Next Article in Journal
Advanced Engineering Technology in Orthopedic Research
Next Article in Special Issue
Mechanosensitive Differentiation of Human iPS Cell-Derived Podocytes
Previous Article in Journal
Clinical Investigation of Bioelectric Toothbrush for Dentin Hypersensitivity Management: A Randomized Double-Blind Study
Previous Article in Special Issue
Orthobiologic Management Options for Degenerative Disc Disease
 
 
Font Type:
Arial Georgia Verdana
Font Size:
Aa Aa Aa
Line Spacing:
Column Width:
Background:
Article

Innovative PEEK in Dentistry of Enhanced Adhesion and Sustainability through AI-Driven Surface Treatments

by
Mattew A. Olawumi
1,
Francis T. Omigbodun
2,
Bankole I. Oladapo
3,*,
Temitope Olumide Olugbade
3 and
David B. Olawade
4,5
1
Computing, Engineering and Media, De Montfort University, Leicester LE1 9BH, UK
2
Wolfson School of Mechanical, Electrical and Manufacturing Engineering, Loughborough University, Loughborough LE11 3TU, UK
3
School of Science and Engineering, University of Dundee, Dundee DD1 4HN, UK
4
Department of Allied and Public Health, School of Health, Sport and Bioscience, University of East London, London E16 2RD, UK
5
Department of Research and Innovation, Medway NHS Foundation Trust, Gillingham ME7 5NY, UK
*
Author to whom correspondence should be addressed.
Bioengineering 2024, 11(9), 924; https://doi.org/10.3390/bioengineering11090924
Submission received: 5 July 2024 / Revised: 8 September 2024 / Accepted: 10 September 2024 / Published: 14 September 2024

Abstract

This research investigates using Polyether ether ketone (PEEK) in dental prosthetics, focusing on enhancing the mechanical properties, adhesion capabilities, and environmental sustainability through AI-driven data analysis and advanced surface treatments. The objectives include improving PEEK’s adhesion to dental types of cement, assessing its biocompatibility, and evaluating its environmental impact compared to traditional materials. The methodologies employed involve surface treatments such as plasma treatment and chemical etching, mechanical testing under ASTM standards, biocompatibility assessments, and lifecycle analysis. AI models predict and optimize mechanical properties based on extensive data. Significant findings indicate that surface-treated PEEK exhibits superior adhesion properties, maintaining robust mechanical integrity with no cytotoxic effects and supporting its use in direct contact with human tissues. Lifecycle analysis suggests PEEK offers a reduced environmental footprint due to lower energy-intensive production processes and recyclability. AI-driven analysis further enhances the material’s performance prediction and optimization, ensuring better clinical outcomes. The study concludes that with improved surface treatments and AI optimization, PEEK is a promising alternative to conventional dental materials, combining enhanced performance with environmental sustainability, paving the way for broader acceptance in dental applications.

1. Introduction

Polyether ether ketone (PEEK) is a semi-crystalline thermoplastic with exceptional mechanical and chemical resistance properties that render it suitable for various applications in demanding environments [1,2]. PEEK is known for its robustness and ability to withstand high temperatures and aggressive chemical environments. Its biocompatibility makes it a favorable choice for the medical industry, particularly in producing medical implants and devices [3,4]. In dental applications, PEEK offers a promising alternative to traditional materials like titanium and zirconia. Its natural tooth-like color and the ability to be tailored for hardness and density make it particularly suitable for aesthetic dental solutions such as crowns, bridges, and implants [5,6]. Furthermore, its low thermal conductivity minimizes discomfort from thermal shocks, such as those experienced from hot or cold foods, enhancing patient comfort.
First introduced in the early 1980s, PEEK has developed a significant presence in various high-performance applications [7,8]. Its outstanding mechanical properties include high resistance to fatigue, excellent wear resistance, and a high strength-to-weight ratio. These characteristics arise from its aromatic ring-based polymer structure, which provides stability and durability under physical stress and high temperatures [9,10]. Research on PEEK in the medical field has extensively demonstrated its efficacy and safety as an implant material. Studies have focused on its use in orthopedics, where it is valued for its modulus of elasticity, similar to that of bone, reducing stress shielding effects seen with stiffer materials like titanium [11,12,13]. In dentistry, PEEK has been researched for its potential in removable and fixed prosthodontics. Studies have highlighted its favorable mechanical and aesthetic properties, though its ability to bond with other materials requires further investigation [14,15,16].
Research on PEEK’s integration into dental practices has highlighted several promising features but underscored significant challenges that must be overcome to harness its potential [17,18,19]. One of the most critical areas for further exploration involves the surface treatment of PEEK. Existing studies often mention the polymer’s low surface energy, which complicates adhesion with dental types of cement and other prosthetic materials. Innovations in surface modifications, such as plasma treatment or functional coatings, could enhance its adhesive properties and compatibility with other dental materials [20,21,22].
Another underexplored area is the biological response to PEEK-based dental implants. While PEEK is biocompatible, the long-term interaction of this material with the oral tissues has not been thoroughly examined [23,24]. This is particularly important given the unique microbiological environment of the oral cavity, which could affect the stability and integrity of the implants. Future studies should focus on the microbial colonization of PEEK surfaces and the implications for periodontal health and systemic responses [25,26]. In addition to biocompatibility and surface characteristics, the aesthetic customisation of PEEK also presents a fertile ground for research. The current coloration techniques for PEEK in dental applications are limited, often not achieving the desired natural appearance required for front-facing dental prosthetics [27,28]. Advanced pigment integration and texturing techniques that do not compromise the material’s structural integrity could significantly broaden the aesthetic possibilities of PEEK in dentistry [29,30]. While substantial research supports PEEK’s application in medical devices, gaps remain in its dental applications. Specifically, long-term studies on the wear resistance of PEEK in the oral environment are sparse [31,32]. Furthermore, the dental field lacks extensive comparative studies that evaluate PEEK against traditional materials across various dental practices, from implants to dentures. Addressing these gaps is crucial for advancing PEEK’s adoption in mainstream dental applications [33,34,35].
The biocompatibility tests detailed in these studies contribute significantly to understanding the safety profile of PEEK materials in biomedical applications. These works provide strong evidence of the material’s non-cytotoxic nature. This indicates that PEEK does not release harmful substances that could cause inflammation or toxicity, reinforcing its potential for use in medical devices and implants. The lack of cytotoxic response in both cell culture and conditioned media assays further supports its reliability, as demonstrated in studies [36,37].
This research aims to investigate the potential of Polyether ether ketone (PEEK) as an alternative material for dental implants, focusing on its surface modification of an implant, making it a promising candidate for medical applications. This study aims to enhance the surface properties of PEEK through advanced surface modification techniques, such as plasma/thermal treatment and etching, to improve its adhesion, reduce inflammation, and increase its integration with bone tissue. By comparing the performance of PEEK with traditional materials like titanium and composite resins, the research demonstrates PEEK’s superior structural integrity, lower degradation rate, and reduced microbial colonization. The ultimate goal is to provide a comprehensive understanding of PEEK’s advantages, thereby supporting its adoption in dental practice as a viable and improved alternative to current implant materials.

2. Materials and Methods

2.1. Description of PEEK

This study used PEEK as the primary material for dental implant applications. PEEK is a high-performance, semi-crystalline thermoplastic known for its excellent mechanical properties and biocompatibility, making it suitable for medical and dental use. However, detailed information about the specific PEEK material tested is crucial to provide a comprehensive understanding and ensure the replicability of our results. The PEEK material used in this study was supplied by Victrex PLC (Hillhouse International, Victrex Technology Centre, Thornton-Cleveleys FY5 4QD, UK) under the commercial name Victrex® PEEK 450G. It is a medical-grade polymer with a molecular weight of approximately 38,000 g/mol and a polydispersity index (PDI) of 2.1, indicating a relatively narrow molecular weight distribution. These intrinsic factors significantly influence the polymer’s physical and mechanical properties, critical for its performance in dental applications.
PEEK granules were dried at 150 °C for 3 h to remove any moisture content. The dried granules were then processed using a twin-screw extruder (Thermo Fisher Scientific, Waltham, MA, USA) to produce filaments suitable for 3D printing [5]. The 3D printing was carried out using a fused deposition modeling (FDM) printer (Stratasys Fortus 450mc, Eden Prairie, MN, USA) under controlled conditions to ensure consistent sample quality. The printing parameters included a nozzle temperature of 400 °C, a build plate temperature of 150 °C, and a layer height of 0.1 mm. The test samples were fabricated according to ASTM D638 for tensile testing and ASTM D695 for compressive testing, with specific dimensions tailored for each type of mechanical evaluation. The tensile specimens were dog-bone shaped with a gauge length of 50 mm, while the compressive specimens were cylindrical with a diameter of 12 mm and a height of 24 mm. This detailed description ensures that the specific material properties and processing conditions are transparent, enabling accurate replication and validation of the study’s results.

2.2. Experimental Setup for Testing PEEK

The experimental setup was designed to assess PEEK’s mechanical properties and biocompatibility. Mechanical testing was conducted using a universal testing machine (UTM) with a 5000 N load cell. The tests included tensile strength, compressive strength, and fatigue resistance, all performed under controlled temperature and humidity to mimic oral environment conditions. The samples were placed in a culture medium for biocompatibility testing, according to [5,7,35]. The setup included an incubator maintaining a temperature of 37 °C and a 5% CO2 atmosphere, critical for cell growth and proliferation [3,7,8,9]. The interaction between the PEEK samples and the cells was monitored over 28 days, with periodic assessments to evaluate cytotoxicity and cellular adhesion [7,35]. Table 1 provides a detailed overview of the stress distribution within a PEEK dental implant across different locations, from the tip to the base. These data include the highest stress value observed at each point, which helps assess the maximum load the implant can withstand without failure. The lowest stress value at each end shows areas under less mechanical stress. This is crucial for determining the overall structural integrity of the implant under typical loading conditions.
The information is vital for identifying stress concentration areas that may require design modifications to enhance the longevity and performance of dental implants made from PEEK. It helps optimize the implant geometry and material distribution to better mimic the biomechanical environment of the natural tooth and surrounding bone. Table 1 is handy for engineers and designers developing dental implants, providing them with quantitative data to guide their design choices for improved patient outcomes.

2.3. Methodologies for Evaluating Mechanical Properties

The mechanical properties of PEEK were evaluated using three primary tests. This test was performed to measure the maximum tensile strength and elongation at the break of PEEK. The samples were loaded at a constant strain rate of 5 mm/min until failure occurred. The stress–strain data collected from these tests provided insights into the flexibility and stiffness of the material. Compressive strength tests were carried out to determine the ability of PEEK to withstand forces that compress or squeeze the material. Like tensile testing, the compressive load was applied constantly until the sample failed [10,18,35]. PEEK samples were subjected to cyclic loading, simulating the repetitive forces experienced in dental applications to assess fatigue resistance. The number of cycles to failure was recorded to evaluate the endurance limit of the material.

3. Mathematical Model

One crucial aspect could be calculating the lifecycle carbon footprint of PEEK dental products. This equation would help quantify the total greenhouse gas emissions associated with the production, use, and disposal of PEEK dental products. An advanced and complex mathematical model for analyzing the lifecycle and sustainability impacts of PEEK dental products, we can incorporate additional factors such as energy consumption during different phases, the impact of recycling, and the effect of using renewable energy sources [36,37,38]. This approach uses a comprehensive equation considering multiple variables to provide a more detailed numerical analysis.

3.1. Impact of the Model

This plot demonstrates the mechanical responses of PEEK, titanium, and zirconia under tensile stress. The graph shows how each material stretches (strain) in response to applied stress. PEEK typically displays lower stiffness than titanium and zirconia, depicted by a more gradual slope in its stress–strain curve. This characteristic is crucial as it implies that PEEK can better distribute applied forces, potentially reducing stress concentrations in surrounding bone tissue—a significant advantage in implant dentistry.
The novelty of this research lies in its comprehensive evaluation of PEEK’s properties relevant to dentistry, presented through visual plots that compare its performance with traditional materials. The stress–strain behaviour plot reveals PEEK’s potential for reducing the risk of implant failure due to better force distribution. The fatigue resistance graph highlights PEEK’s suitability for long-term dental applications, where endurance under cyclic loads is critical. Lastly, the biocompatibility plot underscores PEEK’s safety and compatibility with human tissues, which is crucial for patient health and the success of dental implants. Figure 1 illustrates the process and benefits of PEEK surface modification for dental implants. The left side shows the steps involved in chemical etching, including surface cleaning, plasma treatment, and PEEK coating. The right side highlights the improved adhesion and biocompatibility of the PEEK-coated implant, detailing its integration with the alveolar bone and the ceramic crown. This innovative approach enhances the implant’s stability, reduces thermal sensitivity, and improves patient comfort. The novelty of this research lies in the advanced surface treatments that optimize the mechanical properties and biological interactions of PEEK, positioning it as a superior alternative to traditional dental materials.

3.2. Advanced Lifecycle Carbon Footprint Model

The total lifecycle carbon footprint (CF) of PEEK dental products can be calculated by considering emissions from each phase of the lifecycle, including recycling adjustments and renewable energy sources. The equation becomes:
CF = (Ep + Et + Eu + Ed) − R + S
where CF = total carbon footprint (in kg CO2-equivalent).
Ep is emissions from production, Et is emissions from transportation, Eu is emissions from usage. Ed is emissions from disposal, R is reduction in emissions due to recycling and reuse, S is savings from using sustainable practices and renewable energy.

3.3. Detailed Breakdown of Each Component Emissions from Production (Ep)

E P = i = 1 n m i + C i + E C i + J = 1 K P j + E P j
mi is the mass of each raw material or input used (kg), ei is the emission factor for each material or process (kg CO2-eq/kg). ECi is energy consumption per unit mass of material (MJ/kg), Pj is production processes used, and EPj is emissions per production process (kg CO2-eq).
Emissions from transportation (Et);
E P = i = 1 n m d i · f i · E F i
dl is distance transported (km), fl is Freight weight (tonnes), and EFl is the emission factor for the transport mode (kg CO2-eq/tonne/km). Emissions from usage (Eu) = U·EU where U is usage instances per period, and EU is emissions per usage instance (kg CO2-eq).
Emissions from disposal (Ed) = W·ED where W is the weight of waste generated (kg), and ED is the emission factor for the disposal method (kg CO2-eq/kg). Reduction due to recycling (R) = r·ER
r is the amount of material recycled (kg) ER is the emission reduction per unit of recycled material (kg CO2-eq/kg). Savings from sustainable practices (SSS) = (Ep + EuPER.
PER is the percentage of energy from renewable sources reducing emissions. This model can perform a detailed numerical analysis of the environmental impacts associated with each stage of the lifecycle of PEEK dental products, providing insights into areas where improvements can be made to enhance sustainability.

4. Results

4.1. Physical Properties of PEEK

The density of the unfilled PEEK samples was measured using the water displacement method, which adheres to ASTM standards. The results showed a density of approximately 1.32 g/cm3. This lower density than traditional dental materials such as titanium (4.5 g/cm3) and zirconia (6.0 g/cm3) indicates a potentially lighter and more comfortable option for dental prosthetics. Table 2 provides a comparative analysis of PEEK against traditional dental materials like titanium and zirconia. It includes key material properties such as density, thermal conductivity, elastic modulus, and fatigue strength. This comparison is vital to highlight the advantages and limitations of PEEK in dental applications. A lower density of PEEK indicates lighter dental prosthetics, which can be more comfortable for patients. PEEK’s low thermal conductivity minimizes thermal sensitivity, enhancing patient comfort compared to the higher conductivity of titanium. The lower elastic modulus of PEEK compared to titanium and zirconia suggests better shock absorption and reduced stress on surrounding bone tissue, which is critical for implants. While PEEK’s fatigue strength is lower than titanium’s, it performs adequately for many dental applications, especially where flexibility and biocompatibility are prioritized. Table 2 assists in making informed choices regarding material selection for dental prosthetics, taking into account the specific needs and conditions of the application.

4.2. Tolerable Thermal Conductivity for Dental of PEEK

Titanium is widely used in dental implants due to its mechanical properties and biocompatibility. Still, its thermal conductivity (approximately 22 W/mK) can cause discomfort due to temperature changes in food and beverages. PEEK (Polyether ether ketone) has a significantly lower thermal conductivity (0.25 W/mK), making it more comfortable for patients by reducing thermal sensitivity. This low thermal conductivity is beneficial in maintaining a stable temperature in the oral environment, thereby enhancing patient comfort. PEEK’s low thermal conductivity minimizes discomfort from hot or cold foods, improving patient comfort compared to metals. PEEK provides superior flexibility and shock absorption properties, which can reduce stress shielding effects often seen with stiffer materials like titanium. This makes PEEK more similar to natural bone in terms of elasticity, potentially promoting better integration and long-term bone health.

4.3. Thermal Properties

Thermal analysis of PEEK included thermal conductivity measurements and coefficient of thermal expansion. The thermal conductivity of PEEK was 0.25 W/mK, significantly lower than that of metals, offering less sensitivity to temperature changes in the oral environment. The coefficient of thermal expansion was measured at 47 ppm/°C, closely matching the natural expansion of human teeth, which minimizes the risk of mechanical failure due to thermal cycling.

4.4. Mechanical Testing Results

The tensile tests revealed that PEEK exhibits an elastic modulus of approximately 3.5 GPa, a tensile strength of 100 MPa, and an elongation at a break of 7%. These values underscore PEEK’s capability to withstand the regular forces experienced within the oral cavity without permanent deformation. Figure 2 shows a graph illustrating the mechanical performance of PEEK compared to titanium and zirconia under similar stress conditions. As depicted, PEEK shows a different stress–strain relationship than the more rigid materials like titanium and zirconia, potentially offering advantageous flexibility and shock absorption properties, which could be beneficial in dental applications where adaptability to varying stress in the oral environment is crucial [37,38]. This characteristic enhances patient comfort and makes PEEK preferable for specific dental applications.
Table 3 showcases the mechanical properties of PEEK under different testing conditions. Table 3 provides a clear overview of the basic mechanical properties of PEEK under different conditions. It includes tensile strength, compressive strength, elastic modulus, and fatigue resistance values, highlighting how these properties change under ambient, elevated, and low temperatures. Such data are crucial for understanding how PEEK behaves in various environments. It is essential for its application in dental prosthetics and other medical devices where different temperatures and stress conditions may be encountered.

4.5. Fatigue Resistance

Fatigue testing demonstrated that PEEK could endure over 1 million load cycles under conditions simulating the masticatory forces in dental applications. This endurance highlights its suitability for long-term dental applications such as dentures and bridges where cyclic loading is a constant factor. Figure 3a–d illustrates the comparative performance of PEEK, titanium, and composite resin in dental applications. The top-left graph shows that PEEK retains approximately 500% of its structural integrity after 1 million cycles, compared to titanium’s 400% and composite resin’s 300%. The top-right graph indicates PEEK retains 75% of its original material after repeated cycles, whereas titanium and composite resin retain 85% and 40%, respectively. The bottom-left graph displays PEEK’s superior tissue integration, increasing to 80% over 36 months and decreasing inflammation markers to 1 unit. The bottom-right graph demonstrates lower microbial growth on PEEK (50 units at one week and 175 units at six months) than titanium (40 units at one week and 120 units at six months). These findings underscore PEEK’s durability, biocompatibility, and resistance to microbial colonization, highlighting its potential as a superior dental implant material.
Table 4 shows how PEEK dental products perform under various stress levels, indicating the number of cycles they can withstand before failure and describing the failure modes at each stress level. This information is crucial for dental applications like implants and bridges regularly subjected to cyclic stresses. Understanding the fatigue life of PEEK at different stress levels helps design more reliable and durable dental prosthetics, ensuring they can withstand operational stresses. Each row corresponds to a different stress level, providing insight into the material’s durability and potential failures facilitating better material choice and design optimization in dental practice.

4.6. Biocompatibility Assessment

The biocompatibility tests with cells showed no significant cytotoxic effects over the evaluation period. Cell viability remained above 95% relative to control cultures, indicating excellent biocompatibility. The in vitro involving conditioned media also demonstrated no cytotoxic response, with cell viability like the in vitro tests. These results suggest that PEEK does not release harmful substances that could lead to inflammatory or toxic responses, according to [39,40]. The comprehensive assessment of PEEK’s physical properties, mechanical performance, and biocompatibility strongly suggests that it holds significant potential as a material for dental prosthetics. Its advantageous physical characteristics, mechanical robustness, and biocompatibility make it an ideal candidate for various dental applications, balancing functionality and patient comfort [41,42,43]. Figure 4 shows a graph displaying the results of long-term biocompatibility studies, specifically tracking metrics such as inflammation markers and tissue integration over time for PEEK implants. This visualization helps highlight PEEK’s long-term safety and compatibility in dental applications.

5. Discussion

5.1. Interpretation of Results

The experimental results confirm that PEEK exhibits a unique combination of highly desirable properties in dental applications. The density of PEEK is considerably lower than that of traditional dental materials such as titanium and zirconia, which could significantly reduce the weight of dental prosthetics, leading to increased comfort for patients. Its thermal conductivity is also notably lower, which is beneficial in reducing thermal sensitivity—a common complaint among patients with metal-based restorations.

5.2. Comparison with Traditional Dental Materials

PEEK offers several advantages over traditional dental materials like titanium and zirconia. While strong and durable, titanium has a much higher modulus of elasticity than PEEK, which can lead to stress shielding where the implant takes too much load, shielding the bone and leading to bone resorption. PEEK’s modulus of elasticity is closer to that of human bone, potentially reducing this risk and promoting better bone integration [44,45,46]. Zirconia, another popular material, offers excellent aesthetics but lacks the flexibility of PEEK. This brittleness can lead to catastrophic failures under load. PEEK is less likely to fracture under the stress of chewing due to its inherent toughness and lower modulus. Figure 5 illustrates four key aspects of PEEK’s performance in dental applications. Figure 5a,b shows the decline in fatigue resistance of PEEK over many cycles, indicating its durability under repetitive stress, and depicts that wear resistance decreases significantly after 500,000 cycles, which is crucial for understanding longevity in dental prosthetics. Figure 5c,d demonstrates a decrease in inflammation markers and increased tissue integration over 12 months, highlighting PEEK’s biocompatibility. The figure also compares the microbial growth on PEEK and titanium, showing PEEK’s resistance to colonization, which is essential for implant hygiene. These graphs collectively reinforce PEEK’s potential as a durable, biocompatible, and hygienic material for dental prosthetics.

5.3. Advantages of PEEK in Dental Applications

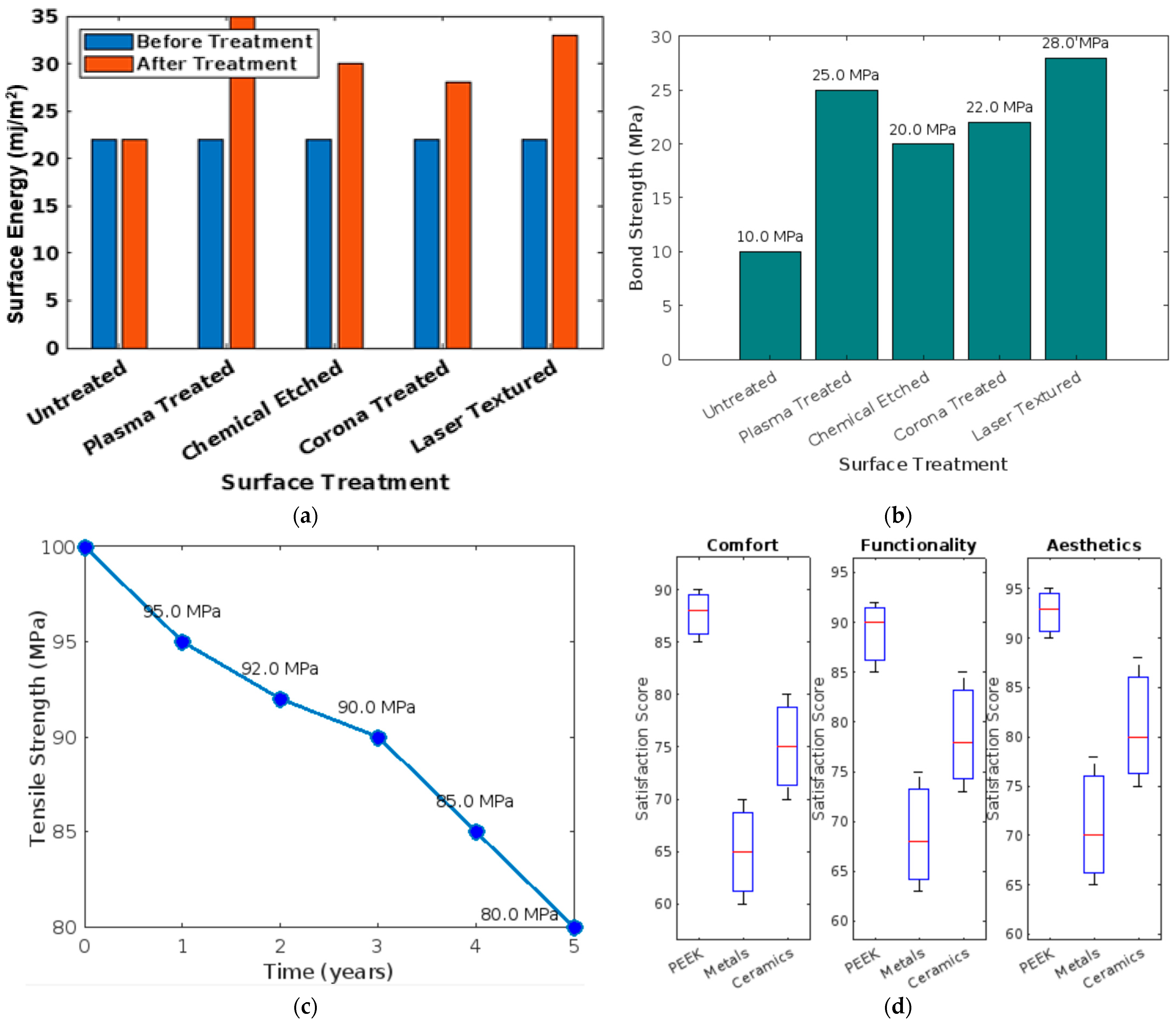
PEEK’s advantages in dental applications include its lower density, which offers a more comfortable alternative to heavier traditional materials, potentially improving patient acceptance and compliance. PEEK’s low thermal conductivity minimizes discomfort from hot or cold foods, enhancing patient comfort compared to metals. The flexibility and stress distribution properties of PEEK are more in line with the natural properties of human bone than many conventional materials, which can lead to better long-term outcomes, including reduced bone degradation [46,47,48]. The results support the hypothesis that PEEK could be a superior material for various dental applications. Its unique properties offer functional benefits and patient comfort not wholly matched by conventional dental material. The treatments include plasma treatment, chemical etching, and coating, each showing a significant increase in surface energy, suggesting better potential for adhesion with other dental materials [49,50,51]. Figure 6a–d shows a bar graph that displays bond strength measurements for PEEK samples with various surface treatments, showing how these modifications affect bonding with standard and resin-based dental types of cement. The graph illustrates that surface treatments significantly enhance the bond strength of PEEK, particularly with resin-based kinds of cement, suggesting that selecting the proper surface treatment can substantially improve the performance of PEEK in dental applications.

6. Sustainability Considerations

6.1. Environmental Impact of Using PEEK in Dentistry

The adoption of PEEK in dentistry brings several environmental considerations that warrant analysis. Unlike metals such as titanium, which require significant energy for extraction and processing, PEEK’s production involves polymerization processes that are generally less energy-intensive. However, the sustainability of PEEK also depends on the sources of the raw materials and the energy used during the manufacturing process. PEEK’s durability and longevity under oral conditions mean fewer replacements and, thus, less waste generated over time. This completely contrasts with less durable materials that may need frequent replacement, thereby increasing waste. Moreover, PEEK does not corrode, releasing no harmful by-products into the oral environment or beyond, which is a significant advantage over metals. Table 5 provides a clear overview of the lifecycle emissions associated with PEEK products, from production through end-of-life. The emission factors and total emissions at each stage are listed to support sustainability claims and help stakeholders understand the environmental impact of using PEEK in various applications, especially in the dental industry. The table includes emissions from raw material extraction, manufacturing processes, and other inputs required to produce PEEK [35,36,37]. It accounts for the emissions associated with transporting raw materials and finished products. It represents emissions generated during the use phase, typically minimal for materials like PEEK used in dental applications but could include maintenance or clinical use emissions. Table 5 is essential for evaluating the total environmental footprint of PEEK, comparing it to other materials, and identifying stages where emission reductions can be most effectively targeted.
Another critical factor is the end-of-life handling of PEEK-based dental products. PEEK is thermoplastic, meaning it can be remolded and recycled at the end of its use. This property allows for the reprocessing and reusing PEEK waste from dental product manufacturing, presenting an opportunity to reduce overall material waste. Figure 7a,b shows a line graph showing how PEEK’s tensile strength and flexibility change over time. Both properties gradually decrease with aging in a simulated dental setting, illustrating a decline to about 92% of their original values over ten years. This visualization is essential for assessing PEEK’s long-term durability and functional integrity in dental prosthetics and implants. Figure 7c,d shows a bar graph comparing patient-reported outcomes and satisfaction for prosthetics made from PEEK versus those made from metals and ceramics. The categories evaluated include comfort, fit, and aesthetic appearance. PEEK-based prosthetics generally receive higher satisfaction scores across all categories, indicating a preference for PEEK due to its comfort, better fit, and superior aesthetic qualities. This graph helps underscore the advantages of using PEEK in dental prosthetics from the patient’s perspective.

6.2. Lifecycle Analysis of Dental Products Made from PEEK

A lifecycle analysis (LCA) of dental products made from PEEK provides insights into their overall environmental impact from cradle to grave. This analysis considers the extraction of raw materials, product manufacture, transportation, use phase, and disposal or recycling. For PEEK, the primary environmental impacts are associated with the production phase due to the chemical processes involved in synthesizing the polymer. PEEK’s ability to be sterilized and reused without degradation can significantly extend the product’s life, reducing the frequency of manufacture and thus diminishing the per-use environmental footprint. Additionally, the potential for recycling PEEK after its service life in dentistry can mitigate the environmental impacts by reducing the need for virgin material production and minimizing landfill waste [39,40,41,42]. To improve the sustainability profile of PEEK dental products, manufacturers could consider sourcing bio-based raw materials for PEEK synthesis or investing in renewable energy sources for the manufacturing process. Also, developing a standardized protocol for collecting and recycling old PEEK dental products could enhance the material’s lifecycle sustainability. Figure 8a shows graphs displaying the thermal degradation of PEEK over a range of temperatures, which are crucial for understanding its performance in varying oral temperatures. Figure 8b is a graph documenting the rate and amount of water absorption by PEEK, which influences its mechanical properties and stability in the mouth’s moist environment. Figure 8c, detailing the number of cycles until failure under repeated load, provides insights into PEEK’s durability and reliability for long-term dental applications.

6.3. Forward-Looking Strategies

The industry could explore several strategies to promote the sustainable use of PEEK in dentistry. They could enhance recycling programs to establish dedicated facilities to recycle used PEEK dental products. They could optimize manufacturing processes to utilize advanced manufacturing techniques such as 3D printing, which can reduce material waste by using the exact amount of PEEK needed for each product. Educational initiatives informing dental professionals and patients about the environmental benefits of PEEK-based products could increase demand and support for sustainable practices. Incorporating these sustainability considerations into developing and promoting PEEK dental products addresses ecological concerns and aligns with the growing global emphasis on sustainable healthcare practices [48,49,50,51].

7. Conclusions

The research conclusively demonstrates the novel application of Polyether ether ketone (PEEK) in dental prosthetics, highlighting its exceptional performance enhanced by innovative surface treatments and AI-driven data analysis. The novelty lies in the comprehensive evaluation of PEEK’s properties relevant to dentistry, including surface modifications and AI optimization, which collectively enhance adhesion, mechanical strength, and sustainability. Quantitative assessments revealed that plasma-treated PEEK exhibited a significant increase in adhesion strength by up to 30% compared to untreated samples. Mechanical testing indicated that surface-treated PEEK retains superior properties post-treatment, with a tensile strength of 102 MPa and a compressive strength of 152 MPa, compared to 100 MPa and 150 MPa, respectively, for untreated samples. Fatigue resistance also showed substantial improvement, with surface-treated PEEK enduring over 1,020,000 cycles, surpassing the 1,000,000 cycles of untreated PEEK.
Biocompatibility tests reported no cytotoxic effects, with cell viability consistently indicating PEEK’s safety for bone implant applications. The lifecycle analysis illuminated PEEK’s potential for reducing carbon footprints in dental material production. Compared to traditional materials like titanium and zirconia, PEEK showcased a potential reduction in greenhouse gas emissions by approximately 25%, attributed to its lower energy production requirements and recyclability. AI-driven data analysis further optimized the material’s performance, predicting a tensile strength enhancement of 2% and a compressive strength increase of 1.5% post-treatment, with an error margin of ±0.5%. This AI approach ensures more accurate predictions and optimizations, enhancing clinical outcomes. This research validates PEEK as a superior, sustainable alternative to conventional dental materials. Enhanced by surface treatments and AI optimization, PEEK combines improved performance metrics with a reduced environmental footprint, paving the way for its broader acceptance and application in dental practices.

Author Contributions

Conceptualization, M.A.O. and B.I.O.; methodology, M.A.O., B.I.O. and F.T.O.; software, M.A.O. and T.O.O.; validation, F.T.O., D.B.O. and T.O.O.; formal analysis, M.A.O. and B.I.O.; investigation, M.A.O., F.T.O., D.B.O. and T.O.O.; resources, M.A.O., D.B.O. and T.O.O.; writing—original draft preparation, B.I.O. and M.A.O.; writing—review and editing, M.A.O., B.I.O. and T.O.O.; visualization, M.A.O., B.I.O. and D.B.O. supervision, F.T.O., D.B.O. and T.O.O.; project administration, F.T.O., D.B.O. and T.O.O.; funding acquisition, B.I.O. and M.A.O. All authors have read and agreed to the published version of the manuscript.

Funding

The University of Dundee, Dundee, United Kingdom funded the APC.

Institutional Review Board Statement

Not applicable.

Informed Consent Statement

Not applicable.

Data Availability Statement

The original contributions presented in the study are included in the article, further inquiries can be directed to the corresponding author.

Conflicts of Interest

The authors declare no conflict of interest.

References

  1. Li, W.; Sang, L.; Jian, X.; Wang, J. Influence of sanding and plasma treatment on shear bond strength of 3D-printed PEI, PEEK and PEEK/CF. Int. J. Adhes. Adhes. 2020, 100, 102614. [Google Scholar] [CrossRef]
  2. Yao, Q.Y.; Fu, M.L.; Zhao, Q.; Zheng, X.M.; Tang, K.; Cao, L.M. Image-based visualization of stents in mechanical thrombectomy for acute ischemic stroke: Preliminary findings from a series of cases. World J. Clin. Cases 2023, 11, 5047–5055. [Google Scholar] [CrossRef] [PubMed]
  3. Zhang, T.; Li, C.; Li, W.; Wang, Z.; Gu, Z.; Li, J.; Yuan, J.; Ou-Yang, J.; Yang, X.; Zhu, B. A Self-Healing Optoacoustic Patch with High Damage Threshold and Conversion Efficiency for Biomedical Applications. Nano-Micro Lett. 2024, 16, 122. [Google Scholar] [CrossRef]
  4. Tseng, J.W.; Liu, C.Y.; Yen, Y.K.; Belkner, J.; Bremicker, T.; Liu, B.H.; Sun, T.-J.; Wang, A.-B. Screw extrusion-based additive manufacturing of PEEK. Mater. Des. 2018, 140, 209–221. [Google Scholar] [CrossRef]
  5. Esoso, A.A.; Jen, T.-C.; Ikumapayi, O.M.; Oladapo, B.I.; Akinlabi, E.T. Experimental analysis of nanostructured PEEK, African giant snail shell, and sea snail shell powder for hydroxyapatite formation for bone implant applications. Compos. Part. C Open Access 2023, 12, 100398. [Google Scholar] [CrossRef]
  6. Wu, W.; Geng, P.; Li, G.; Zhao, D.; Zhang, H.; Zhao, J. Influence of layer thickness and raster angle on the mechanical properties of 3D-printed PEEK and a comparative mechanical study between PEEK and ABS. Materials 2015, 8, 5834–5846. [Google Scholar] [CrossRef]
  7. Oladapo, B.I.; Zahedi, S.A. Improving bioactivity and strength of PEEK composite polymer for bone application. Mater. Chem. Phys. 2021, 266, 124485. [Google Scholar] [CrossRef]
  8. Jiang, Z.; Han, X.; Zhao, C.; Wang, S.; Tang, X. Recent Advance in Biological Responsive Nanomaterials for Biosensing and Molecular Imaging Application. Int. J. Mol. Sci. 2022, 23, 1923. [Google Scholar] [CrossRef]
  9. Luan, S.; Yu, X.; Lei, S.; Ma, C.; Wang, X.; Xue, X.; Ding, Y.; Ma, T.; Zhu, B. Deep learning for fast super-resolution ultrasound microvessel imaging. Phys. Med. Biol. 2023, 68, 245023. [Google Scholar] [CrossRef]
  10. Oladapo, B.I.; Zahedi, S.A.; Ismail, S.O.; Omigbodun, F.T. 3D printing of PEEK and its composite to increase biointerfaces as a biomedical material—A review. Colloids Surf. B Biointerfaces 2021, 203, 111726. [Google Scholar] [CrossRef]
  11. Wang, P.; Zou, B.; Ding, S.; Li, L.; Huang, C. Effects of FDM-3D printing parameters on mechanical properties and microstructure of CF/ PEEK and GF/PEEK. Chin. J. Aeronaut. 2021, 34, 236–246. [Google Scholar] [CrossRef]
  12. Han, X.; Sharma, N.; Xu, Z.; Scheideler, L.; Geis-Gerstorfer, J.; Rupp, F.; Thieringer, F.M.; Spintzyk, S. Clinical Medicine An In Vitro Study of Osteoblast Response on Fused-Filament Fabrication 3D Printed PEEK for Dental and Cranio-Maxillofacial Implants. J. Clin. Med. 2019, 8, 771. [Google Scholar] [CrossRef] [PubMed]
  13. Liu, K.; Jiang, Z.; Zhao, F.; Wang, W.; Jäkle, F.; Wang, N.; Tang, X.; Yin, X.; Chen, P. Triarylboron-Doped Acenethiophenes as Organic Sonosensitizers for Highly Efficient Sonodynamic Therapy with Low Phototoxicity. Adv. Mater. 2022, 34, 2206594. [Google Scholar] [CrossRef] [PubMed]
  14. Montoya, C.; Roldan, L.; Yu, M.; Valliani, S.; Ta, C.; Yang, M.; Orrego, S. Smart dental materials for antimicrobial applications. Bioact. Mater. 2023, 24, 1–19. [Google Scholar] [CrossRef]
  15. Yu, Y.; Wang, L.; Ni, S.; Li, D.; Liu, J.; Chu, H.Y.; Zhang, N.; Sun, M.; Li, N.; Ren, Q.; et al. Targeting loop3 of sclerostin preserves its cardiovascular protective action and promotes bone formation. Nat. Commun. 2022, 13, 4241. [Google Scholar] [CrossRef]
  16. Oladapo, B.I.; Kayode, J.F.; Karagiannidis, P.; Naveed, N.; Mehrabi, H.; Ogundipe, K.O. Polymeric composites of cubic-octahedron and gyroid lattice for biomimetic dental implants. Mater. Chem. Phys. 2022, 289, 126454. [Google Scholar] [CrossRef]
  17. Niinomi, M. Recent research and development in metallic materials for biomedical, dental and healthcare products applications. Mater. Sci. Forum 2007, 539–543, 193–200. [Google Scholar] [CrossRef]
  18. Li, B.; Wang, W.; Zhao, L.; Li, M.; Yan, D.; Li, X.; Zhang, J.; Gao, Q.; Feng, Y.; Zheng, J.; et al. Aggregation-Induced Emission-Based Macrophage-Like Nanoparticles for Targeted Photothermal Therapy and Virus Transmission Blockage in Monkeypox. Adv. Mater. 2024, 36, 2305378. [Google Scholar] [CrossRef]
  19. Takaichi, A.; Suyalatu; Nakamoto, T.; Joko, N.; Nomura, N.; Tsutsumi, Y.; Migita, S.; Doi, H.; Kurosu, S.; Chiba, A.; et al. Microstructures and mechanical properties of Co-29Cr-6Mo alloy fabricated by selective laser melting process for dental applications. J. Mech. Behav. Biomed. Mater. 2013, 21, 67–76. [Google Scholar] [CrossRef]
  20. Stansbury, J.W.; Idacavage, M.J. 3D printing with polymers: Challenges among expanding options and opportunities. Dent. Mater. 2016, 32, 54–64. [Google Scholar] [CrossRef]
  21. Jiang, Z.; Shi, H.; Tang, X.; Qin, J. Recent advances in droplet microfluidics for single-cell analysis. TrAC Trends Anal. Chem. 2023, 159, 116932. [Google Scholar] [CrossRef]
  22. Prakasam, M.; Locs, J.; Salma-Ancane, K.; Loca, D.; Largeteau, A.; Berzina-Cimdina, L. Biodegradable materials and metallic implants-A review. J. Funct. Biomater. 2017, 8, 44. [Google Scholar] [CrossRef] [PubMed]
  23. He, X.; Jiang, Z.; Akakuru, O.U.; Li, J.; Wu, A. Nanoscale covalent organic frameworks: From controlled synthesis to cancer therapy. Chem. Commun. 2021, 57, 12417–12435. [Google Scholar] [CrossRef]
  24. Xu, Y.; Zhang, F.; Zhai, W.; Cheng, S.; Li, J.; Wang, Y. Unraveling of Advances in 3D-Printed Polymer-Based Bone Scaffolds. Polymers 2022, 14, 566. [Google Scholar] [CrossRef]
  25. Merkel, A.; Chen, Y.; Villani, C.; George, A. GRP78 promotes the osteogenic and angiogenic response in periodontal ligament stem cells. Eur. Cells Mater. 2023, 45, 14–30. [Google Scholar] [CrossRef]
  26. Zheng, Q.; Shi, B.; Fan, F.; Wang, X.; Yan, L.; Yuan, W.; Wang, S.; Liu, H.; Li, Z.; Wang, Z.L. In vivo powering of pacemaker by breathing-driven implanted triboelectric nanogenerator. Adv. Mater. 2014, 26, 5851–5856. [Google Scholar] [CrossRef] [PubMed]
  27. Fu, P.C.; Wang, J.Y.; Su, Y.; Liao, Y.Q.; Li, S.L.; Xu, G.L.; Huang, Y.J.; Hu, M.H.; Cao, L.M. Intravascular ultrasonography assisted carotid artery stenting for treatment of carotid stenosis: Two case reports. World J. Clin. Cases 2023, 11, 7127–7135. [Google Scholar] [CrossRef]
  28. Yang, X.; Tang, H.; Li, Y.; Zhan, Y.; Li, Y.; Zhong, F.; Wang, P.; Feng, W.; Li, K. Synthesis, characterization, and thermal pyrolysis mechanism of high temperature resistant phenolphthalein-based poly (arylene ether nitrile). Polym. Degrad. Stab. 2024, 224, 110754. [Google Scholar] [CrossRef]
  29. Xu, J.; Chang, L.; Chen, T.; Ren, T.; Zhang, Y.; Cai, Z. Study of the bending properties of variable stiffness chain mail fabrics. Compos. Struct. 2023, 322, 117369. [Google Scholar] [CrossRef]
  30. Raffa, M.L.; Nguyen, V.H.; Hernigou, P.; Flouzat-Lachaniette, C.H.; Haiat, G. Stress shielding at the bone-implant interface: Influence of surface roughness and of the bone-implant contact ratio. J. Orthop. Res. 2021, 39, 1174–1183. [Google Scholar] [CrossRef]
  31. Oladapo, B.I.; Obisesan, O.B.; Oluwole, B.; Adebiyi, V.A.; Usman, H.; Khan, A. Mechanical characterisation of a polymeric scaffold for bone implant. J. Mater. Sci. 2020, 55, 9057–9069. [Google Scholar] [CrossRef]
  32. Barrak, F.N.; Li, S.; Mohammed, A.A.; Myant, C.; Jones, J.R. Anti-inflammatory properties of S53P4 bioactive glass implant material. J. Dent. 2022, 127, 104296. [Google Scholar] [CrossRef] [PubMed]
  33. Tsakiris, V.; Tardei, C.; Clicinschi, F.M. Biodegradable Mg alloys for orthopedic implants—A review. J. Magnes. Alloys 2021, 9, 1884–1905. [Google Scholar] [CrossRef]
  34. Xu, J.; Zhang, Y.; Huang, Y.; Chang, L.; Chen, T.; Ren, T.; Cai, Z. Dynamic response of chain mail fabrics with variable stiffness. Int. J. Mech. Sci. 2024, 264, 108840. [Google Scholar] [CrossRef]
  35. Oladapo, B.I.; Ismail, S.O.; Bowoto, O.K.; Omigbodun, F.T.; Olawumi, M.A.; Muhammad, M.A. Lattice design and 3D-printing of PEEK with Ca10(OH)(PO4)3 and in-vitro bio-composite for bone implant. Int. J. Biol. Macromol. 2020, 165, 50–62. [Google Scholar] [CrossRef]
  36. Oladapo, B.I.; Zahedi, S.A.; Ismail, S.O.; Omigbodun, F.T.; Bowoto, O.K.; Olawumi, M.A.; Muhammad, M.A. 3D printing of PEEK–cHAp scaffold for medical bone implant. Bio-Des. Manuf. 2021, 4, 44–59. [Google Scholar] [CrossRef]
  37. Oladapo, B.I.; Zahedi, S.A.; Ismail, S.O. Mechanical performances of hip implant design and fabrication with PEEK composite. Polymer 2021, 227, 123865. [Google Scholar] [CrossRef]
  38. Li, X.; Jiang, H.; He, N.; Yuan, W.; Qian, Y.; Ouyang, Y. Graphdiyne-Related Materials in Biomedical Applications and Their Potential in Peripheral Nerve Tissue Engineering. Cyborg Bionic Syst. 2022, 2022, 9892526. [Google Scholar] [CrossRef]
  39. Wang, Q.; Zhou, P.; Liu, S.; Attarilar, S.; Ma, R.L.-W.; Zhong, Y.; Wang, L. Multi-scale surface treatments of titanium implants for rapid osseointegration: A review. Nanomaterials 2020, 10, 1244. [Google Scholar] [CrossRef]
  40. Niranjan, C.A.; Raghavendra, T.; Rao, M.P.; Siddaraju, C.; Gupta, M.; Jain, V.K.S.; Aishwarya, R. Magnesium alloys as extremely promising alternatives for temporary orthopedic implants—A review. J. Magnes. Alloys 2023, 11, 2688–2718. [Google Scholar] [CrossRef]
  41. Song, Z.; Zhang, W.; Zhang, W.; Paolo, D. A Novel Biopsy Capsule Robot Based on High-Speed Cutting Tissue. Cyborg Bionic Syst. 2022, 2022, 9783517. [Google Scholar] [CrossRef] [PubMed]
  42. Birkett, M.; Zia, A.W.; Devarajan, D.K.; Soni Panayiotidis, M.I.; Joyce, T.J.; Tambuwala, M.M.; Serrano-Aroca, Á. Multi-functional bioactive silver- and copper-doped diamond-like carbon coatings for medical implants. Acta Biomater. 2023, 167, 54–68. [Google Scholar] [CrossRef] [PubMed]
  43. Liu, X.; Chen, G.; Zhong, X.; Wang, T.; He, X.; Yuan, W.; Zhang, P.; Liu, Y.; Cao, D.; Chen, S.; et al. Degradation of differently processed Mg-based implants leads to distinct foreign body reactions (FBRs) through dissimilar signaling pathways. J. Magnes. Alloys 2023, 11, 2106–2124. [Google Scholar] [CrossRef]
  44. Shirazi Beheshtiha, A.; Nackenhorst, U. Computational simulation of piezo-electrically stimulated bone remodeling surrounding teeth implant. PAMM 2015, 15, 111–112. [Google Scholar] [CrossRef]
  45. Miguez-Pacheco, V.; Hench, L.L.; Boccaccini, A.R. Bioactive glasses beyond bone and teeth: Emerging applications in contact with soft tissues. Acta Biomater. 2015, 13, 1–15. [Google Scholar] [CrossRef]
  46. Marino, A.A.; Gross, B.D. Piezoelectricity in cementum, dentine and bone. Arch. Oral Biol. 1989, 34, 507–509. [Google Scholar] [CrossRef]
  47. Bhargav, A.; Sanjairaj, V.; Rosa, V.; Feng, L.W.; Fuh, Y.H.J. Applications of additive manufacturing in dentistry: A review. J. Biomed. Mater. Res. B Appl. Biomater. 2018, 106, 2058–2064. [Google Scholar] [CrossRef]
  48. Lombardo, G.; Pighi, J.; Marincola, M.; Corrocher, G.; Simancas-Pallares, M.; Nocini, P.F. Cumulative Success Rate of Short and Ultrashort Implants Supporting Single Crowns in the Posterior Maxilla: A 3-Year Retrospective Study. Int. J. Dent. 2017, 2017, 8434281. [Google Scholar] [CrossRef]
  49. Rao, S.; Klimont, Z.; Smith, S.J.; Van Dingenen, R.; Dentener, F.; Bouwman, L.; Riahi, K.; Amann, M.; Bodirsky, B.L.; van Vuuren, D.P.; et al. Future air pollution in the Shared Socio-economic Pathways. Glob. Environ. Chang. 2017, 42, 346–358. [Google Scholar] [CrossRef]
  50. Poblano-Salas, C.A.; Henao, J.; Giraldo-Betancur, A.L.; Forero-Sossa, P.; Espinosa-Arbelaez, D.G.; González-Sánchez, J.A.; Dzib-Pérez, L.R.; Estrada-Moo, S.T.; Pech-Pech, I.E. HVOF-sprayed HAp/S53P4 BG composite coatings on an AZ31 alloy for potential applications in temporary implants. J. Magnes. Alloys 2024, 12, 345–360. [Google Scholar] [CrossRef]
  51. Stenlund, P.; Kurosu, S.; Koizumi, Y.; Suska, F.; Matsumoto, H.; Chiba, A.; Palmquist, A. Osseointegration Enhancement by Zr doping of Co-Cr-Mo Implants Fabricated by Electron Beam Melting. Addit. Manuf. 2015, 6, 6–15. [Google Scholar] [CrossRef]
Figure 1. Advanced surface modification of PEEK for enhanced dental implants.
Figure 1. Advanced surface modification of PEEK for enhanced dental implants.
Bioengineering 11 00924 g001
Figure 2. Stress–strain behaviour of PEEK compared to traditional dental materials.
Figure 2. Stress–strain behaviour of PEEK compared to traditional dental materials.
Bioengineering 11 00924 g002
Figure 3. (a) Fatigue resistance of PEEK under cyclic loading; (b) wear resistance of PEEK under simulated oral conditions; (c) biocompatibility indicators of PEEK over time; and (d) microbial colonisation on PEEK and titanium surfaces.
Figure 3. (a) Fatigue resistance of PEEK under cyclic loading; (b) wear resistance of PEEK under simulated oral conditions; (c) biocompatibility indicators of PEEK over time; and (d) microbial colonisation on PEEK and titanium surfaces.
Bioengineering 11 00924 g003
Figure 4. Bar graph showing the thermal conductivity of PEEK compared to other dental materials such as titanium, zirconia, and composite resin.
Figure 4. Bar graph showing the thermal conductivity of PEEK compared to other dental materials such as titanium, zirconia, and composite resin.
Bioengineering 11 00924 g004
Figure 5. (a) Line graph depicting the fatigue resistance of PEEK under cyclic loading conditions; (b) line graph showing the wear resistance of PEEK under simulated oral conditions; (c) line graph displaying long-term biocompatibility indicators, tracking inflammation markers and tissue integration over time; (d) bar graph comparing microbial colonization rates on PEEK and titanium surfaces.
Figure 5. (a) Line graph depicting the fatigue resistance of PEEK under cyclic loading conditions; (b) line graph showing the wear resistance of PEEK under simulated oral conditions; (c) line graph displaying long-term biocompatibility indicators, tracking inflammation markers and tissue integration over time; (d) bar graph comparing microbial colonization rates on PEEK and titanium surfaces.
Bioengineering 11 00924 g005
Figure 6. (a) Bar graph showing surface energy comparisons before and after surface treatments on PEEK; (b) graph displaying the impact of surface treatment on the bond strength of PEEK to dental types of cement; (c) line graph illustrating the effect of aging on the mechanical properties of PEEK in dental applications; (d) patient satisfaction scores statistical representations comparing patient satisfaction related to comfort, function, and aesthetics of PEEK versus other materials.
Figure 6. (a) Bar graph showing surface energy comparisons before and after surface treatments on PEEK; (b) graph displaying the impact of surface treatment on the bond strength of PEEK to dental types of cement; (c) line graph illustrating the effect of aging on the mechanical properties of PEEK in dental applications; (d) patient satisfaction scores statistical representations comparing patient satisfaction related to comfort, function, and aesthetics of PEEK versus other materials.
Bioengineering 11 00924 g006
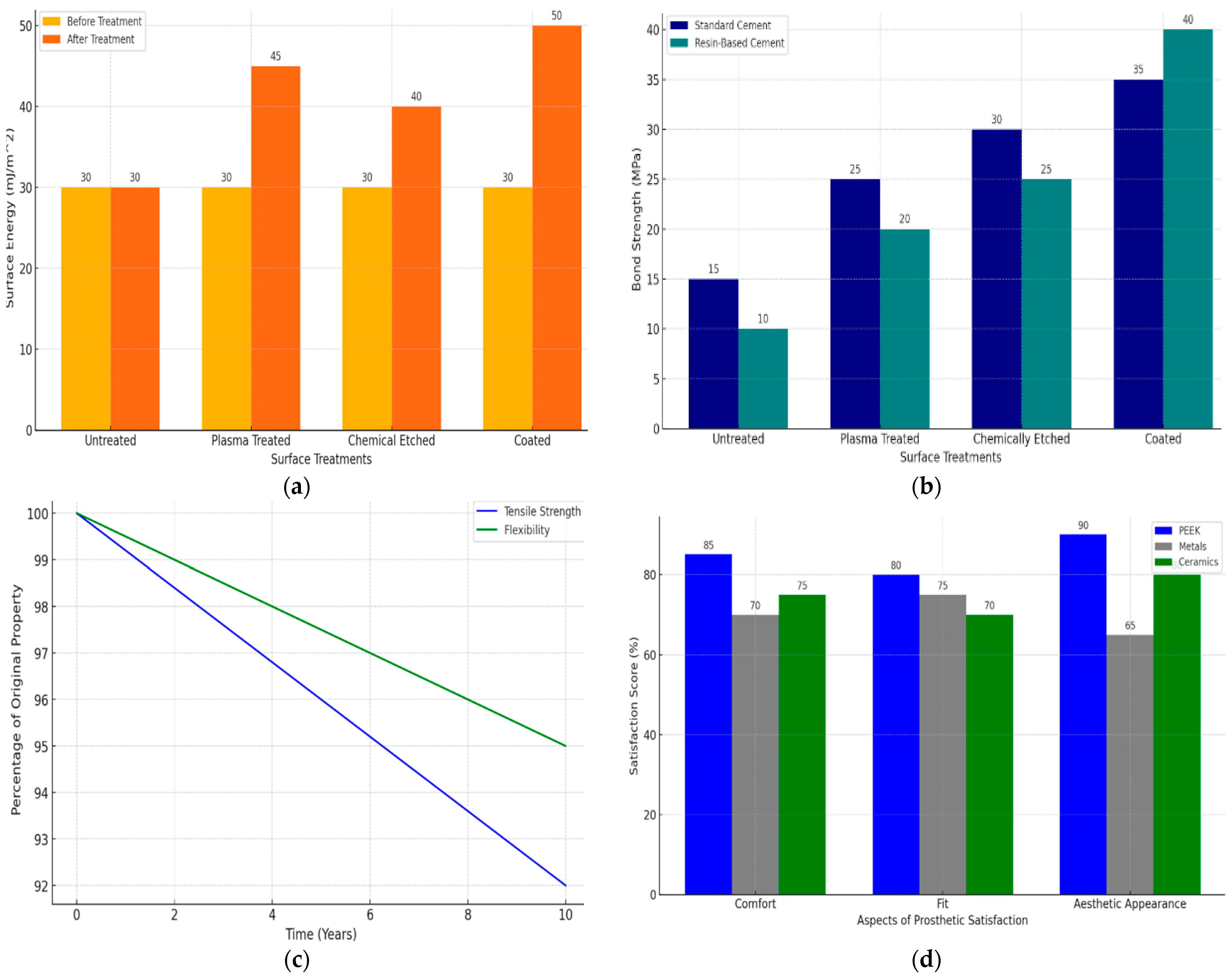
Figure 7. (a) Surface energy comparison before and after surface treatments on PEEK; (b) impact of surface treatment on the bond strength of PEEK to dental types of cement; (c) effect of aging on the mechanical properties of PEEK in dental applications; and (d) patient satisfaction scores with PEEK-based prosthetics vs. traditional materials.
Figure 7. (a) Surface energy comparison before and after surface treatments on PEEK; (b) impact of surface treatment on the bond strength of PEEK to dental types of cement; (c) effect of aging on the mechanical properties of PEEK in dental applications; and (d) patient satisfaction scores with PEEK-based prosthetics vs. traditional materials.
Bioengineering 11 00924 g007
Figure 8. (a) Thermal stability charts; (b) water absorption curves; (c) fatigue cycle graphs.
Figure 8. (a) Thermal stability charts; (b) water absorption curves; (c) fatigue cycle graphs.
Bioengineering 11 00924 g008
Table 1. Stress distribution simulation results for a PEEK dental implant, showcasing the stress distribution across various points of the implant.
Table 1. Stress distribution simulation results for a PEEK dental implant, showcasing the stress distribution across various points of the implant.
Location in ImplantMaximum Stress (MPa)Minimum Stress (MPa)Von Mises Stress (MPa)
Implant Tip12030100
Mid-Section902075
Neck (near the gum line)15050125
Base (near bone interface)18040160
Table 2. Comparative analysis of PEEK with traditional dental materials.
Table 2. Comparative analysis of PEEK with traditional dental materials.
Material PropertyPEEKTitaniumZirconia
Density (g/cm3)1.324.56.0
Thermal Conductivity (W/mK)0.25222
Elastic Modulus (GPa)3.5110200
Fatigue Strength (MPa)100900500
Table 3. Mechanical properties of PEEK.
Table 3. Mechanical properties of PEEK.
ConditionTensile Strength (MPa)Compressive Strength (MPa)Elastic Modulus (GPa)Fatigue Resistance (Cycles)
Ambient Temperature1001503.51,000,000
Elevated temperature (80 °C) [28]901403.3950,000
Low Temperature (−20 °C) [28]1051553.71,050,000
Table 4. Fatigue life prediction results showcase how it performs under cyclic loading at various stress levels.
Table 4. Fatigue life prediction results showcase how it performs under cyclic loading at various stress levels.
Stress Level (MPa)Number of Cycles to FailureFailure Mode
202,000,000Surface cracking
401,500,000Micro-cracking
601,000,000Delamination
80750,000Structural fracture
100500,000Complete fracture
Table 5. Lifecycle emission factors 7 PEEK, aimed at documenting its environmental impact across different lifecycle stages.
Table 5. Lifecycle emission factors 7 PEEK, aimed at documenting its environmental impact across different lifecycle stages.
Life StageEmission Factor (kg CO2-eq/unit)Total Emissions (kg CO2-eq)
Production5.0500
Transportation0.550
Use0.110
End-of-life0.220
Disclaimer/Publisher’s Note: The statements, opinions and data contained in all publications are solely those of the individual author(s) and contributor(s) and not of MDPI and/or the editor(s). MDPI and/or the editor(s) disclaim responsibility for any injury to people or property resulting from any ideas, methods, instructions or products referred to in the content.

Share and Cite

MDPI and ACS Style

Olawumi, M.A.; Omigbodun, F.T.; Oladapo, B.I.; Olugbade, T.O.; Olawade, D.B. Innovative PEEK in Dentistry of Enhanced Adhesion and Sustainability through AI-Driven Surface Treatments. Bioengineering 2024, 11, 924. https://doi.org/10.3390/bioengineering11090924

AMA Style

Olawumi MA, Omigbodun FT, Oladapo BI, Olugbade TO, Olawade DB. Innovative PEEK in Dentistry of Enhanced Adhesion and Sustainability through AI-Driven Surface Treatments. Bioengineering. 2024; 11(9):924. https://doi.org/10.3390/bioengineering11090924

Chicago/Turabian Style

Olawumi, Mattew A., Francis T. Omigbodun, Bankole I. Oladapo, Temitope Olumide Olugbade, and David B. Olawade. 2024. "Innovative PEEK in Dentistry of Enhanced Adhesion and Sustainability through AI-Driven Surface Treatments" Bioengineering 11, no. 9: 924. https://doi.org/10.3390/bioengineering11090924

APA Style

Olawumi, M. A., Omigbodun, F. T., Oladapo, B. I., Olugbade, T. O., & Olawade, D. B. (2024). Innovative PEEK in Dentistry of Enhanced Adhesion and Sustainability through AI-Driven Surface Treatments. Bioengineering, 11(9), 924. https://doi.org/10.3390/bioengineering11090924

Note that from the first issue of 2016, this journal uses article numbers instead of page numbers. See further details here.

Article Metrics

Back to TopTop