Effects of Injectable Administration of Dexamethasone Alone or in Combination with Vitamin E/Se in Newborn Low Birth Weight Piglets
Abstract
:Simple Summary
Abstract
1. Introduction
2. Materials and Methods
2.1. Trial Farm
2.2. Experimental Material
2.3. Study Procedure/Animals
2.4. Records
2.5. Sampling and Laboratory Examinations
2.6. Statistical Analysis
3. Results
3.1. Mortality
3.2. Body Weight (BW)
3.3. Vitality Score (VS)
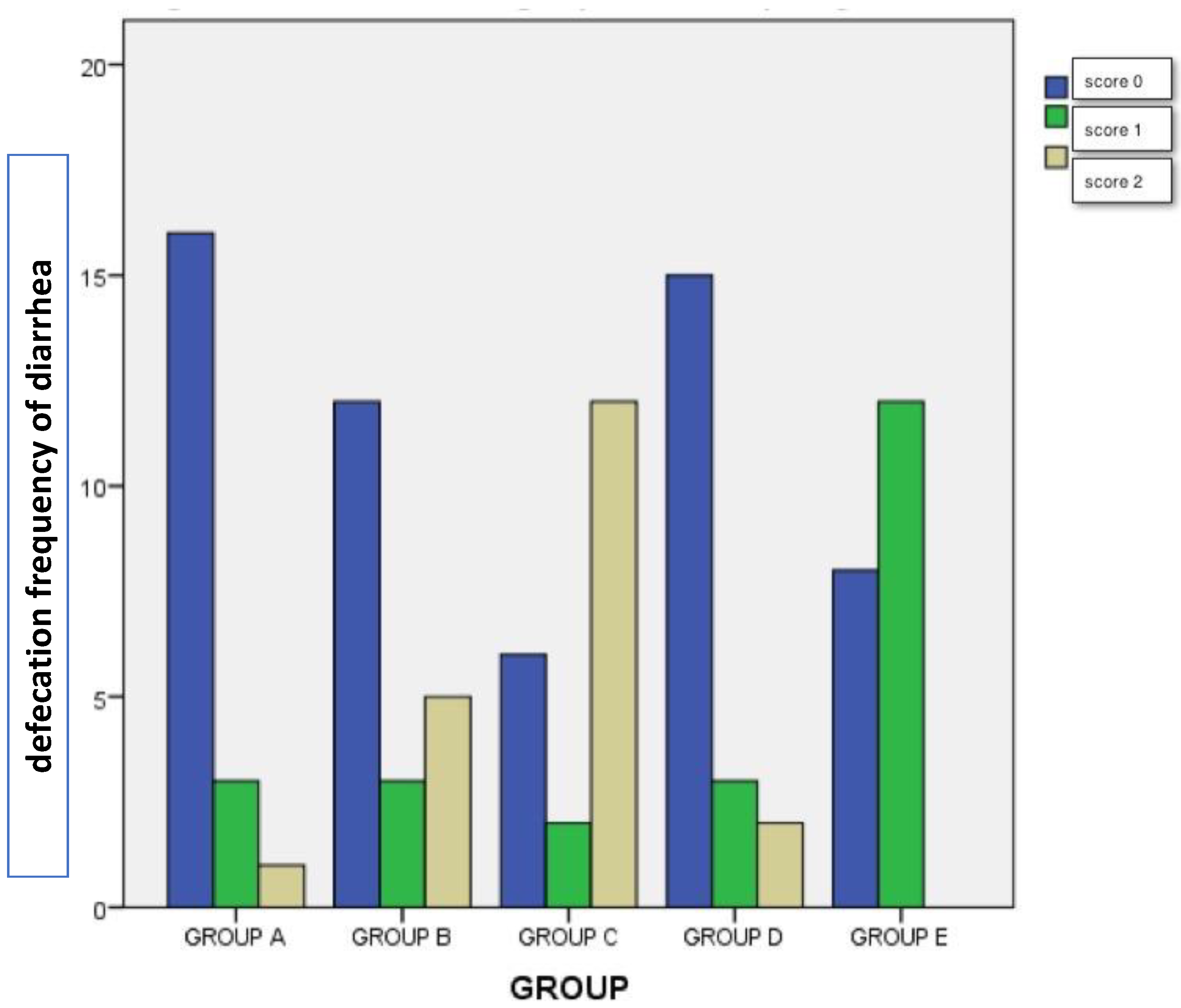
3.4. Clinical Findings
3.5. RT PCR Results
4. Discussion
5. Conclusions
Author Contributions
Funding
Institutional Review Board Statement
Informed Consent Statement
Data Availability Statement
Conflicts of Interest
References
- Lay, D.C., Jr.; Matteri, R.L.; Carroll, J.A.; Fangman, T.J.; Safranski, T.J. Preweaning survival in swine. J. Anim. Sci. 2002, 80, 74–86. [Google Scholar]
- Edwards, S.A. Perinatal mortality in the pig: Environmental or physiological solutions? Livest. Prod. Sci. 2002, 78, 3–12. [Google Scholar] [CrossRef]
- Alonso-Spilsbury, M.R.; Ramirez-Necoechea, M.; Gonzalez-Lozano, D.; Mota-Rojas, M.E.; Trujillo-Ortega. Piglet Survival in Early Lactation: A Review. J. Anim. Vet. Adv. 2007, 6, 76–86. [Google Scholar]
- Fix, J.S.; Cassady, J.P.; Holl, J.W.; Herring, W.O.; Cullbertson, M.S.; See, M.T. Effect of piglet birth weight on survival and quality of commercial market swine. Livest. Sci. 2010, 132, 98–106. [Google Scholar] [CrossRef]
- Kilbride, A.L.; Mendl, M.; Statham, P.; Held, S.; Harris, M.; Cooper, S.; Green, L.E. A cohort study of preweaning piglet mortality and farrowing accommodation on 112 commercial pig farms in England. Prev. Vet. Med. 2012, 104, 281–291. [Google Scholar] [CrossRef] [PubMed]
- Milligan, B.N.; Fraser, D.; Kramer, D.L. Within-litter birth weight variation in the domestic pig and its relation to pre-weaning survival, weight gain, and variation in weaning weights. Livest. Prod. Sci. 2002, 76, 181–191. [Google Scholar] [CrossRef]
- Quiniou, N.; Dragorn, J.; Gaudre, D. Variation of piglets’ birth weight and consequences on subsequent performance. Livest. Prod. Sci. 2002, 78, 63–70. [Google Scholar] [CrossRef]
- Panzardi, A.; Bernardi, M.L.; Mellagi, A.P.; Bierhals, T.; Bortolozzo, F.P.; Wentz, I. Newborn piglet traits associated with survival and growth performance until weaning. Prev. Vet. Med. 2013, 110, 206–213. [Google Scholar] [CrossRef]
- Villanueva-García, D.; Mota-Rojas, D.; Martínez-Burnes, J.; Olmos-Hernández, A.; Mora-Medina, P.; Salmerón, C.; Gómez, J.; Boscato, L.; Gutiérrez-Pérez, O.; Cruz, V.; et al. Hypothermia in newly born piglets: Mechanisms of thermoregulation and pathophysiology of death. J. Anim. Behav. Biometeorol. 2021, 9, 2101. [Google Scholar] [CrossRef]
- Marchant, J.N.; Rudd, A.R.; Mendl, M.T.; Broom, D.M.; Meredith, M.J.; Corning, S. Timing and causes of piglet mortality in alternative and conventional farrowing systems. Vet. Rec. 2000, 147, 209–214. [Google Scholar] [CrossRef]
- Hoy, S.; Lutter, C.; Wähner, M.; Puppe, B. The effect of birth weight on the early postnatal vitality of piglets. Dtsch. Tierarztl. Wochenschr. 1994, 101, 393–396. [Google Scholar]
- Declerck, I.; Sarrazin, S.; Dewulf, J.; Maes, D. Sow and piglet factors determining variation of colostrum intake between and within litters. Animal 2017, 11, 1336–1343. [Google Scholar] [CrossRef]
- Islas-Fabila, P.; Mota-Rojas, D.; Martínez-Burnes, J.; Mora-Medina, P.; González-Lozano, M.; Roldan-Santiago, P.; Greenwell-Beare, V.; González-Hernández, M.; Vega-Manríquez, X.; Orozco-Gregorio, H. Physiological and metabolic responses in newborn piglets associated with the birth order. Anim. Reprod. Sci. 2018, 197, 247–256. [Google Scholar] [CrossRef]
- Oliviero, C.; Junnikkala, S.; Peltoniemi, O. The challenge of large litters on the immune system of the sow and the piglets. Reprod. Domest. Anim. 2019, 54, 12–21. [Google Scholar] [CrossRef]
- Ferrari, C.; Sbardellaa, P.; Bernardi, M.; Coutinhoc, M.; Vaz, L., Jr.; Wentz, I.; Bortolozzoa, F. Effect of birth weight and colostrum intake on mortality and performance of piglets after cross-fostering in sows of different parities. Prev. Vet. Med. 2014, 114, 259–266. [Google Scholar] [CrossRef]
- Mota-Rojas, D.; Martínez-Burnes, J.; Villanueva-García, D.; Trujillo, O.M.E.; Orozco, H.; Lopez, A. Animal welfare in the newborn piglet: A review. Vet. Med. 2012, 57, 338–349. [Google Scholar] [CrossRef]
- Mota-Rojas, D.; Villanueva-García, D.; Hernández, R.; Martínez-Rodríguez, R.; Mora-Medina, P.; González, B.; Sánchez, M.; Trujillo-Ortega, M.E. Assessment of the vitality of the newborn: An overview. Sci. Res. Essays 2012, 7, 712–718. [Google Scholar] [CrossRef]
- Caldara, F.; dos Santos, L.; Machado, S.; Moi, M.; de Alencar Nääs, I.; Foppa, L.; Garcia, R.G.; de Kássia Silva dos Santos, R. Piglets’ surface temperature change at different weights at birth. Asian-Australas. J. Anim. Sci. 2014, 27, 431–438. [Google Scholar] [CrossRef]
- Kammersgaard, T.S.; Pedersen, L.J.; Jørgensen, E. Hypothermia in neonatal piglets: Interactions and causes of individual differences. J. Anim. Sci. 2011, 89, 2073–2085. [Google Scholar] [CrossRef]
- Rutherford, K.M.; Baxter, E.M.; D’Eath, R.B.; Turner, S.P.; Arnott, G.; Roehe, R.; Ask, B.; Sandøe, P.; Moustsen, V.A.; Thorup, F.; et al. The welfare implications of large litter size in the domestic pig I: Biological factors. Anim. Welf. 2013, 22, 199–218. [Google Scholar] [CrossRef]
- Le Dividich, J.; Rooke, J.A.; Herpin, P. Nutritional and immunological importance of colostrum for the newborn pig. J. Agric. Sci. 2005, 143, 469–485. [Google Scholar] [CrossRef]
- Budowski, P.D.; Sklan, D. Vitamins E and A. In The Role of fats in Human Nutrition; Vergroesen, A.J., Crawford, M., Eds.; Acad Press: London, UK, 1989; pp. 364–406. [Google Scholar]
- Pinelli-Saavedra, A. Vitamin E in immunity and reproductive performance in pigs. Reprod. Nutr. Dev. 2003, 43, 397–408. [Google Scholar] [CrossRef]
- Köhrle, J.; Gärtner, R. Selenium and thyroid. Best Pract. Res. Clin. Endocrinol. Metab. 2009, 23, 815–827. [Google Scholar] [CrossRef] [PubMed]
- Mahan, D.C.; Kim, Y.Y. Effect of inorganic or organic selenium at two dietary levels on reproductive performance and tissue selenium concentrations in first-parity gilts and their progeny. J. Anim. Sci. 1996, 74, 2711–2718. [Google Scholar] [CrossRef]
- Hosnedlova, B.; Kepinska, M.; Skalickova, S.; Fernandez, C.; Ruttkay-Nedecky, B.; Malevu, T.D.; Sochor, J.; Baron, M.; Melcova, M.; Zidkova, J.; et al. A Summary of New Findings on the Biological Effects of Selenium in Selected Animal Species-A Critical Review. Int. J. Mol. Sci. 2017, 18, E2209. [Google Scholar] [CrossRef] [PubMed]
- Kiremidjian-Schumacher, L.; Stotzky, G. Selenium and immune responses. Environ. Res. 1987, 42, 277–303. [Google Scholar] [CrossRef] [PubMed]
- Radostits, O.M.; Gay, C.C.; Hinchcliff, K.W.; Constable, P.D. Veterinary Medicine: A Textbook of the Diseases of Cattle, Horses, Sheep, Pigs and Goats, 10th ed.; Saunders: Madrid, Spain, 2007; pp. 552–557. [Google Scholar]
- Norby, B.; Straw, B.E.; Bartlett, P.C.; Meyers, K. Repeated injections with dexamethasone in healthy lactating sows and the effect on growth rate of their suckling piglets. Can. J. Anim. 2001, 81, 593–596. [Google Scholar] [CrossRef]
- Klemcke, H.G.; Christenson, R.K. Porcine fetal and maternal adrenocorticotropic hormone and corticosteroid concentrations during gestation and their relationship to fetal size. Biol. Reprod. 1997, 57, 99–106. [Google Scholar] [CrossRef]
- Devenport, L.; Knehans, A.; Sundstrom, A.; Thomas, T. Corticosterone’s dual metabolic actions. Life Sci. 1989, 45, 1389–1396. [Google Scholar] [CrossRef]
- Haynes, R.C.; Murad, F. Adrenocorticotropic hormone. Adrenocortical steroids and their synthetic analogs: Inhibitors of adrenocortical steroid biosynthesis. In The Pharmacological Basis of Therapeutics; Goodman, L.S., Gillman, A., Eds.; Macmillan: New York, NY, USA, 1980; pp. 1466–1496. [Google Scholar]
- Carroll, J.A. Dexamethasone treatment at birth enhances neonatal growth in swine. Domest. Anim. Endocrin. 2001, 21, 97–109. [Google Scholar] [CrossRef]
- Randall, G.C. The relationship of arterial blood pH and pCO2 to the viability of the newborn piglet. Can. J. Comp. Med. 1971, 35, 141–146. [Google Scholar]
- Zaleski, H.M.; Hacker, R.R. Comparison of viability scoring and blood gas analysis as measures of piglet viability. Can. J. Anim. Sci. 1993, 73, 649–653. [Google Scholar] [CrossRef]
- Okere, C.; Hacker, R.R.; Werchola, G. Relationships between serum IGF-I concentrations and piglet development or neonatal viability following porcine somatotropin (pST) and insulin administration to gestating gilts. Theriogenology 1997, 47, 1403–1412. [Google Scholar] [CrossRef]
- Mota-Rojas, D.; Rosales, A.M.; Trujillo, M.E.; López, A.; Orozco, H.; Ramírez, R.; Alonso-Spilsbury, M. The effects of vetrabutin chlorhydrate and oxytocin on stillbirth rate and asphyxia in swine. Theriogenology 2005, 64, 1889–1897. [Google Scholar] [CrossRef]
- Spötter, A.; Distl, O. Genetic approaches to the improvement of fertility traits in the pig. Vet. J. 2006, 172, 234–247. [Google Scholar] [CrossRef]
- Baxter, E.M.; Rutherford, K.M.; D’Eath, R.B.; Arnott, G.; Turner, S.P.; Sandøe, P.; Moustsen, V.A.; Thorup, F.; Edwards, S.A.; Lawrence, A.B. The welfare implications of large litter size in the domestic pig II: Management factors. Anim. Welf. 2013, 22, 219–238. [Google Scholar] [CrossRef]
- Knol, E.F.; Ducro, B.J.; van Arendonk, J.A.; van der Lende, T. Direct, maternal and nurse sow genetic effects on farrowing-, pre-weaning- and total piglet survival. Livest. Prod. Sci. 2002, 73, 153–164. [Google Scholar] [CrossRef]
- Wolf, J.; Žáková, E.; Groeneveld, E. Within-litter variation of birth weight in hyperprolific Czech Large White sows and its relation to litter size traits, stillborn piglets and losses until weaning. Livest. Sci. 2008, 115, 195–205. [Google Scholar] [CrossRef]
- Gaines, A.M.; Carroll, J.A.; Allee, G.L.; Yi, G.F. Pre- and postweaning performance of pigs injected with dexamethasone at birth. J. Anim. Sci. 2002, 80, 2255–2262. [Google Scholar] [CrossRef]
- Van Vleet, J.F.; Meyer, K.B.; Olander, H.J.; Ruth, G.R. Efficacy and safety of selenium-vitamin E injections in newborn pigs to prevent subclinical deficiency in growing swine. Am. J. Vet. Res. 1975, 36, 387–393. [Google Scholar]
- Prunier, A.; Heinonen, M.; Quesnel, H. High physiological demands in intensively raised pigs: Impact on health and welfare. Animal 2010, 4, 886–898. [Google Scholar] [CrossRef] [PubMed]
- Batra, T.R.; Hidiroglou, M. Tissue vitamin E concentrations after single injection of α-tocopherol in Pigs. Can. J. Anim. Sci. 1994, 74, 579–581. [Google Scholar] [CrossRef]
- Langie, S.A.; Kowalczyk, P.; Tudek, B.; Zabielski, R.; Dziaman, T.; Olinski, R.; van Schooten, F.J. The effect of oxidative stress on nucleotide-excision repair in colon tissue of newborn piglets. Mutat. Res. 2010, 695, 75–80. [Google Scholar] [CrossRef] [PubMed]
- Yin, J.; Ren, W.; Liu, G.; Duan, J.; Yang, G.; Wu, L.; Li, T.; Yin, Y. Birth oxidative stress and the development of an antioxidant system in newborn piglets. Free Radic. Res. 2013, 47, 1027–1035. [Google Scholar] [CrossRef]
- Kumar, N.; Garg, A.K.; Dass, R.S.; Chaturvedi, V.K.; Mudgal, V.; Varshney, V.P. Selenium supplementation influences growth performance, antioxidant status and immune response in lambs. Anim. Feed Sci. Technol. 2009, 153, 77–87. [Google Scholar] [CrossRef]
- Chen, J.; Han, J.H.; Guan, W.T.; Chen, F.; Wang, C.X.; Zhang, Y.Z.; Lv, Y.T.; Lin, G. Selenium and vitamin E in sow diets: II. Effect on selenium status and antioxidant status of the progeny. Anim. Feed Sci. Technol. 2016, 221, 101–110. [Google Scholar] [CrossRef]
- Wang, L.; Xu, X.; Su, G.; Shi, B.; Shan, A. High concentration of vitamin E supplementation in sow diet during the last week of gestation and lactation affects the immunological variables and antioxidative parameters in piglets. J. Dairy Res. 2017, 84, 8–13. [Google Scholar] [CrossRef]
- Meadus, W.J.; MacInnis, R.; Aalhus, J.L.; Cook, N.J. Injection of neonatal piglets with dexamethasone stimulates leptin mRNA expression and reduces the stress response in market weight pigs. Anim. Sci. 2002, 74, 81–87. [Google Scholar] [CrossRef]
- Tong, J.; Yu, Y.; Zheng, L.; Zhang, C.; Tu, Y.; Liu, Y.; Wu, J.; Li, H.; Wang, S.; Jiang, C.; et al. Hypothalamus-pituitary-adrenal axis involves in anti-viral ability through regulation of immune response in piglets infected by highly pathogenic porcine reproductive and respiratory syndrome virus. BMC Vet. Res. 2018, 14, 92. [Google Scholar] [CrossRef]


| Group | Treatment |
|---|---|
| Group A-Cont | Control group-Cont |
| Group B-Dexa1 | IM Dexamethazone on D1 |
| Group C-Dexa3 | IM Dexamethazone on D1, D2, D3 |
| Group D-Dexa + VitE/S1 | IM Dexamethazone on D1 + IM Vitamin E/Se on D1 |
| Group E-Dexa + VitE/S3 | IM Dexamethazone D1, D2, D3 + Vitamin E/Se D1, D2, D3 |
| Clinical Observations | |||||
|---|---|---|---|---|---|
| Score of General Behavior | Score of Suckling | Score Of Gastrointestinal Signs | |||
| 0-No abnormalities | 0-Appear normal | 0-Appear normal | |||
| 1-Mild depression, reluctance to move | 1-Hardly interested in suckling | 1-Pasty feces or watery mild yellow diarrhea | |||
| 2-Reduced general condition, extended resting | 2-Without clear suckling | 2-Watery moderate yellow diarrhea or reddened anal region | |||
| 3-Strong depression, almost entirely resting | 3-Total anorexia | 3-Watery severe yellow diarrhea | |||
| Vitality Score—VS | |||||
| Score | Heart rate (beats/min) | Respiration rate (breaths/min) | Muscle tone | Skin color on the snout | Standing on all four legs |
| 0 | Absent | Absent | Flaccid | Pale | Absent |
| 1 | <120 (Bradycardia) | >40 | Poor | Cyanotic | Poor |
| 2 | 121–160 (Normal) | <20 | Good | Red to pink | Good |
| 3 | 121–160 (Normal) | 20–36 | Very good | Pink | Very good |
| 4 | >161 (Tachycardia) | 20–36 | Very good | Pink | Very good |
| Group | D1 to D7 | D8 to D14 | D15 to D25 |
|---|---|---|---|
| Group A-Cont | 0.17 (0.02) abc | 0.20 (0.02) | 0.31 (0.02) |
| Group B-Dexa1 | 0.10 (0.06) a | 0.15 (0.15) b | 0.29 (0.01) |
| Group C-Dexa3 | 0.08 (0.03) b | 0.17 (0.08) c | 0.27 (0.03) |
| Group D-Dexa + VitE/S1 | 0.19 (0.08) | 0.20 (0.05) | 0.32 (0.07) |
| Group E-Dexa + VitE/S3 | 0.25 (0.07) c | 0.27 (0.09) bc | 0.26 (0.05) |
| Group | D1 | D7 | D14 | D25 |
|---|---|---|---|---|
| Group A-Cont | 0.93 (0.01) | 2.08 ab (0.09) | 3.52 ab (0,13) | 6.96 ab (0.10) |
| Group B-Dexa1 | 0.93 (0.02) | 1.75 cde (0.11) | 3.31 cde (0.15) | 6.47 cde (0.12) |
| Group C-Dexa3 | 0.89 (0.10) | 1.48 acfg (0.09) | 2.75 acfg (0.13) | 5.69 acfg (0.10) |
| Group D-Dexa + VitE/S1 | 0.88 (0.01) | 2.24 dfh (0.09) | 3.63 dfh (0.13) | 7.10 dfh (0.10) |
| Group E-Dexa + VitE/S3 | 0.876 (0.01) | 2.65 begh (0.09) | 4.47 begh (0.13) | 7.41 begh (0.10) |
| VS | Group | N | Mean Rank | Group A | Group B | Group C | Group D | Group E |
|---|---|---|---|---|---|---|---|---|
| D1 | A | 20 | 70.30 | p = 0.01 std er = 8.0 | nsd | nsd | nsd | |
| B | 20 | 38.20 | p = 0.01 std er = 8.0 | nsd | nsd | nsd | ||
| C | 20 | 52.90 | nsd | nsd | nsd | nsd | ||
| D | 20 | 52.90 | nsd | nsd | nsd | nsd | ||
| E | 20 | 38.20 | p = 0.01 std er = 8.0 | nsd | nsd | nsd | ||
| Total | 100 | nsd | nsd | nsd | nsd | nsd | ||
| D2 | A | 20 | 63.20 | p = 0.00 std er = 7.2 | p = 0.015 std er = 7.2 | nsd | nsd | |
| B | 20 | 22.08 | p = 0.00 std er = 7.2 | nsd | p = 0.00 std er = 7.2 | p = 0.00 std er = 7.2 | ||
| C | 20 | 40.23 | p = 0.015 std er = 7.2 | nsd | p = 0.013 std er = 7.2 | p = 0.013 std er = 7.2 | ||
| D | 20 | 63.50 | nsd | p = 0.00 std er = 7.2 | p = 0.013 std er = 7.2 | nsd | ||
| E | 20 | 63.50 | nsd | p = 0.00 std er = 7.2 | p = 0.013 std er = 7.2 | nsd | ||
| Total | 100 | nsd | nsd | nsd | ||||
| D3 | A | 20 | 58.78 | p = 0.03 std er = 7.5 | p = 0.05 std er = 7.5 | nsd | nsd | |
| B | 20 | 31.78 | p = 0.03 std er = 7.5 | nsd | p = 0.03 std er = 7.5 | p = 0.00 std er = 7.5 | ||
| C | 20 | 32.55 | p = 0.05 std er = 7.5 | nsd | p = 0.004 std er = 7.5 | p = 0.00 std er = 7.5 | ||
| D | 20 | 70.40 | nsd | p = 0.03 std er = 7.5 | p = 0.004 std er = 7.5 | nsd | ||
| E | 20 | 59.00 | nsd | p = 0.00 std er = 7.5 | p = 0.0 std er = 7.5 | nsd | ||
| Total | 100 | nsd | nsd | nsd | nsd | nsd | ||
| D4 | A | 20 | 47.30 | nsd | nsd | nsd | nsd | |
| B | 20 | 36.90 | nsd | nsd | p = 0.006 std er = 6.95 | p = 0.006 std er = 6.95 | ||
| C | 20 | 47.00 | nsd | nsd | nsd | nsd | ||
| D | 20 | 60.65 | nsd | p = 0.006 std er = 6.95 | nsd | nsd | ||
| E | 20 | 60.65 | nsd | p = 0.006 std er = 6.95 | nsd | nsd | ||
| Total | 100 | nsd | nsd | nsd | nsd | nsd | ||
| D14 | A | 20 | 48.88 | nsd | nsd | nsd | nsd | |
| B | 20 | 35.63 | nsd | nsd | p = 0.00 std er = 6.13 | p = 0.00 std er = 6.13 | ||
| C | 20 | 46.50 | nsd | nsd | nsd | nsd | ||
| D | 20 | 60.75 | nsd | p = 0.00 std er = 6.13 | nsd | nsd | ||
| E | 20 | 60.75 | nsd | p = 0.000 std er = 6.13 | nsd | nsd | ||
| Total | 100 | nsd | nsd | nsd |
Disclaimer/Publisher’s Note: The statements, opinions and data contained in all publications are solely those of the individual author(s) and contributor(s) and not of MDPI and/or the editor(s). MDPI and/or the editor(s) disclaim responsibility for any injury to people or property resulting from any ideas, methods, instructions or products referred to in the content. |
© 2023 by the authors. Licensee MDPI, Basel, Switzerland. This article is an open access article distributed under the terms and conditions of the Creative Commons Attribution (CC BY) license (https://creativecommons.org/licenses/by/4.0/).
Share and Cite
Papakonstantinou, G.I.; Gougoulis, D.A.; Voulgarakis, N.; Maragkakis, G.; Galamatis, D.; Athanasiou, L.V.; Papatsiros, V.G. Effects of Injectable Administration of Dexamethasone Alone or in Combination with Vitamin E/Se in Newborn Low Birth Weight Piglets. Vet. Sci. 2023, 10, 135. https://doi.org/10.3390/vetsci10020135
Papakonstantinou GI, Gougoulis DA, Voulgarakis N, Maragkakis G, Galamatis D, Athanasiou LV, Papatsiros VG. Effects of Injectable Administration of Dexamethasone Alone or in Combination with Vitamin E/Se in Newborn Low Birth Weight Piglets. Veterinary Sciences. 2023; 10(2):135. https://doi.org/10.3390/vetsci10020135
Chicago/Turabian StylePapakonstantinou, Georgios I., Dimitrios A. Gougoulis, Nikolaos Voulgarakis, Georgios Maragkakis, Dimitrios Galamatis, Labrini V. Athanasiou, and Vasileios G. Papatsiros. 2023. "Effects of Injectable Administration of Dexamethasone Alone or in Combination with Vitamin E/Se in Newborn Low Birth Weight Piglets" Veterinary Sciences 10, no. 2: 135. https://doi.org/10.3390/vetsci10020135
APA StylePapakonstantinou, G. I., Gougoulis, D. A., Voulgarakis, N., Maragkakis, G., Galamatis, D., Athanasiou, L. V., & Papatsiros, V. G. (2023). Effects of Injectable Administration of Dexamethasone Alone or in Combination with Vitamin E/Se in Newborn Low Birth Weight Piglets. Veterinary Sciences, 10(2), 135. https://doi.org/10.3390/vetsci10020135

