Effects of Pre-Fermentative Treatments with Non-Synthetic Ternary Component Fining Agents Based on Pea Protein on the Volatile Profiles of Aromatic Wines of Tămâioasă Românească
Abstract
1. Introduction
2. Materials and Methods
2.1. Winemaking and Fining Materials
2.2. Wine Analysis
2.3. Statistical Analysis
3. Results and Discussion
3.1. Volatile Profiles of the Samples
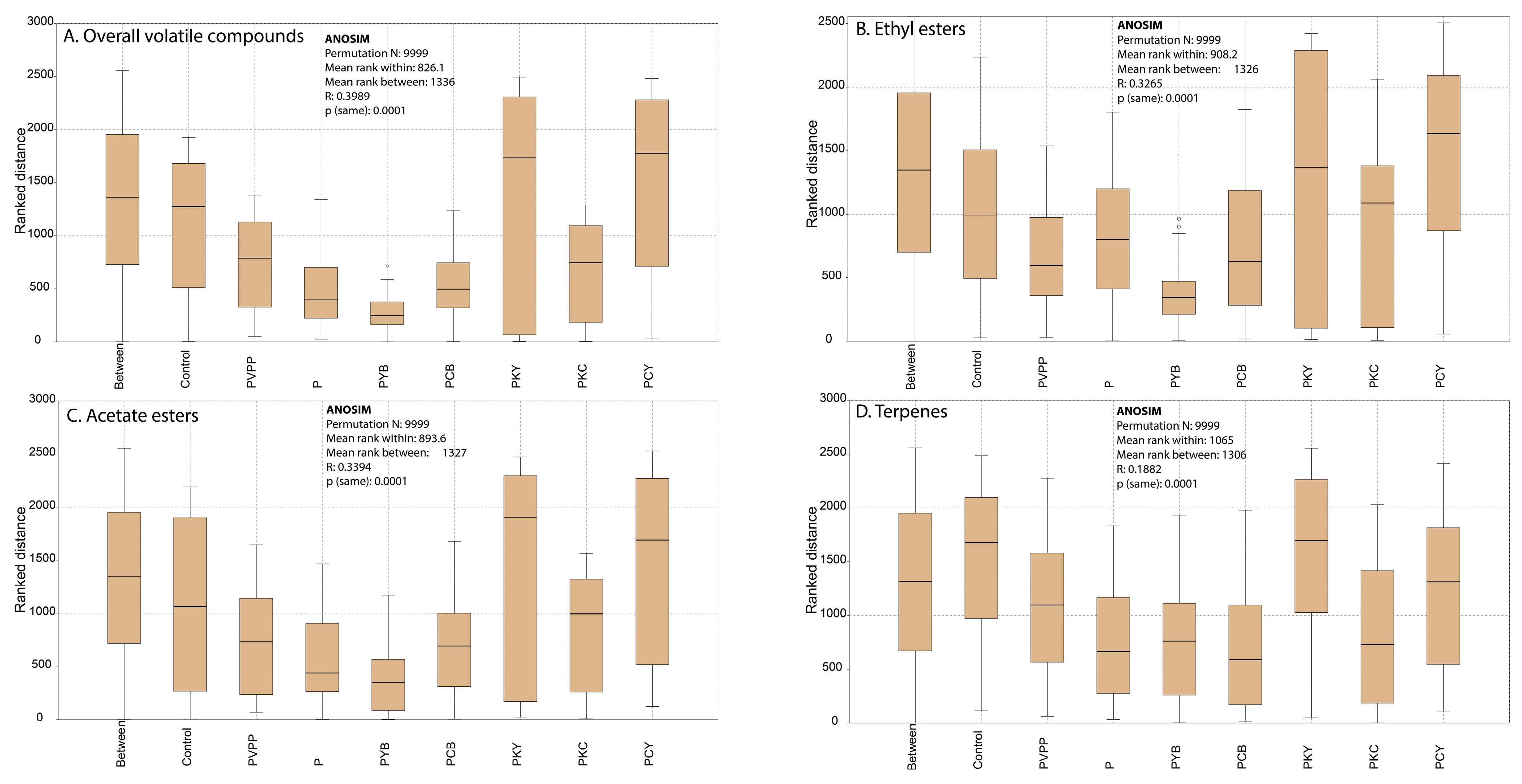
3.2. ANOSIM Analysis
3.3. PCA
4. Conclusions
Supplementary Materials
Author Contributions
Funding
Data Availability Statement
Acknowledgments
Conflicts of Interest
References
- Zoecklein, B.W.; Fugelsang, K.C.; Gump, B.H.; Nury, F.S. Fining and Fining Agents. In Production Wine Analysis; Springer: Boston, MA, USA, 1990; pp. 355–377. [Google Scholar] [CrossRef]
- Ma, T.-Z.; Gong, P.-F.; Lu, R.-R.; Zhang, B.; Morata, A.; Han, S.-Y. Effect of different clarification treatments on the volatile composition and aromatic attributes of ‘Italian Riesling’ icewine. Molecules 2020, 25, 2657. [Google Scholar] [CrossRef] [PubMed]
- Granato, T.M.; Nasi, A.; Ferranti, P.; Iametti, S.; Bonomi, F. Fining white wine with plant proteins: Effects of fining on proanthocyanidins and aroma components. Eur. Food Res. Technol. 2014, 238, 265–274. [Google Scholar] [CrossRef]
- Smith, P.A.; McRae, J.M.; Bindon, K.A. Impact of winemaking practices on tannins. Aust. J. Grape Wine Res. 2015, 21, 601–614. [Google Scholar] [CrossRef]
- OIV. International Code of Œnological Practices. 2021. Available online: https://www.oiv.int/public/medias/7713/en-oiv-code-2021.pdf (accessed on 17 July 2024).
- Braga, A.; Cosme, F.; Ricardo-da-Silva, J.M.; Laureano, O. Gelatine, casein and potassium caseinate as distinct wine fining agents: Different effects on colour, phenolic compounds and sensory characteristics. OENO One 2007, 41, 203–214. [Google Scholar] [CrossRef]
- Filipe-Ribeiro, L.; Milheiro, J.; Matos, C.C.; Cosme, F.; Nunes, F.M. Data on changes in red wine phenolic compounds, headspace aroma compounds and sensory profile after treat-ment of red wines with activated carbons with different physicochemical characteristics. Data Brief. 2017, 12, 188–202. [Google Scholar] [CrossRef]
- He, S.; Hider, R.; Zhao, J.; Tian, B. Effect of bentonite fining on proteins and phenolic composition of Chardonnay and Sauvignon blanc wines. S. Afr. J. Enol. Vitic. 2020, 41, 113–120. [Google Scholar] [CrossRef]
- Dordoni, R.; Colangelo, D.; Giribaldi, M.; Giuffrida, M.G.; De Faveri, D.M.; Lambri, M. Effect of bentonite characteristics on wine proteins, polyphenols, and metals under conditions of different pH. Am. J. Enol. Vitic. 2015, 66, 518–530. [Google Scholar] [CrossRef]
- EFSA; Panel on Food Additives and Flavourings (FAF); Younes, M.; Aquilina, G.; Castle, L.; Engel, K.H.; Fowler, P.; Fürst, P.; Gürtler, R.; Gundert-Remy, U.; et al. Re-evaluation of polyvinylpyrrolidone (E 1201) and polyvinylpolypyrrolidone (E 1202) as food additives and extension of use of polyvinylpyrrolidone (E 1201). EFSA J. 2020, 18, e06215. [Google Scholar] [CrossRef]
- Marangon, M.; Vincenzi, S.; Curioni, A. Wine fining with plant proteins. Molecules 2019, 24, 2186. [Google Scholar] [CrossRef]
- Río Segade, S.; Paissoni, M.A.; Vilanova, M.; Gerbi, V.; Rolle, L.; Giacosa, S. Phenolic composition influences the effectiveness of fining agents in vegan-friendly red wine production. Molecules 2020, 25, 120. [Google Scholar] [CrossRef]
- Cojocaru, G.A.; Ilie, B.E.; Antoce, O.A. The effect of the pre-fermentative skin contact on the colour characteristics and total phenols of white wines. Sci. Papers. Ser. B Hortic. 2022, 66, 253–259. Available online: https://horticulturejournal.usamv.ro/pdf/2022/issue_1/Art40.pdf (accessed on 27 August 2024).
- Gambuti, A.; Rinaldi, A.; Moio, L. Use of patatin, a protein extracted from potato, as alternative to animal proteins in fining of red wine. Eur. Food Res. Technol. 2012, 235, 753–765. [Google Scholar] [CrossRef]
- Mekoue Nguela, J.; Sieczkowski, N.; Roi, S.; Vernhet, A. Sorption of grape proanthocyanidins and wine polyphenols by yeasts, inactivated yeasts, and yeast cell walls. J. Agric. Food Chem. 2015, 63, 660–670. [Google Scholar] [CrossRef] [PubMed]
- Picariello, L.; Errichiello, F.; Coppola, F.; Rinaldi, A.; Moio, L.; Gambuti, A. Effect of chitosan on the removal of different types of tannins from red wines. Appl. Sci. 2021, 11, 11743. [Google Scholar] [CrossRef]
- Nguyen, T.H.; Fleet, G.H.; Rogers, P.L. Composition of the cell walls of several yeast species. Appl. Microbiol. Biotechnol. 1998, 50, 206–212. [Google Scholar] [CrossRef]
- Arenas, I.; Ribeiro, M.; Filipe-Ribeiro, L.; Vilamarim, R.; Costa, E.; Siopa, J.; Cosme, F.; Nunes, F.M. Effect of pre-fermentative maceration and fining agents on protein stability, macromolecular, and phenolic composition of Albariño white wines: Comparative efficiency of chitosan, k-carrageenan and bentonite as heat stabilisers. Foods 2021, 10, 608. [Google Scholar] [CrossRef]
- Guerrero, R.F.; Smith, P.; Bindon, K.A. Application of insoluble fibers in the fining of wine phenolics. J. Agric. Food Chem. 2013, 61, 4424–4432. [Google Scholar] [CrossRef] [PubMed]
- Bindon, K.A.; Smith, P.A. Comparison of the affinity and selectivity of insoluble fibres and commercial proteins for wine proanthocyanidins. Food Chem. 2013, 136, 917–928. [Google Scholar] [CrossRef]
- Osete-Alcaraz, A.; Osete-Alcaraz, L.; Ortega-Regules, A.E.; Bautista-Ortín, A.B.; Gómez-Plaza, E. Grape pulp fiber as possible fining agents for red wine. Biomolecules 2022, 12, 1519. [Google Scholar] [CrossRef]
- Baniţă, C.; Antoce, O.A.; Cojocaru, G.A. Evaluation by a GC electronic nose of the differences in volatile profile induced by stopping fermentation with octanoic and decanoic acid to produce sweet wines. Chemosensors 2023, 11, 98. [Google Scholar] [CrossRef]
- Stoica, F.; Gheorghita, M. The influence of the maceration process on the terpenes and polyphenols complex of the flavour wines. Bull. UASVM 2008, 65, 421–424. Available online: https://ftp.fruit-technology.ro/index.php/agriculture/article/view/966 (accessed on 27 August 2024).
- Barbulescu, I.D.; Ciric, A.I.; Begea, M.; Matei, P.M.; Moisac, A.; Nita, A.; Frincu, M.; Banita, C.D.; Teodorescu, R.I.; Tudor, V.; et al. Tămâioasă românească and Busuioacă de Bohotin grapes—Valuable sources for wine production. Sci. Pap. Ser. B Hortic. 2022, LXVI, 171–176. Available online: https://horticulturejournal.usamv.ro/pdf/2022/issue_2/Art21.pdf (accessed on 27 August 2024).
- Mukamal, K.J.; Conigraves, K.M.; Mittleman, M.A.; Camargo, C.A., Jr.; Stampfer, M.J.; Willett, W.C.; Rimm, E.B. Roles of drinking pattern and type of alcohol consumed in coronary heart disease. N. Engl. J. Med. 2003, 348, 109–118. [Google Scholar] [CrossRef] [PubMed]
- Granato, T.M.; Ferranti, P.; Iametti, S.; Bonomi, F. Affinity and selectivity of plant proteins for red wine components relevant to color and aroma traits. Food Chem. 2018, 256, 235–243. [Google Scholar] [CrossRef] [PubMed]
- Granato, T.M.; Piano, F.; Nasi, A.; Ferranti, P.; Iametti, S.; Bonomi, F. Molecular basis of the interaction between proteins of plant origin and proanthocyanidins in a model wine system. J. Agric. Food Chem. 2010, 58, 11969–11976. [Google Scholar] [CrossRef]
- Ubeda, C.; Lambert-Royo, M.I.; Gil, I.; Cortiella, M.; Del Barrio-Galán, R.; Peña-Neira, A. Chemical, physical, and sensory effects of the use of bentonite at different stages of the production of traditional sparkling wines. Foods 2021, 10, 390. [Google Scholar] [CrossRef]
- Muñoz-Castells, R.; Moreno-García, J.; García-Martínez, T.; Mauricio, J.C.; Moreno, J. Effect of bentonite addition to Pedro Ximénez white grape musts before their fermentation with selected yeasts on the major volatile compounds and polyols of wines and tentative relationships with the sensorial evaluation. Molecules 2022, 27, 8057. [Google Scholar] [CrossRef]
- Balcerek, M.; Pielech-Przybylska, K.; Patelski, P.; Dziekońska-Kubczak, U.; Jusel, T. Treatment with activated carbon and other adsorbents as an effective method for the removal of volatile compounds in agricultural distillates. Food Addit. Contam. Part A 2017, 34, 714–727. [Google Scholar] [CrossRef]
- Antoce, O.A.; Cojocaru, G.A. Impact on UV-visible spectroscopy parameters of Tamaioasa romaneasca wines from musts clarified with pea protein based fining agents. Sci. Papers. Ser. B Hortic. 2024, LXVII, 247–253. Available online: https://horticulturejournal.usamv.ro/pdf/2024/issue_1/Art31.pdf (accessed on 27 August 2024).
- Antoce, O.A.; Cojocaru, G.A. Testing the potential of innovative treatments of white grape must with vegetal proteins—Sensory impact on wine. Sci. Pap. Ser. Manag. Econ. Eng. Agric. Rural. Dev. 2024, 24, 91–98. Available online: https://managementjournal.usamv.ro/pdf/vol.24_2/Art8.pdf (accessed on 27 August 2024).
- Singleton, V.L.; Rossi, J.A. Colorimetry of total phenolics with phosphomolybdic-phosphotungstic acid reagents. Am. J. Enol. Vitic. 1965, 30, 144–158. [Google Scholar] [CrossRef]
- International Organization of Vine and Wine (OIV). Compendium of International Methods of Wine and Must Analysis Vol. 1 & 2. 2024. Available online: https://www.oiv.int/sites/default/files/publication/2024-06/Compendium%20MA%20Wines%202024%20EN%20complet_0.pdf (accessed on 27 August 2024).
- Antoce, A.O.; Cojocaru, G.A. Evaluation by flash GC electronic nose of the effect of combinations of yeasts and nutrients on the aromatic profiles of Feteasca regala wines after two years of storage. Fermentation 2021, 7, 223. [Google Scholar] [CrossRef]
- Cojocaru, G.A.; Antoce, A.O. Influence of glutathione and ascorbic acid treatments during vinification of Feteasca Regala variety and their antioxidant effect on volatile profile. Biosensors 2019, 9, 140. [Google Scholar] [CrossRef]
- Past 4—The Past of the Future. Available online: https://www.nhm.uio.no/english/research/resources/past/ (accessed on 17 July 2024).
- Roberts, D.W. Distance, dissimilarity, and mean–variance ratios in ordination. Methods Ecol. Evol. 2017, 8, 1398–1407. [Google Scholar] [CrossRef]
- Rodney, D. Green, The Dissimilarity Index: A Tutorial, Howard University. Available online: https://coascenters.howard.edu/dissimilarity-index-tutorial#:~:text=The%20Index%20of%20Dissimilarity%20(DI)&text=Its%20minimum%20value%20is%20zero,each%20race%20from%20the%20other (accessed on 17 July 2024).
- Colangelo, D.; Torchio, F.; De Faveri, D.M.; Lambri, M. The use of chitosan as alternative to bentonite for wine fining: Effects on heat-stability, proteins, organic acids, colour, and volatile compounds in an aromatic white wine. Food Chem. 2018, 264, 301–309. [Google Scholar] [CrossRef]
- Scansani, S.; Rauhut, D.; Brezina, S.; Semmler, H.; Benito, S. The impact of chitosan on the chemical composition of wines fermented with Schizosaccharomyces pombe and Saccharomyces Cerevisiae. Foods 2020, 9, 1423. [Google Scholar] [CrossRef] [PubMed]
- Di Gaspero, M.; Ruzza, P.; Hussain, R.; Vincenzi, S.; Biondi, B.; Gazzola, D.; Siligardi, G.; Curioni, A. Spectroscopy reveals that ethyl esters interact with proteins in wine. Food Chem. 2017, 217, 373–378. [Google Scholar] [CrossRef]
- Lambri, M.; Dordoni, R.; Silva, A.; De Faveri, D.M. Comparing the impact of bentonite addition for both must clarification and wine fining on the chemical profile of wine from Chambave Muscat grapes. Int. J. Food Sci. Technol. 2012, 47, 1–12. [Google Scholar] [CrossRef]
- Vincenzi, S.; Panighel, A.; Gazzola, D.; Flamini, R.; Curioni, A. Study of combined effect of proteins and bentonite fining on the wine aroma loss. J. Agric. Food Chem. 2015, 63, 2314–2320. [Google Scholar] [CrossRef] [PubMed]
- Ndlovu, T.; Divol, B.; Bauer, F.F. Yeast cell wall chitin reduces wine haze formation. Appl. Environ. Microbiol. 2018, 84, e00668-18. [Google Scholar] [CrossRef]





| Experimental Variants | Codification * | Dose, g/hL | Composition |
|---|---|---|---|
| Untreated grape must | Control | 0 | - |
| PVPP | PVPP | 20 | 100% PVPP |
| Pea protein | P | 20 | 100% Pea protein |
| Ternary product 1 | PYB | 20 | Pea protein + Yeast hulls + Ca-Bentonite |
| Ternary product 2 | PCB | 20 | Pea protein + Carbon + Ca-Bentonite |
| Ternary product 3 | PKY | 20 | Pea protein + Chitosan + Ca-Bentonite |
| Ternary product 4 | PKC | 20 | Pea protein + Chitosan + Carbon |
| Ternary product 5 | PCY | 20 | Pea protein + Carbon + Yeast hulls |
| Total Polyphenols, mg/L * | Control | PVPP | P | PYB | PCB | PKY | PKC | PCY |
| 375 ± 7 a | 274 ± 29 b | 289 ± 16 b | 286 ± 24 b | 283 ± 3 b | 277 ± 42 b | 307 ± 11 ab | 313 ± 19 ab |
| Kovats Retention Index/Column | Identified Compounds | Kovats Retention Index/Column | Identified Compounds | ||
|---|---|---|---|---|---|
| DB5 | DB1701 | DB5 | DB1701 | ||
| Ethyl-esters | Terpenes | ||||
| 797.63 | 860.82 | Ethyl butanoate | 1094.47 | 1192.30 | Linalool |
| 993.93 | 1059.60 | Ethyl hexanoate | 1028.52 | - | 1,8-cineole |
| 1193.96 | 1261.33 | Ethyl octanoate | 1149.21 | 1244.69 | β-citronellal |
| 1389.67 | 1457.95 | Ethyl decanoate | - | 1311.00 | α-terpineol |
| 1491.84 | - | Ethyl undecanoate | 1256.17 | 1377.52 | trans-geraniol |
| - | 910.53 | Ethyl isovalerate | 976.09 | 1017.44 | β-myrcene |
| Acetate esters | 964.63 | - | β-pinene | ||
| 611.98 | 677.23 | Ethyl acetate | 1138.71 | - | Limonen-1,2-epoxide |
| 810.01 | 874.26 | Butyl acetate | 1223.59 | - | β-citronellol |
| 874.37 | 941.40–2 | 3-Methylbutyl acetate | 1295.58 | - | Geranial |
| 1005.56 | 1077.05 | cis-3-Hexen-1-yl acetate | 1322.40 | - | Dihydrocitronellyl acetate |
| Alcohols | 1447.81 | - | cis-β-farnesene | ||
| 736.67 | 848.57 | 2-Methyl-1-butanol | - | 1158.31 | dehydro-p-cymene |
| 1109.06 | 1279.81 | 2-Phenylethanol | 1358.08 | - | Hydroxycitronellol |
| Aldehydes | |||||
| 657.14 | - | Isovaleraldehyde | |||
| - | 731.09 | 2-Methylbutanal | |||
| Control | PVPP | P | PYB | PCB | PKY | PKC | PCY | |
|---|---|---|---|---|---|---|---|---|
| A. Overall volatile compounds | ||||||||
| PVPP | p = 0.0001 R = 0.6704 | - - | ||||||
| P | p = 0.0009 R = 0.3505 | p = 0.0084 R = 0.3254 | - - | |||||
| PYB | p = 0.0002 R = 0.9856 | p = 0.0001 R = 0.4674 | p = 0.0001 R = 0.9945 | - - | ||||
| PCB | p = 0.0001 R = 0.9136 | p = 0.1885 R = 0.0641 | p = 0.0001 R = 0.8820 | p = 0.0024 R = 0.3831 | - - | |||
| PKC | p = 0.0002 R = 0.7833 | p = 0.3629 R = 0.0096 | p = 0.0002 R = 0.5144 | p = 0.0068 R = 0.3669 | p = 0.0622 R = 0.1536 | p = 0.0077 R = 0.3272 | - - | |
| PKY | p = 0.0017 R = 0.4928 | p = 0.0124 R = 0.2922 | p = 0.0046 R = 0.4119 | p = 0.0211 R = 0.1763 | p = 0.0015 R = 0.3803 | - - | ||
| PCY | p = 0.0522 R = 0.1115 | p = 0.0439 R = 0.2082 | p = 0.0048 R = 0.2236 | p = 0.0051 R = 0.3659 | p = 0.0080 R = 0.3412 | p = 0.0623 R = 0.1598 | p = 0.0103 R = 0.3330 | - - |
| B. Ethyl esters | ||||||||
| PVPP | p = 0.0002 R = 0.7411 | - - | ||||||
| P | p = 0.0026 R = 0.4650 | p = 0.2655 R = 0.0322 | - - | |||||
| PYB | p = 0.0002 R = 0.9458 | p = 0.0017 R = 0.4311 | p = 0.0001 R = 0.7370 | - - | ||||
| PCB | p = 0.0002 R = 0.7898 | p = 0.1013 R = 0.1073 | p = 0.0131 R = 0.2490 | p = 0.0022 R = 0.3316 | - - | |||
| PKC | p = 0.0001 R = 0.6951 | p = 0.3035 R = 0.0158 | p = 0.0949 R = 0.1104 | p = 0.0140 R = 0.2620 | p = 0.4251 R = −0.0106 | p = 0.0700 R = 0.1468 | - - | |
| PKY | p = 0.0029 R = 0.5003 | p = 0.0055 R = 0.3412 | p = 0.0132 R = 0.3340 | p = 0.0258 R = 0.1770 | p = 0.0075 R = 0.3491 | - - | ||
| PCY | p = 0.0496 R = 0.1584 | p = 0.0189 R = 0.2150 | p = 0.1418 R = 0.0731 | p = 0.0011 R = 0.4403 | p = 0.0290 R = 0.1927 | p = 0.0434 R = 0.1975 | p = 0.0872 R = 0.1145 | - - |
| C. Acetate esters | ||||||||
| PVPP | p = 0.0001 R = 0.4482 | - - | ||||||
| P | p = 0.0161 R = 0.1910 | p = 0.0097 R = 0.2740 | - - | |||||
| PYB | p = 0.0002 R = 0.9012 | p = 0.0003 R = 0.5171 | p = 0.0002 R = 0.9794 | - - | ||||
| PCB | p = 0.0001 R = 0.6368 | p = 0.7253 R = −0.0514 | p = 0.0002 R = 0.5096 | p = 0.0028 R = 0.3913 | - - | |||
| PKC | p = 0.0002 R = 0.5487 | p = 0.1640 R = 0.0679 | p = 0.0001 R = 0.3813 | p = 0.0078 R = 0.3532 | p = 0.2587 R = 0.0305 | p = 0.0435 R = 0.2092 | - - | |
| PKY | p = 0.0005 R = 0.5243 | p = 0.0101 R = 0.3265 | p = 0.0072 R = 0.3892 | p = 0.0077 R = 0.2202 | p = 0.0097 R = 0.3265 | - - | ||
| PCY | p = 0.1271 R = 0.0744 | p = 0.0330 R = 0.2143 | p = 0.0708 R = 0.1046 | p = 0.0036 R = 0.3964 | p = 0.0116 R = 0.3028 | p = 0.0607 R = 0.1663 | p = 0.0263 R = 0.2130 | - - |
| D. Terpenes | ||||||||
| PVPP | p = 0.0006 R = 0.4465 | - - | ||||||
| P | p = 0.0014 R = 0.4592 | p = 0.0008 R = 0.4712 | - - | |||||
| PYB | p = 0.0001 R = 0.5261 | p = 0.1142 R = 0.0785 | p = 0.0171 R = 0.2329 | - - | ||||
| PCB | p = 0.0001 R = 0.5281 | p = 0.3128 R = 0.0254 | p = 0.0015 R = 0.3933 | p = 0.5540 R = −0.0220 | - - | |||
| PKC | p = 0.0003 R = 0.4918 | p = 0.8509 R = −0.0648 | p = 0.0008 R = 0.5134 | p = 0.1188 R = 0.0840 | p = 0.2169 R = 0.0425 | p = 0.5146 R = −0.0175 | - - | |
| PKY | p = 0.0124 R = 0.2174 | p = 0.7477 R = −0.0511 | p = 0.0059 R = 0.2599 | p = 0.1596 R = 0.0610 | p = 0.2305 R = 0.0398 | - - | ||
| PCY | p = 0.0124 R = 0.2160 | p = 0.3417 R = 0.0168 | p = 0.0032 R = 0.2901 | p = 0.0591 R = 0.1204 | p = 0.1340 R = 0.0789 | p = 0.9259 R = −0.0716 | p = 0.2630 R = 0.0340 | - - |
Disclaimer/Publisher’s Note: The statements, opinions and data contained in all publications are solely those of the individual author(s) and contributor(s) and not of MDPI and/or the editor(s). MDPI and/or the editor(s) disclaim responsibility for any injury to people or property resulting from any ideas, methods, instructions or products referred to in the content. |
© 2024 by the authors. Licensee MDPI, Basel, Switzerland. This article is an open access article distributed under the terms and conditions of the Creative Commons Attribution (CC BY) license (https://creativecommons.org/licenses/by/4.0/).
Share and Cite
Antoce, O.A.; Cojocaru, G.A. Effects of Pre-Fermentative Treatments with Non-Synthetic Ternary Component Fining Agents Based on Pea Protein on the Volatile Profiles of Aromatic Wines of Tămâioasă Românească. Beverages 2024, 10, 81. https://doi.org/10.3390/beverages10030081
Antoce OA, Cojocaru GA. Effects of Pre-Fermentative Treatments with Non-Synthetic Ternary Component Fining Agents Based on Pea Protein on the Volatile Profiles of Aromatic Wines of Tămâioasă Românească. Beverages. 2024; 10(3):81. https://doi.org/10.3390/beverages10030081
Chicago/Turabian StyleAntoce, Oana Arina, and George Adrian Cojocaru. 2024. "Effects of Pre-Fermentative Treatments with Non-Synthetic Ternary Component Fining Agents Based on Pea Protein on the Volatile Profiles of Aromatic Wines of Tămâioasă Românească" Beverages 10, no. 3: 81. https://doi.org/10.3390/beverages10030081
APA StyleAntoce, O. A., & Cojocaru, G. A. (2024). Effects of Pre-Fermentative Treatments with Non-Synthetic Ternary Component Fining Agents Based on Pea Protein on the Volatile Profiles of Aromatic Wines of Tămâioasă Românească. Beverages, 10(3), 81. https://doi.org/10.3390/beverages10030081

