Performance Evaluation of Regression-Based Machine Learning Models for Modeling Reference Evapotranspiration with Temperature Data
Abstract
1. Introduction
2. Materials and Methods
2.1. Study Area and Data
2.2. FAO56 Penman–Monteith (FAO 56 PM) Method
2.3. Machine Learning Modeling Approaches
- Random Forest for regression (RFr)
- Generalized Regression Neural Network (GRNN)
- Support Vector Regression (SVR)
2.4. Performance Evaluation Criteria
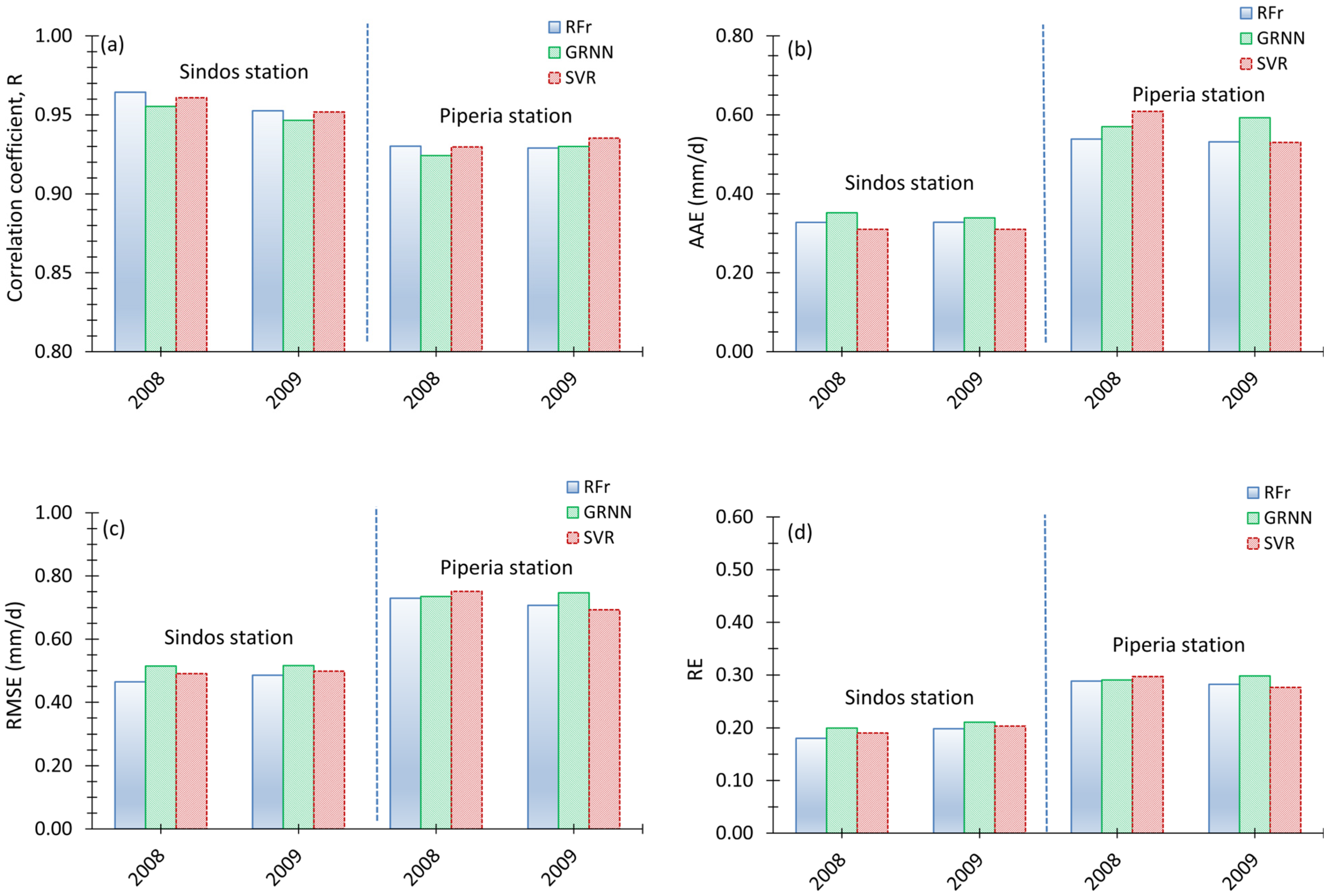
3. Results
Performance of the Constructed Machine Learning Models
4. Discussion
5. Conclusions
Author Contributions
Funding
Data Availability Statement
Conflicts of Interest
References
- Jamshidi, S.; Zand-parsa, S.; Pakparvar, M.; Niyogi, D. Evaluation of Evapotranspiration over a Semiarid Region Using Multiresolution Data Sources. J. Hydrometeorol. 2019, 20, 947–964. [Google Scholar] [CrossRef]
- Bellido-Jiménez, J.A.; Estévez, J.; García-Marín, A.P. New machine learning approaches to improve reference evapotranspiration estimates using intra-daily temperature-based variables in a semi-arid region of Spain. Agric. Water Manag. 2021, 245, 106558. [Google Scholar] [CrossRef]
- Dimitriadou, S.; Nikolakopoulos, K.G. Evapotranspiration Trends and Interactions in Light of the Anthropogenic Footprint and the Climate Crisis: A Review. Hydrology 2021, 8, 163. [Google Scholar] [CrossRef]
- Zare, M.; Pakparvar, M.; Jamshidi, S.; Bazrafshan, O.; Ghabari, G. Optimizing the Runoff Estimation with HEC-HMS Model Using Spatial Evapotranspiration by the SEBS Model. Water Resour. Manag. 2021, 35, 2633–2648. [Google Scholar] [CrossRef]
- Jamshidi, S.; Zand-Parsa, S.; Kamgar-Haghighi, A.A.; Shahsavar, A.R.; Niyogi, D. Evapotranspiration, crop coefficients, and physiological responses of citrus trees in semi-arid climatic conditions. Agric. Water Manag. 2020, 227, 105838. [Google Scholar] [CrossRef]
- Niyogi, D.; Jamshidi, S.; Smith, D.; Kellner, O. Evapotranspiration Climatology of Indiana Using In Situ and Remotely Sensed Products. J. Appl. Meteorol. Climatol. 2020, 59, 2093–2111. [Google Scholar] [CrossRef]
- Malamos, N.; Tegos, A. Advances in Evaporation and Evaporative Demand. Hydrology 2022, 9, 78. [Google Scholar] [CrossRef]
- ASCE-EWRI. Task Committee on Standardization of Reference Evapotranspiration, Principal; Report 0-7844-0805-X. The ASCE Standardized Reference Evapotranspiration Equation; Allen, R.G., Walter, I.A., Elliott, R.L., Howell, T.A., Itenfisu, D., Jensen, M.E., Snyder, R.L., Eds.; American Society of Civil Engineers (ASCE): Reston, VA, USA, 2005. [Google Scholar]
- Allen, R.G.; Pereira, L.S.; Raes, D.; Smith, M. Crop evapotranspiration-Guidelines for computing crop water requirements. In Irrigation and Drainage; Paper No. 56; FAO: Rome, Italy, 1998; Volume 300. [Google Scholar]
- ASCE Task Committee on Application of Artificial Neural Networks in Hydrology. Artificial neural networks in Hydrology. I. Preliminary concepts. J. Hydrol. Eng. 2000, 5, 115–123. [Google Scholar] [CrossRef]
- Agarwal, J.; Singh, R.D. Runoff modeling through back propagation artificial neural networks with variable rainfall-runoff data. Water Resour. Manag. 2004, 18, 285–300. [Google Scholar] [CrossRef]
- Diamantopoulou, M.J.; Antonopoulos, V.; Papamichail, D. Cascade correlation artificial neural networks for estimating missing monthly values of water quality parameters in rivers. Water Resour. Manag. 2007, 21, 649–662. [Google Scholar] [CrossRef]
- Diamantopoulou, M.J.; Georgiou, P.; Papamichail, D. Performance of neural network models with Kalman learning rule for flow routing in a river system. Fresen. Environ. Bull. 2007, 16, 1474–1484. [Google Scholar]
- Gupta, R.; Singh, A.N.; Singhal, A. Application of ANN for water quality index. Int. J. Mach. Learn. Comput. 2019, 9, 688–693. [Google Scholar] [CrossRef]
- Abba, S.I.; Pham, Q.B.; Saini, G.; Linh, N.T.T.; Ahmed, A.N.; Mohajane, M.; Khaledian, M.; Abdulkadir, R.A.; Bach, Q.V. Implementation of data intelligence models coupled with ensemble machine learning for prediction of water quality index. Environ. Sci. Pollut. Res. 2020, 27, 41524–41539. [Google Scholar] [CrossRef]
- Jennifer, J.J. Feature elimination and comparison of machine learning algorithms in landslide susceptibility mapping. Environ. Earth Sci. 2022, 81, 489. [Google Scholar] [CrossRef]
- Ishfaque, M.; Dai, Q.; Wahid, A.; Saddique, B.; Jadoon, K.Z.; Janjuhah, H.T.; Shahzad, S.M. Trend analysis of hydro-climatological parameters and assessment of climate impact on dam seepage using statistical and machine learning models. Environ. Earth Sci. 2023, 82, 1–22. [Google Scholar] [CrossRef]
- Diamantopoulou, M.J.; Georgiou, P.; Papamichail, D. Performance evaluation of artificial neural networks in estimating reference evapotranspiration with minimal meteorological data. Glob. Nest 2011, 13, 18–27. [Google Scholar]
- Ladlani, I.; Houichi, L.; Djemili, L.; Heddam, S.; Belouz, K. Modeling daily reference evapotranspiration (ETo) in the north of Algeria using generalized regression neural networks (GRNN) and radial basis function neural networks (RBFNN): A comparative study. Meteorol. Atmos. Phys. 2012, 118, 163–178. [Google Scholar] [CrossRef]
- Kişi, O. Modeling reference evapotranspiration using three different heuristic regression approaches. Agric. Water Manag. 2016, 169, 162–172. [Google Scholar] [CrossRef]
- Antonopoulos, V.Z.; Antonopoulos, A.Z. Daily reference evapotranspiration estimates by artificial neural networks techniques and empirical equations using limited input variables. Comput. Electron. Agric. 2017, 132, 86–96. [Google Scholar] [CrossRef]
- Feng, Y.; Cui, N.; Gong, D.; Zhang, Q.; Zhao, L. Evaluation of random forests and generalized regression neural networks for daily reference evapotranspiration modeling. Agric. Water Manag. 2017, 193, 163–173. [Google Scholar] [CrossRef]
- Mehdizadeh, S.; Mohammadi, B.; Pham, Q.B.; Duan, Z. Development of boosted machine learning models for estimating daily reference evapotranspiration and comparison with empirical approaches. Water 2021, 13, 3489. [Google Scholar] [CrossRef]
- Rashid Niaghi, A.; Hassanijalilian, O.; Shiri, J. Estimation of reference evapotranspiration using spatial and temporal machine learning approaches. Hydrology 2021, 8, 25. [Google Scholar] [CrossRef]
- Kim, S.J.; Bae, S.J.; Jang, M.W. Linear regression machine learning algorithms for estimating reference evapotranspiration using limited climate data. Sustainability 2022, 14, 11674. [Google Scholar] [CrossRef]
- Tejada, A.T.J.; Ella, V.B.; Lampayan, R.M.; Reano, C.E. Modeling reference crop evapotranspiration using support vector machine (SVM) and extreme learning machine (ELM) in region IV-A. Philipp. Water 2022, 14, 754. [Google Scholar] [CrossRef]
- Zouzou, Y.; Citakoglu, H. General and regional cross-station assessment of machine learning models for estimating reference evapotranspiration. Acta Geophys. 2023, 71, 927–947. [Google Scholar] [CrossRef]
- Raza, A.; Fahmeed, R.; Syed, N.R.; Katipoglu, O.M.; Zubair, M.; Alshehri, F.; Elbeltagi, A. Performance Evaluation of Five Machine Learning Algorithms for Estimating Reference Evapotranspiration in an Arid Climate. Water 2023, 15, 3822. [Google Scholar] [CrossRef]
- Yildirim, D.; Kόηόktopcu, E.; Cemek, B.; Simsek, H. Comparison of machine learning techniques and spatial distribution of daily reference evapotranspiration in Turkiye. Appl. Water Sci. 2023, 13, 107. [Google Scholar] [CrossRef]
- Hargreaves, G.H. and Samani, Z.A. Reference crop evapotranspiration from temperature. Appl. Eng. Agric. 1985, 1, 96–99. [Google Scholar] [CrossRef]
- Hargreaves, G.H. and Allen, R.G. History and evaluation of Hargreaves evapotranspiration equation. J. Irrig. Drain. Eng. 2003, 129, 53–63. [Google Scholar] [CrossRef]
- Russell, S.; Norvig, P. Artificial Intelligence: A Modern Approach (Pearson Series in Artificial Intelligence), 4th ed.; Pearson: London, UK, 2020; p. 1136. [Google Scholar]
- Bates, D.; Watts, D.G. Nonlinear Regression Analysis and Its Applications; Wiley Series in Probability and Statistics; Wiley: New York, NY, USA, 1988. [Google Scholar]
- Biau, G.; Scornet, E. A random forest guided tour. Test 2006, 25, 197–227. [Google Scholar] [CrossRef]
- Breiman, L. Random Forests. Mach. Learn. 2001, 45, 5–32. [Google Scholar] [CrossRef]
- Breiman, L. Some Infinity Theory for Predictor Ensembles; Technical Report 579, Statistics Dept. UCB: Berkeley, CA, USA, 2000. [Google Scholar]
- Breskvar, M.; Kocev, D.; Džeroski, S. Ensembles for multi-target regression with random output selections. Mach. Learn. 2018, 107, 1673–1709. [Google Scholar] [CrossRef]
- Shahhosseini, M.; Hu, G.; Pham, H. Optimizing ensemble weights and hyperparameters of machine learning models for regression problems. Mach. Learn. Appl. 2022, 7, 100251. [Google Scholar] [CrossRef]
- Breiman, L. Bagging predictors. Mach. Learn. 1996, 26, 123–140. [Google Scholar] [CrossRef]
- Segal, M.R. Machine Learning Benchmarks and Random Forest Regression; Center for Bioinformatics and Molecular Biostatistics, University of California: Sun Francisco, CA, USA, 2003; Available online: https://escholarship.org/uc/item/35x3v9t4 (accessed on 10 June 2024).
- Prasad, A.M.; Iverson, L.; Liaw, A. Newer Classification and Regression Techniques: Bagging and Random Forests for Ecological Prediction. Ecosystems 2006, 9, 181–199. [Google Scholar] [CrossRef]
- Hastie, T.; Tibshirani, R.; Tibshirani, R.J. Extended Comparisons of Best Subset Selection, Forward Stepwise Selection, and the lasso. arXiv 2017, arXiv:1707.08692. Available online: http://jmlr.org/papers/v12/pedregosa11a.html (accessed on 10 June 2024).
- Diamantopoulou, M.J. Simulation of over-bark tree bole diameters, through the RFr (Random Forest Regression) algorithm. Folia Oecologica 2022, 49, 93–101. [Google Scholar] [CrossRef]
- Specht, D.F. A general regression neural network. IEEE Trans. Neural Netw. 1991, 2, 568–576. [Google Scholar] [CrossRef]
- Kim, S.; Kim, H.S. Neural networks and genetic algorithm approach for nonlinear evaporation and evapotranspiration modeling. J. Hydrol. 2008, 351, 299–317. [Google Scholar] [CrossRef]
- Kumar, M.; Raghuwanshi, N.S.; Singh, R. Artificial neural networks approach in evapotranspiration modeling: A review. Irrig. Sci. 2011, 29, 11–25. [Google Scholar] [CrossRef]
- Dreyfus, G. Neural Networks: Methodology and Applications; Springer Science & Business Media: Berlin, Germany, 2005. [Google Scholar]
- Cigizoglu, H.K.; Alp, M. Generalized regression neural network in modeling river sediment yield. Adv. Eng. Softw. 2006, 37, 63–68. [Google Scholar] [CrossRef]
- de Bragança Pereira, B.; Rao, C.R.; de Oliveira, F.B. Statistical Learning Using Neural Networks: A Guide for Statisticians and Data Scientists with Python; CRC Press: Boca Raton, FL, USA, 2020. [Google Scholar]
- Belete, D.M.; Huchaiah, M.D. Grid search in hyperparameter optimization of machine learning models for prediction of HIV/AIDS test results. Int. J. Comput. Appl. 2022, 44, 875–886. [Google Scholar] [CrossRef]
- Vapnik, V.N. Three fundamental concepts of the capacity of learning machines. Phys. A Stat. Mech. Its Appl. 1993, 200, 538–544. [Google Scholar] [CrossRef]
- Cortes, C.; Vapnik, V.N. Support Vector Networks. Mach. Learn. 1995, 20, 273–297. [Google Scholar] [CrossRef]
- Vapnik, V.N. An Overview of Statistical Learning Theory. IEEE Trans. Neural Netw. 1999, 10, 988–999. [Google Scholar] [CrossRef]
- Vapnik, V.N. The Nature of Statistical Learning Theory, 2nd ed.; Springer: Berlin, Germany, 2000. [Google Scholar] [CrossRef]
- Vapnik, V.N.; Golowich, S.; Smola, A. Support Vector Method for Function Approximation, Regression Estimation, and Signal Processing. In Advances in Neural Information Processing Systems 9; MIT Press: Cambridge, MA, USA, 1997. [Google Scholar]
- Smola, A.J.; Schölkopf, B. On a kernel-based method for pattern recognition, regression, approximation, and operator inversion. Algorithmica 1998, 22, 211–231. [Google Scholar] [CrossRef]
- Cristianini, N.; Shawe-Taylor, J. An Introduction to Support Vector Machines and Other Kernel-Based Learning Methods; Cambridge University Press: Cambridge, UK, 2000; p. 189. [Google Scholar]
- Pedregosa, F.; Varoquaux, G.; Gramfort, A.; Michel, V.; Thirion, B.; Grisel, O.; Blondel, M.; Prettenhofer, P.; Weiss, R.; Dubourg, V.; et al.; et al. Scikit-learn: Machine Learning in Python. J. Mach. Learn. Res. 2011, 12, 2825–2830. [Google Scholar] [CrossRef]
- Python Software Foundation. © Copyright 2001–2022. 2022. Available online: https://docs.python.org/3.9/index.html (accessed on 20 June 2024).
- Genuer, R. Variance reduction in purely random forests. J. Nonparametric Stat. 2012, 24, 543–562. [Google Scholar] [CrossRef]
- Diamantopoulou, M.J.; Özçelik, R.; Yavuz, H. Tree-bark volume prediction via machine learning: A case study based on black alder’s tree-bark production. Comput. Electron. Agric. 2018, 151, 431–440. [Google Scholar] [CrossRef]
- Wang, L.; Niu, Z.; Kisi, O.; Li, C.; Yu, D. Pan evaporation modeling using four different heuristic approaches. Com. Elec. Agric. 2017, 140, 203–213. [Google Scholar] [CrossRef]











| Evaluation Metrics | Machine Learning Models | ||
|---|---|---|---|
| RFr | GRNN | SVR | |
| R | 0.9924 | 0.9576 | 0.9598 |
| AAE | 0.2189 | 0.3263 | 0.3168 |
| RMSE | 0.3119 | 0.4886 | 0.4766 |
| RE% | 12.67 | 19.86 | 19.36 |
| Model | Sindos | Piperia | ||||||
|---|---|---|---|---|---|---|---|---|
| R | AAE | RMSE | RE% | R | AAE | RMSE | RE% | |
| RFr | 0.9577 | 0.3278 | 0.4754 | 18.9 | 0.9368 | 0.4848 | 0.6376 | 25.3 |
| GRNN | 0.9491 | 0.3455 | 0.5156 | 20.5 | 0.9263 | 0.5814 | 0.7410 | 29.4 |
| SVR | 0.9548 | 0.3101 | 0.4944 | 19.7 | 0.9322 | 0.5697 | 0.7226 | 28.7 |
Disclaimer/Publisher’s Note: The statements, opinions and data contained in all publications are solely those of the individual author(s) and contributor(s) and not of MDPI and/or the editor(s). MDPI and/or the editor(s) disclaim responsibility for any injury to people or property resulting from any ideas, methods, instructions or products referred to in the content. |
© 2024 by the authors. Licensee MDPI, Basel, Switzerland. This article is an open access article distributed under the terms and conditions of the Creative Commons Attribution (CC BY) license (https://creativecommons.org/licenses/by/4.0/).
Share and Cite
Diamantopoulou, M.J.; Papamichail, D.M. Performance Evaluation of Regression-Based Machine Learning Models for Modeling Reference Evapotranspiration with Temperature Data. Hydrology 2024, 11, 89. https://doi.org/10.3390/hydrology11070089
Diamantopoulou MJ, Papamichail DM. Performance Evaluation of Regression-Based Machine Learning Models for Modeling Reference Evapotranspiration with Temperature Data. Hydrology. 2024; 11(7):89. https://doi.org/10.3390/hydrology11070089
Chicago/Turabian StyleDiamantopoulou, Maria J., and Dimitris M. Papamichail. 2024. "Performance Evaluation of Regression-Based Machine Learning Models for Modeling Reference Evapotranspiration with Temperature Data" Hydrology 11, no. 7: 89. https://doi.org/10.3390/hydrology11070089
APA StyleDiamantopoulou, M. J., & Papamichail, D. M. (2024). Performance Evaluation of Regression-Based Machine Learning Models for Modeling Reference Evapotranspiration with Temperature Data. Hydrology, 11(7), 89. https://doi.org/10.3390/hydrology11070089

