Abstract
Diaporthe species produce versatile secondary metabolites (SMs), including terpenoids, fatty acids, polyketides, steroids, and alkaloids. These structurally diverse SMs exhibit a wide range of biological activities, including cytotoxic, antifungal, antibacterial, antiviral, antioxidant, anti-inflammatory, and phytotoxic activities, which could be exploited in the medical, agricultural, and other modern industries. This review comprehensively covers the production and biological potencies of isolated natural products from the genus Diaporthe associated with terrestrial and marine origins. A total of 275 SMs have been summarized from terrestrial (153; 55%) and marine (110; 41%) origins during the last twelve years, and 12 (4%) compounds are common to both environments. All secondary metabolites are categorized predominantly on the basis of their bioactivities (cytotoxic, antibacterial, antifungal, and miscellaneous activity). Overall, 134 bioactive compounds were isolated from terrestrial (92; 55%) and marine (42; 34%) origins, but about half the compounds did not report any kind of activity. The antiSMASH results suggested that Diaporthe strains are capable of encoding a wide range of SMs and have tremendous biosynthetic potential for new SMs. This study will be useful for future research on drug discovery from terrestrial and marine natural products.
1. Introduction
Diaporthe is an important fungal genus of plant pathogens [1] belonging to the family Diaporthaceae, order Diaporthales, and class Sordariomycetes [2]. It is isolated mainly from plant hosts, which are distributed worldwide; many of them have been reported as plant pathogens, nonpathogenic endophytes, or saprobes, and human and other mammalian pathogens [3,4]. Diaporthe sp. is a widespread fungal genus that colonizes a wide range of hosts. It consists of nearly 800 described species, with around 950 species being attributed to its asexual state (Phomopsis) [5]. It is often isolated from above-ground plants, especially tropical and temperate woody plants [6]. Among numerous endophytic fungi, the genus Diaporthe is known for its potent biosynthetic ability to produce bioactive metabolites [7,8]. Secondary metabolites (SMs) isolated from Diaporthe sp. have shown a wide range of biological activities and chemical structures [9,10]. Chemical studies on some Diaporthe spp. have revealed a variety of bioactive natural products [11], such as cytotoxic diapolic acids [12], antifungal compounds [5,13], antibacterial agents [14,15], anti-candidal ketone derivatives [16], and anti-tubercular metabolites [17]. In the last twelve years, a total of 106 bioactive SMs have been reported from the genus Diaporthe [18].
Endophytic communities that develop inside the host plants are influenced by various parameters, such as environmental conditions (terrestrial and marine), host type, etc. [19]. Fungal endophytes are asymptomatic inhabitants of plant tissues that have the capability to colonize all parts of plants and determine their functional aspects, including increasing plant growth, acting as a biocontrol agent, naturally protecting the host from pests, and enduring tolerance against numerous biotic/abiotic stresses [20,21]. In return, they benefit from host plants in several ways, including providing nutrients, protection from desiccation, spatial structure, and passing on reproductive fungal propagules to the next generation of hosts in the case of vertical transmission [22]. Due to the vast diversity of endophytic fungal communities, the characterization of the SMs of each endophytic fungal community is difficult; therefore, the current review aims to describe the SMs species from the genus Diaporthe from two main origins (terrestrial and marine) and, furthermore, to classify them on the basis of their biological potency.
2. Terrestrial Origin
2.1. Cytotoxic Metabolites
Liu et al. (2013) isolated nine compounds (1–9), including a novel (1R,2E,4S,5R)-1-[(2R)-5-oxotetrahydrofuran-2-yl]-4,5-dihydroxy-hex-2-en-1-yl(2E)-2 methylbut-2-enoate (1), a known (1R,2R,4R)-trihydroxy-p-menthane (2), three linear furanopolyketides (3–5), and four lovastatin analogues, oblongolides D (6), H (7), P (8), and V (9), from Diaporthe sp. SXZ-19 on C. acuminate. These compounds showed weak cytotoxic activities against HCT 116 cells at a concentration of 10 µM [23]. Two bioactive metabolites, emodin (10) and arbutin (11), were isolated from an endophytic fungus D. lithocarpus. Compound 10 exhibited remarkable cytotoxic activity against P-388 murine leukemia cells (IC50 = 0.41 µg/mL), and 11 showed moderate cytotoxicity against murine leukemia P-388 cells and had an IC50 value at 2.91 µg/mL [15]. Two cytoskyrin-type bisanthraquinones, cytoskyrin C (12), and (+)-epicytoskyrin (13), were isolated from Diaporthe sp., an endophytic fungus derived from Anoectochilus roxburghii. Both compounds showed dose-dependent cytotoxicities against SMMC-7721 cells [24]. A new compound, vochysiamide B (14), and the known 2,5-dihydroxybenzyl alcohol (15) were derived from D. vochysiae LGMF1583 on the medicinal plant Vochysia divergens and showed cytotoxic activities against A549 human non-small cell lung and PC3 human prostate cell lines [8]. Mycoepoxydiene (16) and eremofortin F (17) were obtained from the endophytic fungus Diaporthe sp. SNB-GSS10 on Sabicea cinerea and showed cytotoxic activity against KB and MRC5 cells [6].
Two eremophilanes, lithocarins B (18) and C (19), were isolated from an endophytic fungus D. lithocarpus A740 on Morinda officinalis. Both compounds exhibited cytotoxicity against SF-268, MCF-7, HepG-2, and A549 tumor cells with IC50 values between 37.68 and 97.71 µM [9]. The endophytic fungus D. terebinthifolii GG3F6, derived from the medicinal plant Glycyrrhiza glabra, was a source of the metabolite xylarolide (20), which showed cytotoxicity against MIAPaCa-2, HCT-116, and T47D cancer cells with IC50 values of 38 µM, 100 µM, and 7 μM, respectively [12]. The metabolites xylarolide A (21) and xylarolide (20) were isolated from the fungus Diaporthe sp. on D. inoxia and showed remarkable cytotoxicity against MIAPaCa-2 with IC50 values of 20 μM and 32 μM, respectively, and against PC-3 with IC50 values of 14 μM and 18 μM, respectively [25]. Brissow et al. (2017) obtained 18-des-hydroxy cytochalasin H (22) from the endophytic fungus D. phaseolorum-92C on Combretum lanceolatum. This compound exhibited cytotoxic activity against the breast cancer cells MDA-MB-231 and MCF-7 [26]. A new brasilane-type sesquiterpenoid, diaporol R (23), was isolated from an endophytic Diaporthe sp. on leaves of R. stylosa. Diaporol R had a moderate cytotoxic effect on SW480 cancer cells and exhibited an IC50 value of 8.72 ± 1.32 µM [27]. Diaporone A (24), a new dihydroisocoumarin derivative, was isolated from the crude extract of the plant endophytic fungus Diaporthe sp. and exhibited weak cytotoxicity against the human cervical cancer (HeLa) cell line with an IC50 value of 97.4 μM [28]. Yang et al. (2020) isolated nine cytochalasans (25–33) from the endophytic fungus Diaporthe sp. SC-J0138 isolated from the leaves of Cyclosorus parasiticus. All compounds showed cytotoxic activity [29]. Khan et al. (2023) isolated a novel compound phomopthane A (34) from the plant-derived fungus D. unshiuensis YSP3, which exhibited cytotoxic activities against HeLa and MCF-7 cells with IC50 values of 5.92 µM and 7.50 µM, respectively [30]. Compounds 1–34 are shown in Figure 1.
Figure 1.
Chemical structures of compounds 1–34 of terrestrial origin.
2.2. Antibacterial Metabolites
Two isocoumarin metabolites, (10S)-diaporthin (35) and orthosporin (36), were isolated from D. terebinthifolii LGMF907 isolated from Schinus terebinthifolius. They showed antibacterial activities against methicillin-sensitive Staphylococcus aureus and methicillin-resistant S. aureus [31]. A new 3-substituted-5-diazenylcyclopentendione, named kongiidiazadione (37), was separated from D. kongii on C. lanatus and showed antibacterial activity against Bacillus amyloliquefaciens [32]. The three metabolites emodin (10), coumarin (38), and 1,2,8-trihydroxyanthraquinone (39) were isolated from the endophytic fungus D. lithocarpus. Compound 38 had a diameter inhibition zone of 12.3 ± 0.3 mm against the bacterium B. subtilis, and 10 showed antibacterial activity against B. subtilis, M. luteus, Pseudomonas fluorescences, E. coli, and S. cerevisiae with inhibition zone diameters of 14.7 mm, 13.2 mm, 13.7 mm, 12.7 mm, and 11.7 mm, respectively, while compound 39 displayed antibacterial activity against B. subtilis, E. coli, and S. cerevisiae with inhibition zone diameters of 14.2 mm, 11.3 mm, and 10.7 mm, respectively [15]. Two antibacterial metabolites, phomosines A (40) and C (41), were extracted from Diaporthe sp. F2934 of the plant Siparuna gesnerioides. Both were active against S. aureus, M. luteus, Streptococcus oralis, Enterococcus fecalis, Enterococcus cloacae, and Bordetella bronchiseptica, with the diameter of the zone of inhibition ranging from 6 ± 0.62 to 12 ± 1.18 mm at a concentration of 4 µg/µL [11].
A new lanostanoid, 19-nor-lanosta-5(10),6,8,24-tetraene- 1α,3β,12β,22S-tetraol (42), along with two known steroids, 3b,5a,9a-trihydroxy-(22E,24R)-ergosta-7,22-dien-6-one (43) and chaxine C (44), were isolated from Diaporthe sp. LG23 on the Chinese medicinal plant Mahonia fortune. Compound 42 exhibited antibacterial activity against both Gram-positive and Gram-negative bacteria, and 43 and 44 showed antibacterial activity against B. subtilis with streptomycin as a positive control [14]. Two new fatty acids, diapolic acids A and B (45 and 46), along with two known compounds, xylarolide (20) and phomolide G (47), were isolated from the endophytic fungus D. terebinthifolii GG3F6, which was derived from the medicinal plant Glycyrrhiza glabra. All these compounds show antibacterial activity against Y. enterocolitica with IC50 values of 78.4 μM, 73.4 μM, 72.1 μM, and 69.2 μM, respectively [12]. The new 21-acetoxycytochalasins J3 (48) was extracted from Diaporthe sp. GDG-118 on Sophora tonkinensis and showed moderate antibacterial activity against Bacillus anthraci and Escherichia coli [33]. A carboxamide, vochysiamide B (14), from D. vochysiae LGMF1583 showed antibacterial activity on the Gram-negative bacterium Klebsiella pneumoniae (KPC) with a minimum inhibitory concentration (MIC) value of 80 μg/mL [8]. Flavomannin-6,60-di-O-methyl ether (49) was extracted from an endophytic strain of D. melonis from Annona squamosal, which showed antimicrobial activity against S. aureus 25697, S. aureus 29213, and Streptococcus pneumonia ATCC 49619 with MIC values of 32 μg/mL, 32 μg/mL, and 2 µg/mL, respectively [34]. A phenolicmetabolite, tyrosol (50), was extracted from D. helianthi isolated from Luehea divaricate. Tyrosol showed significant antagonistic activity against several tested pathogenic bacterial strains [35]. Compound 24 was isolated from the plant endophytic fungus Diaporthe sp. and showed moderate antibacterial activity against Bacillus subtilis with a MIC value of 66.7 μM [28]. The novel 3-methoxy-5-methylnaphthalene-1, 7-diol (51) was isolated from a Diaporthe sp. on the plant Syzygium cordatum. Compound 51 demonstrated antibacterial activity against Pseudomonas syringae pv phaseolicola and Xanthomonas axonopodis pv phaseoli, with MIC values of 2.50 mg/mL (7.00 ± 0.00 mm) and 1.25 mg/mL (7.67 ± 0.33 mm), respectively, against test organisms [36]. A new alternariol methyl ether-12-O-α-D-arabinoside (52) derived from D. unshiuensis YSP3 and showed antibacterial effect on B. subtilis (MIC value 16 μg/mL) [30]. The structures of compounds 35–52 are shown in Figure 2.
Figure 2.
Chemical structures of compounds 35–52 of terrestrial origin.
2.3. Antifungal Secondary Metabolites
Tanney et al. (2016) isolated four secondary metabolites of D. maritima from healthy Picea mariana and Picea rubens needles, including phomopsolides A (53), B (54), and C (55) and a stable a-pyrone, (S,E)-6-(4-hydroxy-3-oxopent-1-en-1-yl)-2H-pyran-2-one (56). All compounds showed antifungal activities against M. violaceum and Saccharomyces cerevisiae [5]. A known product, 7-hydroxy-6-metoxycoumarin (57), was isolated from the endophytic fungus D. lithocarpus, showing significant antifungal activity against Sporobolomyces salminocolor with an inhibition zone of 12.2 ± 0.3 mm [15]. A bis-anthraquinone derivative, (+)-2,20-epi-cytoskyrin A (58), was isolated from Diaporthe sp. GNBP-10 from Uncaria gambir Roxb. It showed antifungal activity against 22 yeast strains and 3 filamentous fungi with MICs ranging from 16 μg/mL to 128 µg/mL [37]. Cytochalasins were isolated from Diaporthe sp. GDG-118, including 7-acetoxycytochalasin H (59) and cytochalasins H (60) and E (61), and showed varying degrees of antifungal activity against Alternaria oleracea, Pestalotiopsis theae, Colletotrichum capsici, and Ceratocystis paradoxa [33]. The novel metabolite 3-hydroxy-5-methoxyhex-5-ene-2,4-dione (62) was isolated from Diaporthe sp. ED2 on the herb Orthosiphon stamieus Benth. It showed antifungal activity against C. albicans with an MIC value of 3.1 μg/mL [16]. A new metabolite, eucalyptacid A (63), along with the three known metabolites cytosporone C (64), 1-(4-hydroxyphenyl) ethane-1,2-diol (65), and (2-hydroxy-2-phenylethyl) acetamide (66), was isolated from the solid rice cultures of the endophytic fungus D. eucalyptorum KY-9 that had been isolated from Melia azedarach. All compounds exhibited antifungal activities against Alternaria solani [13]. Compounds 53–66 are shown in Figure 3.
Figure 3.
Chemical structures of compounds 53–66 of terrestrial origin.
2.4. Miscellaneous Activities
Seven metabolites, mucorisocoumarin A (67); pestalotiopsone B (68); acetoxydothiorelone B (69); dothiorelones B (70), L (71), and G (72); and cytosporone D (73), were isolated from the endophytic fungus D. pseudomangiferaea on Tylophora ouata. Compounds 67–73 displayed anti-fibrosis activity with inhibition rates of 17.4%, 59.2%, 62.9%, 41.1%, 32.9%, and 52.1% in human lung fibroblast MRC-5 cell activation induced by TFG-b at 10 µM. Cytosporone D (73) showed antioxidant activity with an inhibition rate of 63.3% by releasing MOA at a concentration of 10 µM and moderate antidiabetic activity toward protein tyrosine phosphatase 1B (PTP1B) [38]. The fungus D. eres derived from pathogen-infected leaves of Hedera helix produced an isocoumarin, 3,4-dihydro-8-hydroxy-3,5-dimethylisocoumarin (74), and tyrosol (50), which had a phytotoxic effect on the growth of Lemna paucicostata [39]. A novel metabolite, diportharine A (75), was obtained from the culture of a Diaporthe sp. isolated from Datura inoxia. It showed remarkable antioxidant activity by scavenging DPPH radicals (EC50 = 10.3 µM) [25]. Two new benzopyranones, diaportheones A (76) and B (77), were extracted from Diaporthe sp. P133 from Pandanus amaryllifolius. They exhibited moderate antitubercular activities and achieved MIC values of 100.9 μM and 3.5 µM, respectively, against Mycobacterium tuberculosis H37Rv with rifampin as the positive control (MIC = 0.25 µM) [40]. The cyclohexeneoxidedione derivatives phyllostine acetate (78) and phyllostine (79) were extracted from D. miriciae on the plant Cyperus iria and showed potent antifeedant activities on Plutella xylostella. [41]. Cytoskyrin C (12) and (+)-epicytoskyrin (13) were isolated from Diaporthe sp. and were able to activate the NF-KB pathway and increase the relative activity of luciferase at a concentration of 50 µM [24]. Five phytotoxic compounds, p-cresol (80), 4-hydroxybenzoic acid (81), 4-hydroxybenzaldehyde (82), nectriapyrone (83), and tyrosol (50), were isolated from D. eres on V. vinifera wood. In leaf disk and leaf absorption bioassays, the phytotoxicities of all compounds increased with concentration over the range 0.1–1 mg/mL [42]. Two diphenyl ether derivatives, diaporthols A (84) and B (85), were extracted from Diaporthe sp. ECN-137 isolated from the leaves of Phellodendron amurense. Compounds displayed a migration inhibitory effect on TGF-β1-triggered MDA-MB-231 breast cancer cells at a concentration of 20 µM [43]. Two new metabolites, gulypyrone A (86) and phomentrioloxin B (87), were extracted from a strain of D. gulyae isolated from C. lanatus, which had a low phytotoxic effect and caused some necrosis in various weed and crop species [44]. Phomolide C (88) from a Diaporthe sp. on Aucuba japonica var. borealis inhibited the proliferation of human colon adenocarcinoma cells at a concentration of 50 μg/mL [45]. Compound 18-des-hydroxy cytochalasin H (22) from the endophytic fungus D. phaseolorum-92C inhibited leishmanicidal activity and moderate antioxidant activity against the breast cancer cells MDA-MB-231 and MCF-7 [26]. Studies of the strain Diaporthe sp. JC-J7 from the stems of Dendrobium nobile led to the isolation of a new compound, diaporthsin E (89). It showed low antihyperlipidemic activity on triglycerides (TG) in steatotic L-02 cells with an inhibition rate of 26% at a concentration of 5 μg/mL [46]. Two dibenzopyrones, 2-hydroxy-alternariol (90) and alternariol (91), were isolated from the endophytic fungus Diaporthe sp. CB10100. Both compounds significantly reduced the production of NO to as low as 10 μM in LPS-induced RAW264.7 cells [47]. A new metabolite, phomentrioloxin (92), was isolated from the liquid culture of Phomopsis sp. (asexual state of Diaphorte), which showed phytotoxic activity, and caused growth and chlorophyll content reduction in fronds of Lemna minor and inhibition of tomato rootlet elongation [48]. Structures of compounds 67–92 are shown in Figure 4.
Figure 4.
Chemical structures of compounds 67–92 of terrestrial origin.
2.5. Compounds with No Activity
Two known compounds (93–94) isolated from D. lithocarpus showed no activity [15]. The compound vochysiamides A (95) from D. vochysiae LGMF1583 did not report activity [8]. The endophytic fungus D. pseudomangiferae yielded the inactive compound altiloxin A (96) [6]. A new benzophenone derivative, named tenllone I (97), the new lithocarin D (98), and the known phomopene (99) were isolated from the endophytic fungus D. lithocarpus A740. These compounds were not found to be significantly active [9]. Xylarolide B (100) isolated from the culture of an endophytic fungus Diaporthe sp. Harbored from Datura inoxia showed no activity [25]. Nine new sesquiterpenoids, diaporols J–Q and S (101–108 and 109), were isolated from Diaporthe sp., an endophytic fungus. None of them reported any activity [27]. Alternariol 4,10-dimethyl ether (110) and alternariol 4-methyl ether (111) were isolated from a crude extract of the plant endophytic fungus Diaporthe sp. and did not display any kind of bioactivity [28]. Three compounds, 4H-1-benzopyra-4-one-2,3-dihydro-5-hydroxy-2,8-dimetyl (112), 4H-1-benzopyran-4-one-2,3-dihydro-5-hydroxy-8-(hydroxy-lmethyl)-2-methyl (113), and phomosine D (114), were isolated from the Diaporthe sp. F2934. These isolated compounds were found to be inactive [11]. Four known compounds, 3β,5α,9α,14α-tetrahydroxy-(22E,24R)-ergosta-7,22-dien 6-one (115), (22E,24R)-ergosta-7,9(11),22-triene-3β,5α,6α-triol (116), demethylincisterol A3 (117), and volemolide (118), were isolated from an endophytic fungus, Diaporthe sp. LG23, and were found to have no bioactivity [14]. A chemical investigation into the endophyte D. melonis reported the isolation of two new compounds, diaporthemins A (119) and B (120). Neither compound was reported to have any kind of potency [34]. Three inactive metabolites, a new metabolite, eucalactam B (121), and two known metabolites, eugenitol (122) and 4-hydroxyphenethyl alcohol (123), were isolated from the solid rice cultures of the endophytic fungus D. eucalyptorum KY-9 [13]. The chemical exploration of an endophytic fungus D. pseudomangiferaea led to the isolation of eleven inactive (124–134) secondary metabolites [38]. Nine compounds (135–143) were isolated from a strain of D. gulyae, but did not report any bioactivity [44]. Ten inactive polyketones (144–153) were isolated from the fermentation of Diaporthe sp. JC-J7 [46]. Nine inactive metabolites (154–162) were isolated from the endophytic fungus Diaporthe sp. CB10100 [47]. An inactive new cytochalasan (163) was isolated from the endophytic fungus Diaporthe sp. SC-J0138 [29]. Two inactive novel compounds, phomopthane B (164) and phomopyrone B (165), were isolated from D. unshiuensis [30]. The structures of compounds 93–165 are shown in Figure 5.
Figure 5.
Chemical structures of compounds 93–165 of terrestrial origin.
3. Marine Origin
3.1. Antibacterial and Antifungal Metabolites
A chemical investigation into Diaporthe amygdali SgKB4, an endophytic fungal strain isolated from the West Sumatran mangrove plant Sonneratiagriffithii Kurz, led to the isolation of cytochalasin H (60). This compound showed mild antibacterial activity against some pathogenic bacteria [49]. The fungus D. phaseolorum derived from Laguncularia racemose, afforded 3-hydroxypropionic acid (166), which showed antimicrobial activity against S. aureus and S. typhi [50]. A new compound (167), named diaporthelactone, was isolated from the culture of Diaporthe sp., a marine fungus growing in the submerged decayed leaves of Kandelia candel in the mangrove, and exhibited inhibitory antifungal activity against Aspergillus niger with a MIC of 50 µg/mL [51]. Niaz et al. (2021) isolated a new isochromophilone G (168) along with six known azaphilones (169–174) from the endophytic fungus Diaporthe perseae on the Chinese mangrove Pongamia pinnata (L.). All compounds exhibited antibacterial potency against human pathogens [52]. Compounds 166–174 are shown in Figure 6.
Figure 6.
Chemical structures of compounds 166–174 of marine origin.
3.2. Miscellaneous Activities
Three compounds, pestalotiopsones F (175) and B (176), and 3,8-dihydroxy-6-methyl-9-oxo-9Hxanthene- 1-carboxylate (177), were isolated from Diaporthe sp. SCSIO 41011. These compounds showed significant anti-IAV activities against three influenza A virus subtypes, including A/Puerto Rico/8/34 H274Y (H1N1), A/FM-1/1/47 (H1N1), and A/Aichi/2/68 (H3N2) [53]. Phomoxanthone A (178), with a novel carbon skeleton, was isolated from the fungus D. phaseolorum FS431 and showed good cytotoxic potency against MCF-7, HepG-2, and A549 with IC50 values of 2.60 μM, 2.55 μM, and 4.64 µM, respectively [54]. A new compound biatriosporin N (179), together with five known compounds (180–182, 60, and 178), was obtained from the culture of the fungus Diaporthe sp. GZU-1021. All compounds displayed significant inhibitory effects against NO production with IC50 values from 1.94 μM to 16.5 μM [55]. Six bioactive metabolites were separated from D. phaseolorum SKS019 derived from the mangrove plant A. ilicifolius, (−)-phomopsichin A (183), (+)-phomopsichin A (184), (+)-phomopsichin B (185), (−)-phomopsichin B (181), and the new diaporchromanones C (186) and D (187). These metabolites showed moderate inhibition of osteoclastogenesis by inhibiting RANKL-induced NF-KB activation [56]. The fungus Diaporthe sp. SCSIO 41011, derived from the mangrove plant R. stylosa, yielded two metabolites, epi-isochromophilone II (172) and isochromophilone D (188). Compound 172 displayed cytotoxicity against ACHN, OS-RC-2, and 786-cells with IC50 values of between 3.0 μM and 4.4 µM, and 188 had an IC50 of 8.9 µM against 786-O cancer cells [57]. Compound 167 showed inhibitory activity against human tumor cell lines KB and Raji with IC50 values of 6.25 μg/mL and 5.51 µg/mL, respectively [51]. Diaporisoindole A (189) and tenellone C (190) were obtained from Diaporthe sp. SYSU-HQ3 on the mangrove plant E. agallocha and displayed inhibitory activity on M. tuberculosis protein tyrosine phosphatase B (MptpB) (IC50 values = 4.2 μM and 5.2 µM, respectively) [58]. Eight new compounds, diaporindenes A−D (191−194), isoprenylisobenzofuran A (195), diaporisoindoles D and E (196 and 197), and tenellone D (198), were isolated from the endophytic fungus Diaporthe sp. SYSU-HQ3 derived from the branches of Excoecaria agallocha. All metabolites displayed significant anti-inflammatory activity [59]. Cordysinin A (199) was derived from the endophytic fungus D. arecae on Kandelia obovate. It displayed antiangiogenic activity against human endothelial progenitor cells (EPCs) with an IC50 value of 15.1 ± 0.2 μg/mL [60]. The metabolites 5-deoxybostrycoidin (200) and fusaristatin A (201) were obtained from D. phaseolorum SKS019 on the mangrove plant A. ilicifolius. Compound 200 showed cytotoxic activity against MDA-MB-435 and NCI-H460 with IC50 values of 5.32 μM and 6.57 μM, respectively, and the IC50 value of 201 on MDA-MB-435 was 8.15 μM [61]. Phomopsin F (202) was isolated from D. toxica and showed cytotoxic activity against HepG2 cells [62]. Two novel metabolites, longidiacid A (203) and longichalasin B (204), were isolated from the deep-sea-derived fungus Diaporthe longicolla FS429. These compounds were shown to inhibit 35.4% and 53.3% of the enzyme activity of the Mycobacterium tuberculosis protein tyrosine phosphatase B (MptpB), respectively, at a concentration of 50 µM [63]. The new diaporpenoid A (205) and the new diaporpyrone A (206) were isolated from a MeOH extract obtained from cultures of the endophytic mangrove fungus Diaporthe sp. QYM12. Compounds 205 and 206 exhibited potent anti-inflammatory activities by inhibiting the production of nitric oxide (NO) in lipopolysaccharide (LPS)-induced RAW264.7 cells with IC50 values of 21.5 μM and 12.5 µM, respectively [64]. Seven compounds (168–174) were isolated from the endophytic fungus D. perseae. Outstanding DPPH and ABTS radical scavenging activities were exhibited by all seven compounds [52]. Compounds 175–206 are shown in Figure 7.
Figure 7.
Chemical structures of compounds 175–206 of marine origin.
3.3. Inactive Compounds
Secondary metabolites 207–221 and 124–134 were isolated from the mangrove-associated fungus Diaporthe sp. SCSIO 41011. None of these compounds reported any kind of activity [53]. Two new polyketides, phaseolorins G and H (222 and 223), and one new phaseolorin I (224), along with two known compounds (225 and 226), were isolated from D. phaseolorum FS431. None of these compounds showed any activity [54]. Two new metabolites, diaporchromanones A and B (227 and 228), and a known compound (229) were obtained from D. phaseolorum SKS019, but showed no activity [56]. Three chloroazaphilone derivatives (230−232) were obtained from the fungus Diaporthe sp. SCSIO 41011, along with three known analogues (233−235). None of these isolated compounds were reported to have any kind of activity [57]. Two inactive compounds, diaporisoindole B (236) and diaporisoindole C (237), were isolated from the endophytic fungus Diaporthe sp. SYSUHQ3 [58]. A new arecine (238) and twenty-two known diketopiperazines (239–260) were isolated from the endophytic fungus D. arecae, but showed no activity [60]. Six new compounds, including diaporphasines A–D (261–264) and meyeroguillines C and D (265–266), and a known meyeroguilline A (267) were isolated from an endophytic fungus D. phaseolorum. None of these compounds reported any kind of activity [61]. A chemical investigation into the fungus D. longicolla FS429 led to the isolation of six metabolites, the novel longidiacid B (268), two new polyketides (269–270), a new cytochalasin analogue longichalasins A (272), and two known compounds (271 and 273). None of them showed activity [63]. Four inactive compounds, including the new diaporpenoids B and C (274 and 275), and the known diaporpyrones B and C (160 and 161), were isolated from the mangrove endophytic fungus Diaporthe sp. QYM12 [64]. The structures of compounds 207–275 are shown in Figure 8.
Figure 8.
Chemical structures of compounds 207–275 of marine origin.
In this paper, a total of 275 secondary compounds from the genus Diaporthe are summarized. As can be seen in Figure 9, 153 secondary metabolites were isolated from terrestrial origins and 110 from marine origins, and 12 were common to both environments. These compounds are categorized on the basis of their activity and inactivity. Figure 10 and Figure 11, and Table 1 and Table 2 show that about half of all 275 compounds reported from terrestrial and marine origins were inactive, accounting for 74 (45%) and 80 (66%) metabolites, respectively. Moreover, the active compound ratios were 56% and 34%, respectively. The active secondary metabolites showed various types of bioactivities, mainly cytotoxic (34; 20%), antibacterial (18; 11%), antifungal (14; 9%), and miscellaneous activities (26; 15%) for those of terrestrial origin and antibacterial and antifungal (10; 8%) and miscellaneous activities (32; 26%) for those of marine origin.
Figure 9.
Total number of compounds isolated from genus Diaporthe.
Figure 10.
The proportion of secondary metabolites of terrestrial origin.
Figure 11.
The proportion of secondary metabolites of marine origin.
Table 1.
Secondary metabolites associated with terrestrial origin.
Table 2.
Secondary metabolites associated with marine origin.
4. Analysis of Secondary Metabolite Biosynthetic Potential
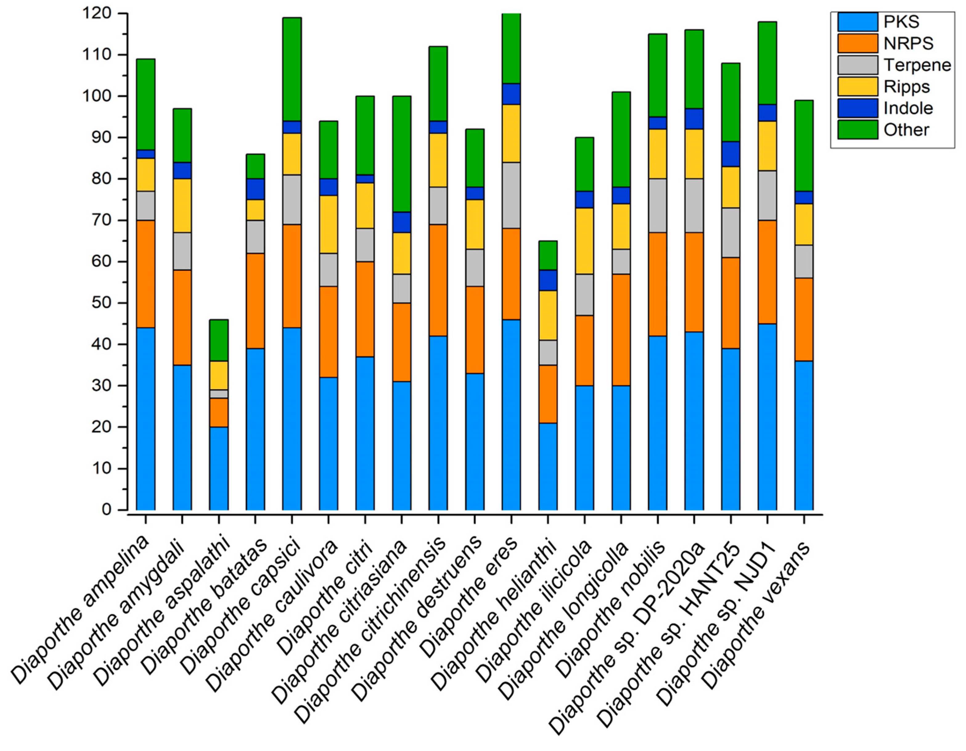
Despite the numerous compounds isolated from Diaporthe species, recent advances in genome sequencing and bioinformatics analysis indicate that the number of biosynthetic gene clusters (BGCs) of SMs exceeds the number of SMs identified so far [65]. To fully understand SMs’ biosynthetic potential, we used the “antibiotics and secondary metabolite analysis shell–antiSMASH” tool to predict BGCs from the genomes of Diaporthe species available in the NCBI database (National Center for Biotechnology Information, http://www.ncbi.nlm.nih.gov/, accessed on 1 February 2023). A total of 19 species were analyzed, and the antiSMASH 7 beta was applied using the “relaxed” detection strictness. As is shown in Figure 12, most species encoded ~90 BGCs to 110 BGCs except for Diaporthe aspalathi (46 BGCs) and Diaporthe helianthi (65 BGCs).
Figure 12.
The number (y-axis) and type of secondary-metabolite BGCs in Diaporthe strains deposited in the NCBI database.
The BGCs were characterized as polyketide (PKSs), non-ribosomal peptides (NRPSs), terpenes, hybrid PKS-NRPSs, ribosomally synthesized and post-translationally modified peptides (RiPPs), and indole-related compounds. PKSs and NRPSs are the most abundant BGCs of all species (Figure 12). Some BGCs show high similarity with known BGCs, and their SMs are common to different species (Figure 13). A number of Diaporthe species were predicted to synthesize alternariol, mellein, and nectriapyrone C, which were noted for their phytotoxic and antimicrobial activities [66,67,68]. These metabolites may allow organisms to inhibit competitors that occupy the same niches and facilitate invasion when organisms are acting as phytopathogens. The BGCs of enniatin, ochratoxin A, and culmorin are present in several Diaporthe genomes [69,70,71]. These compounds are described as “emerging mytotoxins” and are mainly produced by the Fusarium species, which are wheat pathogens. This indicates that not only the Fusarium, but also the Diaporthe strains can produce contaminants in food and feed. Certain compounds with medicinal potential were also observed. Clavaric acid is an inhibitor of FPTase and may be effective as an anticancer agent in tumors [72]. FR901512 is an HMG-CoA reductase inhibitor that has the potential to lower cholesterol and fat [73].
Figure 13.
Some secondary compounds produced by species of Diaporthe that are 100% identical to known BGCs.
5. Conclusions
This review highlights the potential of the secondary metabolites of the genus Diaporthe. A total of 275 secondary metabolites associated with terrestrial and marine environments have been isolated from this genus during the last twelve years. We can see in Figure 9 that of the 275 compounds reported, 153 (accounting for about 55% of the total) and 110 (about 41% of the total) were derived from terrestrial and marine origins, respectively, and 12 (about 4%) were isolated in both environments. After the comprehensive literature review, we found that active metabolites (56% and 34%, respectively) are less common than inactive metabolites (45% and 66%, respectively) in terrestrial and marine environments. Moreover, a total of 92 bioactive compounds (approximately 56%) were found in terrestrial samples, while 42 (about 34%) were found in marine samples. Current studies suggest that compounds with strong bioactivities could be used as potential drug candidates in the future, but more in-depth studies are needed to explore the mechanisms involved. This study also confirms the potential of terrestrial habitats for drug discovery and will help researchers find novel natural, potent fungal products. Genomic analyses suggested that Diaporthe species have great potential to produce more SMs. Therefore, future efforts should be focused on activating these silent BGCs via various methods, such as changing fermentation conditions, transcriptional regulation, using chemical elicitors, and heterologous gene expression.
Author Contributions
Investigation and data curation, W.W., B.K., Q.D., J.L., L.K. and N.A.R.; writing—review and editing, W.W., B.K., W.Y. and G.L. All authors have read and agreed to the published version of the manuscript.
Funding
This research was funded by a key Project of Natural Science Foundation of the Higher Education Institution of Jiangsu Province (19KJA430013), and the Natural Science Foundation of Jiangsu Province (BK20211214).
Institutional Review Board Statement
Not applicable.
Informed Consent Statement
Not applicable.
Data Availability Statement
Not applicable.
Conflicts of Interest
The authors declare no conflict of interest.
References
- Guarnaccia, V.; Groenewald, J.Z.; Woodhall, J.; Armengol, J.; Cinelli, T.; Eichmeier, A.; Ezra, D.; Fontaine, F.; Gramaje, D.; Gutierrez-Aguirregabiria, A. Diaporthe diversity and pathogenicity revealed from a broad survey of grapevine diseases in Europe. Pers.-Mol. Phylogeny Evol. Fungi 2018, 40, 135–153. [Google Scholar] [CrossRef] [PubMed]
- Dissanayake, A.J.; Chen, Y.-Y.; Liu, J.-K. Unravelling Diaporthe species associated with woody hosts from karst formations (Guizhou) in China. J. Fungi 2020, 6, 251. [Google Scholar] [CrossRef] [PubMed]
- Gomes, R.; Glienke, C.; Videira, S.; Lombard, L.; Groenewald, J.; Crous, P. Diaporthe: A genus of endophytic, saprobic and plant pathogenic fungi. Pers.-Mol. Phylogeny Evol. Fungi 2013, 31, 1–41. [Google Scholar] [CrossRef]
- Udayanga, D.; Castlebury, L.A.; Rossman, A.Y.; Chukeatirote, E.; Hyde, K.D. Insights into the genus Diaporthe: Phylogenetic species delimitation in the D. eres species complex. Fungal Divers. 2014, 67, 203–229. [Google Scholar] [CrossRef]
- Tanney, J.B.; McMullin, D.R.; Green, B.D.; Miller, J.D.; Seifert, K.A. Production of antifungal and antiinsectan metabolites by the Picea endophyte Diaporthe maritima sp. nov. Fungal Biol. 2016, 120, 1448–1457. [Google Scholar] [CrossRef] [PubMed]
- Mandavid, H.; Rodrigues, A.M.; Espindola, L.S.; Eparvier, V.; Stien, D. Secondary metabolites isolated from the amazonian endophytic fungus Diaporthe sp. SNB-GSS10. J. Nat. Prod. 2015, 78, 1735–1739. [Google Scholar] [CrossRef] [PubMed]
- Hu, Z.; Wu, Y.; Xie, S.; Sun, W.; Guo, Y.; Li, X.-N.; Liu, J.; Li, H.; Wang, J.; Luo, Z. Phomopsterones A and B, two functionalized ergostane-type steroids from the endophytic fungus Phomopsis sp. TJ507A. Org. Lett. 2017, 19, 258–261. [Google Scholar] [CrossRef] [PubMed]
- Noriler, S.A.; Savi, D.C.; Ponomareva, L.V.; Rodrigues, R.; Rohr, J.; Thorson, J.S.; Glienke, C.; Shaaban, K.A. Vochysiamides A and B: Two new bioactive carboxamides produced by the new species Diaporthe vochysiae. Fitoterapia 2019, 138, 104273. [Google Scholar] [CrossRef]
- Liu, H.; Chen, Y.; Li, H.; Li, S.; Tan, H.; Liu, Z.; Li, D.; Liu, H.; Zhang, W. Four new metabolites from the endophytic fungus Diaporthe lithocarpus A740. Fitoterapia 2019, 137, 104260. [Google Scholar] [CrossRef]
- Ma, K.-L.; Wei, W.-J.; Li, H.-Y.; Wang, L.-D.; Dong, S.-H.; Gao, K. Phomotide A, a novel polyketide, from the endophytic fungus Phomopsis sp. CFS42. Tetrahedron Lett. 2020, 61, 151468. [Google Scholar] [CrossRef]
- Sousa, J.; Aguilar-Pérez, M.; Arnold, A.; Rios, N.; Coley, P.; Kursar, T.; Cubilla-Rios, L. Chemical constituents and their antibacterial activity from the tropical endophytic fungus Diaporthe sp. F2934. J. Appl. Microbiol. 2016, 120, 1501–1508. [Google Scholar] [CrossRef] [PubMed]
- Yedukondalu, N.; Arora, P.; Wadhwa, B.; Malik, F.A.; Vishwakarma, R.A.; Gupta, V.K.; Riyaz-Ul-Hassan, S.; Ali, A. Diapolic acid A–B from an endophytic fungus, Diaporthe terebinthifolii depicting antimicrobial and cytotoxic activity. J. Antibiot. 2017, 70, 212–215. [Google Scholar] [CrossRef] [PubMed]
- Gao, Y.-Q.; Du, S.-T.; Xiao, J.; Wang, D.-C.; Han, W.-B.; Zhang, Q.; Gao, J.-M. Isolation and characterization of antifungal metabolites from the Melia azedarach-associated fungus Diaporthe eucalyptorum. J. Agric. Food Chem. 2020, 68, 2418–2425. [Google Scholar] [CrossRef]
- Li, G.; Kusari, S.; Kusari, P.; Kayser, O.; Spiteller, M. Endophytic Diaporthe sp. LG23 produces a potent antibacterial tetracyclic triterpenoid. J. Nat. Prod. 2015, 78, 2128–2132. [Google Scholar] [CrossRef] [PubMed]
- Riga, R.; Happyana, N.; Quentmeier, A.; Zammarelli, C.; Kayser, O.; Hakim, E.H. Secondary metabolites from Diaporthe lithocarpus isolated from Artocarpus heterophyllus. Nat. Prod. Res. 2021, 35, 2324–2328. [Google Scholar] [CrossRef]
- Yenn, T.W.; Ring, L.C.; Nee, T.W.; Khairuddean, M.; Zakaria, L.; Ibrahim, D. Endophytic Diaporthe sp. ED2 produces a novel anti-candidal ketone derivative. J. Microbiol. Biotechnol. 2017, 27, 1065–1070. [Google Scholar]
- Dettrakul, S.; Kittakoop, P.; Isaka, M.; Nopichai, S.; Suyarnsestakorn, C.; Tanticharoen, M.; Thebtaranonth, Y. Antimycobacterial pimarane diterpenes from the Fungus Diaporthe sp. Bioorg. Med. Chem. Lett. 2003, 13, 1253–1255. [Google Scholar] [CrossRef]
- Xu, T.-C.; Lu, Y.-H.; Wang, J.-F.; Song, Z.-Q.; Hou, Y.-G.; Liu, S.-S.; Liu, C.-S.; Wu, S.-H. Bioactive secondary metabolites of the genus Diaporthe and anamorph Phomopsis from terrestrial and marine habitats and endophytes: 2010–2019. Microorganisms 2021, 9, 217. [Google Scholar] [CrossRef]
- Surjit, S.D.; Rupa, G. Beneficial properties, colonization, establishment and molecular diversity of endophytic bacteria in legumes and non legumes. Afr. J. Microbiol. Res. 2014, 8, 1562–1572. [Google Scholar] [CrossRef]
- Friesen, M.L. Microbially mediated plant functional traits. Mol. Microb. Ecol. Rhizosphere 2013, 1, 87–102. [Google Scholar]
- Johnson, J.M.; Alex, T.; Oelmüller, R. Piriformospora indica: The versatile and multifunctional root endophytic fungus for enhanced yield and tolerance to biotic and abiotic stress in crop plants. J. Trop. Agric. 2014, 52, 103–122. [Google Scholar]
- Card, S.; Johnson, L.; Teasdale, S.; Caradus, J. Deciphering endophyte behaviour: The link between endophyte biology and efficacious biological control agents. FEMS Microbiol. Ecol. 2016, 92, fiw114. [Google Scholar] [CrossRef]
- Liu, Y.; Hu, Z.; Lin, X.; Lu, C.; Shen, Y. A new polyketide from Diaporthe sp. SXZ-19, an endophytic fungal strain of Camptotheca acuminate. Nat. Prod. Res. 2013, 27, 2100–2104. [Google Scholar] [CrossRef]
- Tian, W.; Liao, Z.; Zhou, M.; Wang, G.; Wu, Y.; Gao, S.; Qiu, D.; Liu, X.; Lin, T.; Chen, H. Cytoskyrin C, an unusual asymmetric bisanthraquinone with cage-like skeleton from the endophytic fungus Diaporthe sp. Fitoterapia 2018, 128, 253–257. [Google Scholar] [CrossRef] [PubMed]
- Sharma, V.; Singamaneni, V.; Sharma, N.; Kumar, A.; Arora, D.; Kushwaha, M.; Bhushan, S.; Jaglan, S.; Gupta, P. Valproic acid induces three novel cytotoxic secondary metabolites in Diaporthe sp., an endophytic fungus from Datura inoxia Mill. Bioorg. Med. Chem. Lett. 2018, 28, 2217–2221. [Google Scholar] [CrossRef] [PubMed]
- Brissow, E.R.; da Silva, I.P.; de Siqueira, K.A.; Senabio, J.A.; Pimenta, L.P.; Januário, A.H.; Magalhães, L.G.; Furtado, R.A.; Tavares, D.C.; Sales Junior, P.A. 18-Des-hydroxy Cytochalasin: An antiparasitic compound of Diaporthe phaseolorum-92C, an endophytic fungus isolated from Combretum lanceolatum Pohl ex Eichler. Parasitol. Res. 2017, 116, 1823–1830. [Google Scholar] [CrossRef] [PubMed]
- Chen, C.-J.; Liu, X.-X.; Zhang, W.-J.; Zang, L.-Y.; Wang, G.; Ng, S.W.; Tan, R.-X.; Ge, H.-M. Sesquiterpenoids isolated from an endophyte fungus Diaporthe sp. RSC Adv. 2015, 5, 17559–17565. [Google Scholar] [CrossRef]
- Guo, L.; Niu, S.; Chen, S.; Liu, L. Diaporone A, a new antibacterial secondary metabolite from the plant endophytic fungus Diaporthe sp. J. Antibiot. 2020, 73, 116–119. [Google Scholar] [CrossRef]
- Yang, X.; Wu, P.; Xue, J.; Li, H.; Wei, X. Cytochalasans from endophytic fungus Diaporthe sp. SC-J0138. Fitoterapia 2020, 145, 104611. [Google Scholar] [CrossRef] [PubMed]
- Khan, B.; Li, Y.; Wei, W.; Liu, G.; Xiao, C.; He, B.; Zhang, C.; Rajput, N.A.; Ye, Y.; Yan, W. Chemical Investigation of Endophytic Diaporthe unshiuensis YSP3 Reveals New Antibacterial and Cytotoxic Agents. J. Fungi 2023, 9, 136. [Google Scholar] [CrossRef]
- de Medeiros, A.G.; Savi, D.C.; Mitra, P.; Shaaban, K.A.; Jha, A.K.; Thorson, J.S.; Rohr, J.; Glienke, C. Bioprospecting of Diaporthe terebinthifolii LGMF907 for antimicrobial compounds. Folia Microbiol. 2018, 63, 499–505. [Google Scholar] [CrossRef]
- Evidente, M.; Boari, A.; Vergura, S.; Cimmino, A.; Vurro, M.; Ash, G.; Superchi, S.; Evidente, A. Structure and Absolute Configuration of Kongiidiazadione, a New Phytotoxic 3-Substituted-5-Diazenylcyclopentendione Produced by Diaporthe Kongii. Chirality 2015, 27, 557–562. [Google Scholar] [CrossRef]
- Huang, X.; Zhou, D.; Liang, Y.; Liu, X.; Cao, F.; Qin, Y.; Mo, T.; Xu, Z.; Li, J.; Yang, R. Cytochalasins from endophytic Diaporthe sp. GDG-118. Nat. Prod. Res. 2021, 35, 3396–3403. [Google Scholar] [CrossRef]
- Ola, A.R.; Debbab, A.; Kurtán, T.; Brötz-Oesterhelt, H.; Aly, A.H.; Proksch, P. Dihydroanthracenone metabolites from the endophytic fungus Diaporthe melonis isolated from Annona squamosa. Tetrahedron Lett. 2014, 55, 3147–3150. [Google Scholar] [CrossRef]
- Specian, V.; Sarragiotto, M.H.; Pamphile, J.A.; Clemente, E. Chemical characterization of bioactive compounds from the endophytic fungus Diaporthe helianthi isolated from Luehea divaricata. Braz. J. Microbiol. 2012, 43, 1174–1182. [Google Scholar] [CrossRef] [PubMed]
- Erick, T.K.; Kiplimo, J.J.; Matasyoh, J. New naphthalene derivative isolated from Diaporthe sp. host to Syzygium cordatum Hochst. ex Krauss plant. J. Med. Plant Res. 2021, 15, 196–205. [Google Scholar]
- Wulansari, D.; Julistiono, H.; Nurkanto, A.; Agusta, A. Antifungal Activity of (+)-2,2′-Epicytoskyrin A and Its Membrane-Disruptive Action. Makara J. Sci. 2016, 20, 2. [Google Scholar] [CrossRef]
- Liu, Z.; Zhao, J.; Liang, X.; Lv, X.; Li, Y.; Qu, J.; Liu, Y. Dothiorelone derivatives from an endophyte Diaporthe pseudomangiferaea inhibit the activation of human lung fibroblasts MRC-5 cells. Fitoterapia 2018, 127, 7–14. [Google Scholar] [CrossRef]
- Meepagala, K.M.; Briscoe, W.E.; Techen, N.; Johnson, R.D.; Clausen, B.M.; Duke, S.O. Isolation of a phytotoxic isocoumarin from Diaporthe eres-infected Hedera helix (English ivy) and synthesis of its phytotoxic analogs. Pest Manag. Sci. 2018, 74, 37–45. [Google Scholar] [CrossRef]
- Bungihan, M.E.; Tan, M.A.; Kitajima, M.; Kogure, N.; Franzblau, S.G.; Takayama, H.; Nonato, M.G. Bioactive metabolites of Diaporthe sp. P133, an endophytic fungus isolated from Pandanus amaryllifolius. J. Nat. Med. 2011, 65, 606–609. [Google Scholar] [CrossRef]
- Ratnaweera, P.B.; M Jayasundara, J.N.; Herath, H.S.D.; Williams, D.E.; Rajapaksha, S.U.; Nishantha, K.P.; de Silva, E.D.; Andersen, R.J. Antifeedant, contact toxicity and oviposition deterrent effects of phyllostine acetate and phyllostine isolated from the endophytic fungus Diaporthe miriciae against Plutella xylostella larvae. Pest Manag. Sci. 2020, 76, 1541–1548. [Google Scholar] [CrossRef]
- Reveglia, P.; Pacetti, A.; Masi, M.; Cimmino, A.; Carella, G.; Marchi, G.; Mugnai, L.; Evidente, A. Phytotoxic metabolites produced by Diaporthe eres involved in cane blight of grapevine in Italy. Nat. Prod. Res. 2021, 35, 2872–2880. [Google Scholar] [CrossRef]
- Nakashima, K.-i.; Tomida, J.; Kamiya, T.; Hirai, T.; Morita, Y.; Hara, H.; Kawamura, Y.; Adachi, T.; Inoue, M. Diaporthols A and B: Bioactive diphenyl ether derivatives from an endophytic fungus Diaporthe sp. Tetrahedron Lett. 2018, 59, 1212–1215. [Google Scholar] [CrossRef]
- Andolfi, A.; Boari, A.; Evidente, M.; Cimmino, A.; Vurro, M.; Ash, G.; Evidente, A. Gulypyrones A and B and Phomentrioloxins B and C produced by Diaporthe gulyae, a potential mycoherbicide for saffron thistle (Carthamus lanatus). J. Nat. Prod. 2015, 78, 623–629. [Google Scholar] [CrossRef]
- Ito, A.; Maeda, H.; Tonouchi, A.; Hashimoto, M. Relative and absolute structure of phomolide C. Biosci. Biotechnol. Biochem. 2015, 79, 1067–1069. [Google Scholar] [CrossRef] [PubMed]
- Hu, M.; Yang, X.-Q.; Wan, C.-P.; Wang, B.-Y.; Yin, H.-Y.; Shi, L.-J.; Wu, Y.-M.; Yang, Y.-B.; Zhou, H.; Ding, Z.-T. Potential antihyperlipidemic polyketones from endophytic Diaporthe sp. JC-J7 in Dendrobium nobile. RSC Adv. 2018, 8, 41810–41817. [Google Scholar] [CrossRef] [PubMed]
- Pu, H.; Liu, J.; Wang, Y.; Peng, Y.; Zheng, W.; Tang, Y.; Hui, B.; Nie, C.; Huang, X.; Duan, Y. Bioactive α-pyrone derivatives from the endophytic fungus Diaporthe sp. CB10100 as inducible nitric oxide synthase inhibitors. Front. Chem. 2021, 9, 679592. [Google Scholar] [CrossRef] [PubMed]
- Cimmino, A.; Andolfi, A.; Zonno, M.C.; Troise, C.; Santini, A.; Tuzi, A.; Vurro, M.; Ash, G.; Evidente, A. Phomentrioloxin: A phytotoxic pentasubstituted geranylcyclohexentriol produced by Phomopsis sp., a potential mycoherbicide for Carthamus lanatus biocontrol. J. Nat. Prod. 2012, 75, 1130–1137. [Google Scholar] [CrossRef]
- Handayani, D.; Wahyuningsih, T.; Rustini, M.; Putra, A.; Proksch, P. BIOACTIVE COMPOUND FROM THE MANGROVE PLANT ENDOPHYTIC FUNGUS Diaporthe amygdali SgKB4. Rasayan J. Chem. 2020, 13, 327–332. [Google Scholar] [CrossRef]
- Sebastianes, F.L.; Cabedo, N.; Aouad, N.E.; Valente, A.M.; Lacava, P.T.; Azevedo, J.L.; Pizzirani-Kleiner, A.A.; Cortes, D. 3-Hydroxypropionic acid as an antibacterial agent from endophytic fungi Diaporthe phaseolorum. Curr. Microbiol. 2012, 65, 622–632. [Google Scholar] [CrossRef]
- Lin, X.; Huang, Y.; Fang, M.; Wang, J.; Zheng, Z.; Su, W. Cytotoxic and antimicrobial metabolites from marine lignicolous fungi, Diaporthe sp. FEMS Microbiol. Lett. 2005, 251, 53–58. [Google Scholar] [CrossRef] [PubMed]
- Niaz, S.I.; Khan, D.; Naz, R.; Safdar, K.; Abidin, S.Z.U.; Khan, I.U.; Gul, R.; Khan, W.U.; Khan, M.A.U.; Lan, L. Antimicrobial and antioxidant chlorinated azaphilones from mangrove Diaporthe perseae sp. isolated from the stem of Chinese mangrove Pongamia pinnata. J. Asian Nat. Prod. Res. 2021, 23, 1077–1084. [Google Scholar] [CrossRef] [PubMed]
- Luo, X.; Yang, J.; Chen, F.; Lin, X.; Chen, C.; Zhou, X.; Liu, S.; Liu, Y. Structurally diverse polyketides from the mangrove-derived fungus Diaporthe sp. SCSIO 41011 with their anti-influenza A virus activities. Front. Chem. 2018, 6, 282. [Google Scholar] [CrossRef] [PubMed]
- Niu, Z.; Chen, Y.; Guo, H.; Li, S.-N.; Li, H.-H.; Liu, H.-X.; Liu, Z.; Zhang, W. Cytotoxic polyketides from a deep-sea sediment derived fungus Diaporthe phaseolorum FS431. Molecules 2019, 24, 3062. [Google Scholar] [CrossRef]
- Liu, Y.; Ruan, Q.; Jiang, S.; Qu, Y.; Chen, J.; Zhao, M.; Yang, B.; Liu, Y.; Zhao, Z.; Cui, H. Cytochalasins and polyketides from the fungus Diaporthe sp. GZU-1021 and their anti-inflammatory activity. Fitoterapia 2019, 137, 104187. [Google Scholar] [CrossRef]
- Cui, H.; Ding, M.; Huang, D.; Zhang, Z.; Liu, H.; Huang, H.; She, Z. Chroman-4-one and pyrano [4, 3-b] chromenone derivatives from the mangrove endophytic fungus Diaporthe phaseolorum SKS019. RSC Adv. 2017, 7, 20128–20134. [Google Scholar] [CrossRef]
- Luo, X.; Lin, X.; Tao, H.; Wang, J.; Li, J.; Yang, B.; Zhou, X.; Liu, Y. Isochromophilones A–F, cytotoxic chloroazaphilones from the marine mangrove endophytic fungus Diaporthe sp. SCSIO 41011. J. Nat. Prod. 2018, 81, 934–941. [Google Scholar] [CrossRef]
- Cui, H.; Lin, Y.; Luo, M.; Lu, Y.; Huang, X.; She, Z. Diaporisoindoles A–C: Three isoprenylisoindole alkaloid derivatives from the mangrove endophytic fungus Diaporthe sp. SYSU-HQ3. Org. Lett. 2017, 19, 5621–5624. [Google Scholar] [CrossRef]
- Cui, H.; Liu, Y.; Li, J.; Huang, X.; Yan, T.; Cao, W.; Liu, H.; Long, Y.; She, Z. Diaporindenes A–D: Four unusual 2, 3-dihydro-1 H-indene analogues with anti-inflammatory activities from the mangrove endophytic fungus Diaporthe sp. SYSU-HQ3. J. Org. Chem. 2018, 83, 11804–11813. [Google Scholar] [CrossRef]
- Chang, F.R.; Wang, S.W.; Li, C.Y.; Lu, Y.Y.; Vanson Liu, S.Y.; Chen, C.Y.; Wu, Y.C.; Cheng, Y.B. Natural Products from Diaporthe arecae with Anti-Angiogenic Activity. Isr. J. Chem. 2019, 59, 439–445. [Google Scholar] [CrossRef]
- Cui, H.; Yu, J.; Chen, S.; Ding, M.; Huang, X.; Yuan, J.; She, Z. Alkaloids from the mangrove endophytic fungus Diaporthe phaseolorum SKS019. Bioorg. Med. Chem. Lett. 2017, 27, 803–807. [Google Scholar] [CrossRef] [PubMed]
- Schloß, S.; Hackl, T.; Herz, C.; Lamy, E.; Koch, M.; Rohn, S.; Maul, R. Detection of a toxic methylated derivative of phomopsin A produced by the legume-infesting fungus Diaporthe toxica. J. Nat. Prod. 2017, 80, 1930–1934. [Google Scholar] [CrossRef] [PubMed]
- Liu, Z.; Chen, Y.; Li, S.; Wang, Q.; Hu, C.; Liu, H.; Zhang, W. Bioactive metabolites from the deep-sea-derived fungus Diaporthe longicolla fs429. Mar. Drugs 2020, 18, 381. [Google Scholar] [CrossRef]
- Chen, Y.; Zou, G.; Yang, W.; Zhao, Y.; Tan, Q.; Chen, L.; Wang, J.; Ma, C.; Kang, W.; She, Z. Metabolites with anti-inflammatory activity from the mangrove endophytic fungus Diaporthe sp. QYM12. Mar. Drugs 2021, 19, 56. [Google Scholar] [CrossRef] [PubMed]
- Sun, W.-W.; Li, C.-Y.; Chiang, Y.-M.; Lin, T.-S.; Warren, S.; Chang, F.-R.; Wang, C.C. Characterization of a silent azaphilone biosynthesis gene cluster in Aspergillus terreus NIH 2624. Fungal Genet. Biol. 2022, 160, 103694. [Google Scholar] [CrossRef]
- Grover, S.; Lawrence, C.B. The Alternaria alternata mycotoxin alternariol suppresses lipopolysaccharide-induced inflammation. Int. J. Mol. Sci. 2017, 18, 1577. [Google Scholar] [CrossRef]
- Reveglia, P.; Masi, M.; Evidente, A. Melleins—Intriguing natural compounds. Biomolecules 2020, 10, 772. [Google Scholar] [CrossRef]
- Masi, M.; Bashiri, S.; Cimmino, A.; Bahmani, Z.; Abdollahzadeh, J.; Evidente, A. Phytotoxins produced by two Biscogniauxia rosacearum strains, causal agents of grapevine trunk diseases, and charcoal canker of oak trees in Iran. Toxins 2021, 13, 812. [Google Scholar] [CrossRef]
- Gautier, C.; Pinson-Gadais, L.; Richard-Forget, F. Fusarium mycotoxins enniatins: An updated review of their occurrence, the producing Fusarium species, and the abiotic determinants of their accumulation in crop harvests. J. Agric. Food Chem. 2020, 68, 4788–4798. [Google Scholar] [CrossRef]
- El Khoury, A.; Atoui, A. Ochratoxin A: General overview and actual molecular status. Toxins 2010, 2, 461–493. [Google Scholar] [CrossRef]
- Weber, J.; Vaclavikova, M.; Wiesenberger, G.; Haider, M.; Hametner, C.; Fröhlich, J.; Berthiller, F.; Adam, G.; Mikula, H.; Fruhmann, P. Chemical synthesis of culmorin metabolites and their biologic role in culmorin and acetyl-culmorin treated wheat cells. Org. Biomol. Chem. 2018, 16, 2043–2048. [Google Scholar] [CrossRef] [PubMed]
- Jayasuriya, H.; Silverman, K.C.; Zink, D.L.; Jenkins, R.G.; Sanchez, M.; Pelaez, F.; Vilella, D.; Lingham, R.B.; Singh, S.B. Clavaric Acid: A Triterpenoid Inhibitor of Farnesyl-Protein Transferase from Clavariadelphus t runcatus. J. Nat. Prod. 1998, 61, 1568–1570. [Google Scholar] [CrossRef] [PubMed]
- Itoh, H.; Miura, A.; Takeda, I.; Matsui, M.; Tamano, K.; Machida, M.; Shibata, T. Search for transcription factors affecting productivity of the polyketide FR901512 in filamentous fungal sp. No. 14919 and identification of Drf1, a novel negative regulator of the biosynthetic gene cluster. Biosci. Biotechnol. Biochem. 2019, 83, 1163–1170. [Google Scholar] [CrossRef] [PubMed]
Disclaimer/Publisher’s Note: The statements, opinions and data contained in all publications are solely those of the individual author(s) and contributor(s) and not of MDPI and/or the editor(s). MDPI and/or the editor(s) disclaim responsibility for any injury to people or property resulting from any ideas, methods, instructions or products referred to in the content. |
© 2023 by the authors. Licensee MDPI, Basel, Switzerland. This article is an open access article distributed under the terms and conditions of the Creative Commons Attribution (CC BY) license (https://creativecommons.org/licenses/by/4.0/).












