Abstract
Textile dyes are considered to be one of the major sources of water pollution due to their complex chemical structures. Photocatalytic dye degradation is an eco-friendly method that uses light-activated catalysts to break down complex dye molecules in wastewater into harmless byproducts. In the present study, pure and N-doped g-C3N4 were synthesized using one-pot calcination. The fabrication of g-C3N4/TiO2 and TC-g-C3N4/TiO2 was accomplished by physical mixing. The prepared photocatalysts were used to treat the Orange-II-polluted wastewater. The structural properties, surface morphology, light-harvesting capability, and electrochemical properties were assessed using XRD, XPS, SEM, TEM, BET, DRS, PL, EIS, Mott–Schottky, and transient photocurrent response (TPCR) analyses. The improved charge separation and migration properties of g-C3N4/TiO2 were confirmed by the PL, EIS, and TPCR results. TEM and XPS data confirmed the formation of a g-C3N4/TiO2 composite. Enhanced photocatalytic decolorization was achieved for g-C3N4/TiO2 compared with pure g-C3N4 or TiO2. The 1 wt% g-C3N4/TiO2 composite exhibited the highest (92.1%) decolorization efficiency during 60 min of UV irradiation. Furthermore, the pseudo-first-order reaction rate constant (k) of 1 wt% g-C3N4/TiO2 was calculated to be 0.0213 min−1, which was 2.5 times better than that obtained with bare TiO2. Finally, for a better understanding of the g-C3N4/TiO2 decolorization process, a possible reaction mechanism was proposed.
1. Introduction
Water pollution presents a pressing global concern, with its adverse effects on human life, the animal kingdom, and the environment escalating alongside the rapid expansion of industrialization. Water reserves are contaminated by a variety of industrial and domestic effluents such as pesticides, herbicides, fungicides, organic solvents, paints, toxic heavy metals, household chemicals, and pharmaceuticals waste [1]. These pollutants pose a wide range of public health hazards, contributing to respiratory problems, cancer, reproductive and endocrine disfunction, hepatic and renal injury, diarrhea, neurological disorders, and cardiovascular disease [2]. Numerous chemical, electrochemical, biological, and physical methods have been utilized for wastewater treatment, including filtration, coagulation, reverse osmosis, sedimentation, flotation, oxidation, precipitation, evaporation, and adsorption [1,2,3]. Each method possesses unique advantages, and their suitability determines their application in targeting specific classes of toxins.
The dyeing industry has gained substantial importance in modern times, yet it generates a large volume of dye wastewater, which significantly contributes to environmental pollution. Of particular concern is the widespread use of C.I. Acid Orange 7 (Orange II), a representative of azo (–N=N–) and an acid dye. Its incomplete degradation can also produce harmful degradation products, particularly aromatic amine (aniline), which could be carcinogenic and poses significant health risks [4]. Therefore, the development of an effective treatment method for this dye is urgently needed [5]. Although numerous approaches exist for treating dye wastewater, implementing semiconductor-based photocatalytic decolorization and eco-friendly processes are promising due to their cost-effectiveness and simplicity [1,2,3].
In recent years, there has been a surge in research activity dedicated to advancing the synthesis and functionalization of semiconductor materials and metal nanoparticles. The primary aim of these studies is to improve the performance, stability, and versatility of nanoparticles across a wide range of applications, including sensing devices, photonic systems, molecular electronics, and advanced oxidation techniques [1,2,3]. The optical and electronic properties of these nanoparticles depend on their size and shape. They present an intriguing opportunity for leveraging them in light-induced chemical reactions, particularly within advanced oxidation processes. Photocatalysis and radiocatalysis are common applications of these nanoparticles [6,7,8]. However, maximizing the efficiency of photoinduced charge separation in semiconductor systems remains a significant challenge for the scientific community. Gaining an insight into charge transfer processes is crucial for enhancing the photoconversion efficiencies in semiconductor-based nanoassemblies. Extending the photo-response of the particles is a shared objective, and researchers frequently explore efficiency enhancements by experimenting with various combinations of particle materials [9,10,11]. Quantization and its effects on charge transfer processes, especially those induced by charge separation at the particle’s surface, represent a central focus of many current advancements in the field. Moreover, there is growing interest in the dual use of these materials and the integration of advanced oxidation techniques to further exploit their potential.
The principle of photocatalysts relies on their redox capacity when exposed to specific conditions, enabling the purification of pollutants and the synthesis and conversion of substances. Photocatalytic oxidation reactions commonly employ semiconductors as catalysts and utilize light energy to degrade organic matter into carbon dioxide (CO2) and water. Titanium dioxide (TiO2) is a well-known photocatalyst material that absorbs light beyond its band gap (3.2 eV), generating electron–hole pairs in the valence band (VB) and conduction band (CB) and facilitating oxidation and reduction reactions. Due to its wide band gap, it requires a larger amount of energy to excite and transport the electron from the VB to the CB. As a result, it responds only under UV light. Further modifications such as metal doping or composite formation may increase its light absorption capability and photocatalytic efficiency [1,2,11].
When a semiconductor absorbs photons with energy greater than its band gap, it undergoes excitation, creating electron–hole pairs in the CB. These photogenerated holes possess the ability to oxidize various chemical species. For instance, n-type titanium dioxide serves as a potent oxidizer when the photoenergy exceeds 3.2 eV (~400 nm) [12,13,14]. In an aqueous solution, photoexcited titanium dioxide generates electrons and holes, which can interact with the targeted species on its surface. Specifically, the holes can oxidize water molecules to form hydroxyl radicals (•OH), while the electrons can reduce oxygen to produce superoxide anions (•O2−) or hydrogen peroxide. These reactive oxygen species play a pivotal role in driving various chemical reactions. The photoelectrochemical reactions of titanium dioxide particles have undergone extensive study for several photo-technologies, including solar energy conversion to chemical energy, photosynthesis, and photocatalysis [2,3].
Recently, g-C3N4 has garnered significant attention as a metal-free photocatalyst for the degradation and decolorization of environmental pollutants owing to its narrow bandgap, low cost, excellent chemical stability, easy preparation using affordable materials, environmental friendliness, and unique electron band structure [14,15]. This graphite-like structure consists of weak van der Waals forces between C–N layers, with each layer containing aromatic tri-s-triazine units connected by tertiary amines, and it can respond under visible light [2,14,15].
The preparation of photocatalysts involves skillfully combining two or more materials to create new composite materials that effectively regulate the properties of individual components and generate novel photochemical and photophysical characteristics [16,17,18,19]. Constructing heterojunctions is a highly effective technique for enhancing photocatalytic efficiency. Due to variations in band structures among different materials, heterojunction photocatalysts can significantly broaden the wavelength range of light absorption and facilitate the separation of photogenerated electron–hole pairs, resulting in increased photocatalytic activity and efficiency. Among the various types of heterojunction photocatalysts, the emerging “step-scheme” (S-scheme) heterojunction photocatalysts have been attracting increasing attention [3,14,20]. S-scheme heterojunctions can address the defects associated with type-II heterojunctions and exhibit a strong redox ability. Limited information exists on the photocatalytic degradation of Orange II in aqueous solutions using g-C3N4/TiO2 composites [12,21,22].
In this study, a g-C3N4/TiO2 composite was prepared using a very simple calcination and physical mixing method. The photocatalytic purification of Orange-II-polluted wastewater was investigated under UV light with a simply prepared g-C3N4/TiO2 composite. The photocatalytic degradation kinetics of the composite were examined and compared.
2. Materials and Methods
2.1. Materials
All the chemicals were analytical grade and used as received. ST-01 TiO2 (average diameter 7 nm; specific surface area 300 m2 g−1) was purchased from ISHIHARA SANGYO KAISHA, Ltd., Japan. Urea (CO(NH2)2), trisodium citrate (C6H5O7Na3), and C.I. Acid Orange 7 (C16H11N2O4SNa) were obtained from FUJIFILM Wako Pure Chemical Corporation, Japan.
2.2. Synthesis
2.2.1. Preparation of g-C3N4
The g-C3N4 powders were synthesized using a poly-condensation method. Typically, 10 g urea was transferred into a 30 mL ceramic crucible with a lid. Then, the crucible was covered with aluminum foil, placed in a muffle furnace, heated to 550 °C at a heating increment rate of 2 °C min−1, and held for 2 h at 550 °C. After natural cooling to room temperature, the sample was manually ground in an agate mortar and the product was collected as a light-yellow powder.
2.2.2. Synthesis of TC-g-C3N4
The N-doped g-C3N4 (TC-g-C3N4) was prepared using a previously reported method [23]. Briefly, 10 g urea and 100 mg trisodium citrate (TC) were dissolved into 5 mL distilled water. The mixture was transferred into a ceramic crucible with a cover, heated to 550 °C at a heating increment rate of 2 °C min−1, and maintained at this temperature for 2 h. After cooling to room temperature, the obtained TC-g-C3N4 was repeatedly washed with pure water and ethanol and dried at 60 °C for 12 h. Using TC as an auxiliary material in the synthesis of N-doped g-C3N4 can optimize the final material’s structure and performance by providing a templating effect, improving nitrogen doping uniformity, enhancing the surface area, and promoting photocatalytic performance [23].
2.2.3. Composite Synthesis
Various amounts of pure g-C3N4 or TC-g-C3N4 were physically mixed with TiO2 to fabricate g-C3N4/TiO2 and TC-g-C3N4/TiO2 composites. The mass ratios of g-C3N4 or TC-g-C3N4 to TiO2 were set as 0.1, 0.5, 1, and 5 wt%, respectively, and the composites were named xg-C3N4/TiO2 and xTC-g-C3N4/TiO2, respectively (x represents the wt% of g-C3N4 or TC-g-C3N4).
2.2.4. Characterization Techniques
The crystal structures of the synthesized photocatalysts were assessed using powder X-ray diffraction (XRD) analyses by utilizing a Rigaku RINT Ultima-IV diffractometer (Tokyo, Japan) with Cu Kα radiation in a scan range of 10–80° at a scan rate of 0.04° s−1. X-ray photoelectron spectroscopy (XPS) was employed to identify the chemical state of the studied photocatalysts using a PHI Quantera SXM instrument (Ulvac-Phi) with Al-Kα radiation. The surface morphology was analyzed using scanning electron microscopy (SEM; S-4000, Hitachi) and transmitted electron microscopy (TEM; JEM-1011, JEOL), respectively. The Brunauer-Emmett-Teller (BET) surface area was calculated utilizing BELPREP-Vac II (BEL, Tokyo, Japan). Optical properties were measured using a UV-Vis DRS spectroscopic instrument (JASCO V-750) equipped with an integrating sphere adaptor and a photoluminescence (PL) spectroscopic measurement instrument (Shimadzu RF-5300PC, Kyoto, Japan). The electrochemical impedance spectra (EIS) measurement of the photocatalysts was performed using an electrochemical Versa STAT 3 workstation (Princeton Applied Research, USA) equipped with a conventional three-electrode system. A uniform photocatalyst slurry combined with a Nafion solution (Aldrich, USA) was coated on a fluorine-doped tin oxide glass plate to prepare the working electrode and a 0.5 mol L−1 Na2SO4 aqueous solution was used as the electrolyte.
2.2.5. Photocatalytic Performance Test
The photocatalytic decolorization reaction was carried out in a Pyrex glass vessel (inner volume of 123 mL). Typically, 100 mL of a 5 ppm Orange II solution and 30 mg of the g-C3N4/TiO2 composite were transferred to the glass vessel and magnetically stirred before and during irradiation. Before irradiation, the photocatalyst suspension containing Orange II was kept in the dark for 30 min to reach an adsorption–desorption equilibrium. Then, the reaction mixture was irradiated for 90 min with an ultraviolet black light (352 nm). The light intensity was measured using a UV radiometer with a 320–410 nm wavelength sensor (UVR-400; Luchi Co., Osaka, Japan), and the value was 1.0 mW cm−2. During the decolorization reaction, 2 mL of the sample solution was withdrawn at different intervals and then centrifuged for 5 min at 10,000 rpm to isolate the photocatalyst. Then, the absorbance of the supernatant was analyzed using a UV–Vis spectrophotometer (UV-2450; Shimadzu, Kyoto, Japan) at 485 nm to assess the concentration of the Orange II solution.
3. Results and Discussion
3.1. Structural Analyses (XRD and XPS)
The prepared samples were subjected to an XRD analysis to examine their crystal structure and phase composition (Figure 1a). The XRD pattern of g-C3N4 exhibited two distinctive diffraction peaks at 27.4° and 13.1°, corresponding with the (002) and (100) crystalline planes of g-C3N4. The (002) crystal plane of g-C3N4 represents inter-planar stacking peaks of the aromatic systems (heptazine unit). The peak at about 13.1° (100) indexed to the in-plane packing of the tri-s-triazine structure was less pronounced, implying that the order of the structure in the plane became worse because of a loss of lattice carbon or nitrogen. The XRD pattern of g-C3N4/TiO2 revealed numerous peaks at 25.4°, 37.7°, 48.2°, 54.0°, 55.1°, 62.8°, 68.9°, 70.2°, and 75.8° corresponding with the diffraction planes of (101), (004), (200), (105), (211), (204), (116), and (220), which corresponded with the anatase phase [24]. TiO2 displayed a characteristic diffraction peak at 25.4°, indicating the presence of (101) crystal planes, thus confirming its cubic crystal structure. However, due to the low content of g-C3N4, diffraction peaks around 13.1° and 27.4° were not detected in the g-C3N4/TiO2 composite [24,25,26].
Figure 1.
(a) XRD patterns and XPS high-resolution spectra. (b,c) C 1s, (d,e) O 1s, (f,g) Ti 2p and (h) N 1s of the studied photocatalysts.
The XPS analysis confirmed the presence of carbon (C), oxygen (O), and titanium (Ti) in the g-C3N4/TiO2 composite, and nitrogen (N) was detected only in pristine g-C3N4 (Figure 1b–h). This could have been due to a low concentration of g-C3N4 that was insufficient to produce a detectable nitrogen peak in the XPS spectrum [27,28,29]. The detected peak at 284.8 eV in pure g-C3N4 and g-C3N4/TiO2 corresponded with C–C or C–H bonds. However, a new peak at 288.8 eV was found in the composite, which corresponded with the C=O bond. This peak suggested the oxidation or functionalization of C due to interactions with TiO2 during composite formation [30]. There was no distinct Ti-C(N) coordination peak observed, indicating that nitrogen and carbon were not incorporated into the TiO2 lattice. This suggests that g-C3N4 was merely adsorbed onto the surface of TiO2, with no chemical interaction between the two materials [31]. Both TiO2 and the g-C3N4/TiO2 composite showed firm peaks for Ti4⁺ at nearly 464 eV (Ti 2p3/2) and 458 eV (Ti 2p1/2), indicating that the overall oxidation state of titanium in both materials was Ti4⁺. The peak positions and intensities were very similar, suggesting that the addition of g-C3N4 did not significantly affect the Ti4⁺ state in TiO2. A small peak related to Ti3⁺ was present in both spectra, but it was more noticeable in the composite. In the composite, a peak at 459.92 eV was likely associated with Ti3⁺, indicating that the presence of g-C3N4 induced some reduction in TiO2 at the surface. In contrast, TiO2 had a smaller contribution from Ti3⁺, but the composite showed a shift and a higher proportion of reduced Ti species (which was species 3/4). The position of the Ti–O peak was almost identical in both materials (530.01 eV for TiO2 and 529.8 eV for the composite), indicating that the titanium–oxygen bonding in TiO2 remained relatively unchanged in the composite. However, there was a slight shift, possibly due to the influence of g-C3N4 on the surface structure of TiO2. There was no apparent shift in the composite’s oxygen vacancy peak, which suggests that g-C3N4 remained stable on the surface of TiO2, reducing the presence of oxygen vacancies [16,17,31,32].
3.2. Morphological Analyses (SEM, TEM, and BET)
The surface morphology and microstructural properties of the synthesized photocatalysts were investigated using SEM and TEM techniques. Figure 2a shows that the shapes of the TiO2 particles were sphere-like structures with an average diameter of about 7 nm. Figure 2b depicts the irregularly spaced layered structure of g-C3N4 and loosened thinner nanosheets. TiO2 is primarily shown in the form of aggregated particles. Figure 2c depicts the changed morphology of g-C3N4/TiO2, suggesting that TiO2 nanoparticles were distributed on the surface of g-C3N4 to construct a heterostructure, which provided a transport channel for photogenerated electrons. This was further confirmed by the TEM analysis [25,26].
Figure 2.
SEM and TEM images of (a,d) TiO2, (b,e) g-C3N4, and (c,f) g-C3N4/TiO2. (g) N2 adsorption–desorption isotherm and (h) corresponding pore-size distribution of TiO2, g-C3N4, and g-C3N4/TiO2.
From the composite TEM image (Figure 2f), the distribution of TiO2 on the g-C3N4 surface was observed. The TEM image indicates that TiO2 comprised agglomerated nanoparticles in the g-C3N4/TiO2 composite. The smaller-sized TiO2 particles are shown in a dark shade (dot-marked), while g-C3N4 is presented as a light shade with irregular edges. The characterization verified the adequate combination between each of the compounds of TiO2 and g-C3N4, which could promote the carrier’s transfer between interfaces.
The BET surface area of g-C3N4/TiO2 was 244 m2/g, while that of g-C3N4 was 824 m2/g, and TiO2 was 253 m2/g. The pore diameter of g-C3N4/TiO2 was the smallest among g-C3N4, TiO2, and g-C3N4/TiO2 (Table 1; Figure 2h). The reduction in surface area for the composite was likely due to the interaction between g-C3N4 and TiO2, which may have caused partial aggregation or the covering of active surface sites [26,28,33]. This suggests that the composite material had a less available surface area for reactions than pure g-C3N4 but still retained a reasonable amount of surface area for photocatalytic activity. As shown in Figure 2g, all the studied photocatalysts exhibited IV-type adsorption–desorption isotherms, with H3-type hysteresis loops appearing between the P/P0 values of 0.4 and 1.0, suggesting their mesoporous structure [26,27,34].
Table 1.
BET surface areas and pore volumes of TiO2, g-C3N4, and g-C3N4/TiO2.
3.3. DRS Analysis
Figure 3a illustrates the UV–Vis diffuse reflectance spectra of the synthesized photocatalysts, providing insights into their light absorption properties. Furthermore, the enhanced Kubelka–Munk function was utilized to determine the energy band gap (Eg) of g-C3N4, TiO2, and g-C3N4/TiO2, employing a Tauc diagram (Figure 3b). Figure 3a demonstrates that g-C3N4 exhibited robust absorption within the ultraviolet–visible region. In contrast, the g-C3N4/TiO2 photocatalyst displayed a notable blueshift and exhibited substantial absorption primarily in the ultraviolet region, resembling the behavior of TiO2. These outcomes indicate the significant impact of the g-C3N4 compound on the optical properties of g-C3N4/TiO2, further enhancing its photocatalytic activity under UV light.
Figure 3.
(a) DRS spectra and (b) Tauc plot of TiO2, g-C3N4, and g-C3N4/TiO2 photocatalysts.
The band gap energies (Eg) of the single and composite materials were calculated using the Kubelka–Munk formula based on the UV–Vis DRS spectra as follows [6,7]:
where α, h, υ, A, and Eg are the absorption coefficient, Planck constant, light frequency, constant, and band gap, respectively. The value of n depends on the type of semiconductor (1 for semiconductors with a direct band gap and 4 for semiconductors with an indirect band gap). In the present study, the value of n was 4 because g-C3N4 and TiO2 are indirect semiconductors.
(αhυ) = A(hυ − Eg)n/2
The calculated band gap energies for g-C3N4, TiO2, and g-C3N4/TiO2 were 2.77 eV, 3.21 eV, and 3.17 eV, respectively, as depicted in Figure 3b, aligning with Equation (3). The broadening of the UV light range and the reduction in the energy band gap of the g-C3N4/TiO2 photocatalyst contributed to enhancing its photocatalytic efficiency.
3.4. Mott–Schottky and Band Structure Analyses
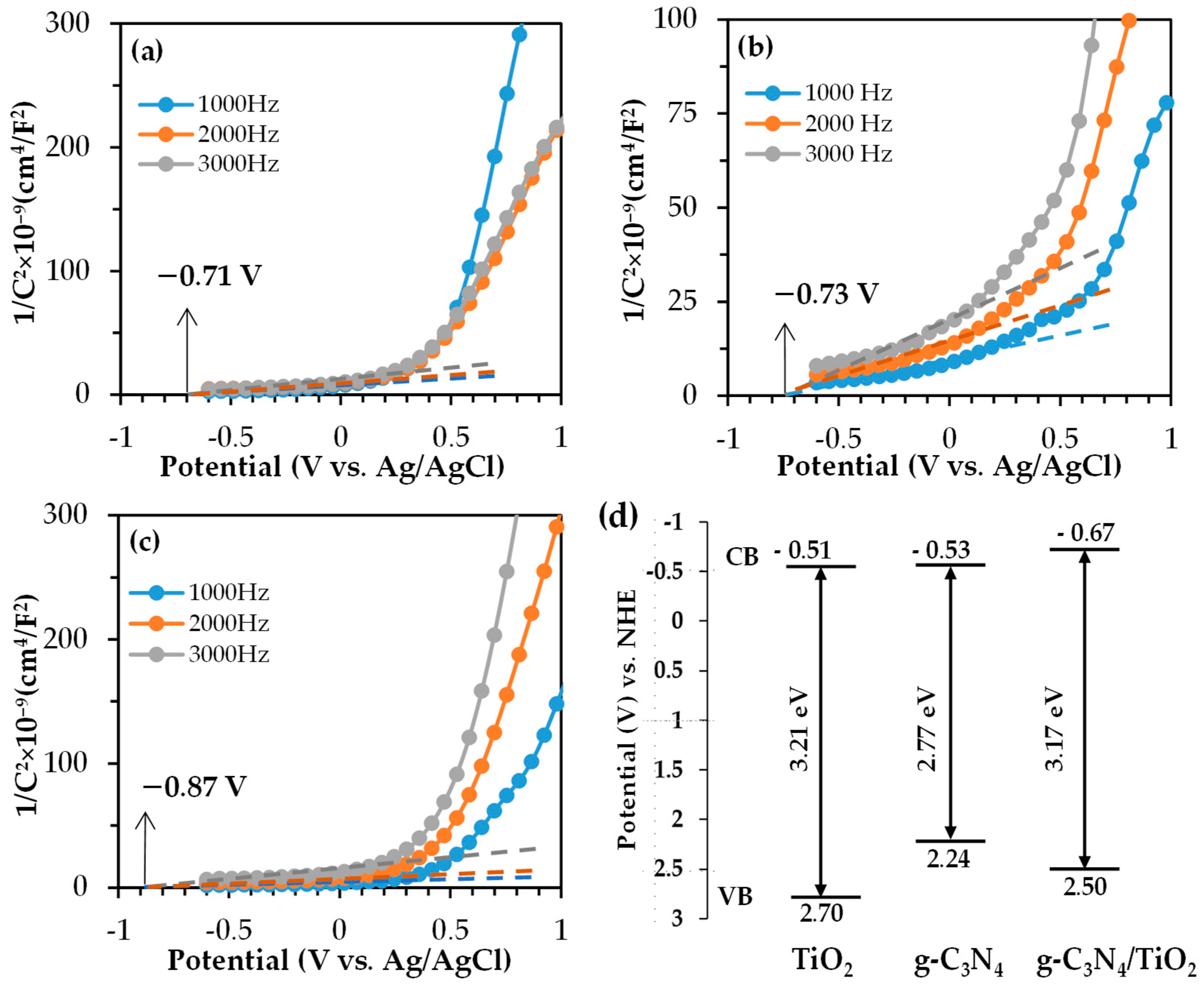
The Mott–Schottky analysis is commonly used to determine the flat-band potential of semiconductors. This analysis gives an insight into the electrostatic potential at the surface of a semiconductor when no external voltage is applied. This potential is associated with the energy levels of the semiconductor’s CB and VB [35]. The positive slope proved that the TiO2, g-C3N4, and g-C3N4/TiO2 photocatalysts belonged to the n-type semiconductor category.
ENHE = EAg/AgCl + 0.197
The flat-band potentials of TiO2, g-C3N4, and g-C3N4/TiO2 were −0.71 V, −0.73 V, and −0.87 V, respectively (V vs. Ag/AgCl; sat. KCl at pH 7). The value was further converted to −0.53V, −0.53 V, and −0.67 V, respectively, using Equation (2), which was V vs. the standard hydrogen electrode (NHE) (Figure 4a–c). Based on a previous report, n-type semiconductor materials have a CB potential of approximately 0.1 eV lower than the Efb [36]. Therefore, the conduction band positions of TiO2, g-C3N4, and g-C3N4/TiO2 were −0.41 eV, −0.43 eV, and −0.57 eV, respectively.
Figure 4.
Mott−Schottky plots: (a) TiO2, (b) g-C3N4, and (c) g-C3N4/TiO2. (d) Band structure.
The CB and VB positions are critical for understanding how electrons and holes behave in a material under light excitation. For instance, a more negative CB implies that the material can more readily accept electrons, and the VB position determines the energy level of the holes generated during photoexcitation. The g-C3N4/TiO2 composite had a band structure that could facilitate a more efficient electron transfer between the two materials, which could be beneficial for applications such as photocatalysis, where electron–hole separation and charge transfer are critical for improving performance (Figure 4d) [35,36]. The shift in the flat-band potential and changes in the band positions in the g-C3N4/TiO2 material suggested enhanced electronic interactions, which could improve photocatalytic performance due to better electron transfer between the two components.
3.5. PL and Electrochemical Analyses
The performance of photocatalysts is significantly influenced by the rate of electron–hole recombination, which can be examined using photoluminescence (PL) spectra. A weaker peak intensity in the PL spectra indicates a stronger suppression of electron–hole recombination, leading to enhanced photocatalytic activity. In Figure 5a, the PL spectra of the two photocatalysts, g-C3N4 and g-C3N4/TiO2, are presented with an excitation wavelength of 350 nm. In the case of pure g-C3N4, the strong peak was located at about 450 nm, which corresponded with the band gap of g-C3N4 (2.68 eV) [6,36], indicating a large number of detected electron–hole recombinations in the PL spectra. Moreover, the PL spectrum was similar to that of pure g-C3N4, but the emission intensity of g-C3N4/TiO2 sharply decreased due to the charge transfer between g-C3N4 and TiO2 microspheres, implying an increase in the separation efficiency of the photogenerated electron–hole pairs and suggesting efficient electron transfer within the formed g-C3N4/TiO2 heterojunction structures. Therefore, it is easy to explain that g-C3N4/TiO2 exhibited enhanced photocatalytic performance for the photodegradation (decolorization) of Orange II.
Figure 5.
(a) Photoluminescence spectra, (b) EIS Nyquist plot, (c) TPCR plot, and (d) stability test result of the reported photocatalysts.
In electrochemical impedance spectroscopy (EIS), a Nyquist plot is commonly used to analyze the impedance characteristics of electrochemical systems. In these plots, the x-axis typically represents the real part of the impedance (resistance) and the y-axis represents the imaginary part (reactance). The shape of the plot and the size of the semicircle are related to the electrochemical properties, including charge transfer resistance and the diffusion processes in the system [36,37]. In the EIS results (Figure 5b), the radius of the g-C3N4/TiO2 composite was smaller than that of TiO2 and g-C3N4 alone. The smaller radius observed for the g-C3N4/TiO2 composite suggests that the combination of these two materials enhanced the charge transfer process. This composite likely improved the electron transfer or provided better charge separation compared with the individual components (TiO2 or g-C3N4).
Figure 5c illustrates the photocurrent–time curve. Similar to the transient photocurrent response (TPCR) measurements, the photocurrent intensities of the as-prepared photocatalysts presented in the order of TiO2 (about 1.5 μA cm−2) < g-C3N4 (about 4.0 μA cm−2) < g-C3N4/TiO2 (about 6.2 μA cm−2). The photocurrent density value of g-C3N4/TiO2 was 4.13-fold higher than TiO2 and 1.55-fold higher than g-C3N4. These results proved the important role of the introduction of g-C3N4 nanosheets, where the high charge-carrier mobility acted as an efficient photoelectron accepter from the TiO2 CB and as a low resistive highway for transferring the photoinduced charges through a π–π conjugated network [38,39]. Consequently, the photocurrent response of g-C3N4/TiO2 surpassed that obtained for both TiO2 or g-C3N4 individually.
The findings from the PL and photocurrent analyses demonstrated that the prepared g-C3N4/TiO2 heterojunction enhanced the separation of photogenerated electron–hole pairs and delayed their recombination, which showed superior photocatalytic activity.
3.6. Stability Test
A cyclic dye degradation reaction was performed for up to four consecutive cycles using 0.1 wt% of the g-C3N4/TiO2 composite under the same reaction conditions to assess the photocatalytic stability and reusability. The degradation rate of Orange II was 70.9%, which showed a decrease compared with the initial rate of 92.1% (Figure 5d). However, it still maintained good catalytic efficiency. Despite the drop in efficiency, a 70.9% degradation rate in the fourth cycle is still considered to be high, indicating that the photocatalyst retained good catalytic performance after multiple cycles. This suggests that the material exhibited a reasonable degree of stability and could continue to effectively function over several uses, which is important for practical applications in environmental remediation.
3.7. Photocatalytic Degradation
3.7.1. Effect of g-C3N4 Addition
The improvement in the photocatalytic efficiency of TiO2 due to the addition of g-C3N4 is evident in Figure 6. Figure 6a illustrates the results of photocatalytic decolorization when different weight percentages of TC-g-C3N4 were added to the composites. The decolorization efficiency reached its peak at a mass percentage of 0.5 wt% TC-g-C3N4. Additionally, the highest decolorization rate was achieved when the weight percentage of g-C3N4 was 5 wt%. However, Figure 6b indicates that the decolorization rate remained nearly constant at a g-C3N4 content of 1 wt%. In Figure 6c, a comparison is made between the highest decolorization rates of TC-g-C3N4 and the g-C3N4 composites. The decolorization rates of 0.5 wt% TC-g-C3N4/TiO2 and 1 wt% g-C3N4/TiO2 were equal, but higher than that of 1 wt% TC-g-C3N4/TiO2. Therefore, it was found that the addition of trisodium citrate was not effective for the improvement of decolorization efficiency with the composite.
Figure 6.
Effect of (a) TC−g-C3N4 and (b) g-C3N4 amounts during composite formation on the photocatalytic decolorization of Orange II. Comparison of (c) 1 pure g-C3N4 and TC−g-C3N4 composite. (d) Effect of photocatalyst loading on photocatalytic decolorization with 1 wt% g-C3N4/TiO2.
3.7.2. Effect of Photocatalyst Amount
The photocatalytic decolorization efficiency of the composites was evaluated using 1 wt% g-C3N4/TiO2 at various dosages of 10, 20, 30, and 50 mg, as depicted in Figure 6d. It can be observed that the addition amount of the composite material ranged from 10 mg to 50 mg. With an increase in the usage of the composite photocatalyst, the decolorization rate of Orange II dye showed an increase.
3.7.3. Reaction Rate
The Langmuir–Hinshelwood model is often used in the reaction rate theory of photocatalysts [15]. The Langmuir–Hinshelwood formula shown here is a generalization of Langmuir’s equation of energy-absorbing isotherms applied to surface reactions.
where k is the reaction rate constant (mg (L min)−1), K is the adsorption coefficient of the reactant (L mg−1), and C is the concentration of the reactant (mg L−1).
When the concentration of the reactant C is minimal, it can be approximated by the following formula [9,15,39]:
where kapp is the apparent first-order rate constant.
As Figure 7 presents an almost straight line, this decomposition followed the Langmuir–Hinshelwood model, and decomposition was carried out by a pseudo-first-order reaction.
Figure 7.
Ln (C/C0) versus time in photocatalytic decolorization with 1 wt% g-C3N4/TiO2.
As shown in Table 2, using the composite photocatalyst g-C3N4/TiO2, the rate theoretic parameters were as follows: the pseudo-first-order reaction rate constant was 0.0213 min−1, the linear R2 was 0.99, the time when the concentration changed to a half-life was 32.5 min, and the reaction rate was 2.5 times that of TiO2.
Table 2.
Photocatalytic degradation kinetic parameters (rate constants, correlation, and half-lives).
3.8. Reaction Mechanism
According to the reference papers [12,17,40,41,42], the S-scheme charge transfer mechanism of g-C3N4/TiO2 can be considered to propose the photocatalytic decolorization process of Orange II. The Fermi level of TiO2 microspheres is lower compared with those of g-C3N4. When g-C3N4 is modified on the surface of TiO2 microspheres, electrons can be transferred from g-C3N4 to titanium dioxide microspheres until both Fermi levels reach the same level.
When exposed to light illumination, the VB electrons of TiO2 particles and g-C3N4 become excited, moving to their respective CB while leaving holes in their VB [15,43,44]. This process led to the formation of photogenerated electron–hole pairs in both the TiO2 particles and g-C3N4 (Figure 8). The photogenerated electrons from the TiO2 particles were transferred to g-C3N4 and combined with the photogenerated holes present in g-C3N4. This arrangement left photogenerated holes with strong oxidation ability on the VB of the TiO2 particles and the photogenerated electrons with strong reduction ability on the CB of g-C3N4. Specifically, the photogenerated holes on the VB of the TiO2 particles reacted with H2O or OH− to form hydroxyl radicals (•OH), while the photogenerated electrons on the CB of g-C3N4 reacted with O2 to generate superoxide anion radicals (•O2−). Both •OH and •O2− demonstrate enhanced oxidation and reduction abilities, respectively [45,46,47].
Figure 8.
Schematic diagram of the photocatalytic decolorization of Orange II in an aqueous solution with a g-C3N4/TiO2 composite.
If conventional type-II heterojunctions are constructed between the two components of g-C3N4 and TiO2, the electrons in the CB of g-C3N4 will transfer to the CB of TiO2, and the h+ in the VB of TiO2 will transfer to the VB of g-C3N4. However, the h+ on the VB of g-C3N4 cannot react with H2O or OH− to produce •OH according to previous studies [20,34,47], which is contrary to the above conclusion that •OH was one of the main active species. Therefore, it could be concluded that an S-scheme heterojunction was constructed in the composite, greatly improving the separation efficiency of the photogenerated electron–hole pairs and the photodegradation performance of Orange II.
When exposed to UV irradiation, the internal electric field promotes the combination of electrons in the TiO2 CB with holes in the g-C3N4 VB. This process facilitates the separation of holes in the TiO2 VB and electrons in the g-CB, thereby enhancing the decolorization rate [20,25,34]. The holes in the VB of TiO2 undergo oxidation with H2O, producing •OH radicals. Simultaneously, the electrons in the CB of g-C3N4 react with O2, forming •O2− species. Reactive oxygen species (ROS) are highly reactive and can degrade dye molecules by breaking down their chemical bonds.
The g-C3N4/TiO2 composite system enhanced the photocatalytic activity due to the synergistic effect between the two materials. TiO2 contributed to the generation of ROS under UV light, while g-C3N4 helped to extend the absorption into the visible light range and promoted charge-carrier separation. This combination significantly improved the photocatalytic degradation of organic pollutants.
Compared with other studies, the g-C3N4/TiO2 composite demonstrated a higher degradation rate for orange–yellow dye under UV light, achieving a higher decomposition efficiency within a shorter period (Table 3).
Table 3.
Comparison of photocatalytic dye degradation.
4. Conclusions
In summary, a g-C3N4/TiO2 composite was prepared by the simple physical mixing of TiO2 and g-C3N4 photocatalysts. This composite exhibited enhanced photodecomposition of Orange II dye. The XPS and TEM analyses confirmed the composite formation. PL and electrochemical measurements disclosed the improved charge separation, migration, and delayed recombination of photogenerated electron–hole pairs. The pseudo-first-order reaction rate constant (k) of g-C3N4/TiO2 was 0.0213 min−1, which was 2.5 times higher than pure TiO2. The best performance was achieved using 1 wt% of the g-C3N4/TiO2 composite. In total, 92.1% of Orange II dye was decomposed within 60 min of irradiation. The g-C3N4/TiO2 composites show great promise in the photodegradation of pollutants, with the advantages of low cost, nontoxicity, a simple preparation process, the efficient use of solar energy, and fast electron–hole pair separation with high redox ability.
Author Contributions
B.G.: conceptualization, data curation, writing—original draft preparation; M.U.: formal analysis, investigation, writing—original draft preparation, writing—review and editing; M.F.: investigation and data curation; I.T.: investigation and data curation; H.K.: writing—review and editing; S.K.: writing—review and editing and supervision. All authors have read and agreed to the published version of the manuscript.
Funding
This research was partially funded by Grant-in-Aid for Scientific Research (B) 21H03642 from the Ministry of Education, Culture, Sports, Science, and Technology of Japan.
Data Availability Statement
Data are contained within the article.
Acknowledgments
The authors acknowledge Erina Takase for experimental support.
Conflicts of Interest
All experiments were conducted at Mie University. Any opinions, findings, conclusions, or recommendations expressed in this paper are those of the authors and do not necessarily reflect the view of the supporting organizations.
References
- Islam, M.R.; Islam, J.B.; Furukawa, M.; Tateishi, I.; Katsumata, H.; Kaneco, S. Photocatalytic Degradation of a Systemic Herbicide: Picloram from Aqueous Solution Using Titanium Oxide (TiO2) under Sunlight. ChemEngineering 2020, 4, 58. [Google Scholar] [CrossRef]
- Choi, S.; Do, J.Y.; Lee, J.H.; Ra, C.S.; Kim, S.K.; Kang, M. Optical Properties of Cu-Incorporated ZnO (CuxZnyO) Nanoparticles and Their Photocatalytic Hydrogen Production Performances. Mater. Chem. Phys. 2018, 205, 206–209. [Google Scholar] [CrossRef]
- Chang, C.J.; Lin, Y.G.; Weng, H.T.; Wei, Y.H. Photocatalytic Hydrogen Production from Glycerol Solution at Room Temperature by ZnO-ZnS/Graphene Photocatalysts. Appl. Surf. Sci. 2018, 451, 198–206. [Google Scholar] [CrossRef]
- Wang, Z.; Huo, Y.; Fan, Y.; Wu, R.; Wu, H.; Wang, F.; Xu, X. Facile synthesis of carbon-rich g-C3N4 by copolymerization of urea and tetracyanoethylene for photocatalytic degradation of Orange II. J. Photochem. Photobiol. A Chem. 2018, 358, 61–69. [Google Scholar] [CrossRef]
- Xie, D.; Tang, C.; Li, D.; Yuan, J.; Xu, F. FeOCl/WS2 composite as a heterogeneous Fenton catalyst to efficiently degrade acid orange II. Inorg. Chem. Commun. 2023, 156, 111085. [Google Scholar] [CrossRef]
- Wang, J.; Wang, S. A critical review on graphitic carbon nitride (g-C3N4)-based materials: Preparation, modification and environmental application. Coord. Chem. Rev. 2022, 453, 214338. [Google Scholar] [CrossRef]
- Zhang, M.; Yang, Y.; An, X.; Hou, L.-A. A critical review of g-C3N4-based photocatalytic membrane for water purification. Chem. Eng. J. 2021, 412, 128663. [Google Scholar] [CrossRef]
- Shen, X.; Song, L.; Luo, L.; Zhang, Y.; Zhu, B.; Liu, J.; Chen, Z.; Zhang, L. Preparation of TiO2/C3N4 heterojunctions on carbon-fiber cloth as efficient filter-membrane-shaped photocatalyst for removing various pollutants from the flowing wastewater. J. Colloid Interface Sci. 2018, 532, 798–807. [Google Scholar] [CrossRef]
- Zhu, B.; Cheng, B.; Fan, J.; Ho, W.; Yu, J. g-C3N4-Based 2D/2D Composite Heterojunction Photocatalyst. Small Struct. 2021, 2, 2100086. [Google Scholar] [CrossRef]
- Chouchene, B.; Gries, T.; Balan, L.; Medjahdi, G.; Schneider, R. Graphitic carbon nitride/SmFeO3 composite Z-scheme photocatalyst with high visible light activity. Nanotechnology 2020, 31, 465704. [Google Scholar] [CrossRef]
- Acharya, R.; Parida, K. A review on TiO2/g-C3N4 visible-light-responsive photocatalysts for sustainable energy generation and environmental remediation. J. Environ. Chem. Eng. 2020, 8, 103896. [Google Scholar] [CrossRef]
- Kane, A.; Chafiq, L.; Dalhatou, S.; Bonnet, P.; Nasr, M.; Gaillard, N.; Dangwang Dikdim, J.M.; Monier, G.; Amine Assadi, A.; Zeghioud, H. g-C3N4/TiO2 S-scheme heterojunction photocatalyst with enhanced photocatalytic Carbamazepine degradation and mineralization. J. Photochem. Photobiol. A Chem. 2022, 430, 113971. [Google Scholar] [CrossRef]
- Fujita, S.; Kawamori, H.; Honda, D.; Yoshida, H.; Arai, M. Photocatalytic Hydrogen Production from Aqueous Glycerol Solution Using NiO/TiO2 Catalysts: Effects of Preparation and Reaction Conditions. Appl. Catal. B Environ. 2016, 181, 818–824. [Google Scholar] [CrossRef]
- Ismael, M. A review on graphitic carbon nitride (g-C3N4) based nanocomposites: Synthesis, categories, and their application in photocatalysis. J. Alloys Compd. 2020, 846, 156446. [Google Scholar] [CrossRef]
- Ouedraogo, S.; Chouchene, B.; Desmarets, C.; Gries, T.; Balan, L.; Fournet, R.; Medjahdi, G.; Bayo, K.; Schneider, R. Copper octacarboxyphthalocyanine as sensitizer of graphitic carbon nitride for efficient dye degradation under visible light irradiation. Appl. Catal. A Gen. 2018, 563, 127–136. [Google Scholar] [CrossRef]
- Zhang, Y.; Xu, J.; Mei, J.; Sarina, S.; Wu, Z.; Liao, T.; Yan, C.; Suna, Z. Strongly interfacial-coupled 2D-2D TiO2/g-C3N4 heterostructure for enhanced visible-light induced synthesis and conversion. J. Hazard. Mater. 2020, 394, 122529. [Google Scholar] [CrossRef]
- Jiang, Y.; Sun, Z.; Chen, Q.; Cao, C.; Zhao, Y.; Yang, W.; Zeng, L.; Huang, L. Fabrication of 0D/2D TiO2 Nanodots/g-C3N4 S-scheme heterojunction photocatalyst for efficient photocatalytic overall water splitting. Appl. Surf. Sci. 2022, 571, 151287. [Google Scholar] [CrossRef]
- Yang, J.; Wu, X.; Mei, Z.; Zhou, S.; Su, Y.; Wang, G. CVD Assisted Synthesis of Macro/Mesoporous TiO2/g-C3N4 S-Scheme Heterojunction for Enhanced Photocatalytic Hydrogen Evolution. Adv. Sustain. Syst. 2002, 6, 220005. [Google Scholar] [CrossRef]
- Zhang, X. Layered g-C3N4/TiO2 nanocomposites for efficient photocatalytic water splitting and CO2 reduction: A review. Mater. Today Energy 2022, 23, 100904. [Google Scholar] [CrossRef]
- Li, Y.; Zhou, M.; Cheng, B.; Shao, Y. Recent advances in g-C3N4-based heterojunction photocatalysts. J. Mater. Sci. Technol. 2020, 56, 1–17. [Google Scholar] [CrossRef]
- Ni, S.; Fu, Z.; Li, L.; Ma, M.; Liu, Y. Step-scheme heterojunction g-C3N4/TiO2 for efficient photocatalytic degradation of tetracycline hydrochloride under UV light. Colloids Surf. A Physicochem. Eng. 2022, 649, 129475. [Google Scholar] [CrossRef]
- Hossain, S.M.; Park, H.; Kang, H.-J.; Mun, J.S.; Tijing, L.; Rhee, I.; Kim, J.-H.; Jun, Y.-S.; Shon, H.K. Modified Hydrothermal Route for Synthesis of Photoactive Anatase TiO2/g-CN Nanotubes from Sludge Generated TiO2. Catalysts 2020, 10, 1350. [Google Scholar] [CrossRef]
- Muhammad, A.; Hassan, Z.; Mohammad, S.M.; Rajamanickam, S.; Shitu, I.G. Effect of trisodium citrate on morphological, structural, and optical properties of fluorine-doped ZnO structures. Ceram. Int. 2022, 48, 13431–13439. [Google Scholar] [CrossRef]
- Wang, W.; Liu, Y.; Qu, J.; Chen, Y.; Tad, M.O.; Zhou, W. Synthesis of Hierarchical TiO2–C3N4 Hybrid Microspheres with Enhanced Photocatalytic and Photovoltaic Activities by Maximizing the Synergistic Effect. ChemPhotoChem 2017, 1, 35–45. [Google Scholar] [CrossRef]
- Hao, R.; Wang, G.; Tang, H.; Sun, L.; Xu, C.; Han, D. Template-free preparation of macro/mesoporous g-C3N4/TiO2 heterojunction photocatalysts with enhanced visible light photocatalytic activity. Appl. Catal. B Environ. 2016, 187, 47–58. [Google Scholar] [CrossRef]
- Cao, Y.; Yuan, G.; Guo, Y.; Hu, X.; Fang, G.; Wang, S. Facile synthesis of TiO2/g-C3N4 nanosheet heterojunctions for efficient photocatalytic degradation of tartrazine under simulated sunlight. Appl. Surf. Sci. 2022, 600, 154169. [Google Scholar] [CrossRef]
- Rudzani, R.; Potlako, J.M.; Olayemi, J.F.; Ajay, K.M.; Alex, T.K. Ag doped TiO2 anchored on metal free g-C3N4 for enhanced solar light activated photodegradation of a dye. Opt. Mater. 2024, 157, 116125. [Google Scholar] [CrossRef]
- Hu, K.; Li, R.; Ye, C.; Wang, A.; Wei, W.; Hu, D.; Qiu, R.; Yan, K. Facile synthesis of Z-scheme composite of TiO2 nanorod/g-C3N4 nanosheet efficient for photocatalytic degradation of ciprofloxacin. J. Clean. Prod. 2020, 253, 120055. [Google Scholar] [CrossRef]
- Reli, M.; Huo, P.; Sihor, M.; Ambrozova, N.; Troppova, I.; Matejova, L.; Lang, J.; Svoboda, L.; Kustrowski, P.; Ritz, M.; et al. Novel TiO2/C3N4 Photocatalysts for Photocatalytic Reduction of CO2 and for Photocatalytic Decomposition of N2O. J. Phys. Chem. A 2016, 120, 8564–8573. [Google Scholar] [CrossRef]
- Liu, X.; Chen, N.; Li, Y.; Deng, D.; Xing, X.; Wang, Y. A general nonaqueous sol-gel route to g-C3N4-coupling photocatalysts: The case of Z-scheme g-C3N4/TiO2 with enhanced photodegradation toward RhB under visible-light. Sci. Rep. 2016, 6, 39531. [Google Scholar] [CrossRef]
- Ting, T.L.; Meng, M.X.; Wang, H.-Y.; Wang, J.-S.; Lin, J.-H.; Lou, C.-W. An S-scheme TiO2/g-C3N4 nanocomposite effectively degrades phenanthrene under visible light. Colloids Surf. A Physicochem. Eng. Asp. 2025, 705, 135554. [Google Scholar]
- Dahiya, S.; Shoran, S.; Sharma, D.; Rao, V.; Chaudhary, S.; Nehra, S.; Sharma, A. Bioengineered sustainable phytofabrication of anatase TiO2-adorned g-C3N4 nanocomposites and unveiling their photocatalytic potential towards advanced environmental remediation. Chemosphere 2024, 362, 142456. [Google Scholar] [CrossRef] [PubMed]
- Pal, D.B.; Singh, A.; Bhatnagar, A. A Review on Biomass Based Hydrogen Production Technologies. Int. J. Hydrogen Energy 2022, 47, 1461–1480. [Google Scholar] [CrossRef]
- Zhang, B.; He, X.; Ma, X.; Chen, Q.; Liu, G.; Zhou, Y.; Ma, D.; Cui, C.; Ma, J.; Xin, Y. In situ synthesis of ultrafine TiO2 nanoparticles modified g-C3N4 heterojunction photocatalyst with enhanced photocatalytic activity. Sep. Purif. Technol. 2020, 247, 116932. [Google Scholar] [CrossRef]
- Takahashi, J.-I. In-situ evaluation of the carrier mobility using Mott-Schottky-equivalent analysis in organic light emitting diodes. J. Appl. Phys. 2020, 59, 071005. [Google Scholar] [CrossRef]
- Uzzaman, M.; Afrin, M.F.; Furukawa, M.; Tateishi, I.; Katsumata, H.; Kaneco, S. Visible Light-Driven Photocatalytic CH4 Production from an Acetic Acid Solution with Cetyltrimethylammonium Bromide-Assisted ZnIn2S4. ChemEngineering 2024, 8, 75. [Google Scholar] [CrossRef]
- Priti, R.; Bonamali, P.; Raj, K.D. Bi-doped g-C3N4/Bi2WO6 ternary composites for superior photocatalytic degradation of reactive orange 16 under visible light irradiation. J. Ind. Eng. Chem. 2025, 141, 456–467. [Google Scholar] [CrossRef]
- Liu, S.; Bu, Y.; Cheng, S.; Tao, Y.; Hong, W. Preparation of g-C3N5/g-C3N4 heterojunction for methyl orange photocatalytic degradation: Mechanism analysis. J. Water Process Eng. 2023, 54, 104019. [Google Scholar] [CrossRef]
- Liu, S.; Wang, X.; Wang, K.; Lv, R.; Xu, Y. ZnO/ZnS-PdS Core/Shell Nanorods: Synthesis, Characterization and Application for Photocatalytic Hydrogen Production from a Glycerol/Water Solution. Appl. Surf. Sci. 2013, 283, 732–739. [Google Scholar] [CrossRef]
- Deluga, G.A.; Salge, J.R.; Schmidt, L.D.; Verykios, X.E. Renewable Hydrogen from Ethanol by Autothermal Reforming. Science 2004, 303, 993–997. [Google Scholar] [CrossRef]
- Zhou, C.H.; Beltramini, J.N.; Fan, Y.X.; Lu, G.Q. Chemoselective Catalytic Conversion of Glycerol as a Biorenewable Source to Valuable Commodity Chemicals. Chem. Soc. Rev. 2008, 37, 527–549. [Google Scholar] [CrossRef] [PubMed]
- Davda, R.R.; Shabaker, J.W.; Huber, G.W.; Cortright, R.D.; Dumesic, J.A. A Review of Catalytic Issues and Process Conditions for Renewable Hydrogen and Alkanes by Aqueous-Phase Reforming of Oxygenated Hydrocarbons over Supported Metal Catalysts. Appl. Catal. B Environ. 2005, 56, 171–186. [Google Scholar] [CrossRef]
- Byrd, A.J.; Pant, K.K.; Gupta, R.B. Hydrogen Production from Glycerol by Reforming in Supercritical Water over Ru/Al2O3 Catalyst. Fuel 2008, 87, 2956–2960. [Google Scholar] [CrossRef]
- Dauenhauer, P.J.; Salge, J.R.; Schmidt, L.D. Renewable Hydrogen by Autothermal Steam Reforming of Volatile Carbohydrates. J. Catal. 2006, 244, 238–247. [Google Scholar] [CrossRef]
- Keskin, T.; Hallenbeck, P.C. Hydrogen Production from Sugar Industry Wastes Using Single-Stage Photofermentation. Bioresour. Technol. 2012, 112, 131–136. [Google Scholar] [CrossRef] [PubMed]
- Lyubina, T.P.; Markovskaya, D.V.; Kozlova, E.A.; Parmon, V.N. Photocatalytic Hydrogen Evolution from Aqueous Solutions of Glycerol under Visible Light Irradiation. Int. J. Hydrogen Energy 2013, 38, 14172–14179. [Google Scholar] [CrossRef]
- Hashaikeh, R.; Butler, I.S.; Kozinski, J.A. Selective Promotion of Catalytic Reactions during Biomass Gasification to Hydrogen. Energy Fuels 2006, 20, 2743–2747. [Google Scholar] [CrossRef]
- Yildiz, T.; Yatmaz, H.C.; Öztürk, K. Anatase TiO2 powder immobilized on reticulated Al2O3 ceramics as a photocatalyst for degradation of RO16 azo dye. Ceram. Int. 2020, 46, 8651–8657. [Google Scholar] [CrossRef]
- Rajachandrasekar, T.; Abina, K.; Subramaniyan, R.; Sakthivel, K.; Mohammad, A.; Tae, H.O.; Srishankar, J.; Sobana, N.; Thirunarayanan, G.; Muthuvel, I. Radiant synergy: Illuminating methyl orange dye removal with g-C3N4/ZnO heterojunction photocatalyst. Diam. Relat. Mater. 2024, 147, 111325. [Google Scholar] [CrossRef]
- Yuan, X.; Yi, J.; Wang, H.; Yu, H.; Zhang, S.; Peng, F. New route of fabricating BiOI and Bi2O3 supported TiO2 nanotube arrays via the electrodeposition of bismuth nanoparticles for photocatalytic degradation of acid orange II. Mater. Chem. Phys. 2017, 196, 237–244. [Google Scholar] [CrossRef]
Disclaimer/Publisher’s Note: The statements, opinions and data contained in all publications are solely those of the individual author(s) and contributor(s) and not of MDPI and/or the editor(s). MDPI and/or the editor(s) disclaim responsibility for any injury to people or property resulting from any ideas, methods, instructions or products referred to in the content. |
© 2024 by the authors. Licensee MDPI, Basel, Switzerland. This article is an open access article distributed under the terms and conditions of the Creative Commons Attribution (CC BY) license (https://creativecommons.org/licenses/by/4.0/).







