New Perspectives on the Risks of Hydroxylated Polychlorinated Biphenyl (OH-PCB) Exposure: Intestinal Flora α-Glucosidase Inhibition
Abstract
1. Introduction
2. Materials and Methods
2.1. Chemicals and Reagents
2.2. In Vitro Incubation Experiment on α-Glucosidase and Enzyme Kinetics Study
2.3. Preliminary Screening of Inhibition Capability of OH-PCBs towards α-Glucosidase
2.4. Half Inhibition Concentration (IC50) Determination and Inhibition Kinetics Evaluation
2.5. In Vitro–In Vivo Extrapolation (IVIVE)
2.6. In Silico Docking
2.7. Statistical Analysis of Data
3. Results
3.1. Enzyme Kinetics Results and OH-PCBs Showed Broad Inhibition of α-Glucosidase
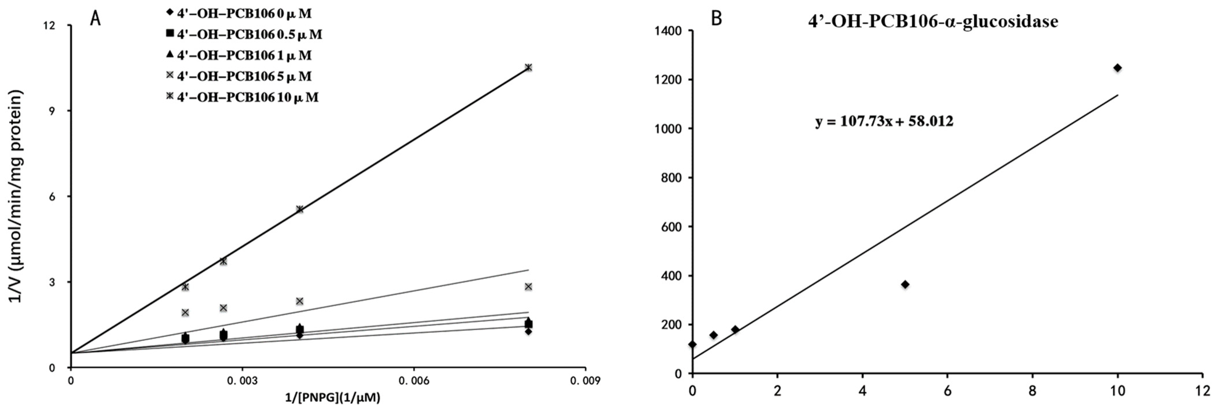
3.2. Analysis of Inhibition Kinetics
3.3. In Silico Docking to Elucidate the Inhibition Mechanism
4. Discussion
5. Conclusions
Supplementary Materials
Author Contributions
Funding
Institutional Review Board Statement
Informed Consent Statement
Data Availability Statement
Conflicts of Interest
References
- Xiang, Y.; Xing, Z.; Liu, J.; Qin, W.; Huang, X. Recent advances in the biodegradation of polychlorinated biphenyls. World J. Microbiol. Biotechnol. 2020, 36, 145. [Google Scholar] [CrossRef] [PubMed]
- Kania-Korwel, I.; Lehmler, H.-J. Toxicokinetics of chiral polychlorinated biphenyls across different species—A review. Environ. Sci. Pollut. Res. 2016, 23, 2058–2080. [Google Scholar] [CrossRef] [PubMed]
- Merhaby, D.; Rabodonirina, S.; Net, S.; Ouddane, B.; Halwani, J. Overview of sediments pollution by PAHs and PCBs in mediterranean basin: Transport, fate, occurrence, and distribution. Mar. Pollut. Bull. 2019, 149, 110646. [Google Scholar] [CrossRef]
- Ritter, R.; Scheringer, M.; MacLeod, M.; Moeckel, C.; Jones, K.C.; Hungerbühler, K. Intrinsic human elimination half-lives of polychlorinated biphenyls derived from the temporal evolution of cross-sectional biomonitoring data from the United Kingdom. Environ. Health Perspect. 2011, 119, 225–231. [Google Scholar] [CrossRef]
- Magoni, M.; Donato, F.; Apostoli, P.; Rossi, G.; Comba, P.; Fazzo, L.; Speziani, F.; Leonardi, L.; Orizio, G.; Scarcella, C.; et al. Serum levels of polychlorinated biphenyls and risk of non-Hodgkin lymphoma: A hospital-based case-control study. Chemosphere 2019, 235, 969–975. [Google Scholar] [CrossRef]
- Leng, L.; Li, J.; Luo, X.-M.; Kim, J.-Y.; Li, Y.-M.; Guo, X.-M.; Chen, X.; Yang, Q.-Y.; Li, G.; Tang, N.-J. Polychlorinated biphenyls and breast cancer: A congener-specific meta-analysis. Environ. Int. 2016, 88, 133–141. [Google Scholar] [CrossRef]
- Do, Y.; Lee, D.K. Effects of polychlorinated biphenyls on the development of neuronal cells in growth period; structure-activity relationship. Exp. Neurobiol. 2012, 21, 30–36. [Google Scholar] [CrossRef]
- Quinete, N.; Schettgen, T.; Bertram, J.; Kraus, T. Occurrence and distribution of PCB metabolites in blood and their potential health effects in humans: A review. Environ. Sci. Pollut. Res. 2014, 21, 11951–11972. [Google Scholar] [CrossRef]
- Dhakal, K.; He, X.; Lehmler, H.-J.; Teesch, L.M.; Duffel, M.W.; Robertson, L.W. Identification of sulfated metabolites of 4-chlorobiphenyl (PCB3) in the serum and urine of male rats. Chem. Res. Toxicol. 2012, 25, 2796–2804. [Google Scholar] [CrossRef]
- Tehrani, R.; Van Aken, B. Hydroxylated polychlorinated biphenyls in the environment: Sources, fate, and toxicities. Environ. Sci. Pollut. Res. 2013, 21, 6334–6345. [Google Scholar] [CrossRef]
- Kester, M.H.; Bulduk, S.; Tibboel, D.; Meinl, W.; Glatt, H.; Falany, C.N.; Coughtrie, M.W.; Bergman, A.; Safe, S.H.; Kuiper, G.G.; et al. Potent inhibition of estrogen sulfotransferase by hydroxylated PCB metabolites: A novel pathway explaining the estrogenic activity of PCBs. Endocrinology 2000, 141, 1897–1900. [Google Scholar] [CrossRef] [PubMed]
- Schuur, A.G.; Legger, F.F.; van Meeteren, M.E.; Moonen, M.J.H.; van Leeuwen-Bol, I.; Bergman, Å.; Visser, T.J.; Brouwer, A. In vitro inhibition of thyroid hormone sulfation by hydroxylated metabolites of halogenated aromatic hydrocarbons. Chem. Res. Toxicol. 1998, 11, 1075–1081. [Google Scholar] [CrossRef]
- Seo, Y.S.; Lee, H.-B.; Kim, Y.; Park, H.-Y. Dietary Carbohydrate Constituents Related to Gut Dysbiosis and Health. Microorganisms 2020, 8, 427. [Google Scholar] [CrossRef] [PubMed]
- Bäckhed, F.; Ley, R.E.; Sonnenburg, J.L.; Peterson, D.A.; Gordon, J.I. Host-Bacterial Mutualism in the Human Intestine. Science 2005, 307, 1915–1920. [Google Scholar] [CrossRef] [PubMed]
- El Kaoutari, A.; Armougom, F.; Gordon, J.I.; Raoult, D.; Henrissat, B. The abundance and variety of carbohydrate-active enzymes in the human gut microbiota. Nat. Rev. Microbiol. 2013, 11, 497–504. [Google Scholar] [CrossRef] [PubMed]
- Weersma, R.K.; Zhernakova, A.; Fu, J. Interaction between drugs and the gut microbiome. Gut 2020, 69, 1510–1519. [Google Scholar] [CrossRef]
- Lozupone, C.A.; Hamady, M.; Cantarel, B.L.; Coutinho, P.M.; Henrissat, B.; Gordon, J.I.; Knight, R. The convergence of carbohydrate active gene repertoires in human gut microbes. Proc. Natl. Acad. Sci. USA 2008, 105, 15076–15081. [Google Scholar] [CrossRef]
- Chi, G.; Wang, L.; Chen, B.; Li, J.; Hu, J.; Liu, S.; Zhao, M.; Ding, X.; Li, Y. Polyoxometalates: Study of inhibitory kinetics and mechanism against α-glucosidase. J. Inorg. Biochem. 2019, 199, 110784. [Google Scholar] [CrossRef]
- Tan, K.; Tesar, C.; Wilton, R.; Jedrzejczak, R.P.; Joachimiak, A. Interaction of antidiabetic alpha-glucosidase inhibitors and gut bacteria alpha-glucosidase. Protein Sci. 2018, 27, 1498–1508. [Google Scholar] [CrossRef]
- Chow, J.; Lee, S.M.; Shen, Y.; Khosravi, A.; Mazmanian, S.K. Host-bacterial symbiosis in health and disease. Adv. Immunol. 2010, 107, 243–274. [Google Scholar]
- Ramanan, D.; Sefik, E.; Galván-Peña, S.; Wu, M.; Yang, L.; Yang, Z.; Kostic, A.; Golovkina, T.V.; Kasper, D.L.; Mathis, D.; et al. An Immunologic Mode of Multigenerational Transmission Governs a Gut Treg Setpoint. Cell 2020, 181, 1276–1290.e13. [Google Scholar] [CrossRef]
- Jin, Y.; Wu, S.; Zeng, Z.; Fu, Z. Effects of environmental pollutants on gut microbiota. Environ. Pollut. 2017, 222, 1–9. [Google Scholar] [CrossRef] [PubMed]
- Pauly, M.; Keegstra, K. Cell-wall carbohydrates and their modification as a resource for biofuels. Plant J. 2008, 54, 559–568. [Google Scholar] [CrossRef]
- Kurokawa, K.; Itoh, T.; Kuwahara, T.; Oshima, K.; Toh, H.; Toyoda, A.; Takami, H.; Morita, H.; Sharma, V.K.; Srivastava, T.P.; et al. Comparative metagenomics revealed commonly enriched gene sets in human gut microbiomes. DNA Res. 2007, 14, 169–181. [Google Scholar] [CrossRef] [PubMed]
- Illiano, P.; Brambilla, R.; Parolini, C. The mutual interplay of gut microbiota, diet and human disease. FEBS J. 2020, 287, 833–855. [Google Scholar] [CrossRef]
- Walker, A.W.; Ince, J.; Duncan, S.H.; Webster, L.M.; Holtrop, G.; Ze, X.; Brown, D.; Stares, M.D.; Scott, P.; Bergerat, A.; et al. Dominant and diet-responsive groups of bacteria within the human colonic microbiota. ISME J. 2011, 5, 220–230. [Google Scholar] [CrossRef] [PubMed]
- Scher, J.U.; Ubeda, C.; Artacho, A.; Attur, M.; Isaac, S.; Reddy, S.M.; Marmon, S.; Neimann, A.; Brusca, S.; Patel, T.; et al. Decreased bacterial diversity characterizes the altered gut microbiota in patients with psoriatic arthritis, resembling dysbiosis in inflammatory bowel disease. Arthritis Rheumatol. 2015, 67, 128–139. [Google Scholar] [CrossRef] [PubMed]
- Jourova, L.; Anzenbacher, P.; Anzenbacherova, E. Human gut microbiota plays a role in the metabolism of drugs. Biomed. Pap. Med. Fac. Palacky Univ. Olomouc 2016, 160, 317–326. [Google Scholar] [CrossRef] [PubMed]
- Li, S.-N.; Cao, Y.-F.; Sun, X.-Y.; Yang, K.; Liang, Y.-J.; Gao, S.-S.; Fu, Z.-W.; Liu, Y.-Z.; Yang, K.; Fang, Z.-Z. Hydroxy metabolites of polychlorinated biphenyls (OH-PCBs) exhibit inhibitory effects on UDP-glucuronosyltransferases (UGTs). Chemosphere 2018, 212, 513–522. [Google Scholar] [CrossRef]
- Jia, R.-Y.; Zhang, Z.-P.; Qin, G.-Q.; Zhang, W.; Yang, K.; Liu, Y.-Z.; Jiang, C.; Fang, Z.-Z. Inhibition of hydroxylated polychlorinated biphenyls (OH-PCBs) on sulfotransferases (SULTs). Environ. Pollut. 2021, 291, 118214. [Google Scholar] [CrossRef]
- Barko, P.C.; McMichael, M.A.; Swanson, K.S.; Williams, D.A. The Gastrointestinal Microbiome: A Review. J. Vet. Intern. Med. 2018, 32, 9–25. [Google Scholar] [CrossRef] [PubMed]
- Blaut, M.; Clavel, T. Metabolic diversity of the intestinal microbiota: Implications for health and disease. J. Nutr. 2007, 137 (Suppl. 2), 751S–755S. [Google Scholar] [CrossRef] [PubMed]





Disclaimer/Publisher’s Note: The statements, opinions and data contained in all publications are solely those of the individual author(s) and contributor(s) and not of MDPI and/or the editor(s). MDPI and/or the editor(s) disclaim responsibility for any injury to people or property resulting from any ideas, methods, instructions or products referred to in the content. |
© 2024 by the authors. Licensee MDPI, Basel, Switzerland. This article is an open access article distributed under the terms and conditions of the Creative Commons Attribution (CC BY) license (https://creativecommons.org/licenses/by/4.0/).
Share and Cite
Qin, G.; Jia, R.; Xue, J.; Chen, L.; Li, Y.; Luo, W.; Wu, X.; An, T.; Fang, Z. New Perspectives on the Risks of Hydroxylated Polychlorinated Biphenyl (OH-PCB) Exposure: Intestinal Flora α-Glucosidase Inhibition. Toxics 2024, 12, 237. https://doi.org/10.3390/toxics12040237
Qin G, Jia R, Xue J, Chen L, Li Y, Luo W, Wu X, An T, Fang Z. New Perspectives on the Risks of Hydroxylated Polychlorinated Biphenyl (OH-PCB) Exposure: Intestinal Flora α-Glucosidase Inhibition. Toxics. 2024; 12(4):237. https://doi.org/10.3390/toxics12040237
Chicago/Turabian StyleQin, Guoqiang, Ruoyong Jia, Juntang Xue, Li Chen, Yang Li, Weiming Luo, Xiaomin Wu, Tianfeng An, and Zhongze Fang. 2024. "New Perspectives on the Risks of Hydroxylated Polychlorinated Biphenyl (OH-PCB) Exposure: Intestinal Flora α-Glucosidase Inhibition" Toxics 12, no. 4: 237. https://doi.org/10.3390/toxics12040237
APA StyleQin, G., Jia, R., Xue, J., Chen, L., Li, Y., Luo, W., Wu, X., An, T., & Fang, Z. (2024). New Perspectives on the Risks of Hydroxylated Polychlorinated Biphenyl (OH-PCB) Exposure: Intestinal Flora α-Glucosidase Inhibition. Toxics, 12(4), 237. https://doi.org/10.3390/toxics12040237

