Abstract
The occurrence of arsenic in water is a global problem for public health. Several removal technologies have been developed for arsenic removal from water, and adsorption onto iron oxy-hydroxides is the most widely used technique. Granular ferric hydroxide (GFH) has been used mainly for As(V) removal, but it has the disadvantage that it can create a problem with the residual concentration of iron in the water. Moreover, graphene oxide (GO), which contains a large amount of reactive oxygen, exhibits high adsorbing capacity. In this study, the combined use of GO and GFH as adsorbent materials in different molar ratios was investigated in order to achieve the maximum As(III) removal from aqueous solutions. The effect of the adsorbent’s dosage, pH value, contact time, initial As(III), and different molar ratios of GO/GFH was examined. As depicted, the presence of GFH enhances the use of GO. In particular, the molar ratio of GO/GFH 2:1 (i.e., 0.2 g/L GO and 0.1 g/L GFH) is chosen as optimal at pH value 7.0 ± 0.1, while the removal percentage increased from 10 % (absence of GFH) to 90% with the simultaneous addition of GFH. Freundlich isotherm and pseudo-second-order kinetic models described the experimental data adequately and the highest adsorption capacity that was achieved was 22.62 μg/g.
1. Introduction
Arsenic belongs to the metalloid elements and appears in water with two oxidation states, found as oxyanions, as arsenate [As(V)] (H3AsO4, H2AsO4−, HAsO42−, or AsO43−), or arsenite [As(III)] (H3AsO3, H2AsO3−, and HAsO32−) [1], with As(III) being about 60 times more toxic than As(V) [2]. According to the World Health Organization (WHO), the maximum permissible concentration of As in drinking water is 10 μg/L [3], while extended consumption of arsenic-containing waters leads to several health effects, such as cancer of skin, lungs, and bladder [3].
Therefore, because arsenic is hazardous to human health and occurs in large concentrations, above WHO drinking water standard limits, in many regions around the world, such as India, Bangladesh, Pakistan, Cambodia, Argentina [4,5,6], and others, the need to remove it from water becomes imperative. Several removal technologies [7] have been developed for arsenic removal from water, such as adsorption with activated carbons [8], coagulation [9], membranes [10,11], molecularly imprinted polymers (MIPs) [12], etc. Iron coagulation—filtration and adsorption onto iron oxy-hydroxides are the most widely used techniques [9,13,14,15,16,17]. In many cases, there is a need for a peroxidation step to oxidize As(III) into As(V). Hence, chemical oxidants such as chlorine, hydrogen peroxide (H2O2), ozone (O3), permanganate, hypochlorite, monochloramine, and persulfate-based systems were frequently employed to oxidize As(III) to As(V) [18,19,20,21]. On the other hand, iron oxides and oxy-hydroxides (FeOOH) have been intensively studied as adsorbents for several years for the purification of water [18,19,20,21,22,23].
Granular ferric hydroxide (GFH), a usual porous iron adsorbent, is commercially available and commonly considered for arsenic removal [16,24,25] under both laboratory-scale and full-scale water treatment plants [24]. Several times, a powdered-sized fraction of iron-oxide-based adsorptive material was deposed on the surface of a microfiltration (MF) membrane [16]; however, this application might be increasing the cost of processing with the use of membrane.
Although GFH has a lot of applications, some disadvantages cannot be avoided while using it, such as the addition of iron to water and the relative residual concentration. When iron is present in water in higher concentrations than the limits (0.2 mg/L) [26], this has impacts on water quality, such as (a) giving water a reddish color when exposed to air, (b) giving water a nasty metallic taste, and (c) domestic pipes being clogged by iron precipitates [27]. In addition, kinetic studies with GFH suggested slow kinetics from 3 to 415 days, leading to a diffusion-controlled transport process that limits the rate of arsenic adsorption [28].
On the other hand, graphene, a two-dimensional structure, since its discovery in 2004 [29], has attracted researchers [30,31,32,33] while exhibiting a flexible, porous structure and high chemical stability. Oxidation of graphite leads to the eventual formation of graphene oxide (GO), which contains a large amount of reactive oxygen due to the presence of epoxy, carboxyl, and hydroxyl groups [34]. The benefits of using GO as a reactant in aqueous solution are its hydrophilicity because of these groups and its adsorbing capacity of several contaminants onto the benzene ring by the strong π–π interaction [35].
In the present study, the main aim was to combine the two materials, i.e., graphene oxide and the commercially available GFH to develop a hybrid-type treatment, in which the advantages of both materials will be combined. As a first application of this treatment type, in the present study, As(III) removal from waters will be examined in order to evaluate the efficiency of the treatment and to gain data, which will be useful for further applications, such as in combined removal of arsenic with other contaminants, inorganic and mainly organic, for which graphene oxide has a great affinity [36]. Considering the aforementioned advantages of GO and GFH, in this study, the combined use of these two adsorbent materials in different molar ratios was investigated in order to achieve the maximum arsenic removal from aqueous solutions. To the best of our knowledge, this is the first research paper combining the use of GFH with graphene oxide for As(III) removal in water treatment applications.
2. Materials and Methods
2.1. Materials
All reagents used were of analytical grade. Sodium metarsenite (AsNaO2) (Merck KGaA, Darmstadt, Germany) solution was used for the preparation of simulated arsenic water. As(III) stock solution (100 mg As(III)/L) was prepared by dissolving 0.1733 g AsNaO2 in 1000 mL deionized water and stored in 4 °C for further use in the experiments. The GFH material was supplied by GEH–Wasserchemie GmbH & Co. KG, Osnabrück, Germany. The GFH material is predominantly ß-FeOOH and Fe(OH)3, with a particle size of 0.2–2.0 mm and specific surface area (BET) of ~300 m2/g [37]. The GO was previously synthesized and used by the authors [33] according to the modified Hummer’s method [38], as improved by Debnath et al. (2014) [39], with a theoretical specific surface area of ~890 m2/g [34]. pH was properly regulated by utilizing HCl solution of 37% (Panreac Quimica SLU, Barcelona, Spain) or NaOH ACS reagent ≥97.0% pellets (Sigma-Aldrich St. Louis, MO, USA) solutions of appropriate concentrations in the range of 0.01–0.1 M.
2.2. Analytical Determinations
For the determination of residual arsenic concentration, atomic absorption spectroscopy coupled with graphite furnace (Varian Zeeman AA240Z with GTA 120; Hansen Way Palo Alto, CA, USA), which has a detection limit of 1 µg/L, was used.
2.3. Adsorption Experiments
Adsorption experiments have been conducted by introducing a predetermined quantity of adsorbent in 15 mL Falcon tubes (10 mL is the volume of solution) containing arsenic solutions at indicated initial concentrations. Experiments were performed at a constant temperature. The suspension was agitated using a Trayster overhead shaker and Loopster rotator (IKA®-Werke GmbH & Co. KG, Staufen, Germany) at a constant stirring speed (80 rpm). The following experimental variables were examined: the pH value of the solution in the range 4.0–9.0 ± 0.1, the initial As(III) concentration in the range 25–500 μg/L, the adsorbent dose (0.2–2.0 g/L), and contact time (10–360 min for kinetics and 24 h for equilibrium). Following the adsorption experiment, the collected water samples were filtered through 0.45 μm pore size nylon filter and the examined parameters were determined in the filtrate. The results represent the mean value of results obtained by three replicated experiments. The percentage removal (%R) As(III) was determined from the following Equation (1):
where Co is the initial As(III) concentration (μg/L) and Cf is the final As(III) concentration (μg/L) after treatment.
The adsorption capacity of adsorbents (Qe) (μg/g) was calculated from the following Equation (2):
where Ce is As(III) concentration (μg/L) at equilibrium, V (L) is the volume of solution, and m (g) is the mass of the adsorbent used.
2.3.1. Equilibrium Experiments
For the isothermal experiments, a fixed amount of adsorbent sample (g) was added to 10 mL of As(III) solution (25–500 μg/L) in 15 mL falcon tubes. The adsorption experimental results were fitted to the Langmuir and Freundlich isotherm models.
The Langmuir model associates the solid-phase adsorbate concentration (Qe) and the uptakes to the equilibrium liquid concentration and is expressed as Equation (3):
where Qm is the theoretical monolayer/maximum adsorption capacity (μg/L) and KL is related to the energy of As(III) (L/μg) adsorption.
The Langmuir theory assumes that the adsorbent has a limited adsorption capacity (Qm), while the adsorbate forms a monolayer on the adsorbent surface and that there is a lack of interface between the adsorbed molecules [40].
The Freundlich model [41] outlines the inter-relation between As(III) equilibrium concentrations (μg/L) with the uptake capacities, Qe (μg/g) of adsorbent, and is expressed as Equation (4):
where KF is a constant related to adsorption capacity, while 1/n is a constant related to the intensity of adsorption or surface heterogeneity; 1/n = 0 is for heterogeneous phase; 1/n < 1 is for a normal Freundlich isotherm; and 1/n > 1 indicates a co-operative adsorption.
2.3.2. Kinetics Experiments
Two widely used models, i.e., the pseudo-first-order (PFO) and pseudo-second-order (PSO) kinetics models, were investigated to fit the kinetics of As(III) adsorption. The calculated adsorption kinetic parameters were further analyzed to estimate the adsorption rates, as well as to determine the potential reaction mechanism. The pseudo-first-order model used for the data analysis is as shown below as Equation (5):
where Qe is the amount of As(III) adsorbed at equilibrium (μg/g), Qt is the amount of As(III) adsorbed at time t (μg/g), k1 is the rate constant of the PFO model (1/min), and t is time (min).
The pseudo-second-order model used for the data analysis is as shown below as Equation (6):
where Qe is the amount of As(III) adsorbed at equilibrium (μg/g), Qt is the amount of As(III) adsorbed at time t (μg/g), k2 is the rate constant of the PSO (g/(μg min), and t is time (min).
3. Results and Discussion
3.1. Batch Adsorption Experiments
3.1.1. Effect of Adsorbent Dose
Figure 1a shows the effect of GO and Figure 1b the effect of GFH dose on As(III) % removal, applying an initial As(III) concentration of 100 μg/L.
Figure 1.
Comparison and effect of adsorbent dose on As(III) R% removal (a) on GO and (b) on GFH; initial As(III) concentration 100 μg/L, pH 4.0, 6.0, 7.0 ± 0.1, T = 298 K, contact time 24 h, in deionized water.
As illustrated in Figure 1a, by applying GO dosage, as the dosage of the adsorbent increased, so did the removal of As(III), especially at neutral pH values at which the efficiency is significantly higher. In particular, while in pH 4 and 9 with 2 g/L of GO, the removal reached 20%, in pH 7, it almost doubled. However, at all pH values, As(III) removal by applying only GO as the adsorbent material was low and, therefore, GO alone cannot be considered an efficient adsorbent for As(III) removal.
On the other hand, in Figure 1b, it is observed that GFH was effective in all applied doses, especially in basic pH values. Therefore, it follows that a combined use with GO in the appropriate molecular ratio would be of interest to study to examine the effectiveness of the combined use of materials as regards As(III) removal.
3.1.2. Effect of the Dose Ratio of GO/GFH to the Removal of As(III) from Waters
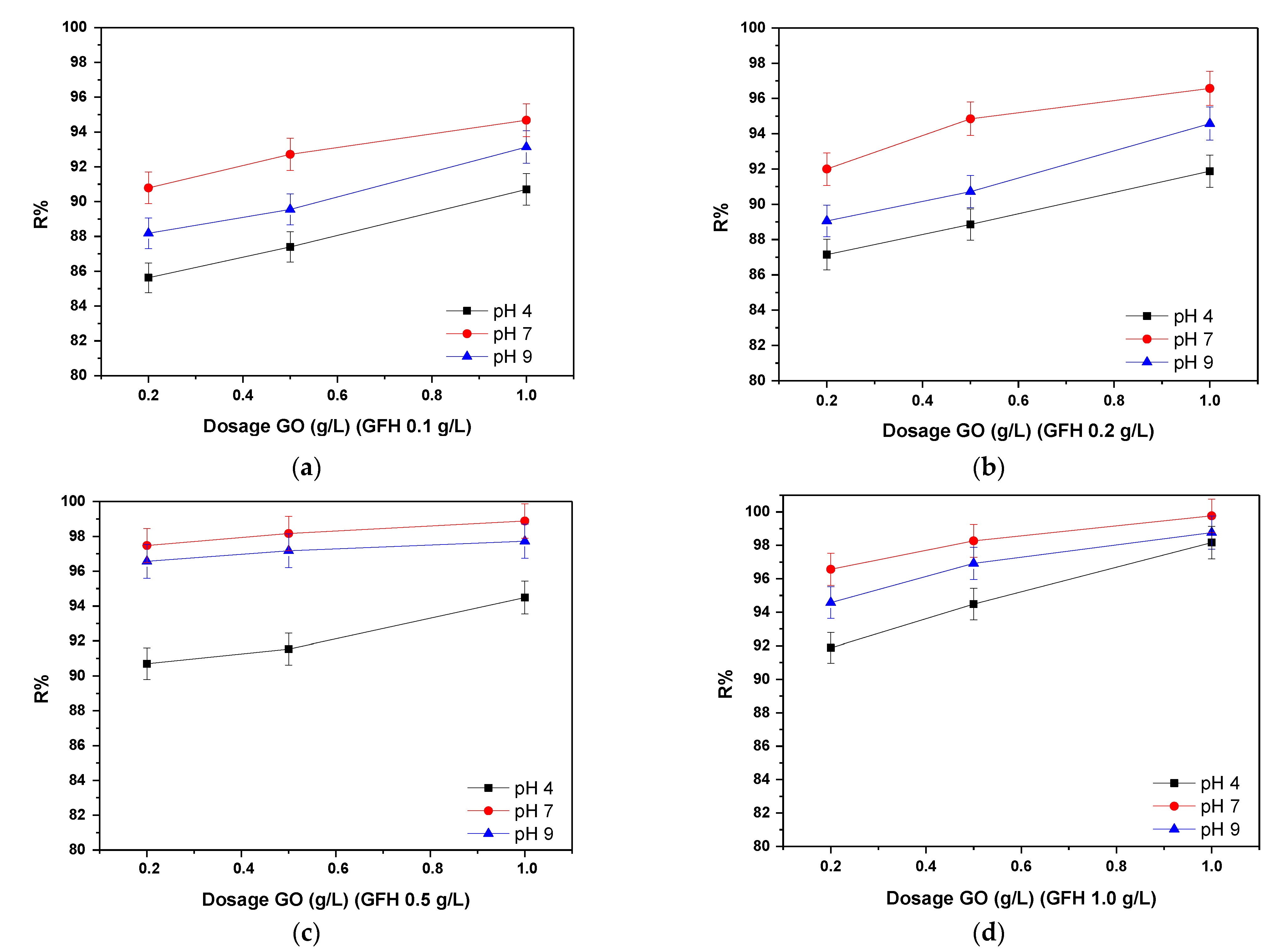
The effect of different dose ratios of GO and GFH on the removal of As(III) is shown in Figure 2 with an initial As(III) concentration of 100 μg/L by applying several doses of GO at room temperature (298 K) at different doses of GFH (0.1, 0.2, 0.5, and 1.0 g/L) at pH 4.0 ± 0.1; 7.0 ± 0.1; and 9.0 ± 0.1. As depicted, the presence of GFH enhances the use of GO at all pH values. Even with the application of a small amount of GFH (0.1 g/L), the change in the removal efficiency of As(III) is very important. In particular, the dose mass ratio of GO/GFH 2:1 (i.e., 0.2 g/L GO and 0.1 g/L GFH) was chosen as optimal, as it was shown that, at a pH value 7.0 ± 0.1, the removal percentage increased from 10% (absence of GFH) to 90% with the simultaneous addition of 0.1 g/L GFH and 0.2 g/L GO. In addition, it is worth noting that the performance of the GFH was also enhanced, from 82% without the addition of GO and reaching 92% with their combination. In all experiments, the residual iron concentration was measured and was found to be well below the maximum permissible concentration of 200 μg/L, which is the limit of iron in drinking water.
Figure 2.
Effect of GO dosage on As(III) % removal with combined addition of several doses of GFH (a) 0.1 g/L, (b) 0.2 g/L, (c) 0.5 g/L, (d) 1.0 g/L; initial As(III) concentration 100 μg/L, pH 4.0, 6.0, 7.0 ± 0.1, T = 298 K, contact time 24 h, in deionized water.
3.1.3. Effect of Initial pH Solution
The effect of pH on the removal of As(III) was studied at different pH values of the solution ranging from 4.0 ± 0.1 to 9.0 ± 0.1 (contact time 24 h; temperature 298 K). The optimum combination of GO/GFH, at a ratio of 2:1, was used as adsorbent. As illustrated in Figure 3, the addition of GFH enhanced the removal of As(III), particularly at pH 7 ± 0.1.
Figure 3.
Effect of initial solution pH on the adsorption of As(III) onto the combination of GO (0.2 g/L) and GFH (0.1 g/L); initial As(III) concentration 100 μg/L, pH 7.0 ± 0.1, T = 298 K, contact time 24 h, in deionized water.
In order to understand and explain the overall achieved removal, the pHpzc measurements of the adsorbents were performed in the pH range of 2.0–10.0 ± 0.1. pHpzc is the pH value at which the surface charge of the adsorbent changes from positive to negative, with a potential impact to the interface between the adsorbate and the adsorbent. pHpzc was calculated by the relative graph of ΔpH vs. pHinitial, as illustrated in Figure 4 by using pH drift method [42]. It was found that the relative pHpzc values were 6.67 for GO and 7.22 for GFH, resulting in a slightly negatively charged surface of GO and slightly positively charged surface of GFH at solution pH values (pH 7.0 found in this study) greater and lower than the pHPZC, respectively. At pH 7.0, As(III) with a pKa1 of 9.22 is mostly present as nonionic H3AsO3 [43]; thus, at pH 7.0, adsorption of As(III) is less pH-sensitive [44] and the adsorption of nonionized As(III) takes place only through a Lewis acid–base (ligand exchange) reaction [45].
Figure 4.
Determination of pHpzc of GO and GFH using pH drift method.
3.2. Adsorption Isotherms
As isothermal adsorption models can describe experimental data and determine the mechanism of the adsorption process, two common isotherm models, Langmuir and Freundlich, were applied to describe the experimental results. These models are described by two parameters that are used in order to establish the connection between the amount of arsenic adsorbed onto the combination of GO and GFH. Figure 5 provides the results for As(III) removal capacity (μg/g), with initial concentration varying from 25 to 500 μg/L, at pH 7.0 ± 0.1, by applying the combination of 0.2 g/L GO and 0.1 g/L GFH at room temperature (298 K).
Figure 5.
Langmuir and Freundlich isotherm models for the adsorption of As(III) (25–500 μg/L) onto the combination of GO (0.2 g/L) and GFH (0.1 g/L), pH 7.0 ± 0.1, T = 298 K, contact time 24 h, in deionized water.
The calculated parameters from Equations (3) and (4) are shown in Table 1. As shown, the adsorption isotherm data were best fitted to the Freundlich isotherm model with a relative higher correlation coefficient (R2 = 0.996), indicating a multi-layer adsorption process. This model assumes the existence of interactions between adsorbed molecules. The values of KF (0.7167) and 1/n (0.6349) were calculated from the intercept and slope of the plots. For values of 1/n in the range 0 < 1/n < 1, adsorption is favorable, so the corresponding value obtained in this study, i.e., 0.6349, proves that the adsorbent’s combination of GO/GFH with a molar ratio 2:1 is effective for As(III) adsorption and the adsorption process can be characterized as favorable. It described a heterogeneous chemisorption [41].
Table 1.
Constants of Langmuir and Freundlich isotherm model for the adsorption of As(III) onto the combination of GO (0.2 g/L) and GFH (0.1 g/L), pH 7.0 ± 0.1, T = 298 K, contact time 24 h, in deionized water.
Table 1 shows the correlation coefficient for Langmuir model, which is lower than Freundlich. According to Langmuir model, the calculated adsorption capacity was 22.62 μg/g.
3.3. Effect of Contact Time and Adsorption Kinetics
The contact time is an important parameter, expressing the time required for adsorbents to reach adsorption equilibrium. For the evaluation of the adsorption kinetics, relevant experiments were conducted at an initial As(III) concentration of 100 μg/L at pH 7.0 ± 0.1 by applying the combination of 0.2 g/L GO and 0.1 g/L GFH at room temperature (298 K).
As shown in Figure 6, the required time for achieving 50% removal of As(III) was found to be ~60 min, reaching 80% in about 240 min. Moreover, it is observed that the equilibrium is reached after 360 min.
Figure 6.
Effect of contact time on the adsorption of As(III) onto the combination of GO (0.2 g/L) and GFH (0.1 g/L); initial As(III) concentration 100 μg/L, pH 7.0 ± 0.1, T = 298 K, in deionized water.
In addition, the kinetics of As(III) adsorption were fitted to kinetic models. Pseudo-first-order (PFO) and pseudo-second-order (PSO) models have been used for the kinetic study and the corresponding curves are illustrated in Figure 7. According to the parameters presented in Table 2, the experimental data fitted better to the pseudo-second-order model, from which a better correlation was obtained, i.e., R2 = 0.9696 for PSO and only R2 = 0.8708 for PFO. The PSO model constants, calculated from Equation (6), are shown in Table 2, indicating that the adsorption of As(III) on a combination of GO/GFH (molar ratio 2:1) was closer to chemical adsorption and, henceforth, there is an exchanging or sharing of electrons between the adsorbate and the adsorbent [46]. This finding is in agreement with the respective findings of the application of the isotherm models, from which it was considered that As(III) removal takes place through chemisorption. In addition, the change between the calculated equilibrium adsorption capacities (qe,calc) (3.0283) and the experimental value (qe,exp) (2.7421 mg/g) was not very significant.
Figure 7.
Kinetic models of pseudo-first and pseudo-second order for the adsorption of As(III) onto the combination of GO (0.2 g/L) and GFH (0.1 g/L); initial As(III) concentration 100 μg/L, pH 7.0 ± 0.1, T = 298 K, in deionized water.
Table 2.
Pseudo-first-order and pseudo-second-order kinetic parameter model for the adsorption of As(III) onto the combination of GO (0.2 g/L) and GFH (0.1 g/L), pH 7.0 ± 0.1, dosage 2 g/L, T = 298 K, contact time 24 h, in deionized water.
4. Conclusions
In the present study, GFH, a commercially available porous iron adsorbent, and GO, containing a large amount of reactive oxygen species due to the presence of epoxy, carboxyl, and hydroxyl groups, were combined in different dose ratios in order to achieve the maximum As(III) removal from aqueous solutions. The effect of the adsorbent’s dosage, pH value, contact time, initial As(III), and different dose ratios of GO/GFH were examined.
According to the results, the main highlights of this manuscript can be summarized as follows: the presence of GFH enhanced the use of GO at all pH values for As(III) removal. In particular, the molar ratio of GO/GFH 2:1, by the simultaneous addition of 0.2 g/L GO and 0.1 g/L GFH, was chosen as optimal at pH value 7.0 ± 0.1, while the removal percentage increased from 10% (absence of GFH) to 90% with the simultaneous addition of GFH.
Freundlich isotherm model fitted the experimental data sufficiently with a quite high correlation coefficient (R2 = 0.996), indicating a multi-layer chemical adsorption process. In addition, the kinetics of As(III) adsorption on 0.2 g/L GO and 0.1 g/L GFH fitted well to the pseudo-second-order model, from which a high correlation was obtained, i.e., R2 = 0.9696, indicating that the adsorption of As(III) on a combination of GO/GFH (molar ratio 2:1) was closer to chemisorption and that there is an exchanging or sharing of electrons between the adsorbate and the adsorbent.
The results showed that combined use of GO and GFH can be an effective combined treatment approach for removing As(III) from water without the use of chemical reagents for As(III) oxidation, while the use of GO contributes to the need for smaller quantities of GFH, thereby reducing the final iron concentrations in the treated water, while it offers the possibility to be applied for simultaneous organic micropollutant removal, which is the main prospective of this research.
Author Contributions
Conceptualization, A.K.T., V.T., I.A.K. and G.Z.K.; methodology, A.K.T., I.A.K., G.Z.K. and E.C.R.; validation, A.K.T., G.Z.K. and I.A.K.; formal analysis, A.K.T., E.C.R., V.T., G.Z.K. and I.A.K.; investigation, A.K.T., E.C.R., M.X., G.Z.K. and I.A.K.; resources, A.K.T., V.T., E.C.R., M.X., G.Z.K. and I.A.K.; data curation, A.K.T. and M.X.; writing—original draft preparation, A.K.T.; writing—review and editing, A.K.T., V.T., E.C.R., M.X., G.Z.K. and I.A.K.; visualization, A.K.T., E.C.R., V.T., G.Z.K. and I.A.K.; supervision, A.K.T., V.T., G.Z.K. and I.A.K. All authors have read and agreed to the published version of the manuscript.
Funding
This research received no external funding.
Institutional Review Board Statement
Not applicable.
Informed Consent Statement
Not applicable.
Data Availability Statement
The data presented in this study are available upon request from the corresponding author.
Acknowledgments
Support for this study was received from the Prefecture of Central Macedonia in Greece, under the framework of the research project: Selection of research directions and accreditation of parameters and methods of the chemical and biological sector of the Laboratory of Environmental Control and Research of Prefecture of Central Macedonia, with ID number at the research committee of Aristotle University of Thessaloniki: 71658.
Conflicts of Interest
The authors declare no conflict of interest.
References
- Katsoyiannis, I.A.; Zouboulis, A.I. Comparative evaluation of conventional and alternative methods for the removal of arsenic from contaminated groundwaters. Rev. Environ. Health 2006, 21, 25–41. [Google Scholar] [CrossRef] [PubMed]
- Jain, C.K.; Ali, I. Arsenic: Occurrence, toxicity and speciation techniques. Water Res. 2000, 34, 4304–4312. [Google Scholar] [CrossRef]
- Smith, A.H.; Steinmaus, C.M. Health effects of arsenic and chromium in drinking water: Recent human findings. Annu. Rev. Public Health 2009, 30, 107–122. [Google Scholar] [CrossRef]
- Chunhui, L.; Jin, T.; Puli, Z.; Bin, Z.; Duo, B.; Xuebin, L. Simultaneous removal of fluoride and arsenic in geothermal water in Tibet using modified yak dung biochar as an adsorbent. R. Soc. Open Sci. 2018, 5. [Google Scholar] [CrossRef]
- Katsoyiannis, I.A.; Mitrakas, M.; Zouboulis, A.I. Arsenic occurrence in Europe: Emphasis in Greece and description of the applied full-scale treatment plants. Desalin. Water Treat. 2015, 54, 2100–2107. [Google Scholar] [CrossRef]
- Farooqi, A.; Masuda, H.; Firdous, N. Toxic fluoride and arsenic contaminated groundwater in the Lahore and Kasur districts, Punjab, Pakistan and possible contaminant sources. Environ. Pollut. 2007, 145, 839–849. [Google Scholar] [CrossRef]
- Jadhav, S.V.; Bringas, E.; Yadav, G.D.; Rathod, V.K.; Ortiz, I.; Marathe, K.V. Arsenic and fluoride contaminated groundwaters: A review of current technologies for contaminants removal. J. Environ. Manag. 2015, 162, 306–325. [Google Scholar] [CrossRef] [PubMed]
- Meez, E.; Tolkou, A.K.; Giannakoudakis, D.A.; Katsoyiannis, I.A.; Kyzas, G.Z. Activated Carbons for Arsenic Removal from Natural Waters and Wastewaters: A Review. Water 2021, 13, 2982. [Google Scholar] [CrossRef]
- Katsoyiannis, I.A.; Tzollas, N.M.; Tolkou, A.K.; Mitrakas, M.; Ernst, M.; Zouboulis, A.I. Use of novel composite coagulants for arsenic removal from waters-experimental insight for the application of polyferric sulfate (PFS). Sustainability 2017, 9, 590. [Google Scholar] [CrossRef]
- Cañas Kurz, E.E.; Hellriegel, U.; Figoli, A.; Gabriele, B.; Bundschuh, J.; Hoinkis, J. Small-scale membrane-based arsenic removal for decentralized applications–Developing a conceptual approach for future utilization. Water Res. 2021, 196, 116978. [Google Scholar] [CrossRef]
- Worou, C.N.; Chen, Z.L.; Bacharou, T. Arsenic removal from water by nanofiltration membrane: Potentials and limitations. Water Pract. Technol. 2021, 16, 291–319. [Google Scholar] [CrossRef]
- Tolkou, A.K.; Kyzas, G.Z.; Katsoyiannis, I.A. Arsenic(III) and Arsenic(V) Removal from Water Sources by Molecularly Imprinted Polymers (MIPs): A Mini Review of Recent Developments. Sustainability 2022, 14, 5222. [Google Scholar] [CrossRef]
- Chowdhury, S.; Balasubramanian, R. Recent advances in the use of graphene-family nanoadsorbents for removal of toxic pollutants from wastewater. Adv. Colloid Interface Sci. 2014, 204, 35–56. [Google Scholar] [CrossRef]
- Choy, S.Y.; Prasad, K.M.N.; Wu, T.Y.; Ramanan, R.N. A review on common vegetables and legumes as promising plant-based natural coagulants in water clarification. Int. J. Environ. Sci. Technol. 2015, 12, 367–390. [Google Scholar] [CrossRef]
- Damtie, M.M.; Choi, J.; Technology, B. Fluoride Removal and Nitrogen Recovery from Wastewater by Membrane Distillation Process. Ph.D. Thesis, University of Science and Technology, Daejeon, Republic of Korea, 2020. [Google Scholar]
- Usman, M.; Katsoyiannis, I.; Rodrigues, J.H.; Ernst, M. Arsenate removal from drinking water using by-products from conventional iron oxyhydroxides production as adsorbents coupled with submerged microfiltration unit. Environ. Sci. Pollut. Res. 2020, 28, 59063–59075. [Google Scholar] [CrossRef]
- Usman, M.; Zarebanadkouki, M.; Waseem, M.; Katsoyiannis, I.A.; Ernst, M. Mathematical modeling of arsenic(V) adsorption onto iron oxyhydroxides in an adsorption-submerged membrane hybrid system. J. Hazard. Mater. 2020, 400, 123221. [Google Scholar] [CrossRef]
- Langmuir, D.A.O. Dubinin-Radushkevich Isotherms Studies of Equilibrium Sorption of Zn 2+ Unto Phosphoric Acid Modified Rice Husk. IOSR J. Appl. Chem. 2012, 3, 38–45. [Google Scholar] [CrossRef]
- Hug, S.J.; Leupin, O.X. Iron-catalyzed oxidation of arsenic (III) by oxygen and by hydrogen peroxide: pH-dependent formation of oxidants in the Fenton reaction RN. Environ. Sci. Technol. 2003, 37, 2734–2742. [Google Scholar] [CrossRef] [PubMed]
- Hu, C.; Liu, H.; Chen, G.; Jefferson, W.A.; Qu, J. As(III) oxidation by active chlorine and subsequent removal of As(V) by Al 13 polymer coagulation using a novel dual function reagent. Environ. Sci. Technol. 2012, 46, 6776–6782. [Google Scholar] [CrossRef] [PubMed]
- Sorlini, S.; Gialdini, F. Conventional oxidation treatments for the removal of arsenic with chlorine dioxide, hypochlorite, potassium permanganate and monochloramine. Water Res. 2010, 44, 5653–5659. [Google Scholar] [CrossRef]
- Tresintsi, S.; Simeonidis, K.; Estradé, S.; Martinez-Boubeta, C.; Vourlias, G.; Pinakidou, F.; Katsikini, M.; Paloura, E.C.; Stavropoulos, G.; Mitrakas, M. Tetravalent manganese feroxyhyte: A novel nanoadsorbent equally selective for As(III) and As(V) removal from drinking water. Environ. Sci. Technol. 2013, 47, 9699–9705. [Google Scholar] [CrossRef]
- Raptopoulou, C.; Kalaitzidou, K.; Tolkou, A.; Palasantza, P.A.; Mitrakas, M.; Zouboulis, A. Phosphate Removal from Effluent of Secondary Wastewater Treatment: Characterization of Recovered Precipitates and Potential Re-use as Fertilizer. Waste Biomass Valorization 2016, 7, 851–860. [Google Scholar] [CrossRef]
- Usman, M.; Katsoyiannis, I.; Mitrakas, M.; Zouboulis, A.; Ernst, M. Performance evaluation of small sized powdered ferric hydroxide as arsenic adsorbent. Water 2018, 10, 957. [Google Scholar] [CrossRef]
- Szlachta, M.; Wójtowicz, P. Treatment of arsenic-rich waters using granular iron hydroxides. Desalin. Water Treat. 2016, 57, 26376–26381. [Google Scholar] [CrossRef]
- World Health Organization European Standards for Drinking-Water. Am. J. Med. Sci. 1970, 242, 56.
- Tekerlekopoulou, A.G.; Vayenas, D.V. Ammonia, iron and manganese removal from potable water using trickling filters. Desalination 2007, 210, 225–235. [Google Scholar] [CrossRef]
- Badruzzaman, M.; Westerhoff, P.; Knappe, D.R.U. Intraparticle diffusion and adsorption of arsenate onto granular ferric hydroxide (GFH). Water Res. 2004, 38, 4002–4012. [Google Scholar] [CrossRef]
- Novoselov, K.S.; Geim, A.K.; Morozov, S.V.; Jiang, D.; Zhang, Y.; Dubonos, S.V.; Grigorieva, I.V.; Firsov, A.A. Electric Field Effect in Atomically Thin Carbon Films. Science 2004, 306, 666–669. [Google Scholar] [CrossRef] [PubMed]
- Geim, A.K.; Novoselov, K.S. The rise of graphene. Nanosci. Technol. A Collect. Rev. Nat. J. 2009, 11–19. [Google Scholar] [CrossRef]
- Mullick, A.; Neogi, S. Acoustic cavitation induced synthesis of zirconium impregnated activated carbon for effective fluoride scavenging from water by adsorption. Ultrason. Sonochem. 2018, 45, 65–77. [Google Scholar] [CrossRef]
- Rudzinski, W.; Everett, D.H. Multilayer Adsorption on Heterogeneous Surfaces. In Adsorption of Gases on Heterogeneous Surfaces; Academic Press: Cambridge, MA, USA, 1992; pp. 351–419. [Google Scholar] [CrossRef]
- Tolkou, A.K.; Zouboulis, A.I. Graphene Oxide/Fe-Based Composite Pre-Polymerized Coagulants: Synthesis, Characterization, and Potential Application in Water Treatment. C 2020, 6, 44. [Google Scholar] [CrossRef]
- Trikkaliotis, D.G.; Christoforidis, A.K.; Mitropoulos, A.C.; Kyzas, G.Z. Graphene oxide synthesis, properties and characterization techniques: A comprehensive review. ChemEngineering 2021, 5, 64. [Google Scholar] [CrossRef]
- Ghulam, A.N.; Dos Santos, O.A.L.; Hazeem, L.; Backx, B.P.; Bououdina, M.; Bellucci, S. Graphene Oxide (GO) Materials—Applications and Toxicity on Living Organisms and Environment. J. Funct. Biomater. 2022, 13, 77. [Google Scholar] [CrossRef]
- Thakur, K.; Kandasubramanian, B. Graphene and Graphene Oxide-Based Composites for Removal of Organic Pollutants: A Review. J. Chem. Eng. Data 2019, 64, 833–867. [Google Scholar] [CrossRef]
- Driehaus, W.; Dupont, F. Arsenic removal—Solutions for a world wide health problem using iron based adsorbents. J. Eur. Hydrol. 2005, 36, 119–132. [Google Scholar] [CrossRef]
- Hummers, W.S.; Offeman, R.E. Preparation of Graphitic Oxide. J. Am. Chem. Soc. 1957, 208, 1937. [Google Scholar] [CrossRef]
- Debnath, S.; Maity, A.; Pillay, K. Impact of process parameters on removal of Congo red by graphene oxide from aqueous solution. J. Environ. Chem. Eng. 2014, 2, 260–272. [Google Scholar] [CrossRef]
- Swenson, H.; Stadie, N.P. Langmuir’s Theory of Adsorption: A Centennial Review. Langmuir 2019, 35, 5409–5426. [Google Scholar] [CrossRef]
- Freundlich, H. Über die Adsorption in Lösungen. Z. Phys. Chem. 1907, 57U, 385–470. [Google Scholar] [CrossRef]
- Tai, M.H.; Saha, B.; Streat, M. Determination of Point Zero Charge (PZC) of Homemade Charcoals of Shorea Robusta (Sakhuwa) and Pinus Roxburghii (Salla). Int. J. Eng. Res. Technol. 2020, 9, 153–155. [Google Scholar]
- Katsoyiannis, I.A.; Voegelin, A.; Zouboulis, A.I.; Hug, S.J. Enhanced As(III) oxidation and removal by combined use of zero valent iron and hydrogen peroxide in aerated waters at neutral pH values. J. Hazard. Mater. 2015, 297, 1–7. [Google Scholar] [CrossRef] [PubMed]
- Banerjee, K.; Nour, S.; Selbie, M.; Prevost, M.; Blumenschein, C.D.; Chen, H.; Amy, G.L. Optimization of Process Parameters for Arsenic Treatment with Granular Ferric Hydroxide. In Proceedings of the AWWA Annual Conference, Anaheim, CA, USA, 15–19 June 2003. [Google Scholar]
- Banerjee, K.; Amy, G.L.; Prevost, M.; Nour, S.; Jekel, M.; Gallagher, P.M.; Blumenschein, C.D. Kinetic and thermodynamic aspects of adsorption of arsenic onto granular ferric hydroxide (GFH). Water Res. 2008, 42, 3371–3378. [Google Scholar] [CrossRef] [PubMed]
- Ho, Y.S.; McKay, G. Pseudo-second order model for sorption processes. Process Biochem. 1999, 34, 451–465. [Google Scholar] [CrossRef]
Disclaimer/Publisher’s Note: The statements, opinions and data contained in all publications are solely those of the individual author(s) and contributor(s) and not of MDPI and/or the editor(s). MDPI and/or the editor(s) disclaim responsibility for any injury to people or property resulting from any ideas, methods, instructions or products referred to in the content. |
© 2023 by the authors. Licensee MDPI, Basel, Switzerland. This article is an open access article distributed under the terms and conditions of the Creative Commons Attribution (CC BY) license (https://creativecommons.org/licenses/by/4.0/).






