A Review about the Mycoremediation of Soil Impacted by War-like Activities: Challenges and Gaps
Abstract
1. Introduction
2. Theoretical Foundation
2.1. How Have World War I, World War II, the Cold War, the Vietnam War, and the Yugoslav Civil War Environmentally Impacted Soils?
2.2. How Do Military Training and Shooting Ranges Environmentally Impact Soils?
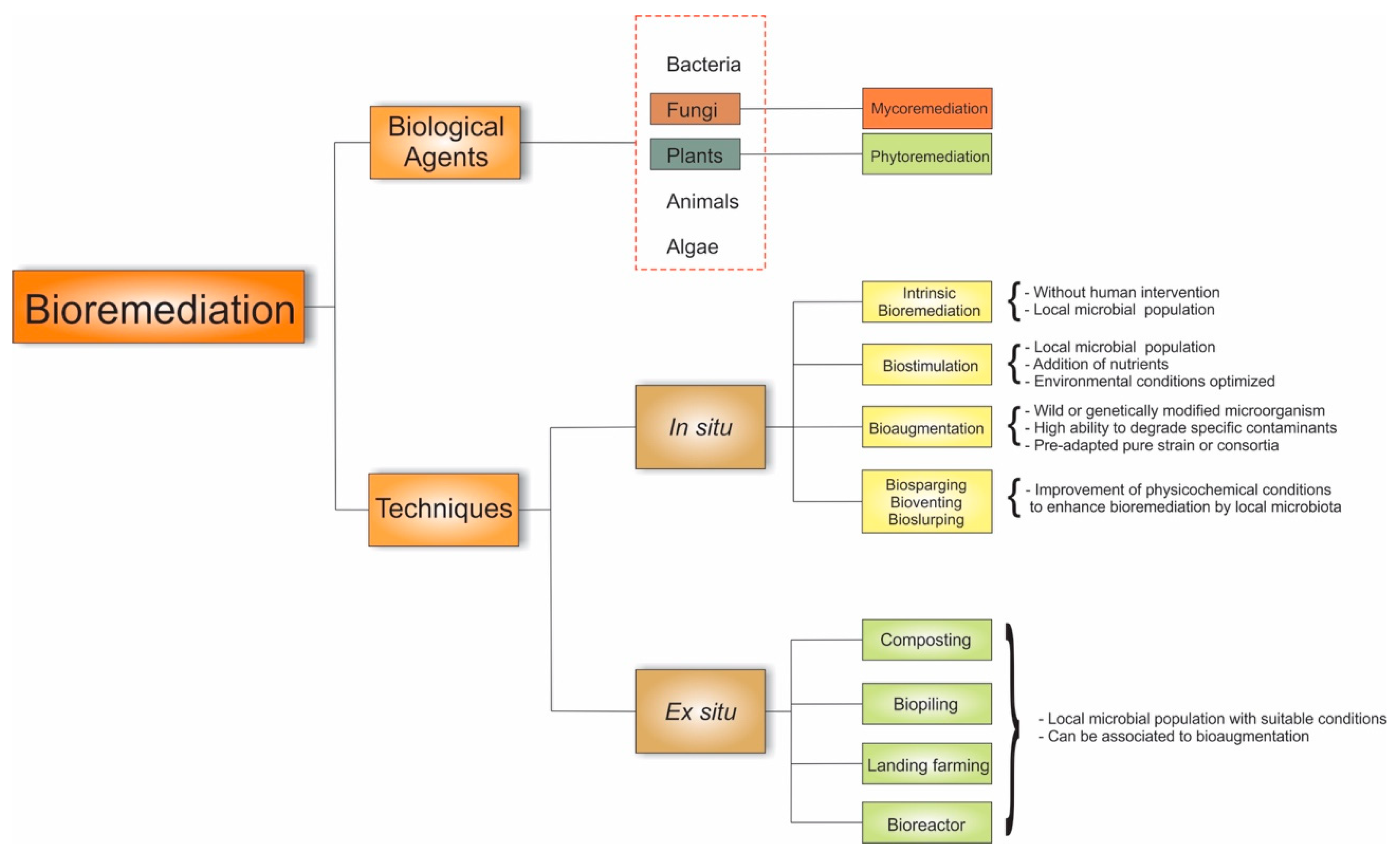
3. Fungi: Up-and-Coming Candidates to Remediate Soils Contaminated by War-like Activities
3.1. Mycoremediation and Its Techniques
“When looking for nature-based solutions to some of our most critical global challenges, fungi could provide many of the answers.” (State of the World’s Fungi 2018 by Katherine Willis, Director of Science, Royal Botanic Gardens, Kew)
3.2. Mycoremediation Mechanisms
3.2.1. Fungal Biosorption
- (a)
 - Physical adsorption: functional groups in the cell wall interact electrostatically and through van der Waals forces with pollutants.
 - (b)
 - Precipitation: precipitation or solidification is the process of transforming, for example, the toxic metal compounds into their precipitate form, which is less poisonous and almost negligible [159].
 - (c)
 - Ion exchange: based on the ion exchange mechanism between the sorbent and the studied pollutants through the replacement (exchange) of protons from the exchangeable sites present on the biosorbent surface with contaminants (e.g., metal ions); this mechanism is facilitated by the existence of hydroxyl, carboxyl, and phenols groups [155].
 - (d)
 - Complexation: functional groups in the cell wall provide the ligand atoms necessary to form complexes with metal ions, which attract and retain metals in the biomass [116]. The formation of surface complexes involves the interaction of pollutants (e.g., metal ions) with oxygen donor atoms from the oxygen-containing functional groups (coordination) [116].
 
3.2.2. Fungal Bioaccumulation
Fungal Biodegradation and Biotransformation
| Pollutants/Fungal Species | Remediation Techniques and Mechanisms *  | Treatment | Removal | Ref. | 
|---|---|---|---|---|
| RDX/White-rot fungi | ||||
| Phanerochaete chrysosporium | Biodegradation Biomineralization  | 1.25 nmoles 1.25 nmoles  | 66.6 ± 3.2% 76 ± 3.9%  | [175,176] | 
| Phanerochaete chrysosporium | Biodegradation Biomineralization (disappearance)  | 100 μg mL−1 | 22% | [176,177] | 
| Cyatus pallidum | Biodegradation Biomineralization (disappearance)  | 100 μg mL−1 | 21% | [177] | 
| RDX/Micromycetous fungi | ||||
| Cunninghamella echinulate | Biodegradation Biomineralization (disappearance)  | 100 μg mL−1 | 12% | [177] | 
| Cladosporium resinae | Biodegradation Biomineralization (disappearance)  | 100 μg mL−1 | 31% | [177] | 
| TNT/Wood-decaying basidiomycetes | ||||
| Fomes fomentarius | Biodegradation Biomineralization  | 250 μΜ (56.9 ppm)  | 93% | [178] | 
| Hypholoma fasciculare | Biodegradation Biomineralization  | 250 μΜ (56.9 ppm)  | 96% | [178] | 
| Kuehneromyces mutabilis | Biodegradation Biomineralization  | 250 μΜ (56.9 ppm)  | 100% | [178] | 
| Laetiporus sulphureus | Biodegradation Biomineralization  | 250 μΜ (56.9 ppm)  | 100% | [178] | 
| Lentinula edodes | Biodegradation Biomineralization  | 250 μΜ (56.9 ppm)  | 90% | [178] | 
| Panus tigrinus | Biodegradation Biomineralization  | 250 μΜ (56.9 ppm)  | 87% | [178] | 
| Phellinus robustus | Biodegradation Biomineralization  | 250 μΜ (56.9 ppm)  | 78% | [178] | 
| Pleurotus abellatus | Biodegradation Biomineralization  | 250 μΜ (56.9 ppm)  | 100% | [178] | 
| Pleurotus ostreatus | Biodegradation Biomineralization  | 250 μΜ (56.9 ppm)  | 100% | [178] | 
| Trametes suaveolens | Biodegradation Biomineralization  | 250 μΜ (56.9 ppm)  | 100% | [178] | 
| Trametes versicolor | Biodegradation Biomineralization  | 250 μΜ (56.9 ppm)  | 100% | [178] | 
| Trametes versicolor Sclerotium rolfsii  | Biotransformation | 50 mg L−1 | 66% 82%  | [179] | 
| TNT/Litter-decaying basidiomycetes | ||||
| Agaricus eastivalis | Biodegradation Biomineralization  | 250 μΜ (56.9 ppm)  | 100% | [178] | 
| Agaricus bisporus | Biodegradation Biomineralization  | 250 μΜ (56.9 ppm)  | 100% | [178] | 
| Agrocybe aegerita | Biodegradation Biomineralization  | 250 μΜ (56.9 ppm)  | 100% | [178] | 
| Agrocybe praecox | Biodegradation Biomineralization  | 250 μΜ (56.9 ppm)  | 100% | [178] | 
| Clitocybe odora | Biodegradation Biomineralization  | 250 μΜ (56.9 ppm)  | 88% | [178] | 
| Coprinus comatus | Biodegradation Biomineralization  | 250 μΜ (56.9 ppm)  | 82% | [178] | 
| Lepista nebularis | Biodegradation Biomineralization  | 250 μΜ (56.9 ppm)  | 94% | [178] | 
| Paxillus involutus | Biodegradation Biomineralization  | 250 μΜ (56.9 ppm)  | 100% | [178] | 
| Stropharia rugosoannulata | Biodegradation Biomineralization  | 250 μΜ (56.9 ppm)  | 100% | [178] | 
| Stropharia rugosoannulata | Biotransformation Biomineralization  | 50 μΜ | UD | [180,181] | 
| TNT/White-rot fungi | ||||
| Bjerkandera adusta | Biotransformation Biomineralization  | 87 μΜ | 39.7% | [182] | 
| Cyathus stercoreus | Biodegradation Biomineralization  | 90 mg L−1 | 67% | [183] | 
| Gymnopilus luteofolius | Biotransformation | 100 mg kg−1 | 54 ± 24% | [184] | 
| Irpex lacteus | Biodegradation Biomineralization  | 50 mg L−1 | 100% | [185] | 
| Nematoloma frowardii | Biotransformation Biomineralization  | 50 μΜ | UD | [180,181] | 
| Phanerochaete chrysosporium | Biodegradation Biomineralization  | 50 mg L−1 | 91.4% | [185] | 
| Phanerochaete chrysosporium | Biodegradation Biomineralization  | 1.25 nmoles 57.9 nmoles  | 50.8 ± 3.2% 6.3 ± 3.9%  | [175,176] | 
| Phanerochaete chrysosporium | Biodegradation Biomineralization  | 90 mg L−1 | 94% | [183] | 
| Phanerochaete sordida | Biodegradation Biomineralization  | 90 mg L−1 | 90% | [183] | 
| Phanerochaete velutina | Biotransformation | 100 mg kg−1 | 80 ± 4% | [184] | 
| Phlebia brevispora | Biodegradation Biomineralization  | 90 mg L−1 | 87% | [183] | 
| Pleurotus ostreatus | Biodegradation Biomineralization  | 50 mg L−1 | 100% | [185] | 
| Pycnoporus coccineus | Biodegradation Biomineralization  | 50 mg L−1 | 100% | [185] | 
| Schizophyllum commune | Biodegradation Biomineralization  | 50 mg L−1 | 100% | [185] | 
| TNT/Micromycetous fungi | ||||
| Alternaria sp. | Biodegradation Biomineralization  | 250 μΜ (56.9 ppm)  | 74% | [178] | 
| Aspergillus niger | Biodegradation Biomineralization  | 250 μΜ (56.9 ppm)  | 90% | [178] | 
| Aspergillus niger | Biodegradation Bioaugmentation  | 200 mg kg−1 | 15% 80%  | [186] | 
| Aspergillus terreus | Biodegradation Biomineralization  | 250 μΜ (56.9 ppm)  | 100% | [178] | 
| Aspergillus sp. | Biodegradation | 68 mg L−1 | 44% | [187] | 
| Cunninghamella elegans | Biodegradation Biomineralization  | 250 μΜ (56.9 ppm)  | 100% | [178] | 
| Fusarium oxysporum | Biodegradation Biomineralization  | 250 μΜ (56.9 ppm)  | 100% | [178] | 
| Fusarium solani | Biodegradation Biomineralization  | 250 μΜ (56.9 ppm)  | 96% | [178] | 
| Fusarium sp. | Biodegradation Biomineralization  | 250 μΜ (56.9 ppm)  | 100% | [178] | 
| Mucor mucedo | Biodegradation Biomineralization  | 250 μΜ (56.9 ppm)  | 95% | [178] | 
| Mucor sp. | Biodegradation Biotransformation  | 200 mg L−1 | 39% | [186] | 
| Mucor sp. | Biodegradation Bioaugmentation  | 200 mg kg−1 | 21% 80%  | [186] | 
| Neurospora crassa | Biodegradation Biomineralization  | 250 μΜ (56.9 ppm)  | 100% | [178] | 
| Penicillium frequentans | Biodegradation Biomineralization  | 250 μΜ (56.9 ppm)  | 100% | [178] | 
| Penicillium sp. | Biodegradation Biomineralization  | 250 μΜ (56.9 ppm)  | 100% | [178] | 
| Rhizoctonia solani | Biodegradation Biomineralization  | 250 μΜ (56.9 ppm)  | 90% | [178] | 
| Rhizopus nigricans | Biomineralization | 100 mg L−1 | Almost 100% | [176] | 
| Thermomyces lanuginose | Biotransformation Bioreduction  | 1.5% (w w−1) | 7.8% | [176,188] | 
| Trichoderma viride | Biodegradation Biotransformation  | 200 mg L−1 | 42% | [186] | 
| Trichoderma viride | Biotransformation | 50 and 100 ppm | UD | [189] | 
| Trichotecium sp. | Biodegradation Biotransformation  | 200 mg L−1 | 40% | [186] | 
| Plutonium/White-rot fungi | ||||
| Pleurotus ostreatus | Bioaccumulation Uptake  | UD | UD | [190] | 
| Uranium/Micromycetous fungi | ||||
| Aphanocladium spectabilis | Biosorption (using dead biomass)  | 300 mg L−1 | 54.03% | [191] | 
| Acremonium minutisporum | Biosorption (using dead biomass)  | 300 mg L−1 | 53.83% | [191] | 
| Aspergillus niger | Bioaccumulaton Bioprecipitation  | UD | UD | [192] | 
| Gongronella butleri | Biosorption (using live biomass)  | 100 mg L−1 | UD | [193] | 
| Paecilomyces javanicus | Bioaccumulaton Bioprecipitation  | UD | UD | [192] | 
| Penicillium piscarium, Penicillium citrinum, Penicillium ludwigii | Biosorption (using live biomass)  | 100 mg L−1 | UD | [193] | 
| Penicillium piscarium | Biosorption (using dead biomass)  | 100 mg L−1 | 97.1%  92.2%  | [194] | 
| Talaromyces amestolkiae | Biosorption (using live biomass)  | 100 mg L−1 | UD | [193] | 
| 2,4-D/White-rot fungi | ||||
| Pleurotus ostreatus | Bioaccumulation Biotransformation  | 53 g L−1 | 99.3% | [195] | 
| 2,4-D/Micromycetous fungi | ||||
| Aspergillus penicilloides | Bioaccumulation Biodegradation  | 100 mg L−1 | 52% | [196] | 
| Emericella nidulans | Biosorption (dead biomass) Biosorption (live biomass) Adsorption and uptake  | 0.12 mM 0.1 mM  | 70% 75%  | [197] | 
| Eupenicillium spp. | Biodegradation | 100 mg L−1 | 26% | [198] | 
| Fusarium sp. | Bioaccumulation Biodegradation  | 200 mg L−1 | 50% | [199] | 
| Mortierella isabellina | Bioaccumulation Biodegradation  | 100 mg L−1 | 46% | [196] | 
| Penicillium miczynskii | Biosorption (using dead biomass) Biosorption (using live biomass) Adsorption and uptake  | 0.12 mM 0.1 mM  | 40% 75%  | [197] | 
| Penicillium chrysogenum | Bioaccumulation Biodegradation  | 600 mg L−1 | 71.34% | [200] | 
| Penicillium chrysogenum | Bioaccumulation Biodegradation  | 100 mg L−1 | 25% | [201] | 
| Rhizopus stolonifer | Bioaccumulation Biodegradation  | 600 mg L−1 | 47.87% | [200] | 
| Rigidoporus sp. | Bioaccumulation Biodegradation  | 200 mg L−1 | 100% | [199] | 
| Talaromyces spp. | Biodegradation | 100 mg L−1 | 3% | [198] | 
| Trichoderma koningii | Bioaccumulation Biodegradation  | 600 mg L−1 | 52.82% | [200] | 
| Trichoderma viride | Bioaccumulation Biodegradation  | 600 mg L−1 | 59.47% | [200] | 
| Umbelopsis isabellina | Bioaccumulation Biodegradation  | 0.11 mM | 98% | [202] | 
| Verticillium sp. | Bioaccumulation Biodegradation  | 200 mg L−1 | 80% | [199] | 
| 2,4,5-T/Micromycetous fungi | ||||
| Eupenicillium sp. VN 5-2-2- | Biodegradation | 100 mg L−1 | 8% | [198] | 
| Eupenicillium sp. VN 10-2-2- | Biodegradation | 100 mg L−1 | 13% | [198] | 
| Fusarium sp. | Bioaccumulation Biodegradation  | 200 mg L−1 | 50% | [199] | 
| Rigidoporus sp. | Bioaccumulation Biodegradation  | 200 mg L−1 | 100% | [199] | 
| Verticillium sp. | Bioaccumulation Biodegradation  | 200 mg L−1 | 70% | [199] | 
| TCDD/White-rot fungi | ||||
| Rigidoporus sp. | Bioaccumulation Biotransformation  | 0.5 | 73% | [203] | 
| As/Micromycetous fungi | ||||
| Absidia spinosa | Bioaccumulation | 50 mg L−1 | 115 μg g−1 | [204] | 
| Acidomyces acidophilus | Biosorption uptake  | 100 mg L−1 | 70.3% | [205] | 
| Arthroderma benhsmiae | Bioaccumulation Biosorption (B) Biovolatilization (V)  | 10 mg L−1 | B: 0.218 g kg−1 V: 5.21 mg kg−1  | [206] | 
| Aspergillus clavatus | Bioaccumulation Biovolatilization  | 5 mg L−1 | 20% | [207] | 
| Aspergillus niger A | Bioaccumulation Biovolatilization  | 5 mg L−1 | 26.8% | [207] | 
| Aspergillus niger B | Bioaccumulation Biovolatilization  | 5 mg L−1 | 9.2% | [207] | 
| Aspergillus flavus | Biosorption Biovolatilization  | 0.25 mg 0.05 mg  | 0.015 mg (0.068 mg) | [208] | 
| Aspergillus nidulans | Bioaccumulation Biosorption (B) Biovolatilization (V)  | 10 mg L−1 | B: 0.190 g kg−1 V: 4.62 mg kg−1  | [206] | 
| Aspergillus niger Aspergillus spp.  | Bioaccumulation Biosorption  | 250 mM | 53.92% 52.54%  | [209] | 
| Aspergillus oryzae | Bioaccumulation Biosorption (B) Biovolatilization (V)  | 10 mg L−1 | B: 0.250 g kg−1 V: 6.4 mg kg−1  | [206] | 
| Aspergillus ustus Aspergillus sp.  | Biosorption uptake  | 10 ppm | 80% 56%  | [210] | 
| Cephalotrichum nanum | Bioaccumulation | 50 mg L−1 | 218 μg g−1 | [204] | 
| Emericella sp. | Bioaccumulation Biosorption (B) Biovolatilization (V)  | 10 mg L−1 | B: 0.179 g kg−1 V: 3.62 mg kg−1  | [206] | 
| Eupenicillium cinnamopurpureum | Biosorption Biovolatilization  | 0.25 mg 0.05 mg  | 0.023 mg (0.028 mg) | [208] | 
| Fusarium oxysporum | Bioaccumulation Biovolatilization  | 40 mg L−1 | 13.65 μg g−1 day−1 (46.35 μg g−1 day−1) | [211] | 
| Fusarium oxysporum | Bioaccumulation Biotransformation  | 50 mg L−1 | UD | [212] | 
| Fusarium sp. | Bioaccumulation Biosorption (B) Biovolatilization (V)  | 10 mg L−1 | B: 0.258 g kg−1 V: 6.15 mg kg−1  | [206] | 
| Metarhizium marquandii | Bioaccumulation | 50 mg L−1 | 129 μg g−1 | [204] | 
| Neosartorya fischeri | Biosorption Biovolatilization  | 0.25 mg 0.05 mg  | 0.003 mg (0.180 mg) | [208] | 
| Neocosmospora sp. | Bioaccumulation Biovolatilization  | 10 mg L−1 | 57.82% | [213] | 
| Penicillium janthinellum | Bioaccumulation Biovolatilization  | 40 mg L−1 | 13.67 μg g−1 day−1  (54.34 μg g−1 day−1)  | [211] | 
| Penicillium janthinellum | Bioaccumulation Biotransformation  | 50 mg L−1 | UD | [212] | 
| Penicillium glabrum | Bioaccumulation Biovolatilization  | 5 mg L−1 | 25.2% | [207] | 
| Penicillium sp. | Bioaccumulation Biovolatilization  | 10 mg L−1 | 58.38% | [213] | 
| Purpureocillium lilacinum | Bioaccumulation | 50 mg L−1 | 133 μg g−1 | [204] | 
| Rhizomucor variabilis | Bioaccumulation Biosorption (B) Biovolatilization (V)  | 10 mg L−1 | B: 0.185 g kg−1 V: 3.63 mg kg−1  | [206] | 
| Rhizopus sp. | Bioaccumulation Biovolatilization  | 10 mg L−1 | 60.21% | [213] | 
| Sterile mycelial strain FA-13 | Bioaccumulation Biovolatilization  | 10 mg L−1 | 65.81% | [213] | 
| Talaromyces wortmannii | Biosorption Biovolatilization  | 0.25 mg 0.05 mg  | 0.029 mg (0.027 mg) | [208] | 
| Talaromyces flavus | Biosorption Biovolatilization  | 0.25 mg 0.05 mg  | 0.025 mg (0.025 mg) | [208] | 
| Talaromyces sp. | Biosorption (using dead biomass) Biosorption (using live biomass) Adsorption and uptake  | 50 mg L−1 | As(III): 5.24% As(v): 26.2%  | [214] | 
| Trichoderma asperellum | Bioaccumulation Biovolatilization  | 40 mg L−1 | 56.02 μg g−1 day−1  (51.87 μg g−1 day−1)  | [211] | 
| Trichoderma asperellum | Bioaccumulation Biotransformation  | 50 mg L−1 | UD | [212] | 
| Trichoderma atroviride | Bioaccumulation Biovolatilization  | 1 g L−1 | 70% | [215] | 
| Trichoderma sp. | Bioaccumulation Biovolatilization  | 10 mg L−1 | UD | [213] | 
| Trichophyton verrucosum | Bioaccumulation Biosorption (B) Biovolatilization (V)  | 10 mg L−1 | B: 0.205 g kg−1 V: 5.03 mg kg−1  | [206] | 
| Trichoderma viride | Bioaccumulation Biovolatilization  | 5 mg L−1 | 4.0% | [207] | 
4. The Mycoremediation of Soils Impacted by War-like Activities
| Pollutant | Fungal Species | Location of the Contaminated Soil Sampling | Main Results | Reference | 
|---|---|---|---|---|
| TNT | Phanerochaete chrysosporium | U.S. Army munitions depot at Umatilla (Oregon) | Efficient biotransformation (not mineralization) of TNT at concentrations < 20 ppm | [230] | 
| TNT | Phanerochaete velutina | Military storage area in Finland | TNT degradation of 80% | [184] | 
| CL-20 | Undefined indigenous species | Soils enriched with CL-20 from different areas of New Jersey (USA) | CL-20 degradation of up to 96% | [231] | 
| TNT, 2,4-DNT and 2,6-DNT | Undefined indigenous species (including fungi) | Inactive munitions plant near Weldon Spring (USA) | High nitroaromatic compound degradation to CO2 | [232] | 
| TNT | Undefined indigenous species (including fungi) | Inactive munitions plant near Weldon Spring (USA) | Better TNT mineralization (CO2 production) under microaerated conditions | [233] | 
| TNT, RDX, and HMX | Phanerochaete chrysosporium | Naval weapons station in Yorktown (USA) | Reductions of 98.5%, 70.5%, and 95.8% for TNT, RDX, and HMX, respectively | [234] | 
| TNT | Phanerochaete chrysosporium | Agricultural soil from Utah (USA) | TNT degradation of 85% | [175] | 
| TNT | Mucor sp. T1-1 and Aspergillus niger N2-2 | Black and red soils widely spread in western and eastern Georgia (USA) | TNT degradation varied from 79% to nearly 100% | [186] | 
| TNT | Undefined indigenous species (including fungi) | U.S. Army munitions depot near Umatilla (Oregon) | Aqueous supernatants without nitroaromatic compounds | [235] | 
| TNT | Phanerochaete velutina | Finnish soils | Phanerochaete velutina degraded 70% of TNT on lab and pilot scales | [220] | 
| TNT | Thermophilic microorganisms in compost (including fungi) | Garden soil from Massachusetts (USA) | There was no TNT mineralization, but there was a reduction in aminonitrotolenes | [188] | 
| TNT and RDX | Information not found | Information not found | Total RDX conversion to CO2, no evidence for TNT benzene ring breakage, high incorporation of TNT into humic materials | [236] | 
| TNT | Microorganisms in compost (including fungi) | Former ammunition plant Werk Tenne in Germany | In anaerobic conditions followed by an aerobic environment, there was a high decrease in TNT concentration and complete disappearance of the reduced amino-dinitrotoluenes | [237] | 
| TNT, RDX, and HMX | Microorganisms in compost (including fungi) | U.S. Army munitions depot at Umatilla (Oregon) | After composting soils highly contaminated with TNT and RDX, nondetectable levels of these explosives were achieved | [238] | 
| TNT | Microorganisms in compost (including fungi) | U.S. Army munitions depot at Umatilla (Oregon) | No TNT mineralization or formation of amino-dinitrotoluenes was obtained; approximately 70% of carbon was incorporated into the organic fraction | [239] | 
| Nitrocellulose | Microorganisms in compost (including fungi) | U.S. Badger Army Ammunition Plant (Wisconsin) | After composting highly contaminated soils with nitrocellulose, the concentration of this explosive was highly reduced (99.9%) | [240] | 
| TNT | Microorganisms in compost (including fungi) | Former ammunition plant Werk Tenne in Germany | After composting soils contaminated with TNT, this explosive was efficiently degraded (≥99.6%) | [241] | 
| TNT | Microorganisms in compost (including fungi) | Information not found | After composting soils contaminated with TNT, this explosive and its by-products became nonextractable and hydrolyzable | [242] | 
| TNT | Undefined indigenous species (including fungi) | Information not found | Partially reduced TNT was incorporated into the soil with subsequent reduction | [243] | 
| TNT | Autochthonous microorganisms (including fungi) | TNT-contaminated site in the Czech Republic | TNT removal of more than 90% | [244] | 
| TNT | Indigenous microbial consortium (including fungi) in sewage sludge | TNT-contaminated soil from South Korea | TNT removal (with CO2 release) between 80% and 85% | [219] | 
| TNT | Indigenous microbial consortium (including fungi) | TNT-contaminated soil from Northwest China | Total organic carbon contents decreased by 48.9% in the liquid phase of a slurry reactor | [245] | 
| TNT | Microorganisms in compost (including fungi) | Aberdeen Proving Ground U.S. Army Installation  | After composting soils contaminated with TNT, there was a reduction of this explosive and subsequent binding of the reduced products to soils; however, no TNT mineralization occurred | [246] | 
5. Conclusions and Perspectives
- (a)
 - Fungal adaptability to the contaminated environment: Fungi can adapt and survive in soils contaminated with explosives, metals, metalloids, radionuclides, and herbicides, provided the conditions are not highly adverse.
 - (b)
 - Mycelial growth: The mycelium (network of hyphae) of filamentous fungi efficiently explores soils and substrates for degrading nutrients and compounds. This morphological characteristic helps increase the interaction area between fungi and organic war pollutants (explosives and herbicides), facilitating degradation. Moreover, this vast contact area with metals, metalloids, and radionuclides enhances their adsorption.
 - (c)
 - Syntropy: Filamentous fungi can form symbiotic relationships with other microbial species, such as bacteria, in a process known as syntropy. This microbial cooperation can enhance the effectiveness of explosive and herbicide degradation as different microorganisms can play complementary roles in compound transformation. This same syntropic effect can also magnify the adsorption of metal and metalloid ions and radionuclides.
 
Supplementary Materials
Author Contributions
Funding
Institutional Review Board Statement
Informed Consent Statement
Data Availability Statement
Conflicts of Interest
References
- van Loon, G.W.; Duffy, S.J. Environmental Chemistry: A Global Perspective, 3th ed; Oxford University Press: Oxford, UK, 2011; pp. 411–423. [Google Scholar]
 - Manahan, S.E. Environmental Chemistry, 7th ed.; CRC Press: Boca Raton, FL, USA, 2000; pp. 470–504. [Google Scholar]
 - Sparks, D.L.; Singh, B.; Siebecker, H.G. Environmental Soil Chemistry, 1st ed.; Academic Press: London, UK, 2003; pp. 77–79. [Google Scholar]
 - Harari, Y.N. Sapiens: A Brief History of Humankind; Signal McClleland & Stewart: Oxford, UK, 2014; pp. 86–174. [Google Scholar]
 - Briassoulis, D. Agricultural plastics as a potential threat to food security, health, and environment through soil pollution by microplastics: Problem definition. Sci. Total Environ. 2023, 892, 164533. [Google Scholar] [CrossRef] [PubMed]
 - Chang, X.; Fang, Y.; Wang, Y.; Wang, F.; Shang, L.Y.; Zhong, R.Z. Microplastic pollution in soils, plants, and animals: A review of distributions, effects and potential mechanisms. Sci. Total Environ. 2022, 850, 157857. [Google Scholar] [CrossRef] [PubMed]
 - Zhang, P.T.; Yuan, Y.; Zhang, J.; Wen, T.Y.; Wang, H.; Qu, C.T.; Tan, W.B.; Xi, B.D.; Hui, K.L.; Tang, J. Specific response of soil properties to microplastics pollution: A review. Environ. Res. 2023, 232, 116427. [Google Scholar] [CrossRef] [PubMed]
 - Gidudu, B.; Chirwa, E.M.N. Evaluation of the toxicity of a rhamnolipid biosurfactant for its application in the optimization of the bio-electrokinetic remediation of petrochemical contaminated soil. Clean. Eng. Technol. 2022, 9, 100521. [Google Scholar] [CrossRef]
 - Cerqueira, V.S.; Peralba, M.D.R.; Camargo, F.A.O.; Bento, F.M. Comparison of bioremediation strategies for soil impacted with petrochemical oily sludge. Int. Biodeterior. Biodegrad. 2014, 95, 338–345. [Google Scholar] [CrossRef]
 - Morelli, I.S.; Del Panno, M.T.; De Antoni, G.L.; Painceira, M.T. Laboratory study on the bioremediation of petrochemical sludge-contaminated soil. Int. Biodeterior. Biodegrad. 2005, 55, 271–278. [Google Scholar] [CrossRef]
 - Aydin, S.; Ulvi, A.; Bedük, F.; Aydin, M.E. Pharmaceutical residues in digested sewage sludge: Occurrence, seasonal variation and risk assessment for soil. Sci. Total Environ. 2022, 817, 152864. [Google Scholar] [CrossRef]
 - Gautam, K.; Sharma, P.; Dwivedi, S.; Singh, A.; Gaur, V.K.; Varjani, S.; Srivastava, J.K.; Pandey, A.; Chang, J.S.; Ngo, H.H. A review on control and abatement of soil pollution by heavy metals: Emphasis on artificial intelligence in recovery of contaminated soil. Environ. Res. 2023, 225, 115592. [Google Scholar] [CrossRef]
 - Shi, J.D.; Zhao, D.; Ren, F.T.; Huang, L. Spatiotemporal variation of soil heavy metals in China: The pollution status and risk assessment. Sci. Total Environ. 2023, 871, 161768. [Google Scholar] [CrossRef]
 - Bausinger, T.; Preuss, J. Environmental remnants of the first World War: Soil contamination of a burning ground for arsenical ammunition. Bull. Environ. Contam. Toxicol. 2005, 74, 1045–1052. [Google Scholar] [CrossRef]
 - Wolejko, E.; Jablonska-Trypuc, A.; Wydro, U.; Butarewicz, A.; Lozowicka, B. Soil biological activity as an indicator of soil pollution with pesticides—A review. Appl. Soil Ecol. 2020, 147, 103356. [Google Scholar] [CrossRef]
 - Wuepper, D.; Tang, F.H.M.; Finger, R. National leverage points to reduce global pesticide pollution. Glob. Environ. Chang. 2023, 78, 102631. [Google Scholar] [CrossRef]
 - Fayiga, A.O.; Saha, U.K. Soil pollution at outdoor shooting ranges: Health effects, bioavailability and best management practices. Environ. Pollut. 2016, 216, 135–145. [Google Scholar] [CrossRef] [PubMed]
 - Aung, T.S. Satellite analysis of the environmental impacts of armed-conflict in Rakhine, Myanmar. Sci. Total Environ. 2021, 781, 146758. [Google Scholar] [CrossRef]
 - Francis, R.A.; Krishnamurthy, K. Human conflict and ecosystem services: Finding the environmental price of warfare. Int. Aff. 2014, 90, 853–869. [Google Scholar] [CrossRef]
 - Solomon, N.; Birhane, E.; Gordon, C.; Haile, M.; Taheri, F.; Azadi, H.; Scheffran, J. Environmental impacts and causes of conflict in the Horn of Africa: A review. Earth-Sci. Rev. 2018, 177, 284–290. [Google Scholar] [CrossRef]
 - Shukla, S.; Mbingwa, G.; Khanna, S.; Dalal, J.; Sankhyan, D.; Malik, A.; Neha, B. Environment and health hazards due to military metal pollution: A review. Environ. Nanotechnol. Monit. Manag. 2023, 20, 100857. [Google Scholar] [CrossRef]
 - Bausinger, T.; Bonnaire, E.; Preuss, J. Exposure assessment of a burning ground for chemical ammunition on the Great War battlefields of Verdun. Sci. Total Environ. 2007, 382, 259–271. [Google Scholar] [CrossRef]
 - Trang, T.B.; Tai, P.T.; Nishijo, M.; Anh, T.N.; Thao, P.N.; Hoa, V.T.; Nghi, T.N.; Luong, H.V.; Nishijo, H. Adverse effects of dioxins on cognitive ability and motor performance of 5-year-old children residing in a hotspot of dioxin contamination originating from Agent Orange in Vietnam: A prospective cohort study. Sci. Total Environ. 2022, 833, 155138. [Google Scholar] [CrossRef]
 - Palmer, M.G. The legacy of agent orange: Empirical evidence from central Vietnam. Soc. Sci. Med. 2005, 60, 1061–1070. [Google Scholar] [CrossRef]
 - Moretz, C.B., III. Viet Nam’s second cry for help—Why the U.S. should answer again. Curr. Surg. 2004, 61, 567–568. [Google Scholar] [CrossRef] [PubMed]
 - Dwernychuk, L.W. Dioxin hot spots in Vietnam. Chemosphere 2005, 60, 998–999. [Google Scholar] [CrossRef] [PubMed]
 - Appau, S.; Churchill, S.A.; Smyth, R.; Trinh, T.A. The long-term impact of the Vietnam War on agricultural productivity. World Dev. 2021, 146, 105613. [Google Scholar] [CrossRef]
 - Chowdhury, P.R.; Medhi, H.; Bhattacharyya, K.G.; Hussain, C.M. Severe deterioration in food-energy-ecosystem nexus due to ongoing Russia-Ukraine war: A critical review. Sci. Total Environ. 2023, 902, 166131. [Google Scholar] [CrossRef]
 - Kalderis, D.; Juhasz, A.L.; Boopathy, R.; Comfort, S. Soils contaminated with explosives: Environmental fate and evaluation of state-of-the-art remediation processes (IUPAC Technical Report). Pure Appl. Chem. 2011, 83, 1407–1484. [Google Scholar] [CrossRef]
 - Temple, T.; Ladyman, M.; Mai, N.; Galante, E.; Ricamora, M.; Shirazi, R.; Coulon, F. Investigation into the environmental fate of the combined Insensitive High Explosive constituents 2,4-dinitroanisole (DNAN), 1-nitroguanidine (NQ) and nitrotriazolone (NTO) in soil. Sci. Total Environ. 2018, 625, 1264–1271. [Google Scholar] [CrossRef]
 - Zheng, J.; Sahoo, S.K.; Tatsuo, A. Recent progress on mass spectrometric analysis of artificial radionuclides in environmental samples collected in Japan. Nucl. Anal. 2022, 1, 100025. [Google Scholar] [CrossRef]
 - Song, P.P.; Xu, D.; Yue, J.Y.; Ma, Y.C.; Dong, S.J.; Feng, J. Recent advances in soil remediation technology for heavy metal contaminated sites: A critical review. Sci. Total Environ. 2022, 838, 156417. [Google Scholar] [CrossRef]
 - Azhar, U.; Ahmad, H.; Shafqat, H.; Babar, M.; Munir, H.M.S.; Sagir, M.; Arif, M.; Hassan, A.; Rachmadona, N.; Rajendran, S.; et al. Remediation techniques for elimination of heavy metal pollutants from soil: A review. Environ. Res. 2022, 214, 113918. [Google Scholar] [CrossRef]
 - Sarker, A.; Al Masud, M.A.; Deepo, D.M.; Das, K.; Nandi, R.; Ansary, M.W.R.; Islam, A.M.T.; Islam, T. Biological and green remediation of heavy metal contaminated water and soils: A state-of-the-art review. Chemosphere 2023, 332, 138861. [Google Scholar] [CrossRef]
 - Shahid, M.; Khan, M.S.; Singh, U.B. Pesticide-tolerant microbial consortia: Potential candidates for remediation/clean-up of pesticide-contaminated agricultural soil. Environ. Res. 2023, 236, 116724. [Google Scholar] [CrossRef] [PubMed]
 - Kalsi, A.; Celin, S.M.; Bhanot, P.; Sahai, S.; Sharma, J.G. Microbial remediation approaches for explosive contaminated soil: Critical assessment of available technologies, Recent innovations and Future prospects. Environ. Technol. Innov. 2020, 18, 100721. [Google Scholar] [CrossRef]
 - Thakare, M.; Sarma, H.; Datar, S.; Roy, A.; Pawar, P.; Gupta, K.; Pandit, S.; Prasad, R. Understanding the holistic approach to plant-microbe remediation technologies for removing heavy metals and radionuclides from soil. Curr. Res. Biotechnol. 2021, 3, 84–98. [Google Scholar] [CrossRef]
 - Torsvik, V.; Ovreås, L. Microbial diversity and function in soil: From genes to ecosystems. Curr. Opin. Microbiol. 2002, 5, 240–245. [Google Scholar] [CrossRef]
 - Preethi, P.S.; Hariharan, N.M.; Vickram, S.; Rameshpathy, M.; Manikandan, S.; Subbaiya, R.; Karmegam, N.; Yadav, V.; Ravindran, B.; Chang, S.W.; et al. Advances in bioremediation of emerging contaminants from industrial wastewater by oxidoreductase enzymes. Bioresour. Technol. 2022, 359, 127444. [Google Scholar] [CrossRef]
 - Tufail, M.A.; Iltaf, J.; Zaheer, T.; Tariq, L.; Amir, M.B.; Fatima, R.; Asbat, A.; Kabeer, T.; Fahad, M.; Naeem, H.; et al. Recent advances in bioremediation of heavy metals and persistent organic pollutants: A review. Sci. Total Environ. 2022, 850, 157961. [Google Scholar] [CrossRef]
 - Magnoli, K.; Carranza, C.; Aluffi, M.; Magnoli, C.; Barberis, C. Fungal biodegradation of chlorinated herbicides: An overview with an emphasis on 2,4-D in Argentina. Biodegradation 2023, 34, 199–214. [Google Scholar] [CrossRef]
 - Van Meirvenne, M.; Meklit, T.; Verstraete, S.; De Boever, M.; Tack, F. Could shelling in the First World War have increased copper concentrations in the soil around Ypres? Eur. J. Soil Sci. 2008, 59, 372–379. [Google Scholar] [CrossRef]
 - Thouin, H.; Le Forestier, L.; Gautret, P.; Hube, D.; Laperche, V.; Dupraz, S.; Battaglia-Brunet, F. Characterization and mobility of arsenic and heavy metals in soils polluted by the destruction of arsenic-containing shells from the Great War. Sci. Total Environ. 2016, 550, 658–669. [Google Scholar] [CrossRef]
 - Tarvainen, T.; Reichel, S.; Müller, I.; Jordan, I.; Hube, D.; Eurola, M.; Loukola-Ruskeeniemi, K. Arsenic in agro-ecosystems under anthropogenic pressure in Germany and France compared to a geogenic as region in Finland. J. Geochem. Explor. 2020, 217, 106606. [Google Scholar] [CrossRef]
 - Isidori, A.; Loscocco, F.; Visani, G.; Chiarucci, M.; Musto, P.; Kubasch, A.S.; Platzbecker, U.; Vinchi, F. Iron Toxicity and Chelation Therapy in Hematopoietic Stem Cell Transplant. Transplant. Cell. Ther. 2021, 27, 371–379. [Google Scholar] [CrossRef]
 - Rojas, H.; Farrar, L. Wilson’s Disease: What does Copper have to do it? Am. J. Transplant. 2021, 21, 72. [Google Scholar]
 - Rocha, A.; Trujillo, K.A. Neurotoxicity of low-level lead exposure: History, mechanisms of action, and behavioral effects in humans and preclinical models. Neurotoxicology 2019, 73, 58–80. [Google Scholar] [CrossRef] [PubMed]
 - Mason, L.H.; Harp, J.P.; Han, D.Y. Pb Neurotoxicity: Neuropsychological Effects of Lead Toxicity. Biomed Res. Int. 2014, 2014, 840547. [Google Scholar] [CrossRef] [PubMed]
 - Paul, M. Chapter 11—Lead Toxicity in Humans: A Brief Historical Perspective and Public Health Context. In Lead and Public Health; Elsevier: Amsterdam, The Netherlands, 2011; Volume 10, pp. 401–437. [Google Scholar]
 - Cilliers, L.; Francois, R. Chapter 11—Lead Poisoning and the Downfall of Rome: Reality or Myth? In Toxicology in Antiquity, 2nd ed.; Wexler, P., Ed.; Academic Press: Cambridge, UK, 2018; pp. 118–126. [Google Scholar]
 - Hussain, S.; Khan, M.; Sheikh, T.M.M.; Mumtaz, M.Z.; Chohan, T.A.; Shamim, S.; Liu, Y.H. Zinc Essentiality, Toxicity, and Its Bacterial Bioremediation: A Comprehensive Insight. Front. Microbiol. 2022, 13, 900740. [Google Scholar] [CrossRef]
 - Emsley, J. The Elements of Murder: A History of Poison, 1st ed.; Oxford University Press Inc.: New York, NY, USA, 2005; pp. 93–115. [Google Scholar]
 - Pichtel, J. Distribution and Fate of Military Explosives and Propellants in Soil: A Review. Appl. Environ. Soil Sci. 2012, 2012, 617236. [Google Scholar] [CrossRef]
 - Gao, J.J.; Peng, R.H.; Zhu, B.; Tian, Y.S.; Xu, J.; Wang, B.; Fu, X.Y.; Han, H.J.; Wang, L.J.; Zhang, F.J.; et al. Enhanced phytoremediation of TNT and cobalt co-contaminated soil by AfSSB transformed plant. Ecotoxicol. Environ. Saf. 2021, 220, 112407. [Google Scholar] [CrossRef]
 - Baxter, C.F. The Secret History of RDX: The Super-Explosive that Helped Win World War II, 1st ed.; University Press of Kentucky: Lexington, KY, USA, 2018; pp. 1–8. [Google Scholar]
 - Urbanski, T. Chemistry and Technology of Explosives, 1st ed.; Elsevier: Amsterdam, The Netherlands, 1963; Volume 1, p. 74. [Google Scholar]
 - Yang, X.; Lai, J.L.; Li, J.; Zhang, Y.; Luo, X.G.; Han, M.W.; Zhu, Y.B.; Zhao, S.P. Biodegradation and physiological response mechanism of Bacillus aryabhattai to cyclotetramethylenete-tranitramine (HMX) contamination. J. Environ. Manag. 2021, 288, 112247. [Google Scholar] [CrossRef]
 - Hussain, I.; Aleti, G.; Naidu, R.; Puschenreiter, M.; Mahmood, Q.; Rahman, M.M.; Wang, F.; Shaheen, S.; Syed, J.H.; Reichenauer, T.G. Microbe and plant assisted-remediation of organic xenobiotics and its enhancement by genetically modified organisms and recombinant technology: A review. Sci. Total Environ. 2018, 628–629, 1582–1599. [Google Scholar] [CrossRef]
 - Desmond, I.B.; Williams, L.R. Chapter 4—Wildlife Toxicity Assessment for 1,3,5-Trinitrohexahydro-1,3,5-Triazine (RDX). In Wildlife Toxicity Assessments for Chemicals of Military Concern; Marc, A.W., Reddy, G., Quinn, M.J., Jr., Johnson, M.S., Eds.; Elsevier: Amsterdam, The Netherlands, 2015; pp. 53–86. [Google Scholar]
 - Sweeney, L.M.; Okolica, M.R.; Gut, C.P.; Gargas, M.L. Cancer mode of action, weight of evidence, and proposed cancer reference value for hexahydro-1,3,5-trinitro-1,3,5-triazine (RDX). Regul. Toxicol. Pharmacol. 2012, 64, 205–224. [Google Scholar] [CrossRef]
 - Halasz, A.; Manno, D.; Perreault, N.N.; Sabbadin, F.; Bruce, N.C.; Hawari, J. Biodegradation of RDX Nitroso Products MNX and TNX by Cytochrome P450 XplA. Environ. Sci. Technol. 2012, 46, 7245–7251. [Google Scholar] [CrossRef]
 - Chatterjee, S.; Deb, U.; Datta, S.; Walther, C.; Gupta, D.K. Common explosives (TNT, RDX, HMX) and their fate in the environment: Emphasizing bioremediation. Chemosphere 2017, 184, 438–451. [Google Scholar] [CrossRef] [PubMed]
 - Jeong, S.W.; An, Y.J. Derivation of site-specific surface water quality criteria for the protection of aquatic ecosystems near a Korean military training facility. Environ. Sci. Pollut. Res. 2014, 21, 141–147. [Google Scholar] [CrossRef] [PubMed]
 - Khan, M.A.; Sharma, A.; Yadav, S.; Celin, S.M.; Sharma, S. A sketch of microbiological remediation of explosives-contaminated soil focused on state of art and the impact of technological advancement on hexahydro-1,3,5-trinitro-1,3,5-triazine (RDX) degradation. Chemosphere 2022, 294, 133641. [Google Scholar] [CrossRef] [PubMed]
 - Ito, E.; Miura, S.; Aoyama, M.; Shichi, K. Global 137Cs fallout inventories of forest soil across Japan and their consequences half a century later. J. Environ. Radioact. 2020, 225, 106421. [Google Scholar] [CrossRef]
 - Martin, M.; Feichert, A.; Dolven, B.; Lum, T. War Legacy Issues in Southeast Asia: Unexploded Ordnance (UXO); Library of Congress: Washington, DC, USA, 2019; p. 11. Available online: https://sgp.fas.org/crs/weapons/R45749.pdf (accessed on 20 October 2023).
 - Le, D.T.; Pham, T.M.; Polachek, S. The long-term health impact of Agent Orange: Evidence from the Vietnam War. World Dev. 2022, 155, 105813. [Google Scholar] [CrossRef]
 - Yi, S.W.; Hong, J.S.; Ohrr, H.; Yi, J.J. Agent Orange exposure and disease prevalence in Korean Vietnam veterans: The Korean veterans health study. Environ. Res. 2014, 133, 56–65. [Google Scholar] [CrossRef]
 - Chang, C.; Benson, M.; Fam, M.M. A review of Agent Orange and its associated oncologic risk of genitourinary cancers. Urol. Oncol. 2017, 35, 633–639. [Google Scholar] [CrossRef]
 - Nwanaji-Enwerem, J.C.; Jenkins, T.G.; Colicino, E.; Cardenas, A.; Baccarelli, A.A.; Boyer, E.W. Serum dioxin levels and sperm DNA methylation age: Findings in Vietnam war veterans exposed to Agent Orange. Reprod. Toxicol. 2020, 96, 27–35. [Google Scholar] [CrossRef]
 - Ovadia, A.E.; Abern, M.R.; Aronson, W.J.; Kane, C.J.; Amling, C.L.; Cooperberg, M.R.; Freedland, S.J.; Terris, M.K. Agent orange and long-term outcomes after radical prostatectomy. J. Urol. 2014, 191, E833–E834. [Google Scholar] [CrossRef]
 - Mowery, A.; Conlin, M.; Clayburgh, D. Increased risk of head and neck cancer in Agent Orange exposed Vietnam Era veterans. Oral Oncol. 2020, 100, 104483. [Google Scholar] [CrossRef] [PubMed]
 - Chang, E.T.; Boffetta, P.; Adami, H.O.; Mandel, J.S. A critical review of the epidemiology of Agent Orange or 2,3,7,8-tetrachlorodibenzo-p-dioxin and lymphoid malignancies. Ann. Epidemiol. 2015, 25, 275–292. [Google Scholar] [CrossRef] [PubMed]
 - Pham, N.T.; Nishijo, M.; Pham, T.T.; Tran, N.N.; Le, V.Q.; Tran, H.A.; Phan, H.A.V.; Nishino, Y.; Nishijo, H. Perinatal dioxin exposure and neurodevelopment of 2-year-old Vietnamese children in the most contaminated area from Agent Orange in Vietnam. Sci. Total Environ. 2019, 678, 217–226. [Google Scholar] [CrossRef] [PubMed]
 - Kim, K.H.; Kim, W.; Kang, W.Y.; Cho, S.C.; Hwang, S.H.; Kang, C.; Nam, D.I.; Jeong, I.H.; Hong, Y.J.; Park, K.H.; et al. The impact of Agent Orange on characteristics of coronary artery lesion and repeat revascularization. Int. J. Cardiol. 2014, 174, 187–189. [Google Scholar] [CrossRef]
 - GICHD. Guide to Explosive Ordnance Pollution of the Environment; Geneva International Centre for Humanitarian Demining: Geneva, Switzerland, 2021; pp. 41–88. Available online: https://www.gichd.org/fileadmin/uploads/gichd/Media/GICHD-resources/rec-documents/EO_Pollution_of_the_Environment_v17_web_01.pdf (accessed on 20 October 2023).
 - Association, W.N. Uranium and Depleted Uranium. Available online: https://world-nuclear.org/information-library/nuclear-fuel-cycle/uranium-resources/uranium-and-depleted-uranium.https://world-nuclear.org/information-library/nuclear-fuel-cycle/uranium-resources/uranium-and-depleted-uranium.aspx#:~:text=Uranium%20occurs%20naturally%20in%20the,nuclear%20reactors%20can%20be%20recycled (accessed on 22 October 2023).
 - Vellingiri, B. A deeper understanding about the role of uranium toxicity in neurodegeneration. Environ. Res. 2023, 233, 116430. [Google Scholar] [CrossRef] [PubMed]
 - Di Lella, L.A.; Frati, L.; Loppi, S.; Protano, G.; Riccobono, F. Environmental distribution of uranium and other trace elements at selected Kosovo sites. Chemosphere 2004, 56, 861–865. [Google Scholar] [CrossRef] [PubMed]
 - Sansone, U.; Danesi, P.R.; Barbizzi, S.; Belli, M.; Campbell, M.; Gaudino, S.; Jia, G.G.; Ocone, R.; Pati, A.; Rosamilia, S.; et al. Radioecological survey at selected sites hit by depleted uranium ammunitions during the 1999 Kosovo conflict. Sci. Total Environ. 2001, 281, 23–35. [Google Scholar] [CrossRef]
 - Besic, L.; Muhovic, I.; Asic, A.; Kurtovic-Kozaric, A. Meta-analysis of depleted uranium levels in the Balkan region. J. Environ. Radioact. 2017, 172, 207–217. [Google Scholar] [CrossRef]
 - Berisha, F.; Goessler, W. Uranium in Kosovo’s drinking water. Chemosphere 2013, 93, 2165–2170. [Google Scholar] [CrossRef]
 - Durante, M.; Pugliese, M. Depleted uranium residual radiological risk assessment for Kosovo sites. J. Environ. Radioact. 2003, 64, 237–245. [Google Scholar] [CrossRef]
 - Borgna, L.; Di Lella, L.A.; Nannoni, F.; Pisani, A.; Pizzetti, E.; Protano, G.; Riccobono, F.; Rossi, S. The high contents of lead in soils of northern Kosovo. J. Geochem. Explor. 2009, 101, 137–146. [Google Scholar] [CrossRef]
 - WHO. Depleted Uranium: Sources, Exposure and Health Effects; World Health Organization: Geneva, Switzerland, 2001; pp. 47–48. Available online: https://iris.who.int/bitstream/handle/10665/66930/WHO_SDE_PHE_01.1.pdf?sequence=1 (accessed on 20 October 2023).
 - Kolhe, N.; Zinjarde, S.; Acharya, C. Responses exhibited by various microbial groups relevant to uranium exposure. Biotechnol. Adv. 2018, 36, 1828–1846. [Google Scholar] [CrossRef] [PubMed]
 - Bobonis, G.J.; Stabile, M.; Tovar, L. Military training exercises, pollution, and their consequences for health. J. Health Econ. 2020, 73, 102345. [Google Scholar] [CrossRef] [PubMed]
 - Lewis, T.A.; Newcombe, D.A.; Crawford, R.L. Bioremediation of soils contaminated with explosives. J. Environ. Manag. 2004, 70, 291–307. [Google Scholar] [CrossRef] [PubMed]
 - Macdonald, J.A.; Small, M.J. Assessing sites contaminated with unexploded ordnance: Statistical modeling of ordnance spatial distribution. Environ. Sci. Technol. 2006, 40, 931–938. [Google Scholar] [CrossRef] [PubMed]
 - Sorvari, J.; Antikainen, R.; Pyy, O. Environmental contamination at Finnish shooting ranges—The scope of the problem and management options. Sci. Total Environ. 2006, 366, 21–31. [Google Scholar] [CrossRef] [PubMed]
 - Rooney, C. Contamination at Shooting Ranges. Available online: https://lead.org.au/fs/shootingranges.pdf (accessed on 22 October 2023).
 - Sanderson, P.; Naidu, R.; Bolan, N. Ecotoxicity of chemically stabilised metal(loid)s in shooting range soils. Ecotoxicol. Environ. Saf. 2014, 100, 201–208. [Google Scholar] [CrossRef]
 - Christou, A.; Hadjisterkotis, E.; Dalias, P.; Demetriou, E.; Christofidou, M.; Kozakou, S.; Michael, N.; Charalambous, C.; Hatzigeorgiou, M.; Christou, E.; et al. Lead contamination of soils, sediments, and vegetation in a shooting range and adjacent terrestrial and aquatic ecosystems: A holistic approach for evaluating potential risks. Chemosphere 2022, 292, 133424. [Google Scholar] [CrossRef]
 - Darling, C.T.R.; Thomas, V.G. The distribution of outdoor shooting ranges in Ontario and the potential for lead pollution of soil and water. Sci. Total Environ. 2003, 313, 235–243. [Google Scholar] [CrossRef]
 - Jorgensen, S.S.; Willems, M. The fate of lead in soils—The transformation of lead pellets in shooting range soils. Ambio 1987, 16, 11–15. [Google Scholar]
 - Manninen, S.; Tanskanen, N. Transfer of lead from shotgun pellets to humus and three plant species in a finnish shooting range. Arch. Environ. Contam. Toxicol. 1993, 24, 410–414. [Google Scholar] [CrossRef]
 - Cao, X.D.; Ma, L.Q.; Chen, M.; Hardison, D.W.; Harris, W.G. Weathering of lead bullets and their environmental effects at outdoor shooting ranges. J. Environ. Qual. 2003, 32, 526–534. [Google Scholar] [CrossRef] [PubMed]
 - Stansley, W.; Widjeskog, L.; Roscoe, D.E. Lead contamination and mobility in surface-water at trap and skeet ranges. Bull. Environ. Contam. Toxicol. 1992, 49, 640–647. [Google Scholar] [CrossRef] [PubMed]
 - Scheuhammer, A.M.; Norris, S.L. A review of the environmental impacts of lead shotshell ammunition and lead fishing weights in Canada. Can. Wildl. Serv. 1995, 88, 9–16. [Google Scholar]
 - Lin, Z.X.; Comet, B.; Qvarfort, U.; Herbert, R. The chemical and mineralogical behavior of Pb in shooting range soils from central Sweeden. Environ. Pollut. 1995, 89, 303–309. [Google Scholar] [CrossRef]
 - Moore, D.; Robson, G.D.; Trinci, A.P.J. 21st Century Guidebook to Fungi, 1st ed.; Cambridge University Press: Cambridge, UK, 2011; p. 4. [Google Scholar]
 - Hawksworth, D.L.; Lucking, R. Fungal Diversity Revisited: 2.2 to 3.8 Million Species. Microbiol. Spectr. 2017, 5, 1–17. [Google Scholar] [CrossRef]
 - McCarthy, C.G.P.; Fitzpatrick, D.A. Multiple Approaches to Phylogenomic Reconstruction of the Fungal Kingdom. Fungal Phylogenetics Phylogenomics 2017, 100, 211–266. [Google Scholar] [CrossRef]
 - Webster, J.; Weber, R. Introduction to Fungi, 3rd ed.; Cambridge University Press: Cambridge, UK, 2007; pp. 3–14. [Google Scholar]
 - Carlile, M.J.; Watkinson, S.C. (Eds.) Spores, Dormancy and Dispersal. In The Fungi, 2nd ed.; Academic Press: London, UK, 2001; pp. 185–243. [Google Scholar]
 - Petersen, J.H. The Kingdom of Fungi; Princeton University Press: Princeton, NJ, USA, 2013; pp. 34–45. [Google Scholar]
 - Deacon, J.W. Fungal Biology, 4th ed.; Blackwell Publishing Ltd.: Malden, MA, USA, 2006; pp. 1–15. [Google Scholar]
 - Bowman, S.M.; Free, S.J. The structure and synthesis of the fungal cell wall. Bioessays 2006, 28, 799–808. [Google Scholar] [CrossRef]
 - Fernando, L.D.; Zhao, W.; Guautam, I.; Ankur, A.; Wang, T. Polysaccharide assemblies in fungal and plant cell walls explored by solid-state NMR. Structure 2023, 31, 1375–1385. [Google Scholar] [CrossRef]
 - Free, S.J. Fungal Cell Wall Organization and Biosynthesis. Adv. Genet. 2013, 81, 33–82. [Google Scholar] [CrossRef]
 - Kang, X.; Kirui, A.; Muszynski, A.; Widanage, M.C.D.; Chen, A.; Azadi, P.; Wang, P.; Mentink-Vigier, F.; Wang, T. Molecular architecture of fungal cell walls revealed by solid-state NMR. Nat. Commun. 2018, 9, 2747. [Google Scholar] [CrossRef]
 - Deshmukh, R.; Khardenavis, A.A.; Purohit, H.J. Diverse Metabolic Capacities of Fungi for Bioremediation. Indian J. Microbiol. 2016, 56, 247–264. [Google Scholar] [CrossRef]
 - Wild, J.R.; Varfolomeyev, S.D.; Scozzafava, A. (Eds.) Perspectives in Bioremediation; Springer: Dordrecht, The Netherlands, 1997; pp. 1–12. [Google Scholar]
 - Bala, S.; Garg, D.; Thirumalesh, B.V.; Sharma, M.; Sridhar, K.; Inbaraj, B.S.; Tripathi, M. Recent Strategies for Bioremediation of Emerging Pollutants: A Review for a Green and Sustainable Environment. Toxics 2022, 10, 484. [Google Scholar] [CrossRef]
 - Singh, H. Mycoremediation: Fungal Bioremediation, 1st ed.; John Wiley & Sons Inc.: Hoboken, NJ, USA, 2006; pp. 29–75. [Google Scholar]
 - Akpasi, S.O.; Anekwe, I.M.S.; Tetteh, E.K.; Amune, U.O.; Shoyiga, H.O.; Mahlangu, T.P.; Kiambi, S.L. Mycoremediation as a Potentially Promising Technology: Current Status and Prospects—A Review. Appl. Sci. 2023, 13, 4978. [Google Scholar] [CrossRef]
 - Akhtar, N.; Amin-ul Mannan, M. Mycoremediation: Expunging environmental pollutants. Biotechnol. Rep. 2020, 26, e00452. [Google Scholar] [CrossRef]
 - Crocker, F.H.; Jung, C.M.; Indest, K.J.; Everman, S.J.; Carr, M.R. Effects of chitin and temperature on sub-Arctic soil microbial and fungal communities and biodegradation of hexahydro-1,3,5-trinitro-1,3,5-triazine (RDX) and 2,4-dinitrotoluene (DNT). Biodegradation 2019, 30, 415–431. [Google Scholar] [CrossRef]
 - Rasanpreet, K.; Gupta, S.; Tripathi, V.; Chauhan, A.; Parashar, D.; Shankar, P.; Vivek, K. Microbiome based approaches for the degradation of polycyclic aromatic hydrocarbons (PAHs): A current perception. Chemosphere 2023, 341, 139951. [Google Scholar] [CrossRef]
 - Treu, R.; Falandysz, J. Mycoremediation of hydrocarbons with basidiomycetes—A review. J. Environ. Sci. Health Part B-Pestic. Food Contam. Agric. Wastes 2017, 52, 148–155. [Google Scholar] [CrossRef]
 - Dickson, U.J.; Coffey, M.; Mortimer, R.J.G.; Di Bonito, M.; Ray, N. Mycoremediation of petroleum contaminated soils: Progress, prospects and perspectives. Environ. Sci. Process. Impacts 2019, 21, 1446–1458. [Google Scholar] [CrossRef]
 - Myazin, V.A.; Korneykova, M.V.; Chaporgina, A.A.; Fokina, N.V.; Vasilyeva, G.K. The Effectiveness of Biostimulation, Bioaugmentation and Sorption-Biological Treatment of Soil Contaminated with Petroleum Products in the Russian Subarctic. Microorganisms 2021, 9, 1722. [Google Scholar] [CrossRef]
 - Mayans, B.; Camacho-Arévalo, R.; García-Delgado, C.; Alcántara, C.; Nägele, N.; Antón-Herrero, R.; Escolastico, C.; Eymar, E. Mycoremediation of Soils Polluted with Trichloroethylene: First Evidence of Pleurotus Genus Effectiveness. Appl. Sci. 2021, 11, 1354. [Google Scholar] [CrossRef]
 - Harms, H.; Schlosser, D.; Wick, L.Y. Untapped potential: Exploiting fungi in bioremediation of hazardous chemicals. Nat. Rev. Microbiol. 2011, 9, 177–192. [Google Scholar] [CrossRef]
 - Germain, J.; Raveton, M.; Binet, M.N.; Mouhamadou, B. Potentiality of Native Ascomycete Strains in Bioremediation of Highly Polychlorinated Biphenyl Contaminated Soils. Microorganisms 2021, 9, 612. [Google Scholar] [CrossRef]
 - Pradeep, S.; Benjamin, S. Mycelial fungi completely remediate di(2-ethylhexyl)phthalate, the hazardous plasticizer in PVC blood storage bag. J. Hazard. Mater. 2012, 235, 69–77. [Google Scholar] [CrossRef]
 - Kaewlaoyoong, A.; Chen, J.R.; Cheng, C.Y.; Lin, C.; Cheruiyot, N.K.; Sriprom, P. Innovative mycoremediation technique for treating unsterilized PCDD/F-contaminated field soil and the exploration of chlorinated metabolites. Environ. Pollut. 2021, 289, 117869. [Google Scholar] [CrossRef]
 - Kaur, P.; Balomajumder, C. Effective mycoremediation coupled with bioaugmentation studies: An advanced study on newly isolated Aspergillus sp. in Type-II pyrethroid-contaminated soil. Environ. Pollut. 2020, 261, 114073. [Google Scholar] [CrossRef]
 - Noman, E.; Talip, B.A.; Al-Gheethi, A.; Mohamed, R.; Nagao, H. Decolourisation of dyes in greywater by mycoremediation and mycosorption process of fungi from peatland; primary study. Mater. Today Proc. 2020, 31, 23–30. [Google Scholar] [CrossRef]
 - Baran, W.; Adamek, E.; Wlodarczyk, A.; Lazur, J.; Opoka, W.; Muszynska, B. The remediation of sulfonamides from the environment by Pleurotus eryngii mycelium. Efficiency, products and mechanisms of mycodegradation. Chemosphere 2021, 262, 128026. [Google Scholar] [CrossRef]
 - Chakraborty, P.; Abraham, J. Comparative study on degradation of norfloxacin and ciprofloxacin by Ganoderma lucidum JAPC1. Korean J. Chem. Eng. 2017, 34, 1122–1128. [Google Scholar] [CrossRef]
 - Ali, A.; Guo, D.; Mahar, A.; Wang, P.; Shen, F.; Li, R.H.; Zhang, Z.Q. Mycoremediation of Potentially Toxic Trace Elements a Biological Tool for Soil Cleanup: A Review. Pedosphere 2017, 27, 205–222. [Google Scholar] [CrossRef]
 - Akgul, A.; Ohno, K.M. Mycoremediation of Copper: Exploring the Metal Tolerance of Brown Rot Fungi. Bioresources 2018, 13, 7155–7171. [Google Scholar] [CrossRef]
 - Bandurska, K.; Krupa, P.; Berdowska, A.; Jatulewicz, I.; Zawierucha, I. Mycoremediation of soil contaminated with cadmium and lead by Trichoderma sp. Ecol. Chem. Eng. S 2021, 28, 277–286. [Google Scholar] [CrossRef]
 - Kumar, V.; Dwivedi, S.K. Mycoremediation of heavy metals: Processes, mechanisms, and affecting factors. Environ. Sci. Pollut. Res. 2021, 28, 10375–10412. [Google Scholar] [CrossRef]
 - Butnaru, E.; Agoroaci, L.; Mircea, C.; Crivoi, F.; Chinan, V.; Tanase, C.; SGEM. Concentration of metal in mushrooms with potential mycoremediation of soil. In Proceedings of the SGEM 2008: 8th International Scientific Conference, Albena, Bulgaria, 16–20 June 2008; Volume II, pp. 91–98. [Google Scholar]
 - Kumar, A.; Yadav, A.N.; Mondal, R.; Kour, D.; Subrahmanyam, G.; Shabnam, A.A.; Khan, S.A.; Yadav, K.K.; Sharma, G.K.; Cabral-Pinto, M.; et al. Myco-remediation: A mechanistic understanding of contaminants alleviation from natural environment and future prospect. Chemosphere 2021, 284, 131325. [Google Scholar] [CrossRef]
 - Yadav, P.; Rai, S.N.; Mishra, V.; Singh, M.P. Mycoremediation of environmental pollutants: A review with special emphasis on mushrooms. Environ. Sustain. 2021, 4, 605–618. [Google Scholar] [CrossRef]
 - Hassan, A.; Pariatamby, A.; Ahmed, A.; Auta, H.S.; Hamid, F.S. Enhanced Bioremediation of Heavy Metal Contaminated Landfill Soil Using Filamentous Fungi Consortia: A Demonstration of Bioaugmentation Potential. Water Air Soil Pollut. 2019, 230, 215. [Google Scholar] [CrossRef]
 - Hassan, A.; Pariatamby, A.; Ossai, I.C.; Hamid, F.S. Bioaugmentation assisted mycoremediation of heavy metal and/metalloid landfill contaminated soil using consortia of filamentous fungi. Biochem. Eng. J. 2020, 157, 107550. [Google Scholar] [CrossRef]
 - Pereira, M.d.G.; dos Santos, A.V.; Geris, R.; Malta, M. Chapter 2—Advanced fungal bio-based materials for remediation of toxic metals in aquatic ecosystems. In Novel Materials for Environmental Remediation Applications; Giannakoudakis, D.A., Meili, L., Anastopoulos, I., Eds.; Elsevier: Amsterdam, The Netherlands, 2023; pp. 35–62. [Google Scholar]
 - Kapoor, A.; Viraraghavan, T.; Cullimore, D.R. Removal of heavy metals using the fungus Aspergillus niger. Bioresour. Technol. 1999, 70, 95–104. [Google Scholar] [CrossRef]
 - Atlas, R.M.; Philp, J.C. (Eds.) Bioremediation: Applied Microbial Solutions for Real-World Environmental Cleanup; ASM Press: Washington, DC, USA, 2005; p. 165. [Google Scholar]
 - Azubuike, C.C.; Chikere, C.B.; Okpokwasili, G.C. Bioremediation techniques-classification based on site of application: Principles, advantages, limitations and prospects. World J. Microbiol. Biotechnol. 2016, 32, 180. [Google Scholar] [CrossRef]
 - Carlos, F.S.; Giovanella, P.; Bavaresco, J.; Borges, C.D.; Camargo, F.A.D. A Comparison of Microbial Bioaugmentation and Biostimulation for Hexavalent Chromium Removal from Wastewater. Water Air Soil Pollut. 2016, 227, 175. [Google Scholar] [CrossRef]
 - Silva, E.; Fialho, A.M.; Sá-Correia, I.; Burns, R.G.; Shaw, L.J. Combined bioaugmentation and biostimulation to cleanup soil contaminated with high concentrations of atrazine. Environ. Sci. Technol. 2004, 38, 632–637. [Google Scholar] [CrossRef]
 - Tyagi, M.; da Fonseca, M.M.R.; de Carvalho, C. Bioaugmentation and biostimulation strategies to improve the effectiveness of bioremediation processes. Biodegradation 2011, 22, 231–241. [Google Scholar] [CrossRef]
 - Davis, M.W.; Glaser, J.A.; Evans, J.W.; Lamar, R.T. Field-Evaluation of the lignin-degrading fungus Phanerochaete-sordida to treat creosote-contaminated soil. Environ. Sci. Technol. 1993, 27, 2572–2576. [Google Scholar] [CrossRef]
 - Huang, C.; Zeng, G.M.; Huang, D.L.; Lai, C.; Xu, P.; Zhang, C.; Cheng, M.; Wan, J.; Hu, L.; Zhang, Y. Effect of Phanerochaete chrysosporium inoculation on bacterial community and metal stabilization in lead-contaminated agricultural waste composting. Bioresour. Technol. 2017, 243, 294–303. [Google Scholar] [CrossRef]
 - Ahtiainen, J.; Valo, R.; Järvinen, M.; Joutti, A. Microbial toxicity tests and chemical analysis as monitoring parameters at composting of creosote-contaminated soil. Ecotoxicol. Environ. Saf. 2002, 53, 323–329. [Google Scholar] [CrossRef]
 - Gadd, G.M. Interactions of fungi with toxic metals. New Phytol. 1993, 124, 25–60. [Google Scholar] [CrossRef]
 - Volesky, B. Detoxification of metal-bearing effluents: Biosorption for the next century. Hydrometallurgy 2001, 59, 203–216. [Google Scholar] [CrossRef]
 - Brazesh, B.; Mousavi, S.M.; Zarei, M.; Ghaedi, M.; Bahrani, S.; Seyyed Alireza, H. Chapter 9—Biosorption. In Adsorption: Fundamental Processes and Applications; Mehrorang, G., Ed.; Elsevier: Amsterdam, The Netherlands, 2021; Volume 33, pp. 587–628. [Google Scholar]
 - Sharma, P.; Tripathi, S.; Chaturvedi, P.; Chaurasia, D.; Chandra, R. Newly isolated Bacillus sp. PS-6 assisted phytoremediation of heavy metals using Phragmites communis: Potential application in wastewater treatment. Bioresour. Technol. 2021, 320, 124353. [Google Scholar] [CrossRef]
 - Elgarahy, A.M.; Elwakeel, K.Z.; Mohammad, S.H.; Elshoubaky, G.A. A critical review of biosorption of dyes, heavy metals and metalloids from wastewater as an efficient and green process. Clean. Eng. Technol. 2021, 4, 100209. [Google Scholar] [CrossRef]
 - Wang, J.L.; Chen, C. Biosorbents for heavy metals removal and their future. Biotechnol. Adv. 2009, 27, 195–226. [Google Scholar] [CrossRef]
 - Brito, G.F.M.; Geris, R.; Passos, M.S.; Malta, M.; Ribeiro, J.N.; Licínio, M.; Freitas, D.C.; dos Santos, A.V.; Santos, T.S.M.; Ribeiro, A.; et al. Mycoremediation of Cd2+ and Pb2+ from Aqueous Media by Dead Biomass of Phialomyces macrosporus. Water Air Soil Pollut. 2021, 232, 482. [Google Scholar] [CrossRef]
 - Hansda, A.; Kumar, V.; Anshumali. A comparative review towards potential of microbial cells for heavy metal removal with emphasis on biosorption and bioaccumulation. World J. Microbiol. Biotechnol. 2016, 32, 170. [Google Scholar] [CrossRef]
 - Nivetha, N.; Srivarshine, B.; Sowmya, B.; Rajendiran, M.; Saravanan, P.; Rajeshkannan, R.; Rajasimman, M.; Pham, T.H.T.; Shanmugam, V.; Dragoi, E.N. A comprehensive review on bio-stimulation and bio-enhancement towards remediation of heavy metals degeneration. Chemosphere 2023, 312, 137099. [Google Scholar] [CrossRef]
 - Bilal, M.; Rasheed, T.; Sosa-Hernández, J.E.; Raza, A.; Nabeel, F.; Iqbal, H.M.N. Biosorption: An Interplay between Marine Algae and Potentially Toxic Elements—A Review. Mar. Drugs 2018, 16, 65. [Google Scholar] [CrossRef]
 - Chojnacka, K. Biosorption and bioaccumulation—The prospects for practical applications. Environ. Int. 2010, 36, 299–307. [Google Scholar] [CrossRef]
 - Ghosh, S.; Rusyn, I.; Dmytruk, O.V.; Dmytruk, K.V.; Onyeaka, H.; Gryzenhout, M.; Gafforov, Y. Filamentous fungi for sustainable remediation of pharmaceutical compounds, heavy metal and oil hydrocarbons. Front. Bioeng. Biotechnol. 2023, 11, 1106973. [Google Scholar] [CrossRef]
 - Eccles, H. Removal of heavy-metals from effluent streams—Why select a biological process. Int. Biodeterior. Biodegrad. 1995, 35, 5–16. [Google Scholar] [CrossRef]
 - Gadd, G.M. Metals and microorganisms—A problem of definition. FEMS Microbiol. Lett. 1992, 100, 197–203. [Google Scholar] [CrossRef]
 - Gadd, G.M. Microbial influence on metal mobility and application for bioremediation. Geoderma 2004, 122, 109–119. [Google Scholar] [CrossRef]
 - Hassler, C.S.; Slaveykova, V.I.; Wilkinson, K.J. Discriminating between intra- and extracellular metals using chemical extractions. Limnol. Oceanogr. Methods 2004, 2, 237–247. [Google Scholar] [CrossRef]
 - El-Bondkly, A.M.A.; El-Gendy, M. Bioremoval of some heavy metals from aqueous solutions by two different indigenous fungi Aspergillus sp. AHM69 and Penicillium sp. AHM96 isolated from petroleum refining wastewater. Heliyon 2022, 8, e09854. [Google Scholar] [CrossRef]
 - Singh, A.K.; Bilal, M.; Iqbal, H.M.N.; Meyer, A.S.; Raj, A. Bioremediation of lignin derivatives and phenolics in wastewater with lignin modifying enzymes: Status, opportunities and challenges. Sci. Total Environ. 2021, 777, 145988. [Google Scholar] [CrossRef] [PubMed]
 - Dhagat, S.; Jujjavarapu, S.E. Utility of lignin-modifying enzymes: A green technology for organic compound mycodegradation. J. Chem. Technol. Biotechnol. 2022, 97, 343–358. [Google Scholar] [CrossRef]
 - Bumpus, J.A.; Kakar, S.N.; Coleman, R.D. Fungal degradation of organophosphorus inseticides. Appl. Biochem. Biotechnol. 1993, 39, 715–726. [Google Scholar] [CrossRef]
 - Lamar, R.T.; Evans, J.W.; Glaser, J.A. Solid-phase treatment of a pentachlorophenol-contaminated soil using lignin-degrading fungi. Environ. Sci. Technol. 1993, 27, 2566–2571. [Google Scholar] [CrossRef]
 - Sharma, R.; Jasrotia, T.; Kumar, R.; Alothman, A.A.; Al-Anazy, M.M.; Alqahtani, K.N.; Umar, A. Multi-biological combined system: A mechanistic approach for removal of multiple heavy metals. Chemosphere 2021, 276, 130018. [Google Scholar] [CrossRef]
 - Nuñez, W.E.; Sotomayor, D.A.; Ballardo, C.V.; Herrera, E. Fungal biomass potential: Production and bioremediation mechanisms of heavy metals from municipal organic solid waste compost. Sci. Agropecu. 2023, 14, 79–91. [Google Scholar] [CrossRef]
 - Chaurasia, P.K.; Nagraj; Sharma, N.; Kumari, S.; Yadav, M.; Singh, S.; Mani, A.; Yadava, S.; Bharati, S.L. Fungal assisted bio-treatment of environmental pollutants with comprehensive emphasis on noxious heavy metals: Recent updates. Biotechnol. Bioeng. 2023, 120, 57–81. [Google Scholar] [CrossRef]
 - Fernando, T.; Aust, S.D. Biodegradation of munition waste, TNT (2,4,6-trinitrotoluene), and RDX (Hexahydro-1,3,5-trinitro-triazine) by Phanerochaete chrysosporium. ACS Symp. Ser. 1991, 468, 214–232. [Google Scholar]
 - Bennett, J.W. Prospects for Fungal Bioremediation of TNT Munition Waste. Int. Biodeterior. Biodegrad. 1994, 34, 21–34. [Google Scholar] [CrossRef]
 - Bayman, P.; Ritchey, S.D.; Bennett, J.W. Fungal interactions with the explosive RDX (hexahydro-1,3,5-trinitro-1,3,3-triazine). J. Ind. Microbiol. 1995, 15, 418–423. [Google Scholar] [CrossRef]
 - Scheibner, E.; Hofrichter, M.; Herre, A.; Michels, J.; Fritsche, W. Screening for fungi intensively mineralizing 2,4,6-trinitrotoluene. Appl. Microbiol. Biotechnol. 1997, 47, 452–457. [Google Scholar] [CrossRef]
 - Nyanhongo, G.S.; Erlacher, A.; Schroeder, M.; Gübitz, G.A. Enzymatic immobilization of 2,4,6-trinitrotoluene (TNT) biodegradation products onto model humic substances. Enzym. Microb. Technol. 2006, 39, 1197–1204. [Google Scholar] [CrossRef]
 - Scheibner, K.; Hofrichter, M. Conversion of aminonitrotoluenes by fungal manganese peroxidase. J. Basic Microbiol. 1998, 38, 51–59. [Google Scholar] [CrossRef]
 - Esteve-Núñez, A.; Caballero, A.; Ramos, J.L. Biological degradation of 2,4,6-trinitrotoluene. Microbiol. Mol. Biol. Rev. 2001, 65, 335–352. [Google Scholar] [CrossRef]
 - Eilers, A.; Rüngeling, E.; Stündl, U.M.; Gottschalk, G. Metabolism of 2,4,6-trinitrotoluene by the white-rot fungus Bjerkandera adusta DSM 3375 depends on cytochrome P-450. Appl. Microbiol. Biotechnol. 1999, 53, 75–80. [Google Scholar] [CrossRef]
 - Donnelly, K.C.; Chen, J.C.; Huebner, H.J.; Brown, K.W.; Autenrieth, R.L.; Bonner, J.S. Utility of four strains of white-rot fungi for the detoxification of 2,4,6-trinitrotoluene in liquid culture. Environ. Toxicol. Chem. 1997, 16, 1105–1110. [Google Scholar] [CrossRef]
 - Anasonye, F.; Winquist, E.; Räsänen, M.; Kontro, J.; Björklöf, K.; Vasilyeva, G.; Jorgensen, K.S.; Steffen, K.T.; Tuomela, M. Bioremediation of TNT contaminated soil with fungi under laboratory and pilot scale conditions. Int. Biodeterior. Biodegrad. 2015, 105, 7–12. [Google Scholar] [CrossRef]
 - Kim, H.Y.; Song, H.G. Comparison of 2,4,6-trinitrotoluene degradation by seven strains of white rot fungi. Curr. Microbiol. 2000, 41, 317–320. [Google Scholar] [CrossRef]
 - Kutateladze, L.; Zakariashvili, N.; Khokhashvili, I.; Jobava, M.; Alexidze, T.; Urushadze, T.; Kvesitadze, E. Fungal elimination of 2,4,6-trinitrotoluene (TNT) from the soils. EuroBiotech J. 2018, 2, 39–46. [Google Scholar] [CrossRef]
 - Castellanos, J.; Rios-Velazquez, C.; Morales, F.; Miranda-Berrocales, V.; Liquet-Gonzalez, J.; Cortez, I.; Padilla, R.; Vega-Olivencia, C.A.; Hernández-Rivera, S.P. Cyclic voltammetry as a screening tool for the fungal degradation of 2,4,6-trinitrotoluene in aqueous media. Int. J. Environ. Anal. Chem. 2016, 96, 978–989. [Google Scholar] [CrossRef]
 - Kaplan, D.L.; Kaplan, A.M. Thermophilic biotransformations of 2,4,6-trinitrotoluene under simulated composting conditions. Appl. Environ. Microbiol. 1982, 44, 757–760. [Google Scholar] [CrossRef] [PubMed]
 - Alothman, Z.A.; Bahkali, A.H.; Elgorban, A.M.; Al-Otaibi, M.S.; Ghfar, A.A.; Gabr, S.A.; Wabaidur, S.M.; Habila, M.A.; Ahmed, A. Bioremediation of Explosive TNT by Trichoderma viride. Molecules 2020, 25, 1393. [Google Scholar] [CrossRef] [PubMed]
 - Galanda, D.; Mátel, L.; Strisovská, J.; Dulanská, S. Mycoremediation: The study of transfer factor for plutonium and americium uptake from the ground. J. Radioanal. Nucl. Chem. 2014, 299, 1411–1416. [Google Scholar] [CrossRef]
 - Gargarello, R.; Cavalitto, S.; Di Gregorio, D.; Niello, J.F.; Huck, H.; Pardo, A.; Somacal, H.; Curutchet, G. Characterization of uranium(VI) sorption by two environmental fungal species using gamma spectrometry. Environ. Technol. 2008, 29, 1341–1348. [Google Scholar] [CrossRef]
 - Liang, X.J.; Hillier, S.; Pendlowski, H.; Gray, N.; Ceci, A.; Gadd, G.M. Uranium phosphate biomineralization by fungi. Environ. Microbiol. 2015, 17, 2064–2075. [Google Scholar] [CrossRef]
 - Coelho, E.; Reis, T.A.; Cotrim, M.; Mullan, T.K.; Corrêa, B. Resistant fungi isolated from contaminated uranium mine in Brazil shows a high capacity to uptake uranium from water. Chemosphere 2020, 248, 126068. [Google Scholar] [CrossRef]
 - Coelho, E.; Reis, T.A.; Cotrim, M.; Rizzutto, M.; Corrêa, B. Bioremediation of water contaminated with uranium using Penicillium piscarium. Biotechnol. Prog. 2020, 36, e30322. [Google Scholar] [CrossRef]
 - Pereira, J.C.V.; Raza, G.; Jenske, G.; Pereyra, L.; Serbent, M.P. Removal of 2,4-D herbicide from aqueous solution by Pleurotus ostreatus. Braz. J. Chem. Eng. 2023. [Google Scholar] [CrossRef]
 - Vroumsia, T.; Steiman, R.; Seigle-Murandi, F.; Benoit-Guyod, J.L.; Groupe pour l’Etude du Devenir des Xénobiotiques dans l’Environment. Fungal bioconversion of 2,4-dichlorophenoxyacetic acid (2,4-D) and 2,4-dichlorophenol (2,4-DCP). Chemosphere 2005, 60, 1471–1480. [Google Scholar] [CrossRef]
 - Benoit, P.; Barriuso, E.; Calvet, R. Biosorption characterization of herbicides, 2,4-D and atrazine, and two chlorophenols on fungal mycelium. Chemosphere 1998, 37, 1271–1282. [Google Scholar] [CrossRef]
 - Itoh, K.; Kinoshita, M.; Morishita, S.; Chida, M.; Suyama, K. Characterization of 2,4-dichlorophenoxyacetic acid and 2,4,5-trichlorophenoxyacetic acid-degrading fungi in Vietnamese soils. FEMS Microbiol. Ecol. 2013, 84, 124–132. [Google Scholar] [CrossRef] [PubMed]
 - Nguyen, T.L.A.; Dao, A.T.N.; Dang, H.T.C.; Koekkoek, J.; Brouwer, A.; de Boer, T.E.; van Spanning, R.J.M. Degradation of 2,4-dichlorophenoxyacetic acid (2,4-D) and 2,4,5-trichlorophenoxyacetic acid (2,4,5-T) by fungi originating from Vietnam. Biodegradation 2022, 33, 301–316. [Google Scholar] [CrossRef] [PubMed]
 - Bhosle, N.P.; Thore, A.S. Biodegradation of the Herbicide 2,4-D by Some Fungi. Am.-Eurasian J. Agric. Environ. Sci. 2016, 16, 1666–1671. [Google Scholar] [CrossRef]
 - Ferreira-Guedes, S.; Mendes, B.; Leitão, A.L. Degradation of 2,4-dichlorophenoxyacetic acid by a halotolerant strain of Penicillium chrysogenum: Antibiotic production. Environ. Technol. 2012, 33, 677–686. [Google Scholar] [CrossRef]
 - Nykiel-Szymanska, J.; Stolarek, P.; Bernat, P. Elimination and detoxification of 2,4-D by Umbelopsis isabellina with the involvement of cytochrome P450. Environ. Sci. Pollut. Res. 2018, 25, 2738–2743. [Google Scholar] [CrossRef]
 - Dao, A.T.N.; Vonck, J.; Janssens, T.K.S.; Dang, H.T.C.; Brouwer, A.; de Boer, T.E. Screening white-rot fungi for bioremediation potential of 2,3,7,8-tetrachlorodibenzo-p-dioxin. Ind. Crops Prod. 2019, 128, 153–161. [Google Scholar] [CrossRef]
 - Ceci, A.; Spinelli, V.; Massimi, L.; Canepari, S.; Persiani, A.M. Fungi and Arsenic: Tolerance and Bioaccumulation by Soil Saprotrophic Species. Appl. Sci. 2020, 10, 3218. [Google Scholar] [CrossRef]
 - Chan, W.K.; Wildeboer, D.; Garelick, H.; Purchase, D. Competition of As and other Group 15 elements for surface binding sites of an extremophilic Acidomyces acidophilus isolated from a historical tin mining site. Extremophiles 2018, 22, 795–809. [Google Scholar] [CrossRef]
 - Singh, M.; Srivastava, P.K.; Verma, P.C.; Kharwar, R.N.; Singh, N.; Tripathi, R.D. Soil fungi for mycoremediation of arsenic pollution in agriculture soils. J. Appl. Microbiol. 2015, 119, 1278–1290. [Google Scholar] [CrossRef]
 - Urík, M.; Cernansky, S.; Sevc, J.; Simonovicová, A.; Littera, P. Biovolatilization of arsenic by different fungal strains. Water Air Soil Pollut. 2007, 186, 337–342. [Google Scholar] [CrossRef]
 - Cernansky, S.; Urík, M.; Sevc, J.; Khun, M. Biosorption and biovolatilization of arsenic by heat-resistant fungi. Environ. Sci. Pollut. Res. 2007, 14, 31–35. [Google Scholar] [CrossRef] [PubMed]
 - Tanvi, D.A.; Pratam, K.M.; Lohit, R.T.; Vijayalakshmi, B.K.; Devaraja, T.N.; Vasudha, M.; Ramesh, A.; Chakra, P.S.; Gayathri, D. Biosorption of heavy metal arsenic from Industrial Sewage of Davangere District, Karnataka, India, using indigenous fungal isolates. SN Appl. Sci. 2020, 2, 1860. [Google Scholar] [CrossRef]
 - Kamal, N.; Parshad, J.; Saharan, B.S.; Kayasth, M.; Mudgal, V.; Duhan, J.S.; Mandal, B.S.; Sadh, P.K. Ecosystem Protection through Myco-Remediation of Chromium and Arsenic. J. Xenobiotics 2023, 13, 159–171. [Google Scholar] [CrossRef] [PubMed]
 - Feng, Q.F.; Su, S.M.; Zeng, X.B.; Zhang, Y.Z.; Li, L.F.; Bai, L.Y.; Duan, R.; Lin, Z.L. Arsenite Resistance, Accumulation, and Volatilization Properties of Trichoderma asperellum SM-12F1, Penicillium janthinellum SM-12F4, and Fusarium oxysporum CZ-8F1. Clean-Soil Air Water 2015, 43, 141–146. [Google Scholar] [CrossRef]
 - Su, S.M.; Zeng, X.B.; Bai, L.Y.; Li, L.F.; Duan, R. Arsenic biotransformation by arsenic-resistant fungi Trichoderma asperellum SM-12F1, Penicillium janthinellum SM-12F4, and Fusarium oxysporum CZ-8F1. Sci. Total Environ. 2011, 409, 5057–5062. [Google Scholar] [CrossRef]
 - Srivastava, P.K.; Vaish, A.; Dwivedi, S.; Chakrabarty, D.; Singh, N.; Tripathi, R.D. Biological removal of arsenic pollution by soil fungi. Sci. Total Environ. 2011, 409, 2430–2442. [Google Scholar] [CrossRef]
 - Nam, I.H.; Murugesan, K.; Ryu, J.; Kim, J.H. Arsenic (As) Removal Using Talaromyces sp. KM-31 Isolated from As-Contaminated Mine Soil. Minerals 2019, 9, 568. [Google Scholar] [CrossRef]
 - Morales-Mendoza, A.G.; Flores-Trujillo, A.K.I.; Ramírez-Castillo, J.A.; Gallardo-Hernández, S.; Rodríguez-Vázquez, R. Effect of Micro-Nanobubbles on Arsenic Removal by Trichoderma atroviride for Bioscorodite Generation. J. Fungi 2023, 9, 857. [Google Scholar] [CrossRef]
 - Baldrian, P.; Valaskova, V. Degradation of cellulose by basidiomycetous fungi. FEMS Microbiol. Rev. 2008, 32, 501–521. [Google Scholar] [CrossRef]
 - Semple, K.T.; Reid, B.J.; Fermor, T.R. Impact of composting strategies on the treatment of soils contaminated with organic pollutants. Environ. Pollut. 2001, 112, 269–283. [Google Scholar] [CrossRef] [PubMed]
 - Chaudhary, D.K.; Kim, J. New insights into bioremediation strategies for oil-contaminated soil in cold environments. Int. Biodeterior. Biodegrad. 2019, 142, 58–72. [Google Scholar] [CrossRef]
 - In, B.H.; Park, J.S.; Namkoong, W.; Kim, J.D.; Ko, B.I. Effect of sewage sludge mixing ratio on composting of TNT-contaminated soil. J. Ind. Eng. Chem. 2007, 13, 190–197. [Google Scholar]
 - Tuomela, M.; Jørgensen, K.; Winquist, E.; Björklöf, K.; Schultz; Anasonye, F.; Häkkinen; Räsänen, M.; Sorvari, J.; Hartikainen; et al. Mycoremediation of contaminated soil in field scale. Environ. Eng. Manag. J. 2012, 11, S38. Available online: http://www.eemj.icpm.tuiasi.ro/pdfs/vol11/no3_supl/S_1_3_pdf/74_051_11162.pdf (accessed on 30 October 2023).
 - Nancy Collins, J. CL-20 Sensitivity Round Robin. 2003. Available online: https://apps.dtic.mil/sti/pdfs/ADA415096.pdf (accessed on 3 November 2023).
 - Wang, H.; Xu, Y.B.; Wen, M.J.; Wang, W.; Chu, Q.Z.; Yan, S.; Xu, S.L.; Chen, D.P. Kinetic modeling of CL-20 decomposition by a chemical reaction neural network. J. Anal. Appl. Pyrolysis 2023, 169, 105860. [Google Scholar] [CrossRef]
 - Fernandez de la Ossa, M.A.; Torre, M.; García-Ruiz, C. Nitrocellulose in propellants: Characteristics and thermal properties. In Advances in Materials Science Research; Nova Science: Hauppauge, NY, USA, 2012; pp. 201–220. [Google Scholar]
 - Liaquat, F.; Haroon, U.; Munis, M.F.H.; Arif, S.; Khizar, M.; Ali, W.; Che, S.Q.; Liu, Q.L. Efficient recovery of metal tolerant fungi from the soil of industrial area and determination of their biosorption capacity. Environ. Technol. Innov. 2021, 21, 101237. [Google Scholar] [CrossRef]
 - Traxler, L.; Wollenberg, A.; Steinhauser, G.; Chyzhevskyi, I.; Dubchak, S.; Grossmann, S.; Günther, A.; Gupta, D.K.; Iwannek, K.H.; Kirieiev, S.; et al. Survival of the basidiomycete Schizophyllum commune in soil under hostile environmental conditions in the Chernobyl Exclusion Zone. J. Hazard. Mater. 2021, 403, 124002. [Google Scholar] [CrossRef]
 - Rajendran, S.; Priya, T.A.K.; Khoo, K.S.; Hoang, T.K.A.; Ng, H.S.; Munawaroh, H.S.H.; Karaman, C.; Orooji, Y.; Show, P.L. A critical review on various remediation approaches for heavy metal contaminants removal from contaminated soils. Chemosphere 2022, 287, 132369. [Google Scholar] [CrossRef]
 - Hidalgo, J.; Epelde, L.; Anza, M.; Becerril, J.M.; Garbisu, C. Mycoremediation with Agaricus bisporus and Pleurotus ostreatus growth substrates versus phytoremediation with Festuca rubra and Brassica sp. for the recovery of a Pb and γ-HCH contaminated soil. Chemosphere 2023, 327, 138538. [Google Scholar] [CrossRef]
 - Chen, M.M.; Zheng, X.; Chen, L.; Li, X.F. Cadmium-Resistant Oyster Mushrooms from North China for Mycoremediation. Pedosphere 2018, 28, 848–855. [Google Scholar] [CrossRef]
 - Adenipekun, C.O.; Lawal, R. Uses of mushrooms in bioremediation: A review. Biotechnol. Mol. Biol. Rev. 2012, 7, 62–68. [Google Scholar] [CrossRef]
 - Spiker, J.K.; Crawford, D.L.; Crawford, R.L. Influence of 2,4,6-trinitrotoluene (TNT) concentration on the degradation of TNT in explosive-contaminated soils by the white rot fungus Phanerochaete chrysosporium. Appl. Environ. Microbiol. 1992, 58, 3199–3202. [Google Scholar] [CrossRef] [PubMed]
 - Strigul, N.; Braida, W.; Christodoulatos, C.; Balas, W.; Nicolich, S. The assessment of the energetic compound 2,4,6,8,10,12-hexanitro-2,4,6,8,10,12-hexaazaisowurtzitane (CL-20) degradability in soil. Environ. Pollut. 2006, 139, 353–361. [Google Scholar] [CrossRef]
 - Bradley, P.M.; Chapelle, F.H.; Landmeyer, J.E.; Schumacher, J.G. Microbial transformation of nitroaromatics in surface soils and aquifer materials. Appl. Environ. Microbiol. 1994, 60, 2170–2175. [Google Scholar] [CrossRef]
 - Bradley, P.M.; Chapelle, F.H. Factors affecting microbial 2,4,6-trinitrotoluene mineralization in contaminated soil. Environ. Sci. Technol. 1995, 29, 802–806. [Google Scholar] [CrossRef]
 - Axtell, C.; Johnston, C.G.; Bumpus, J.A. Bioremediation of soil contaminated with explosives at the Naval Weapons Station Yorktown. Soil Sediment Contam. 2000, 9, 537–548. [Google Scholar] [CrossRef]
 - Funk, S.B.; Roberts, D.J.; Crawford, D.L.; Crawford, R.L. Initial-phase optimization for bioremediation of munition compound-contaminated soils. Appl. Environ. Microbiol. 1993, 59, 2171–2177. [Google Scholar] [CrossRef]
 - Isbister, J.D.; Anspach, G.L.; Kitchens, J.F.; Doyle, R.C. Composting for decontamination of soils containing explosives. Microbiologic 1984, 7, 47–73. [Google Scholar]
 - Breitung, J.; BrunsNagel, D.; Steinbach, K.; Kaminski, L.; Gemsa, D.; von Low, E. Bioremediation of 2,4,6-trinitrotoluene-contaminated soils by two different aerated compost systems. Appl. Microbiol. Biotechnol. 1996, 44, 795–800. [Google Scholar] [CrossRef]
 - United States Environmental Protection Agency. Innovative Uses of Compost: Composting of Soils Contaminated by Explosives; United States Environmental Protection Agency: Washington, DC, USA, 1997; pp. 1–4. [Google Scholar]
 - Pennington, J.C.; Hayes, C.A.; Myers, K.F.; Ochman, M.; Gunnison, D.; Felt, D.R.; McCormick, E.F. Fate of 2,4,6-trinitrotoluene in a simulated compost system. Chemosphere 1995, 30, 429–438. [Google Scholar] [CrossRef]
 - Williams, R.T.; Ziegenfuss, P.S.; Sisk, W.E. Composting of explosives and propellant contaminated soils under thermophilic and mesophilic conditions. J. Ind. Microbiol. 1992, 9, 137–144. [Google Scholar] [CrossRef]
 - Bruns-Nagel, D.; Drzyzga, O.; Steinbach, K.; Schmidt, T.C.; von Low, E.; Gorontzy, T.; Blotevogel, K.H.; Gemsa, D. Anaerobic/aerobic composting of 2,4,6-trinitrotoluene-contaminated soil in a reactor system. Environ. Sci. Technol. 1998, 32, 1676–1679. [Google Scholar] [CrossRef]
 - Caton, J.E.; Ho, C.H.; Williams, R.T.; Griest, W.H. Characterization of insoluble fractions of TNT transformed by composting. J. Environ. Sci. Health Part A Environ. Sci. Eng. Toxic Hazard. Subst. Control. 1994, 29, 659–670. [Google Scholar] [CrossRef]
 - Achtnich, C.; Fernandes, E.; Bollag, J.M.; Knackmuss, H.J.; Lenke, H. Covalent binding of reduced metabolites of TNT to soil organic matter during a bioremediation process analyzed by NMR spectroscopy. Environ. Sci. Technol. 1999, 33, 4448–4456. [Google Scholar] [CrossRef]
 - Innemanová, P.; Velebová, R.; Filipová, A.; Cvancarová, M.; Pokorny, P.; Nemecek, J.; Cajthaml, T. Anaerobic in situ biodegradation of TNT using whey as an electron donor: A case study. New Biotechnol. 2015, 32, 701–709. [Google Scholar] [CrossRef] [PubMed]
 - Xin, B.P.; Shen, M.Y.; Aslam, H.; Wu, F. Remediation of explosive-polluted soil in slurry phase by aerobic biostimulation. In Proceedings of the 6th Vacuum and Surface Sciences Conference of Asia and Australia (VASSCAA), Islamabad, Pakistan, 9–13 October 2012. [Google Scholar]
 - Major, M.; Griest, W.; Amos, J.; Palmer, W. Evidence for the Chemical Reduction and Binding of TNT during the Composting of Contaminated Soils; Toxicologial Study Number 87-3012-95; U.S. Army Center for Health Promotion and Preventive Medicine: Fort Detrick, MD, USA, 1997; 25p. [Google Scholar]
 - Sahithya, K.; Mouli, T.; Biswas, A.; Scorlet, T.M. Remediation potential of mushrooms and their spent substrate against environmental contaminants: An overview. Biocatal. Agric. Biotechnol. 2022, 42, 102323. [Google Scholar] [CrossRef]
 - Horrigan, B.J.; Stamets, P. Can mushrooms help save the world? Explore 2006, 2, 153–161. [Google Scholar] [CrossRef]
 - Osariemen, A.; Ikhuoria, J.U.; Ilori, E.G. Myco-Remediation Potential of Heavy Metals from Contaminated Soil. Bull. Environ. Pharmacol. Life Sci. 2013, 2, 16–22. [Google Scholar]
 - Borovicka, J.; Sácky, J.; Kana, A.; Walenta, M.; Ackerman, L.; Braeuer, S.; Leonhardt, T.; Hrselová, H.; Goessler, W.; Kotrba, P. Cadmium in the hyperaccumulating mushroom Thelephora penicillata: Intracellular speciation and isotopic composition. Sci. Total Environ. 2023, 855, 159002. [Google Scholar] [CrossRef]
 - López-Pérez, M.; Hernández, F.; Liger, E.; Gordo, E.; Fernández-Aldecoa, J.C.; Expósito, F.J.; Díaz, J.P.; Hernández-Armas, J.; Salazar-Carballo, P.A. Cs-134 in soils of the Western Canary Islands after the Chernobyl nuclear accident. J. Geochem. Explor. 2022, 242, 107085. [Google Scholar] [CrossRef]
 - Dighton, J.; Tugay, T.; Zhdanova, N. Fungi and ionizing radiation from radionuclides. FEMS Microbiol. Lett. 2008, 281, 109–120. [Google Scholar] [CrossRef]
 - Coleine, C.; Stajich, J.E.; Selbmann, L. Fungi are key players in extreme ecosystems. Trends Ecol. Evol. 2022, 37, 517–528. [Google Scholar] [CrossRef] [PubMed]
 - Guillén, J.; Baeza, A. Radioactivity in mushrooms: A health hazard? Food Chem. 2014, 154, 14–25. [Google Scholar] [CrossRef] [PubMed]
 - Muramatsu, Y.; Yoshida, S.; Sumiya, M. Concentrations of radiocesium and potassium in basidiomycetes collected in Japan. Sci. Total Environ. 1991, 105, 29–39. [Google Scholar] [CrossRef]
 - Selvakumar, R.; Ramadoss, G.; Menon, M.P.; Rajendran, K.; Thavamani, P.; Naidu, R.; Megharaj, M. Challenges and complexities in remediation of uranium contaminated soils: A review. J. Environ. Radioact. 2018, 192, 592–603. [Google Scholar] [CrossRef] [PubMed]
 - Belli, K.M.; DiChristina, T.J.; Van Cappellen, P.; Taillefert, M. Effects of aqueous uranyl speciation on the kinetics of microbial uranium reduction. Geochim. Cosmochim. Acta 2015, 157, 109–124. [Google Scholar] [CrossRef]
 - News, V. US Pays to Clean Up Agent Orange on Vietnam War Anniversary. Available online: https://www.voanews.com/a/6896184.html (accessed on 24 October 2023).
 - Schearf, D. US Begins Historic Clean Up of Agent Orange in Vietnam. Available online: https://www.voanews.com/a/us-begins-historic-clean-up-of-agent-orange-in-vietnam/1454297.html (accessed on 24 October 2023).
 - Anasonye, F.; Winquist, E.; Kluczek-Turpeinen, B.; Räsänen, M.; Salonen, K.; Steffen, K.T.; Tuomela, M. Fungal enzyme production and biodegradation of polychlorinated dibenzo-p-dioxins and dibenzofurans in contaminated sawmill soil. Chemosphere 2014, 110, 85–90. [Google Scholar] [CrossRef]
 









Disclaimer/Publisher’s Note: The statements, opinions and data contained in all publications are solely those of the individual author(s) and contributor(s) and not of MDPI and/or the editor(s). MDPI and/or the editor(s) disclaim responsibility for any injury to people or property resulting from any ideas, methods, instructions or products referred to in the content.  | 
© 2024 by the authors. Licensee MDPI, Basel, Switzerland. This article is an open access article distributed under the terms and conditions of the Creative Commons Attribution (CC BY) license (https://creativecommons.org/licenses/by/4.0/).
Share and Cite
Geris, R.; Malta, M.; Soares, L.A.; de Souza Neta, L.C.; Pereira, N.S.; Soares, M.; Reis, V.d.S.; Pereira, M.d.G. A Review about the Mycoremediation of Soil Impacted by War-like Activities: Challenges and Gaps. J. Fungi 2024, 10, 94. https://doi.org/10.3390/jof10020094
Geris R, Malta M, Soares LA, de Souza Neta LC, Pereira NS, Soares M, Reis VdS, Pereira MdG. A Review about the Mycoremediation of Soil Impacted by War-like Activities: Challenges and Gaps. Journal of Fungi. 2024; 10(2):94. https://doi.org/10.3390/jof10020094
Chicago/Turabian StyleGeris, Regina, Marcos Malta, Luar Aguiar Soares, Lourdes Cardoso de Souza Neta, Natan Silva Pereira, Miguel Soares, Vanessa da Silva Reis, and Madson de Godoi Pereira. 2024. "A Review about the Mycoremediation of Soil Impacted by War-like Activities: Challenges and Gaps" Journal of Fungi 10, no. 2: 94. https://doi.org/10.3390/jof10020094
APA StyleGeris, R., Malta, M., Soares, L. A., de Souza Neta, L. C., Pereira, N. S., Soares, M., Reis, V. d. S., & Pereira, M. d. G. (2024). A Review about the Mycoremediation of Soil Impacted by War-like Activities: Challenges and Gaps. Journal of Fungi, 10(2), 94. https://doi.org/10.3390/jof10020094
        
