Calibration of Low-Cost NO2 Sensors through Environmental Factor Correction
Abstract
:1. Introduction
2. Materials and Methods
2.1. Low-Cost Sensors and Reference Monitoring
2.2. Calibration Models
2.2.1. Raw Calibration
2.2.2. Clarity Baseline Calibration Model
2.2.3. Ozone Correction Calibration Model
2.3. Calibration Evaluation Methods
3. Results and Discussion
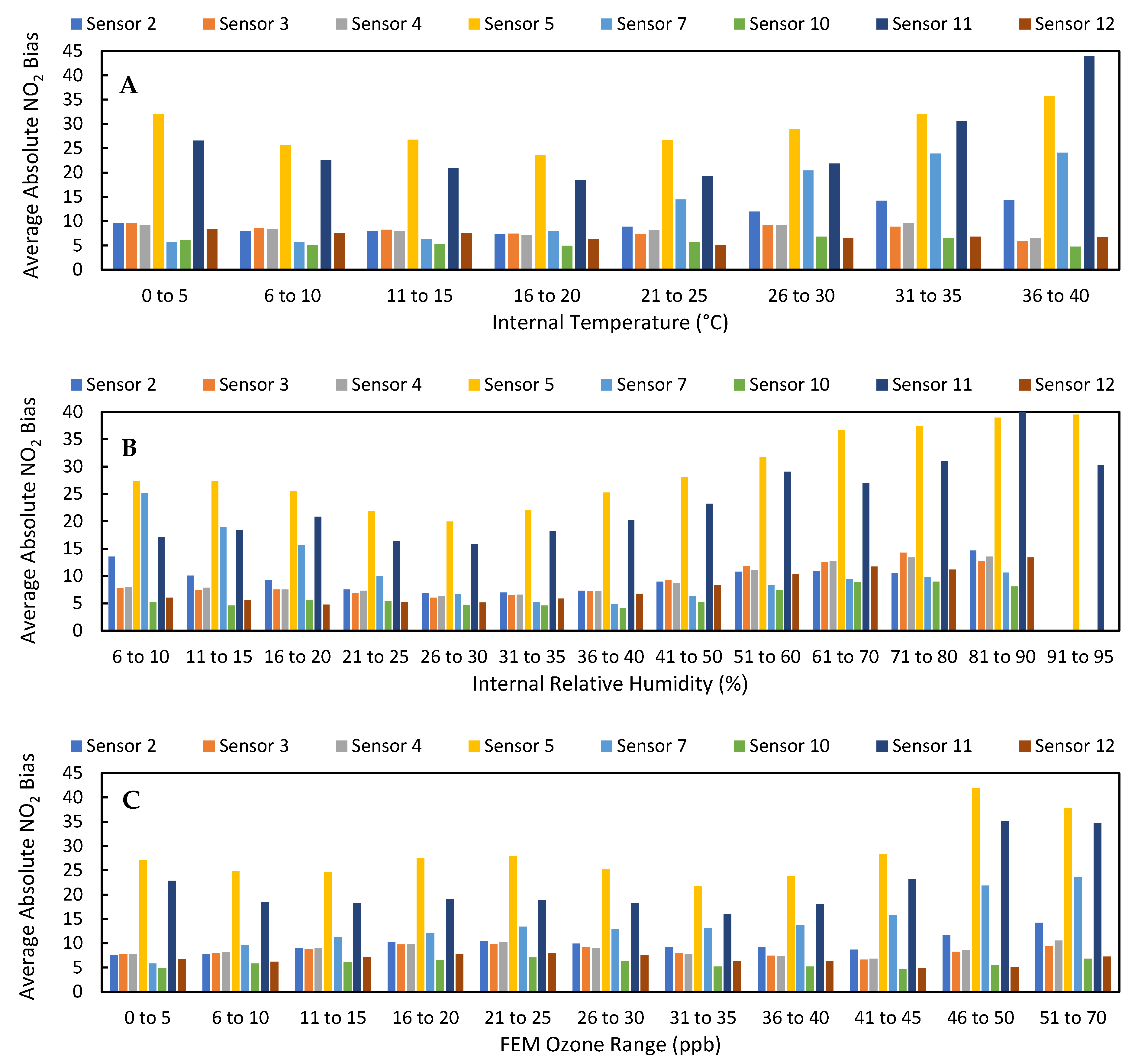
3.1. Raw LCS NO2 Measurements
3.2. Clarity LCS NO2 Calibration
3.3. Impact of Volume of Training Data on Calibration Performance
3.4. Ozone Correction for LCS Calibration
4. Conclusions
Supplementary Materials
Author Contributions
Funding
Institutional Review Board Statement
Informed Consent Statement
Data Availability Statement
Acknowledgments
Conflicts of Interest
References
- Geddes, J.A.; Martin, R.V.; Boys, B.L.; van Donkelaar, A. Long-Term Trends Worldwide in Ambient NO2 Concentrations Inferred from Satellite Observations. Environ. Health Perspect. 2016, 124, 281–289. [Google Scholar] [CrossRef] [PubMed] [Green Version]
- Patankar, A.M.; Trivedi, P.L. Monetary Burden of Health Impacts of Air Pollution in Mumbai, India: Implications for Public Health Policy. Public Health 2011, 125, 157–164. [Google Scholar] [CrossRef] [PubMed]
- World Health Organization. Preventing Disease through Healthy Environments: A Global Assessment of the Burden of Disease from Environmental Risks; World Health Organization: Geneva, Switzerland, 2016. [Google Scholar]
- World Health Organization. Air Quality Guidelines Global Update 2005: Particulate Matter, Ozone, Nitrogen Dioxide, and Sulfur Dioxide; World Health Organization: Copenhagen, Denmark, 2006. [Google Scholar]
- Environmental Protection Agency. Review of the Primary National Ambient Air Quality Standards for Oxides of Nitrogen; Environmental Protection Agency: Washington, DC, USA, 2018.
- Basshuysen, R.; van Schafer, F. Internal Combustion Engine Handbook—Basics Components System and Perspectives, 2nd ed.; 15.1.2 Diesel Four-Stroke Combustion Systems; SAE International: Warrendale, PA, USA, 2016. [Google Scholar]
- U.S. Environmental Protection Agency. 2017 National Emissions Inventory: January 2021 Updated Release, Technical Support Document; U.S. Environmental Protection Agency: Research Triangle Park, NC, USA, 2021.
- Maricopa County Air Quality Department. Maricopa County Air Monitoring Network Assessment 2015–2019; Maricopa County Air Quality Department: Phoenix, AZ, USA, 2020.
- Zhu, Y.; Chen, J.; Bi, X.; Kuhlmann, G.; Chan, K.L.; Dietrich, F.; Brunner, D.; Ye, S.; Wenig, M. Spatial and Temporal Representativeness of Point Measurements for Nitrogen Dioxide Pollution Levels in Cities. Atmos. Chem. Phys. 2020, 20, 13241–13251. [Google Scholar] [CrossRef]
- Chatzidiakou, L.; Krause, A.; Popoola, O.A.M.; Di Antonio, A.; Kellaway, M.; Han, Y.; Squires, F.A.; Wang, T.; Zhang, H.; Wang, Q.; et al. Characterising Low-Cost Sensors in Highly Portable Platforms to Quantify Personal Exposure in Diverse Environments. Atmos. Meas. Tech. Discuss. 2019, 12, 4643–4657. [Google Scholar] [CrossRef] [Green Version]
- Mead, M.I.; Popoola, O.A.M.; Stewart, G.B.; Landshoff, P.; Calleja, M.; Hayes, M.; Baldovi, J.J.; McLeod, M.W.; Hodgson, T.F.; Dicks, J.; et al. The Use of Electrochemical Sensors for Monitoring Urban Air Quality in Low-Cost, High-Density Networks. Atmos. Environ. 2013, 70, 186–203. [Google Scholar] [CrossRef] [Green Version]
- van Zoest, V.; Osei, F.B.; Stein, A.; Hoek, G. Calibration of Low-Cost NO2 Sensors in an Urban Air Quality Network. Atmos. Environ. 2019, 210, 66–75. [Google Scholar] [CrossRef]
- Wei, P.; Sun, L.; Anand, A.; Zhang, Q.; Huixin, Z.; Deng, Z.; Wang, Y.; Ning, Z. Development and Evaluation of a Robust Temperature Sensitive Algorithm for Long Term NO2 Gas Sensor Network Data Correction. Atmos. Environ. 2020, 230, 117509. [Google Scholar] [CrossRef]
- Mijling, B.; Jiang, Q.; de Jonge, D.; Bocconi, S. Field Calibration of Electrochemical NO2 Sensors in a Citizen Science Context. Atmos. Meas. Tech. 2018, 11, 1297–1312. [Google Scholar] [CrossRef] [Green Version]
- U.S. Government Accountability Office. Air Pollution: Opportunities to Better Sustain and Modernize the National Air Quality Monitoring System; GAO-21-38; U.S. Government Accountability Office: Washington, DC, USA, 2020.
- Duvall, R.; Clements, A.; Hagler, G.; Kamal, A.; Kilaru, V.; Goodman, L.; Frederick, S.; Johnson Barkjohn, K.; Vonwalk, I.; Green, D.; et al. Performance Testing Protocols, Metrics, and Target Values for Fine Particulate Matter Air Sensors: Use in Ambient, Outdoor, Fixed Sites, Non-Regulatory Supplemental and Informational Monitoring Applications; U.S. EPA Office of Research and Development: Washington, DC, USA, 2021.
- Duvall, R.; Clements, A.; Hagler, G.; Kamal, A.; Kilaru, V.; Goodman, L.; Frederick, S.; Johnson Barkjohn, K.; Vonwalk, I.; Green, D.; et al. Performance Testing Protocols, Metrics, and Target Values for Ozone Air Sensors: Use in Ambient, Outdoor, Fixed Site, Non-Regulatory and Informational Monitoring Applications; U.S. EPA Office of Research and Development: Washington, DC, USA, 2021.
- South Coast Air Quality Management District. Air Quality Sensor Performance Evaluation Center. Available online: http://www.aqmd.gov/aq-spec (accessed on 8 October 2021).
- South Coast Air Quality Management District. Air Quality Sensor Performance Evaluation Center: Gas-Phase Sensors. Available online: http://www.aqmd.gov/aq-spec/evaluations/summary-gas (accessed on 8 May 2021).
- Han, P.; Mei, H.; Liu, D.; Zeng, N.; Tang, X.; Wang, Y.; Pan, Y. Calibrations of Low-Cost Air Pollution Monitoring Sensors for CO, NO2, O3, and SO2. Sensors 2021, 21, 256. [Google Scholar] [CrossRef] [PubMed]
- Suriano, D.; Cassano, G.; Penza, M. Design and Development of a Flexible, Plug-and-Play, Cost-Effective Tool for on-Field Evaluation of Gas Sensors. J. Sens. 2020, 2020, 8812025. [Google Scholar] [CrossRef]
- Sahu, R.; Nagal, A.; Dixit, K.K.; Unnibhavi, H.; Mantravadi, S.; Nair, S.; Simmhan, Y.; Mishra, B.; Zele, R.; Sutaria, R.; et al. Robust Statistical Calibration and Characterization of Portable Low-Cost Air Quality Monitoring Sensors to Quantify Real-Time O3 and NO2 Concentrations in Diverse Environments. Atmos. Meas. Tech. 2021, 14, 37–52. [Google Scholar] [CrossRef]
- Masey, N.; Gillespie, J.; Ezani, E.; Lin, C.; Wu, H.; Ferguson, N.S.; Hamilton, S.; Heal, M.R.; Beverland, I.J. Temporal Changes in Field Calibration Relationships for Aeroqual S500 O3 and NO2 Sensor-Based Monitors. Sens. Actuators. B. Chem. 2018, 273, 1800–1806. [Google Scholar] [CrossRef]
- Lin, C.; Gillespie, J.; Schuder, M.D.; Duberstein, W.; Beverland, I.J.; Heal, M.R. Evaluation and Calibration of Aeroqual Series 500 Portable Gas Sensors for Accurate Measurement of Ambient Ozone and Nitrogen Dioxide. Atmos. Environ. 2015, 100, 111–116. [Google Scholar] [CrossRef]
- 2020 Census Redistricting Data (Public Law 94-171); U.S. Department of Commerce, U.S. Census Bureau: Washington, DC, USA, 2020.
- Alphasense Ltd. NO2-A43F Nitrogen Dioxide Sensor 4-Electrode Specification Sheet; Alphasense Ltd.: Great Notley, UK, 2019. [Google Scholar]
- Spinelle, L.; Gerboles, M.; Kotsev, A.; Signorini, M. Evaluation of Low-Cost Sensors for Air Pollution Monitoring: Effect of Gaseous Interfering Compounds and Meteorlogical Conditions; Publications Office of the European Union: Luxemborg, 2017. [Google Scholar] [CrossRef]














| Sensor Make (Model) | Field R2 | Field MAE (ppb) |
|---|---|---|
| Aeroqual (AQY v0.5) | 0.77 | N/A |
| Aeroqual (AQY v1.0) | 0.60–0.77 | 4.1–5.3 |
| Airly | 0.54–0.80 | 42.4–48.1 |
| Air Quality Egg (Ver. 2) | 0.0 | N/A |
| APIS | 0.30–0.44 | 6.1–9.4 |
| AQMesh (V4.0) | 0.0–0.46 | N/A |
| AQMesh (V5.1) | 0.49–0.54 | 7.6–8.4 |
| CairPol (Cairsens NO2) | 0.0–0.12 | 6.0–14.6 |
| Igienair (Zaack AQI) | 0.53–0.58 | 7.2–8.0 |
| Kunak (Air A10) | 0.24–0.32 | 6.6–7.4 |
| Magnasci SRL (uRADMonitor INDUSTRIAL HW103) | 0.00–0.05 | 11.6–24.8 |
| Spec Sensors | 0.0–0.16 | N/A |
| Vaisala (AQT410 Ver. 1.11) | 0.0 | N/A |
| Vaisala (AQT410 Ver. 1.15) | 0.43–0.61 | 13.0–16.3 |
| Sensor | RMSE (ppb) | MAE (ppb) | R2 | Slope [95% CI] |
|---|---|---|---|---|
| LCS #2 | 10.5 | 8.7 | 0.5974 | 1.13 [1.10–1.17] |
| LCS #3 | 9.9 | 8.1 | 0.5803 | 1.03 [0.99–1.06] |
| LCS #4 | 9.8 | 8.1 | 0.5951 | 1.05 [1.02–1.09] |
| LCS #5 | 32.7 | 26.6 | 0.3645 | 2.05 [1.95–2.15] |
| LCS #7 | 13.2 | 10.0 | 0.5223 | 1.17 [1.12–1.21] |
| LCS #10 | 6.7 | 5.4 | 0.6935 | 0.90 [0.87–0.92] |
| LCS #11 | 26.2 | 21.2 | 0.4039 | 1.79 [1.71–1.88] |
| LCS #12 | 8.0 | 6.7 | 0.6657 | 0.91 [0.88–0.93] |
| Sensor | RMSE (ppb) | MAE (ppb) | R2 | Slope [95% CI] |
|---|---|---|---|---|
| LCS #2 | 7.0 | 5.4 | 0.7495 | 1.09 [1.06–1.11] |
| LCS #3 | 8.5 | 6.7 | 0.5810 | 0.85 [0.82–0.87] |
| LCS #4 | 8.5 | 6.6 | 0.6266 | 0.98 [0.95–1.01] |
| LCS #5 | 13.2 | 10.4 | 0.3485 | 0.76 [0.72–0.80] |
| LCS #7 | 8.0 | 6.2 | 0.6996 | 0.96 [0.94–0.99] |
| LCS #10 | 8.2 | 6.5 | 0.7426 | 1.07 [1.05–1.09] |
| LCS #11 | 13.2 | 10.6 | 0.3371 | 0.73 [0.69–0.77] |
| LCS #12 | 6.1 | 4.7 | 0.7953 | 1.08 [1.06–1.10] |
| Sensor | RMSE (ppb) | MAE (ppb) | R2 | Slope [95% CI] |
|---|---|---|---|---|
| LCS #2 | 5.3 | 4.0 | 0.7979 | 0.93 [0.91–0.95] |
| LCS #3 | 6.2 | 4.9 | 0.6893 | 0.75 [0.73–0.77] |
| LCS #4 | 6.2 | 4.8 | 0.7301 | 0.90 [0.88–0.92] |
| LCS #5 | 10.1 | 8.1 | 0.4300 | 0.69 [0.66–0.72] |
| LCS #7 | 6.6 | 5.0 | 0.6933 | 0.85 [0.83–0.87] |
| LCS #10 | 7.2 | 5.9 | 0.7637 | 0.98 [0.96–1.00] |
| LCS #11 | 9.2 | 7.7 | 0.4694 | 0.61 [0.59–0.64] |
| LCS #12 | 5.8 | 4.5 | 0.7956 | 0.97 [0.95–0.99] |
| Sensor | RMSE (ppb) | MAE (ppb) | R2 | Slope [95% CI] |
|---|---|---|---|---|
| LCS #2 | 4.6 | 3.6 | 0.8466 | 1.04 [1.02–1.06] |
| LCS #3 | 5.0 | 3.8 | 0.8388 | 0.98 [0.97–1.00] |
| LCS #4 | 5.4 | 4.1 | 0.8337 | 1.07 [1.05–1.09] |
| LCS #5 | 7.9 | 6.1 | 0.6296 | 0.82 [0.80–0.84] |
| LCS #7 | 5.1 | 3.9 | 0.8200 | 0.96 [0.95–0.98] |
| LCS #10 | 6.8 | 5.3 | 0.8425 | 1.18 [1.16–1.20] |
| LCS #11 | 7.3 | 5.8 | 0.6966 | 0.76 [0.74–0.78] |
| LCS #12 | 5.4 | 4.2 | 0.8554 | 1.10 [1.08–1.12] |
Publisher’s Note: MDPI stays neutral with regard to jurisdictional claims in published maps and institutional affiliations. |
© 2021 by the authors. Licensee MDPI, Basel, Switzerland. This article is an open access article distributed under the terms and conditions of the Creative Commons Attribution (CC BY) license (https://creativecommons.org/licenses/by/4.0/).
Share and Cite
Miech, J.A.; Stanton, L.; Gao, M.; Micalizzi, P.; Uebelherr, J.; Herckes, P.; Fraser, M.P. Calibration of Low-Cost NO2 Sensors through Environmental Factor Correction. Toxics 2021, 9, 281. https://doi.org/10.3390/toxics9110281
Miech JA, Stanton L, Gao M, Micalizzi P, Uebelherr J, Herckes P, Fraser MP. Calibration of Low-Cost NO2 Sensors through Environmental Factor Correction. Toxics. 2021; 9(11):281. https://doi.org/10.3390/toxics9110281
Chicago/Turabian StyleMiech, Jason A., Levi Stanton, Meiling Gao, Paolo Micalizzi, Joshua Uebelherr, Pierre Herckes, and Matthew P. Fraser. 2021. "Calibration of Low-Cost NO2 Sensors through Environmental Factor Correction" Toxics 9, no. 11: 281. https://doi.org/10.3390/toxics9110281
APA StyleMiech, J. A., Stanton, L., Gao, M., Micalizzi, P., Uebelherr, J., Herckes, P., & Fraser, M. P. (2021). Calibration of Low-Cost NO2 Sensors through Environmental Factor Correction. Toxics, 9(11), 281. https://doi.org/10.3390/toxics9110281

