Assessment of Heavy Metal Contamination in Dust in Vilnius Schools: Source Identification, Pollution Levels, and Potential Health Risks for Children
Abstract
1. Introduction
2. Materials and Methods
2.1. Sample Collection and Analysis
2.2. Pollution Assessment
2.2.1. Geo-Accumulation Index (Igeo)
2.2.2. Contamination Factor
2.3. Modified Degree of Contamination
2.4. Pollution Load Index
2.5. Enrichment Factor
2.6. Health Risk Assessment Model
2.7. Geospatial Mapping, Statistical Analysis and Data Computation
3. Results and Discussion
3.1. Heavy Metal Concentrations in School Environments
3.2. Contamination Factor, Modified Contamination Factor and Pollution Load Index Values
3.3. Enrichment Factor
3.4. Geo Accumulation Index
3.5. Pearson Correlation
3.6. Principal Component Analysis
3.7. Hierarchical Clustering Analysis
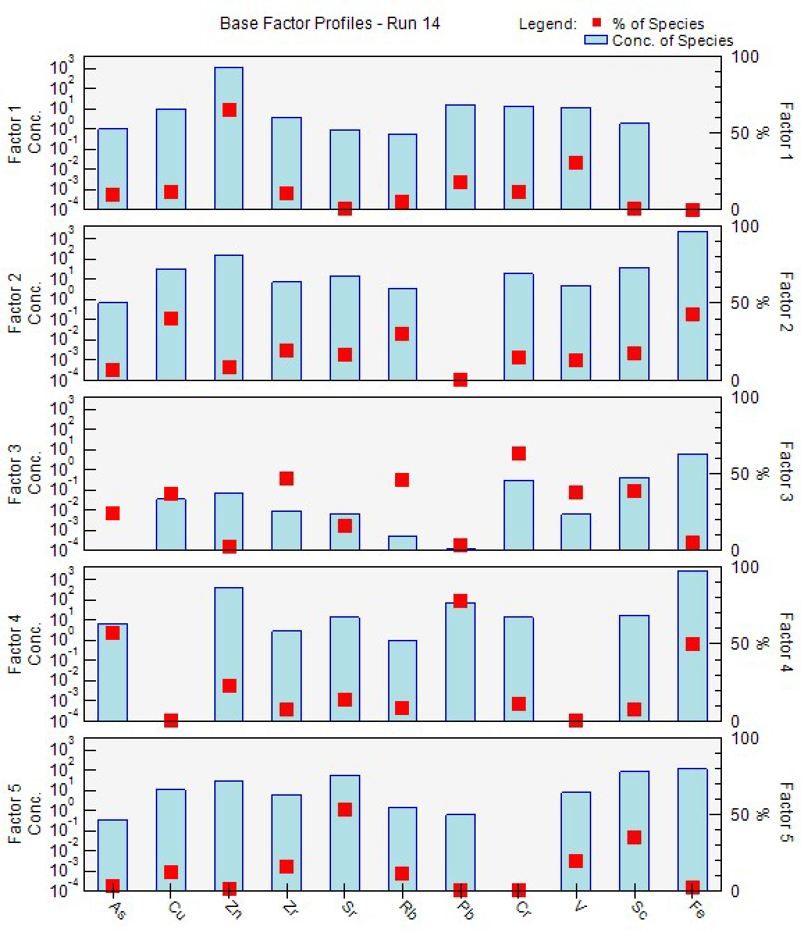
3.8. Source Apportionment of Metals Using PMF
3.9. Particulate Matter Ratio


3.10. Hazard Index for Health Risk
4. Limitations
- Enhanced cleaning protocols involve implementing strict cleaning routines to constantly eliminate dust and particle debris that may accumulate heavy metals. Areas with strong student activity require special care for policy reforms that mandate the implementation of best practices in cleaning and maintenance within schools to minimize exposure to heavy metals. This could include guidelines for cleaning methods that reduce the resuspension of dust particles and the use of cleaning products that do not contribute to indoor pollution.
- To mitigate the inhalation risks associated with contaminated dust, regulations or guidelines could be developed to mandate the installation and maintenance of high-efficiency particulate air (HEPA) filters in school ventilation systems. Installing high-efficiency filters in school ventilation systems can effectively collect airborne particles and limit the risk of inhaling contaminated dust [72,73]. These policies could outline specific performance standards for filters based on the local environmental context and the unique needs of educational facilities.
- Developing educational programs to teach students and staff about environmental health risks and preventive activities to promote a culture of safety and awareness.
- Policies promoting collaboration between schools, municipal authorities, environmental agencies, and community organizations can lead to comprehensive approaches to tackle environmental pollution sources. Such policies could establish frameworks for shared responsibility and action, including pollution monitoring, community awareness programs, and the implementation of local pollution control measures.
- Mandatory health and safety audits, including environmental health assessments in schools, can identify and manage heavy metal pollution sources. Policies could require regular audits by certified environmental health professionals to assess the levels of heavy metals in school environments and recommend mitigation measures. These audits could be supported by a central database managed by educational or environmental health authorities to track pollution levels and mitigation efforts over time. Establishing clear guidelines for these assessments, including frequency, methods, and follow-up actions, will be crucial for their success.
- Countries planning school renovations should adopt regulations for the effective removal and management of accumulated dust, leveraging insights from this study to minimize heavy metal exposure risks. Sharing best practices on heavy metal dust mitigation across borders can guide the implementation of safer renovation protocols, ensuring educational environments worldwide are protected from contamination.
5. Conclusions
Supplementary Materials
Author Contributions
Funding
Institutional Review Board Statement
Informed Consent Statement
Data Availability Statement
Conflicts of Interest
References
- Yesilkanat, C.M.; Kobya, Y. Spatial characteristics of ecological and health risks of toxic heavy metal pollution from road dust in the Black Sea coast of Turkey. Geoderma Reg. 2021, 25, e00388. [Google Scholar] [CrossRef]
- Muhamad-Darus, F.; Nasir, R.A.; Sumari, S.M.; Ismail, Z.S.; Omar, N.A. Nursery Schools: Characterization of heavy metal content in indoor dust. Asian J. Environ. Stud. 2017, 2, 63–70. [Google Scholar] [CrossRef]
- Radhi, A.B.; Shartooh, S.M.; Al-Heety, E.A. Heavy Metal Pollution and Sources in Dust from Primary Schools and Kindergartens in Ramadi City, Iraq. Iraqi J. Sci. 2021, 1816–1828. [Google Scholar] [CrossRef]
- Sezgin, N.; Ozcan, H.; Demir, G.; Nemlioglu, S.; Bayat, C. Determination of heavy metal concentrations in street dusts in Istanbul E-5 highway. Environ. Int. 2004, 29, 979–985. [Google Scholar] [CrossRef]
- Al-Khashman, O.A. Heavy metal distribution in dust, street dust and soils from the work place in Karak Industrial Estate, Jordan. Atmos. Environ. 2004, 38, 6803–6812. [Google Scholar] [CrossRef]
- Suryawanshi, P.V.; Rajaram, B.S.; Bhanarkar, A.D.; Rao, C.V.C. Determining heavy metal contamination of road dust in Delhi, India. Atmósfera 2016, 29, 221–234. [Google Scholar] [CrossRef]
- Trujillo-González, J.M.; Torres-Mora, M.A.; Keesstra, S.; Brevik, E.C.; Jiménez-Ballesta, R. Heavy metal accumulation related to population density in road dust samples taken from urban sites under different land uses. Sci. Total Environ. 2016, 553, 636–642. [Google Scholar] [CrossRef] [PubMed]
- Aguilera, A.; Cortés, J.L.; Delgado, C.; Aguilar, Y.; Aguilar, D.; Cejudo, R.; Quintana, P.; Goguitchaichvili, A.; Bautista, F. Heavy Metal Contamination (Cu, Pb, Zn, Fe, and Mn) in Urban Dust and its Possible Ecological and Human Health Risk in Mexican Cities. Front. Environ. Sci. 2022, 10, 854460. [Google Scholar] [CrossRef]
- Aguilera, A.; Bautista, F.; Goguitchaichvili, A.; Garcia-Oliva, F. Health risk of heavy metals in street dust. Front. Biosci. 2021, 26, 327–345. [Google Scholar] [CrossRef] [PubMed]
- Guney, M.; Onay, T.T.; Copty, N.K. Impact of overland traffic on heavy metal levels in highway dust and soils of Istanbul, Turkey. Environ. Monit. Assess. 2009, 164, 101–110. [Google Scholar] [CrossRef] [PubMed]
- Pelkmans, L.; Verhaeven, E.; Spleesters, G.; Kumra, S.; Schaerf, A. Simulations of Fuel Consumption and Emissions in Typical Traffic Circumstances. SAE Trans. 2005, 114, 967–973. [Google Scholar] [CrossRef]
- Lin, Y.; Wu, M.; Fang, F.; Wu, J.; Ma, K. Characteristics and influencing factors of heavy metal pollution in surface dust from driving schools of Wuhu, China. Atmos. Pollut. Res. 2021, 12, 305–315. [Google Scholar] [CrossRef]
- Olujimi, O.; Steiner, O.; Goessler, W. Pollution indexing and health risk assessments of trace elements in indoor dusts from classrooms, living rooms and offices in Ogun State, Nigeria. J. Afr. Earth Sci. 2015, 101, 396–404. [Google Scholar] [CrossRef]
- Sulaiman, F.R.; Bakri, N.I.F.; Nazmi, N.; Latif, M.T. Assessment of heavy metals in indoor dust of a university in a tropical environment. Environ. Forensics 2017, 18, 74–82. [Google Scholar] [CrossRef]
- Nkansah, M.A.; Fianko, J.R.; Mensah, S.; Debrah, M.; Francis, G.W. Determination of heavy metals in dust from selected nursery and kindergarten classrooms within the Kumasi metropolis of Ghana. Cogent Chem. 2015, 1, 1119005. [Google Scholar] [CrossRef]
- Moghtaderi, M.; Teshnizi, S.H.; Moghtader, T.; Ashraf, M.A.; Faraji, H. The Safety of Schools Based on Heavy Metal Concentrations in Classrooms’ Dust: A Systematic Review and Meta-Analysis. Iran. J. Public Health 2020, 49, 2287–2294. [Google Scholar] [CrossRef]
- Tan, S.Y.; Praveena, S.M.; Abidin, E.Z.; Cheema, M.S. A review of heavy metals in indoor dust and its human health-risk implications. Rev. Environ. Health 2016, 31, 447–456. [Google Scholar] [CrossRef] [PubMed]
- Kurt-Karakus, P.B. Determination of heavy metals in indoor dust from Istanbul, Turkey: Estimation of the health risk. Environ. Int. 2012, 50, 47–55. [Google Scholar] [CrossRef]
- Doyi, I.N.Y.; Isley, C.F.; Soltani, N.S.; Taylor, M.P. Human exposure and risk associated with trace element concentrations in indoor dust from Australian homes. Environ. Int. 2019, 133, 105125. [Google Scholar] [CrossRef]
- Naimabadi, A.; Gholami, A.; Ramezani, A.M. Determination of heavy metals and health risk assessment in indoor dust from different functional areas in Neyshabur, Iran. Indoor Built Environ. 2020, 30, 1781–1795. [Google Scholar] [CrossRef]
- Chen, H.; Lu, X.; Chang, Y.; Xue, W. Heavy metal contamination in dust from kindergartens and elementary schools in Xi’an, China. Environ. Earth Sci. 2013, 71, 2701–2709. [Google Scholar] [CrossRef]
- Shi, T.; Wang, Y. Heavy metals in indoor dust: Spatial distribution, influencing factors, and potential health risks. Sci. Total Environ. 2021, 755, 142367. [Google Scholar] [CrossRef]
- Latif, M.T.; Yong, S.M.; Saad, A.; Mohamad, N.; Baharudin, N.H.; Bin Mokhtar, M.; Tahir, N.M. Composition of heavy metals in indoor dust and their possible exposure: A case study of preschool children in Malaysia. Air Qual. Atmos. Health 2013, 7, 181–193. [Google Scholar] [CrossRef]
- Unsal, M.H.; Ignatavicius, G.; Valskys, V. Unveiling Heavy Metal Links: Correlating Dust and Topsoil Contamination in Vilnius Schools. Land 2024, 13, 79. [Google Scholar] [CrossRef]
- Zacco, A.; Resola, S.; Lucchini, R.; Albini, E.; Zimmerman, N.; Guazzetti, S.; Bontempi, E. Analysis of settled dust with X-ray Fluorescence for exposure assessment of metals in the province of Brescia, Italy. J. Environ. Monit. 2009, 11, 1579–1585. [Google Scholar] [CrossRef]
- Hou, X.; He, Y.; Jones, B.T. Recent Advances in Portable X-Ray Fluorescence Spectrometry. Appl. Spectrosc. Rev. 2004, 39, 1–25. [Google Scholar] [CrossRef]
- Mantler, M.; Schreiner, M. X-ray analysis of objects of art and archaeology. J. Radioanal. Nucl. Chem. 2001, 247, 635–644. [Google Scholar] [CrossRef]
- Gianoncelli, A.; Kourousias, G. Limitations of portable XRF implementations in evaluating depth information: An archaeometric perspective. Appl. Phys. A 2007, 89, 857–863. [Google Scholar] [CrossRef]
- Laperche, V.; Lemière, B. Possible Pitfalls in the Analysis of Minerals and Loose Materials by Portable XRF, and How to Overcome Them. Minerals 2020, 11, 33. [Google Scholar] [CrossRef]
- Kadachi, A.N.; Al-Eshaikh, M.A. Limits of detection in XRF spectroscopy. X-Ray Spectrom. 2012, 41, 350–354. [Google Scholar] [CrossRef]
- Barbieri, M. The Importance of Enrichment Factor (EF) and Geoaccumulation Index (Igeo) to Evaluate the Soil Contamination. J. Geol. Geophys. 2016, 5. [Google Scholar] [CrossRef]
- Gope, M.; Masto, R.E.; George, J.; Hoque, R.R.; Balachandran, S. Bioavailability and health risk of some potentially toxic elements (Cd, Cu, Pb and Zn) in street dust of Asansol, India. Ecotoxicol. Environ. Saf. 2017, 138, 231–241. [Google Scholar] [CrossRef] [PubMed]
- Custodio, M.; Espinoza, C.; Orellana, E.; Chanamé, F.; Fow, A.; Peñaloza, R. Assessment of toxic metal contamination, distribution and risk in the sediments from lagoons used for fish farming in the central region of Peru. Toxicol. Rep. 2022, 9, 1603–1613. [Google Scholar] [CrossRef] [PubMed]
- Saha, A.; Gupta, B.S.; Patidar, S.; Martínez-Villegas, N. Spatial distribution and source identification of metal contaminants in the surface soil of Matehuala, Mexico based on positive matrix factorization model and GIS techniques. Front. Soil Sci. 2022, 2. [Google Scholar] [CrossRef]
- Bern, C.R.; Walton-Day, K.; Naftz, D.L. Improved enrichment factor calculations through principal component analysis: Examples from soils near breccia pipe uranium mines, Arizona, USA. Environ. Pollut. 2019, 248, 90–100. [Google Scholar] [CrossRef] [PubMed]
- Li, F.; Huang, J.; Zeng, G.; Huang, X.; Liu, W.; Wu, H.; Yuan, Y.; He, X.; Lai, M. Spatial distribution and health risk assessment of toxic metals associated with receptor population density in street dust: A case study of Xiandao District, Changsha, Middle China. Environ. Sci. Pollut. Res. 2014, 22, 6732–6742. [Google Scholar] [CrossRef] [PubMed]
- Behrooz, R.D.; Tashakor, M.; Asvad, R.; Esmaili-Sari, A.; Kaskaoutis, D.G. Characteristics and Health Risk Assessment of Mercury Exposure via Indoor and Outdoor Household Dust in Three Iranian Cities. Atmosphere 2022, 13, 583. [Google Scholar] [CrossRef]
- Vosoughi, M.; Zavieh, F.S.; Mokhtari, S.A.; Sadeghi, H. Health risk assessment of heavy metals in dust particles precipitated on the screen of computer monitors. Environ. Sci. Pollut. Res. 2021, 28, 40771–40781. [Google Scholar] [CrossRef]
- Qing, X.; Yutong, Z.; Shenggao, L. Assessment of heavy metal pollution and human health risk in urban soils of steel industrial city (Anshan), Liaoning, Northeast China. Ecotoxicol. Environ. Saf. 2015, 120, 377–385. [Google Scholar] [CrossRef]
- Chen, H.; Lu, X.; Gao, T.; Chang, Y. Identifying Hot-Spots of Metal Contamination in Campus Dust of Xi’an, China. Int. J. Environ. Res. Public Health 2016, 13, 555. [Google Scholar] [CrossRef]
- Zheng, Y.; Gao, Q.; Wen, X.; Yang, M.; Chen, H.; Wu, Z.; Lin, X. Multivariate statistical analysis of heavy metals in foliage dust near pedestrian bridges in Guangzhou, South China in 2009. Environ. Earth Sci. 2012, 70, 107–113. [Google Scholar] [CrossRef]
- Belyadi, H.; Haghighat, A. Unsupervised Machine Learning: Clustering Algorithms. In Machine Learning Guide for Oil and Gas Using Python; Gulf Professional Publishing: Oxford, UK, 2021; pp. 125–168. [Google Scholar] [CrossRef]
- Faisal, M.; Wu, Z.; Wang, H.; Hussain, Z.; Shen, C. Geochemical Mapping, Risk Assessment, and Source Identification of Heavy Metals in Road Dust Using Positive Matrix Factorization (PMF). Atmosphere 2021, 12, 614. [Google Scholar] [CrossRef]
- Souto-Oliveira, C.E.; Kamigauti, L.Y.; Andrade, M.d.F.; Babinski, M. Improving Source Apportionment of Urban Aerosol Using Multi-Isotopic Fingerprints (MIF) and Positive Matrix Factorization (PMF): Cross-Validation and New Insights. Front. Environ. Sci. 2021, 9. [Google Scholar] [CrossRef]
- Chavent, M.; Guégan, H.; Kuentz, V.; Patouille, B.; Saracco, J. PCA- and PMF-based methodology for air pollution sources identification and apportionment. Environmetrics 2008, 20, 928–942. [Google Scholar] [CrossRef]
- Kummer, U.; Pacyna, J.; Pacyna, E.; Friedrich, R. Assessment of heavy metal releases from the use phase of road transport in Europe. Atmos. Environ. 2009, 43, 640–647. [Google Scholar] [CrossRef]
- Adamiec, E.; Jarosz-Krzemińska, E.; Wieszała, R. Heavy metals from non-exhaust vehicle emissions in urban and motorway road dusts. Environ. Monit. Assess. 2016, 188, 369. [Google Scholar] [CrossRef] [PubMed]
- Sternbeck, J.; Sjödin, Å.; Andréasson, K. Metal emissions from road traffic and the influence of resuspension—Results from two tunnel studies. Atmos. Environ. 2002, 36, 4735–4744. [Google Scholar] [CrossRef]
- Jha, K.; Nandan, A.; Siddiqui, N.A.; Mondal, P. Sources of Heavy Metal in Indoor Air Quality. In Advances in Air Pollution Profiling and Control: Select Proceedings of HSFEA 2018; Springer Transactions in Civil and Environmental Engineering; Springer: Singapore, 2020; pp. 203–210. [Google Scholar] [CrossRef]
- Recknagel, S.; Radant, H.; Kohlmeyer, R. Survey of mercury, cadmium and lead content of household batteries. Waste Manag. 2014, 34, 156–161. [Google Scholar] [CrossRef]
- Lim, S.-R.; Kang, D.; Ogunseitan, O.A.; Schoenung, J.M. Potential Environmental Impacts from the Metals in Incandescent, Compact Fluorescent Lamp (CFL), and Light-Emitting Diode (LED) Bulbs. Environ. Sci. Technol. 2013, 47, 1040–1047. [Google Scholar] [CrossRef]
- Saarimaa, V.; Kaleva, A.; Ismailov, A.; Laihinen, T.; Virtanen, M.; Levänen, E.; Väisänen, P. Corrosion product formation on zinc-coated steel in wet supercritical carbon dioxide. Arab. J. Chem. 2022, 15, 103636. [Google Scholar] [CrossRef]
- Straffelini, G.; Gialanella, S. Airborne particulate matter from brake systems: An assessment of the relevant tribological formation mechanisms. Wear 2021, 478–479, 203883. [Google Scholar] [CrossRef]
- Wang, Q.; Lu, X.; Pan, H. Analysis of heavy metals in the re-suspended road dusts from different functional areas in Xi’an, China. Environ. Sci. Pollut. Res. 2016, 23, 19838–19846. [Google Scholar] [CrossRef]
- Murakami, M.; Nakajima, F.; Furumai, H.; Tomiyasu, B.; Owari, M. Identification of particles containing chromium and lead in road dust and soakaway sediment by electron probe microanalyser. Chemosphere 2007, 67, 2000–2010. [Google Scholar] [CrossRef]
- Naher, S.; Haseeb, A. A technical note on the production of zirconia and zircon brick from locally available zircon in Bangladesh. J. Am. Acad. Dermatol. 2006, 172, 388–393. [Google Scholar] [CrossRef]
- Tóth, T.; Kovács, Z.A.; Rékási, M. XRF-measured rubidium concentration is the best predictor variable for estimating the soil clay content and salinity of semi-humid soils in two catenas. Geoderma 2019, 342, 106–108. [Google Scholar] [CrossRef]
- Tarvainen, T.; Reichel, S.; Müller, I.; Jordan, I.; Hube, D.; Eurola, M.; Loukola-Ruskeeniemi, K. Arsenic in agro-ecosystems under anthropogenic pressure in Germany and France compared to a geogenic as region in Finland. J. Geochem. Explor. 2020, 217, 106606. [Google Scholar] [CrossRef]
- O’Connor, D.; Hou, D.; Ye, J.; Zhang, Y.; Ok, Y.S.; Song, Y.; Coulon, F.; Peng, T.; Tian, L. Lead-based paint remains a major public health concern: A critical review of global production, trade, use, exposure, health risk, and implications. Environ. Int. 2018, 121, 85–101. [Google Scholar] [CrossRef]
- Khalifa, M.; Elsaadani, Z.; Qi, W.M. Spatial Distribution and Extent of Environmental Risks of Strontium Metal Concentration in Water and Bottom Sediments of Nile River, Egypt. 2022. Available online: https://www.researchsquare.com/article/rs-1337370/v1 (accessed on 20 September 2023).
- Soldi, T.; Riolo, C.; Alberti, G.; Gallorini, M.; Peloso, G. Environmental vanadium distribution from an industrial settlement. Sci. Total Environ. 1996, 181, 45–50. [Google Scholar] [CrossRef]
- Ghosh, A.; Dhiman, S.; Gupta, A.; Jain, R. Process Evaluation of Scandium Production and Its Environmental Impact. Environments 2022, 10, 8. [Google Scholar] [CrossRef]
- Fan, H.; Zhao, C.; Yang, Y.; Yang, X. Spatio-Temporal Variations of the PM2.5/PM10 Ratios and Its Application to Air Pollution Type Classification in China. Front. Environ. Sci. 2021, 9, 692440. [Google Scholar] [CrossRef]
- Eeftens, M.; Tsai, M.-Y.; Ampe, C.; Anwander, B.; Beelen, R.; Bellander, T.; Cesaroni, G.; Cirach, M.; Cyrys, J.; De Hoogh, K.; et al. Spatial variation of PM2.5, PM10, PM2.5 absorbance and PMcoarse concentrations between and within 20 European study areas and the relationship with NO2—Results of the ESCAPE project. Atmos. Environ. 2012, 62, 303–317. [Google Scholar] [CrossRef]
- Zhao, D.; Chen, H.; Yu, E.; Luo, T. PM2.5/PM10 Ratios in Eight Economic Regions and Their Relationship with Meteorology in China. Adv. Meteorol. 2019, 2019, 1–15. [Google Scholar] [CrossRef]
- Vilnius Municipality. Particulate Matter. Available online: https://maps.vilnius.lt/ (accessed on 12 April 2023).
- Global Wind Atlas. Global Wind Atlas. Available online: https://globalwindatlas.info (accessed on 12 April 2023).
- Ghosh, S.; Sharma, A.; Talukder, G. Zirconium. Biol. Trace Element Res. 1992, 35, 247–271. [Google Scholar] [CrossRef] [PubMed]
- Zirconium: Uses, Properties, and Applications—The Complete Guide. Available online: https://chemistrycool.com/element/zirconium (accessed on 17 February 2024).
- Sesli, Y.; Ozomay, Z.; Kandirmaz, E.A.; Ozcan, A. The Investigation of Using Zirconium Oxide Microspheres in Paper Coating; Marmara University, School of Applied Sciences, Printing Technologies: Istanbul, Turkey, 2018. [Google Scholar] [CrossRef]
- Emsley, J. The A–Z of zirconium. Nat. Chem. 2014, 6, 254. [Google Scholar] [CrossRef]
- Martenies, S.E.; Batterman, S.A. Effectiveness of Using Enhanced Filters in Schools and Homes to Reduce Indoor Exposures to PM2.5 from Outdoor Sources and Subsequent Health Benefits for Children with Asthma. Environ. Sci. Technol. 2018, 52, 10767–10776. [Google Scholar] [CrossRef]
- Lee, E.S.; Fung, C.-C.D.; Zhu, Y. Evaluation of a High Efficiency Cabin Air (HECA) Filtration System for Reducing Particulate Pollutants Inside School Buses. Environ. Sci. Technol. 2015, 49, 3358–3365. [Google Scholar] [CrossRef]
- Bermúdez, M.d.C.R.; Chakraborty, R.; Cameron, R.W.; Inkson, B.J.; Martin, M.V. A Practical Green Infrastructure Intervention to Mitigate Air Pollution in a UK School Playground. Sustainability 2023, 15, 1075. [Google Scholar] [CrossRef]
- Jennings, V.; Reid, C.E.; Fuller, C.H. Green infrastructure can limit but not solve air pollution injustice. Nat. Commun. 2021, 12, 4681. [Google Scholar] [CrossRef]
- Olowoyo, J.O.; Mugivhisa, L.L.; Magoloi, Z.G. Composition of Trace Metals in Dust Samples Collected from Selected High Schools in Pretoria, South Africa. Appl. Environ. Soil Sci. 2016, 2016, 1–9. [Google Scholar] [CrossRef]
- Yaparla, D.; Nagendra, S.S.; Gummadi, S.N. Characterization and health risk assessment of indoor dust in biomass and LPG-based households of rural Telangana, India. J. Air Waste Manag. Assoc. 2019, 69, 1438–1451. [Google Scholar] [CrossRef]














| Parameters and Units | Child | Adult | |
|---|---|---|---|
| C | Concentration of the element (mg/kg) | ||
| IngR | the ingestion rate (mg/day) | 200 | 100 |
| SA | the surface area of the skin exposed to heavy metals (cm2) | 2800 | 5700 |
| AF | the skin adherence factor (mg/cm2); | 0.2 | 0.7 |
| ABS | dermal absorption factor (unitless) | 0.001 | 0.001 |
| InhR | the inhalation rate (m3/day); | 7.6 | 20 |
| PEF | the particle emission factor (m3/kg) | 1.4 × 109 | 1.4 × 109 |
| EF | the exposure frequency (days/year); | 285 | 285 |
| ED | the exposure duration (year); | 6 | 30 |
| BW | the body weight (kg) | 15 | 70 |
| AT | the average time (days); | ||
| For carcinogens | 25,550 | 25,550 | |
| For non-carcinogens | 2190 | 10,950 | |
| CF | the conversion factor | 1 × 10−6 | 1 × 10−6 |
| VF | volatilization factor m3/kg | 32,675.6 | 32,675.6 |
| Element | RfD Ingestion | RfD Dermal | RfD Inhalation |
|---|---|---|---|
| As | 0.0003 | 0.000123 | 0.000301 |
| Cu | 0.04 | 0.0402 | 0.012 |
| Zn | 0.3 | 0.3 | 0.35 |
| Zr | 0.00008 | - | - |
| Sr | 0.6 | 0.12 | 0.6 |
| Pb | 0.0035 | 0.00053 | 0.0035 |
| Cr | 1.5 | 0.006 | 0.00003 |
| V | 0.007 | 0.007 | 0.00007 |
| Fe | 0.7 | 0.7 | 0.8 |
Disclaimer/Publisher’s Note: The statements, opinions and data contained in all publications are solely those of the individual author(s) and contributor(s) and not of MDPI and/or the editor(s). MDPI and/or the editor(s) disclaim responsibility for any injury to people or property resulting from any ideas, methods, instructions or products referred to in the content. |
© 2024 by the authors. Licensee MDPI, Basel, Switzerland. This article is an open access article distributed under the terms and conditions of the Creative Commons Attribution (CC BY) license (https://creativecommons.org/licenses/by/4.0/).
Share and Cite
Unsal, M.H.; Ignatavičius, G.; Valiulis, A.; Prokopciuk, N.; Valskienė, R.; Valskys, V. Assessment of Heavy Metal Contamination in Dust in Vilnius Schools: Source Identification, Pollution Levels, and Potential Health Risks for Children. Toxics 2024, 12, 224. https://doi.org/10.3390/toxics12030224
Unsal MH, Ignatavičius G, Valiulis A, Prokopciuk N, Valskienė R, Valskys V. Assessment of Heavy Metal Contamination in Dust in Vilnius Schools: Source Identification, Pollution Levels, and Potential Health Risks for Children. Toxics. 2024; 12(3):224. https://doi.org/10.3390/toxics12030224
Chicago/Turabian StyleUnsal, Murat Huseyin, Gytautas Ignatavičius, Arunas Valiulis, Nina Prokopciuk, Roberta Valskienė, and Vaidotas Valskys. 2024. "Assessment of Heavy Metal Contamination in Dust in Vilnius Schools: Source Identification, Pollution Levels, and Potential Health Risks for Children" Toxics 12, no. 3: 224. https://doi.org/10.3390/toxics12030224
APA StyleUnsal, M. H., Ignatavičius, G., Valiulis, A., Prokopciuk, N., Valskienė, R., & Valskys, V. (2024). Assessment of Heavy Metal Contamination in Dust in Vilnius Schools: Source Identification, Pollution Levels, and Potential Health Risks for Children. Toxics, 12(3), 224. https://doi.org/10.3390/toxics12030224

