Comparison between a Calving Predictive System and a Routine Prepartal Examination in German Holstein Heifers and Cows
Abstract
:1. Introduction
2. Materials and Methods
2.1. Animals
2.2. Calving Management
2.3. Clinical Examination
2.4. Moocall
2.5. Statistical Analysis
3. Results
3.1. Gestation Length, Calving Ease and Calf Vitality
3.1.1. Moocall Group
3.1.2. Control Group
3.2. Findings of the Calving Monitoring 24 h Prior to Calving
3.3. Moocall Activity
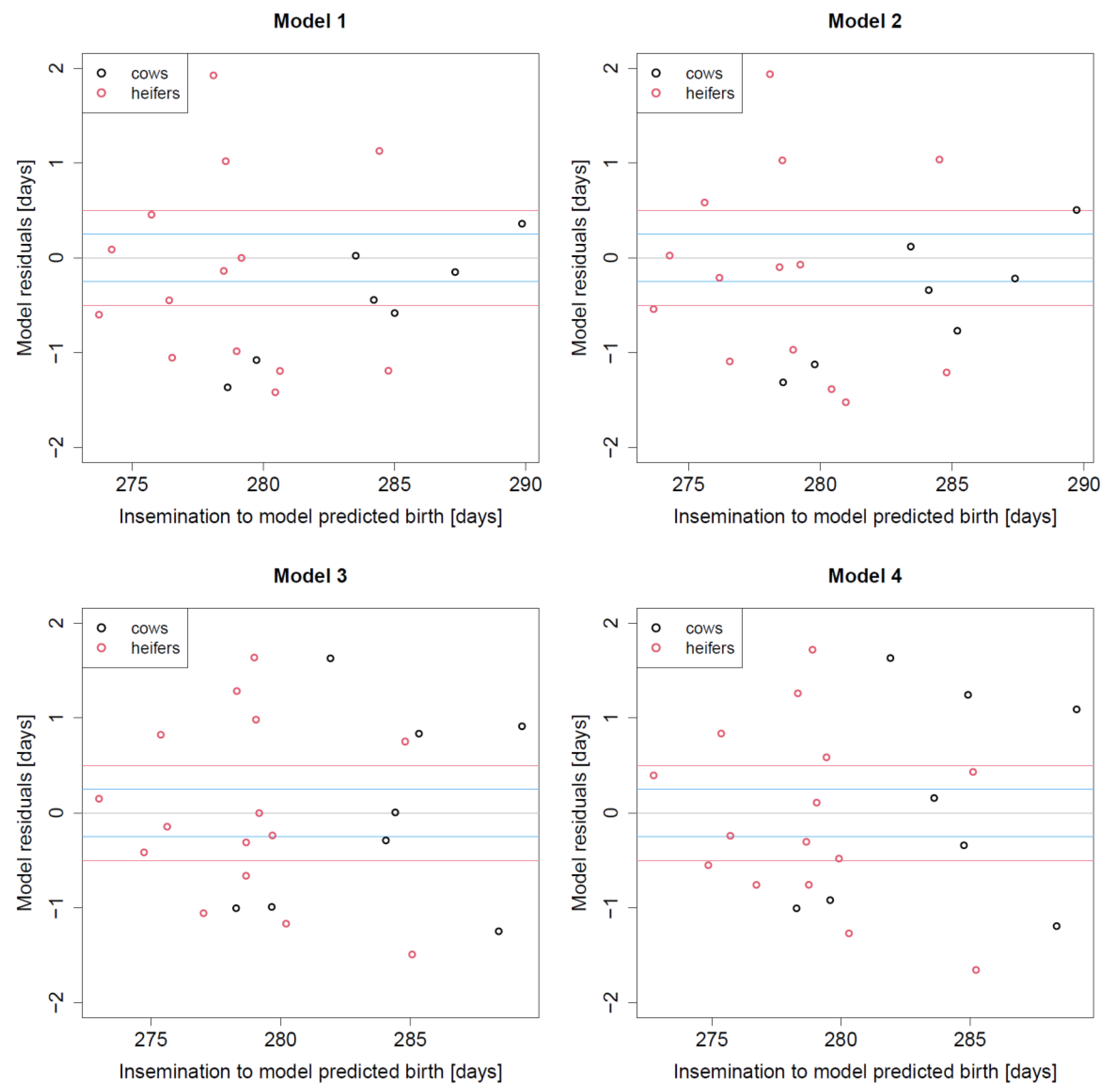
3.4. Statistical Models with and without Involving Moocall Information
3.5. Remarks When Using Moocall
4. Discussion
5. Conclusions
Author Contributions
Funding
Institutional Review Board Statement
Informed Consent Statement
Data Availability Statement
Acknowledgments
Conflicts of Interest
References
- Van Arendonk, J.A.; Liinamo, A.E. Dairy cattle production in Europe. Theriogenology 2003, 59, 563–569. [Google Scholar] [CrossRef]
- Wathes, C. Precision livestock farming for animal health, welfare and production. In Animal Health, Animal Welfare and Biosecurity, Proceedings of 13th International Congress in Animal Hygiene, Tartu, Estonia, 17–21 June 2007; Estonian University of Life Sciences, Jõgeva Plant Breeding Institute, Estonian Research Institute of Agriculture: Tartu, Estonia, 2007; Volume 1, pp. 397–404. [Google Scholar]
- Hostiou, N.; Fagon, J.; Chauvat, S.; Turlot, A.; Kling-Eveillard, F.; Boivin, X.; Allain, C. Impact of precision livestock farming on work and human-animal interactions on dairy farms: A review. Biotechnol. Agron. Société Environ. Biotechnol. Agron. Soc. Environ. 2017, 21, 268–275. [Google Scholar] [CrossRef]
- Saint-Dizier, M.; Chastant-Maillard, S. Methods and on-farm devices to predict calving time in cattle. Vet. J. 2015, 205, 349–356. [Google Scholar] [CrossRef] [PubMed]
- Matsas, D.J.; Nebel, R.L.; Pelzer, K.D. Evaluation of an on-farm blood progesterone test for predicting the day of parturition in cattle. Theriogenology 1992, 37, 859–868. [Google Scholar] [CrossRef]
- Streyl, D.; Sauter-Louis, C.; Braunert, A.; Lange, D.; Weber, F.; Zerbe, H. Establishment of a standard operating procedure for predicting the time of calving in cattle. J. Vet. Sci. 2011, 12, 177–185. [Google Scholar] [CrossRef] [PubMed]
- Aoki, M.; Kimura, K.; Suzuki, O. Predicting time of parturition from changing vaginal temperature measured by data-logging apparatus in beef cows with twin fetuses. Anim. Reprod. Sci. 2005, 86, 1–12. [Google Scholar] [CrossRef] [PubMed]
- Proudfoot, K.L.; Veira, D.M.; Weary, D.M.; von Keyserlingk, M.A. Competition at the feed bunk changes the feeding, standing, and social behavior of transition dairy cows. J. Dairy Sci. 2009, 92, 3116–3123. [Google Scholar] [CrossRef] [PubMed]
- Schirmann, K.; Chapinal, N.; Weary, D.M.; Vickers, L.; von Keyserlingk MA, G. Short communication: Rumination and feeding behavior before and after calving in dairy cows. J. Dairy Sci. 2013, 96, 7088–7092. [Google Scholar] [CrossRef] [PubMed]
- Bueno, L.; Tainturier, D.; Ruckebusch, Y. Detection of parturition in cow and mare by a useful warning system. Theriogenology 1981, 16, 599–605. [Google Scholar] [CrossRef]
- Wehrend, A.; Hofmann, E.; Failing, K.; Bostedt, H. Behaviour during the first stage of labour in cattle: Influence of parity and dystocia. Appl. Anim. Behav. Sci. 2006, 100, 164–170. [Google Scholar] [CrossRef]
- Barrier, A.C.; Haskell, M.J.; Macrae, A.I.; Dwyer, C.M. Parturition progress and behaviours in dairy cows with calving difficulty. Appl. Anim. Behav. Sci. 2012, 139, 209–217. [Google Scholar] [CrossRef]
- Miedema, H.M.; Cockram, M.S.; Dwyer, C.M.; Macrae, A.I. Changes in the behaviour of dairy cows during the 24h before normal calving compared with behaviour during late pregnancy. Appl. Anim. Behav. Sci. 2011, 131, 8–14. [Google Scholar] [CrossRef]
- Jensen, M.B. Behaviour around the time of calving in dairy cows. Appl. Anim. Behav. Sci. 2012, 139, 195–202. [Google Scholar] [CrossRef]
- Voss, A.L.; Fischer-Tenhagen, C.; Bartel, A.; Heuwieser, W. Sensitivity and specificity of a tail-activity measuring device for calving prediction in dairy cattle. J. Dairy Sci. 2021, 104, 3353–3363. [Google Scholar] [CrossRef] [PubMed]
- Henningsen, G.; Marien, H.; Hasseler, W.; Feldmann, M.; Schoon, H.A.; Hoedemaker, M.; Herzog, K. Evaluation of the iVET((R)) birth monitoring system in primiparous dairy heifers. Theriogenology 2017, 102, 44–47. [Google Scholar] [CrossRef] [PubMed]
- Society of Nutrition Physiology (GfE). Empfehlungen zur Energie- und Nährstoffversorgung der Milchkühe und Aufzuchtrinder (Recommendations of Energy and Nutrient Supply for Dairy Cows and Breeding Cattle); DLG Verlag: Frankfurt, Germany, 2001; Available online: https://www.openagrar.de/receive/timport_mods_00007272 (accessed on 30 March 2022).
- Burfeind, O.; Suthar, V.S.; Voigtsberger, R.; Bonk, S.; Heuwieser, W. Validity of prepartum changes in vaginal and rectal temperature to predict calving in dairy cows. J. Dairy Sci. 2011, 94, 5053–5061. [Google Scholar] [CrossRef] [PubMed] [Green Version]
- Fadul, M.; Bogdahn, C.; Alsaaod, M.; Hüsler, J.; Starke, A.; Steiner, A.; Hirsbrunner, G. Prediction of calving time in dairy cattle. Anim. Reprod. Sci. 2017, 187, 37–46. [Google Scholar] [CrossRef] [PubMed]
- Grunert, E.; der Gravidität, D. Tiergeburtshilfe, 4th ed.; Richter, J., Götze, R., Eds.; Verlag Paul Parey: Berlin/Heidelberg, Germany, 1993; pp. 79–82. ISBN 3-489-53416-6. [Google Scholar]




| Experimental Group | Animals | Pelvic Ligament Relaxation | Teat Filling | Vulva Edema | Vaginal Secretion | Flexibility of the Tail Tip | Tail Raising | Changes in Behavior | ||||
|---|---|---|---|---|---|---|---|---|---|---|---|---|
| MooCall-group | mild to moderate | moderate to severe | severe to concave | absent to mild | mild to moderate | moderate to severe | ||||||
| Heifers n = 16 | 2 (12.5%) | 6 (37.5%) | 2 (12.5%) | 3 (18.8%) ** | 1 (6.25%) | 3 (18.8%) | 2 (12.5%) * | 7 (43.8%) | 4 (25%) | 2 (12.5%) | ||
| Cows n = 8 | 1 (12.5%) | 2 (25%) | 3 (18.8%) | 4 (50%) | 1 (12.5%) | 1 (12.5%) | 3 (18.8%) | 2 (25%) | 1 (12.5%) | 1 (12.5%) | ||
| Control-group | Heifers n = 9 | 1 (11.1%) | 1 (11.1%) | 1 (11.1%) | 2 (22.2%) | 2 (22.2%) | 2 (22.2%) | 1 (11.1%) | ||||
| Cows n = 5 | 1 (20%) | 2 (40%) | 1 (20%) | 1 (20%) | 1 (20%) | 1 (20%) | 1 (20%) | |||||
| Animals | First SMS1—Onset of Calving | First SMS2—Onset of Calving |
|---|---|---|
| Heifers | 21.2 ± 20.2 | 2.7 ± 3.5 |
| (max: 95.4; min: 0.1) | (max: 80.6; min: −14.0) | |
| Cows | 29.6 ± 29.6 | 16.4 ± 17.7 |
| (max: 177.8; min: 0.0) | (max: 176.8; min: −1.7) |
| Model | Deviations Smaller +/− 6 h | Deviations Smaller +/− 12 h |
|---|---|---|
| SMS1 | 34.7% 95%-CI: [16%, 57%] | 39.1% 95%-CI: [20%, 61%] |
| SMS2 | 52.2% 95%-CI: [31%, 73%] | 56.5% 95%-CI: [34%, 77%] |
| Model 1 | 21.7% 95%-CI: [7%, 44%] | 39.1% 95%-CI: [20%, 61%] |
| Model 2 | 26.1% 95%-CI: [10%, 48%] | 30.4% 95%-CI: [13%, 53%] |
| Model 3 | 21.7% 95%-CI: [7%, 44%] | 34.8% 95%-CI: [16%, 57%] |
| Model 4 | 13% 95%-CI: [3%, 34%] | 34.8% 95%-CI: [16%, 57%] |
Publisher’s Note: MDPI stays neutral with regard to jurisdictional claims in published maps and institutional affiliations. |
© 2022 by the authors. Licensee MDPI, Basel, Switzerland. This article is an open access article distributed under the terms and conditions of the Creative Commons Attribution (CC BY) license (https://creativecommons.org/licenses/by/4.0/).
Share and Cite
Górriz-Martín, L.; Koenig, A.; Jung, K.; Bergforth, W.; von Soosten, D.; Hoedemaker, M.; Bajcsy, Á.C. Comparison between a Calving Predictive System and a Routine Prepartal Examination in German Holstein Heifers and Cows. Vet. Sci. 2022, 9, 192. https://doi.org/10.3390/vetsci9040192
Górriz-Martín L, Koenig A, Jung K, Bergforth W, von Soosten D, Hoedemaker M, Bajcsy ÁC. Comparison between a Calving Predictive System and a Routine Prepartal Examination in German Holstein Heifers and Cows. Veterinary Sciences. 2022; 9(4):192. https://doi.org/10.3390/vetsci9040192
Chicago/Turabian StyleGórriz-Martín, Lara, Annabel Koenig, Klaus Jung, Wiebke Bergforth, Dirk von Soosten, Martina Hoedemaker, and Árpád Csaba Bajcsy. 2022. "Comparison between a Calving Predictive System and a Routine Prepartal Examination in German Holstein Heifers and Cows" Veterinary Sciences 9, no. 4: 192. https://doi.org/10.3390/vetsci9040192
APA StyleGórriz-Martín, L., Koenig, A., Jung, K., Bergforth, W., von Soosten, D., Hoedemaker, M., & Bajcsy, Á. C. (2022). Comparison between a Calving Predictive System and a Routine Prepartal Examination in German Holstein Heifers and Cows. Veterinary Sciences, 9(4), 192. https://doi.org/10.3390/vetsci9040192

