Tailoring of the Properties of Amorphous Mesoporous Titanosilicates Active in Acetone Condensation
Abstract
1. Introduction
2. Results and Discussion
2.1. Physicochemical Properties of Catalysts
2.1.1. Phase Composition Study
2.1.2. Morphology Study
2.1.3. Porosity Study
2.1.4. Titanium State and Active Sites Formation Study
2.1.5. Acidity and Basicity Study
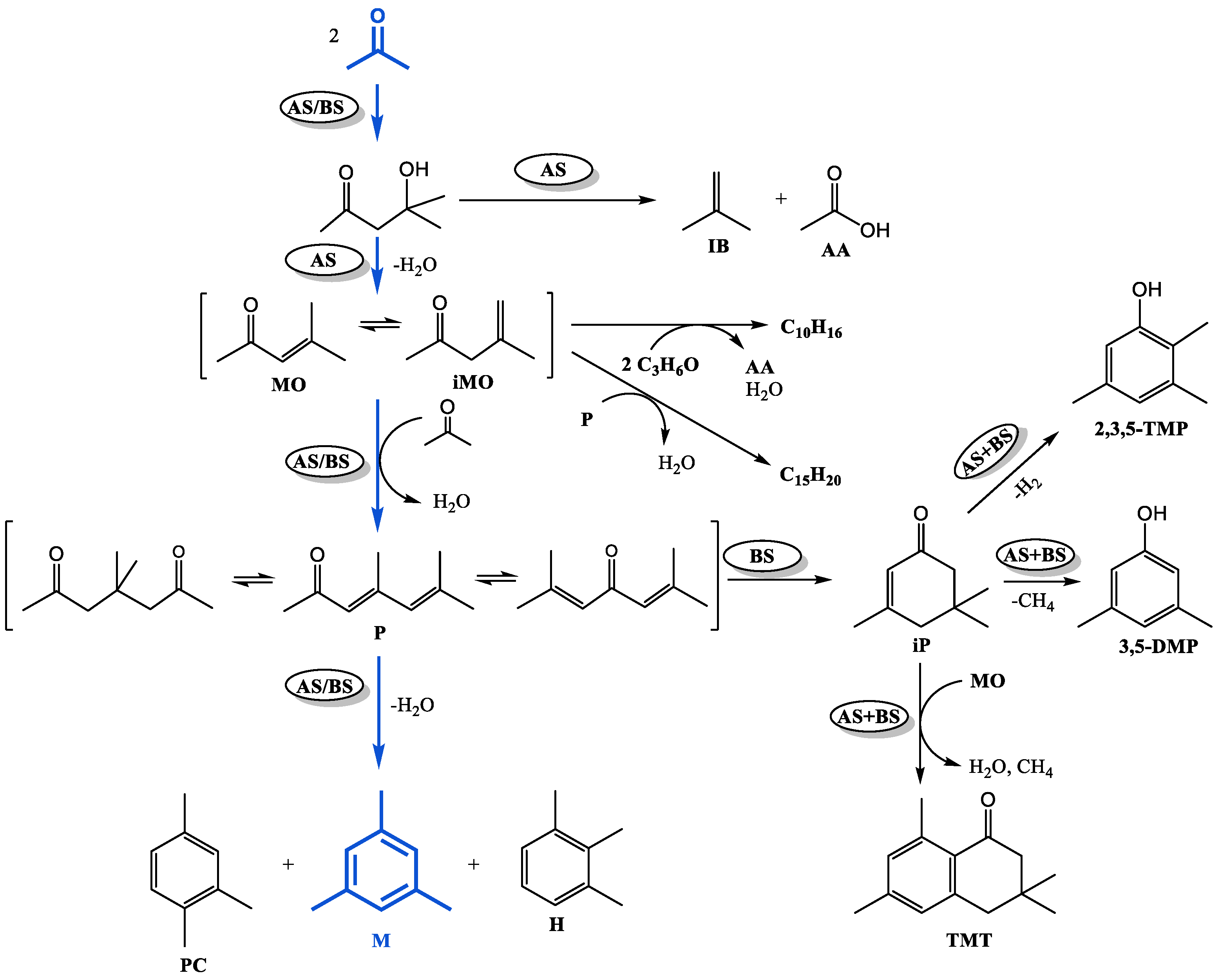
2.2. Result of Catalytic Performance
2.2.1. Stability of Ti-Containing Catalysts
2.2.2. Influence of Reaction Conditions
3. Conclusions
4. Materials and Methods
4.1. Synthesis of Titanosilicates via the Gels
4.1.1. Mesoporous Amorphous Titanosilicate TSMa (Acid-Catalyzed)
4.1.2. Mesoporous Amorphous Titanosilicate TSMa-Acacac (Acid-Catalyzed, Synthesized with Acetylacetone) via the Gels
4.1.3. Mesoporous Amorphous Amorphous Titanosilicate TSMb (Base-Catalyzed) via the Gels
4.2. Catalyst Characterization
4.3. Catalytic Performance
Supplementary Materials
Author Contributions
Funding
Institutional Review Board Statement
Informed Consent Statement
Data Availability Statement
Conflicts of Interest
References
- Zhang, H.; Li, M.; Li, J.; Agrawal, A.; Hui, H.-W.; Liu, D. Superiority of Mesoporous Silica-Based Amorphous Formulations over Spray-Dried Solid Dispersions. Pharmaceutics 2022, 14, 428. [Google Scholar] [CrossRef] [PubMed]
- Jadhav, S.A.; Patil, V.S.; Shinde, P.S.; Thoravat, S.S.; Patil, P.S. A Short Review on Recent Progress in Mesoporous Silicas for the Removal of Metal Ions from Water. Chem. Pap. 2020, 74, 4143–4157. [Google Scholar] [CrossRef]
- Kalashnikova, G.O.; Zhitova, E.S.; Selivanova, E.A.; Pakhomovsky, Y.A.; Yakovenchuk, V.N.; Ivanyuk, G.Y.; Kasikov, A.G.; Drogobuzhskaya, S.V.; Elizarova, I.R.; Kiselev, Y.G.; et al. The New Method for Obtaining Titanosilicate AM-4 and Its Decationated Form: Crystal Chemistry, Properties and Advanced Areas of Application. Microporous Mesoporous Mater. 2021, 313, 110787. [Google Scholar] [CrossRef]
- Khademi, A.; Babakhani, E.G.; Darian, J.T.; Mahdipoor, H.R. Synthesis, Characterization, and CO2 Adsorption Properties of Pure ETS-10. Results Chem. 2023, 6, 101113. [Google Scholar] [CrossRef]
- Bai, R.; Navarro, M.T.; Song, Y.; Zhang, T.; Zou, Y.; Feng, Z.; Zhang, P.; Corma, A.; Yu, J. Titanosilicate Zeolite Precursors for Highly Efficient Oxidation Reactions. Chem. Sci. 2020, 11, 12341–12349. [Google Scholar] [CrossRef]
- Van Grieken, R.; Sotelo, J.L.; Martos, C.; Fierro, J.L.G.; López-Granados, M.; Mariscal, R. Surface Modified Amorphous Titanosilicate Catalysts for Liquid Phase Epoxidation. Catal. Today 2000, 61, 49–54. [Google Scholar] [CrossRef]
- Kharrasov, R.U.; Agliullin, M.R.; Talipova, R.R.; Badikova, A.D.; Kutepov, B.I. Nontemplate Sol–Gel Synthesis of Catalytically Active Mesoporous Titanosilicates. Catal. Ind. 2016, 8, 287–292. [Google Scholar] [CrossRef]
- Saravanan, M.; Sudalai, S.; Dharaneesh, A.B.; Prahaaladhan, V.; Srinivasan, G.; Arumugam, A. An Extensive Review on Mesoporous Silica from Inexpensive Resources: Properties, Synthesis, and Application toward Modern Technologies. J. Sol-Gel Sci. Technol. 2023, 105, 1–29. [Google Scholar] [CrossRef]
- Venkateswara Rao, A.; Bhagat, S.D. Synthesis and Physical Properties of TEOS-Based Silica Aerogels Prepared by Two Step (Acid–Base) Sol–Gel Process. Solid State Sci. 2004, 6, 945–952. [Google Scholar] [CrossRef]
- Pavlov, V.S.; Bruter, D.V.; Konnov, S.V.; Ivanova, I.I. Effect of Silica Source on Zeolite MFI Crystallization in Fluoride Media and Its Physicochemical and Catalytic Properties. Microporous Mesoporous Mater. 2022, 341, 112088. [Google Scholar] [CrossRef]
- Bari, A.H.; Jundale, R.B.; Kulkarni, A. Understanding the Role of Solvent Properties on Reaction Kinetics for Synthesis of Silica Nanoparticles. Chem. Eng. J. 2020, 398, 125427. [Google Scholar] [CrossRef]
- Esposito, S. “Traditional” Sol-Gel Chemistry as a Powerful Tool for the Preparation of Supported Metal and Metal Oxide Catalysts. Materials 2019, 12, 668. [Google Scholar] [CrossRef] [PubMed]
- Qourzal, S.; Assabbane, A.; Ait-Ichou, Y. Synthesis of TiO2 via Hydrolysis of Titanium Tetraisopropoxide and Its Photocatalytic Activity on a Suspended Mixture with Activated Carbon in the Degradation of 2-Naphthol. J. Photochem. Photobiol. Chem. 2004, 163, 317–321. [Google Scholar] [CrossRef]
- Mahshid, S.; Askari, M.; Ghamsari, M.S. Synthesis of TiO2 Nanoparticles by Hydrolysis and Peptization of Titanium Isopropoxide Solution. J. Mater. Process. Technol. 2007, 189, 296–300. [Google Scholar] [CrossRef]
- Nachit, W.; Touhtouh, S.; Ramzi, Z.; Zbair, M.; Eddiai, A.; Rguiti, M.; Bouchikhi, A.; Hajjaji, A.; Benkhouja, K. Synthesis of Nanosized TiO2 Powder by Sol Gel Method at Low Temperature. Mol. Cryst. Liq. Cryst. 2016, 627, 170–175. [Google Scholar] [CrossRef]
- Karthik, P.; Vinesh, V.; Mahammed Shaheer, A.R.; Neppolian, B. Self-Doping of Ti3+ in TiO2 through Incomplete Hydrolysis of Titanium (IV) Isopropoxide: An Efficient Visible Light Sonophotocatalyst for Organic Pollutants Degradation. Appl. Catal. Gen. 2019, 585, 117208. [Google Scholar] [CrossRef]
- Philippou, A.; Anderson, M.W. Aldol-Type Reactions over Basic Microporous Titanosilicate ETS-10 Type Catalysts. J. Catal. 2000, 189, 395–400. [Google Scholar] [CrossRef]
- Kirsanov, V.Y.; Grigor’eva, N.G.; Kutepov, B.I.; Korzhova, L.F.; Karchevskii, S.G.; Usmanova, A.A.; Koledina, K.F.; Gubaidullin, I.M. A Kinetic Model of Catalytic Homocondensation of Acetone into Mesitylene. Pet. Chem. 2023, 63, 1311–1321. [Google Scholar] [CrossRef]
- Mustapha, S.; Ndamitso, M.M.; Abdulkareem, A.S.; Tijani, J.O.; Shuaib, D.T.; Ajala, A.O.; Mohammed, A.K. Application of TiO2 and ZnO Nanoparticles Immobilized on Clay in Wastewater Treatment: A Review. Appl. Water Sci. 2020, 10, 49. [Google Scholar] [CrossRef]
- Spiridonova, J.; Katerski, A.; Danilson, M.; Krichevskaya, M.; Krunks, M.; Oja Acik, I. Effect of the Titanium Isopropoxide:Acetylacetone Molar Ratio on the Photocatalytic Activity of TiO2 Thin Films. Molecules 2019, 24, 4326. [Google Scholar] [CrossRef]
- Gupta, S.; Tripathi, M. A Review on the Synthesis of TiO2 Nanoparticles by Solution Route. Open Chem. 2012, 10, 279–294. [Google Scholar] [CrossRef]
- Wu, L.; Tang, Z.; Yu, Y.; Yao, X.; Liu, W.; Li, L.; Yan, B.; Liu, Y.; He, M. Facile Synthesis of a High-Performance Titanosilicate Catalyst with Controllable Defective Ti(OSi)3OH Sites. Chem. Commun. 2018, 54, 6384–6387. [Google Scholar] [CrossRef]
- Xu, W.; Zhang, T.; Bai, R.; Zhang, P.; Yu, J. A One-Step Rapid Synthesis of TS-1 Zeolites with Highly Catalytically Active Mononuclear TiO6 Species. J. Mater. Chem. A 2020, 8, 9677–9683. [Google Scholar] [CrossRef]
- Zuo, Y.; Liu, M.; Zhang, T.; Hong, L.; Guo, X.; Song, C.; Chen, Y.; Zhu, P.; Jaye, C.; Fischer, D. Role of Pentahedrally Coordinated Titanium in Titanium Silicalite-1 in Propene Epoxidation. RSC Adv. 2015, 5, 17897–17904. [Google Scholar] [CrossRef]
- Su, J.; Xiong, G.; Zhou, J.; Liu, W.; Zhou, D.; Wang, G.; Wang, X.; Guo, H. Amorphous Ti Species in Titanium Silicalite-1: Structural Features, Chemical Properties, and Inactivation with Sulfosalt. J. Catal. 2012, 288, 1–7. [Google Scholar] [CrossRef]
- Deng, X.; Xu, Y.; Liu, J.; Lin, D.; Zong, Z.; Yuan, J.; Li, Z.; Zhao, G.; Zhang, Y.; Liu, Y.; et al. Regulating the Coordination Mode of Ti Atoms in the Beta Zeolite Framework to Enhance the 1-Hexene Epoxidation. Ind. Eng. Chem. Res. 2024, 63, 3817–3826. [Google Scholar] [CrossRef]
- Ricchiardi, G.; Damin, A.; Bordiga, S.; Lamberti, C.; Spanò, G.; Rivetti, F.; Zecchina, A. Vibrational Structure of Titanium Silicate Catalysts. A Spectroscopic and Theoretical Study. J. Am. Chem. Soc. 2001, 123, 11409–11419. [Google Scholar] [CrossRef]
- Bordiga, S.; Damin, A.; Bonino, F.; Ricchiardi, G.; Zecchina, A.; Tagliapietra, R.; Lamberti, C. Resonance Raman Effects in TS-1: The Structure of Ti(IV) Species and Reactivity towards H2O, NH3 and H2O2: An in Situ Study. Phys. Chem. Chem. Phys. 2003, 5, 4390–4393. [Google Scholar] [CrossRef]
- de Man, A.J.M.; Sauer, J. Coordination, Structure, and Vibrational Spectra of Titanium in Silicates and Zeolites in Comparison with Related Molecules. An Ab Initio Study. J. Phys. Chem. 1996, 100, 5025–5034. [Google Scholar] [CrossRef]
- Fan, F.; Feng, Z.; Li, C. UV Raman Spectroscopic Studies on Active Sites and Synthesis Mechanisms of Transition Metal-Containing Microporous and Mesoporous Materials. Acc. Chem. Res. 2010, 43, 378–387. [Google Scholar] [CrossRef]
- Emeis, C.A. Determination of Integrated Molar Extinction Coefficients for Infrared Absorption Bands of Pyridine Adsorbed on Solid Acid Catalysts. J. Catal. 1993, 141, 347–354. [Google Scholar] [CrossRef]
- Tamura, M.; Shimizu, K.; Satsuma, A. Comprehensive IR Study on Acid/Base Properties of Metal Oxides. Appl. Catal. Gen. 2012, 433–434, 135–145. [Google Scholar] [CrossRef]
- Huber, S. Adsorption of CH-Acids on Magnesia An FTIR-Spectroscopic Study. J. Mol. Catal. Chem. 1999, 141, 117–127. [Google Scholar] [CrossRef]
- Faba, L.; Gancedo, J.; Quesada, J.; Diaz, E.; Ordóñez, S. One-Pot Conversion of Acetone into Mesitylene over Combinations of Acid and Basic Catalysts. ACS Catal. 2021, 11, 11650–11662. [Google Scholar] [CrossRef]
- Ngo, D.T.; Tan, Q.; Wang, B.; Resasco, D.E. Aldol Condensation of Cyclopentanone on Hydrophobized MgO. Promotional Role of Water and Changes in the Rate-Limiting Step upon Organosilane Functionalization. ACS Catal. 2019, 9, 2831–2841. [Google Scholar] [CrossRef]
- Paulis, M.; Martín, M.; Soria, D.B.; Díaz, A.; Odriozola, J.A.; Montes, M. Preparation and Characterization of Niobium Oxide for the Catalytic Aldol Condensation of Acetone. Appl. Catal. Gen. 1999, 180, 411–420. [Google Scholar] [CrossRef]
- Quesada, J.; Faba, L.; Díaz, E.; Ordóñez, S. Effect of Catalyst Morphology and Hydrogen Co-Feeding on the Acid-Catalysed Transformation of Acetone into Mesitylene. Catal. Sci. Technol. 2020, 10, 1356–1367. [Google Scholar] [CrossRef]
- Wang, C.; Yan, T.; Dai, W. Deactivation Mechanism of Acetone to Isobutene Conversion over Y/Beta Catalyst. Chin. J. Catal. 2024, 64, 133–142. [Google Scholar] [CrossRef]
- Faba, L.; Díaz, E.; Ordóñez, S. Gas Phase Acetone Self-Condensation over Unsupported and Supported Mg–Zr Mixed-Oxides Catalysts. Appl. Catal. B Environ. 2013, 142–143, 387–395. [Google Scholar] [CrossRef]
- Di Cosimo, J.I.; Díez, V.K.; Apesteguía, C.R. Base Catalysis for the Synthesis of α,β-Unsaturated Ketones from the Vapor-Phase Aldol Condensation of Acetone. Appl. Catal. Gen. 1996, 137, 149–166. [Google Scholar] [CrossRef]
- Grigor’eva, N.G.; Kirsanov, V.Y.; Korzhova, L.F.; Karchevskii, S.G.; Khazipova, A.N.; Bubennov, S.V.; Bikbaeva, V.R.; Serebrennikov, D.V.; Kutepov, B.I. Metal-Containing Granulated Yh Zeolites with Hierarchic Structure in Isophorone Aromatization. Pet. Chem. 2024, 64, 267–277. [Google Scholar] [CrossRef]
- Argyle, M.; Bartholomew, C. Heterogeneous Catalyst Deactivation and Regeneration: A Review. Catalysts 2015, 5, 145–269. [Google Scholar] [CrossRef]
- Quesada, J.; Faba, L.; Díaz, E.; Bennici, S.; Auroux, A.; Ordóñez, S. Role of Surface Intermediates in the Deactivation of Mg Zr Mixed Oxides in Acetone Self-Condensation: A Combined DRIFT and Ex Situ Characterization Approach. J. Catal. 2015, 329, 1–9. [Google Scholar] [CrossRef]








| Sample | Acid Sites Concentration, μmol∙pyridine g−1 | BAS/LAS | |
|---|---|---|---|
| BAS | LAS | ||
| TiO2 | 4 | 77 | 0.05 |
| TSMb | 0 | 8 | - |
| TSMa-40 | 0 | 29 | - |
| TSMa-acac | 0 | 55 | - |
| TSMa-20 | 0 | 47 | - |
| TSMa-80 | 0 | 18 | - |
| Catalyst | TiO2 | TSMb | TSMa-40 | TSMa-acac |
|---|---|---|---|---|
| Acetone conversion, % | 81 | 6 | 60 | 44 |
| Selectivity, % | ||||
| MO + iMO | 2 | 15 | 4 | 5 |
| M | 35 | 76 | 77 | 80 |
| Ps + H | 1 | 0 | traces | 0 |
| IP | 1 | 0 | 1 | traces |
| IB | 0 | 0 | 0 | 0 |
| AA | traces | 0 | 0 | 0 |
| 3,5-DMP | 2 | 0 | 5 | 3 |
| ΣC10H16 | 21 | 2 | 2 | 1 |
| ΣC15H20 | 20 | 0 | 1 | 0 |
| TMT | 5 | 0 | 1 | 2 |
| 2,3,5-TMP | traces | traces | 8 | 5 |
| Others | 13 | 7 | 1 | 4 |
Disclaimer/Publisher’s Note: The statements, opinions and data contained in all publications are solely those of the individual author(s) and contributor(s) and not of MDPI and/or the editor(s). MDPI and/or the editor(s) disclaim responsibility for any injury to people or property resulting from any ideas, methods, instructions or products referred to in the content. |
© 2024 by the authors. Licensee MDPI, Basel, Switzerland. This article is an open access article distributed under the terms and conditions of the Creative Commons Attribution (CC BY) license (https://creativecommons.org/licenses/by/4.0/).
Share and Cite
Bikbaeva, V.R.; Artem’eva, A.S.; Bubennov, S.V.; Nikiforov, A.I.; Kirsanov, V.Y.; Serebrennikov, D.V.; Korzhova, L.F.; Karchevsky, S.G.; Khalilov, L.M.; Kutepov, B.I.; et al. Tailoring of the Properties of Amorphous Mesoporous Titanosilicates Active in Acetone Condensation. Gels 2024, 10, 732. https://doi.org/10.3390/gels10110732
Bikbaeva VR, Artem’eva AS, Bubennov SV, Nikiforov AI, Kirsanov VY, Serebrennikov DV, Korzhova LF, Karchevsky SG, Khalilov LM, Kutepov BI, et al. Tailoring of the Properties of Amorphous Mesoporous Titanosilicates Active in Acetone Condensation. Gels. 2024; 10(11):732. https://doi.org/10.3390/gels10110732
Chicago/Turabian StyleBikbaeva, Vera R., Anna S. Artem’eva, Sergey V. Bubennov, Alexander I. Nikiforov, Viktor Y. Kirsanov, Dmitry V. Serebrennikov, Lubov F. Korzhova, Stanislav G. Karchevsky, Leonard M. Khalilov, Boris I. Kutepov, and et al. 2024. "Tailoring of the Properties of Amorphous Mesoporous Titanosilicates Active in Acetone Condensation" Gels 10, no. 11: 732. https://doi.org/10.3390/gels10110732
APA StyleBikbaeva, V. R., Artem’eva, A. S., Bubennov, S. V., Nikiforov, A. I., Kirsanov, V. Y., Serebrennikov, D. V., Korzhova, L. F., Karchevsky, S. G., Khalilov, L. M., Kutepov, B. I., & Grigoreva, N. G. (2024). Tailoring of the Properties of Amorphous Mesoporous Titanosilicates Active in Acetone Condensation. Gels, 10(11), 732. https://doi.org/10.3390/gels10110732

