Abstract
Phytoplankton and zooplankton are key marine components that play an important role in metal distribution through a food web transfer. An increased phytoplankton concentration as a result of ocean acidification and warming are well-established, along with the fact that phytoplankton biomagnify 210Po by 3–4 orders of magnitude compared to the seawater concentration. This experimental study is carried out to better understand the transfer of polonium between primary producers and consumers. The experimental produced data highlight the complex interaction between the polonium concentration in zooplankton food, i.e. phytoplankton, its excretion via defecated fecal pellets, and its bioaccumulation at ambient seawater pH and a lower pH of 7.7, typical of ocean acidification scenarios in the open ocean. The mass of copepods recovered was 11% less: 7.7 pH compared to 8.2. The effects of copepod species (n = 3), microalgae species (n = 3), pH (n = 2), and time (n = 4) on the polonium activity in the fecal pellets (expressed as % of the total activity introduced through feeding) was tested using an ANOVA 4. With the exception of time (model: F20, 215 = 176.84, p < 0.001; time: F3 = 1.76, p = 0.16), all tested parameters had an impact on the polonium activity (copepod species: F2 = 169.15, p < 0.0001; algae species: F2 = 10.21, p < 0.0001; pH: F1 = 9.85, p = 0.002) with complex interactions (copepod x algae: F2 = 19.48, p < 0.0001; copepod x pH: F2 = 10.54, p < 0.0001; algae x pH: F2 = 4.87, p = 0.009). The experimental data underpin the hypothesis that metal bioavailability and bioaccumulation will be enhanced in secondary consumers such as crustacean zooplankton due to ocean acidification.
1. Introduction
There has been a growing interest in understanding the effect of ocean acidification (OA) in modulating the metal uptake among the phytoplankton and zooplankton in the coastal and marine ecosystems [1,2,3,4,5,6]. Marine phytoplankton are primary producers in the ocean, forming the base of the marine food web. The oceanic sequestration of carbon dioxide is leading to a lowering of pH. The average oceanic pH has dropped to ~8.1, reaching the historical low for the past 2 million years [7]. With the increasing levels of atmospheric CO2, oceanic pH is expected to drop by 0.3–0.4 units by the end of this century [8]. OA affects marine organisms in multiple ways, such as changes in acid-base balance, energy metabolism, redox balance, as well as the behavior of marine organisms [9,10,11]. For example, the growth of marine phytoplankton is affected by the increase in CO2 concentration in seawater [2,6,12,13,14,15,16].
One of the overarching effects of OA on phytoplankton communities is that phytoplankton will likely alter the chemical speciation of trace metals [4,17,18,19,20]. Phytoplankton concentrate metals and transuranic elements from surrounding waters [21,22,23,24,25]. Some of these metals such as iron (Fe), copper (Cu), and zinc (Zn) are essential for the growth and development of phytoplankton. In contrast, others such as cadmium (Cd), mercury (Hg), lead (Pb), and polonium (Po) have no known biological functions but are highly toxic at elevated concentrations [26,27]. Considering increased oceanic productivity under climate change [28,29], and the reported polonium concentration factors (CF) of 103–104 in microalgae from the Gulf [24,30], and even a higher CF of 105 among Gulf copepods [31], it is quite probable to observe a trophic transfer of polonium to higher trophic levels in marine food chains [30].
Zooplankton are an important link between primary producers and fish. Copepods are primary consumers in the ocean and the most numerous metazoans, supporting the marine food web and also acting as a biological pump of carbon [32]. Any effect on the abundance and diversity of copepods due to ocean acidification is likely to have serious implications on the proper function of marine ecosystems. Studies have shown the lethality of increasing pCO2 levels on both surface and deeper copepod species [33]; however, the deeper copepods demonstrate greater tolerance to higher pCO2. It can be hypothesized that this higher tolerance is probably an adaptation to the high pCO2 environment where they live. It has been reported that ocean acidification and warming causes oxidative stress and a reduction in the reproductive capacity of Acartia bifilosa [34]; however, the magnitude of these responses varies between species and also varies spatially in different regions [33,35,36]. The Gulf ecosystem is somewhat unique for its temperature, salinity, nutrient-loading, and pH and has shown resilience to these changes (i.e. corals are surviving at a higher temperature in turbid water; a breeding ground for various fin and shellfish, are in areas reported to be exposed to potentially stressing conditions) [15,24,37,38].
This study was designed to understand the polonium transfer among the primary producers and primary consumers under lower pH conditions that might prevail due to increased oceanic CO2 sequestration considering the scenario of a 0.4 unit pH drop that is expected by the end of the century. The interest in understanding the behavior of polonium in a marine environment has been the focus of studies for the past five decades, since it results in an enhanced radiation dose to marine biota [39]. Studies have suggested that an anthropogenic contribution can enhance the 210Po concentrations considerably in the marine environment [40,41,42,43,44]. Marine organisms are capable of concentrating radionuclides in their tissues [39,43,45,46,47,48,49,50,51,52,53,54,55,56,57,58,59,60,61,62,63]; however, polonium elimination from zooplankton via their excretion of fecal pellets has been reported by Beasley et al. [64]. The concentration of polonium is of enormous interest because of its large contribution to the natural radiation dose and its high radiotoxicity [53,55].
In our previous experiment [4], we looked at polonium uptake in five microalgal species, i.e., Thalassiosira weissflogi, Tetrasemis suecica, Isochrysis galbana, Chaetoceros muelleri, and Dunaliella salina that are commonly used as a food source in the mariculture/aquaculture industry.
This experimental study is designed to understand, under future oceanic pH as per IPCC RCP8.5, likely changes in 210Po concentration and possible uptake kinetics among the primary producers and consumers that are very important links in the marine food web. The microalgae with a known concentration of 209Po were used for feeding copepods to understand the assimilation rates, transfer, and turnover of this radionuclide in micro- crustacean zooplankton.
2. Material and Methods
2.1. Sampling and Monoculture
The copepod samples were collected using a 50 µ plankton net with 0.6 m diameter and 2 m length. The samples were collected by vertical tows from 10–30 m depth to the surface in October 2019. All the samples obtained were placed in filtered seawater and immediately transported to the laboratory for sample identification and segregation to create a monoculture of Acartia pacifica, Euterpina acutifrons, and Parvocalanus crassirostis. The sample was emptied into a Bogorov counting chamber and examined under a stereomicroscope. Fine needles and pipettes were used to isolate the identified species for preparing a monoculture. Only adults were used for the experiment. Samples collected on a single day cruise from different areas were segregated at the lowest taxonomic level by specialists in copepod identification and following the characteristics of the species in an identification guide [65]. All the samples of single species from different areas were combined into a single beaker with filtered seawater. Once the monoculture was segregated, they were transferred into 1 L cylindrical enclosures in 50 L aquariums.
2.2. Carbonate Chemistry
The pH on the total scale, alkalinity (AT in µmol/kg), and salinity (in ‰) were measured at 12h, 24h, 36h, and 48h after the beginning of the experiment in each replicate. These data were used to calculate pCO2 (in µatm) using CO2SYS with constants from Mehrbach et al. [66] refitted by Dickson and Millero [67] and a temperature of 25°C. An ANOVA 2 statistical test was used to test the effect of target pH (8.2 and 7.7) and replicates (n = 3 per treatment) on the carbonate chemistry.
2.3. Experimental Exposure
The experiment was carried out in 50 L aquaria. Copepods were housed in a 1 L cylindrical enclosure with a mesh of 45 µm at the cod end and a sealed bottom, enabling easy segregation of excreted fecal pellets. The stocking density of the experiment was 1000 individuals per enclosure. The experiment was conducted in triplicate for each of the Parvocalanus crassirostis, Euterpina acutifrons, and Acartia pacifica monocultures. The copepods were maintained at 25 ± 0.5 °C on a 16:8 h light–dark cycle and the water was gently aerated. All beakers were maintained at the required pH for 48 h to assess the Po transfer in copepods.
Isochrysis galbana, Chaetoceros muelleri, and Dunaliella salina labeled with 209Po were used as radiolabeled food to assess the transfer. The average 209Po concentration in each phytoplankton species was determined (Table 1).
Table 1.
Average 209Po concentration in water with microalgae.
Three replicates for each copepod and each algae (Figure 1) were taken considering 8.2 pH as a control as it represents the present-day ambient pH of the Gulf and Mediterranean waters, and 7.7 pH mimicking the worst case scenario for 2100 in these waters. The pH was regulated using the IKS Aquastar system by bubbling CO2 into the aquaria.
Figure 1.
(a). Experimental setup of 3 cylindrical enclosures in a sealed compartment and 3 divisions in each aquaria. The color represents the type of copepod in triplicate. (b). The design of the enclosure with plastic wall and 45 µm base and sealed bottom.
The experimental setup consists of six aquaria with nine enclosures each, and each aquarium has a single pH condition and an algae type for the three copepod types. The microalgal food was added slowly with 10 mL of food being added twice a day to each cylindrical enclosure. The water turns green but as the microalgae were consumed, it again becomes clear. It was observed that the maximum quantity of fecal pellets was obtained within 60 min of feeding. The experiment was terminated after 48 h and all the copepods were filtered on a 0.45 µm filter paper and dried. The water was also analyzed.
Each sample of fecal pellets, phytoplankton, copepod, and water was digested using concentrated nitric acid, to allow determining the concentration of 208Po and 209Po. The samples were digested for at least 24 h, with occasional hydrogen peroxide additions to help in oxidizing the organic compounds. When a clear solution was obtained, it was allowed to evaporate to near dryness to remove HNO3. This concentrated residue was then dissolved in 100 mL of 0.5M HCl, and the solution placed on a magnetic stirrer at 30 °C for 24 h, following the procedure of Benoit and Hemond [68]. After the iron reduction with ascorbic acid, polonium (209Po and 208Po) in the solution were then spontaneously plated onto the surface of a 0.64-mm-thick silver disc (1.2 cm diameter) to be used as a thin alpha source for alpha spectrometry [69].
A Canberra forty-eight chamber alpha spectrometry system with passive ion-implanted silicon detectors (active area of 450 mm2, a background count of 2.3 per day, and a minimum depletion thickness of 90 µm) was used for 208Po and 209Po determination using the 5.110 MeV energy of 208Po and 4.877 MeV energy of 209Po alpha particle emission. The counting time was 24 h. Upon plating, the solution was converted to 9M HCl and passed through an ion-exchange column (DOWEX 1 × 8 100–200 mesh) to ensure the complete removal of the polonium tracers. The samples were stored for six months to allow the in-growth of sufficient 210Po from 210Pb for performing a second 210Po determination, however that is not reported here.
As part of the analytical quality assurance procedures, reagent blanks, and an IAEA certified reference material were also analyzed with each batch of samples. Several aliquots of the IAEA 446–Baltic Sea Seaweed certified reference material (CRM) were analyzed for 210Po, and the concentration of 210Pb (through the determination of 210Po in secular radioactive equilibrium with 210Pb) was found to vary between 10.1 and 10.7 Bq kg−1 with a median value of 10.5 Bq kg−1. This result compared well with the 210Pb (210Po) information value of 10.9 Bq kg−1 and a 95% confidence interval of 10.2 to 12.0 Bq kg−1 provided in the CRM certificate.
Seawater samples from the aquaria were analyzed after the exposure experiment using an established method [70]. The seawater sample was filtered using a 0.2 μm pore-size membrane filter and placed in a 1 L glass beaker. Ten mL of concentrated HCl was added to the sample to prevent radionuclides from adhering to the beaker wall. A spike of 100 µL of 208Po tracer was added, and the sample stirred for 3 h to ensure radiotracer mixing. Five mL of each 0.2 M KMnO4 and 0.3 M MnCl2 were added, and the solution was adjusted to pH 9 with 25% NH4OH. This solution was stirred for 3 h, and then the precipitate was allowed to settle out for a day. Most of the supernatant was carefully decanted so as to not disturb the precipitate, and the remainder was centrifuged. The centrifuged precipitate was recovered with 10 mL of 1% H2O2 in 5 M HCl from the centrifuge tube, taken to dryness on a hot plate, and the residue dissolved with 10 mL of 1% H2O2 in 2 M HCl. Polonium in this solution was then plated on a silver disc. This silver disc was used as a thin alpha source for alpha spectrometry and determination of 209Po in the aquaria sample.
Mean 209Po concentrations in each microalgal species are given with the standard deviation of the sample (mean ± SD). Statistical analyses were performed using SAS. Differences between categories (copepod and algae species, pH, time, and replicate) were tested using ANOVA models followed by Scheffe’s post-hoc tests when relevant. All data are presented as mean ± standard error of mean (SEM). We have used SEM as it indicates how different the population mean is from the sample mean, and how much the sample mean would vary if the study is repeated using a new sample within a single population. The pH was kept constant using IKS Aquastar computers as well as the addition of bicarbonates when required.
3. Results
3.1. Carbonate Chemistry
A summary of the parameters of the carbonate chemistry over the course of the experiment is summarized in Table 2. Target pHs were reached (pH 8.20 ± 0.01 and 7.69 ± 0.01) and significant effects between pH treatments were observed for pH, alkalinity, and pCO2. No significant differences were observed between replicates (Table 2).
Table 2.
Summary of the carbonate chemistry: measured pH on the total scale, alkalinity (AT in µmol/kg), salinity (in ‰), and calculated pCO2 (in µatm). Difference between target the two target pHs and between replicates was tested using an ANOVA 2. Results are presented as mean ± SEM.
The 209Po recoveries were calculated by using 208Po tracer. The measured activities at 8.2 and 7.7 pH in fecal pellets, organisms, seawater fractions, and the activity initially added are presented in Table 3 and Table 4. The activity in fecal pellets, copepods, and water was subtracted from the total activity of algal food added to each experiment. The unaccounted activity is listed as loss, which might be due to adhesion on sides of the aquaria, losses in transfer, and possibly evaporation during the source preparation.
Table 3.
209Po concentration in the experimental samples at 8.2 pH.
Table 4.
209Po concentration in the experimental samples at 7.7 pH.
3.2. Copepods
The species had no significant effect on the mass of the organism (copepods) recovered after the experiment (ANOVA 2, model: F5,53 = 18.16, p < 0.0001; species: F2 = 0.38, p = 0.68). However, their mass was 11% lower at pH 7.7 as compared to pH 8.2 (F1 = 85.4, p > 0.0001) with no significant interaction between the two tested parameters (F2 = 2.40, p = 0.10; Figure 2).
Figure 2.
Copepod mass (in g) for the 3 copepod species (Acartia pacifica, Euterpina acutifrons and Parvocalanus crassirostis) and the two pHs (8.2 and 7.7). Results are presented as mean ± SEM.
The statistical analysis revealed that the weight of the fecal pellet was only significantly different between copepod species (ANOVA 4, model: F20,215 = 164.37, p < 0.0001; species: F2 = 1611.63, p < 0.0001) but not the microalgae species (F2 = 1.25, p = 0.29), pH (F1 = 1.55, p = 0.22), or time (F3 = 2.19, p = 0.09). A Scheffe’s post-hoc test revealed that the fecal pellet weight was significantly different between the three species. The difference in dry weight was small between Acartia and Euterpina, however it was 25% in Parvocalanus as compared to the two other species (Figure 3).
Figure 3.
Fecal pellet mass (in g) for the 3 copepod species (Acartia pacifica, Euterpina acutifrons and Parvocalanus crassirostis). Results are presented as mean ± SEM.
3.3. Polonium
Effects of copepod species (n = 3), algae species (n = 3), pH (n = 2), and time (n = 4) on the polonium activity (expressed in % of the total activity introduced through feeding) in the fecal pellets were tested using an ANOVA 4. With the exception of time (model: F20,215 = 176.84, p < 0.001; time: F3 = 1.76, p = 0.16), all tested parameters had an impact on the polonium activity (copepod species: F2 = 169.15, p < 0.0001; algae species: F2 = 10.21, p < 0.0001; pH: F1 = 9.85, p = 0.002) with complex interactions (copepod x algae: F2 = 19.48, p < 0.0001; copepod x pH: F2 = 10.54, p < 0.0001; algae x pH: F2 = 4.87, p = 0.009).
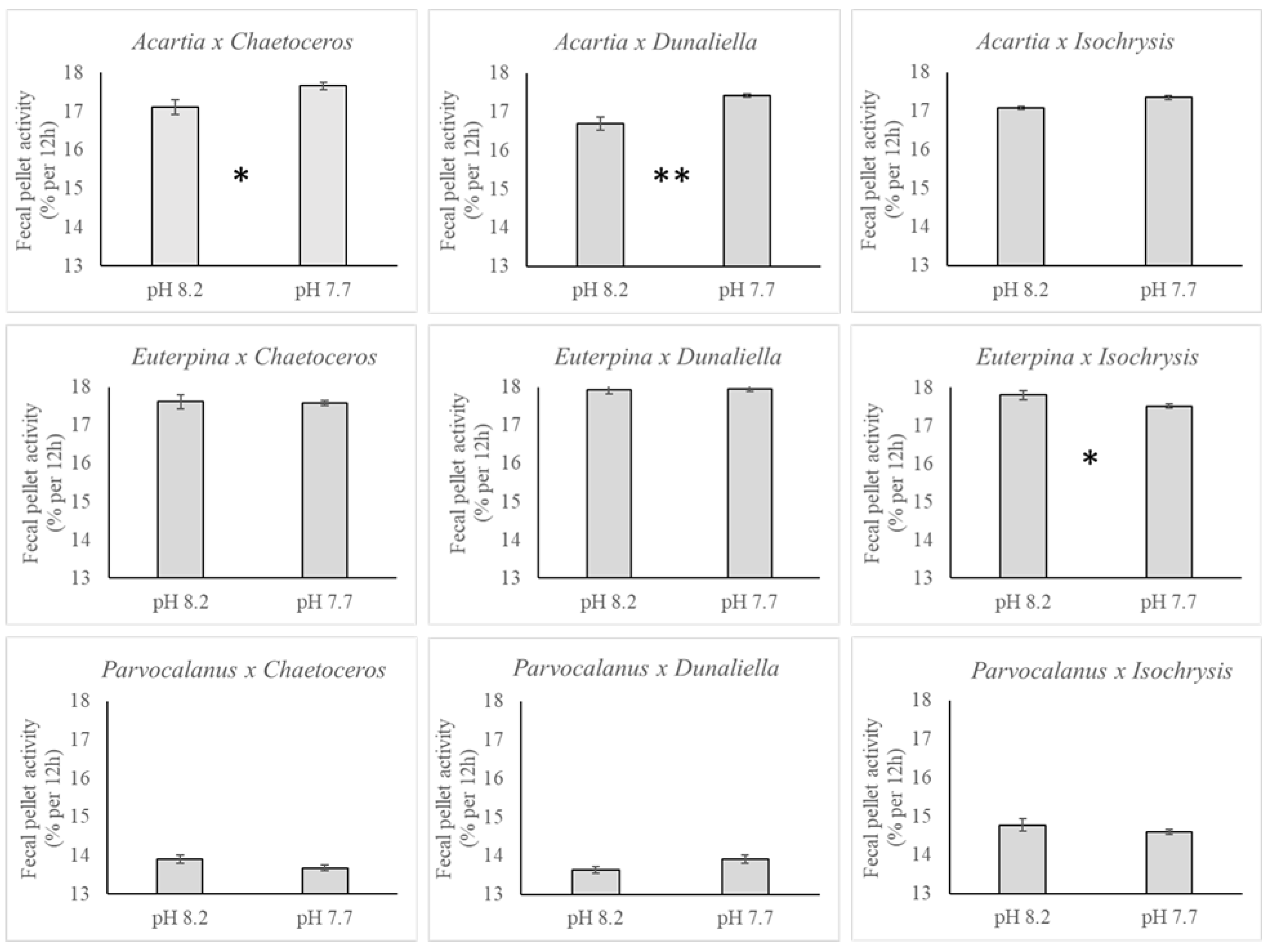
The average polonium activity in the fecal pellets collected from each of the three copepods show higher concentrations at lower pH of 7.7 with the exception of Parvocalanus on Isochrysis feed. The effect of pH for each combination of copepod and algal species is presented in Figure 4. A significant 3 to 4% increase in polonium activity is observed under pH 7.7 as compared to pH 8.2 across the experiment.
Figure 4.
Effect of pH on polonium activity in the copepod fecal pellets (in % per 12 h) for each combination of copepod (Acartia pacifica, Euterpina acutifrons and Parvocalanus crassirostis) and microalgae species (Chaetoceros muelleri, Dunaliella salina and Isochrysis galbana). Results are presented as mean ± SEM. Significant difference between pH treatments are indicated with * (ANOVA; p < 0.05) and ** (p < 0.01).
The relative activity of polonium in the copepods at the end of the experiment ranged between 0.97 and 1.64% of the total activity provided through food. This activity was significantly different between copepod species (ANOVA 3; model: F17,53 = 27.48, p < 0.0001; copepod: F2 = 56.14, p < 0.0001), algae species (F2 = 99.62, p < 0.0001), pH (F1 = 86.74, p < 0.0001), and the interaction between copepod and algae species (F4 = 14.44, p < 0.0001). The general trend was a higher polonium concentration at lower pH of 7.7 with the exception of Acartia and Euterpina on Isochrysis. The effect of pH for each combination of copepod and algae species is presented in Figure 5.
Figure 5.
Effect of pH on polonium activity (in %) in the copepod for each combination of copepod species (Acartia pacifica, Euterpina acutifrons, and Parvocalanus crassirostis) and microalgae species (Chaetoceros muelleri, Dunaliella salina, and Isochrysis galbana). Results are presented as mean ± SEM. Significant difference between pH treatments are indicated with * (ANOVA; p < 0.05) and ** (p < 0.01).
4. Discussion
The average 209Po concentration in fecal pellets of Parvocalanus crassirostis were 9.26 and 9.09 Bq g−1, 7.50 and 7.58 Bq g−1, and 5.01 and 5.06 for Isochrysis galbana, Chaetoceros muelleri, and Dunaliella salina feeding at 8.2 and 7.5 pH (Figure 6). The average concentrations for Isochrysis galbana were skewed because of a single outlier, on the other three occasions the concentration were 8.80 Bq g−1. The 209Po excretion with fecal pellets was 1–2% higher at lower pH in Parvocalanus crassirostis.
Figure 6.
Average 209Po concentration in fecal pellets at 7.7 and 8.2 pH in three copepod species for the three algal feeds.
The average 209Po concentration in fecal pellets of Euterpina acutifrons, at 8.2 and 7.7 pH were 8.79 and 8.85 Bq g−1, 7.50 and 7.56 Bq g−1, and 5.01 and 5.03 Bq g−1, for Isochrysis galbana, Chaetoceros muelleri, and Dunaliella salina (Figure 6). The values were lower at 7.7 pH but the difference in 209Po concentrations were between 0.5–0.8% among the algal food sources.
Among Acartia pacifica fecal pellets the 209Po concentration varied between 8.80 and 8.83 Bq g−1, 7.50 and 7.54 Bq g−1, and 5.01 and 5.04 Bq g−1 for Isochrysis galbana, Chaetoceros muelleri, and Dunaliella salina feeds at 8.2 and 7.5 pH, respectively. The 209Po fecal pellet concentration at 7.7 exceeds 8.2 by ~0.5% among different feed types.
The average 209Po concentration in fecal pellets was 0.5–2% higher at 7.7 pH compared to 8.2 pH with the single exception of Parvocalanus crassirostis ingesting Isochrysis galbana (Figure 6). The experimental data generated in this study supports the hypothesis that metal bioavailability is likely to change under an ocean acidification scenario. We draw a parallel with Fowler [71] who reported surface-bound Pb is unassimilated in zooplankton and is therefore eliminated in fecal pellets. We are speculating that this observation might also be the case with polonium in our experiment, which led to higher 209Po in fecal pellets in the experiment and could be due to the fact that much of the 209Po was bound to the surface of the ingested phytoplankton and might not have gone in the cytoplasm of the phytoplankton.
The 209Po bioaccumulation was higher in Parvocalanus crassirostis, Euterpina acutifrons, and Acartia pacifica at 7.7 pH compared to 8.2, with only the two exceptions of Acartia pacifica and Euterpina acutifrons feeding on Isochrysis galbana (Figure 7). The polonium retention efficiency was 0.97–1.64%, suggesting a lower assimilation of this non- essential actinide. It is interesting to compare the 210Po in these copepods, the 210Po concentration in Euterpina acutifrons, Acartia pacifica, and Parvocalanus crassirostis were 0.17–0.18 Bq g−1 (dw), 0.26–0.27 Bq g−1 (dw), and 0.61–0.65 Bq g−1 (dw), respectively, which is substantially lower than those observed in this experiment; however, the concentration factors for these organisms were 105. Drawing inference from the fact that higher bioaccumulation was observed at lower pHs, we assume that CFs will be higher under acidifying conditions.
Figure 7.
Average 209Po bioaccumulation in Parvacanus crassitoris, Euterpina acutifrons, and Acartia pacifica ingesting different phytoplankton species at 7.7 and 8.2 pH.
The experimental data indicate that the ingested polonium was rapidly defecated by all the three copepods, and the sinking fecal pellets would depurate surface waters of polonium. In addition, the question remains, will theses fecal pellets become part of the food chain of detritivores. Unfortunately, in this experiment, we have not looked at the residence time and retention of polonium in the fecal pellets, which will be interesting to examine under ocean acidification conditions. There is a likelihood of polonium being retained in fecal pellets, which would result in relatively short residence times in surface waters.
The high concentrations of metals in marine sediments and water are known for various marine areas worldwide [72,73,74,75,76]. With anthropogenic activities, including sewage and industrial discharges, dredging spoils, and natural sources as river discharges and atmospheric inputs, a temporal increase in metal concentrations is eminent in seawater and sediments. Studies have demonstrated the bioaccumulation and toxicity of 210Po in various marine organisms from phytoplankton, zooplankton, crustaceans, fish, etc., across the trophic food chain [21,23,24,25,30,31,49,50,51,52,53,54,57,58,64,77,78,79,80,81,82,83,84,85,86]. Studies have reported that copepods create feeding currents and selectively ingest food particles [87,88,89]. Kadiene et al. [20] demonstrated that metal uptake in copepods from the dissolved phase was significantly higher than metals from their diet.
5. Conclusions
This experimental study has provided data to underpin possible 210Po transfer processes at the base of the marine food chain under ocean acidification conditions. Considering increased oceanic productivity under climate change, and significant bioaccumulation of polonium in microalgae from the Gulf, and even a higher concentration among Gulf copepods, it is quite probable to observe a polonium reduction in surface water due to the bioconcentration mechanism and abundance of the phytoplankton and zooplankton. On the contrary, the higher polonium concentration and significant quantities of fecal pellet production in mass is likely to result in polonium enrichment in the deeper levels and in bottom sediments due to the downward sinking of fecal pellets. The likelihood of deep water and bottom-sediment enrichment becoming part of the bottom-dwelling marine organism’s and detritivore’s food chains should be considered and could result in an enhanced dose to these benthic organisms.
A 0.5–2% enrichment of 209Po at lower pHs might result in considerable vertical flux considering that with the amount of fecal pellets produced over the life time of a copepod will be at least 2-3 orders of magnitude greater than its mass. The assimilation fraction of ingested polonium was 0.97–1.64% and a slightly higher bioaccumulation was noted at a lower pH of 7.7 compared to 8.2; however, this study also supports the hypothesis of negligible retention of actinides, unlike the retention of other metals such as Zn (47%), Cd (30%), and Ag (17%) [80].
Assuming a similar biological behavior of 209Po and 210Po, it is quite interesting to note that significantly higher 209Po concentrations in the Parvocalanus crassirostis, Euterpina acutifrons, and Acartia pacifica under the experimental conditions compared to 210Po in same species in their natural environment, where the enrichment was 100,000 times.
Not only was the assimilation rate higher at a lower pH, the excretion of polonium was also higher at 7.7 pH compared to 8.2 pH. Polonium elimination in fecal pellets of zooplankton is a well-established phenomenon and has been known for decades. The higher concentration of polonium in copepod fecal pellets at a lower pH is likely to result in the efficient depletion of polonium in surface waters and its downward vertical flux through the water column. The retention of polonium in fecal pellets was roughly comparable to the concentration in the copepods, but the production rate of fecal pellets is quite high. This study supports the hypothesis that primary producers are likely to provide an enhanced dose of polonium to primary consumers, such as crustacean zooplankton. It would be quite interesting to assess the concentration of polonium bound to surfaces compared to that integrated in cytoplasm in phytoplankton, as the two fractions are likely to result in different assimilation rates in copepods.
Author Contributions
Conceptualization, S.U. and S.W.F.; Methodology, M.B. and S.U.; Validation, S.U. and A.U.G.; Formal analysis, M.B., S.U. and S.D.; Investigation, M.B., S.U., A.U.G., Y.A.-E., L.A.-M. and V.V.K.; Resources, S.D.; Data curation, M.B. and M.F.; Writing—original draft, M.B. and S.U.; Writing—review & editing, M.B., S.U. and S.W.F.; Visualization, S.D. and M.F.; Supervision, S.U.; Project administration, M.B. All authors have read and agreed to the published version of the manuscript.
Funding
This research received no external funding.
Institutional Review Board Statement
Not applicable.
Informed Consent Statement
Not applicable.
Data Availability Statement
The statements, opinions and data contained in all publications are solely those of the individual author(s) and contributor(s) and not of MDPI and/or the editor(s). MDPI and/or the editor(s) disclaim responsibility for any injury to people or property resulting from any ideas, methods, instructions or products referred to in the content.
Conflicts of Interest
The authors declare no conflict of interest.
References
- Xu, Y.; Shi, D.; Aristilde, L.; Morel, F.M.M. The effect of pH on the uptake of zinc and cadmium in marine phytoplankton: Possible role of weak complexes. Limnol. Oceanogr. 2012, 57, 293–304. [Google Scholar] [CrossRef]
- Kim, J.M.; Baars, O.; Morel, F.M.M. The effect of acidification on the bioavailability and electrochemical lability of zinc in seawater. Philos. Trans. A Math Phys. Eng. Sci. 2016, 374, 20150296. [Google Scholar] [CrossRef]
- Endo, H.; Yoshimura, T.; Kataoka, T.; Suzuki, K. Effects of CO2 and iron availability on phytoplankton and eubacterial community compositions in the northwest subarctic Pacific. J. Exp. Mar. Biol. Ecol. 2013, 439, 160–175. [Google Scholar] [CrossRef]
- Uddin, S.; Bebhehani, M.; Al-Musallam, L.; Kumar, V.; Sajid, S. Po uptake in microalgae at different seawater pH: An experimental study simulating ocean acidification. Mar. Pollut. Bull. 2020, 151, 110844. [Google Scholar] [CrossRef] [PubMed]
- Annabi-Trabelsi, N.; Guermazi, W.; Karam, Q.; Ali, M.; Uddin, S.; Leignel, V.; Ayadi, H. Concentrations of trace metals in phytoplankton and zooplankton in the Gulf of Gabès, Tunisia. Mar. Pollut. Bull. 2021, 168, 112392. [Google Scholar] [CrossRef] [PubMed]
- Jin, P.; Zhang, J.; Wan, J.; Overmans, S.; Gao, G.; Ye, M.; Dai, X.; Zhao, J.; Xiao, M.; Xia, J. The Combined Effects of Ocean Acidification and Heavy Metals on Marine Organisms: A Meta-Analysis. Front. Mar. Sci. 2021, 8. [Google Scholar] [CrossRef]
- Gattuso, J.-P.; Hansson, L. Ocean acidification: Background and history. In Ocean Acidification; Gattuso, J.-P., Hansson, L., Eds.; Oxford University Press: Oxford, UK, 2011; pp. 1–20. [Google Scholar]
- Orr, J.C.; Fabry, V.J.; Aumont, O.; Bopp, L.; Doney, S.C.; Feely, R.A.; Gnanadesikan, A.; Gruber, N.; Ishida, A.; Joos, F.; et al. Anthropogenic ocean acidification over the twenty-first century and its impact on calcifying organisms. Nature 2005, 437, 681–686. [Google Scholar] [CrossRef]
- Ishimatsu, A.; Hayashi, M.; Kikkawa, T. Fishes in high-CO2, acidified oceans. Mar. Ecol. Prog. Ser. 2008, 373, 295–302. [Google Scholar] [CrossRef]
- Lannig, G.; Eilers, S.; Pörtner, H.-O.; Sokolova, I.; Bock, C. Impact of ocean acidification on energy metabolism of oyster, Crassostrea gigas - changes in metabolic pathways and thermal response. Mar. Drugs 2010, 8, 2318–2339. [Google Scholar] [CrossRef]
- Doney, S.C.; Busch, D.S.; Cooley, S.R.; Kroeker, K.J. The Impacts of Ocean Acidification on Marine Ecosystems and Reliant Human Communities. Annu. Rev. Environ. Resour. 2020, 45, 83–112. [Google Scholar] [CrossRef]
- Kang, E.J.; Kim, K.Y. Effects of future climate conditions on photosynthesis and biochemical component of Ulva pertusa (Chlorophyta). ALGAE 2016, 31, 49–59. [Google Scholar] [CrossRef]
- Kim, H.; Spivack, A.J.; Menden-Deuer, S. pH alters the swimming behaviors of the raphidophyte Heterosigma akashiwo: Implications for bloom formation in an acidified ocean. Harmful Algae 2013, 26, 1–11. [Google Scholar] [CrossRef]
- Kim, J.-M.; Lee, K.; Shin, K.; Kang, J.-H.; Lee, H.-W.; Kim, M.; Jang, P.-G.; Jang, M.-C. The effect of seawater CO2 concentration on growth of a natural phytoplankton assemblage in a controlled mesocosm experiment. Limnol. Oceanogr. 2006, 51, 1629–1636. [Google Scholar] [CrossRef]
- Elkadiri, R.; Manche, C.; Sultan, M.; Al-Dousari, A.; Uddin, S.; Chouinard, K.; Abotalib, A.Z. Development of a Coupled Spatiotemporal Algal Bloom Model for Coastal Areas: A Remote Sensing and Data Mining-Based Approach. IEEE J. Sel. Top. Appl. Earth Obs. Remote Sens. 2016, 9, 5159–5171. [Google Scholar] [CrossRef]
- Habibi, N.; Uddin, S.; Bottein, M.-Y.; Faizuddin, M. Ciguatera in the Indian Ocean with Special Insights on the Arabian Sea and Adjacent Gulf and Seas: A Review. Toxins 2021, 13, 525. [Google Scholar] [CrossRef]
- Manuel, J.; Vigneshwasran, C.; Annadurai, S.; G, P.; Velmurugan, S. Algal biosorption of heavy metals. In Environmental Sustainability using Green Technologies; CRC Publisher: Boca Raton, FL, USA, 2016. [Google Scholar]
- Millero, F.; Woosley, R.; DiTrolio, B.; Waters, J. Effect of ocean acidification on the speciation of metals in seawater. Oceanography 2009, 22, 72–85. [Google Scholar] [CrossRef]
- Schiewer, S.; Wong, M. Ionic strength effects in biosorption of metals by marine algae. Chemosphere 2000, 41, 271–282. [Google Scholar] [CrossRef]
- Kadiene, E.U.; Ouddane, B.; Hwang, J.-S.; Souissi, S. Bioaccumulation of metals in calanoid copepods by oral intake. Sci. Rep. 2019, 9, 1–9. [Google Scholar] [CrossRef] [PubMed]
- Fisher, N.S.; Burns, K.A.; Cherry, R.D.; Heyraud, M. Accumulation and cellular distribution of 241Am, 210Po and 210Pb in two marine algae. Mar. Ecol. Prog. Ser. 1983, 11, 233–237. [Google Scholar] [CrossRef]
- Moller, L.; Torndal, U.B.; Eriksson, L.C.; Gustafsson, J.A. The air pollutant 2-nitrofluorene as initiator and promoter in a liver model for chemical carcinogenesis. Carcinogenesis 1989, 10, 435–440. [Google Scholar] [CrossRef]
- Uddin, S.; Aba, A.; Bebhehani, M. Baseline concentration of 210Po and 210Pb in Sargassum from the northern Gulf. Mar. Pollut. Bull. 2015, 90, 330–333. [Google Scholar] [CrossRef] [PubMed]
- Uddin, S.; Behbehani, M.; Al-Ghadban, A.; Sajid, S.; Kumar, V.V.; Al-Musallam, L.; Al-Zekri, W.; Ali, M.; Al-Julathi, S.; Al-Murad, M.; et al. 210Po concentration in selected diatoms and dinoflagellates in the northern Arabian Gulf. Mar. Pollut. Bull. 2018, 129, 343–346. [Google Scholar] [CrossRef] [PubMed]
- Uddin, S.; Bebhehani, M.; Sajid, S.; Karam, Q. Concentration of 210Po and 210Pb in macroalgae from the northern Gulf. Mar. Pollut. Bull. 2019, 145, 474–479. [Google Scholar] [CrossRef] [PubMed]
- Ivanina, A.V.; Hawkins, C.; Beniash, E.; Sokolova, I.M. Effects of environmental hypercapnia and metal (Cd and Cu) exposure on acid-base and metal homeostasis of marine bivalves. Comp. Biochem. Physiol. Part C Toxicol. Pharmacol. 2015, 174–175, 1–12. [Google Scholar] [CrossRef] [PubMed]
- Ivanina, A.V.; Hawkins, C.; Sokolova, I.M. Interactive effects of copper exposure and environmental hypercapnia on immune functions of marine bivalves Crassostrea virginica and Mercenaria mercenaria. Fish Shellfish Immunol. 2016, 49, 54–65. [Google Scholar] [CrossRef]
- Kroeker, K.J.; Kordas, R.L.; Crim, R.; Hendriks, I.E.; Ramajo, L.; Singh, G.S.; Duarte, C.M.; Gattuso, J. Impacts of ocean acidification on marine organisms: Quantifying sensitivities and interaction with warming. Glob. Chang. Biol. 2013, 19, 1884–1896. [Google Scholar] [CrossRef]
- Uddin, S.; Gevao, B.; Al-Ghadban, A.N.; Nithyanandan, M.; Al-Shamroukh, D. Acidification in Arabian Gulf – Insights from pH and temperature measurements. J. Environ. Monit. 2012, 14, 1479–1482. [Google Scholar] [CrossRef]
- Uddin, S.; Fowler, S.; Behbehani, M.; Metian, M. 210Po bioaccumulation and trophic transfer in marine food chains in the northern Arabian Gulf. J. Environ. Radioact. 2017, 174, 23–29. [Google Scholar] [CrossRef]
- Uddin, S.; Behbehani, M.; Al-Ghadban, A.; Sajid, S.; Al-Zekri, W.; Ali, M.; Al-Jutaili, S.; Al-Musallam, L.; Vinod, V.; Al-Murad, M.; et al. 210Po concentration in selected calanoid copepods in the northern Arabian Gulf. Mar. Pollut. Bull. 2018, 133, 861–864. [Google Scholar] [CrossRef]
- Ohman, M.D.; Hirche, H.-J. Density-dependent mortality in an oceanic copepod population. Nature 2001, 412, 638–641. [Google Scholar] [CrossRef]
- Watanabe, Y.; Yamaguchi, A.; Ishida, H.; Harimoto, T.; Suzuki, S.; Sekido, Y.; Ikeda, T.; Shirayama, Y.; Mac Takahashi, M.; Ohsumi, T.; et al. Lethality of increasing CO2 levels on deep-sea copepods in the western North Pacific. J. Oceanogr. 2006, 62, 185–196. [Google Scholar] [CrossRef]
- Vehmaa, A.; Hogfors, H.; Gorokhova, E.; Brutemark, A.; Holmborn, T.; Engström-Öst, J. Projected marine climate change: Effects on copepod oxidative status and reproduction. Ecol. Evol. 2013, 3, 4548–4557. [Google Scholar] [CrossRef]
- Hildebrandt, N.; Niehoff, B.; Sartoris, F.-J. Long-term effects of elevated CO2 and temperature on the Arctic calanoid copepods Calanus glacialis and C. hyperboreus. Mar. Pollut. Bull. 2014, 80, 59–70. [Google Scholar] [CrossRef] [PubMed]
- Zhang, D.; Li, S.; Wang, G.; Guo, D. Impacts of CO2-driven seawater acidification on survival, egg production rate and hatching success of four marine copepods. Acta Oceanol. Sin. 2011, 30, 86–94. [Google Scholar] [CrossRef]
- Behbehani, M.; Uddin, S.; Dupont, S.; Sajid, S.; Al-Musalam, L.; Al-Ghadban, A. Response of Corals Acropora pharaonis and Porites lutea to Changes in pH and Temperature in the Gulf. Sustainability 2019, 11, 3156. [Google Scholar] [CrossRef]
- Al-Musallam, L.; Uddin, S.; Al-Dakkor, S.; Kumar, V. Effect of ocean acidification and ocean warming on the growth and survival of Penaeus semisulcatus Post-Larvae. J. Earth Environ. Sci. 2019, 3. [Google Scholar] [CrossRef]
- Cherry, R.D.; Shannon, L.V. The alpha radioactivity of marine organisms. At. Energy Rev. 1974, 12, 3–45. [Google Scholar]
- Germain, P.; Leclerc, G.; Simon, S. Transfer of polonium-210 into Mytilus edulis (L.) and Fucus vesiculosus (L.) from the baie de Seine (Channel coast of France). Sci. Total Environ. 1995, 164, 109–123. [Google Scholar] [CrossRef]
- Kim, G.; Hong, Y.-L.; Jang, J.; Lee, I.; Hwang, D.-W.; Yang, H.-S. Evidence for anthrpogenic 210Po in the urban atmosphere of Seoul, Korea. Environ. Sci. Technol. 2005, 39, 1519–1522. [Google Scholar] [CrossRef]
- McDonald, P.; Baxter, M.; Scott, E. Technological enhancement of natural radionuclides in the marine environment. J. Environ. Radioact. 1996, 32, 67–90. [Google Scholar] [CrossRef]
- McDonald, P.; Fowler, S.; Heyraud, M.; Baxter, M. Polonium-210 in mussels and its implications for environmental alpha-autoradiography. J. Environ. Radioact. 1986, 3, 293–303. [Google Scholar] [CrossRef]
- Othman, I.; Al-Masri, M. Impact of phosphate industry on the environment: A case study. Appl. Radiat. Isot. 2007, 65, 131–141. [Google Scholar] [CrossRef] [PubMed]
- Carvalho, F.P. Polonium (210Po) and lead (210Pb) in marine organisms and their transfer in marine food chains. J. Environ. Radioact. 2010, 102, 462–472. [Google Scholar] [CrossRef]
- Carvalho, F.P. 210Po in marine organisms: A wide range of natural radiation dose domains. Radiat. Prot. Dosim. 1988, 24, 113–117. [Google Scholar] [CrossRef]
- Cherry, R.; Fowler, S.; Beasley, T.; Heyraud, M. Polonium-210: Its vertical oceanic transport by zooplankton metabolic activity. Mar. Chem. 1975, 3, 105–110. [Google Scholar] [CrossRef]
- Cherry, R.D.; Heyraud, M. Evidence of High Natural Radiation Doses in Certain Mid-Water Oceanic Organisms. Science 1982, 218, 54–56. [Google Scholar] [CrossRef] [PubMed]
- Cherry, R.D.; Heyraud, M. Polonium-210 in Selected Categories of Marine Organisms: Interpretation of the Data on the Basis of an Unstructured Marine Food Web Model; Elsevier Applied Science Ltd.: London, UK, 1988; pp. 362–372. [Google Scholar]
- Cherry, R.D.; Heyraud, M. Polonium-210 and lead-210 in marine organisms: Allometric relationships and their significance. In Radionuclides in the Study of Marine Processes; Kershaw, P.J., Woodhead, D.S., Eds.; Elsevier Applied Science Ltd.: London, UK, 1991; pp. 309–318. [Google Scholar]
- Cherry, R.D.; Heyraud, M. Polonium-210 content of marine shrimp: Variation with biological and environmental factors. Mar. Biol. 1981, 65, 165–175. [Google Scholar] [CrossRef]
- Cherry, R.; Heyraud, M.; Rindfuss, R. Polonium-210 in teleost fish and in marine mammals: Interfamily differences and a possible association between polonium-210 and red muscle content. J. Environ. Radioact. 1994, 24, 273–291. [Google Scholar] [CrossRef]
- Fowler, S.W. 210Po in the marine environment with emphasis on its behaviour within the biosphere. J. Environ. Radioact. 2010, 102, 448–461. [Google Scholar] [CrossRef]
- Lorda, J.F.; Fowler, S.W.; Miquel, J.-C.; Baena, A.R.Y.; Jeffree, R.A. 210Po/210Pb dynamics in relation to zooplankton biomass and trophic conditions during an annual cycle in northwestern Mediterranean coastal waters. J. Environ. Radioact. 2013, 115, 43–52. [Google Scholar] [CrossRef]
- Stewart, G.; Fowler, S.; Teyssié, J.; Cotret, O.; Cochran, J.; Fisher, N. Contrasting transfer of polonium-210 and lead-210 across three trophic levels in marine plankton. Mar. Ecol. Prog. Ser. 2005, 290, 27–33. [Google Scholar] [CrossRef]
- Uddin, S.; Al Ghadban, A.; Behbahani, M. Baseline concentrations of strontium and 90Sr in seawater from the northern Gulf. Mar. Pollut. Bull. 2013, 75, 301–304. [Google Scholar] [CrossRef] [PubMed]
- Uddin, S.; Al-Ghadban, A.; Behbehani, M.; Aba, A.; Al Mutairi, A.; Karam, Q. Baseline concentration of 210Po in Kuwait’s commercial fish species. Mar. Pollut. Bull. 2012, 64, 2599–2602. [Google Scholar] [CrossRef] [PubMed]
- Uddin, S.; Bebhehani, M. Bioaccumulation of 210Po in common gastropod and bivalve species from the northern Gulf. Ecotoxicol. Environ. Saf. 2014, 104, 132–135. [Google Scholar] [CrossRef] [PubMed]
- Bowen, H.J.M.; Dymond, J.A. Strontium and barium in plants and soils. Proceeding R. Soc. Br. 1955, 144, 355–368. [Google Scholar]
- Lowman, F.G.; Rice, T.R.; Richards, F.A. Accumulation and redistribution of radionuclides by marine organisms. In Radioactivity in the Marine Environment; National Academy of Sciences: Washington, DC, USA, 1971; pp. 161–199. [Google Scholar]
- Pentreath, R.J. General review of literature relevant to coastal water discharge. In Behaviour of Radionuclides Released in to Coastal Waters, IAEA-TECDOC-329; IAEA: Vienna, Austria, 1985; pp. 17–66. [Google Scholar]
- Hameed, P.S.; Shaheed, K.; Somasundaram, S.S.N. A study on distribution of natural radionuclide polonium-210 in a pond ecosystem. J. Biosci. 1997, 22, 627–634. [Google Scholar] [CrossRef]
- Carvalho, F.P.; Fowler, S.W. A double-tracer technique to determine the relative importance of water and food as sources of polonium-210 to marine prawns and fish. Mar. Ecol. Prog. Ser. 1994, 103, 251–264. [Google Scholar] [CrossRef]
- Beasley, T.M.; Heyraud, M.; Higgo, J.J.W.; Cherry, R.D.; Fowler, S.W. 210Po and 210Pb in zooplankton fecal pellets. Mar. Biol. 1978, 44, 325–328. [Google Scholar] [CrossRef]
- Al-Yamani, F.Y.; Prusova, I. Common Copepods of the Northwestern Arabian Gulf: Identification Guide; Al-Yamani, F.Y., Ed.; Kuwait Institute for Scientific Research: Safat, Kuwait, 2003; ISBN 99906-41-18-8. [Google Scholar]
- Mehrbach, C.; Culberson, C.H.; Hawley, J.E.; Pytkowicx, R.M. Measurement of the apparent dissociation constants of carbonic acid in seawater at atmospheric pressure. Limnol. Oceanogr. 1973, 18, 897–907. [Google Scholar] [CrossRef]
- Dickson, A.; Millero, F. A comparison of the equilibrium constants for the dissociation of carbonic acid in seawater media. Deep. Sea Res. Part A. Oceanogr. Res. Pap. 1987, 34, 1733–1743. [Google Scholar] [CrossRef]
- Benoit, G.; Hemond, H.F. Improved methods for the measurement of 210Po, 210Pb, and 226Ra. Limnol. Oceanogr. 1988, 336, 1618–1622. [Google Scholar] [CrossRef]
- Uddin, S.; Bebhehani, M. Planchet Holder for Electrodeposition of Materials. U.S. Patent US 9,856,573, 2 January 2018. [Google Scholar]
- Bojanowski, R.; Fukai, R.; Ballestra, S.; Asari, H. Determination of natural radioactive elements in marine environmental material by ion-exchange and alpha spectrometry. Int. At. Energy Agency 1983, 74, 1–13. [Google Scholar]
- Fowler, S.W. Trace elements in zooplankton particulate products. Nature 1977, 269, 51–53. [Google Scholar] [CrossRef]
- Satheeswaran, T.; Yuvaraj, P.; Damotharan, P.; Karthikeyan, V.; Jha, D.K.; Dharani, G.; Balasubramanian, T.; Kirubagaran, R. Assessment of trace metal contamination in the marine sediment, seawater, and bivalves of Parangipettai, southeast coast of India. Mar. Pollut. Bull. 2019, 149, 110499. [Google Scholar] [CrossRef] [PubMed]
- Zhang, A.; Wang, L.; Zhao, S.; Yang, X.; Zhao, Q.; Zhang, X.; Yuan, X. Heavy metals in seawater and sediments from the northern Liaodong Bay of China: Levels, distribution and potential risks. Reg. Stud. Mar. Sci. 2017, 11, 32–42. [Google Scholar] [CrossRef]
- Mahboob, S.; Ahmed, Z.; Khan, M.F.; Virik, P.; Al-Mulhm, N.; Baabbad, A.A. Assessment of heavy metals pollution in seawater and sediments in the Arabian Gulf, near Dammam, Saudi Arabia. J. King Saud Univ.-Sci. 2021, 34, 101677. [Google Scholar] [CrossRef]
- Altinok, I. A Review of Heavy Metals in Water, Sediment and Living Organisms in the Black Sea. Turk. J. Fish. Aquat. Sci. 2010, 10, 565–572. [Google Scholar]
- Al-Mutairi, K.A.; Yap, C.K. A Review of Heavy Metals in Coastal Surface Sediments from the Red Sea: Health-Ecological Risk Assessments. Int. J. Environ. Res. Public Health 2021, 18, 2798. [Google Scholar] [CrossRef] [PubMed]
- Heyraud, M.; Cherry, R.D. Polonium-210 and lead-210 in marine food chains. Mar. Biol. 1979, 52, 227–236. [Google Scholar] [CrossRef]
- Heyraud, M.; Cherry, R. Correlation of210Po and210Pb enrichments in the sea-surface microlayer with neuston biomass. Cont. Shelf Res. 1983, 1, 283–293. [Google Scholar] [CrossRef]
- Heyraud, M.; Fowler, S.W.; Beasley, T.M.; Cherry, R.D. Polonium-210 in euphausiids: A detailed study. Mar. Biol. 1976, 34, 127–136. [Google Scholar] [CrossRef]
- Fisher, N.; Nolan, C.; Fowler, S. Assimilation of metals in marine copepods and its biogeochemical implications. Mar. Ecol. Prog. Ser. 1991, 71, 37–43. [Google Scholar] [CrossRef]
- Fisher, N.S.; Olson, B.L.; Bowens, V.T. Plutonium uptake by marine phytoplankton in culture1. Limnol. Oceanogr. 1980, 25, 823–839. [Google Scholar] [CrossRef]
- Stewart, G.M.; Fisher, N.S. Experimental studies on the accumulation of polonium-210 by marine phytoplankton. Limnol. Oceanogr. 2003, 48, 1193–1201. [Google Scholar] [CrossRef]
- Stewart, G.M.; Fisher, N.S. Bioaccumulation of polonium-210 in marine copepods. Limnol. Oceanogr. 2003, 48, 2011–2019. [Google Scholar] [CrossRef]
- Carvalho, F.P.; Fowler, S.W. An experimental study on the bioaccumulation and turnover of polonium-210 and lead-210 in marine shrimp. Mar. Ecol. Prog. Ser. 1993, 102, 125–133. [Google Scholar] [CrossRef]
- Al Dousari, A.; Uddin, S. Cost Effective Digital Elevation Model using ASTER Stereo Data. Eur. J. Sci. Res. 2010, 41, 526–542. [Google Scholar]
- Al-Ghadban, A.N.; Uddin, S.; Beg, M.U.; Al Dousari, A.M.; Gevao, B. Ecological Consequences of River Manipulation and Drainage of Mesopotamian Marshes on the Arabian Gulf Ecosystem: Investigations on Changes in Sedimentology and Environment Quality with Special Reference to Kuwait Bay; Kuwait Institute for Scientific Research: Safat, Kuwait, 2008. [Google Scholar]
- Mazzocchi, M.G.; Paffenhoefer, G.A. Swimming and feeding behaviour of the planktonic copepod Clausocalanus furcatus. J. Plankton Res. 1999, 21, 1501–1518. [Google Scholar] [CrossRef]
- Dhanker, R.; Kumar, R.; Hwang, J.-S. Predation by Pseudodiaptomus annandalei (Copepoda: Calanoida) on rotifer prey: Size selection, egg predation and effect of algal diet. J. Exp. Mar. Biol. Ecol. 2012, 414–415, 44–53. [Google Scholar] [CrossRef]
- Gonçalves, R.J.; Kiørboe, T. Perceiving the algae: How feeding-current feeding copepods detect their nonmotile prey. Limnol. Oceanogr. 2015, 60, 1286–1297. [Google Scholar] [CrossRef]
Disclaimer/Publisher’s Note: The statements, opinions and data contained in all publications are solely those of the individual author(s) and contributor(s) and not of MDPI and/or the editor(s). MDPI and/or the editor(s) disclaim responsibility for any injury to people or property resulting from any ideas, methods, instructions or products referred to in the content. |
© 2022 by the authors. Licensee MDPI, Basel, Switzerland. This article is an open access article distributed under the terms and conditions of the Creative Commons Attribution (CC BY) license (https://creativecommons.org/licenses/by/4.0/).






