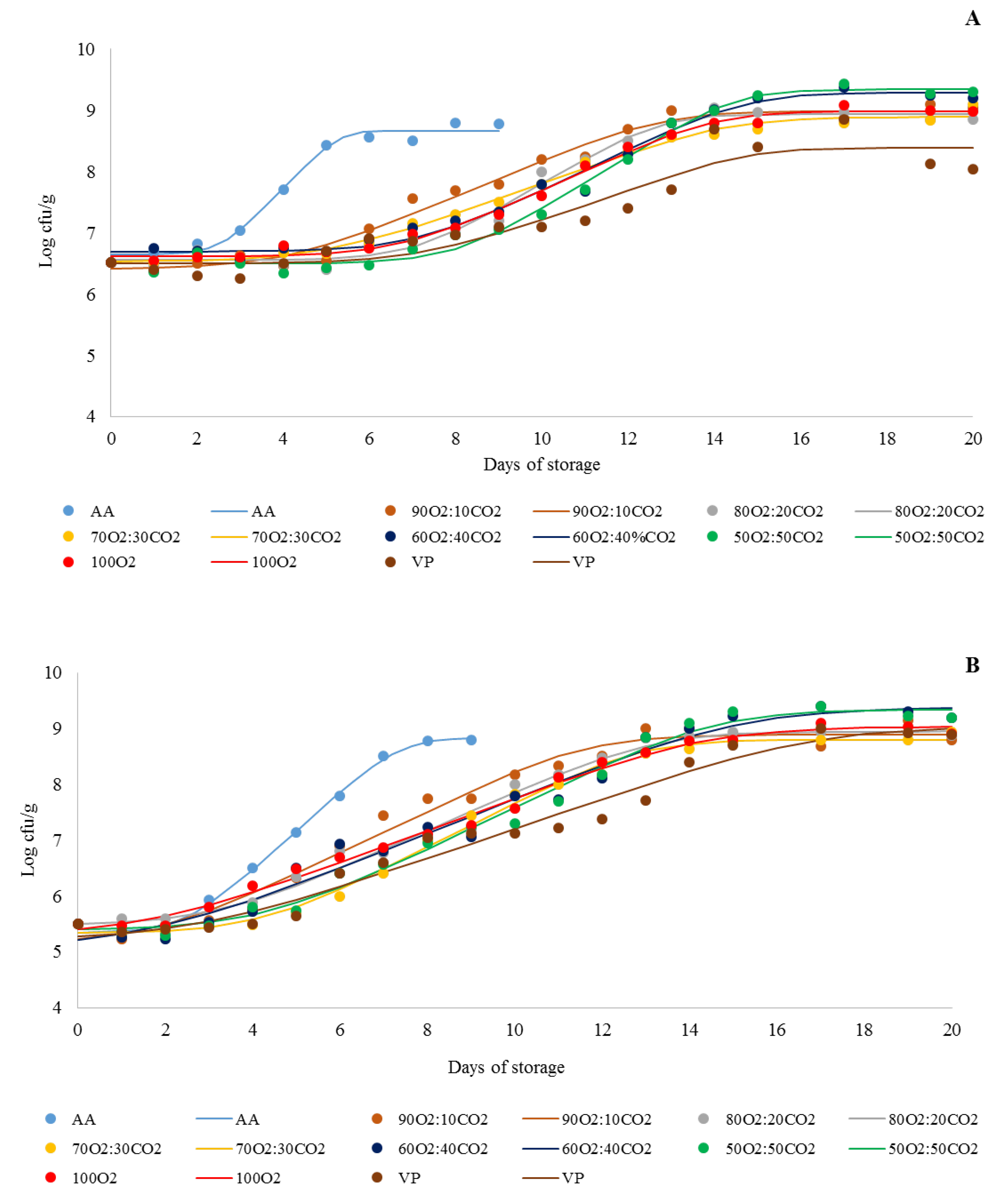
3.3. Bacterial Growth
4. Conclusions
Author Contributions
Funding
Conflicts of Interest
References
- Santos, P.R.; Donado-Pestana, C.M.; Delgado, E.F.; Tanaka, F.O.; Contreras-Castillo, C.J. Tenderness and oxidative stability of Nellore bulls steaks packaged under vacuum or modified atmosphere during storage at 2 C. Food Packag. Shelf Life 2015, 4, 10–18. [Google Scholar] [CrossRef]
- Smaoui, S.; Hsouna, A.B.; Lahmar, A.; Ennouri, K.; Mtibaa-Chakchouk, A.; Sellem, I.; Najah, S.; Bouaziz, M.; Mellouli, L. Bio-preservative effect of the essential oil of the endemic Mentha piperita used alone and in combination with BacTN635 in stored minced beef meat. Meat Sci. 2016, 117, 196–204. [Google Scholar] [CrossRef] [PubMed]
- Salim, A.P.A.; Canto, A.C.; Costa-Lima, B.R.; Simoes, J.S.; Panzenhagen, P.H.; Costa, M.P.; Franco, R.M.; Silva, T.J.P.; Conte-Junior, C.A. Inhibitory effect of acid concentration, aging, and different packaging on Escherichia coli O157: H7 and on color stability of beef. J. Food Process. Preserv. 2018, 42, e13402. [Google Scholar] [CrossRef]
- Vaclavik, V.A.; Christian, E.W. Essentials of Food Science, 4th ed.; Springer: New York, NY, USA, 2014; pp. 323–342. [Google Scholar]
- Rodrigues, B.L.; da Silveira Alvares, T.; Sampaio, G.S.L.; Cabral, C.C.; Araujo, J.V.A.; Franco, R.M.; Mano, S.B.; Conte-Junior, C.A. Influence of vacuum and modified atmosphere packaging in combination with UV-C radiation on the shelf life of rainbow trout (Oncorhynchus mykiss) fillets. Food Control 2016, 60, 596–605. [Google Scholar] [CrossRef]
- Rodriguez, M.; Conte-Junior, C.; Carneiro, C.; Lázaro, C.; Mano, S. Biogenic amines as a quality index in shredded cooked chicken breast fillet stored under refrigeration and modified atmosphere. J. Food Process. Preserv. 2015, 39, 2043–2048. [Google Scholar] [CrossRef]
- Lund, M.N.; Lametsch, R.; Hviid, M.S.; Jensen, O.N.; Skibsted, L.H. High-oxygen packaging atmosphere influences protein oxidation and tenderness of porcine longissimus dorsi during chill storage. Meat Sci. 2007, 77, 295–303. [Google Scholar] [CrossRef]
- Canto, A.C.; Costa-Lima, B.R.; Suman, S.P.; Monteiro, M.L.G.; Viana, F.M.; Salim, A.P.A.; Nair, M.N.; Silva, T.J.P.; Conte-Junior, C.A. Color attributes and oxidative stability of longissimus lumborum and psoas major muscles from Nellore bulls. Meat Sci. 2016, 121, 19–26. [Google Scholar] [CrossRef]
- Soladoye, O.; Juárez, M.; Aalhus, J.; Shand, P.; Estévez, M. Protein oxidation in processed meat: Mechanisms and potential implications on human health. Compr. Rev. Food Sci. Food Saf. 2015, 14, 106–122. [Google Scholar] [CrossRef]
- Łopacka, J.; Półtorak, A.; Wierzbicka, A. Effect of MAP, vacuum skin-pack and combined packaging methods on physicochemical properties of beef steaks stored up to 12 days. Meat Sci. 2016, 119, 147–153. [Google Scholar] [CrossRef]
- Łopacka, J.; Półtorak, A.; Wierzbicka, A. Effect of reduction of oxygen concentration in modified atmosphere packaging on bovine M. longissimus lumborum and M. gluteus medius quality traits. Meat Sci. 2017, 124, 1–8. [Google Scholar] [CrossRef]
- Lu, X.; Cornforth, D.P.; Carpenter, C.E.; Luo, L.Z.X. Effect of oxygen concentration in modified atmosphere packaging on color changes of the M. longissimus thoraces et lumborum from dark cutting beef carcasses. Meat Sci. 2020, 161, 107999. [Google Scholar] [CrossRef] [PubMed]
- Esmer, O.K.; Irkin, R.; Degirmencioglu, N.; Degirmencioglu, A. The effects of modified atmosphere gas composition on microbiological criteria, color and oxidation values of minced beef meat. Meat Sci. 2011, 88, 221–226. [Google Scholar] [CrossRef] [PubMed]
- Wang, H.; Luo, Y.; Ertbjerg, P. Myofibrillar protein gel properties are influenced by oxygen concentration in modified atmosphere packaged minced beef. Food Chem. 2017, 230, 475–481. [Google Scholar] [CrossRef] [PubMed]
- Farber, J.M. Microbiological aspects of modified-atmosphere packaging technology: A review. J. Food Prot. 1991, 54, 58–70. [Google Scholar] [CrossRef] [PubMed]
- Singh, P.; Wani, A.A.; Saengerlaub, S.; Langowski, H. Understanding critical factors for the quality and shelf-life of MAP fresh meat: A Review. Crit. Rev. Food Sci. Nutr. 2011, 51, 146–177. [Google Scholar] [CrossRef]
- Baranyi, J.; Roberts, T.A. A dynamic approach to predicting bacterial growth in food. Int. J. Food Microbiol. 1994, 23, 277–294. [Google Scholar] [CrossRef]
- Conte-Junior, C.A.; de Souza, V.G.; Batista, R.F.; Mársico, E.T.; Mano, S.B. Influência do ácido lático e da embalagem em atmosfera modificada sobre a validade comercial da linguiça frescal de frango. Rev. Bras. Ciênc. Vet. 2010, 17, 59–66. [Google Scholar]
- Association of Official Analytical Chemists. Official Methods of Analysis of AOAC, 17th ed.; AOAC: Gaithersburg, MD, USA, 2000. [Google Scholar]
- BRAZIL; Ministério da Agricultura, Pecuária e Abastecimento (MAPA). Secretaria Nacional de Defesa Agropecuária. Laboratório Nacional de Referência Animal (LANARA). Portaria n° 01 de 07 de outubro de 1981. Métodos Analíticos Oficiais para Controle de Produtos de Origem Animal e seus Ingredientes: Métodos Físicos e Químicos. Diário Oficial da União: Brasília, DF, 1981. Available online: http://sistemasweb.agricultura.gov.br/sislegis/action/detalhaAto.do?method=consultarLegislacaoFederal (accessed on 13 April 2020).
- Popa, V.I.; Tanase, E.; Geicu-Cristea, M.; Nicolae, C.; Gabor, R.A. Some important quality parameters of pork meat-biodegradable pack system monitoring at refrigeration storage. Sci. Bull. Ser. F Biotechnol. 2013, XVII, 110–116. [Google Scholar]
- American Public Health Association. Compendium of Methods for the Microbiological Examination of Foods, 4th ed.; APHA: Washington, DC, USA, 2001. [Google Scholar]
- Rouger, A.; Moriceau, N.; Prévost, H.; Remenant, B.; Zagorec, M. Diversity of bacterial communities in French chicken cuts stored under modified atmosphere packaging. Food Microbiol. 2018, 70, 7–16. [Google Scholar] [CrossRef]
- Guillard, V.; Couvert, O.; Stahl, V.; Hanin, A.; Denis, C.; Huchet, V.; Chaix, E.; Loriot, C.; Vincelot, T.; Thuault, D. Validation of a predictive model coupling gas transfer and microbialgrowth in fresh food packed under modified atmosphere. Food Microbiol. 2016, 58, 43–55. [Google Scholar] [CrossRef]
- Zakrys-Waliwander, P.; O’Sullivan, M.; Walsh, H.; Allen, P.; Kerry, J. Sensory comparison of commercial low and high oxygen modified atmosphere packed sirloin beef steaks. Meat Sci. 2011, 88, 198–202. [Google Scholar] [CrossRef] [PubMed]
- Ercolini, D.; Russo, F.; Torrieri, E.; Masi, P.; Villani, F. Changes in the spoilage-related microbiota of beef during refrigerated storage under different packaging conditions. Appl. Environ. Microbiol. 2006, 72, 4663–4671. [Google Scholar] [CrossRef] [PubMed]
- Tofteskov, J. Mathematical Modelling of Modified Atmosphere Packagings Effect on the Shelf Life of Fresh Meat. Ph.D. Thesis, Roskilde University, Roskilde, Denmark, 2018. [Google Scholar]
- Zhang, M.; Meng, X.; Bhandari, B.; Fang, Z.; Chen, H. Recent application of modified atmosphere packaging (MAP) in fresh and fresh-cut foods. Food Rev. Int. 2015, 31, 172–193. [Google Scholar] [CrossRef]
- BRAZIL; Ministério da Agricultura, Pecuária e Abastecimento (MAPA). Decreto nº 9.013 de 29 de março de 2017. Regulamento da Inspeção Industrial e Sanitária de Produtos de Origem Animal (RIISPOA). Diário Oficial da União: Brasília, DF, 2017. Available online: http://sistemasweb.agricultura.gov.br/sislegis/action/detalhaAto.do?method=consultarLegislacaoFederal (accessed on 13 April 2020).
- Simoes, J.S.; Mársico, E.T.; Lázaro, C.A.; Ferreira, M.S.; Franco, R.M.; Pereira, A.P.; Conte-Junior, C.A. Microbiological, physical and chemical characteristics of freshwater prawns (Macrobrachium rosenbergii) in modified-atmosphere packaging. Int. J. Food Sci. Tech. 2015, 50, 128–135. [Google Scholar] [CrossRef]
- Conte-Júnior, C.A.; Fernández, M.; Mano, S. Use of carbon dioxide to control the microbial spoilage of bullfrog (Rana catesbeiana) meat. In Modern Multidisciplinary Applied Microbiology: Exploiting Microbes and Their Interactions, 1st ed.; Mendez-Vilas, A., Ed.; Wiley: Weinheim, Germany, 2006; pp. 356–361. [Google Scholar]
- Gram, L.; Huss, H.H. Microbiological spoilage of fish and fish products. Int. J. Food Microbiol. 1996, 33, 121–137. [Google Scholar] [CrossRef]
- Stahlke, E.R.; Rossa, L.S.; Silva, G.M.; Sotomaior, C.S.; Pereira, A.J.; Luciano, F.B.; Borges, T.D.; Macedo, R.E.F. Effects of modified atmosphere packaging (MAP) and slaughter age on the shelf life of lamb meat. Food Sci. Technol. 2019, 39, 328–335. [Google Scholar] [CrossRef]
- Blacha, I.; Krischek, C.; Klein, G. Quality alterations of turkey and pig meat during storage in modified atmosphere or vacuum packages. J. Food Saf. Food Q. 2013, 64, 160–167. [Google Scholar]
- Kernberger-Fischer, I.; Kehrenberg, C.; Klein, G.; Schaudien, D.; Krischek, C. Influence of modified atmosphere and vacuum packaging with and without nanosilver-coated films on different quality parameters of pork. J. Food Sci. Technol. 2017, 54, 3251–3259. [Google Scholar] [CrossRef]
- Monteiro, M.L.G.; Mársico, E.T.; Mano, S.B.; Teixeira, C.E.; Canto, A.C.V.C.; de Carvalho Vital, H.; Conte-Júnior, C.A. Influence of good manufacturing practices on the shelf life of refrigerated fillets of tilapia (Oreochromis niloticus) packed in modified atmosphere and gamma-irradiated. Food Sci. Nutr. 2013, 1, 298–306. [Google Scholar] [CrossRef]
- Rodrigues, B.L.; dos Santos, L.R.; Mársico, E.T.; Camarinha, C.C.; Mano, S.B.; Junior, C.A.C. Qualidade físico-química do pescado utilizado na elaboração de sushis e sashimis de atum e salmão comercializados no município do Rio de Janeiro, Brasil. Semina Ciênc. Agrár. 2012, 33, 1847–1854. [Google Scholar] [CrossRef]
- Kachele, R.; Zhang, M.; Gao, Z.; Adhikari, B. Effect of vacuum packaging on the shelf-life of silver carp (Hypophthalmichthys molitrix) fillets stored at 4 °C. LWT Food Sci. Technol. 2017, 80, 163–168. [Google Scholar] [CrossRef]
- De Palo, P.; Maggiolino, A.; Centoducati, P.; Tateo, A. Effects of two different packaging materials on veal calf meat quality and shelf life. J. Anim. Sci. 2013, 91, 2920–2930. [Google Scholar] [CrossRef] [PubMed]
- Costa-Lima, B.R.; Canto, A.C.; Suman, S.P.; Conte-Junior, C.A.; Silveira, E.T.; Silva, T.J. Sex-specific effect of ractopamine on quality attributes of pork frankfurters. Meat Sci. 2014, 96, 799–805. [Google Scholar] [CrossRef] [PubMed]
- Guimaraes, C.; Marsico, E.; Lazaro, C.; Assis, M.; Guimaraes, A.; Hofmeister, A.; Mano, S.; Conte-Junior, C. Effect of the anatomical point of hanging and dripping time on water retention of chicken carcasses. J. Appl. Poult. Res. 2015, 25, 80–84. [Google Scholar] [CrossRef]
- Delbarre-Ladrat, C.; Chéret, R.; Taylor, R.; Verrez-Bagnis, V. Trends in postmortem aging in fish: Understanding of proteolysis and disorganization of the myofibrillar structure. Crit. Rev. Food Sci. Nutr. 2006, 46, 409–421. [Google Scholar] [CrossRef]
- Murphy, K.; O’Grady, M.; Kerry, J. Effect of varying the gas headspace to meat ratio on the quality and shelf-life of beef steaks packaged in high oxygen modified atmosphere packs. Meat Sci. 2013, 94, 447–454. [Google Scholar] [CrossRef]
- Kasnowski, C.M.; Franco, R.M.; Oliveira, L.A.T.; Valente, A.M.; Carvalho, J.C.A.; Conte-Junior, C.A. Detección, caracterización serológica y antibiogramas de Escherichia coli aisladas de carne de ternera (babilla) entera y picada. Rev. Salud Publica Nutr. 2008, 9, 1–10. [Google Scholar]
- International Commission on Microbiological Specifications for Foods (ICMSF). Microorganisms in Foods: Application of Hazard Analysis Critical Point (HACCP) System to Ensure Microbiological Safety and Quality, 1st ed.; Blackwell: London, UK, 1988. [Google Scholar]
- Li, J.; Kolling, G.L.; Matthews, K.R.; Chikindas, M.L. Cold and carbon dioxide used as multi-hurdle preservation do not induce appearance of viable but non-culturable Listeria monocytogenes. J. Appl. Microbiol. 2003, 94, 48–53. [Google Scholar] [CrossRef]
- Izumi, H.; Inoue, A. Viability of sublethally injured coliform bacteria on fresh-cut cabbage stored in high CO2 atmospheres following rinsing with electrolyzed water. Int. J. Food Microbiol. 2018, 266, 207–212. [Google Scholar] [CrossRef]
- Daniels, J.A.; Krishnamurthi, R.; Rizvi, S.S.H. A review of effects of carbon dioxide on microbial growth and food quality. J. Food Prot. 1985, 48, 532–537. [Google Scholar] [CrossRef]
- Rodriguez, M.; Junior, C.C.; Carneiro, C.; Franco, R.; Mano, S. The effect of carbon dioxide on the shelf life of ready-to-eat shredded chicken breast stored under refrigeration. Poult. Sci. 2013, 93, 194–199. [Google Scholar] [CrossRef]
- Alam, T.; Goyal, G.K. Color and pigment changes during modified atmosphere packaging storage of fruits and vegetables. Stewart Postharvest Rev. 2006, 5, 1–9. [Google Scholar]
- Hunt, M.R.; Legako, J.F.; Dinh, T.T.N.; Garmyn, A.J.; O’Quinn, T.G.; Corbin, C.H.; Rathmann, R.J.; Brooks, J.C.; Miller, M.F. Assessment of volatile compounds, neutral and polar lipid fatty acids of four beef muscles from USDA Choice and Select graded carcasses and their relationships with consumer palatability scores and intramuscular fat content. Meat Sci. 2016, 116, 91–101. [Google Scholar] [CrossRef] [PubMed]
- Yang, X.; Zhang, Y.; Zhu, L.; Han, M.; Gao, S.; Luo, X. Effect of packaging atmospheres on storage quality characteristics of heavily marbled beef longissimus steaks. Meat Sci. 2016, 117, 50–56. [Google Scholar] [CrossRef] [PubMed]
- Rogers, H.B.; Brooks, J.C.; Martin, J.N.; Tittor, A.; Miller, M.F.; Brashears, M.M. The impact of packaging system and temperature abuse on the shelf life characteristics of ground beef. Meat Sci. 2014, 97, 1–10. [Google Scholar] [CrossRef]
- Prasad, P.; Kochhar, A. Active packaging in food industry. J. Environ. Sci. Toxicol. Food Technol. 2014, 8, 1–7. [Google Scholar]
- Goncalves, A.; Mendes, R.; Nunes, M.L. Effect of oxygen absorber on the shelf life of gilthead seabream (Sparus aurata). J. Aquat. Food Prod. Technol. 2004, 13, 49–59. [Google Scholar] [CrossRef]
- Lagerstedt, Å.; Ahnström, M.L.; Lundström, K. Vacuum skin pack of beef—A consumer friendly alternative. Meat Sci. 2011, 88, 391–396. [Google Scholar] [CrossRef]
- Falowo, A.B.; Fayemi, P.O.; Muchenje, V. Natural antioxidants against lipid-protein oxidative deterioration in meat and meat products: A review. Food Res. Int. 2014, 64, 171–181. [Google Scholar] [CrossRef]
- Cunha, F.L.; Monteiro, M.L.G.; Júnior, C.A.C.; de La Torre, C.A.L.; Santos, E.B.; de Carvalho Vital, H.; Mársico, E.T.; Mano, S. Determinação e monitoramento de aminas biogênicas por cromatografia líquida de alta eficiência em filés de tilápia do Nilo (Oreochromis niloticus) resfriados embalados em atmosfera modificada e irradiados. Braz. J. Vet. Med. 2013, 35, 275–282. [Google Scholar]
- Zheng, Y.; Yang, Z.; Chen, X. Effect of high oxygen atmospheres on fruit decay and quality in Chinese bayberries, strawberries and blueberries. Food Control 2008, 19, 470–474. [Google Scholar] [CrossRef]



| Parameters | Treatments € | ∆0–20 £ | Linear Regression Coefficients | ||||
|---|---|---|---|---|---|---|---|
| ∆0–9 | ∆10–20 | y-Intercept | Slope | p-Value | r-Squared | ||
| pH | AA | 6.15 ± 0.28 a | NA | 5.85 ± 0.13 | 0.07 ± 0.02 | 0.0230 | 0.496 |
| 90O2:10CO2 | 5.95 ± 0.08 b | 5.83 ± 0.06 a,b | 6.01 ± 0.02 | −0.01 ± 0.00 | <0.0001 | 0.644 | |
| 80O2:20CO2 | 5.94 ± 0.08 b | 5.84 ± 0.05 a,b | 5.99 ± 0.02 | −0.01 ± 0.00 | 0.0000 | 0.596 | |
| 70O2:30CO2 | 5.95 ± 0.06 b | 5.81 ± 0.08 a,b | 6.01 ± 0.02 | −0.01 ± 0.00 | <0.0001 | 0.715 | |
| 60O2:40CO2 | 5.94 ± 0.09 b | 5.77 ± 0.08 b | 6.01 ± 0.03 | −0.02 ± 0.00 | <0.0001 | 0.650 | |
| 50O2:50CO2 | 5.94 ± 0.06 b | 5.73 ± 0.10 b,c | 6.01 ± 0.03 | −0.02 ± 0.00 | <0.0001 | 0.779 | |
| 100O2 | 5.93 ± 0.11 b | 5.90 ± 0.10 a | 5.99 ± 0.04 | −0.01 ± 0.00 | 0.0420 | 0.204 | |
| VP | 5.86 ± 0.17 b | 5.63 ± 0.07 c | 5.94 ± 0.05 | −0.02 ± 0.00 | 0.0000 | 0.531 | |
| TVB-N ¥ | AA | 18.64 ± 11.39 a | NA | 5.82 ± 4.63 | 2.85 ± 0.87 | 0.0110 | 0.574 |
| 90O2:10CO2 | 11.45 ± 1.98 b | 16.26 ± 4.58 a | 8.45 ± 1.03 | 0.57 ± 0.09 | <0.0001 | 0.685 | |
| 80O2:20CO2 | 11.79 ± 1.37 b | 16.06 ± 4.00 a | 9.17 ± 0.85 | 0.50 ± 0.08 | <0.0001 | 0.713 | |
| 70O2:30CO2 | 11.63 ± 1.21 b | 14.45 ± 4.39 a | 9.29 ± 1.04 | 0.40 ± 0.10 | 0.0010 | 0.505 | |
| 60O2:40CO2 | 11.50 ± 0.94 b | 14.88 ± 3.15 a | 9.65 ± 0.72 | 0.35 ± 0.07 | <0.0001 | 0.629 | |
| 50O2:50CO2 | 11.70 ± 0.91 b | 15.58 ± 2.75 a | 9.76 ± 0.57 | 0.41 ± 0.05 | <0.0001 | 0.785 | |
| 100O2 | 11.52 ± 0.88 b | 16.34 ± 4.81 a | 8.70 ± 1.05 | 0.55 ± 0.10 | <0.0001 | 0.662 | |
| VP | 12.04 ± 1.65 b | 15.39 ± 4.11 a | 9.62 ± 0.98 | 0.43 ± 0.09 | 0.0000 | 0.582 | |
| Filtration time ¥ | AA | 33.89 ± 27.49 a | NA | −3.54 ± 5.07 | 8.22 ± 0.93 | <0.0001 | 0.918 |
| 90O2:10CO2 | 17.33 ± 11.76 b | 42.32 ± 16.94 a | 3.90 ± 4.43 | 2.71 ± 0.39 | <0.0001 | 0.747 | |
| 80O2:20CO2 | 17.78 ± 12.36 b | 35.22 ± 7.95 a,b | 8.87 ± 3.45 | 1.84 ± 0.31 | <0.0001 | 0.693 | |
| 70O2:30CO2 | 18.67 ± 13.11 b | 31.03 ± 7.41 a,b | 14.02 ± 4.60 | 1.13 ± 0.41 | 0.0140 | 0.324 | |
| 60O2:40CO2 | 16.89 ± 11.67 b | 29.44 ± 9.08 a,b | 12.55 ± 4.59 | 1.11 ± 0.41 | 0.0150 | 0.316 | |
| 50O2:50CO2 | 17.22 ± 11.94 b | 29.17 ± 6.95 a,b | 12.97 ± 4.26 | 1.07 ± 0.38 | 0.0120 | 0.333 | |
| 100O2 | 18.56 ± 13.25 b | 38.07 ± 6.51 a | 9.89 ± 3.73 | 1.93 ± 0.33 | <0.0001 | 0.678 | |
| VP | 17.33 ± 11.54 b | 22.54 ± 3.78 b | 12.55 ± 3.40 | 0.77 ± 0.30 | 0.0210 | 0.289 | |
| Treatments € | Parameters £ | AMHB ψ | APHB ψ | Shelf Life * (Days) |
|---|---|---|---|---|
| AA | Lag | 2.53 ± 0.02 g | 2.45 ± 0.00 e | 3 |
| GT | 0.95 ± 0.01 e | 0.97 ± 0.00 g | ||
| NC | 8.67 ± 0.00 g | 8.84 ± 0.00 g | ||
| 90O2:10CO2 | Lag | 4.04 ± 0.01 f | 1.98 ± 0.01 f | 6 |
| GT | 2.35 ± 0.01 b | 1.82 ± 0.00 e | ||
| NC | 8.99 ± 0.00 d | 8.89 ± 0.00 f | ||
| 80O2:20CO2 | Lag | 6.96 ± 0.03 c | 3.20 ± 0.00 c | 8 |
| GT | 1.70 ± 0.01 d | 1.99 ± 0.00 d | ||
| NC | 8.94 ± 0.00 e | 8.95 ± 0.00 e | ||
| 70O2:30CO2 | Lag | 4.97 ± 0.03 e | 4.20 ± 0.01 b | 7 |
| GT | 2.76 ± 0.02 a | 1.72 ± 0.00 f | ||
| NC | 8.89 ± 0.00 f | 8.80 ± 0.00 h | ||
| 60O2:40CO2 | Lag | 7.04 ± 0.03 b,c | 1.96 ± 0.00 f | 8 |
| GT | 2.07 ± 0.02 c | 2.20 ± 0.00 c | ||
| NC | 9.29 ± 0.00 b | 9.37 ± 0.00 a | ||
| 50O2:50CO2 | Lag | 7.99 ± 0.03 a | 4.26 ± 0.01 a | 8 |
| GT | 1.59 ± 0.01 d | 1.82 ± 0.00 e | ||
| NC | 9.34 ± 0.01 a | 9.34 ± 0.00 b | ||
| 100O2 | Lag | 6.63 ± 0.02 d | 1.96 ± 0.00 f | 7 |
| GT | 2.18 ± 0.01 c | 2.37 ± 0.00 b | ||
| NC | 8.99 ± 0.00 c | 9.03 ± 0.00 d | ||
| VP | Lag | 7.20 ± 0.14 b | 2.84 ± 0.00 d | 8 |
| GT | 2.80 ± 0.08 a | 2.57 ± 0.00 a | ||
| NC | 8.39 ± 0.00 h | 9.03 ± 0.00 c |
© 2020 by the authors. Licensee MDPI, Basel, Switzerland. This article is an open access article distributed under the terms and conditions of the Creative Commons Attribution (CC BY) license (http://creativecommons.org/licenses/by/4.0/).
Share and Cite
Conte-Junior, C.A.; Monteiro, M.L.G.; Patrícia, R.; Mársico, E.T.; Lopes, M.M.; Alvares, T.S.; Mano, S.B. The Effect of Different Packaging Systems on the Shelf Life of Refrigerated Ground Beef. Foods 2020, 9, 495. https://doi.org/10.3390/foods9040495
Conte-Junior CA, Monteiro MLG, Patrícia R, Mársico ET, Lopes MM, Alvares TS, Mano SB. The Effect of Different Packaging Systems on the Shelf Life of Refrigerated Ground Beef. Foods. 2020; 9(4):495. https://doi.org/10.3390/foods9040495
Chicago/Turabian StyleConte-Junior, Carlos A., Maria Lúcia G. Monteiro, Renata Patrícia, Eliane T. Mársico, Márcia M. Lopes, Thiago S. Alvares, and Sérgio B. Mano. 2020. "The Effect of Different Packaging Systems on the Shelf Life of Refrigerated Ground Beef" Foods 9, no. 4: 495. https://doi.org/10.3390/foods9040495
APA StyleConte-Junior, C. A., Monteiro, M. L. G., Patrícia, R., Mársico, E. T., Lopes, M. M., Alvares, T. S., & Mano, S. B. (2020). The Effect of Different Packaging Systems on the Shelf Life of Refrigerated Ground Beef. Foods, 9(4), 495. https://doi.org/10.3390/foods9040495

