Incorporation of Locust Bean Gum and Solid Lipid Microparticles as Strategies to Improve the Properties and Stability of Calcium-Rich Soy Protein Isolate Gels
Abstract
1. Introduction
2. Results and Discussion
2.1. Production and Characterization of CaCl2-Rich Cold-Set Gels: A Comparative Discussion
2.2. Effects of the Incorporation of Different Locust Bean Gum in CaCl2-Induced Gels
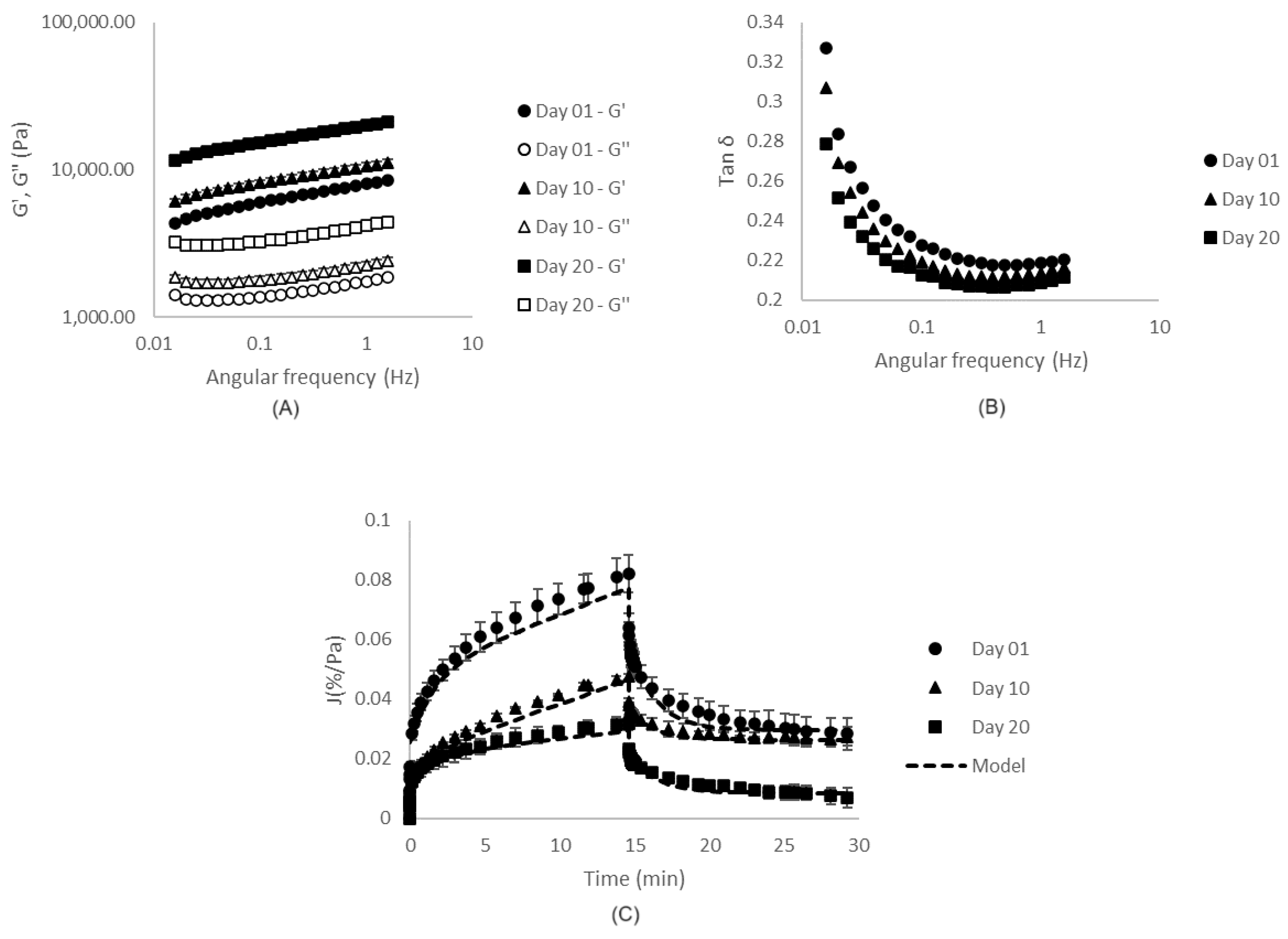
2.3. Evaluation of Gel Stability
2.4. Incorporation of Solid Lipid Microparticles as a Strategy to Improve the Gels’ Stability/Shelf-Life
3. Conclusions
4. Materials and Methods
4.1. Chemicals and Reagents
4.2. Production and Characterization of Cold-Set CaCl2-Rich Gels
4.3. Production of Emulsion-Filled Gels
4.3.1. Production of Solid Lipid Microparticles (SLMs)
4.3.2. Production of Emulsion-Filled Gels
4.4. Evaluation of Gel Stability
4.5. Confocal Laser Scanning Microscopy
4.6. Scanning Electron Microscopy
4.7. Water-Holding Capacity
4.8. Uniaxial Compression
4.9. Small Strain Oscillatory Tests
4.10. Creep/Recovery Tests
4.11. Statistical Analyses
Author Contributions
Funding
Data Availability Statement
Acknowledgments
Conflicts of Interest
References
- Willett, W.; Rockström, J.; Loken, B.; Springmann, M.; Lang, T.; Vermeulen, S.; Garnett, T.; Tilman, D.; DeClerck, F.; Wood, A.; et al. Food in the Anthropocene: The EAT–Lancet Commission on healthy diets from sustainable food systems. Lancet 2019, 393, 447–492. [Google Scholar] [CrossRef] [PubMed]
- Pang, S.; Chen, M.C. Investigating the impact of consumer environmental consciousness on food supply chain: The case of plant-based meat alternatives. Technol. Forecast. Soc. 2024, 201, 123190. [Google Scholar] [CrossRef]
- Akharume, F.U.; Aluko, R.E.; Adedeji, A.A. Modification of plant proteins for improved functionality: A review. Compr. Rev. Food Sci. Food Saf. 2021, 20, 198–224. [Google Scholar]
- Ma, K.K.; Greis, M.; Lu, J.; Nolden, A.A.; McClements, D.J.; Kinchla, A.J. Functional performance of plant proteins. Foods 2022, 11, 594. [Google Scholar] [CrossRef] [PubMed]
- Gao, K.; Rao, J.; Chen, B. Plant protein solubility: A challenge or insurmountable obstacle. Adv. Colloid. Interface Sci. 2024, 324, 103074. [Google Scholar] [CrossRef] [PubMed]
- Sim, S.Y.J.; Srv, A.; Chiang, J.H.; Henry, C.J. Plant proteins for future foods: A roadmap. Foods 2021, 10, 1967. [Google Scholar] [CrossRef] [PubMed]
- Brito-Oliveira, T.C.; Cavini, A.C.M.; Ferreira, L.S.; Moraes, I.C.; Pinho, S.C. Microstructural and rheological characterization of NaCl-induced gels of soy protein isolate and the effects of incorporating different galactomannans. Food Struct. 2020, 26, 100158. [Google Scholar] [CrossRef]
- Ingrassia, R.; Bea, L.L.; Hidalgo, M.E.; Risso, P.H. Microstructural and textural characteristics of soy protein isolate and tara gum cold-set gels. LWT 2019, 113, 108286. [Google Scholar] [CrossRef]
- Ningtyas, D.W.; Tam, B.; Bhandari, B.; Prakash, S. Effect of different types and concentrations of fat on the physico-chemical properties of soy protein isolate gel. Food Hydrocoll. 2021, 111, 106226. [Google Scholar] [CrossRef]
- Ma, Z.; Li, L.; Wu, C.; Huang, Y.; Teng, F.; Li, Y. Effects of combined enzymatic and ultrasonic treatments on the structure and gel properties of soybean protein isolate. LWT 2022, 158, 113123. [Google Scholar] [CrossRef]
- Xing, H.; Liu, X.; Hu, Y.; Hu, K.; Chen, J. Effect of Lycium barbarum polysaccharides on heat-induced gelation of soy protein isolate. Food Hydrocoll. 2024, 147, 109323. [Google Scholar] [CrossRef]
- Lu, Z.; Lee, P.R.; Yang, H. Kappa-carrageenan improves the gelation and structures of soy protein isolate through the formation of hydrogen bonding and electrostatic interactions. Food Hydrocoll. 2023, 140, 108585. [Google Scholar] [CrossRef]
- Monteiro, S.R.; Lopes-da-Silva, J.A. Effect of the molecular weight of a neutral polysaccharide on soy protein gelation. Food Res. Int. 2017, 102, 14–24. [Google Scholar] [CrossRef] [PubMed]
- Le, X.T.; Rioux, L.E.; Turgeon, S.L. Formation and functional properties of protein–polysaccharide electrostatic hydrogels in comparison to protein or polysaccharide hydrogels. Adv. Colloid. Interface Sci. 2017, 239, 127–135. [Google Scholar] [CrossRef] [PubMed]
- Zhao, H.; Chen, J.; Hemar, Y.; Cui, B. Improvement of the rheological and textural properties of calcium sulfate-induced soy protein isolate gels by the incorporation of different polysaccharides. Food Chem. 2020, 310, 125983. [Google Scholar] [CrossRef] [PubMed]
- Brito-Oliveira, T.C.; Cazado, C.P.; Cavini, A.C.M.; Santos, L.M.; Moraes, I.C.; Pinho, S.C. Cold-set NaCl-induced gels of soy protein isolate and locust bean gum: How the ageing process affect their microstructure and the stability of incorporated beta-carotene. LWT 2022, 154, 112677. [Google Scholar] [CrossRef]
- Chen, N.; Chassenieux, C.; Nicolai, T. Kinetics of NaCl induced gelation of soy protein aggregates: Effects of temperature, aggregate size, and protein concentration. Food Hydrocoll. 2018, 77, 66–74. [Google Scholar] [CrossRef]
- Yu, J.; Wang, Y.; Li, D.; Wang, L.J. Freeze-thaw stability and rheological properties of soy protein isolate emulsion gels induced by NaCl. Food Hydrocoll. 2022, 123, 107113. [Google Scholar] [CrossRef]
- Messerli, F.H.; Hofstetter, L.; Syrogiannouli, L.; Rexhaj, E.; Siontis, G.C.; Seiler, C.; Bangalore, S. Sodium intake, life expectancy, and all-cause mortality. Eur. Heart J. 2021, 42, 2103–2112. [Google Scholar] [CrossRef]
- Cormick, G.; Betrán, A.P.; Metz, F.; Palacios, C.; Beltrán-Velazquez, F.; García-Casal, M.D.L.N.; Peña-Rosas, J.P.; Hofmeyr, G.J.; Belizán, J.M. Regulatory and policy-related aspects of calcium fortification of foods. Implications for implementing national strategies of calcium fortification. Nutrients 2020, 12, 1022. [Google Scholar] [CrossRef]
- Palacios, C.; Hofmeyr, G.J.; Cormick, G.; Garcia-Casal, M.N.; Peña-Rosas, J.P.; Betrán, A.P. Current calcium fortification experiences: A review. Ann. N. Y. Acad. Sci. 2021, 1484, 55–73. [Google Scholar] [CrossRef] [PubMed]
- Teece, L.J.; Faers, M.A.; Bartlett, P. Ageing and collapse in gels with long-range attractions. Soft Matter 2011, 7, 1341–1351. [Google Scholar] [CrossRef]
- Renard, D.; van de Velde, F.; Visschers, R.W. The gap between food gel structure, texture and perception. Food Hydrocoll. 2006, 20, 423–431. [Google Scholar] [CrossRef]
- Buscall, R.; Choudhury, T.H.; Faers, M.A.; Goodwin, J.W.; Luckham, P.A.; Partridge, S.J. Towards rationalising collapse times for the delayed sedimentation of weakly-aggregated colloidal gels. Soft Matter 2009, 5, 1345–1349. [Google Scholar] [CrossRef]
- Bartlett, P.; Teece, L.J.; Faers, M.A. Sudden collapse of a colloidal gel. Phys. Rev. E 2012, 85, 021404. [Google Scholar] [CrossRef] [PubMed]
- Chang, W.Z.; Leong, Y.K. Ageing and collapse of bentonite gels—Effects of Li, Na, K and Cs ions. Rheol. Acta 2014, 53, 109–122. [Google Scholar] [CrossRef]
- Brito-Oliveira, T.C. Effect of the Incorporation of Galactomannans and Solid Lipid Particles Stabilized with Different Surfactants in the Properties and Stability of Cold-Set Gels. Ph.D. Thesis, Faculty of Animal Science and Food Engineering, University of Sao Paulo, Pirassununga, Brazil, 2021. [Google Scholar]
- Brito-Oliveira, T.C.; Bispo, M.; Moraes, I.C.; Campanella, O.H.; Pinho, S.C. Stability of curcumin encapsulated in solid lipid microparticles incorporated in cold-set emulsion filled gels of soy protein isolate and xanthan gum. Food Res. Int. 2017, 102, 759–767. [Google Scholar] [CrossRef] [PubMed]
- Brito-Oliveira, T.C.; Bispo, M.; Moraes, I.C.; Campanella, O.H.; Pinho, S.C. Cold-set gelation of commercial soy protein isolate: Effects of the incorporation of locust bean gum and solid lipid microparticles on the properties of gels. Food Biophys. 2018, 13, 226–239. [Google Scholar] [CrossRef]
- Bryant, C.M.; McClements, D.J. Molecular basis of protein functionality with special consideration of cold-set gels derived from heat-denatured whey. Trends Food Sci. Technol. 1998, 9, 143–151. [Google Scholar] [CrossRef]
- Kuhn, K.R.; Cavallieri, Â.L.F.; Da Cunha, R.L. Cold-set whey protein gels induced by calcium or sodium salt addition. Int. J. Food Sci. Technol. 2010, 45, 348–357. [Google Scholar] [CrossRef]
- Vilela, J.A.P.; Cavallieri, Â.L.F.; Da Cunha, R.L. The influence of gelation rate on the physical properties/structure of salt-induced gels of soy protein isolate–gellan gum. Food Hydrocoll. 2011, 25, 1710–1718. [Google Scholar] [CrossRef]
- Marangoni, A.G.; Barbut, S.; McGauley, S.E.; Marcone, M.; Narine, S.S. On the structure of particulate gels—The case of salt-induced cold gelation of heat-denatured whey protein isolate. Food Hydrocoll. 2000, 14, 61–74. [Google Scholar] [CrossRef]
- Guo, J.; Yang, X.Q.; He, X.T.; Wu, N.N.; Wang, J.M.; Gu, W.; Zhang, Y.Y. Limited aggregation behavior of β-conglycinin and its terminating effect on glycinin aggregation during heating at pH 7.0. J. Agric. Food Chem. 2012, 60, 3782–3791. [Google Scholar] [CrossRef] [PubMed]
- Nicolai, T.; Durand, D. Controlled food protein aggregation for new functionality. Curr. Opin. Colloid. Interface Sci. 2013, 18, 249–256. [Google Scholar] [CrossRef]
- Bryant, C.M.; McClements, D.J. Influence of NaCl and CaCl2 on cold-set gelation of heat-denatured whey protein. J. Food Sci. 2000, 65, 801–804. [Google Scholar] [CrossRef]
- Cavallieri, A.L.F.; Da Cunha, R.L. The effects of acidification rate, pH and ageing time on the acidic cold set gelation of whey proteins. Food Hydrocoll. 2008, 22, 439–448. [Google Scholar] [CrossRef]
- Alting, A.C.; Hamer, R.J.; de Kruif, C.G.; Visschers, R.W. Cold-set globular protein gels: Interactions, structure and rheology as a function of protein concentration. J. Agric. Food Chem. 2003, 51, 3150–3156. [Google Scholar] [CrossRef] [PubMed]
- Kuhn, K.R.; Cavallieri, Â.L.F.; Da Cunha, R.L. Cold-set whey protein–flaxseed gum gels induced by mono or divalent salt addition. Food Hydrocoll. 2011, 25, 1302–1310. [Google Scholar] [CrossRef]
- Monteiro, S.R.; Rebelo, S.; Silva, O.A.D.C.; Lopes-da-Silva, J.A. The influence of galactomannans with different amount of galactose side chains on the gelation of soy proteins at neutral pH. Food Hydrocoll. 2013, 33, 349–360. [Google Scholar] [CrossRef]
- de Jong, S.; van de Velde, F. Charge density of polysaccharide controls microstructure and large deformation properties of mixed gels. Food Hydrocoll. 2007, 21, 1172–1187. [Google Scholar] [CrossRef]
- Picone, C.S.; Takeuchi, K.P.; Cunha, R.L. Heat-induced whey protein gels: Effects of pH and the addition of sodium caseinate. Food Biophys. 2011, 6, 77–83. [Google Scholar] [CrossRef]
- Beuschel, B.C.; Culbertson, J.D.; Partridge, J.A.; Smith, D.M. Gelation and emulsification properties of partially insolubilized whey protein concentrates. J. Food Sci. 1992, 57, 605–609. [Google Scholar] [CrossRef]
- Oliver, L.; Scholten, E.; van Aken, G.A. Effect of fat hardness on large deformation rheology of emulsion-filled gels. Food Hydrocoll. 2015, 43, 299–310. [Google Scholar] [CrossRef]
- Chang, Y.Y.; Li, D.; Wang, L.J.; Bi, C.H.; Adhikari, B. Effect of gums on the rheological characteristics and microstructure of acid-induced SPI-gum mixed gels. Carbohydr. Polym. 2014, 108, 183–191. [Google Scholar] [CrossRef] [PubMed]






| Analysis | Parameter | LBG Concentration | |||
|---|---|---|---|---|---|
| 0% | 0.1% | 0.2% | 0.3% | ||
| Frequency sweep | K′ (Pa) | 18,881 b ± 1109 | 36,225 a ± 1750 | 21,322 b ± 1865 | 19,550 b ± 1072 |
| n′ | 0.150 a ± 0.003 | 0.151 a ± 0.002 | 0.149 a ± 0.002 | 0.146 a ± 0.002 | |
| R2 | 0.99 | 0.99 | 0.99 | 0.99 | |
| K″ (Pa) | 4233 b ± 248 | 8208 a ± 401 | 4852 b ± 433 | 4376 b ± 263 | |
| n″ | 0.115 a ± 0.004 | 0.117 a ± 0.001 | 0.115 a ± 0.003 | 0.112 a ± 0.002 | |
| R2 | 0.96 | 0.96 | 0.95 | 0.95 | |
| Creep/recovery | J0 (Pa−1) | 0.031 a ± 0.001 | 0.009 b ± 0.002 | 0.010 b ± 0.001 | 0.011 b ± 0.002 |
| J1 (Pa−1) | 0.021 a ± 0.001 | 0.006 b ± 0.002 | 0.007 b ± 0.001 | 0.008 b ± 0.001 | |
| λret (s) | 39.58 a ± 1.32 | 58.61 a ± 31.97 | 55.52 a ± 5.93 | 66.05 a ± 9.72 | |
| ɳ0 (Pa.s) | 27,865 b ± 1232 | 76,547 a ± 17,173 | 5995 a ± 2398 | 63,553 a ± 7003 | |
| R2 | 0.88 | 0.90 | 0.91 | 0.91 | |
| Ɛ (%) | 68.0 a ± 1.9 | 61.7 a ± 8.6 | 56.3 a ± 1.9 | 62.1 a ± 2.8 | |
| Uniaxial compression | Eg (Pa) | 4469 a ± 97 | 4064 b ± 82 | 2877 c ± 248 | 2868 c ± 102 |
| σH (Pa) | 1301 a ± 333.9 | 1519 a ± 199 | 845 b ± 82 | 859 b ± 93 | |
| ƐH | 0.288 a ± 0.046 | 0.346 a ± 0.056 | 0.212 b ± 0.031 | 0.225 b ± 0.014 | |
| Formulation | Parameter | Day 01 | Day 10 | Day 20 |
|---|---|---|---|---|
| Water-holding capacity | WHC (%) | 65.0 a ± 4.6 | 61.7 a ± 3.1 | 63.3 a ± 0.5 |
| Frequency sweep tests | K′ (Pa) | 8103 c ± 318 | 10,678 b ± 569 | 2011 a ± 562 |
| n′ | 0.1367 a ± 0.0023 | 0.1238 b ± 0.0018 | 0.1229 b ± 0.0038 | |
| R2 | 0.99 | 0.99 | 0.99 | |
| K″ (Pa) | 1698 c ± 50 | 2192 b ± 131 | 4060 a ± 92 | |
| n″ | 0.0754 a ± 0.0042 | 0.0710 a ± 0.0074 | 0.0805 a ± 0.0035 | |
| R2 | 0.86 | 0.82 | 0.91 | |
| Creep/recovery tests | J0 (%/Pa) | 0.0255 a ± 0.0022 | 0.0123 b ± 0.0003 | 0.0109 b ± 0.0017 |
| J1 (%/Pa) | 0.0231 a ± 0.0013 | 0.0084 b ± 0.0009 | 0.0101 b ± 0.0021 | |
| λret (s) | 99.06 ab ± 5.21 | 89.26 b ± 9.10 | 107.73 a ± 4.67 | |
| ɳ0 (Pa.s/%) | 30,914 b ± 4674 | 34,352 b ± 2886 | 110,475 a ± 29,707 | |
| R2 | 0.91 | 0.93 | 0.89 | |
| ε (%) | 65.7 a ± 4.8 | 42.4 b ± 5.8 | 78.0 a ± 11.6 | |
| Uniaxial compression tests | Eg (Pa) | 3161 b ± 419 | 7533 a ± 436 | 7857 a ± 537 |
| σH (Pa) | 1092 b ± 72 | 2115 a ± 209 | 2348 a ± 240 | |
| εH | 0.2398 b ± 0.0097 | 0.2751 ab ± 0.0220 | 0.2956 a ± 0.0191 |
Disclaimer/Publisher’s Note: The statements, opinions and data contained in all publications are solely those of the individual author(s) and contributor(s) and not of MDPI and/or the editor(s). MDPI and/or the editor(s) disclaim responsibility for any injury to people or property resulting from any ideas, methods, instructions or products referred to in the content. |
© 2024 by the authors. Licensee MDPI, Basel, Switzerland. This article is an open access article distributed under the terms and conditions of the Creative Commons Attribution (CC BY) license (https://creativecommons.org/licenses/by/4.0/).
Share and Cite
Brito-Oliveira, T.C.; Cavini, A.C.M.; Ferreira, L.S.; Moraes, I.C.F.; Pinho, S.C. Incorporation of Locust Bean Gum and Solid Lipid Microparticles as Strategies to Improve the Properties and Stability of Calcium-Rich Soy Protein Isolate Gels. Gels 2024, 10, 467. https://doi.org/10.3390/gels10070467
Brito-Oliveira TC, Cavini ACM, Ferreira LS, Moraes ICF, Pinho SC. Incorporation of Locust Bean Gum and Solid Lipid Microparticles as Strategies to Improve the Properties and Stability of Calcium-Rich Soy Protein Isolate Gels. Gels. 2024; 10(7):467. https://doi.org/10.3390/gels10070467
Chicago/Turabian StyleBrito-Oliveira, Thais C., Ana Clara M. Cavini, Leticia S. Ferreira, Izabel C. F. Moraes, and Samantha C. Pinho. 2024. "Incorporation of Locust Bean Gum and Solid Lipid Microparticles as Strategies to Improve the Properties and Stability of Calcium-Rich Soy Protein Isolate Gels" Gels 10, no. 7: 467. https://doi.org/10.3390/gels10070467
APA StyleBrito-Oliveira, T. C., Cavini, A. C. M., Ferreira, L. S., Moraes, I. C. F., & Pinho, S. C. (2024). Incorporation of Locust Bean Gum and Solid Lipid Microparticles as Strategies to Improve the Properties and Stability of Calcium-Rich Soy Protein Isolate Gels. Gels, 10(7), 467. https://doi.org/10.3390/gels10070467

