High-Temperature-Resistant Profile Control System Formed by Hydrolyzed Polyacrylamide and Water-Soluble Phenol-Formaldehyde Resin
Abstract
1. Introduction
2. Results and Discussion
2.1. Effect of Phenolic Ratio of the PR Crosslinkers on the Gel Formation and Strength
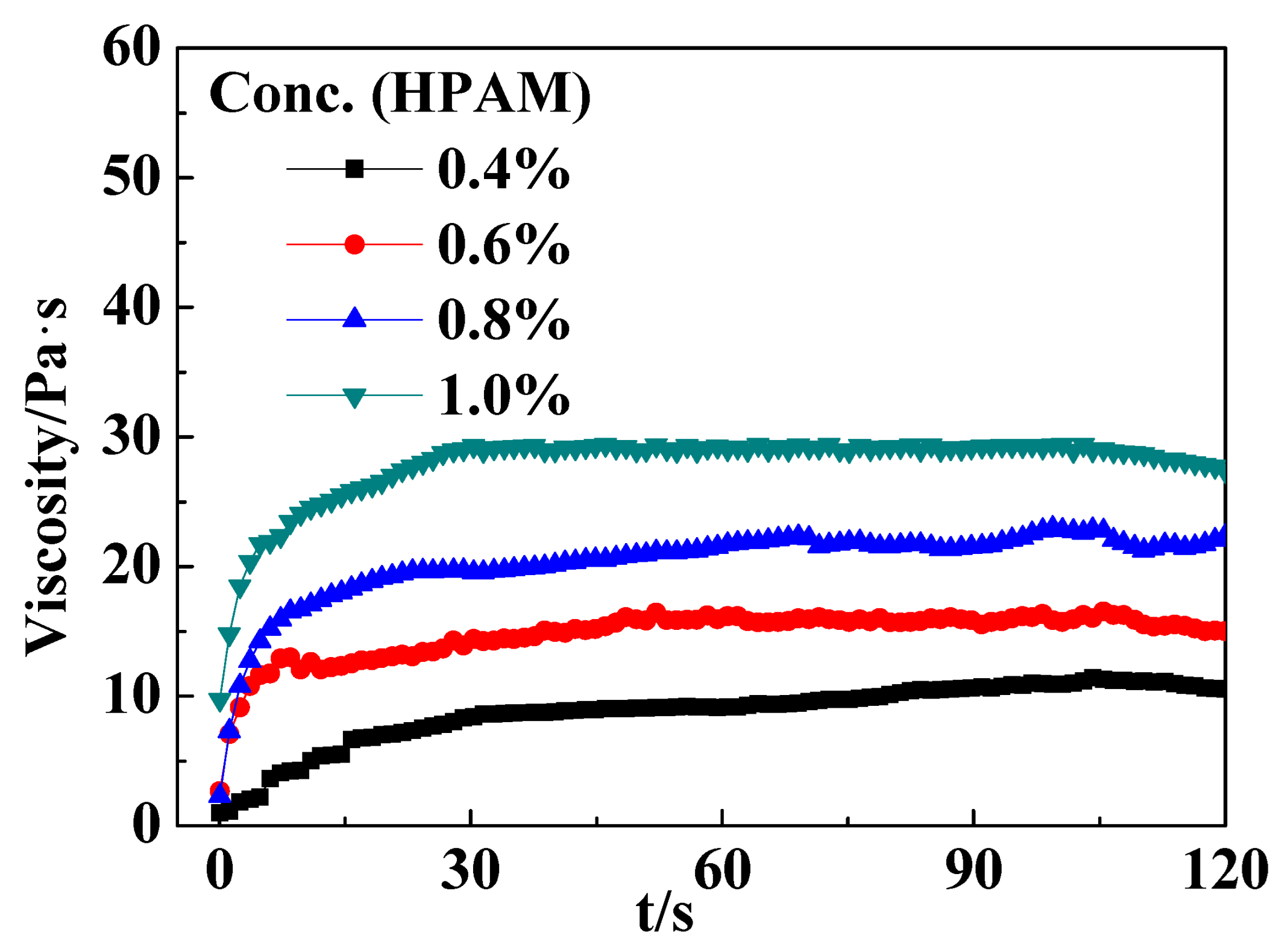
2.2. Effect of HPAM Concentration on the Gel Formation and Strength
2.3. Effect of PR Crosslinker Concentration on the Gel Formation and Strength
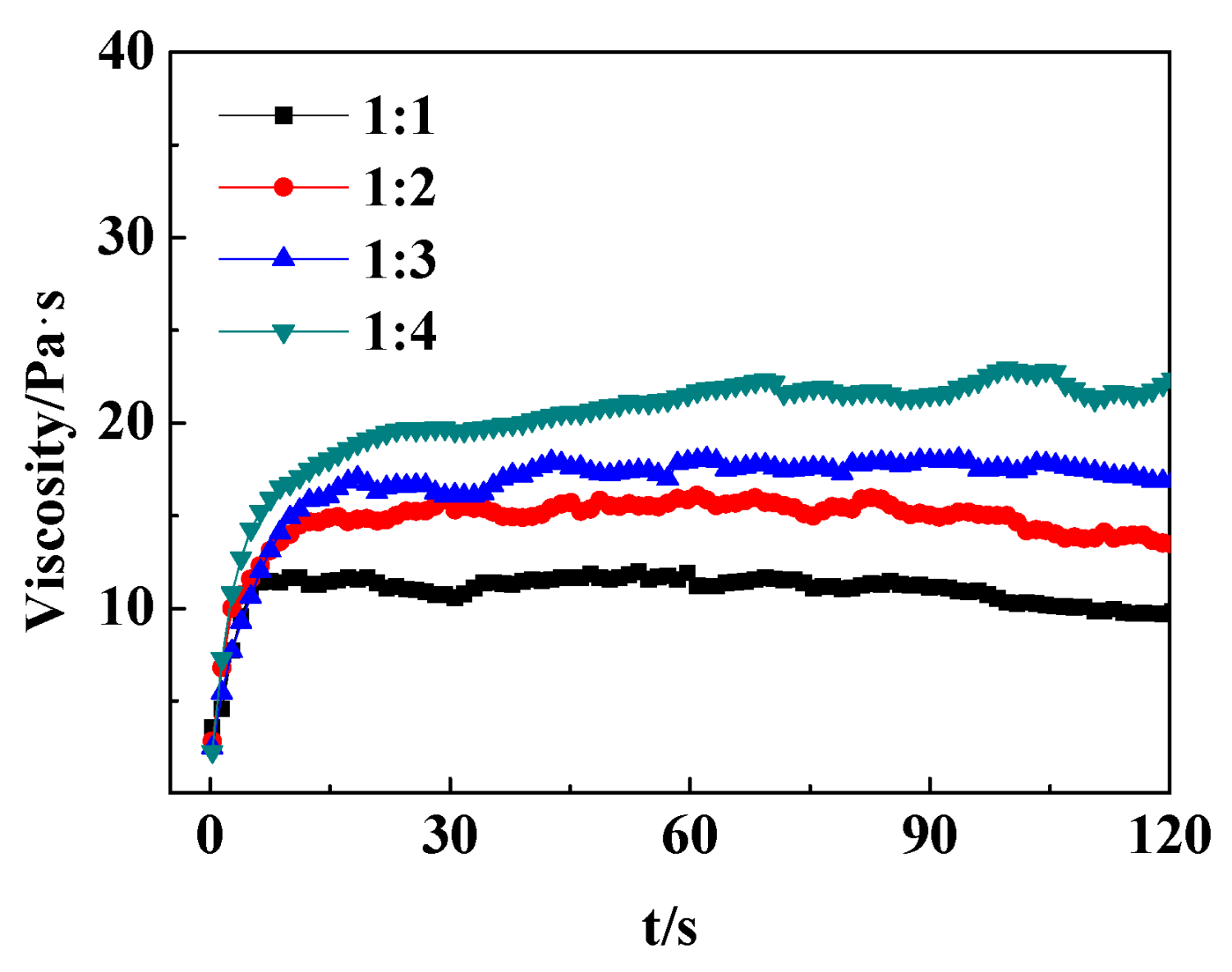
2.4. Rheological Properties of the Gels
2.5. Microstructure of the Gels
3. Conclusions
4. Materials and Methods
4.1. Materials
4.2. Preparation of the Gels
4.3. The Gel-Strength Code
4.4. Evaluation Method of Gel Formation Time
4.5. Evaluation Method of High-Temperature Stability of Gels
4.6. Rheological Properties of Gels Measurements
4.7. Scanning Electron Microscope (SEM) Measurements
Author Contributions
Funding
Data Availability Statement
Conflicts of Interest
References
- Khormali, A.; Ahmadi, S. Experimental and modeling analysis on the performance of 2-mercaptobenzimidazole corrosion inhibitor in hydrochloric acid solution during acidizing in the petroleum industry. J. Pet. Explor. Prod. Technol. 2023, 13, 2217. [Google Scholar] [CrossRef]
- Dai, C.L.; Liu, Y.F.; Zou, C.W.; You, Q.; Yang, S.; Zhao, M.W.; Zhao, G.; Wu, Y.N.; Sun, Y.P. Investigation on matching relationship between dispersed particle gel (DPG) and reservoir pore-throats for in-depth profile control. Fuel 2017, 207, 109–120. [Google Scholar] [CrossRef]
- Ma, B. Research and Performance Evaluation of Inorganic Precipitation Profile Control System Injected in Single Slug. Oilfield Chem. 2019, 36, 90. [Google Scholar]
- Chen, L.F.; Zhu, X.M.; Fu, M.L.; Zhao, H.; Li, G.; Zuo, J.Q. Experimental study of calcium-enhancing terpolymer hydrogel for improved oil recovery in ultradeep carbonate reservoir. Colloids Surf. A Physicochem. Eng. Asp. 2019, 570, 251–259. [Google Scholar] [CrossRef]
- Zhang, X.Y.; Zhang, S.S.; Li, L.; Wu, R.N.; Liu, D.M.; Wu, J.H.; Wu, W. High-temperature-resistant polymer gel system with metal–organic mixed cross-linking agents. J. Appl. Polym. Sci. 2015, 132, 42261. [Google Scholar] [CrossRef]
- Hou, S.W.; Wang, Y.; Rao, Z.; Zhang, Z.G. Experimental study on deep prolile control and oil displacement mechanism of high water cut reservoir. Sci. Technol. Eng. 2020, 20, 13163. [Google Scholar]
- Cai, W.S.; Huang, R.H. Slow Gelation of Titanium (IV) with Partially Hydrolyzed Polyacrylamide. Crosslinking Reaction and Gel Properties. Polym. J. 2001, 33, 330–335. [Google Scholar] [CrossRef]
- Xu, D. Development Application of FP-fly Ash Profile Control Agent. J. Jiang Han Pet. Inst. 2004, 26, 108. [Google Scholar]
- Fox, K.B.; Evans, A.J. Acceleration of Gelation of Water Soluble Polymers. U.S. Patent No. 5,447,986, 2 January 1996. [Google Scholar]
- Luo, J. Research and Application of Adaptive Multifunctional Conditioning Technology for Tight Oil Reservoirs in Ku Dong Oilfield. Inn. Mong. Petrochem. Ind. 2010, 18, 151. [Google Scholar]
- Li, C.X.; Chen, H.J. Research progress of high temperature resistant and high salinitytolerant gel profile control technology. Appl. Chem. Ind. 2013, 6, 114. [Google Scholar]
- Prud, A.; Homme, R.K.; Uhl, J.T.; Halverson, F. Rheological Monitoring of the Formation of Polyacrylamide/Cr+3 Gels. Soc. Pet. Eng. J. 1983, 5, 804–808. [Google Scholar] [CrossRef]
- Sydansk, R.D. A Newly developed Chromium (III) Gel Technology. SPE Reserv. Eng. 1990, 5, 346–352. [Google Scholar] [CrossRef]
- Lockhart, T.P. Chemical Properties of Chromium/Polyacrylamide Gels. SPE Adv. Technol. Ser. 1994, 2, 199–205. [Google Scholar] [CrossRef]
- Sydansk, R.D.; Southwell, G.P. More Than 12 Years of Experience with a Successful Conformance-Control Polymer Gel Technology: SPE/AAPG Western Regional Meeting; Society of Petroleum Engineers: Long Beach, CA, USA, 2000. [Google Scholar]
- DiGiacomo, P.M.; Schramm, C.M. Mechanism of Polyacrylamide Gel Syneresis Determined by C-13 NMR: SPE Oilfield and Geothermal Chemistry Symposium; Society of Petroleum Engineers: Denver, CO, USA, 1983. [Google Scholar]
- Lei, Z.; Wu, F.P.; Pu, C.S. Mechanism of formation of chromium acetate (Cr3+)/phenol-formaldehyde resin prepolymer (PRP) complex and its compound cross-linking reaction with polymer for conformance control. J. Pet. Sci. Eng. 2019, 179, 675–683. [Google Scholar]
- Fulleylove, R.J.; Morgan, J.C.; Stevens, D.G.; Thrasher, D.R. Water Shut-Off in Oil Production Wells—Lessons from 12 Treatments: Abu Dhabi International Petroleum Exhibition and Conference; Society of Petroleum Engineers: Abu Dhabi, United Arab Emirates, 1996. [Google Scholar]
- Romero-Zeron, L.B.; Hum, F.M.; Kantzas, A. Characterization of Crosslinked Gel Kinetics and Gel Strength by Use of NMR. SPE Reserv. Eval. Eng. 2008, 11, 439–453. [Google Scholar] [CrossRef]
- Hutchins, R.D.; Dovan, H.T.; Sandiford, B.B. Field Applications of High Temperature Organic Gels for Water Control: SPE/dOE Improved Oil Recovery Symposium; Society of Petroleum Engineers: Tulsa, OK, USA, 1996; Volume 4, p. 21. [Google Scholar]
- Zhang, S.L.; Guo, J.X.; Gu, Y.; Zhao, Q.; Yang, R.; Yang, Y. Polyacrylamide gel formed by Cr (III) and phenolic resin for water control in high-temperature reservoirs. J. Pet. Sci. Eng. 2020, 194, 107423. [Google Scholar] [CrossRef]
- Yu, H.; Wang, Y.; Ji, W.; Zhang, J.; Zhang, P.; Chen, W.; Qi, Z. Study of a profile control agent applied in an offshore oilfield. Pet. Sci. Technol. 2011, 29, 1285–1297. [Google Scholar] [CrossRef]
- Hamza, A.; Shamlooh, M.; Hussein, I.A.; Nasser, M.S.; Salehi, S. Rheology of triamine functionalized silica reinforced polymeric gels developed for conformance control applications. Energy Fuels 2020, 34, 1093–1098. [Google Scholar] [CrossRef]
- Sydansk, R.D. A New Conformance-Improvement-Treatment Chromium(III) Gel Technology; SPE/DOE: Tulsa, OK, USA, 1988. [Google Scholar]





| HPAM Conc. | rF/P | Gelation Time/h | 140 °C | |||
|---|---|---|---|---|---|---|
| 0 Day | 30 Days | 60 Days | 90 Days | |||
| 0.4% | 1:1 | 186 | C | - | - | - |
| 1:2 | 132 | C | - | - | - | |
| 1:3 | 75 | D | - | - | - | |
| 1:4 | 38 | D | - | - | - | |
| 0.6% | 1:1 | 160 | E | - | - | - |
| 1:2 | 118 | E | - | - | - | |
| 1:3 | 63 | F | Dehydration | Dehydration | Dehydration | |
| 1:4 | 31 | F | Dehydration | Dehydration | Dehydration | |
| 0.8% | 1:1 | 124 | E | - | - | - |
| 1:2 | 90 | F | F | C | - | |
| 1:3 | 47 | G | F | D | D | |
| 1:4 | 24 | G | F | F | E | |
| 1.0% | 1:1 | 102 | E | - | - | - |
| 1:2 | 72 | F | F | C | - | |
| 1:3 | 36 | G | F | E | D | |
| 1:4 | 16 | G | F | F | E | |
| HPAM Conc. | rF/P | Gelation Time/h | 140 °C | |||
|---|---|---|---|---|---|---|
| 0 Day | 30 Days | 60 Days | 90 Days | |||
| 0.4% | 1:1 | 15 | D | - | - | - |
| 1:2 | 13 | D | - | - | - | |
| 1:3 | 10 | E | - | - | - | |
| 1:4 | 8 | E | - | - | - | |
| 0.6% | 1:1 | 12 | E | - | - | - |
| 1:2 | 10 | F | D | B | - | |
| 1:3 | 8 | F | E | E | C | |
| 1:4 | 5 | G | Dehydration | Dehydration | Dehydration | |
| 0.8% | 1:1 | 10 | E | - | - | - |
| 1:2 | 8 | F | F | C | - | |
| 1:3 | 6 | G | F | E | C | |
| 1:4 | 4 | G | G | F | F | |
| 1.0% | 1:1 | 8 | F | E | C | - |
| 1:2 | 6 | G | F | C | - | |
| 1:3 | 5 | G | F | F | C | |
| 1:4 | 3 | H | G | F | F | |
| rF/P | HPAM Conc. | Gelation Time/h | 140 °C | |||
|---|---|---|---|---|---|---|
| 0 Day | 30 Days | 60 Days | 90 Days | |||
| 1:4 | 0.4% | 8 | E | - | - | - |
| 0.6% | 5 | G | Dehydration | Dehydration | Dehydration | |
| 0.8% | 4 | G | G | F | F | |
| 1.0% | 3 | H | G | F | F | |
| Temperature | PR Conc. | Gelation Time/h | 140 °C | |||
|---|---|---|---|---|---|---|
| 0 Day | 30 Days | 60 Days | 90 Days | |||
| 50 °C | 0.3% | - | C | - | - | - |
| 0.5% | 39 | E | - | - | - | |
| 0.8% | 24 | G | F | F | E | |
| 1.0% | 20 | G | Dehydration | F | E | |
| 70 °C | 0.3% | - | D | - | - | - |
| 0.5% | 20 | E | - | - | - | |
| 0.8% | 13 | G | G | F | E | |
| 1.0% | 10 | G | Dehydration | Dehydration | Dehydration | |
| 90 °C | 0.3% | 7 | E | - | - | - |
| 0.5% | 6 | F | E | B | B | |
| 0.8% | 4 | G | G | F | E | |
| 1.0% | 3 | H | Dehydration | Dehydration | Dehydration | |
| Code | Gel Types | Gel Strength Description |
|---|---|---|
| A | No detectable gel formed | The gel appears to have the same viscosity (fluidity) as the original polymer solution, and no gel is visually detectable. |
| B | Highly flowing gel | The gel appears to be only slightly more viscous (less fluid) than the initial polymer solution. |
| C | Flowing gel | Most of the clearly detectable gel flows to the bottle cap upon inversion. |
| D | Moderately flowing gel | Only a small portion (about 5 to 15%) of the gel does not readily flow to the bottle cap upon inversion, which is usually characterized as a “tonguing” gel. |
| E | Barely flowing gel | The gel can barely flow to the bottle cap and/or a significant portion (>15%) of the gel does not flow upon inversion. |
| F | Highly deformable nonflowing gel | The gel does not flow to the bottle cap upon inversion. |
| G | Moderately deformable nonflowing gel | The gel flows about halfway down the bottle upon inversion. |
| H | Slightly deformable nonflowing gel | The gel surface only slightly deforms upon inversion. |
| I | Rigid gel | There is no gel-surface deformation upon inversion. |
| J | Ringing rigid gel | A tuning-fork-like mechanical vibration can be felt after tapping the bottle. |
Disclaimer/Publisher’s Note: The statements, opinions and data contained in all publications are solely those of the individual author(s) and contributor(s) and not of MDPI and/or the editor(s). MDPI and/or the editor(s) disclaim responsibility for any injury to people or property resulting from any ideas, methods, instructions or products referred to in the content. |
© 2024 by the authors. Licensee MDPI, Basel, Switzerland. This article is an open access article distributed under the terms and conditions of the Creative Commons Attribution (CC BY) license (https://creativecommons.org/licenses/by/4.0/).
Share and Cite
Li, X.; Liu, S.; Zhang, J.; Han, S.; Zhao, L.; Xu, A.; Wang, J.; Zhou, F.; Li, M. High-Temperature-Resistant Profile Control System Formed by Hydrolyzed Polyacrylamide and Water-Soluble Phenol-Formaldehyde Resin. Gels 2024, 10, 413. https://doi.org/10.3390/gels10060413
Li X, Liu S, Zhang J, Han S, Zhao L, Xu A, Wang J, Zhou F, Li M. High-Temperature-Resistant Profile Control System Formed by Hydrolyzed Polyacrylamide and Water-Soluble Phenol-Formaldehyde Resin. Gels. 2024; 10(6):413. https://doi.org/10.3390/gels10060413
Chicago/Turabian StyleLi, Xuanran, Shanglin Liu, Juan Zhang, Shujun Han, Lun Zhao, Anzhu Xu, Jincai Wang, Fujian Zhou, and Minghui Li. 2024. "High-Temperature-Resistant Profile Control System Formed by Hydrolyzed Polyacrylamide and Water-Soluble Phenol-Formaldehyde Resin" Gels 10, no. 6: 413. https://doi.org/10.3390/gels10060413
APA StyleLi, X., Liu, S., Zhang, J., Han, S., Zhao, L., Xu, A., Wang, J., Zhou, F., & Li, M. (2024). High-Temperature-Resistant Profile Control System Formed by Hydrolyzed Polyacrylamide and Water-Soluble Phenol-Formaldehyde Resin. Gels, 10(6), 413. https://doi.org/10.3390/gels10060413
