Genome and Metabolome MS-Based Mining of a Marine Strain of Aspergillus affinis
Abstract
1. Introduction
2. Materials and Methods
2.1. Culture Conditions and DNA Extraction
2.2. Genome Sequencing, Assembly, and Gene Prediction
2.3. Genome Annotation and Functional Analysis
2.4. Comparative Analyses
2.5. Small-Scale Fermentation and Extraction of Metabolites
2.6. LC-MS Data Analysis, Processing, and Visualization
3. Results and Discussion
3.1. Sequencing, Assembly Data and Genomic Characteristics
3.2. Repetitive Sequences and Prediction of tRNAs
3.3. Gene Annotation
3.4. Carbohydrate-Active Enzymes (CAZymes)
3.5. Transporter Proteins
3.6. Biosynthetic Gene Clusters
3.7. Phylogenetic Analyses
3.8. Comparative Analyses
3.8.1. General Features
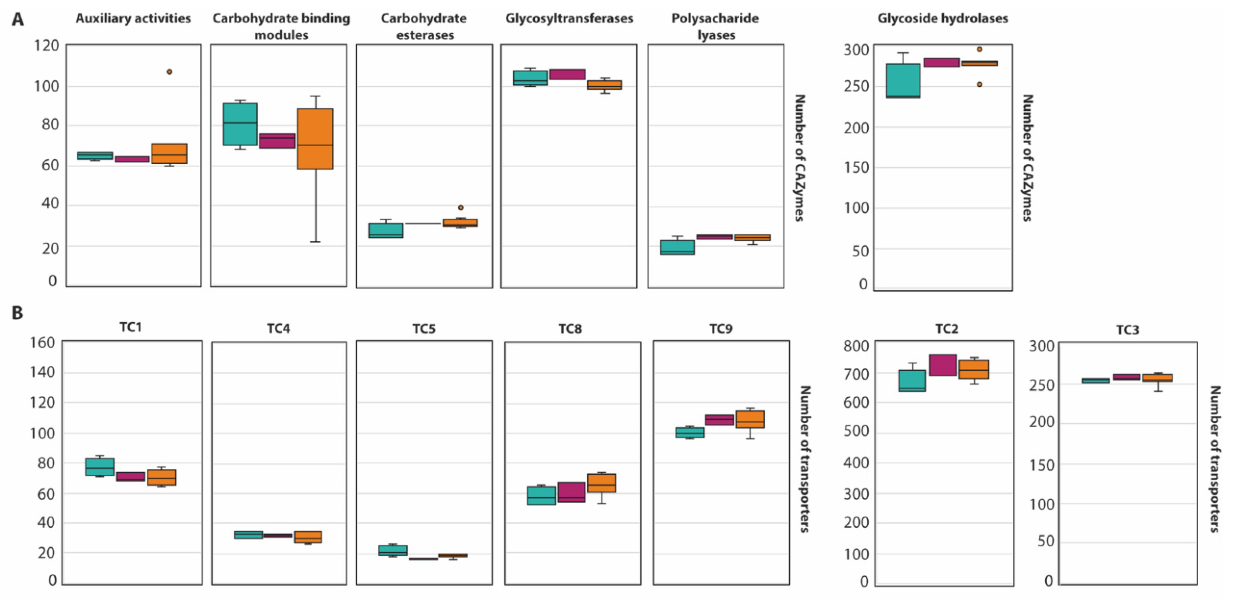
3.8.2. CAZymes
3.8.3. Transporter Proteins
3.8.4. BGCs
3.9. Metabolome Analysis
| Putative Metabolite | Molecular Formula | m/z | Rt | Adduct | Class | Function |
|---|---|---|---|---|---|---|
| 3-Hydroxybenzyl alcohol | C7H9O2 | 123.0445 | 9.22 | [M–H]– | Benzyl alcohol | Anti-bacterial [82] |
| 9,12,13-Trihydroxyoctadec-10-enoic acid | C18H34O5 | 329.2324 | 23.40 | [M–H]– | Fatty Acid | Anti-fungal [86] |
| Aleuritic acid | C16H32O5 | 303.2169 | 19.84 | [M–H]– | Fatty Acid | Main component of shellac, a natural resin with applications in food, pharmaceutics and coatings [87] |
| 3,5-Di-tert-butyl-4-hydroxybenzoic acid | C15H22O3 | 249.1489 | 25.17 | [M–H]– | Phenolic Compound | Antioxidant and anti-inflammatory activities. Also, it is used as a precursor to anti-viral compounds and to cyclooxygenase inhibitors [79,88] |
| Carbidopa | C10H14N2O4 | 193.0498 | 10.04 | [M–H-H4N2]– | Catecholamine | Used in Parkinson’s disease treatment [89] |
| Catechin | C15H14O6 | 289.0013 | 5.34 | [M–H]– | Phenol | Used as carbon source for growth [90] |
| 4,6-dihydroxy-4-(hydroxymethyl)-3,4a,8,8-tetramethyl-5,6,7,8a-tetrahydronaphthalen-1-one | C15H24O4 | 267.1589 | 17.50 | [M–H]– | Naphthalene | Anti-fungal [83,84] |
| Daunomycinone | C21H18O8 | 379.0825 | 1.05 | [M–H-H2O]– | Naphthacene | Antibiotic with anti-cancer activity [91] |
| Epigallocatechin | C15H14O7 | 611.1352 | 2.55 | [2M–H]– | Phenol | Anti-viral, antimicrobial, antitoxin and antitumor [80] |
| Folinic acid | C20H23N7O7 | 472.1561 | 4.14 | [M–H]– | Polyketide | Used in combination with other chemotherapy drugs [92] |
| Hydroxyferulic acid | C20H10O5 | 209.0443 | 8.77 | [M–H]– | Coumaric Acid | Anti-fungal, involved in lignin biosynthesis [93] |
| Guanosine | C10H13N5O5 | 282.0838 | 2.27 | [M–H]– | Nucleoside | Antioxidant, neuroprotective, cardiotonic and immuno-modulatory properties [94] |
| Inosine | C10H12N4O5 | 267.0719 | 6.31 | [M–H]– | Nucleoside | Antioxidant, neuroprotective, cardiotonic and immuno-modulatory properties [94] |
| Isofraxidin | C11H10O5 | 221.0444 | 10.81 | [M–H]– | Coumarin | Antioxidant, anti-malarial and neuprotective [95] |
| L-Pyroglutamic acid | C5H7NO3 | 257.0768 | 1.80 | [2M–H]– | Imino Acid | Anti-fungal and anti-bacterial [96] |
| Lecanoric acid | C16H14O7 | 167.0343 | 9.21 | [M–H-C8H6O3]– | Polyphenol | Anti-bacterial, anti-fungal, anthelmintic and antioxidant properties [97,98] |
| Mitoxantrone | C22H28N4O6 | 443.1945 | 5.66 | [M–H]– | Anthraquinone | Anti-cancer [99] |
| Ochratoxin A | C20H18ClNO6 | 402.0746 | 27.01 | [M–H]– | Carboxylic Acid | Mycotoxin, nephrotoxic, immunotoxic, carcinogenic and teratogenic [100] |
| Saccharopine | C11H20N2O6 | 275.1239 | 2.03 | [M–H]– | Amino Acid | Plays a role in the metabolism of lysine and swainsonine, which is a potential chemotherapy drug [101] |
| Scopoletin | C10H8O4 | 191.0336 | 14.95 | [M–H]– | Coumarin | Anti-fungal [102] |
4. Conclusions
Supplementary Materials
Author Contributions
Funding
Institutional Review Board Statement
Informed Consent Statement
Data Availability Statement
Acknowledgments
Conflicts of Interest
References
- Visagie, C.M.; Varga, J.; Houbraken, J.; Meijer, M.; Kocsubé, S.; Yilmaz, N.; Fotedar, R.; Seifert, K.A.; Frisvad, J.C.; Samson, R.A. Ochratoxin production and taxonomy of the yellow aspergilli (Aspergillus section Circumdati). Stud. Mycol. 2014, 78, 1–61. [Google Scholar] [CrossRef] [PubMed]
- Gil-Serna, J.; Vázquez, C.; Patiño, B. The Genomic regions that contain ochratoxin A biosynthetic genes widely differ in Aspergillus Section Circumdati Species. Toxins 2020, 12, 754. [Google Scholar] [CrossRef] [PubMed]
- Luisetti, M.; Piccioni, P.D.; Dyne, K.; Donnini, M.; Bulgheroni, A.; Pasturenzi, L.; Donnetta, A.M.; Peonaal, V. Some properties of the alkaline proteinase from Aspergillus melleus. Int. J. Tissue React. 1991, 13, 187–192. [Google Scholar] [PubMed]
- Davolos, D.; Persiani, A.M.; Pietrangeli, B.; Ricelli, A.; Maggi, O. Aspergillus affinis sp. nov., a novel ochratoxin A-producing Aspergillus species (section Circumdati) isolated from decomposing leaves. Int. J. Syst. Evol. Microbiol. 2012, 62, 1007–1015. [Google Scholar] [CrossRef]
- Carroll, A.R.; Copp, B.R.; Davis, R.A.; Keyzers, R.A.; Prinsep, M.R. Marine natural products. Nat. Prod. Rep. 2019, 36, 122–173. [Google Scholar] [CrossRef]
- Han, J.; Liu, M.; Jenkins, I.D.; Liu, X.; Zhang, L.; Quinn, R.J.; Feng, Y. Genome-inspired chemical exploration of marine fungus Aspergillus fumigatus MF071. Mar. Drugs 2020, 18, 352. [Google Scholar] [CrossRef]
- Deshmukh, S.K.; Prakash, V.; Ranjan, N. Marine fungi: A source of potential anticancer compounds. Front. Microbiol. 2018, 8, 2536. [Google Scholar] [CrossRef]
- Jans, P.E.; Mfuh, A.M.; Arman, H.D.; Shaffer, C.V.; Larionov, O.V.; Mooberry, S.L. Cytotoxicity and mechanism of action of the marine-derived fungal metabolite trichodermamide B and synthetic analogues. J. Nat. Prod. 2017, 80, 676–683. [Google Scholar] [CrossRef]
- Chen, C.J.; Zhou, Y.Q.; Liu, X.X.; Zhang, W.J.; Hu, S.S.; Lin, L.P.; Huo, G.M.; Jiao, R.H.; Tan, R.X.; Ge, H.M. Antimicrobial and anti-inflammatory compounds from a marine fungus Pleosporales sp. Tetrahedron Lett. 2015, 56, 6183–6189. [Google Scholar] [CrossRef]
- Moghadamtousi, S.Z.; Nikzad, S.; Kadir, H.A.; Abubakar, S.; Zandi, K. Potential antiviral agents from marine fungi: An overview. Mar. Drugs 2015, 13, 4520–4538. [Google Scholar] [CrossRef]
- Sun, H.H.; Mao, W.J.; Chen, Y.; Guo, S.D.; Li, H.Y.; Qi, X.H.; Chen, Y.-L.; Xu, J. Isolation, chemical characteristics and antioxidant properties of the polysaccharides from marine fungus Penicillium sp. F23-2. Carbohydr. Polym. 2009, 78, 117–124. [Google Scholar] [CrossRef]
- Gonçalves, M.F.M.; Esteves, A.C.; Alves, A. Revealing the hidden diversity of marine fungi in Portugal with the description of two novel species, Neoascochyta fuci sp. nov. and Paraconiothyrium salinum sp. nov. Int. J. Syst. Evol. Microbiol. 2020, 70, 5337–5354. [Google Scholar] [CrossRef] [PubMed]
- Gonçalves, M.F.M.; Paço, A.; Escada, L.F.; Albuquerque, M.S.F.; Pinto, C.A.; Saraiva, J.; Duarte, A.S.; Rocha-Santos, T.A.P.; Esteves, A.C.; Alves, A. Unveiling biological activities of marine fungi: The effect of sea salt. Appl. Sci. 2021, 11, 6008. [Google Scholar] [CrossRef]
- Berdy, J. Bioactive microbial metabolites. J. Antibiot. 2005, 58, 1–26. [Google Scholar] [CrossRef] [PubMed]
- Han, J.; Zhang, J.; Song, Z.; Zhu, G.; Liu, M.; Dai, H.; Hsiang, T.; Liu, X.; Zhang, L.; Quinn, R.J.; et al. Genome-based mining of new antimicrobial meroterpenoids from the phytopathogenic fungus Bipolaris sorokiniana strain 11134. Appl. Microbiol. Biotechnol. 2020, 104, 3835. [Google Scholar] [CrossRef] [PubMed]
- Han, J.; Zhang, J.; Song, Z.; Liu, M.; Hu, J.; Hou, C.; Zhu, G.; Jiang, L.; Xia, X.; Quinn, R.J.; et al. Genome-and MS-based mining of antibacterial chlorinated chromones and xanthones from the phytopathogenic fungus Bipolaris sorokiniana strain 11134. Appl. Microbiol. Biotechnol. 2019, 103, 5167–5181. [Google Scholar] [CrossRef] [PubMed]
- Doroghazi, J.R.; Albright, J.C.; Goering, A.W.; Ju, K.-S.; Haines, R.R.; Tchalukov, K.A.; Labeda, D.P.; Kelleher, N.L.; Metcalf, W.W. A roadmap for natural product discovery based on large-scale genomics and metabolomics. Nat. Chem. Biol. 2014, 10, 963. [Google Scholar] [CrossRef]
- Pitcher, D.G.; Saunders, N.A.; Owen, R.J. Rapid extraction of bacterial genomic DNA with guanidium thiocyanate. Lett. Appl. Microbiol. 1989, 8, 151–156. [Google Scholar] [CrossRef]
- Bolger, A.M.; Lohse, M.; Usadel, B. Trimmomatic: A flexible trimmer for Illumina sequence data. Bioinformatics 2014, 30, 2114–2120. [Google Scholar] [CrossRef]
- Bankevich, A.; Nurk, S.; Antipov, D.; Gurevich, A.A.; Dvorkin, M.; Kulikov, A.S.; Lesin, V.M.; Nikolenko, S.I.; Pham, S.; Prjibelski, A.D.; et al. SPAdes: A new genome assembly algorithm and its applications to single-cell sequencing. J. Comput. Biol. 2012, 19, 455–477. [Google Scholar] [CrossRef]
- Stanke, M.; Steinkamp, R.; Waack, S.; Morgenstern, B. AUGUSTUS: A web server for gene finding in eukaryotes. Nucleic Acids Res. 2004, 32, W309–W312. [Google Scholar] [CrossRef] [PubMed]
- Smit, A.F.A.; Hubley, R.; Green, P. RepeatMasker Open-4.0. 2018. Institute for Systems Biology. 2015. Available online: http://www.repeatmasker.org (accessed on 5 February 2021).
- Gelfand, Y.; Rodriguez, A.; Benson, G. TRDB—The tandem repeats database. Nucleic Acids Res. 2007, 35, D80–D87. [Google Scholar] [CrossRef]
- Lowe, T.M.; Eddy, S.R. tRNAscan-SE: A program for improved detection of transfer RNA genes in genomic sequence. Nucleic Acids Res. 1997, 25, 955–964. [Google Scholar] [CrossRef] [PubMed]
- Götz, S.; García-Gómez, J.M.; Terol, J.; Williams, T.D.; Nagaraj, S.H.; Nueda, M.J.; Robles, M.; Talón, M.; Dopazo, J.; Conesa, A. High-throughput functional annotation and data mining with the Blast2GO suite. Nucleic Acids Res. 2008, 36, 3420–3435. [Google Scholar] [CrossRef] [PubMed]
- Yin, Y.; Mao, X.; Yang, J.; Chen, X.; Mao, F.; Xu, Y. dbCAN: A web resource for automated carbohydrate-active enzyme annotation. Nucleic Acids Res. 2012, 40, W445–W451. [Google Scholar] [CrossRef] [PubMed]
- Petersen, T.N.; Brunak, S.; Von Heijne, G.; Nielsen, H. SignalP 4.0: Discriminating signal peptides from transmembrane regions. Nat. Methods 2011, 8, 785–786. [Google Scholar] [CrossRef]
- Saier Jr, M.H.; Reddy, V.S.; Tsu, B.V.; Ahmed, M.S.; Li, C.; Moreno-Hagelsieb, G. The transporter classification database (TCDB): Recent advances. Nucleic Acids Res. 2016, 44, D372–D379. [Google Scholar] [CrossRef]
- Blin, K.; Shaw, S.; Steinke, K.; Villebro, R.; Ziemert, N.; Lee, S.Y.; Medema, M.H.; Weber, T. antiSMASH 5.0: Updates to the secondary metabolite genome mining pipeline. Nucleic Acids Res. 2019, 47, W81–W87. [Google Scholar] [CrossRef]
- Kumar, S.; Stecher, G.; Tamura, K. MEGA7: Molecular evolutionary genetics analysis version 7.0 for bigger datasets. Mol. Biol. Evol. 2016, 33, 1870–1874. [Google Scholar] [CrossRef]
- Thompson, J.D.; Gibson, T.J.; Plewniak, F.; Jeanmougin, F.; Higgins, D.G. The CLUSTAL_X windows inter- face: Flexible strategies for multiple sequence alignment aided by quality analysis tools. Nucleic Acids Res. 1997, 25, 4876–4882. [Google Scholar] [CrossRef]
- Hall, T.A. BioEdit a user-friendly biological sequence alignment editor and analysis program for windows 95/98/ NT. Nucleic Acids Symp. Ser. 1999, 41, 94–98. [Google Scholar]
- Chong, J.; Soufan, O.; Li, C.; Caraus, I.; Li, S.; Bourque, G.; Wishart, D.S.; Xia, J. MetaboAnalyst 4.0: Towards more transparent and integrative metabolomics analysis. Nucleic Acids Res. 2018, 46, W486–W494. [Google Scholar] [CrossRef] [PubMed]
- Kjærbølling, I.; Vesth, T.C.; Frisvad, J.C.; Nybo, J.L.; Theobald, S.; Kuo, A.; Bowyer, P.; Matsuda, Y.; Mondo, S.; Lyhne, E.K.; et al. Linking secondary metabolites to gene clusters through genome sequencing of six diverse Aspergillus species. Proc. Natl. Acad. Sci. USA 2018, 115, E753–E761. [Google Scholar] [CrossRef]
- Koivistoinen, O.M.; Arvas, M.; Headman, J.R.; Andberg, M.; Penttilä, M.; Jeffries, T.W.; Richard, P. Characterisation of the gene cluster for lrhamnose catabolism in the yeast Scheffersomyces (Pichia) stipitis. Gene 2012, 492, 177–185. [Google Scholar] [CrossRef]
- Shen, J.; Zheng, L.; Chen, X.; Han, X.; Cao, Y.; Yao, J. Metagenomic analyses of microbial and carbohydrate-active enzymes in the rumen of dairy goats fed different rumen degradable starch. Front. Microbiol. 2020, 11, 1003. [Google Scholar] [CrossRef]
- Barbosa, A.I.; Coutinho, A.J.; Costa Lima, S.A.; Reis, S. Marine polysaccharides in pharmaceutical applications: Fucoidan and chitosan as key players in the drug delivery match field. Mar. Drugs 2019, 17, 12. [Google Scholar] [CrossRef]
- Oberbarnscheidt, L.; Taylor, E.J.; Davies, G.J.; Gloster, T.M. Structure of a carbohydrate esterase from Bacillus anthracis. Proteins Struct. Funct. Bioinform. 2007, 66, 250–252. [Google Scholar] [CrossRef]
- Hehemann, J.H.; Truong, L.V.; Unfried, F.; Welsch, N.; Kabisch, J.; Heiden, S.E.; Junker, S.; Becher, D.; Thürmer, A.; Daniel, R.; et al. Aquatic adaptation of a laterally acquired pectin degradation pathway in marine gammaproteobacteria. Environ. Microbiol. 2017, 19, 2320–2333. [Google Scholar] [CrossRef] [PubMed]
- Popper, Z.A.; Michel, G.; Herve, C.; Domozych, D.S.; Willats, W.G.; Tuohy, M.G.; Kloareg, B.; Stengel, D.B. Evolution and diversity of plant cell walls: From algae to flowering plants. Annu. Rev. Plant. Biol. 2011, 62, 567–590. [Google Scholar] [CrossRef] [PubMed]
- Chen, L.H.; Tsai, H.C.; Yu, P.L.; Chung, K.R. A major facilitator superfamily transporter-mediated resistance to oxidative stress and fungicides requires Yap1, Skn7, and MAP kinases in the citrus fungal pathogen Alternaria alternata. PLoS ONE 2017, 12, e0169103. [Google Scholar] [CrossRef]
- Xu, X.; Chen, J.; Xu, H.; Li, D. Role of a major facilitator superfamily transporter in adaptation capacity of Penicillium funiculosum under extreme acidic stress. Fungal Genet. Biol. 2014, 69, 75–83. [Google Scholar] [CrossRef] [PubMed][Green Version]
- Kogej, T.; Stein, M.; Volkmann, M.; Gorbushina, A.A.; Galinski, E.A.; Gunde-Cimerman, N. Osmotic adaptation of the halophilic fungus Hortaea werneckii: Role of osmolytes and melanization. Microbiology 2007, 153, 4261–4273. [Google Scholar] [CrossRef]
- Rojas-Jimenez, K.; Rieck, A.; Wurzbacher, C.; Jürgens, K.; Labrenz, M.; Grossart, H.P. A salinity threshold separating fungal communities in the Baltic Sea. Front. Microbiol. 2019, 10, 680. [Google Scholar] [CrossRef]
- Niño-González, M.; Novo-Uzal, E.; Richardson, D.N.; Barros, P.M.; Duque, P. More transporters, more substrates: The Arabidopsis major facilitator superfamily revisited. Mol. Plant 2019, 12, 1182–1202. [Google Scholar] [CrossRef]
- Plemenitaš, A.; Lenassi, M.; Konte, T.; Kejžar, A.; Zajc, J.; Gostinčar, C.; Gunde-Cimerman, N. Adaptation to high salt concentrations in halotolerant/halophilic fungi: A molecular perspective. Front. Microbiol. 2014, 5, 199. [Google Scholar] [CrossRef]
- Nesci, A.; Etcheverry, M.; Magan, N. Osmotic and matric potential effects on growth, sugar alcohol and sugar accumulation by Aspergillus section Flavi strains from Argentina. J. Appl. Microbiol. 2004, 96, 965–972. [Google Scholar] [CrossRef] [PubMed]
- Gladfelter, A.S.; James, T.Y.; Amend, A.S. Marine fungi. Curr. Biol. 2019, 29, R191–R195. [Google Scholar] [CrossRef]
- Martinet, L.; Naômé, A.; Deflandre, B.; Maciejewska, M.; Tellatin, D.; Tenconi, E.; Smargiasso, N.; Pauw, E.; van Wezel, G.P.; Rigali, S. A single biosynthetic gene cluster is responsible for the production of bagremycin antibiotics and ferroverdin iron chelators. Mbio 2019, 10, e01230-19. [Google Scholar] [CrossRef]
- Houbraken, J.; Kocsubé, S.; Visagie, C.M.; Yilmaz, N.; Wang, X.C.; Meijer, M.; Kraak, B.; Hubka, V.; Bensch, K.; Samson, R.A.; et al. Classification of Aspergillus, Penicillium, Talaromyces and related genera (Eurotiales): An overview of families, genera, subgenera, sections, series and species. Stud. Mycol. 2020, 95, 5–169. [Google Scholar] [CrossRef]
- Awakawa, T.; Yang, X.L.; Wakimoto, T.; Abe, I. Pyranonigrin E: A PKS-NRPS hybrid metabolite from Aspergillus niger identified by genome mining. ChemBioChem 2013, 14, 2095–2099. [Google Scholar] [CrossRef] [PubMed]
- Izumi, Y.; Ohtani, K.; Miyamoto, Y.; Masunaka, A.; Fukumoto, T.; Gomi, K.; Tada, Y.; Ichimura, K.; Peever, T.L.; Akimitsu, K. A polyketide synthase gene, ACRTS2, is responsible for biosynthesis of host-selective ACR-toxin in the rough lemon pathotype of Alternaria alternata. Mol. Plant Microbe Interact. 2012, 25, 1419–1429. [Google Scholar] [CrossRef] [PubMed]
- Bacha, N.; Dao, H.P.; Atoui, A.; Mathieu, F.; O’Callaghan, J.; Puel, O.; Liboz, T.; Dobson, A.D.W.; Lebrihi, A. Cloning and characterization of novel methylsalicylic acid synthase gene involved in the biosynthesis of isoasperlactone and asperlactone in Aspergillus westerdijkiae. Fungal Genet. Biol. 2009, 46, 742–749. [Google Scholar] [CrossRef] [PubMed]
- Torres, M.; Balcells, M.; Sala, N.; Sanchis, V.; Canela, R. Bactericidal and fungicidal activity of Aspergillus ochraceus metabolites and some derivatives. Pestic. Sci. 1998, 53, 9–14. [Google Scholar] [CrossRef]
- White, E.C.; Hill, J.H. Studies on antibacterial products formed by molds: I. aspergillic acid, a product of a strain of Aspergillus flavus. J. Bacteriol. 1943, 45, 433–443. [Google Scholar] [CrossRef]
- Lebar, M.D.; Mack, B.M.; Carter-Wientjes, C.H.; Gilbert, M.K. The aspergillic acid biosynthetic gene cluster predicts neoaspergillic acid production in Aspergillus section Circumdati. World Mycotoxin J. 2019, 12, 213–222. [Google Scholar] [CrossRef]
- Andersen, M.R.; Nielsen, J.B.; Klitgaard, A.; Petersen, L.M.; Zachariasen, M.; Hansen, T.J.; Blicher, L.H.; Gotfredsen, C.H.; Larsen, T.O.; Nielsen, K.F.; et al. Accurate prediction of secondary metabolite gene clusters in filamentous fungi. Proc. Natl. Acad. Sci. USA 2013, 110, E99–E107. [Google Scholar] [CrossRef]
- Raffa, N.; Keller, N.P. A call to arms: Mustering secondary metabolites for success and survival of an opportunistic pathogen. PLoS Pathog. 2019, 15, e1007606. [Google Scholar] [CrossRef]
- Kato, H.; Yoshida, T.; Tokue, T.; Nojiri, Y.; Hirota, H.; Ohta, T.; Williams, R.M.; Tsukamoto, S. Notoamides A–D: Prenylated Indole Alkaloids Isolated from a Marine-Derived Fungus, Aspergillus sp. Angew. Chem. Int. Ed. 2007, 46, 2254–2256. [Google Scholar] [CrossRef]
- Ding, Y.; Wet, J.R.D.; Cavalcoli, J.; Li, S.; Greshock, T.J.; Miller, K.A.; Finefield, J.M.; Sunderhaus, J.D.; McAfoos, T.J.; Tsukamoto, S.; et al. Genome-based characterization of two prenylation steps in the assembly of the stephacidin and notoamide anticancer agents in a marine-derived Aspergillus sp. J. Am. Chem. Soc. 2010, 132, 12733–12740. [Google Scholar] [CrossRef] [PubMed]
- Greshock, T.J.; Grubbs, A.W.; Tsukamoto, S.; Williams, R.M. A concise, biomimetic total synthesis of stephacidin A and notoamide B. Angew. Chem. Int. Ed. 2007, 46, 2262–2265. [Google Scholar] [CrossRef] [PubMed]
- Liesch, J.M.; Wichmann, C.F. Novel antinematodal and antiparasitic agents from Penicillium charlesii. II. Structure determination of paraherquamides B, C, D, E, F, and G. J. Antibiot. 1990, 43, 1380–1386. [Google Scholar] [CrossRef] [PubMed]
- Li, S.; Srinivasan, K.; Tran, H.; Yu, F.; Finefield, J.M.; Sunderhaus, J.D.; McAfoos, T.J.; Sachiko Tsukamoto, S.; Williams, R.M.; Sherman, D.H. Comparative analysis of the biosynthetic systems for fungal bicyclo [2.2.2] diazaoctane indole alkaloids: The (+)/(−)-notoamide, paraherquamide and malbrancheamide pathways. MedChemComm 2012, 3, 987–996. [Google Scholar] [CrossRef] [PubMed]
- de Guzman, F.S.; Bruss, D.R.; Rippentrop, J.M.; Gloer, K.B.; Gloer, J.B.; Wicklow, D.T.; Dowd, P.F. Ochrindoles AD: New bis-indolyl benzenoids from the sclerotia of Aspergillus ochraceus NRRL 3519. J. Nat. Prod. 1994, 57, 634–639. [Google Scholar] [CrossRef] [PubMed]
- Moake, M.M.; Padilla-Zakour, O.I.; Worobo, R.W. Comprehensive review of patulin control methods in foods. Compr. Rev. Food Sci. Food Saf. 2005, 4, 8–21. [Google Scholar] [CrossRef]
- Frisvad, J.C. A critical review of producers of small lactone mycotoxins: Patulin, penicillic acid and moniliformin. World Mycotoxin J. 2018, 11, 73–100. [Google Scholar] [CrossRef]
- Nielsen, J.C.; Grijseels, S.; Prigent, S.; Ji, B.; Dainat, J.; Nielsen, K.F.; Frisvad, J.C.; Workman, M.; Nielsen, J. Global analysis of biosynthetic gene clusters reveals vast potential of secondary metabolite production in Penicillium species. Nat. Microbiol. 2017, 2, 17044. [Google Scholar] [CrossRef]
- Baxter, A.; Fitzgerald, B.J.; Hutson, J.L.; McCarthy, A.D.; Motteram, J.M.; Ross, B.C.; Sapra, M.; Snowden, M.A.; Watson, N.S.; Williams, R.J. Squalestatin 1, a potent inhibitor of squalene synthase, which lowers serum cholesterol in vivo. J. Biol. Chem. 1992, 267, 11705–11708. [Google Scholar] [CrossRef]
- Hasumi, K.; Tachikawa, K.; Sakai, K.; Murakawa, S.; Yoshikawa, N.; Kumazawa, S.; Endo, A. Competitive inhibition of squalene synthetase by squalestatin 1. J. Antibiot. 1993, 46, 689–691. [Google Scholar] [CrossRef]
- Bills, G.F.; Peláez, F.; Polishook, J.D.; Diez-Matas, M.T.; Harris, G.H.; Clapp, W.H.; Dufresne, C.; Byrne, K.M.; Nallin-Omstead, M.; Jenkins, R.G.; et al. Distribution of zaragozic acids (squalestatins) among filamentous ascomycetes. Mycol. Res. 1994, 98, 733–739. [Google Scholar] [CrossRef]
- Dawson, M.J.; Farthing, J.E.; Marshall, P.S.; Middleton, R.F.; O’neill, M.J.; Shuttleworth, A.; Stylli, C.; Tait, R.M.; Taylor, P.M.; Wildman, H.G.; et al. The squalestatins, novel inhibitors of squalene synthase produced by a species of Phoma I. Taxonomy, fermentation, isolation, physico-chemical properties and biological activity. J. Antibiot. 1992, 45, 639–647. [Google Scholar] [CrossRef] [PubMed][Green Version]
- Wang, X.; Peng, J.; Sun, L.; Bonito, G.; Guo, Y.; Li, Y.; Fu, Y. Genome sequencing of Paecilomyces penicillatus provides insights into its phylogenetic placement and mycoparasitism mechanisms on morel mushrooms. Pathogens 2020, 9, 834. [Google Scholar] [CrossRef]
- Bandapali, O.R.; Hansen, F.T.; Parveen, A.; Phule, P.; Goud, E.S.K.; Acharya, S.K.; Sørensen, J.L.; Kumar, A. Identification and characterization of biosynthetic gene clusters from halophilic marine fungus Eurotium rubrum. Preprints 2020, 2020020388. [Google Scholar] [CrossRef]
- Donzelli, B.G.; Krasnoff, S.B.; Churchill, A.C.; Vandenberg, J.D.; Gibson, D.M. Identification of a hybrid PKS-NRPS required for the biosynthesis of NG-391 in Metarhizium robertsii. Curr. Genet. 2010, 56, 151–162. [Google Scholar] [CrossRef] [PubMed]
- Gelderblom, W.C.; Thiel, P.G.; Marasas, W.F.; Van der Merwe, K.J. Natural occurrence of fusarin C, a mutagen produced by Fusarium moniliforme, in corn. J. Agric. Food Chem. 1984, 32, 1064–1067. [Google Scholar] [CrossRef]
- Kato, S.; Motoyama, T.; Futamura, Y.; Uramoto, M.; Nogawa, T.; Hayashi, T.; Hirota, H.; Tanaka, A.; Takahashi-Ando, N.; Kamakura, T.; et al. Biosynthetic gene cluster identification and biological activity of lucilactaene from Fusarium sp. RK97-94. Biosci. Biotechnol. Biochem. 2020, 84, 1303–1307. [Google Scholar] [CrossRef] [PubMed]
- Overy, D.; Correa, H.; Roullier, C.; Chi, W.C.; Pang, K.L.; Rateb, M.; Shang, Z.; Capon, R.; Bills, G.; Kerr, R. Does osmotic stress affect natural product expression in fungi? Mar. Drugs 2017, 15, 254. [Google Scholar] [CrossRef]
- Drabińska, N.; Młynarz, P.; de Lacy Costello, B.; Jones, P.; Mielko, K.; Mielnik, J.; Persad, R.; Ratcliffe, N.M. An optimization of liquid–liquid extraction of urinary volatile and semi-volatile compounds and its application for gas chromatography-mass spectrometry and proton nuclear magnetic resonance spectroscopy. Molecules 2020, 25, 3651. [Google Scholar] [CrossRef]
- Vachy, R. Novel Glucopyranose Derivatives, Preparation Thereof, and Biological Uses Thereof. U.S. Patent Application No. 12/737,748, 18 February 2010. [Google Scholar]
- Matsumoto, Y.; Kaihatsu, K.; Nishino, K.; Ogawa, M.; Kato, N.; Yamaguchi, A. Antibacterial and antifungal activities of new acylated derivatives of epigallocatechin gallate. Front. Microbiol. 2012, 3, 53. [Google Scholar] [CrossRef]
- O’Neill, J. Tackling drug-resistant infections globally: Final report and recommendations. Rev. Microb. Resist. 2016. Available online: https://amr-review.org/sites/default/files/160518_Final%20paper_with%20cover.pdf (accessed on 18 May 2021).
- Kumar, C.G.; Mongolla, P.; Pombala, S.; Bandi, S.; Babu, K.S.; Ramakrishna, K.V.S. Biological evaluation of 3-hydroxybenzyl alcohol, an extrolite produced by Aspergillus nidulans strain KZR-132. J. Appl. Microbiol. 2017, 122, 1518–1528. [Google Scholar] [CrossRef] [PubMed]
- Cohen, E.; Koch, L.; Thu, K.M.; Rahamim, Y.; Aluma, Y.; Ilan, M.; Yarden, O.; Carmeli, S. Novel terpenoids of the fungus Aspergillus insuetus isolated from the Mediterranean sponge Psammocinia sp. collected along the coast of Israel. Bioorg. Med. Chem. 2011, 19, 6587–6593. [Google Scholar] [CrossRef]
- Cao, F.; Zhao, D.; Chen, X.Y.; Liang, X.D.; Li, W.; Zhu, H.J. Antifungal drimane sesquiterpenoids from a marine-derived Pleosporales sp. fungus. Chem. Nat. Compd. 2017, 53, 1189–1191. [Google Scholar] [CrossRef]
- Orfali, R.; Aboseada, M.A.; Abdel-Wahab, N.M.; Hassan, H.M.; Perveen, S.; Ameen, F.; Alturki, E.; Abdelmohsen, U.R. Recent updates on the bioactive compounds of the marine-derived genus Aspergillus. RSC Adv. 2021, 11, 17116–17150. [Google Scholar] [CrossRef]
- Masui, H.; Kondo, T.; Kojima, M. An antifungal compound, 9, 12, 13-trihydroxy-(E)-10-octadecenoic acid, from Colocasia antiquorum inoculated with Ceratocystis fimbriata. Phytochemistry 1989, 28, 2613–2615. [Google Scholar] [CrossRef]
- Heredia-Guerrero, J.A.; Goldoni, L.; Benítez, J.J.; Davis, A.; Ceseracciu, L.; Cingolani, R.; Bayer, I.S.; Heinze, T.; Koschella, A.; Heredia, A.; et al. Cellulose-polyhydroxylated fatty acid ester-based bioplastics with tuning properties: Acylation via a mixed anhydride system. Carbohydr. Polym. 2017, 173, 312–320. [Google Scholar] [CrossRef] [PubMed]
- Kindra, D.R.; Evans, W.J. Bismuth-based cyclic synthesis of 3, 5-di-tert-butyl-4-hydroxybenzoic acid via the oxyarylcarboxy dianion, (O2CC6H2tBu2O)2−. Dalton Trans. 2014, 43, 3052–3054. [Google Scholar] [CrossRef]
- Zhu, H.; Lemos, H.; Bhatt, B.; Islam, B.N.; Singh, A.; Gurav, A.; Huang, L.; Browning, D.D.; Mellor, A.; Fuzeles, S.; et al. Carbidopa, a drug in use for management of Parkinson disease inhibits T cell activation and autoimmunity. PLoS ONE 2017, 12, e0183484. [Google Scholar] [CrossRef]
- Maia, M.; Ferreira, A.E.; Nascimento, R.; Monteiro, F.; Traquete, F.; Marques, A.P.; Cunha, J.; Eiras-Dias, J.E.; Cordeiro, C.; Figueiredo, A.; et al. Integrating metabolomics and targeted gene expression to uncover potential biomarkers of fungal/oomycetes-associated disease susceptibility in grapevine. Sci. Rep. 2020, 10, 15688. [Google Scholar] [CrossRef]
- Howlett, D.R.; George, A.R.; Owen, D.E.; Ward, R.V.; Markwell, R.E. Common structural features determine the effectiveness of carvedilol, daunomycin and rolitetracycline as inhibitors of Alzheimer β-amyloid fibril formation. Biochem. J. 1999, 343, 419–423. [Google Scholar] [CrossRef]
- Hsu, H.T.; Wu, L.M.; Lin, P.C.; Juan, C.H.; Huang, Y.Y.; Chou, P.L.; Chen, J.L. Emotional distress and quality of life during folinic acid, fluorouracil, and oxaliplatin in colorectal cancer patients with and without chemotherapy-induced peripheral neuropathy: A cross-sectional study. Medicine 2020, 99, e19029. [Google Scholar] [CrossRef]
- Kim, Y.S.; Lim, C.H. Isolation and structure elucidation of antifungal compounds from the antarctic lichens, Stereocaulon alpinum and Sphaerophorus globosus. Korean J. Agric. Sci. 2020, 47, 183–191. [Google Scholar]
- Ledesma-Amaro, R.; Buey, R.M.; Revuelta, J.L. Increased production of inosine and guanosine by means of metabolic engineering of the purine pathway in Ashbya gossypii. Microb. Cell Factories 2015, 14, 58. [Google Scholar] [CrossRef] [PubMed][Green Version]
- Majnooni, M.B.; Fakhri, S.; Shokoohinia, Y.; Mojarrab, M.; Kazemi-Afrakoti, S.; Farzaei, M.H. Isofraxidin: Synthesis, biosynthesis, isolation, pharmacokinetic and pharmacological properties. Molecules 2020, 25, 2040. [Google Scholar] [CrossRef]
- Bilska, K.; Stuper-Szablewska, K.; Kulik, T.; Buśko, M.; Załuski, D.; Perkowski, J. Resistance-related l-pyroglutamic acid affects the biosynthesis of trichothecenes and phenylpropanoids by F. graminearum sensu stricto. Toxins 2018, 10, 492. [Google Scholar] [CrossRef]
- Luo, H.; Yamamoto, Y.; Kim, J.A.; Jung, J.S.; Koh, Y.J.; Hur, J.S. Lecanoric acid, a secondary lichen substance with antioxidant properties from Umbilicaria antarctica in maritime Antarctica (King George Island). Polar Biol. 2009, 32, 1033–1040. [Google Scholar] [CrossRef]
- Nugraha, A.S.; Untari, L.F.; Laub, A.; Porzel, A.; Franke, K.; Wessjohann, L.A. Anthelmintic and antimicrobial activities of three new depsides and ten known depsides and phenols from Indonesian lichen: Parmelia cetrata Ach. Nat. Prod. Res. 2020, 35, 5001–5010. [Google Scholar] [CrossRef]
- Khan, S.N.; Lal, S.K.; Kumar, P.; Khan, A.U. Effect of mitoxantrone on proliferation dynamics and cell-cycle progression. Biosci. Rep. 2010, 30, 375–381. [Google Scholar] [CrossRef] [PubMed]
- Meucci, V.; Armani, A.; Tinacci, L.; Guardone, L.; Battaglia, F.; Intorre, L. Natural occurrence of ochratoxin A (OTA) in edible and not edible tissue of farmed gilthead seabream (Sparus aurata) and European seabass (Dicentrarchus labrax) sold on the Italian market. Food Control 2021, 120, 107537. [Google Scholar] [CrossRef]
- Lu, P.; Li, X.; Wang, S.; Gao, F.; Yuan, B.; Xi, L.; Du, L.; Jiya, H.; Zhao, L. Saccharopine reductase influences production of Swainsonine in Alternaria oxytropis. Sydowia 2021, 73, 69–74. [Google Scholar]
- Sun, H.; Wang, L.; Zhang, B.; Ma, J.; Hettenhausen, C.; Cao, G.; Sun, G.; Wu, J.; Wu, J. Scopoletin is a phytoalexin against Alternaria alternata in wild tobacco dependent on jasmonate signalling. J. Exp. Bot. 2014, 65, 4305–4315. [Google Scholar] [CrossRef]







| Species | Strain | Host/Substrate | ITS | tub2 |
|---|---|---|---|---|
| Aspergillus affinis | CMG 70 | Sea water | MZ230522 | MZ254672 |
| Aspergillus affinis | ATCC MYA-4773 | Leaf Litter | MN431360 | GU721092 |
| Aspergillus crcarbonarius | CBS 556.65 | Paper | EF661204 | EF661099 |
| Aspergillus cretensis | CBS 112802 | Soil | FJ491572 | EF661332 |
| Aspergillus elegans | CBS 116.39 | Japanese bread | EF661414 | EF661349 |
| Aspergillus melleus | CBS 546.65 | Soil | EF661425 | EF661326 |
| Aspergillus muricatus | CBS 112808 | Soil | EF661434 | EF661356 |
| Aspergillus ochraceus | AO.MF010 | Soil | Genome | Genome |
| Aspergillus ostianus | CBS 103.07 | Unknown | EF661421 | EF661324 |
| Aspergillus persi | CBS 112795 | Toenail of patient | FJ491580 | AY819988 |
| Aspergillus pulvericola | CBS 137327 | Indoor house dust | KJ775440 | KJ775055 |
| Aspergillus roseoglobulosus | CBS 112800 | Decaying leaves | FJ491583 | AY819984 |
| Aspergillus sclerotiorum | CBS 549.65 | Apple | EF661400 | EF661337 |
| Aspergillus sesamicola | CBS 137324 | Sesame seed | KJ775437 | KJ775063 |
| Aspergillus steynii | IBT 23096 | Green coffee bean | EF661416 | EF661347 |
| Aspergillus subramanianii | CBS 138230 | Shelled brazil nuts | EF661403 | EF661339 |
| Aspergillus westerdijkiae | CBS 112803 | Plant | EF661427 | EF661329 |
| Aspergillus westlandensis | CBS 123905 | Air sample | KJ775433 | KJ775065 |
| General Features | |
|---|---|
| Genome assembled | 37.6 Mb |
| Number of contigs (>500 bp) | 421 |
| Largest contig length | 919,884 bp |
| N50 | 216,796 bp |
| N75 | 126,688 bp |
| L50 | 51 bp |
| L75 | 106 bp |
| GC content | 50.21% |
| Number of predicted genes | 11,763 |
| Total length of predicted genes | 18,519,399 bp |
| Average length of predicted genes | 1574 bp |
| Total length of predicted genes/Genome assembled | 49.3% |
| Average of exons per gene | 3 |
| Average of introns per gene | 2 |
| Type | Number | Total Length (bp) | Percentage in Genome (%) | |
|---|---|---|---|---|
| Interspersed repeat | SINEs | 7 | 460 | 0.0012 |
| LINEs | 69 | 4979 | 0.0133 | |
| LTRs | 124 | 30,681 | 0.0817 | |
| DNA transposons | 93 | 9220 | 0.0245 | |
| Rolling-circles | 0 | 0 | 0 | |
| Unclassified | 17 | 1433 | 0.0038 | |
| Small RNA | 124 | 13,588 | 0.0362 | |
| Satellites | 60 | 4618 | 0.0123 | |
| Simple repeats | 9755 | 391,258 | 1.0415 | |
| Low complexicity | 2162 | 113,869 | 0.3031 | |
| Total | 12,411 | 570,106 | 1.5176 | |
| Tandem repeat | 4491 | 262,036 | 0.6975 | |
| tRNAs | 251 | 22,032 | 0.0586 |
| Transporter Class | Number of Genes (n) |
|---|---|
| Channels and pores (TC 1) | 586 |
| Electrochemical potential-driven transporters (TC 2) | 983 |
| Primary active transporters (TC 3) | 460 |
| Group translocators (TC 4) | 109 |
| Transmembrane electron carriers (TC 5) | 42 |
| Accessory factors involved in transport (TC 8) | 342 |
| Incompletely characterized transport systems (TC 9) | 483 |
| Total | 3005 |
Publisher’s Note: MDPI stays neutral with regard to jurisdictional claims in published maps and institutional affiliations. |
© 2021 by the authors. Licensee MDPI, Basel, Switzerland. This article is an open access article distributed under the terms and conditions of the Creative Commons Attribution (CC BY) license (https://creativecommons.org/licenses/by/4.0/).
Share and Cite
Gonçalves, M.F.M.; Hilário, S.; Tacão, M.; Van de Peer, Y.; Alves, A.; Esteves, A.C. Genome and Metabolome MS-Based Mining of a Marine Strain of Aspergillus affinis. J. Fungi 2021, 7, 1091. https://doi.org/10.3390/jof7121091
Gonçalves MFM, Hilário S, Tacão M, Van de Peer Y, Alves A, Esteves AC. Genome and Metabolome MS-Based Mining of a Marine Strain of Aspergillus affinis. Journal of Fungi. 2021; 7(12):1091. https://doi.org/10.3390/jof7121091
Chicago/Turabian StyleGonçalves, Micael F. M., Sandra Hilário, Marta Tacão, Yves Van de Peer, Artur Alves, and Ana C. Esteves. 2021. "Genome and Metabolome MS-Based Mining of a Marine Strain of Aspergillus affinis" Journal of Fungi 7, no. 12: 1091. https://doi.org/10.3390/jof7121091
APA StyleGonçalves, M. F. M., Hilário, S., Tacão, M., Van de Peer, Y., Alves, A., & Esteves, A. C. (2021). Genome and Metabolome MS-Based Mining of a Marine Strain of Aspergillus affinis. Journal of Fungi, 7(12), 1091. https://doi.org/10.3390/jof7121091

