Abstract
We present a theoretical model for the electrophoresis of a weakly charged oil drop migrating through an uncharged polymer gel medium saturated with an aqueous electrolyte solution. The surface charge of the drop arises from the specific adsorption of ions onto its interface. Unlike solid particles, liquid drops exhibit internal fluidity and interfacial dynamics, leading to distinct electrokinetic behavior. In this study, the drop motion is driven by long-range hydrodynamic effects from the surrounding gel, which are treated using the Debye–Bueche–Brinkman continuum framework. A simplified version of the Baygents–Saville theory is adopted, assuming that no ions are present inside the drop and that the surface charge distribution results from linear ion adsorption. An approximate analytical expression is derived for the electrophoretic mobility of the drop under the condition of low zeta potential. Importantly, the derived expression explicitly includes the Marangoni effect, which arises from spatial variations in interfacial tension due to non-uniform ion adsorption. This model provides a physically consistent and mathematically tractable basis for understanding the electrophoretic transport of oil drops in soft porous media such as hydrogels, with potential applications in microfluidics, separation processes, and biomimetic systems. These results also show that the theory could be applied to more complicated or biologically important soft materials.
1. Introduction
The electrophoretic motion of particles in polymer gel matrices [1,2,3,4,5,6,7,8,9,10,11,12,13,14,15,16,17,18,19,20,21,22,23,24,25,26,27,28,29] exhibits markedly different characteristics compared to that in free-electrolyte solutions [30,31,32,33,34,35]. Within a gel network, a migrating colloidal particle experiences two main types of interactions with the polymer matrix: one is the short-range steric resistance arising from frictional contact with the polymer segments, and the other is a long-range hydrodynamic effect mediated by the fluid flow around the particle. In the case of dilute gels—where the particle size is significantly smaller than the typical pore size—the electrophoretic mobility is often described as a product of the mobility due to hydrodynamic effects and a separate factor reflecting steric interference.
Over the years, theoretical treatments of gel electrophoresis have been developed for a variety of particle types, including rigid spheres [1,3,4,5,6,7,8,9,12,13,15,16,17,18], biopolymers [2], soft particles [10,11,14,19,20], and liquid drops [21,22,23]. Some studies have further addressed time-dependent transient behaviors [24,25,26,27,28,29]. A common modeling framework in these studies is to represent the polymer gel as a porous medium filled with electrolyte solution, applying an effective medium theory based on the Debye–Bueche–Brinkman formulation [36,37]. In this approach, the polymer segments are idealized as a continuous distribution of frictional obstacles that resist fluid motion.
While these theoretical developments have deepened our understanding of particle transport in gels, the practical significance of gel electrophoresis is equally notable. Electrophoretic techniques in polymer gels have been widely used in biochemistry and molecular biology, especially for the separation and analysis of proteins, nucleic acids, and other biomolecules. More recently, soft gel matrices, such as hydrogels and microstructured polymer networks, have found applications in areas such as targeted drug delivery, diagnostic devices, and responsive materials. In such applications, understanding the electrokinetic behavior of not only rigid particles but also emulsions and oil drops is crucial for optimizing transport and separation performance.
The electrokinetics of liquid drops presents unique features not found in solid particles. Unlike rigid particles, drops exhibit internal fluid motion, which modifies the overall flow field and alters the electrophoretic response [38,39,40,41,42,43,44,45,46,47,48,49,50,51,52]. Furthermore, the surface properties of drops are often governed by dynamic interfacial phenomena, including ion adsorption and Marangoni effects, which can lead to spatially varying surface properties under external fields. These complexities necessitate theoretical models that go beyond classical assumptions such as uniform surface charge or potential.
In many earlier theoretical studies on drop electrophoresis, the drop surface has been treated as having either a uniform surface charge density or a uniform surface potential. While such assumptions simplify the analysis, they may not accurately reflect the actual conditions where ions can dynamically adsorb to and desorb from the drop surface. As a result, spatial variations in surface potential and charge density can arise due to local ionic concentrations and electrochemical gradients.
In the present study, we investigate the electrophoretic mobility of weakly charged oil drops in an uncharged dilute gel medium under an applied electric field. Our analysis builds upon a simplified version of the Baygents–Saville theory [40], which assumes that no mobile ions reside inside the drop and that the drop’s surface charge originates from the selective adsorption of ions on the drop surface. Importantly, in contrast to previous models, the present formulation allows for both the surface potential and surface charge density of the drop to vary along the drop surface in response to the applied electric field.
The electrophoretic motion of the drop is driven primarily by long-range hydrodynamic effects with the gel matrix, described using the Brinkman–Debye–Bueche framework [36,37], and is further influenced by Marangoni stresses arising from gradients in interfacial tension. These effects are incorporated into a consistent theoretical model that yields an analytical expression for the electrophoretic mobility of the drop.
In a previous study [52], we developed a theoretical model for the electrophoresis of oil drops in free solution, based on the Baygents–Saville framework [40]. In the present work, we extend that model to the case of the electrophoresis of oil drops in an uncharged polymer gel medium. The resulting formulation provides a theoretical basis for understanding and predicting the electrokinetic behavior of oil drops in soft porous environments such as hydrogels, which are increasingly important in microfluidic systems, bioanalytical devices, and soft-matter engineering.
2. Results and Discussion
2.1. Fundamental Electrokinetic Equations
Consider a charged spherical oil drop of radius a, zeta potential ζ, and relative permittivity εd moving with a steady velocity U in an uncharged polymer gel medium of effectively infinite extent containing an electrolyte solution of viscosity η and relative permittivity εr. The motion of the drop is driven by an applied electric field E (Figure 1).
Figure 1.
Electrophoresis of an oil drop with velocity U in an uncharged polymer gel medium under an applied electric field E.
The oil drop is modeled following the theory of Baygents and Saville [40], in which the drop surface is charged by ion adsorption. The polymer gel is treated as a porous continuum based on the Brinkman–Debye–Bueche continuum medium [36,37], where the polymer segments are idealized as uniformly distributed frictional centers that resist fluid flow within the gel. The electrolyte solution is composed of N ionic species, each with valence zi, bulk concentration (number density) , and drag coefficient λi (i = 1, 2, …, N). The electroneutrality condition of the system is , where e is the elementary electric charge. Throughout this study, we adopt a reference frame that is fixed at the center of the spherical oil drop. Accordingly, the origin of the spherical coordinate system (r, θ, ϕ) is located at the drop’s center, and the polar axis (θ = 0) is taken to be parallel to the externally applied electric field E. For a spherical drop, the electrophoretic velocity U is directed along E. In the absence of the applied electric field E, the drop surface at r = a is assumed to carry a uniform zeta potential ζ, where r = |r|, r being the position vector. The analysis is based on the following assumptions. (i) The Reynolds numbers for the fluid motion both inside and outside the drop are sufficiently small, allowing neglecting inertial terms in the Navier–Stokes equations; the fluids are considered incompressible. (ii) The applied electric field E is weak, so the resulting drop velocity U varies linearly with E, and nonlinear effects due to stronger fields can be ignored. (iii) The interior of the drop contains no dissolved ions. (iv) Electrolyte ions exhibit linear adsorption behavior at the drop surface, where the surface density of adsorbed ions is proportional to the surrounding ion concentration, scaled by an adsorption coefficient.
We describe the fluid motion in a coordinate frame moving with the drop. The origin remains fixed at the drop’s center, and the drop velocity is given by U(Ucosθ, −Usinθ, 0), while the electric field is expressed as E(Ecosθ, −Esinθ, 0), where U and E denote the signed magnitude of the drop velocity U and the magnitude of the electric field E, respectively.
The governing electrokinetic equations for the flow velocity u(r) = (ur(r), uθ(r), 0) of the liquid outside the drop, the flow velocity inside the drop uI(r) = (uIr(r), uIθ(r), 0), and for the velocity of the i-th ionic species (i = 1, 2, …, N) are given as follows. Note that, owing to the rotational symmetry about the polar (θ = 0) axis, all relevant variables depend solely on the radial coordinate r and the polar angle θ.
Here, p(r, θ) and pI(r, θ) denote the pressures outside and inside the drop, respectively. The space charge density ρe(r, θ), arising from electrolyte ions, is defined by Equation (9). The electric potentials outside and inside the drop are represented by ψ(r, θ) and ψI(r, θ), respectively. For the i-th ionic species at position r, μi(r, θ) and ni(r, θ) correspond to its electrochemical potential and concentration. The term μi0 is a constant part of μi(r, θ). Boltzmann’s constant is given by k, the absolute temperature by T, and ε0 denotes the vacuum permittivity. Here, the subscript capital I denotes quantities inside the oil drop, namely, the fluid velocity uI(r, θ), pressure pI(r, θ), and the electric potential ψI(r, θ).
Equations (1)–(4) correspond to the Navier–Stokes equations and the continuity equation describing steady-state incompressible flow, under assumption (i), in the presence of body forces –ρe∇ψ. The frictional force exerted on polymer segments within the gel medium by the liquid flow is represented by the term γ(u(r) + U) in Equation (1), where γ is the friction coefficient as defined in the Brinkman–Debye–Bueche framework [36,37].
Equation (5) indicates that the flux vi(r, θ) of the i-th ionic species is driven by the liquid velocity u(r, θ) and the spatial gradient of the electrochemical potential μi(r, θ), as expressed in Equation (6). The continuity equation for the i-th ionic species in the electrolyte solution is given by Equation (7). Equation (8) represents the Poisson equation valid outside the drop (r > a), whereas Equation (10) is the Laplace equation applicable within the drop (0 ≤ r < a).
The electrolyte ions are adsorbed onto the drop surface. We define , , , and as the surface number density, electrochemical potential, velocity, and drag coefficient of the i-th adsorbed ionic species, respectively. These quantities are functions of the polar angle θ alone and are governed by the following set of equations:
where is constant independent of r. Equation (11) describes the surface flow of the i-th ionic species adsorbed on the drop surface, which results from two contributing factors: the local fluid velocity at the drop surface, u(a, θ), and the tangential gradient of the electrochemical potential , given by Equation (12). Equation (13) represents the surface continuity condition for the i-th ionic species, where ∇s denotes the surface divergence operator. As expressed in Equation (14), adsorption of the i-th ionic species onto the drop surface is assumed to follow a linear isotherm as per assumption (iv), with adsorption strength characterized by the constant Ki. This ion adsorption gives rise to a non-uniform surface charge distribution σ(θ), described by Equation (15). The constant Ki is nonzero only for ions capable of adsorbing to the drop surface; it is set to zero for non-adsorbing species, such as those derived from the supporting electrolyte. The surface tension γ(θ) of the drop surface is given by Equation (16), where γ0 is the surface tension in the absence of the ion adsorption. The second term in Equation (16) quantifies the reduction in surface tension due to the linear adsorption of ions onto the drop surface.
The velocity fields of the liquid, u(r, θ), must satisfy the following boundary conditions at the drop surface (r = a) and at a point far from the drop (r → ∞). At r = a, the flow velocities outside and inside the drop, u(r,θ) and uI(r,θ), coincide, and their normal components vanish at the drop surface, as given below.
and
The condition for the continuity of the tangential stress at the drop surface—accounting for both hydrodynamic and Maxwell stress components as well as the Marangoni effect—is given by [40]
Here and , respectively, denote the tangential components of hydrodynamic and Maxwell stresses outside the drop, and and are the corresponding components inside the drop.
The electric potentials ψ(r, θ) and ψI(r, θ) and the ionic concentration ni(r, θ) of the i-th ionic species must satisfy the following boundary conditions:
Since the disturbance in ψ(r, θ) and in ni(r, θ) due to the presence of the drop become negligible far from the drop, we have
Additionally, in the stationary state, the net force acting on the drop must be zero.
Assuming that the equilibrium ionic concentration ni(0)(r) obeys the Boltmann distribution, the charge density ρe(0)(r), and electric potential ψ(0)(r) satisfy
Combining Equations (25)–(27), we obtain the following Poisson–Boltzmann equations:
The boundary conditions for ψ(0)(r) are and
The equilibrium number density of the i-th ionic species adsorbed onto the drop surface is denoted by and is given by
Using Equation (29), the equilibrium surface charge density denoted as σ(0) is given by
Here, and are constants that do not depend on r. This is because, in the absence of the applied electric field E, there are no electrolyte ions within the drop, and the adsorbed ions are uniformly distributed over the drop surface. Under these conditions, the electric potential inside the drop, which is obtained as the solution to the Laplace equation (Equation (10)), remains constant throughout the interior. We thus obtain
For the low potential case, Equation (28) can be linearized to give
where
is the Debye–Hückel parameter, and 1/κ is the Debye length. Solving Equation (32), we obtain
with
Equations (34)–(36) represent the potential distribution ψ(0)(r) around a weakly charged oil drop, its zeta potential ζ, and equilibrium surface charged density σ(0), respectively.
2.2. Weak-Field Approximation
For a weak field E, the deviations of ni(r, θ), ψ(r, θ), ψI(r, θ), ρe(r, θ), μi(r,θ), , and from their equilibrium values (i.e., those in the absence of the applied electric field E) due to the applied field E are small. Under this condition, each of these quantities can be expressed as
where represents any of these quantities, and quantities with superscript (0) refer to those at equilibrium.
Symmetry considerations permit us to write the liquid velocity u(r, θ) outside the drop and the deviation δμi(r, θ) of the electrochemical potential μi(r, θ) of the i-th ionic species as
where h(r) and ϕi(r) are functions of r. It can be shown that, as in the case of the electrophoresis of an ion-adsorbed oil drop [52], the fundamental electrokinetic equations (Equations (1)–(16)) reduce to the following two equations for h(r) and ϕi(r):
with
where λ is the reciprocal of the Brinkman screening length 1/λ,
is a differential operator, and y(r) = eψ(0)(r)/kT is the scaled equilibrium electric potential.
The boundary conditions for h(r) and ϕi(r) reduce to
2.3. General Mobility Expression
It follows from Equation (49) that the gel electrophoretic mobility μ of an oil drop, which is defined by U = μE, is given by
By solving Equation (40) with the boundary conditions given in Equations (46)−(48), and substituting the result into Equation (52), we obtain
with
where Ω represents the modification factor for the Stokes drag on an oil drop moving through a gel medium.
Similarly, by solving Equation (41) with the boundary conditions given in Equations (50) and (51), we obtain
By evaluating the value of ϕi(r) at r = a using Equation (55), and substituting the resulting value ϕi(a) into Equation (53), the gel electrophoretic mobility μ of the oil drop can be calculated. Note that Equations (50) and (55) correspond to Equations (94) and (97) in our previous paper [52], which contained errors: should be replaced by and 2r2 in the last term of Equation (97) should be replaced by r2.
Equation (53) is the required general expression for the electrophoretic mobility μ of a spherical oil drop of radius a carrying zeta potential ζ in an uncharged polymer gel medium.
2.4. Numerical Results and Discussion
In this study, the stress balance at the surface of a weakly charged oil drop is formulated by taking into account not only the hydrodynamic stress but also the Maxwell stress and the Marangoni stress. When an oil drop moves in an external electric field, gradients of electric potential and ion concentration develop along its surface. In contrast, for a mercury drop [39], the continuity condition of the hydrodynamic stress alone suffices to describe the system. For the oil drop, in addition to the hydrodynamic stress, these gradients tend to induce additional stresses—namely, the Maxwell and Marangoni stresses—which act to reduce the gradients themselves. As a result, the motion of the oil drop is suppressed. This perspective provides an intuitive understanding of how the Marangoni effect and Maxwell stress contribute to decreasing the electrophoretic mobility of the drop.
We derived an approximate expression for the electrophoretic mobility, accurate to the first order in the zeta potential ζ (Equation (53)). Using this result, we obtain a simplified closed-form analytic formula for the electrophoretic mobility μ of a weakly charged oil drop in an uncharged polymer gel medium. In the regime of low zeta potential, the equilibrium potential distribution ψ(0)(r) outside the drop is given by Equation (34). Furthermore, we assume that the drag coefficient of ions adsorbed on the drop surface is significantly larger than that of freely moving ions in the bulk, denoted by λi. This assumption is justified in most practical cases, as adsorbed ions experience substantial resistance due to their restricted motion along the surface and interactions with the drop surface, unlike bulk ions which move relatively freely in the surrounding electrolyte.
For the low potential case, under this assumption, by using Equation (34), Equation (55) reduces to
and
By substituting Equations (56) and (57) into Equation (53), we obtain
Using Equations (35) and (36), the second term on the right-hand side of Equation (58) can further be transformed into
By substituting Equation (59) into Equation (58), we finally obtain the following expression for the gel electrophoretic mobility μ of the oil drop:
Equation (60) can be rewritten in terms of the exponential integrals, that is,
where
is the exponential integral of order n.
Equation (61) is the required approximate expression for the electrophoretic mobility μ of a weakly charged oil drop in an uncharged polymer gel medium.
Consider several limiting cases.
- (i)
- In the limit of λa → 0, Equation (61) reduces towhich agrees with the electrophoretic mobility μ for the free-solution electrophoresis of a weakly charged oil drop [52]. In the further limit of ηd/η → ∞, Equation (63) tends towhich agrees with Henry’s electrophoretic mobility of a rigid sphere in a free-electrolyte solution [30].
- (ii)
- In the limit of κa → ∞ (Smoluchowski limit), Equation (61) becomes
- (iii)
- In the limit of κa → 0 (Hückel limit), Equation (61) becomes
Now, we define the scaled gel electrophoretic mobility f(κa, λa, ηd/η) as
where
In the limit λa → 0 and ηd/η → ∞, Equation (68) reduces to the following Henry function of a spherical rigid particle in a free-electrolyte solution [30]:
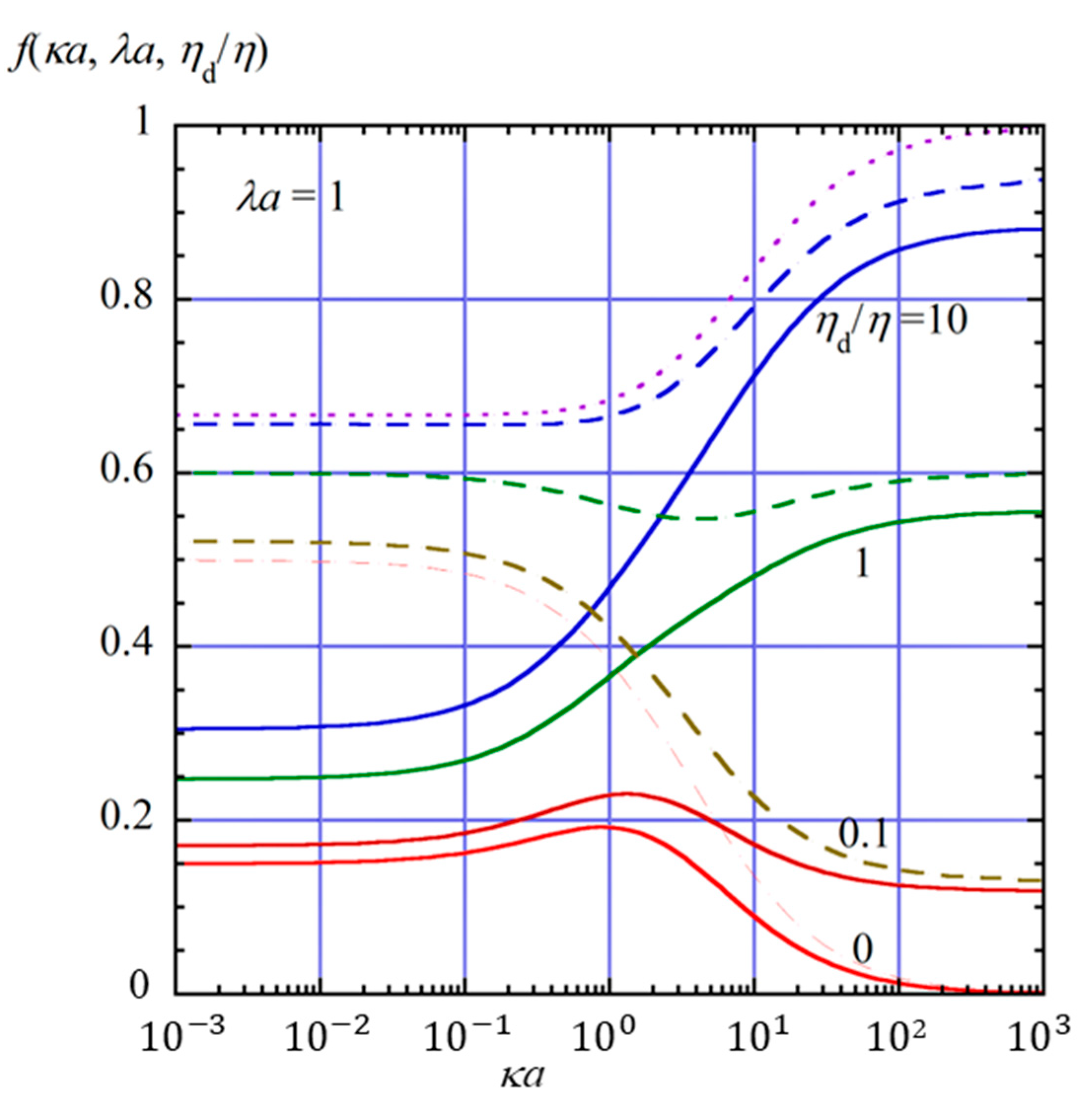
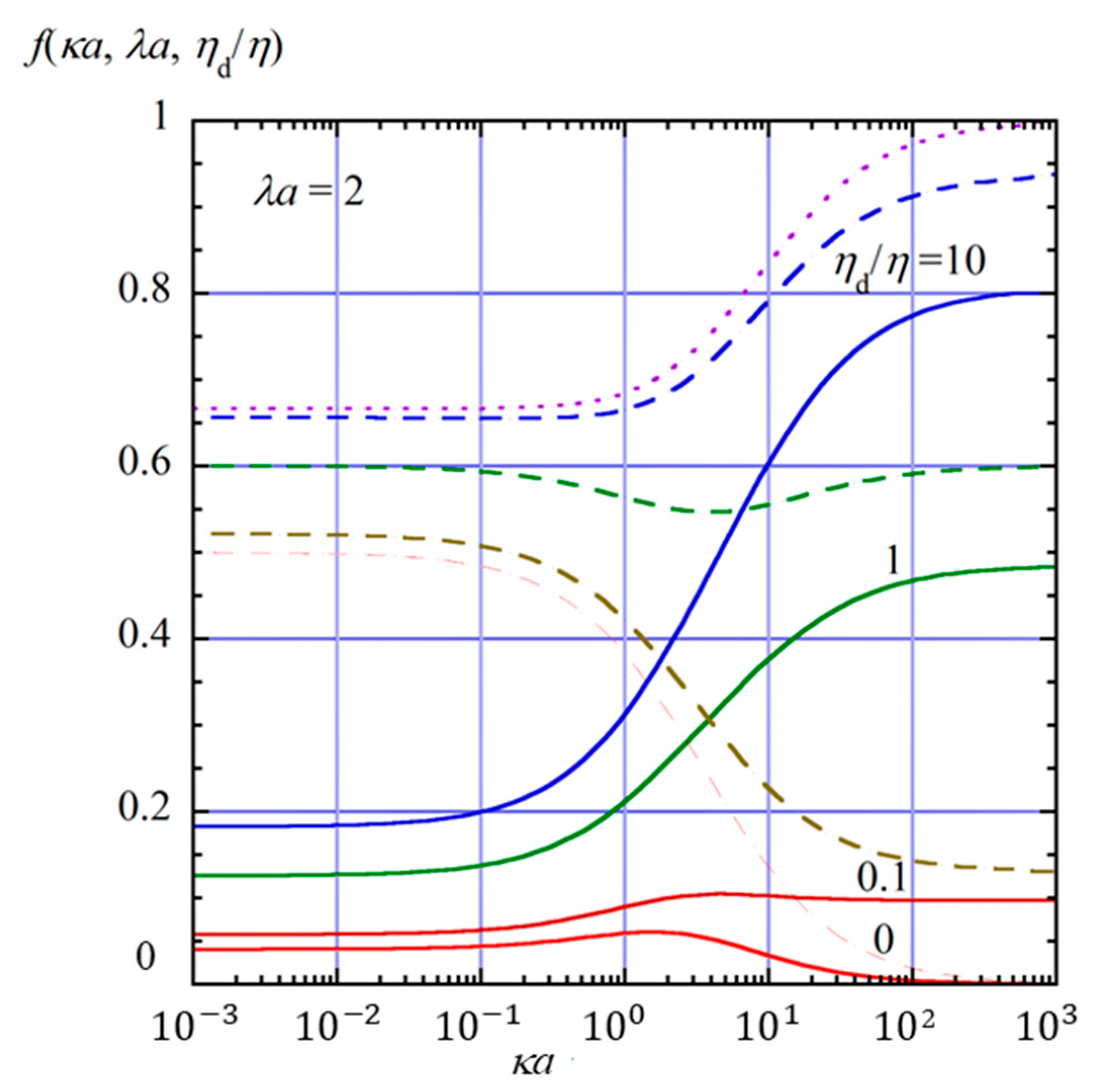
Figure 2, Figure 3 and Figure 4 show the scaled gel electrophoretic mobility f(κa, λa, ηd/η) as a function of κa for four values of ηd/η (0, 0.1, 1, 10) at λa = 0.1 (Figure 2), 1 (Figure 3), and 2 (Figure 4) indicated by solid lines. In these figures, for comparison, the results for the free-solution electrophoresis [52] are also given by dashed lines, and the result based on the Henry function (Equation (69) for the free-solution electrophoresis of a rigid sphere is shown by dotted lines.
Figure 2.
Scaled gel electrophoretic mobility f(κa, λa, ηd/η) of an oil drop as a function of κa and ηd/η = 2 at λa = 0.1 (solid lines). Dashed lines show the results for free-solution electrophoresis (λa = 0), and the dotted line represents the Henry function f(κa) for free-solution electrophoresis for a rigid sphere (λa = 0 and ηd/η = ∞).
Figure 3.
Same as Figure 2, but for λa = 1.
Figure 4.
Same as Figure 2, but for λa = 2.
As shown in these figures, f(κa, λa, ηd/η) decreases as λa increase; that is, the hydrodynamic resistance from the surrounding gel becomes larger. This reduction in gel electrophoretic mobility results from the frictional drag exerted by the gel matrix, which opposes the motion of the drop under the applied electric field. In the opposite limit λa → 0, the present results approach those for the free-solution electrophoresis of an oil drop (Equation (63), shown by dashed lines), which further reduce to Henry’s mobility for a rigid sphere (Equation (64) or Equation (69), shown by dotted lines).
The scaled electrophoretic mobility f(κa, λa, ηd/η) of the oil drop also decreases with decreasing internal viscosity ηd. This behavior can be explained as follows. The electrophoretic mobility of an oil drop depends on the viscosity of the internal fluid. According to the theory developed by Baygents and Saville [40], the stress balance at the drop surface includes the hydrodynamic, Maxwell, and Marangoni stresses. When the viscosity of the internal fluid is low, the drop is more susceptible to interfacial flows driven by these stresses. In particular, the Marangoni and Maxwell stresses, which arise from the gradients of electric potential and ion concentration along the drop surface, tend to generate surface flows that oppose the electrophoretic motion. These flow-induced stresses are more effective at suppressing drop motion when the internal viscosity is small, since the internal fluid offers less resistance to interfacial shear. As a result, the electrophoretic mobility increases with increasing internal viscosity ηd. In contrast, for weakly charged perfectly conducting drops such as mercury, the electrophoretic mobility decreases with increasing internal viscosity ηd, exhibiting the opposite dependence on the internal viscosity ηd compared to oil drops. This is because the contributions of the Maxwell and Marangoni stresses are absent in the case of perfectly conducting drops.
Furthermore, the suppressive effects of the Maxwell and Marangoni stresses also depend strongly on the electrolyte concentration. As the salt concentration increases, the Debye length 1/κ decreases, resulting in sharper gradients of electric potential and ion concentration near the drop surface. These sharper interfacial gradients enhance both the Maxwell stress, which originates from discontinuities in the electric field, and the Marangoni stress, which results from surface tension gradients induced by ionic adsorption. Consequently, the interfacial stresses become more pronounced at higher salt concentrations, leading to stronger suppression of the electrophoretic motion.
To further enhance the understanding of how the electrophoretic mobility depends on the combined effects of the three parameters—namely, the Debye length, the Brinkman screening length, and the viscosity of the oil drop—we now present three-dimensional plots in Figure 5, Figure 6 and Figure 7. Although the essential trends can already be captured by the two-dimensional plots (Figure 2, Figure 3 and Figure 4) discussed above, the three-dimensional representations provide a more comprehensive view of the parameter interdependencies and allow for clearer visualization of how mobility varies across broader parameter spaces. Figure 5, Figure 6 and Figure 7 show the three-dimensional plot of f(ka, la, hd/h) as a function of ka and la for three values of ηd/η, showing how f(κa, λa, ηd/η) depends on κa, λa, and ηd/η.
Figure 5.
Three-dimensional plot of the scaled gel electrophoretic mobility f(ka, la, hd/h) of an oil drop as a function of ka and la at hd/h = 2.
The amount of adsorbed ions on the oil drop surface is proportional to the product of the bulk concentration and the adsorption constant Ki (see Equation (14)), which in turn determines the surface charge density σ (Equation (15)). Under the low potential approximation, the zeta potential ζ is approximately proportional to the equilibrium surface charge density σ(0) (see Equation (35)), and, thus, the electrophoretic mobility μ increases with increasing Ki. Accordingly, if the zeta potential ζ is experimentally known, the equilibrium surface charge density σ(0) can be estimated using Equation (35), and then Equations (35) and (36) can be used to infer the value of Ki for a given bulk ion concentration.
3. Conclusions
In this study, we have derived a simple closed-form analytical expression (Equation (61)) for the electrophoretic mobility μ of a weakly charged oil drop migrating through an uncharged polymer gel medium saturated with an aqueous electrolyte solution. The formulation is constructed under the assumption that the drop acquires its surface charge solely through the selective adsorption of ions from the surrounding electrolyte onto its surface. This model captures a more realistic charging mechanism than those assuming fixed surface potential or constant surface charge density.
The motion of the drop is driven primarily by long-range hydrodynamic effects from the gel matrix, which are described using the Debye–Bueche–Brinkman continuum model [36,37]. This framework accounts for the hydrodynamic resistance exerted by the polymer strands in the gel, modeled as a continuous distribution of frictional obstacles. The analysis builds on a simplified version of the Baygents–Saville theory [40], which neglects ion penetration into the drop interior and thereby focuses attention on surface processes that govern electrokinetic behavior.
A notable feature of the resulting mobility expression is that it explicitly incorporates the Marangoni effect arising from interfacial tension gradients. This effect plays an important role in the electrokinetics of liquid drops, as spatial variations in interfacial tension—driven by non-uniform ion adsorption—can significantly alter the flow field around the drop and hence affect its mobility. Our model accounts for this coupling and provides a more complete description of electrophoretic transport under weak-field conditions.
The analytical nature of the result enables straightforward evaluation of the dependence of drop mobility on key system parameters, such as the zeta potential, ionic adsorption constants, electrolyte composition, and gel permeability. As such, the present study offers a valuable theoretical framework for predicting and interpreting experimental data on drop transport in soft porous media. This is particularly relevant to emerging applications in microfluidics, drug delivery systems, and the design of bio-inspired materials, where liquid drops and gel-like environments are commonly encountered. For example, the present model may aid in predicting the electrophoretic motion of drops in microfluidic channels used for biochemical assays, estimating the transport of charged drug-loaded drops through hydrogel-based tissues, or optimizing the design of synthetic gels that emulate biological transport mechanisms.
Furthermore, the present formulation may serve as a foundation for extending the theory to more complex systems, such as drops with partial internal conductivity, non-uniform gel charge distributions, or time-dependent electric fields. While the present analysis focuses on spherical oil drops, the underlying framework may also be generalized to model the motion of soft particles, such as vesicles, polymeric microgels, or biological cells, by incorporating additional features such as deformability, non-uniform internal conductivity, or spatial variations in interfacial properties. For comprehensive reviews and foundational theories on the electrophoresis of soft particles, the reader is referred to Ashrafizadeh et al. [53].
The analytic expression derived in this study for the electrophoretic mobility of oil drops may be applicable to soft-matter systems, such as the electrophoretic transport of drug-loaded oil drops dispersed in hydrogels, biomimetic separation processes, and droplet-based microfluidic platforms, where control of drop motion under electric fields is essential (see, e.g., [54]).
In summary, the analytic expression obtained in this work advances the theoretical understanding of electrophoresis of oil drops in gel media by capturing key physicochemical effects—such as ion adsorption and Marangoni flow—in a tractable yet physically grounded framework. It contributes to the broader effort to bridge microscopic surface interactions and macroscopic transport behavior in complex soft-matter systems.
While direct comparison with experimental data is beyond the scope of the present theoretical study, the derived formula offers a practical and convenient tool for experimentalists. In particular, it provides a straightforward means to estimate the zeta potential from measured electrophoretic mobilities of liquid drops in gel environments, analogous to the well-established Henry’s formula for rigid particles. We anticipate that this work will stimulate and support future experimental investigations aimed at validating and applying these theoretical predictions.
4. Materials and Methods
This paper presents a theoretical analysis based on fundamental electrokinetic equations under weak-field conditions. No experimental or numerical simulation methods were employed. All derivations and results are described in Section 2.
Funding
This research received no external funding.
Institutional Review Board Statement
Not applicable.
Informed Consent Statement
Not applicable.
Data Availability Statement
Data are contained within the article.
Conflicts of Interest
The author declares no conflicts of interest.
References
- Allison, S.A.; Xin, Y.; Pei, H. Electrophoresis of spheres with uniform zeta potential in a gel modeled as an effective medium. J. Colloid Interface Sci. 2007, 313, 328–337. [Google Scholar] [CrossRef] [PubMed]
- Allison, S.A.; Pei, H.; Xin, Y. Review modeling the free solution and gel electrophoresis of biopolymers: The bead array-effective medium model. Biopolymers 2007, 87, 102–114. [Google Scholar] [CrossRef] [PubMed]
- Hill, R.J.; Ostoja-Starzewski, M. Electric-field-induced displacement of a charged spherical colloid embedded in an elastic Brinkman medium. Phys. Rev. E 2008, 77, 011404. [Google Scholar] [CrossRef] [PubMed]
- Mohammadi, M.; Hill, R.J. Steady electrical and micro-rheological response functions for uncharged colloidal inclusions in polyelectrolyte hydrogels. Proc. R. Soc. A 2010, 466, 213–235. [Google Scholar] [CrossRef]
- Tsai, P.; Lee, E. Gel electrophoresis in suspensions of charged spherical particles. Soft Matter 2011, 7, 5789–5798. [Google Scholar] [CrossRef]
- Tsai, P.; Huang, C.H.; Lee, E. Electrophoresis of a charged colloidal particle in porous media: Boundary effect of a solid plane. Langmuir 2011, 27, 13481–13488. [Google Scholar] [CrossRef] [PubMed]
- Hsu, J.P.; Huang, C.H.; Tseng, S. Gel electrophoresis: Importance of concentration-dependent permittivity and double-layer polarization. Chem. Eng. Sci. 2012, 84, 574–579. [Google Scholar] [CrossRef]
- Hsu, J.P.; Huang, C.H.; Tseng, S. Gel electrophoresis of a charge-regulated, bi-functional particle. Electrophoresis 2013, 34, 785–791. [Google Scholar] [CrossRef] [PubMed]
- Li, F.; Hill, R.J. Nanoparticle gel electrophoresis: Bare charged spheres in polyelectrolyte hydrogels. J. Colloid Interface Sci. 2013, 394, 1–12. [Google Scholar] [CrossRef] [PubMed]
- Li, F.; Allison, S.A.; Hill, R.J. Nanoparticle gel electrophoresis: Soft spheres in polyelectrolyte hydrogels under the Debye-Hückel approximation. J. Colloid Interface Sci. 2014, 423, 129–142. [Google Scholar] [CrossRef] [PubMed]
- Allison, S.A.; Li, F.; Hill, R.J. The electrophoretic mobility of a weakly charged “soft” sphere in a charged hydrogel: Application of the Lorentz reciprocal theorem. J. Phys. Chem. B 2014, 118, 8827–8838. [Google Scholar] [CrossRef] [PubMed]
- Bhattacharyya, S.; De, S.; Gopmandal, P.P. Electrophoresis of a colloidal particle embedded in electrolyte saturated porous media. Chem. Eng. Sci. 2014, 118, 184–191. [Google Scholar] [CrossRef]
- Hill, R.J. Hydrogel charge regulation and electrolyte ion-concentration perturbations in nanoparticle gel electrophoresis. Proc. R. Soc. A 2015, 471, 20150523. [Google Scholar] [CrossRef]
- Allison, S.A.; Li, F.; Le, M. Electrophoretic mobility of a dilute, highly charged “soft” spherical particle in a charged hydrogel. J. Phys. Chem. B 2016, 120, 8071–8079. [Google Scholar] [CrossRef] [PubMed]
- Hill, R.J. Electrokinetics of nanoparticle gel-electrophoresis. Soft Matter 2016, 12, 8030–8048. [Google Scholar] [CrossRef] [PubMed]
- Bhattacharyya, S.; De, S. Gel electrophoresis and size selectivity of charged colloidal particles in a charged hydrogel medium. Chem. Eng. Sci. 2016, 141, 304–314. [Google Scholar] [CrossRef]
- Bhattacharyya, S.; De, S. Nonlinear effects on electrophoresis of a charged dielectric nanoparticle in a charged hydrogel medium. Phys. Fluids 2016, 28, 092006. [Google Scholar] [CrossRef]
- Ohshima, H. Electrophoretic mobility of a charged spherical colloidal particle in an uncharged or charged polymer gel medium. Colloid Polym. Sci. 2019, 297, 719–728. [Google Scholar] [CrossRef]
- Ohshima, H. Gel electrophoresis of a soft particle. Adv. Colloid Interface Sci. 2019, 271, 101977. [Google Scholar] [CrossRef] [PubMed]
- Ohshima, H. Electrophoretic mobility of a soft particle in a polymer gel medium. Colloids Surf. A-Physicochem. Eng. Asp. 2021, 618, 126400. [Google Scholar] [CrossRef]
- Barman, S.S.; Bhattacharyya, S.; Dutta, P. Electrokinetic actuation of an uncharged polarizable dielectric droplet in charged hydrogel medium. Electrophoresis 2021, 42, 920–931. [Google Scholar] [CrossRef] [PubMed]
- Bharti; Sarkar, S.; Ohshima, H.; Gopmandal, P.P. Gel electrophoresis of a hydrophobic liquid droplet with an equipotential slip surface. Langmuir 2022, 38, 8943–8953. [Google Scholar] [CrossRef] [PubMed]
- Bharti; Sarkar, S.; Ohshima, H.; Gopmandal, P.P. Electrophoresis of hydrophobic and polarizable liquid droplets in hydrogel medium. J. Mol. Liq. 2024, 395, 123810. [Google Scholar] [CrossRef]
- Saad, E.I.; Faltas, M.S. Time-dependent electrophoresis of a dielectric spherical particle embedded in Brinkman medium. Z. Angew. Math. Phys. 2018, 69, 43. [Google Scholar] [CrossRef]
- Saad, E.I. Start-up Brinkman electrophoresis of a dielectric sphere for Happel and Kuwabara models. Math. Meth. Appl. Sci. 2018, 41, 9578–9591. [Google Scholar] [CrossRef]
- Saad, E.I. Unsteady electrophoresis of a dielectric cylindrical particle suspended in porous medium. J. Mol. Liq. 2019, 289, 111050. [Google Scholar] [CrossRef]
- Sherief, H.H.; Faltas, M.S.; Ragab, K.E. Transient electrophoresis of a conducting spherical particle embedded in an electrolyte-saturated Brinkman medium. Electrophoresis 2021, 42, 1636–1647. [Google Scholar] [CrossRef] [PubMed]
- Ohshima, H. Transient gel electrophoresis of a spherical colloidal particle. Gels 2023, 9, 356. [Google Scholar] [CrossRef] [PubMed]
- Ayman, M.; Saad, E.I.; Faltas, M.S. Transient electrophoresis of a conducting cylindrical colloidal particle suspended in a Brinkman medium. Z. Angew. Math. Phys. 2024, 75, 53. [Google Scholar] [CrossRef]
- Henry, D.C. The cataphoresis of suspended particles. Part I. The equation of cataphoresis. Proc. Roy. Soc. Lond. Ser. A. 1931, 133, 106–129. [Google Scholar] [CrossRef]
- O’Brien, R.W.; White, L.R. Electrophoretic mobility of a spherical colloidal particle. J. Chem. Soc. Faraday Trans. 2 1978, 74, 1607–1626. [Google Scholar] [CrossRef]
- Masliyah, J.H.; Bhattacharjee, S. Electrokinetic and Colloid Transport Phenomena; John Wiley & Sons: Hoboken, NJ, USA, 2006. [Google Scholar]
- Hunter, R.J. Zeta Potential in Colloid Science: Principles and Applications; Academic Press: New York, NY, USA, 2013. [Google Scholar]
- Lee, E. Theory of Electrophoresis and Diffusiophoresis of Highly Charged Colloidal Particles; Elsevier: Amsterdam, The Netherlands, 2018. [Google Scholar]
- Ohshima, H. Fundamentals of Soft Interfaces in Colloid and Surface Chemistry; Elsevier: Amsterdam, The Netherlands, 2024. [Google Scholar]
- Brinkman, H.C. A calculation of the viscous force exerted by a flowing fluid on a dense swarm of particles. Appl. Sci. Res. 1949, 1, 27–34. [Google Scholar] [CrossRef]
- Debye, P.; Bueche, A.M. Intrinsic viscosity, diffusion, and sedimentation rate of polymers in solution. J. Chem. Phys. 1948, 16, 573–579. [Google Scholar] [CrossRef]
- Booth, F. The cataphoresis of spherical fluid droplets in electrolytes. J. Chem. Phys. 1951, 19, 1331–1336. [Google Scholar] [CrossRef]
- Ohshima, H.; Healy, T.W.; White, L.R. Electrokinetic phenomena in a dilute suspension of charged mercury drops. J. Chem. Soc. Faraday Trans 2 1984, 80, 1643–1667. [Google Scholar] [CrossRef]
- Baygents, J.C.; Saville, D.A. Electrophoresis of drops and bubbles. J. Chem. Soc. Faraday Trans. 1991, 87, 1883–1898. [Google Scholar] [CrossRef]
- Schnitzer, O.; Frankel, I.; Yariv, E. Electrokinetic flows about conducting drops. J. Fluid Mech. 2013, 722, 394–423. [Google Scholar] [CrossRef]
- Schnitzer, O.; Frankel, I.; Yariv, E. Electrophoresis of bubbles. J. Fluid Mech. 2014, 753, 49–79. [Google Scholar] [CrossRef]
- Bhattacharyya, S.; Majee, P.S. Nonlinear electrophoresis of a charged polarizable liquid droplet. Phys. Fluids 2018, 30, 082008. [Google Scholar] [CrossRef]
- Hill, R.J. Electrokinetic spectra of dilute surfactant-stabilized nano-emulsions. J. Fluid Mech. 2020, 902, A15. [Google Scholar] [CrossRef]
- Hill, R.J.; Afuwape, G. Dynamic mobility of surfactant-stabilized nano-drops: Unifying equilibrium thermodynamics, electro-kinetics and Marangoni effects. J. Fluid Mech. 2020, 895, A14. [Google Scholar] [CrossRef]
- Wu, Y.; Fan, L.; Jian, E.; Lee, E. Electrophoresis of a highly charged dielectric fluid droplet in electrolyte solutions. J. Colloid Interface Sci. 2021, 598, 358–368. [Google Scholar] [CrossRef]
- Rashidi, M.; Zargartalebi, M.; Benneker, A.M. Mechanistic studies of droplet electrophoresis: A review. Electrophoresis 2021, 42, 869–880. [Google Scholar] [CrossRef] [PubMed]
- Tsai, M.Y.; Fan, L.; Tseng, J.; Lin, J.; Tseng, A.; Lee, E. Electrophoresis of a highly charged fluid droplet in dilute electrolyte solutions: Aanalytical Hückel-type solution. Electrophoresis 2022, 43, 1611–1616. [Google Scholar] [CrossRef] [PubMed]
- Mahapatra, P.; Ohshima, H.; Gopmandal, P.P. Electrophoresis of dielectric and hydrophobic spherical fluid droplets possessing uniform surface charge density. Langmuir 2022, 38, 11421–11431. [Google Scholar] [CrossRef] [PubMed]
- Tseng, J.; Su, J.; Chang, K.; Chang, A.; Chuang, L.; Lu, A.; Lee, R.; Lee, E. Electrophoresis of a dielectric droplet with constant surface charge density. Electrophoresis 2023, 44, 1810–1817. [Google Scholar] [CrossRef] [PubMed]
- Hill, R.J. Roles of interfacial-exchange kinetics and interfacial-charge mobility on fluid-sphere electrophoresis. J. Fluid Mech. 2025, 1005, A1. [Google Scholar] [CrossRef]
- Ohshima, H. Electrophoresis of a weakly charged oil drop in an electrolyte solution: Ion adsorption and Marangoni effects. Colloid Polym. Sci. 2025; in press. [Google Scholar] [CrossRef]
- Ashrafizadeh, S.N.; Seifollahi, Z.; Ganjizade, A.; Sadeghi, A. Electrophoresis of spherical soft particles in electrolyte solutions: A review. Electrophoresis 2020, 41, 81–103. [Google Scholar] [CrossRef] [PubMed]
- Liu, Y.; Wang, W.; Jia, M.; Liu, R.; Liu, Q.; Xiao, H.; Li, J.; Xue, Y.; Wang, Y.; Yan, C. Recent advances in microscale separation. Electrophoresis 2018, 39, 8–33. [Google Scholar] [CrossRef] [PubMed]
Disclaimer/Publisher’s Note: The statements, opinions and data contained in all publications are solely those of the individual author(s) and contributor(s) and not of MDPI and/or the editor(s). MDPI and/or the editor(s) disclaim responsibility for any injury to people or property resulting from any ideas, methods, instructions or products referred to in the content. |
© 2025 by the author. Licensee MDPI, Basel, Switzerland. This article is an open access article distributed under the terms and conditions of the Creative Commons Attribution (CC BY) license (https://creativecommons.org/licenses/by/4.0/).






