Formulation of Emulgels Containing Clotrimazole for the Treatment of Vaginal Candidiasis
Abstract
1. Introduction
2. Results and Discussion
2.1. Physical Appearance of the Gels
2.2. Rheological Measurements
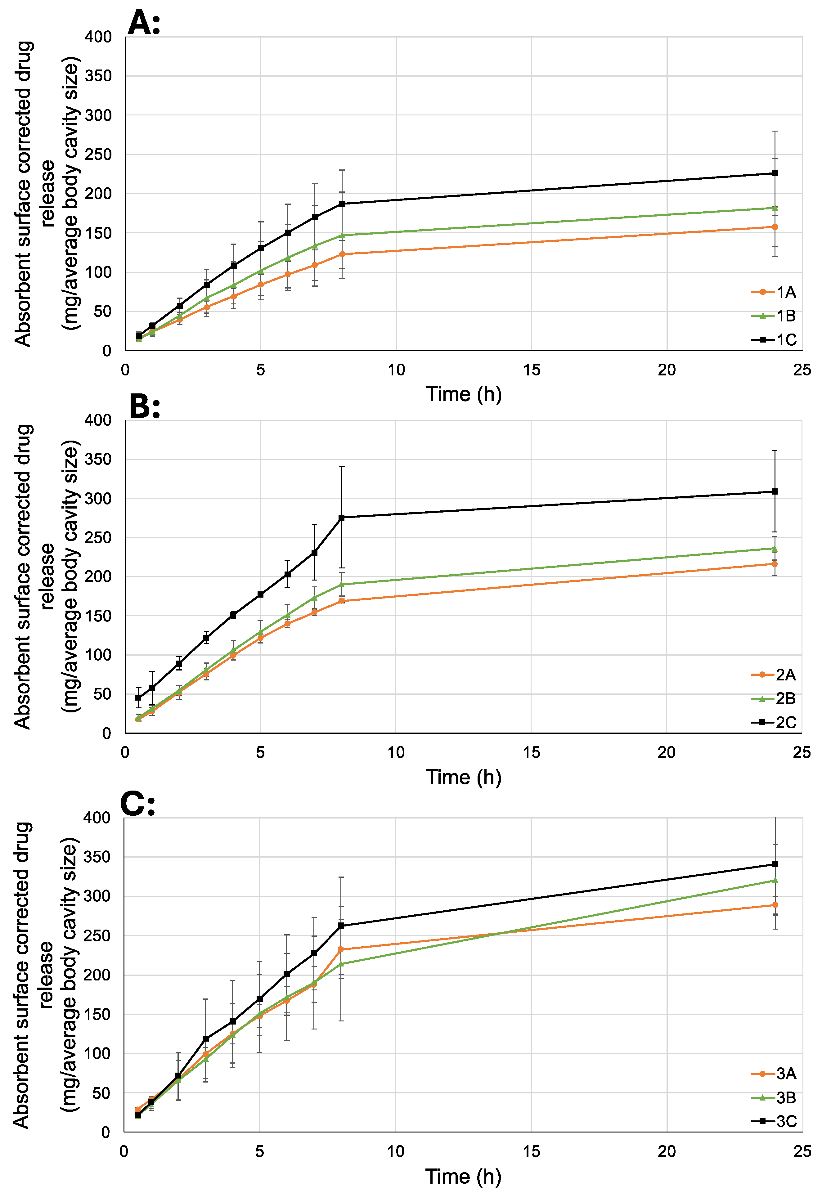
2.3. In Vitro Release
2.4. Mucoadhesion Measurement
2.5. Spreadability
2.6. Microstructural Investigation
3. Conclusions
4. Materials and Methods
4.1. Materials
4.2. Methods
4.2.1. Preparation of Gels
4.2.2. Rheological Measurements
4.2.3. In Vitro Release
4.2.4. Mucoadhesion Measurement
4.2.5. Spreadability
4.2.6. Microstructural Investigation
4.2.7. Statistical Statement
Author Contributions
Funding
Data Availability Statement
Conflicts of Interest
References
- InformedHealth.org. Cologne, Germany: Institute for Quality and Efficiency in Health Care (IQWiG); 2006–Overview: Vaginal Yeast Infection (Thrush) [Updated 4 April 2022]. Available online: https://www.ncbi.nlm.nih.gov/books/NBK543220/ (accessed on 24 September 2024).
- Grigoriou, O.; Baka, S.; Makrakis, E.; Hassiakos, D.; Kapparos, G.; Kouskouni, E. Prevalence of clinical vaginal candidiasis in a university hospital and possible risk factors. Eur. J. Obstet. Gynecol. Reprod. Biol. 2006, 126, 121–125. [Google Scholar] [CrossRef] [PubMed]
- Zeng, X.; Zhang, Y.; Zhang, T.; Xue, Y.; Xu, H.; An, R. Risk Factors of Vulvovaginal Candidiasis among Women of Reproductive Age in Xi’an: A Cross-Sectional Study. BioMed Res. Int. 2018, 2018, 9703754. [Google Scholar] [CrossRef]
- Sobel, J.D. Recurrent vulvovaginal candidiasis. Am. J. Obstet. Gynecol. 2016, 214, 15–21. [Google Scholar] [CrossRef] [PubMed]
- Donders, G.; Sziller, I.O.; Paavonen, J.; Hay, P.; de Seta, F.; Bohbot, J.M.; Kotarski, J.; Vives, J.A.; Szabo, B.; Cepuliené, R.; et al. Management of recurrent vulvovaginal candidosis: Narrative review of the literature and European expert panel opinion. Front. Cell Infect. Microbiol. 2022, 12, 934353. [Google Scholar] [CrossRef]
- Osmałek, T.; Froelich, A.; Jadach, B.; Tatarek, A.; Gadziński, P.; Falana, A.; Gralińska, K.; Ekert, M.; Puri, V.; Wrotyńska-Barczyńska, J.; et al. Recent Advances in Polymer-Based Vaginal Drug Delivery Systems. Pharmaceutics 2021, 13, 884. [Google Scholar] [CrossRef] [PubMed]
- Haque, S.N.; Bhuyan, M.M.; Jeong, J.-H. Radiation-Induced Hydrogel for Water Treatment. Gels 2024, 10, 375. [Google Scholar] [CrossRef]
- Ochoa Andrade, A.; Parente, E.; Ares, G. Screening of mucoadhesive vaginal gel formulations. Braz. J. Pharm. Sci. 2014, 50, 931–941. [Google Scholar] [CrossRef]
- Chatterjee, S.; Hui, P.C.; Kan, C.-W. Thermoresponsive Hydrogels and Their Biomedical Applications: Special Insight into Their Applications in Textile Based Transdermal Therapy. Polymers 2018, 10, 480. [Google Scholar] [CrossRef]
- Permana, A.D.; Asri, R.M.; Amir, M.N.; Himawan, A.; Arjuna, A.; Juniarti, N.; Utami, R.N.; Mardikasari, S.A. Development of Thermoresponsive Hydrogels with Mucoadhesion Properties Loaded with Metronidazole Gel-Flakes for Improved Bacterial Vaginosis Treatment. Pharmaceutics 2023, 15, 1529. [Google Scholar] [CrossRef]
- Argenta, D.F.; Bernardo, B.d.C.; Chamorro, A.F.; Matos, P.R.; Caon, T. Thermosensitive hydrogels for vaginal delivery of secnidazole as an approach to overcome the systemic side-effects of oral preparations. Eur. J. Pharm. Sci. 2021, 159, 105722. [Google Scholar] [CrossRef]
- da Silva, J.B.; Cook, M.T.; Bruschi, M.L. Thermoresponsive systems composed of poloxamer 407 and HPMC or NaCMC: Mechanical, rheological and sol-gel transition analysis. Carbohydr. Polym. 2020, 240, 116268. [Google Scholar] [CrossRef]
- Zarrintaj, P.; Ramsey, J.D.; Samadi, A.; Atoufi, Z.; Yazdi, M.K.; Ganjali, M.R.; Amirabad, L.M.; Zangene, E.; Farokhi, M.; Formela, K.; et al. Poloxamer: A versatile tri-block copolymer for biomedical applications. Acta Biomater. 2020, 110, 37–67. [Google Scholar] [CrossRef] [PubMed]
- Singh-Joy, S.D.; McLain, V.C. Safety assessment of poloxamers 101, 105, 108, 122, 123, 124, 181, 182, 183, 184, 185, 188, 212, 215, 217, 231, 234, 235, 237, 238, 282, 284, 288, 331, 333, 334, 335, 338, 401, 402, 403, and 407, poloxamer 105 benzoate, and poloxamer 182 dibenzoate as used in cosmetics. Int. J. Toxicol. 2008, 27 (Suppl. 2), 93–128. [Google Scholar] [CrossRef]
- Krstonošić, V.S.; Sazdanić, D.B.; Ćirin, D.M.; Nikolić, I.R.; Hadnađev, M.S.; Atanacković Krstonošić, M.T. Characterization of Oil-in-Water Emulsions Prepared with Triblock Copolymer Poloxamer 407 and Low-Molecular-Mass Surfactant Mixtures as Carriers of Grape Pomace Waste Polyphenols. Pharmaceutics 2024, 16, 578. [Google Scholar] [CrossRef]
- Dinte, E.; Iovanov, R.I.; Bodoki, A.E.; Colosi, I.A.; Colosi, H.A.; Tosa, N.; Vostinaru, O.; Tomuta, I. Optimization of a Mucoadhesive Vaginal Gel Containing Clotrimazole Using a D-Optimal Experimental Design and Multivariate Analysis. Polymers 2023, 15, 2023. [Google Scholar] [CrossRef] [PubMed]
- Nematpour, N.; Moradipour, P.; Zangeneh, M.M.; Arkan, E.; Abdoli, M.; Behbood, L. The application of nanomaterial science in the formulation a novel antibiotic: Assessment of the antifungal properties of mucoadhesive clotrimazole loaded nanofiber versus vaginal films. Mater. Sci. Eng. C 2020, 110, 110635. [Google Scholar] [CrossRef] [PubMed]
- Available online: https://www.webmd.com/drugs/2/drug-5115/clotrimazole-vaginal/details (accessed on 24 September 2024).
- Samrudhi, P.; Ravikumar, P. Honey based clotrimazole microemulsion for topical delivery. Indo Am. J. Pharm. Res. 2016, 6, 6908–6925. [Google Scholar]
- Balata, G.; Mahdi, M.; Bakera, R.A. Improvement of solubility and dissolution properties of clotrimazole by solid dispersions and inclusion complexes. Indian J. Pharm. Sci. 2011, 73, 517–526. [Google Scholar] [CrossRef]
- Zhu, M.; Frank, M.W.; Radka, C.D.; Jeanfavre, S.; Xu, J.; Tse, M.W.; Pacheco, J.A.; Kim, J.S.; Pierce, K.; Deik, A.; et al. Vaginal Lactobacillus fatty acid response mechanisms reveal a metabolite-targeted strategy for bacterial vaginosis treatment. Cell 2024, 187, 5413–5430.e29. [Google Scholar] [CrossRef]
- Available online: https://www.broadinstitute.org/news/common-fatty-acid-may-help-restore-healthy-vaginal-bacteria-after-infection (accessed on 24 September 2024).
- Notario-Pérez, F.; Martín-Illana, A.; Cazorla-Luna, R.; Ruiz-Caro, R.; Bedoya, L.-M.; Peña, J.; Veiga, M.-D. Development of mucoadhesive vaginal films based on HPMC and zein as novel formulations to prevent sexual transmission of HIV. Int. J. Pharm. 2019, 570, 118643. [Google Scholar] [CrossRef]
- Aka-Any-Grah, A.; Bouchemal, K.; Koffi, A.; Agnely, F.; Zhang, M.; Djabourov, M.; Ponchel, G. Formulation of mucoadhesive vaginal hydrogels insensitive to dilution with vaginal fluids. Eur. J. Pharm. Biopharm. 2010, 76, 296–303. [Google Scholar] [CrossRef] [PubMed]
- Abidin, I.Z.; Murphy, E.J.; Fehrenbach, G.W.; Rezoagli, E.; Gately, N.; Major, I. A systematic review of mucoadhesive vaginal tablet testing. Drug Target Insights 2023, 17, 5–30. [Google Scholar] [CrossRef] [PubMed]
- Fakhari, A.; Corcoran, M.; Schwarz, A. Thermogelling properties of purified poloxamer 407. Heliyon 2017, 3, e00390. [Google Scholar] [CrossRef] [PubMed]
- Britannica, The Editors of Encyclopaedia. “Oleic Acid”. Encyclopedia Britannica, 8 August 2024. Available online: https://www.britannica.com/science/oleic-acid (accessed on 24 September 2024).
- Pendergrass, P.B.; Reeves, C.A.; Belovicz, M.W.; Molter, D.J.; White, J.H. The shape and dimensions of the human vagina as seen in three-dimensional vinyl polysiloxane casts. Gynecol. Obstet. Investig. 1996, 42, 178–182. [Google Scholar] [CrossRef]
- Available online: https://www.drugs.com/pro/metrogel-vaginal.html (accessed on 24 September 2024).
- Available online: https://ae.betadine.global/en/ae/product-category/product/feminine-care/betadine-vaginal-gel (accessed on 24 September 2024).
- Available online: https://www.drugs.com/dosage/clotrimazole-topical.html (accessed on 24 September 2024).
- Available online: https://www.canesten.hu/ismerje-meg-termekeinket/canesten-huvelytabletta (accessed on 24 September 2024).
- del Palacio, A.; Sanz, F.; Garcia-Bravo, M.; Gimeno, C.; Cuetara, S.; Miranda, P.; R-Noriega, A. Single dose treatment of vaginal candidosis: Randomised comparison of amorolfine (50 mg and 100 mg) and clotrimazole (500 mg) in patients with vulvovaginal candidosis. Mycoses 1991, 34, 85–91. [Google Scholar] [CrossRef]
- Alexandridis, P.; Alan Hatton, T. Poly(ethylene oxide) poly(propylene oxide) poly(ethylene oxide) block copolymer surfactants in aqueous solutions and at interfaces: Thermodynamics, structure, dynamics, and modeling. Colloids Surf. A Physicochem. Eng. Asp. 1995, 96, 1–46. [Google Scholar] [CrossRef]
- Kolašinac, N.; Kachrimanis, K.; Homšek, I.; Grujić, B.; Đurić, Z.; Ibrić, S. Solubility enhancement of desloratadine by solid dispersion in poloxamers. Int. J. Pharm. 2012, 436, 161–170. [Google Scholar] [CrossRef] [PubMed]
- Shriky, B.; Vigato, A.A.; Sepulveda, A.F.; Machado, I.P.; de Araujo, D.R. Poloxamer-based nanogels as delivery systems: How structural requirements can drive their biological performance? Biophys. Rev. 2023, 15, 475–496. [Google Scholar] [CrossRef]
- Joshi, S.C.; Chen, B. Swelling, Dissolution and Disintegration of HPMC in Aqueous Media. In Proceedings of the 13th International Conference on Biomedical Engineering, Singapore, 3–6 December 2008; Springer: Berlin/Heidelberg, Germany, 2009; pp. 1244–1247. [Google Scholar]
- Choi, H.-G.; Jung, J.-H.; Ryu, J.-M.; Yoon, S.-J.; Oh, Y.-K.; Kim, C.-K. Development of in situ-gelling and mucoadhesive acetaminophen liquid suppository. Int. J. Pharm. 1998, 165, 33–44. [Google Scholar] [CrossRef]
- Chen, J.; Zhou, R.; Li, L.; Li, B.; Zhang, X.; Su, J. Mechanical, Rheological and Release Behaviors of a Poloxamer 407/ Poloxamer 188/Carbopol 940 Thermosensitive Composite Hydrogel. Molecules 2013, 18, 12415–12425. [Google Scholar] [CrossRef]
- Giuliano, E.; Paolino, D.; Fresta, M.; Cosco, D. Mucosal Applications of Poloxamer 407-Based Hydrogels: An Overview. Pharmaceutics 2018, 10, 159. [Google Scholar] [CrossRef] [PubMed]
- Brambilla, E.; Locarno, S.; Gallo, S.; Orsini, F.; Pini, C.; Farronato, M.; Thomaz, D.V.; Lenardi, C.; Piazzoni, M.; Tartaglia, G. Poloxamer-Based Hydrogel as Drug Delivery System: How Polymeric Excipients Influence the Chemical-Physical Properties. Polymers 2022, 14, 3624. [Google Scholar] [CrossRef] [PubMed]
- Souto, E.B.; Müller, R. Rheological and in vitro release behaviour of clotrimazole-containing aqueous SLN dispersions and commercial creams. Die Pharmazie 2007, 62, 505–509. [Google Scholar] [CrossRef] [PubMed]
- Nawaz, A.; Jan, S.U.; Khan, N.R.; Hussain, A.; Khan, G.M. Formulation and in vitro evaluation of clotrimazole gel containing almond oil and tween 80 as penetration enhancer for topical application. Pak. J. Pharm. Sci. 2013, 26, 617–622. [Google Scholar] [PubMed]
- El-Houssieny, B.M.; Hamouda, H.M. Formulation and evaluation of clotrimazole from pluronic F127 gels. Drug Discov. Ther. 2010, 4, 33–43. [Google Scholar]
- Huang, J.; Jacobsen, J.; Larsen, S.W.; Genina, N.; van de Weert, M.; Müllertz, A.; Nielsen, H.M.; Mu, H. Graphene oxide as a functional excipient in buccal films for delivery of clotrimazole: Effect of molecular interactions on drug release and antifungal activity in vitro. Int. J. Pharm. 2020, 589, 119811. [Google Scholar] [CrossRef]
- de Lima, J.A.; Paines, T.C.; Motta, M.H.; Weber, W.B.; dos Santos, S.S.; Cruz, L.; da Silva, C.d.B. Novel Pemulen/Pullulan blended hydrogel containing clotrimazole-loaded cationic nanocapsules: Evaluation of mucoadhesion and vaginal permeation. Mater. Sci. Eng. C 2017, 79, 886–893. [Google Scholar] [CrossRef]
- Bachhav, Y.G.; Patravale, V.B. Microemulsion-Based Vaginal Gel of Clotrimazole: Formulation, In Vitro Evaluation, and Stability Studies. AAPS PharmSciTech 2009, 10, 476–481. [Google Scholar] [CrossRef]
- Bhat, S.R.; Shivakumar, H.G. Bioadhesive controlled release clotrimazole vaginal tablets. Trop. J. Pharm. Res. 2010, 9, 339–346. [Google Scholar] [CrossRef][Green Version]
- Ekiert, R.J.; Krzek, J. Determination of azole antifungal medicines using zero-order and derivative UV spectrophotometry. Acta Pol. Pharm. 2009, 66, 19–24. [Google Scholar]
- Kast, C.E.; Valenta, C.; Leopold, M.; Bernkop-Schnürch, A. Design and in vitro evaluation of a novel bioadhesive vaginal drug delivery system for clotrimazole. J. Control. Release 2002, 81, 347–354. [Google Scholar] [CrossRef] [PubMed]
- Nho, Y.-C.; Park, J.-S.; Lim, Y.-M. Preparation of Poly(acrylic acid) Hydrogel by Radiation Crosslinking and Its Application for Mucoadhesives. Polymers 2014, 6, 890–898. [Google Scholar] [CrossRef]
- Singh, V.K.; Sagiri, S.; Khade, S.; Bhattacharya, M.K.; Pal, K. Development and characterization of gelatin–polysaccharide based phase-separated hydrogels for prevention of sexually transmitted diseases. J. Appl. Polym. Sci. 2014, 132, 15. [Google Scholar] [CrossRef]
- das Neves, J.; Amaral, M.H.; Bahia, M.F. Performance of an in vitro mucoadhesion testing method for vaginal semisolids: Influence of different testing conditions and instrumental parameters. Eur. J. Pharm. Biopharm. 2008, 69, 622–632. [Google Scholar] [CrossRef] [PubMed]








| PLX188 (%) | 0.0 | 5.0 | 10.0 | ||||||
| HPMC (%) | 0.0 | 0.5 | 1.0 | 0.0 | 0.5 | 1.0 | 0.0 | 0.5 | 1.0 | 
| Sol-gel transition T (°C) | 23.01 | 26.13 | 21.71 | 27.74 | 28.19 | 27.82 | 29.76 | 30.50 | 30.90 | 
| Sample | Time (h) | |||||||||
|---|---|---|---|---|---|---|---|---|---|---|
| 0.5 | 1 | 2 | 3 | 4 | 5 | 6 | 7 | 8 | 24 | |
| 1 A | 0.15 ± 0.04 | 0.22 ± 0.05 | 0.36 ± 0.06 | 0.49 ± 0.07 | 0.62 ± 0.09 | 0.76 ± 0.12 | 0.88 ± 0.15 | 0.98 ± 0.17 | 1.11 ± 0.16 | 1.42 ± 0.13 | 
| 1 B | 0.13 ± 0.02 | 0.22 ± 0.02 | 0.40 ± 0.09 | 0.60 ± 0.21 | 0.75 ± 0.27 | 0.92 ± 0.34 | 1.07 ± 0.38 | 1.21 ± 0.46 | 1.32 ± 0.50 | 1.64 ± 0.56 | 
| 1 C | 0.17 ± 0.04 | 0.29 ± 0.04 | 0.52 ± 0.08 | 0.76 ± 0.18 | 0.97 ± 0.24 | 1.17 ± 0.30 | 1.35 ± 0.33 | 1.53 ± 0.38 | 1.69 ± 0.38 | 2.04 ± 0.48 | 
| 2 A | 0.16 ± 0.03 | 0.25 ± 0.05 | 0.47 ± 0.08 | 0.68 ± 0.07 | 0.90 ± 0.06 | 1.09 ± 0.05 | 1.26 ± 0.05 | 1.39 ± 0.04 | 1.52 ± 0.02 | 1.95 ± 0.14 | 
| 2 B | 0.18 ± 0.04 | 0.28 ± 0.04 | 0.49 ± 0.06 | 0.73 ± 0.08 | 0.96 ± 0.11 | 1.17 ± 0.13 | 1.36 ± 0.12 | 1.56 ± 0.13 | 1.71 ± 0.14 | 2.13 ± 0.13 | 
| 2 C | 0.41 ± 0.12 | 0.64 ± 0.40 | 0.97 ± 0.60 | 1.23 ± 0.85 | 1.50 ± 1.13 | 1.70 ± 1.30 | 1.96 ± 1.46 | 2.20 ± 1.57 | 2.77 ± 1.82 | 2.80 ± 0.47 | 
| 3 A | 0.26 ± 0.03 | 0.38 ± 0.02 | 0.61 ± 0.04 | 0.90 ± 0.08 | 1.13 ± 0.11 | 1.33 ± 0.13 | 1.51 ± 0.16 | 1.70 ± 0.21 | 2.10 ± 0.34 | 2.60 ± 0.10 | 
| 3 B | 0.18 ± 0.01 | 0.32 ± 0.07 | 0.59 ± 0.23 | 0.84 ± 0.26 | 1.11 ± 0.36 | 1.36 ± 0.45 | 1.55 ± 0.50 | 1.71 ± 0.53 | 1.93 ± 0.65 | 2.89 ± 0.41 | 
| 3 C | 0.19 ± 0.00 | 0.34 ± 0.07 | 0.65 ± 0.27 | 1.07 ± 0.46 | 1.27 ± 0.47 | 1.53 ± 0.43 | 1.82 ± 0.45 | 2.05 ± 0.41 | 2.37 ± 0.56 | 3.07 ± 0.74 | 
| Parameter | 1 A | 1 B | 1 C | 2 A | 2 B | 2 C | 3 A | 3 B | 3 C | 
|---|---|---|---|---|---|---|---|---|---|
| KH | 38.012 | 45.697 | 58.297 | 53.294 | 58.385 | 82.579 | 67.834 | 66.286 | 78.351 | 
| Correlation coefficient (r) | 0.9907 | 0.9876 | 0.9881 | 0.9882 | 0.9862 | 0.9917 | 0.9882 | 0.9877 | 0.9847 | 
| PLX 188 | 0.0 | 5.0 | 10.0 | ||||||
| HPMC | 0.0 | 0.5 | 1.0 | 0.0 | 0.5 | 1.0 | 0.0 | 0.5 | 1.0 | 
| Force (g) | 71.17 ± 7.28 | 9.33 ± 0.76 | 5.67 ± 0.29 | 7.00 ± 1.32 | 5.83 ± 0.29 | 4.25 ± 0.35 | 5.67 ± 0.76 | 5.50 ± 0.50 | 4.83 ± 1.75 | 
| Name of the Sample | PLX407 (%; w/w) | PLX188 (%; w/w) | HPMC (%; w/w) | CLZ (%; w/w) | 
|---|---|---|---|---|
| 1 A | 21 | - | - | 4 | 
| 1 B | 21 | - | 0.5 | 4 | 
| 1 C | 21 | - | 1.0 | 4 | 
| 2 A | 21 | 5 | - | 4 | 
| 2 B | 21 | 5 | 0.5 | 4 | 
| 2 C | 21 | 5 | 1.0 | 4 | 
| 3 A | 21 | 10 | - | 4 | 
| 3 B | 21 | 10 | 0.5 | 4 | 
| 3 C | 21 | 10 | 1.0 | 4 | 
| Disclaimer/Publisher’s Note: The statements, opinions and data contained in all publications are solely those of the individual author(s) and contributor(s) and not of MDPI and/or the editor(s). MDPI and/or the editor(s) disclaim responsibility for any injury to people or property resulting from any ideas, methods, instructions or products referred to in the content. | 
© 2024 by the authors. Licensee MDPI, Basel, Switzerland. This article is an open access article distributed under the terms and conditions of the Creative Commons Attribution (CC BY) license (https://creativecommons.org/licenses/by/4.0/).
Share and Cite
Vilimi, Z.; Király, M.; Barna, Á.T.; Pápay, Z.E.; Budai, L.; Ludányi, K.; Kállai-Szabó, N.; Antal, I. Formulation of Emulgels Containing Clotrimazole for the Treatment of Vaginal Candidiasis. Gels 2024, 10, 730. https://doi.org/10.3390/gels10110730
Vilimi Z, Király M, Barna ÁT, Pápay ZE, Budai L, Ludányi K, Kállai-Szabó N, Antal I. Formulation of Emulgels Containing Clotrimazole for the Treatment of Vaginal Candidiasis. Gels. 2024; 10(11):730. https://doi.org/10.3390/gels10110730
Chicago/Turabian StyleVilimi, Zsófia, Márton Király, Ádám Tibor Barna, Zsófia Edit Pápay, Lívia Budai, Krisztina Ludányi, Nikolett Kállai-Szabó, and István Antal. 2024. "Formulation of Emulgels Containing Clotrimazole for the Treatment of Vaginal Candidiasis" Gels 10, no. 11: 730. https://doi.org/10.3390/gels10110730
APA StyleVilimi, Z., Király, M., Barna, Á. T., Pápay, Z. E., Budai, L., Ludányi, K., Kállai-Szabó, N., & Antal, I. (2024). Formulation of Emulgels Containing Clotrimazole for the Treatment of Vaginal Candidiasis. Gels, 10(11), 730. https://doi.org/10.3390/gels10110730
 
         
                                                



 
                         
       