Characterization of Beeswax and Rice Bran Wax Oleogels Based on Different Types of Vegetable Oils and Their Impact on Wheat Flour Dough Technological Behavior during Bun Making
Abstract
1. Introduction
2. Results and Discussion
2.1. Rheological Characterization of Oleogels according to Frequency
2.2. Thermal Properties of Oleogels
2.3. Thermogravimetric Analysis of Oleogels
2.4. Texture Profile Analysis of Oleogels
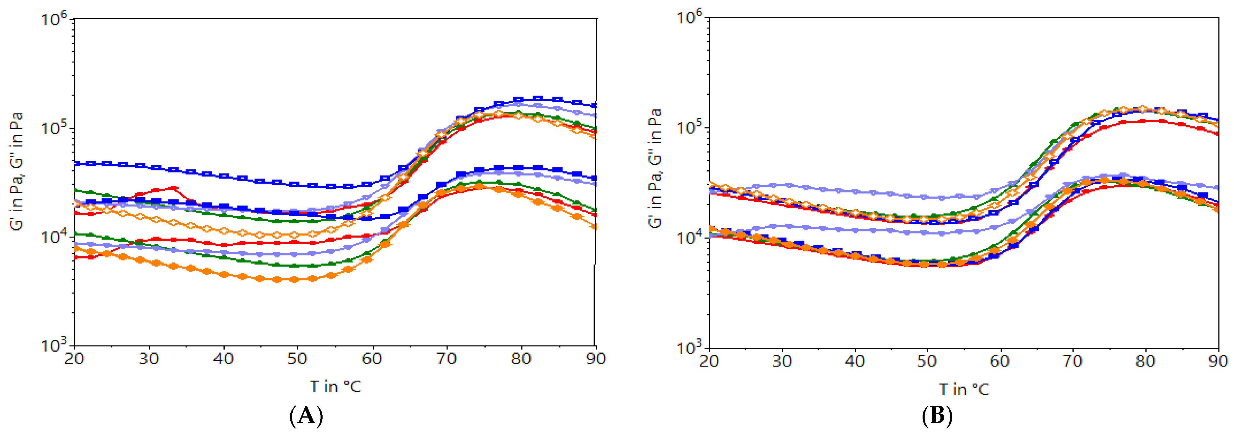
2.5. Rheological Characterization of Dough during Heating
2.6. Rheological Properties of Dough during Fermentation
2.7. Rheological Characterization of Dough from Wheat Flour and Different Types of Oleogels Using Mixolab
2.8. Texture Profile Analysis of the Wheat Flour Dough with Different Types of Oleogel Additions
2.9. Principal Component Analysis of Thermal and Rheological Properties of Oleogels
3. Conclusions
4. Materials and Methods
4.1. Materials
4.2. Preparation of Oleogels
4.3. Dough Preparation for Fundamental Rheological Analysis
4.4. Dough Preparation for Rheological Properties Analysis during Fermentation
4.5. Rheological Behavior of Oleogels and Dough
4.6. Differential Scanning Calorimetry
4.7. Thermogravimetric Analysis of Oleogels
4.8. Texture Profile Analysis of Oleogels
4.9. Rheological Properties of Dough during Fermentation
4.10. Rheological Characteristics of Dough Using Mixolab Device
4.11. Dough Texture Analysis
4.12. Statistical Analysis
Supplementary Materials
Author Contributions
Funding
Institutional Review Board Statement
Informed Consent Statement
Data Availability Statement
Acknowledgments
Conflicts of Interest
References
- Pipoyan, D.; Stepanyan, S.; Stepanyan, S.; Beglaryan, M.; Costantini, L.; Molinari, R.; Merendino, N. The effect of trans fatty acids on human health: Regulation and consumption patterns. Foods 2021, 10, 2452. [Google Scholar] [CrossRef]
- Demirkesen, I.; Mert, B. Recent developments of oleogel utilizations in bakery products. Crit. Rev. Food Sci. Nutr. 2020, 60, 2460–2479. [Google Scholar] [CrossRef]
- Ropciuc, S.; Dranca, F.; Oroian, M.A.; Leahu, A.; Codină, G.G.; Prisacaru, A.E. Structuring of cold pressed oils: Evaluation of the physicochemical characteristics and microstructure of white beeswax oleogels. Gels 2023, 9, 216. [Google Scholar] [CrossRef] [PubMed]
- Pușcaș, A.; Tanislav, A.E.; Mureșan, A.E.; Fărcaș, A.C.; Mureșan, V. Walnut oil oleogels as milk fat replacing system for commercially available chocolate butter. Gels 2022, 8, 613. [Google Scholar] [CrossRef] [PubMed]
- Uzunova, G.; Perifanova-Nemska, M.; Stojanova, M.; Gandev, S. Chemical composition of walnut oil from fruits on different years old branches. Bulg. J. Agric. Sci. 2015, 21, 494–497. [Google Scholar]
- Petraru, A.; Ursachi, F.; Amariei, S. Nutritional characteristics assessment of sunflower seeds, oil and cake. Perspective of using sunflower oilcakes as a functional ingredient. Plants 2021, 10, 2487. [Google Scholar] [CrossRef] [PubMed]
- Wijarnprecha, K.; Aryusuk, K.; Santiwattana, P.; Sonwai, S.; Rousseau, D. Structure and rheology of oleogels made from rice bran wax and rice bran oil. Food Res. Int. 2018, 112, 199–208. [Google Scholar] [CrossRef] [PubMed]
- Winkler-Moser, J.K.; Anderson, J.; Felker, F.C.; Hwang, H. Physical properties of beeswax, sunflower Wax, and candelilla wax mixtures and oleogels. J. Am. Oil Chem. Soc. 2019, 96, 1125–1142. [Google Scholar] [CrossRef]
- Dimakopoulou-Papazoglou, D.; Giannakaki, F.; Katsanidis, E. Structural and physical characteristics of mixed-component oleogels: Natural wax and monoglyceride interactions in different edible oils. Gels 2023, 9, 627. [Google Scholar] [CrossRef]
- Pandolsook, S.; Kupongsak, S. Influence of bleached rice bran wax on the physicochemical properties of organogels and water-in-oil emulsions. J. Food Eng. 2017, 214, 182–192. [Google Scholar] [CrossRef]
- Modupalli, N.; Thangaraju, S.; Naik, G.M.; Rawson, A.; Natarajan, V. Assessment of physicochemical, functional, thermal, and phytochemical characteristics of refined rice bran wax. Food Chem. 2022, 396, 133737. [Google Scholar] [CrossRef]
- Pinto, T.C.; Martins, A.J.; Pastrana, L.; Pereira, M.C.; Cerqueira, M.A. Oleogel-based systems for the delivery of bioactive compounds in foods. Gels 2021, 7, 86. [Google Scholar] [CrossRef]
- Mert, B.; Demirkesen, I. Evaluation of highly unsaturated oleogels as shortening replacer in a short dough product. LWT Food Sci. Technol. 2016, 68, 477–484. [Google Scholar] [CrossRef]
- Mert, B.; Demirkesen, I. Reducing saturated fat with oleogel/shortening blends in a baked product. Food Chem. 2016, 199, 809–816. [Google Scholar] [CrossRef] [PubMed]
- Doan, C.D.; To, C.M.; De Vrieze, M.; Lynen, F.; Danthine, S.; Brown, A.; Dewettinck, K.; Patel, A.R. Chemical profiling of the major components in natural waxes to elucidate their role in liquid oil structuring. Food Chem. 2017, 214, 717–725. [Google Scholar] [CrossRef]
- Barragán-Martínez, L.P.; Román-Guerrero, A.; Vernon-Carter, E.J.; Alvarez-Ramirez, J. Impact of fat replacement by a hybrid gel (canola oil/candelilla wax oleogel and gelatinized corn starch hydrogel) on dough viscoelasticity, color, texture, structure, and starch digestibility of sugar-snap cookies. Int. J. Gastron. Food Sci. 2022, 29, 100563. [Google Scholar] [CrossRef]
- Frolova, Y.; Sarkisyan, V.; Sobolev, R.; Makarenko, M.; Semin, M.; Kochetkova, A. The influence of edible oils’ composition on the properties of beeswax-based oleogels. Gels 2022, 8, 48. [Google Scholar] [CrossRef] [PubMed]
- Tanislav, A.E.; Pușcaș, A.; Păucean, A.; Mureșan, A.E.; Semeniuc, C.A.; Mureșan, V.; Mudura, E. Evaluation of structural behavior in the process dynamics of oleogel-based tender dough products. Gels 2022, 8, 317. [Google Scholar] [CrossRef]
- Blake, A. The Microstructure and Physical Properties of Plant-Based Waxes and Their Relationship to the Oil Binding Capacity of Wax Oleogels. Doctoral Dissertation, University of Guelph, Guelph, ON, Canada, 2015. [Google Scholar]
- Tavernier, I.; Doan, C.D.; Van de Walle, D.; Danthine, S.; Rimaux, T.; Dewettinck, K. Sequential crystallization of high and low melting waxes to improve oil structuring in wax-based oleogels. RSC Adv. 2017, 7, 12113–12125. [Google Scholar] [CrossRef]
- Thakur, D.; Singh, A.; Prabhakar, P.K.; Meghwal, M.; Upadhyay, A. Optimization and characterization of soybean oil-carnauba wax oleogel. LWT 2022, 157, 113108. [Google Scholar] [CrossRef]
- Patel, A.R.; Babaahmadi, M.; Lesaffer, A.; Dewettinck, K. Rheological profiling of organogels prepared at critical gelling concentrations of natural waxes in atriacylglycerol solvent. J. Agric. Food Chem. 2015, 63, 4862–4869. [Google Scholar] [CrossRef] [PubMed]
- Badem, Ş.; Baştürk, A. Oxidative stability and characterization of oleogels obtained from safflower oil-based beeswax and rice bran wax and their effect on the quality of cake samples. J. Am. Oil Chem. Soc. 2023, 100, 635–649. [Google Scholar] [CrossRef]
- Gutiérrez-Luna, K.; Astiasaran, I.; Ansorena, D. Fat reduced cookies using an olive oil-alginate gelled emulsion: Sensory properties, storage stability and in vitro digestion. Food Res. Int. 2023, 167, 112714. [Google Scholar] [CrossRef] [PubMed]
- Zhang, T.; Guan, E.; Yang, Y.; Liu, F.; Zhang, L.; Pang, J.; Bian, K. Fatty acid profiles of vegetable oils from four different plant sources and their effects on dough rheology and Chinese steamed bread quality. Int. J. Food Sci. Technol. 2021, 56, 2407–2414. [Google Scholar] [CrossRef]
- Espert, M.; Wang, Q.; Sanz, T.; Salvador, A. Sunflower oil-based oleogel as fat replacer in croissants: Textural and sensory characterisation. Food Bioprocess Technol. 2023, 16, 1943–1952. [Google Scholar] [CrossRef]
- Zhao, M.; Lan, Y.; Cui, L.; Monono, E.; Rao, J.; Chen, B. Formation, characterization, and potential food application of rice bran wax oleogels: Expeller-pressed corn germ oil versus refined corn oil. Food Chem. 2020, 309, 125704. [Google Scholar] [CrossRef]
- Doan, C.D.; Tavernier, I.; Danthine, S.; Rimaux, T.; Dewettinck, K. Physical compatibility between wax esters and triglycerides in hybrid shortenings and margarines prepared in rice bran oil. J. Sci. Food Agric. 2018, 98, 1042–1051. [Google Scholar] [CrossRef]
- Wei, F.; Miao, J.; Tan, H.; Feng, R.; Zheng, Q.; Cao, Y.; Lan, Y. Oleogel-structured emulsion for enhanced oxidative stability of perilla oil: Influence of crystal morphology and cooling temperature. LWT 2021, 139, 110560. [Google Scholar] [CrossRef]
- Espinosa-Solís, V.; García-Tejeda, Y.V.; Portilla-Rivera, O.M.; Barrera-Figueroa, V. Tailoring olive oil microcapsules via microfluidization of pickering o/w emulsions. Food Bioprocess Technol. 2021, 14, 1835–1843. [Google Scholar] [CrossRef]
- Pereira, L.H.; Pereira, J.; Garcia, J.S.; Trevisan, M.G. Seed oil detection in extra virgin olive oil by differential scanning calorimetry. J. Therm. Anal. Calorim. 2023, 148, 6833–6843. [Google Scholar] [CrossRef]
- Gila, A.; Sánchez-Ortiz, A.; Jiménez, A.; Beltrán, G. The ultrasound application does not affect to the thermal properties and chemical composition of virgin olive oils. Ultrason. Sonochem. 2021, 70, 105320. [Google Scholar] [CrossRef]
- Wirkowska-Wojdyła, M.; Ostrowska-Ligęza, E.; Górska, A.; Bryś, J. Application of chromatographic and thermal methods to study fatty acids composition and positional distribution, oxidation kinetic parameters and melting profile as important factors characterizing amaranth and quinoa oils. Appl. Sci. 2022, 12, 2166. [Google Scholar] [CrossRef]
- Sánchez, R.; Alonso, G.; Valencia, C.; Franco, J.M. Rheological and TGA study of acylated chitosan gel-like dispersions in castor oil: Influence of acyl substituent and acylation protocol. Chem. Eng. Res. Des. 2015, 100, 170–178. [Google Scholar] [CrossRef]
- Çokay, H.; Öğütcü, M. Determining the structure and stability of essential oil-sunflower wax and beeswax oleogels. J. Am. Oil Chem. Soc. 2023, 100, 993–1002. [Google Scholar] [CrossRef]
- Martín-Alfonso, M.A.; Rubio-Valle, J.F.; Hinestroza, J.P.; Martín-Alfonso, J.E. Impact of Vegetable Oil Type on the Rheological and Tribological Behavior of Montmorillonite-Based Oleogels. Gels 2022, 8, 504. [Google Scholar] [CrossRef] [PubMed]
- Bucio, A.; Moreno-Tovar, R.; Bucio, L.; Espinosa-Dávila, J.; Anguebes-Franceschi, F. Characterization of Beeswax, Candelilla Wax and Paraffin Wax for Coating Cheeses. Coatings 2021, 11, 261. [Google Scholar] [CrossRef]
- Öğütcü, M.; Yılmaz, E. Characterization of hazelnut oil oleogels prepared with sunflower and carnauba waxes. Int. J. Food Prop. 2015, 18, 1741–1755. [Google Scholar] [CrossRef]
- Dassanayake, L.S.K.; Kodali, D.R.; Ueno, S.; Sato, K. Physical properties of rice bran wax in bulk and organogels. J. Am. Oil Chem. Soc. 2009, 86, 1163. [Google Scholar] [CrossRef]
- Bascuas, S.; Morell, P.; Quiles, A.; Salvador, A.; Hernando, I. Use of oleogels to replace margarine in steamed and baked buns. Foods 2021, 10, 1781. [Google Scholar] [CrossRef]
- Jung, D.; Oh, I.; Lee, J.; Lee, S. Utilization of butter and oleogel blends in sweet pan bread for saturated fat reduction: Dough rheology and baking performance. LWT 2020, 125, 109194. [Google Scholar] [CrossRef]
- Marangoni, A.G. Organogels: An alternative edible oil-structuring method. J. Am. Oil Chem. Soc. 2012, 89, 749–780. [Google Scholar] [CrossRef]
- Mironeasa, S.; Codină, G.G.; Mironeasa, C. The effects of wheat flour substitution with grape seed flour on the rheological parameters of the dough assessed by Mixolab. J. Texture Stud. 2012, 43, 40–48. [Google Scholar] [CrossRef]
- Pareyt, B.; Finnie, S.M.; Putseys, J.A.; Delcour, J.A. Lipids in bread making: Sources, interactions, and impact on bread quality. J. Cereal Sci. 2011, 54, 266–279. [Google Scholar] [CrossRef]
- Banu, I.; Patrașcu, L.; Vasilean, I.; Dumitrașcu, L.; Aprodu, I. Influence of the protein-based emulsions on the rheological, thermo-mechanical and baking performance of muffin formulations. Appl. Sci. 2023, 13, 3316. [Google Scholar] [CrossRef]
- Oh, I.K.; Amoah, C.; Lim, J.; Jeong, S.; Lee, S. Assessing the effectiveness of wax-based sunflower oil oleogels in cakes as a shortening replacer. LWT 2017, 86, 430–437. [Google Scholar] [CrossRef]
- Baltsavias, A.; Jurgens, A.; van Vliet, T. Rheological properties of short doughs at small deformation. J. Cereal Sci. 1997, 26, 289–300. [Google Scholar] [CrossRef]
- Codină, G.G.; Mironeasa, S. Use of response surface methodology to investigate the effects of brown and golden flaxseed on wheat flour dough microstructure and rheological properties. J. Food Sci. Technol. 2016, 53, 4149–4158. [Google Scholar] [CrossRef] [PubMed]
- Malvano, F.; Laudisio, M.; Albanese, D.; D’Amore, M.; Marra, F. Olive oil-based oleogel as fat replacer in a sponge cake: A comparative study and optimization. Foods 2022, 11, 2643. [Google Scholar] [CrossRef]
- Kim, J.Y.; Lim, J.; Lee, J.; Hwang, H.; Lee, S. Utilization of oleogels as a replacement for solid fat in aerated baked goods: Physicochemical, rheological, and tomographic characterization. J. Food Sci. 2017, 82, 445–452. [Google Scholar] [CrossRef]
- Lu, T.-M.; Lee, C.-C.; Mau, J.-L.; Lin, S.-D. Quality and antioxidant property of green tea sponge cake. Food Chem. 2010, 119, 1090–1095. [Google Scholar] [CrossRef]
- Doan, C.D.; Van de Walle, D.; Dewettinck, K.; Patel, A.R. Evaluating the oil-gelling properties of natural waxes in rice bran oil: Rheological, thermal, and microstructural study. J. Am. Oil Chem. Soc. 2015, 92, 801–811. [Google Scholar] [CrossRef]
- Fayaz, G.; Goli, S.A.H.; Kadivar, M.; Valoppi, F.; Barba, L.; Calligaris, S.; Nicoli, M.C. Potential application of pomegranate seed oil oleogels based on monoglycerides, beeswax and propolis wax as partial substitutes of palm oil in functional chocolate spread. LWT 2017, 86, 523–529. [Google Scholar] [CrossRef]
- Hwang, H.; Singh, M.; Lee, S. Properties of cookies made with natural wax–vegetable oil organogels. J. Food Sci. 2016, 81, C1045–C1054. [Google Scholar] [CrossRef] [PubMed]
- Alvarez-Ramirez, J.; Vernon-Carter, E.J.; Carrera-Tarela, Y.; Garcia, A.; Roldan-Cruz, C. Effects of candelilla wax/canola oil oleogel on the rheology, texture, thermal properties and in vitro starch digestibility of wheat sponge cake bread. LWT 2020, 130, 109701. [Google Scholar] [CrossRef]
- Atudorei, D.; Atudorei, O.; Codină, G.G. The Impact of germinated chickpea flour addition on dough rheology and bread quality. Plants 2022, 11, 1225. [Google Scholar] [CrossRef]
- ICC Standard 173; Determination of Rheological Behaviour as a Fuction of Mixing and Temperature Increase. ICC Standards: Vienna, Austria, 2010.







| Sample | First Heating, 20 to 90 °C, Melting | First Cooling, 90 to −60 °C, Phase Transition | First Cooling, 90 to −60 °C, Phase Transition 2 | ||||||||||
|---|---|---|---|---|---|---|---|---|---|---|---|---|---|
| Onset, °C | Midpoint, °C | End, °C | Enthalpy, J/g | Onset, °C | Midpoint, °C | End, °C | ΔCp, J/(g. °C) | Enthalpy, J/g | Onset, °C | Midpoint, °C | End, °C | Enthalpy, J/g | |
| GO_5BW | 43.85 | 52.47 | 64.41 | 2.29 | 48.82 | 45.81 | 43.56 | 0.0040 | 0.53 | - | - | - | - | 
| GO_9BW | 44.71 | 58.39 | 68.95 | 4.52 | 52.61 | 49.28 | 46.59 | 0.0070 | 0.93 | - | - | - | - | 
| HO_5BW | 44.79 | 53.82 | 64.10 | 1.57 | 49.37 | 46.10 | 42.83 | 0.0060 | 0.42 | - | - | - | - | 
| HO_9BW | 42.87 | 52.98 | 64.85 | 4.44 | 52.82 | 48.96 | 46.93 | 0.0110 | 1.37 | - | - | - | - | 
| OL_5BW | 44.05 | 52.47 | 61.56 | 2.28 | 47.78 | 45.15 | 43.70 | 0.0010 | 0.61 | −57.97 | −49.72 | −41.35 | 24.51 | 
| OL_9B | 43.74 | 53.85 | 64.76 | 4.91 | 50.96 | 47.98 | 46.34 | 0.0030 | 1.20 | −57.63 | −48.89 | −39.81 | 28.76 | 
| SO_5BW | 44.39 | 58.72 | 68.86 | 2.84 | 49.71 | 46.63 | 43.38 | 0.0010 | 0.35 | - | - | - | - | 
| SO_9BW | 43.42 | 55.69 | 67.86 | 5.17 | 53.27 | 49.70 | 47.45 | 0.0020 | 1.22 | - | - | - | - | 
| WO_5BW | 43.97 | 52.84 | 64.53 | 2.41 | 49.16 | 45.49 | 43.27 | 0.0050 | 0.78 | - | - | - | - | 
| WO_9BW | 43.07 | 54.27 | 65.39 | 5.47 | 52.29 | 49.41 | 47.56 | 0.0060 | 0.87 | - | - | - | - | 
| GO_5RW | 59.91 | 72.09 | 81.05 | 5.48 | 67.14 | 63.36 | 59.55 | 0.0110 | 1.00 | - | - | - | - | 
| GO_9RW | 58.25 | 72.31 | 82.02 | 7.78 | 70.45 | 64.76 | 63.21 | 0.0120 | 5.56 | - | - | - | - | 
| HO_5RW | 58.81 | 71.53 | 80.61 | 5.92 | 70.11 | 65.32 | 62.26 | 0.0160 | 2.61 | - | - | - | - | 
| HO_9RW | 54.19 | 72.56 | 81.95 | 14.09 | 75.17 | 68.75 | 67.20 | 0.0270 | 6.36 | - | - | - | - | 
| OL_5RW | 45.12 | 70.57 | 84.19 | 9.67 | 68.00 | 63.74 | 61.39 | 0.0080 | 1.71 | −58.51 | −50.41 | −41.65 | 24.38 | 
| OL_9RW | 44.04 | 70.50 | 84.56 | 14.77 | 69.51 | 62.66 | 61.38 | 0.0350 | 6.97 | −58.43 | −50.20 | −42.45 | 27.82 | 
| SO_5RW | 43.59 | 70.13 | 84.06 | 9.43 | 68.01 | 62.92 | 59.86 | 0.0020 | 1.38 | - | - | - | - | 
| SO_9RW | 43.34 | 70.42 | 83.27 | 17.82 | 70.92 | 65.70 | 62.79 | 0.0150 | 4.34 | - | - | - | - | 
| WO_5RW | 43.59 | 67.36 | 80.16 | 4.45 | 57.56 | 54.65 | 52.46 | 0.0001 | 0.53 | - | - | - | - | 
| WO_9RW | 42.99 | 71.01 | 82.81 | 21.27 | 73.97 | 66.72 | 65.07 | 0.0160 | 11.13 | - | - | - | - | 
| GO | - | - | - | - | −16.43 | −14.68 | −12.59 | 0.0010 | 0.19 | −53.28 | −36.01 | −31.80 | 7.39 | 
| HO | - | - | - | - | - | - | - | - | - | - | - | - | - | 
| OL | - | - | - | - | −11.09 | −13.88 | −15.42 | 0.0020 | 1.23 | −40.68 | −48.84 | −58.54 | 29.97 | 
| SO | - | - | - | - | - | - | - | - | - | - | - | - | - | 
| WO | - | - | - | - | - | - | - | - | - | - | - | - | - | 
| BW | 34.68 | 67.28 | 83.91 | 185.05 | 67.53 | 60.49 | 59.34 | 0.0230 | 38.77 | - | - | - | - | 
| RW | 77.12 | 82.00 | 84.44 | 20.71 | 81.96 | 76.27 | 75.47 | 0.0030 | 55.12 | 61.12 | 57.69 | 47.29 | 20.44 | 
| Sample | Tonset (°C) | Tendset (°C) | Tfinal (°C) | ΔW (%) | Residue at 600 °C (%) | 
|---|---|---|---|---|---|
| GO-5BW | 323.11 | 473.48 | 484.76 | 83.89 | 16.11 | 
| GO-9BW | 344.37 | 456.29 | 489.10 | 91.72 | 8.28 | 
| HO-5BW | 355.90 | 464.09 | 494.47 | 86.56 | 13.44 | 
| HO-9BW | 351.20 | 462.46 | 492.26 | 83.79 | 16.21 | 
| OL-5BW | 297.26 | 451.10 | 497.00 | 93.96 | 6.04 | 
| OL-9BW | 325.63 | 453.64 | 484.99 | 95.91 | 4.09 | 
| SO-5BW | 365.27 | 467.64 | 499.52 | 96.37 | 3.63 | 
| SO-9BW | 352.34 | 470.41 | 506.16 | 94.79 | 5.21 | 
| WO-5BW | 347.49 | 478.81 | 519.74 | 93.00 | 7.00 | 
| WO-9BW | 379.07 | 472.20 | 503.63 | 91.53 | 8.47 | 
| GO-5RW | 355.46 | 470.95 | 503.00 | 92.55 | 7.45 | 
| GO-9RW | 377.46 | 465.07 | 493.52 | 97.06 | 2.94 | 
| HO-5RW | 378.64 | 471.00 | 498.89 | 89.61 | 10.39 | 
| HO-9RW | 381.36 | 473.39 | 500.16 | 89.06 | 10.94 | 
| OL-5RW | 360.34 | 463.31 | 555.45 | 97.09 | 2.91 | 
| OL-9RW | 349.41 | 461.57 | 502.37 | 97.38 | 2.62 | 
| SO-5RW | 351.67 | 467.95 | 503.95 | 97.66 | 2.34 | 
| SO-9RW | 354.38 | 467.06 | 499.21 | 97.80 | 2.20 | 
| WO-5RW | 380.29 | 472.22 | 513.74 | 73.87 | 26.13 | 
| WO-9RW | 379.84 | 476.15 | 504.58 | 93.05 | 6.95 | 
| Sample | Hardness (g) | Springiness (%) | Stickiness (%) | Adhesiveness (g.s) | Cohesiveness (%) | 
|---|---|---|---|---|---|
| GO-5BW | 30 de | 0.9 ab | −8.6 b | −2.3 a | 0.63 c | 
| HO-5BW | 26 fg | 0.9 ab | −9.81 b | −3.8 a | 0.56 c | 
| OL-5BW | 32 cd | 1.0 ab | −7.8 ab | −3.6 a | 0.55 d | 
| SO-5BW | 30 de | 0.8 b | −6.9 ab | −2.8 a | 0.47 ef | 
| WO-5BW | 29 def | 1.2 a | −9.8 b | −3.5 a | 0.42 f | 
| GO-9BW | 32 cd | 0.9 ab | −7.9 ab | −3.4 a | 0.88 a | 
| HO-9BW | 39 a | 1.1 ab | −8.6 b | −2.4 a | 0.82 a | 
| OL-9BW | 37 ab | 1.0 ab | −8.5 b | −3.2 a | 0.78 a | 
| SO-9BW | 31 cde | 1.0 ab | −9.2 b | −2.6 a | 0.84 a | 
| WO-9BW | 30 cd | 0.8 b | −9.7 b | −2.7 a | 0.77 ab | 
| GO-5RW | 36 ab | 1.2 a | −8.5 b | −3.1 a | 0.33 g | 
| HO-5RW | 26 fg | 1.0 ab | −8.6 b | −3.8 a | 0.52 de | 
| OL-5RW | 28 ef | 1.0 ab | −9.0 b | −2.9 a | 0.37 g | 
| SO-5RW | 24 gh | 0.8 b | −9.8 b | −3.4 a | 0.41 f | 
| WO-5RW | 26 fg | 0.8 b | −8.5 b | −3.6 a | 0.24 h | 
| GO-9RW | 36 ab | 0.9 ab | −8.6 b | −3.1 a | 0.67 ab | 
| HO-9RW | 32 cd | 0.9 ab | −9.9 b | −2.8 a | 0.42 f | 
| OL-9RW | 34 bc | 1.1 ab | −8.5 b | −2.3 a | 0.36 g | 
| SO-9RW | 36 ab | 1.2 a | −9.1 b | −2.4 a | 0.22 h | 
| WO-9RW | 30 de | 1.0 ab | −9.1 b | −2.9 a | 0.21 h | 
| F-value | 57.62 *** | 4.82 *** | 2.88 *** | 0.58 *** | 12.24 *** | 
| Sample | H’m (mm) | VT (mL) | VR (mL) | CR (VR/VT), % | 
|---|---|---|---|---|
| DGO-5BW | 36.65 gh | 1250 cd | 1065 g | 88.32 ef | 
| DHO-5BW | 38.36 fgh | 1263 cd | 1096 b | 86.71 f | 
| DOL-5BW | 38,54 ef | 1131 fg | 1025 l | 90.64 cd | 
| DSO-5BW | 38.36 efg | 986 j | 941 q | 95.50 a | 
| DWO-5BW | 34.40 i | 1275 b | 1030 j | 80.80 h | 
| DGO-9BW | 37.84 efgh | 1117 g | 1043 i | 93.30 b | 
| DHO-9BW | 34.49 i | 1133 fg | 1013 n | 89.40 de | 
| DOL-9BW | 33.99 i | 1239 d | 1090 d | 88.05 ef | 
| DSO-9BW | 37.48 h | 1239 d | 1094 c | 88.32 ef | 
| DWO-9BW | 39.60 e | 1212 e | 1079 e | 89.10 de | 
| DGO-5RW | 45.21 a | 1117 g | 1043 i | 93.30 b | 
| DHO-5RW | 42.92 bcd | 905 k | 750 r | 82.93 g | 
| DOL-5RW | 44.51 ab | 1046 i | 985 o | 94.22 ab | 
| DSO-5RW | 42.20 d | 1236 d | 1074 f | 86.94 f | 
| DWO-5RW | 45.42 a | 1086 h | 1016 m | 93.63 b | 
| DGO-9RW | 42.44 cd | 1127 g | 1028 k | 91.22 c | 
| DHO-9RW | 44.23 abc | 1151 f | 1078 e | 90.81 cd | 
| DOL-9RW | 46.00 a | 1364 a | 1220 a | 88.02 ef | 
| DSO-9RW | 42.60 cd | 1209 d | 1062 h | 87.84 ef | 
| DWO-9RW | 42.62 cd | 1049 i | 982 p | 93.51 b | 
| F-value | 47.114 *** | 262.27 *** | 23,358.08 *** | 42.57 *** | 
| Samples | ST (min) | DDT (min) | C1 (N∙m) | C2 (N∙m) | C3 (N∙m) | C4 (N∙m) | C5 (N∙m) | C12 (N∙m) | C32 (N∙m) | C54 (N∙m) | 
|---|---|---|---|---|---|---|---|---|---|---|
| WF | 9.26 ± 0.05 g | 1.73 ± 0.05 i | 1.08 ± 0.03 ab | 0.48 ± 0.01 g | 1.73 ± 0.02 g | 2.20 ± 0.33 m | 4.43 ± 0.01 o | 0.59 ± 0.30 a | 1.24 ± 0.15 f | 2.23 ± 0.04 j | 
| WF-5SG | 9.68 ± 0.10 k | 1.57 ± 0.02 fgh | 1.10 ± 0.01 ab | 0.46 ± 0.01 efg | 1.59 ± 0.01 f | 1.58 ± 0.01 f | 2.84 ± 0.01 d | 0.62 ± 0.02 ab | 1.13 ± 0.02 f | 1.26 ± 0.01 de | 
| DGO-5BW | 9.56 ± 0.05 ijk | 1.12 ± 0.01 b | 1.13 ± 0.15 b | 0.45 ± 0.01 defg | 1.16 ± 0.02 e | 1.11 ± 0.01 d | 2.91 ± 0.01 h | 0.68 ± 0.17 bc | 0.70 ± 0.13 e | 1.79 ± 0.01 f | 
| DHO-5BW | 8.80 ± 0.10 f | 1.59 ± 0.02 gh | 1.07 ± 0.02 ab | 0.44 ± 0.05 cdefg | 1.05 ± 0.01 bcde | 1.59 ± 0.01 g | 2.87 ± 0.00 def | 0.64 ± 0.55 abc | 0.62 ± 0.54 bcde | 1.28 ± 0.01 e | 
| DOL-5BW | 9.66 ± 0.05 jk | 1.58 ± 0.02 fgh | 1.10 ± 0.01 ab | 0.46 ± 0.00 efg | 1.01 ± 0.01 bc | 1.66 ± 0.12 g | 2.81 ± 0.01 c | 0.65 ± 0.02 abc | 0.55 ± 0.01 b | 1.14 ± 0.01 b | 
| DSO-5BW | 9.66 ± 0.05 jk | 1.59 ± 0.02 gh | 1.09 ± 0.01 ab | 0.44 ± 0.02 bcdef | 1.10 ± 0.00 bcde | 1.06 ± 0.00 c | 2.98 ± 0.01 i | 0.65 ± 0.28 abc | 0.66 ± 0.23 bcde | 1.91 ± 0.01 i | 
| DWO-5BW | 9.70 ± 0.10 k | 1.58 ± 0.02 fgh | 1.10 ± 0.01 ab | 0.45 ± 0.00 efg | 1.01 ± 0.00 abc | 1.66 ± 0.00 gh | 2.80 ± 0.01 c | 0.65 ± 0.00 abc | 0.55 ± 0.01 b | 1.14 ± 0.01 b | 
| DGO-9BW | 9.60 ± 0.10 jk | 1.47 ± 0.02 de | 1.09 ± 0.01 ab | 0.42 ± 0.00 bcdef | 1.58 ± 0.00 f | 1.52 ± 0.01 e | 2.72 ± 0.02 b | 0.67 ± 0.00 abc | 1.15 ± 0.00 f | 1.20 ± 0.15 c | 
| DHO-9BW | 8.36 ± 0.05 e | 1.47 ± 0.02 de | 1.08 ± 0.01 ab | 0.41 ± 0.01 bcd | 1.12 ± 0.01 cde | 1.71 ± 0.12 j | 2.90 ± 0.01 gh | 0.68 ± 0.01 bc | 0.71 ± 0.02 e | 1.19 ± 0.01 c | 
| DOL-9BW | 9.76 ± 0.05 k | 0.88 ± 0.02 a | 1.08 ± 0.01 ab | 0.42 ± 0.01 bcdef | 2.22 ± 0.02 h | 2.16 ± 0.01 l | 2.66 ± 0.01 a | 0.66 ± 0.14 abc | 1.80 ± 0.37 g | 0.49 ± 0.01 a | 
| DSO-9BW | 4.30 ± 0.10 c | 1.49 ± 0.02 ef | 1.10 ± 0.01 ab | 0.40 ± 0.01 bc | 1.10 ± 0.01 bcde | 1.05 ± 0.01 c | 2.88 ± 0.01 defg | 0.70 ± 0.01 c | 0.70 ± 0.10 e | 1.82 ± 0.01 fg | 
| DWO-9BW | 7.13 ± 0.05 d | 1.37 ± 0.03 cd | 1.07 ± 0.04 ab | 0.46 ± 0.02 efg | 1.03 ± 0.00 bcd | 0.97 ± 0.02 b | 3.45 ± 0.02 k | 0.62 ± 0.60 ab | 0.57 ± 0.17 bc | 2.48 ± 0.25 l | 
| DGO-5RW | 9.33 ± 0.05 hi | 0.95 ± 0.02 a | 1.05 ± 0.03 a | 0.39 ± 0.02 b | 1.04 ± 0.01 bcd | 0.96 ± 0.01 b | 3.42 ± 0.02 j | 0.66 ± 0.15 abc | 0.65 ± 0.18 bcde | 2.45 ± 0.19 l | 
| DHO-5RW | 8.95 ± 0.07 f | 1.60 ± 0.00 e | 1.06 ± 0.01 a | 0.40 ± 0.00 bc | 1.06 ± 0.00 bcde | 1.58 ± 0.12 f | 2.87 ± 0.01 de | 0.66 ± 0.12 abc | 0.65 ± 0.00 bcde | 1.28 ± 0.01 e | 
| DOL-5RW | 3.70 ± 0.10 b | 1.20 ± 0.10 b | 1.13 ± 0.01 b | 0.31 ± 0.01 a | 1.03 ± 0.00 bcd | 1.87 ± 0.01 k | 4.15 ± 0.01 m | 0.83 ± 0.02 d | 0.72 ± 0.08 e | 2.27 ± 0.01 k | 
| DSO-5RW | 9.66 ± 0.05 jk | 1.50 ± 0.02 efg | 1.09 ± 0.03 ab | 0.44 ± 0.02 bcdef | 1.12 ± 0.02 cde | 0.98 ± 0.00 b | 2.85 ± 0.01 d | 0.65 ± 0.53 abc | 0.67 ± 0.13 cde | 1.86 ± 0.01 h | 
| DWO-5RW | 9.40 ± 0.10 hij | 1.45 ± 0.02 cde | 1.07 ± 0.02 ab | 0.43 ± 0.00 bcdef | 1.13 ± 0.01 de | 1.70 ± 0.01 hi | 2.95 ± 0.01 i | 0.64 ± 0.20 abc | 0.70 ± 0.01 e | 1.24 ± 0.01 de | 
| DGO-9RW | 10.93 ± 0.15 l | 5.72 ± 0.03 j | 1.08 ± 0.03 ab | 0.46 ± 0.01 efg | 0.90 ± 0.01 a | 0.86 ± 0.012 a | 4.29 ± 0.01 n | 0.62 ± 0.27 ab | 0.43 ± 0.10 a | 3.43 ± 0.01 m | 
| DHO-9RW | 7.40 ± 0.10 d | 5.73 ± 0.02 j | 1.10 ± 0.00 ab | 0.47 ± 0.00 fg | 2.46 ± 0.02 i | 2.38 ± 0.33 n | 3.59 ± 0.01 l | 0.64 ± 0.01 abc | 1.99 ± 0.00 h | 1.20 ± 0.01 c | 
| DOL-9RW | 9.83 ± 0.05 k | 1.35 ± 0.01 c | 1.05 ± 0.01 a | 0.43 ± 0.00 bcdef | 1.01 ± 0.00 ab | 0.97 ± 0.01 b | 2.80 ± 0.01 c | 0.63 ± 0.01 abc | 0.57 ± 0.01 bcd | 1.83 ± 0.01 gh | 
| DSO-9RW | 9.66 ± 0.15 k | 1.50 ± 0.02 efg | 1.07 ± 0.01 ab | 0.44 ± 0.01 bcdef | 1.03 ± 0.01 bcd | 0.98 ± 0.01 b | 2.85 ± 0.00 d | 0.63 ± 0.01 abc | 0.58 ± 0.01 bcd | 1.87 ± 0.01 h | 
| DWO-9RW | 2.66 ± 0.05 a | 0.93 ± 0.02 a | 1.08 ± 0.03 a | 0.42 ± 0.00 bcde | 1.10 ± 0.01 bcde | 1.67 ± 0.01 gh | 2.89 ± 0.01 efg | 0.64 ± 0.01 abc | 0.68 ± 0.01 de | 1.21 ± 0.01 cd | 
| Sample | Hardness (g) | Stickiness (%) | Adhesiveness (g.s) | Cohesiveness (%) | Springiness (%) | 
|---|---|---|---|---|---|
| DGO_5BW | 772 j | −127.4 b | −1294 k | 38.4 e | 1 NS | 
| DHO_5BW | 729 p | −216 gh | −1453 l | 27.6 i | 1 NS | 
| DOL_5BW | 845 d | −203 e | −2145 p | 34.2 f | 1 NS | 
| DSO_5BW | 757 m | −128 b | −1876 n | 33.7 fg | 1 NS | 
| DWO_5BW | 763 l | −212 fg | −1022 j | 40.1 de | 1 NS | 
| DGO_9BW | 886 c | −124 ab | −890 g | 54.1 a | 1 NS | 
| DHO_9BW | 954 a | −236 ij | −789 d | 56.8 a | 1 NS | 
| DOL_9BW | 947 b | −236 j | −875 f | 47.5 b | 1 NS | 
| DSO_9BW | 821 e | −169 c | −987 i | 40.2 de | 1 NS | 
| DWO_9BW | 802 l | −209 ef | −908 h | 40.8 de | 1 NS | 
| DGO_5RW | 766 k | −189 d | −2765 r | 33.4 fg | 1 NS | 
| DHO_5RW | 751 n | −190 d | −2431 q | 30.7 ghi | 1 NS | 
| DOL_5RW | 804 g | −207 ef | −1899 o | 31.5 fgh | 1 NS | 
| DSO_5RW | 741 o | −221 h | −1765 m | 29.9 hi | 1 NS | 
| DWO_5RW | 75 2n | −216 gh | −2908 s | 27.6 i | 1 NS | 
| DGO_9RW | 780 l | −119 a | −679 b | 38.3 e | 1 NS | 
| DHO_9RW | 759 lm | −125 ab | −709 c | 38.7de | 1 NS | 
| DOL_9RW | 814 f | −208 ef | −814 e | 40.3 de | 1 NS | 
| DSO_9RW | 847 d | −230 i | −712 c | 44.3 bc | 1NS | 
| DWO_9RW | 794 h | −218 gh | −608 a | 41.9 cd | 1 NS | 
| F-value | 12,313.03 *** | 1301.50 *** | 1622 × 103 *** | 190.65 *** | 
| Dough Components for Fundamental Rheological Determination | Dough Components for Rheological Property Analysis during Fermentation | |||||||
|---|---|---|---|---|---|---|---|---|
| Flour, g | Salt, g | Water, mL | Oleogel, g | Flour, g | Salt, g | Yeast, g | Water, mL | Oleogel, g | 
| 30 | 0.45 | 17.4 | 1.5 | 300 | 5 | 3 | 174 | 15 | 
| Disclaimer/Publisher’s Note: The statements, opinions and data contained in all publications are solely those of the individual author(s) and contributor(s) and not of MDPI and/or the editor(s). MDPI and/or the editor(s) disclaim responsibility for any injury to people or property resulting from any ideas, methods, instructions or products referred to in the content. | 
© 2024 by the authors. Licensee MDPI, Basel, Switzerland. This article is an open access article distributed under the terms and conditions of the Creative Commons Attribution (CC BY) license (https://creativecommons.org/licenses/by/4.0/).
Share and Cite
Ropciuc, S.; Dranca, F.; Oroian, M.A.; Leahu, A.; Prisacaru, A.E.; Spinei, M.; Codină, G.G. Characterization of Beeswax and Rice Bran Wax Oleogels Based on Different Types of Vegetable Oils and Their Impact on Wheat Flour Dough Technological Behavior during Bun Making. Gels 2024, 10, 194. https://doi.org/10.3390/gels10030194
Ropciuc S, Dranca F, Oroian MA, Leahu A, Prisacaru AE, Spinei M, Codină GG. Characterization of Beeswax and Rice Bran Wax Oleogels Based on Different Types of Vegetable Oils and Their Impact on Wheat Flour Dough Technological Behavior during Bun Making. Gels. 2024; 10(3):194. https://doi.org/10.3390/gels10030194
Chicago/Turabian StyleRopciuc, Sorina, Florina Dranca, Mircea Adrian Oroian, Ana Leahu, Ancuţa Elena Prisacaru, Mariana Spinei, and Georgiana Gabriela Codină. 2024. "Characterization of Beeswax and Rice Bran Wax Oleogels Based on Different Types of Vegetable Oils and Their Impact on Wheat Flour Dough Technological Behavior during Bun Making" Gels 10, no. 3: 194. https://doi.org/10.3390/gels10030194
APA StyleRopciuc, S., Dranca, F., Oroian, M. A., Leahu, A., Prisacaru, A. E., Spinei, M., & Codină, G. G. (2024). Characterization of Beeswax and Rice Bran Wax Oleogels Based on Different Types of Vegetable Oils and Their Impact on Wheat Flour Dough Technological Behavior during Bun Making. Gels, 10(3), 194. https://doi.org/10.3390/gels10030194
 
        




 
       