The Antioxidant Property of Membrane Separated Whey Protein and Blueberry Juice Fermented Products After In Vitro Digestion
Abstract
1. Introduction
2. Materials and Methods
2.1. Materials
2.2. Preparation of LAB
2.3. Preparation of Blueberry Whey Protein Fermented System
2.4. Membrane Separation Process
2.5. Simulated Gastrointestinal Digestion Test
2.6. ABTS Radical Scavenging Activity Determination
2.7. DPPH Radical Scavenging Capacity Determination
2.8. Determination of Total Reducing Capacity
2.9. Effect of Ultrafiltration Process on the Viability of LAB
2.10. The Effect of In Vitro Gastrointestinal Digestion on the Survival Rate of LAB
2.11. Determination of Ultraviolet Reflection Ability of Membrane Concentrated Blueberry Whey Protein Fermentation Products
2.12. Data Statistics and Analysis
3. Results
3.1. ABTS Radical Scavenging Activity
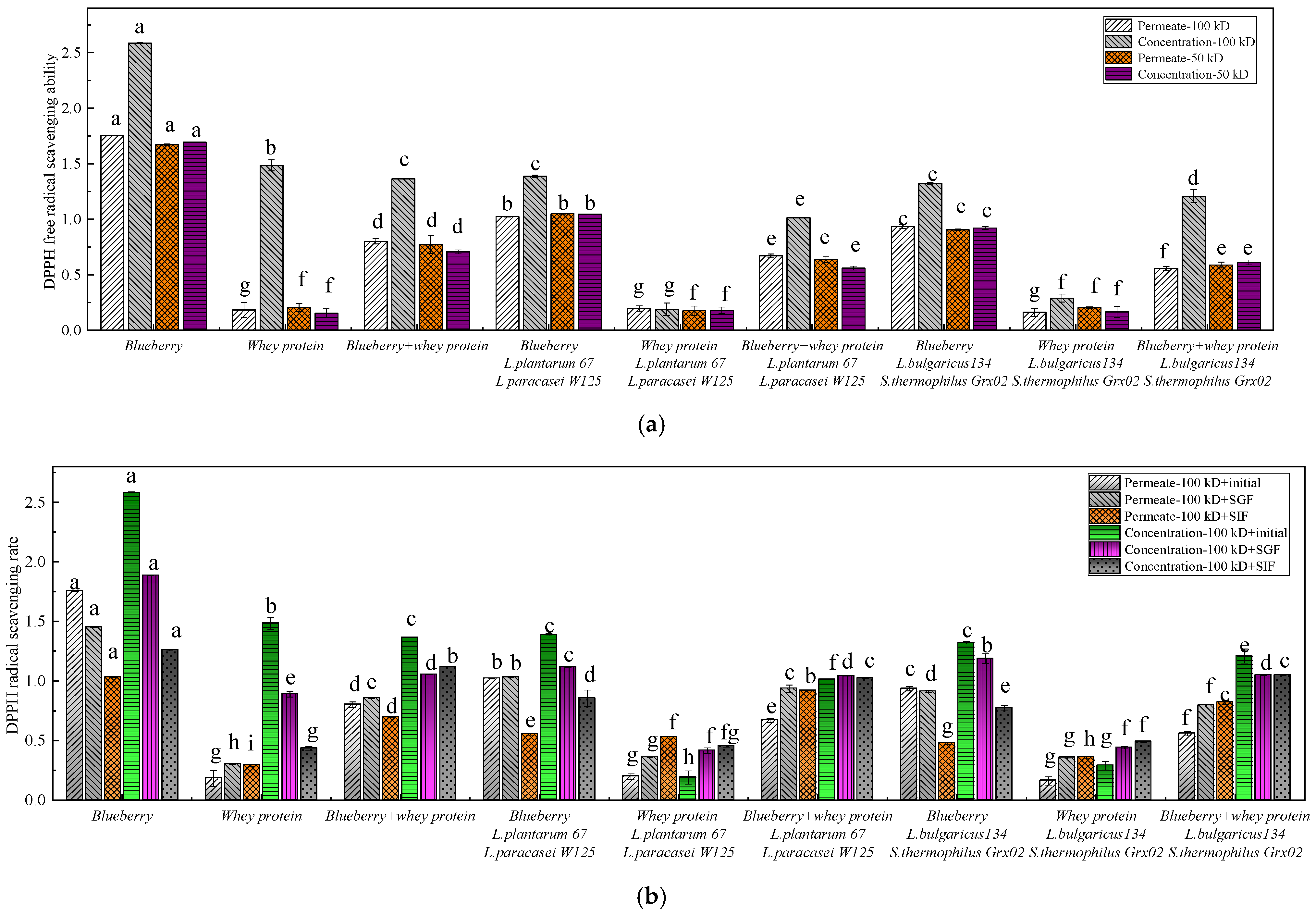
3.2. DPPH Radical Scavenging Capacity
3.3. Total Reduction Capacity
3.4. The Effect of Ultrafiltration Time on the Viable Cell Number of Fermented Systems
3.5. The Survival Rate of LAB After Gastrointestinal Digestion
3.6. Ultraviolet and Visible Reflection Ability of Blueberry Juice and Whey Protein Fermentation Products
4. Conclusions
Author Contributions
Funding
Institutional Review Board Statement
Informed Consent Statement
Data Availability Statement
Conflicts of Interest
References
- Wu, Y.; Han, T.; Yang, H.; Lyu, L.; Li, W.; Wu, W. Known and potential health benefits and mechanisms of blueberry anthocyanins: A review. Food Biosci. 2023, 55, 103050. [Google Scholar] [CrossRef]
- Oliveira, H.; Correia, P.; Pereira, A.R.; Araújo, P.; Mateus, N.; de Freitas, V.; Oliveira, J.; Fernandes, I. Exploring the Applications of the Photoprotective Properties of Anthocyanins in Biological Systems. Int. J. Mol. Sci. 2020, 21, 7464. [Google Scholar] [CrossRef]
- Zhang, W.; Shen, Y.; Li, Z.; Xie, X.; Gong, E.S.; Tian, J.; Si, X.; Wang, Y.; Gao, N.; Shu, C.; et al. Effects of high hydrostatic pressure and thermal processing on anthocyanin content, polyphenol oxidase and β-glucosidase activities, color, and antioxidant activities of blueberry (Vaccinium Spp) puree. Food Chem. 2020, 342, 128564. [Google Scholar] [CrossRef]
- Yu, Q.; Wang, W.; Liu, X.; Shen, W.; Gu, R.; Tang, C. The Antioxidant Activity and Protection of Probiotic Bacteria in the In Vitro Gastrointestinal Digestion of a Blueberry Juice and Whey Protein Fermentation System. Fermentation 2023, 9, 335. [Google Scholar] [CrossRef]
- Wang, Y.; Liu, X.; Shao, Y.; Guo, Y.; Gu, R.; Wang, W. Cheese Whey Protein and Blueberry Juice Mixed Fermentation Enhance the Freeze-Resistance of Lactic Acid Bacteria in the Freeze-Drying Process. Foods 2024, 13, 2260. [Google Scholar] [CrossRef]
- Li, J.; Bao, Y.; Li, Z.; Cui, H.; Jiang, Q.; Hou, C.; Wang, Y.; Wu, Y.; Shang, J.; Xiao, Y.; et al. Dual-function β-cyclodextrin/starch-based intelligent film with reversible responsiveness and sustained bacteriostat-releasing for food preservation and monitoring. Int. J. Biol. Macromol. 2023, 253, 127168. [Google Scholar] [CrossRef]
- Zhang, L.; Zhang, M.; Mujumdar, A.S. New technology to overcome defects in production of fermented plant products—A review. Trends Food Sci. Technol. 2021, 116, 829–841. [Google Scholar] [CrossRef]
- Li, S.; Tao, Y.; Li, D.; Wen, G.; Zhou, J.; Manickam, S.; Han, Y.; Chai, W.S. Fermentation of blueberry juices using autochthonous lactic acid bacteria isolated from fruit environment: Fermentation characteristics and evolution of phenolic profiles. Chemosphere 2021, 276, 130090. [Google Scholar] [CrossRef] [PubMed]
- Zang, Z.; Chou, S.; Tian, J.; Lang, Y.; Shen, Y.; Ran, X.; Gao, N.; Li, B. Effect of whey protein isolate on the stability and antioxidant capacity of blueberry anthocyanins: A mechanistic and in vitro simulation study. Food Chem. 2021, 336, 127700. [Google Scholar] [CrossRef]
- Lang, Y.; Li, B.; Gong, E.; Shu, C.; Si, X.; Gao, N.; Zhang, W.; Cui, H.; Meng, X. Effects of α-casein and β-casein on the stability, antioxidant activity and bioaccessibility of blueberry anthocyanins with an in vitro simulated digestion. Food Chem. 2021, 334, 127526. [Google Scholar] [CrossRef] [PubMed]
- Lang, Y.; Tian, J.; Shen, Y.; Meng, X.; Zang, Z.; Yang, S.; Yang, Y.; Jin, Z.; Bao, Y.; Li, B. Effects of α-casein on the excretion of blueberry anthocyanins via urine and feces: Analysis of their bioavailability. Food Chem. 2023, 413, 135565. [Google Scholar] [CrossRef]
- Yan, Y.; Zhang, F.; Chai, Z.; Liu, M.; Battino, M.; Meng, X. Mixed fermentation of blueberry pomace with L. rhamnosus GG and L. plantarum-1: Enhance the active ingredient, antioxidant activity and health promoting benefits. Food Chem. Toxicol. 2019, 131, 110541. [Google Scholar] [CrossRef]
- Wen-Qiong, W.; Jie-Long, Z.; Qian, Y.; Ji-Yang, Z.; Mao-Lin, L.; Rui-Xia, G.; Yujun, H. Structural and compositional changes of whey protein and blueberry juice fermented using Lactobacillus plantarum or Lactobacillus casei during fermentation. RSC Adv. 2021, 11, 26291–26302. [Google Scholar] [CrossRef]
- Ballance, S.; Nofima, A.S. A standardised static in vitro digestion method suitable for food—An international consensus. Food Funct. 2014, 5, 1113–1124. [Google Scholar]
- Vilela, C.; Pinto, R.J.; Coelho, J.; Domingues, M.R.; Daina, S.; Sadocco, P.; Santos, S.A.; Freire, C.S. Bioactive chitosan/ellagic acid films with UV-light protection for active food packaging. Food Hydrocoll. 2017, 73, 120–128. [Google Scholar] [CrossRef]
- Floegel, A.; Kim, D.-O.; Chung, S.-J.; Koo, S.I.; Chun, O.K. Comparison of ABTS/DPPH assays to measure antioxidant capacity in popular antioxidant-rich US foods. J. Food Compos. Anal. 2011, 24, 1043–1048. [Google Scholar] [CrossRef]
- Zhang, C.; Yang, L.; Ding, Z.; Yin, B.; Chen, D.; Guan, C.; Gu, R. New selective media for isolation and enumeration of Lactobacillus rhamnosus and Streptococcus thermophilus. J. Food Meas. Charact. 2019, 13, 1431–1439. [Google Scholar] [CrossRef]
- Zhang, C.; Quek, S.Y.; Fu, N.; Su, Y.; Kilmartin, P.A.; Chen, X.D. Storage stability and in vitro digestion of microencapsulated powder containing fermented noni juice and probiotics. Food Biosci. 2020, 37, 100740. [Google Scholar] [CrossRef]
- Prasedya, E.S.; Syafitri, S.M.; Geraldine, B.A.F.D.; Hamdin, C.D.; Frediansyah, A.; Miyake, M.; Kobayashi, D.; Hazama, A.; Sunarpi, H. UVA Photoprotective Activity of Brown Macroalgae Sargassum cristafolium. Biomedicine 2019, 7, 77. [Google Scholar] [CrossRef]
- Kim, H.R.; Jeong, D.H.; Kim, S.; Lee, S.W.; Sin, H.S.; Yu, K.Y.; Jeong, S.I.; Kim, S.Y. Fermentation of blackberry with L. plantarum JBMI F5 enhance the protection effect on UVB-mediated photoaging in human foreskin fibroblast and hairless mice through regulation of MAPK/NF-κB signaling. Nutrients 2019, 11, 2429. [Google Scholar] [CrossRef]
- Wang, W.; Wang, Y.; Liu, X.; Yu, Q. The Characteristics of Whey Protein and Blueberry Juice Mixed Fermentation Gels Formed by Lactic Acid Bacteria. Gels 2023, 9, 565. [Google Scholar] [CrossRef]
- Xu, L.; Tang, Z.; Herrera-Balandrano, D.D.; Qiu, Z.; Li, B.; Yang, Y.; Huang, W. In vitro fermentation characteristics of blueberry anthocyanins and their impacts on gut microbiota from obese human. Food Res. Int. 2024, 176, 113761. [Google Scholar] [CrossRef] [PubMed]
- Lu, C.; Li, C.; Chen, B.; Shen, Y. Composition and antioxidant, antibacterial, and anti-HepG2 cell activities of polyphenols from seed coat of amygdalus pedunculata pall. Food Chem. 2018, 265, 111–119. [Google Scholar] [CrossRef]
- Ozdal, T.; Capanoglu, E.; Altay, F. A review on protein–phenolic interactions and associated changes. Food Res. Int. 2013, 51, 954–970. [Google Scholar] [CrossRef]
- Anuyahong, T.; Chusak, C.; Adisakwattana, S. Incorporation of anthocyanin-rich riceberry rice in yogurts: Effect on physicochemical properties, antioxidant activity and in vitro gastrointestinal digestion. LWT Food Sci. Technol. 2020, 129, 109571. [Google Scholar] [CrossRef]
- Peng; Liu, B.; Chen, Z. Protective effects of enzymatic hydrolysis products of pomelo peel cellulose on Lactobacillus plantarum during freeze-drying process. Appl. Food Res. 2023, 3, 100301. [Google Scholar] [CrossRef]
- Quan, T.H.; Benjakul, S.; Sae-leaw, T.; Balange, A.K.; Maqsood, S. Protein–polyphenol conjugates: Antioxidant property, functionalities and their applications. Trends Food Sci. Technol. 2019, 91, 507–517. [Google Scholar] [CrossRef]
- Li, J.-J.; Wang, W.-Q.; Zhou, J.-Y.; Tang, C.-C. Ionic regulation whey protein composition on membrane fouling during ultrafiltration process analyzed by HPLC. Int. J. Biol. Macromol. 2024, 254, 127751. [Google Scholar] [CrossRef] [PubMed]
- Wang, W.-Q.; Li, J.-J.; Zhou, J.-Y.; Song, M.-X.; Wang, J.-C.; Li, X.; Tang, C.-C.; Lu, M.-L.; Gu, R.-X. The effect of ion environment changes on retention protein behavior during whey ultrafiltration process. Food Chem. X 2022, 15, 100393. [Google Scholar] [CrossRef]
- Millman, J.F.; Kondrashina, A.; Walsh, C.; Busca, K.; Karawugodage, A.; Park, J.; Sirisena, S.; Martin, F.-P.; Felice, V.D.; Lane, J.A. Biotics as novel therapeutics in targeting signs of skin ageing via the gut-skin axis. Ageing Res. Rev. 2024, 102, 102518. [Google Scholar] [CrossRef]
- Nisa, R.U.; Nisa, A.U.; Tantray, A.Y.; Jan, A.T.; Shah, A.A.; Wani, I.A. Plant phenolics with promising therapeutic applications against skin disorders: A mechanistic review. J. Agric. Food Res. 2024, 16, 101090. [Google Scholar] [CrossRef]
- Franco, J.G.; Cefali, L.C.; Ataide, J.A.; Santini, A.; Souto, E.B.; Mazzola, P.G. Effect of nanoencapsulation of blueberry (Vaccinium myrtillus): A green source of flavonoids with antioxidant and photoprotective properties. Sustain. Chem. Pharm. 2021, 23, 100515. [Google Scholar] [CrossRef]
- Zhang, X.; He, H.; Hou, T. Molecular mechanisms of selenium-biofortified soybean protein and polyphenol conjugates in protecting mouse skin damaged by UV-B. Food Funct. 2020, 11, 3563–3573. [Google Scholar] [CrossRef]






| Survival Rate (%) | After Gastric Fluid Digestion | After Intestinal Fluid Digestion | |
|---|---|---|---|
| Samples | |||
| Blueberry Lactobacillus plantarum 67 Lactobacillus paracasei W125 | 72.08 ± 1.41 b | 7.69 ± 0.81 d | |
| Whey protein Lactobacillus plantarum 67 Lactobacillus paracasei W125 | 76.25 ± 0.88 b | 90 ± 0.88 a | |
| Blueberry and whey protein Lactobacillus plantarum 67 Lactobacillus paracasei W125 | 116.73 ± 0.58 a | 82.45 ± 2.89 b | |
| Blueberry Lactobacillus bulgaricus 134 Streptococcus thermophilus Grx02 | 64.65 ± 4.29 c | 0.00 ± 0.00 e | |
| Whey protein Lactobacillus bulgaricus 134 Streptococcus thermophilus Grx02 | 73.68 ± 1.18 b | 48.20 ± 3.10 c | |
| Blueberry and whey protein Lactobacillus bulgaricus 134 Streptococcus thermophilus Grx02 | 72.73 ± 1.54 b | 48.00 ± 0.51 c | |
Disclaimer/Publisher’s Note: The statements, opinions and data contained in all publications are solely those of the individual author(s) and contributor(s) and not of MDPI and/or the editor(s). MDPI and/or the editor(s) disclaim responsibility for any injury to people or property resulting from any ideas, methods, instructions or products referred to in the content. |
© 2024 by the authors. Licensee MDPI, Basel, Switzerland. This article is an open access article distributed under the terms and conditions of the Creative Commons Attribution (CC BY) license (https://creativecommons.org/licenses/by/4.0/).
Share and Cite
Wang, Y.; Yu, Q.; Shao, Y.; Gu, R.; He, Z.; Tang, C.; Wang, W. The Antioxidant Property of Membrane Separated Whey Protein and Blueberry Juice Fermented Products After In Vitro Digestion. Fermentation 2024, 10, 609. https://doi.org/10.3390/fermentation10120609
Wang Y, Yu Q, Shao Y, Gu R, He Z, Tang C, Wang W. The Antioxidant Property of Membrane Separated Whey Protein and Blueberry Juice Fermented Products After In Vitro Digestion. Fermentation. 2024; 10(12):609. https://doi.org/10.3390/fermentation10120609
Chicago/Turabian StyleWang, Yuxian, Qian Yu, Yufeng Shao, Ruixia Gu, Zhangwei He, Congcong Tang, and Wenqiong Wang. 2024. "The Antioxidant Property of Membrane Separated Whey Protein and Blueberry Juice Fermented Products After In Vitro Digestion" Fermentation 10, no. 12: 609. https://doi.org/10.3390/fermentation10120609
APA StyleWang, Y., Yu, Q., Shao, Y., Gu, R., He, Z., Tang, C., & Wang, W. (2024). The Antioxidant Property of Membrane Separated Whey Protein and Blueberry Juice Fermented Products After In Vitro Digestion. Fermentation, 10(12), 609. https://doi.org/10.3390/fermentation10120609

