Abstract
At present, non-alcoholic and low-alcoholic beers (NABLABs), in addition to their premature sensitivity to oxidation, still suffer from a lack of fruity fermentation aromas. Maltose/maltotriose-negative yeasts offer a highly attractive alternative for creating diversified pleasant aromas and/or eliminating off-flavors in NABLAB production. The aim of this study was to explore the potential of Saccharomyces cerevisiae var. chevalieri, SafBrewTM LA-01 to release fruity polyfunctional thiols from glutathionylated (G-) and cysteinylated (Cys-) precursors. Interestingly, it proved to release free thiols from their glutathionylated S-conjugate much more efficiently (0.34% from G-3-sulfanylhexanol in 15 °P wort after seven days at 24 °C) than the best S. pastorianus strains previously screened (0.13% for lager yeast L7). On the other hand, despite its classification as a S. cerevisiae strain, it showed an inefficient use of cysteinylated precursors, although the release efficiency was slightly higher under NABLAB fermentation conditions (6 °P; 3 days at 20 °C). Under these conditions, as expected, LA-01 consumed only glucose, fructose, and saccharose (0.4% v/v ethanol formation) and produced only low levels of fermentation esters (1.6 mg/L in total) and dimethylsulfide (5 µg/L). The POF+ character of LA-01 also brought significant levels of 4-vinylguaiacol (810 μg/L), which could give to NABLABs the flavors of a white beer.
1. Introduction
Over the last decade, a growing trend has emerged towards non-alcoholic and low-alcoholic beers (NABs, ≤0.5% ABV and LABs, >0.5–1.2% ABV in most EU countries), due to consumer concerns about health and well-being [1,2,3,4]. NABLABs can be a good alternative to beer for athletes, pregnant women, or people whose religious convictions forbid any consumption of alcohol [2,4]. NABLAB production is achieved by removing ethanol from conventional beer (through physical dealcoholization) or through employing biological methods that limit ethanol formation during fermentation [1,2,4]. Unfortunately, whatever the process used, some volatiles (fruity esters and the typical lager aroma dimethylsulfide) are negatively impacted, being either lost during dealcoholization or formed at low-to-zero levels during short fermentation (low original density wort) [5,6,7,8]. As a fruity enhancer, increasing dimethylsulfide concentration could significantly improve the flavor of NABLABs [8]. Due to their lower antioxidant power and their stronger thermal load (vacuum distillation, pasteurization), even when fresh, NABLABs also exhibit major staling defects (sotolon, methional, phenylacetaldehyde, dimethyltrisulfide) [9,10,11].
The selection, for NABLAB fermentation, of non-conventional yeasts (or other microorganisms) unable to ferment maltose or even maltotriose (known as «maltose/maltotriose-negative») has gained increasing attention in recent years [5,12,13,14]. Such yeasts could potentially create new, diversified fruity aromas and/or eliminate certain off-flavors (e.g., aldehydes) while generating little or no ethanol, all without the need for additional equipment [13,14,15]. These special yeasts, isolated from various fermented food substrates [13,16], typically show deficiencies in the maltose transporter and maltase enzyme [17,18]. Patented strains of Saccharomycodes ludwigii [19] (from grape must [20]) and Pichia kluyveri [21] (from exotic plants [22]) have already yielded promising results, with low ethanol levels (between 0.5 and 1.2% [20] and <0.5% [13,23] ABV, respectively, in 12 °P wort at 20 °C) and more fruity flavors [13,14]. S. ludwigii contributes to an improved ester profile (1–15 mg/L) featuring apple and pear notes associated with 3-methylbutyl acetate and 2-phenylethyl acetate [16,18,20,24,25]. P. kluyveri, which consumes only glucose and fructose (no invertase acting on saccharose) [14,18], is distinguished by its high content in pleasant polyfunctional thiols [26,27] (e.g., 3-sulfanylhexan-1-ol/3SHol and 3-sulfanylhexyl acetate/3SHA, with grapefruit and passion fruit aromas), esters [12,28,29] (including isoamyl and ethyl acetates, totaling 42 mg/L [13]), and terpenoids [27,30,31] (likely because of its β-glucosidase activity). Other promising findings have been made with Zygosaccharomyces rouxii [20,32], Torulaspora delbrueckii [18,33,34,35], Mrakia gelida [14,36,37], Cyberlindnera saturnus [14,15,38,39], Lachancea fermentati [40,41], and others, although further industrial-scale optimization is required.
SafBrewTM LA-01 is another strain recently proposed to brewers for NABLAB production (less than 0.5% ABV in a 6 °P wort; 15% attenuation) [13,14,42]. It is a POF+ (phenolic off-flavor positive) Saccharomyces cerevisiae yeast of the chevalieri variety (name given by Guilliermond in 1914 to yeasts used for palm wine) [43,44,45]. Unlike P. kluyveri, it assimilates saccharose but neither maltose nor maltotriose.
For improving NABLAB flavor profiles, hop polyfunctional thiols, with their pleasant fruity/tropical/citrus notes, appear as good candidates [8,46]. In dual-purpose hop varieties, free polyfunctional thiols (mainly 3SHol, 3-sulfanyl-4-methylpentanol/3S4MPol and 3-sulfanylpentanol/3SPol) are found at μg/kg levels, while their cysteinylated (Cys-) and glutathionylated (G-) precursors can be found, respectively, at up to 1 mg/kg and 100 mg/kg [47,48]. Therefore, many studies have been devoted over the last decade to identifying yeasts with high β-lyase activity (an enzyme required to release free thiols from their cysteinylated counterparts) [49,50]. Chenot et al. [51] have found two S. cerevisiae super-producers from Cys-precursors (0.5% on Cys-3SHol for SafAleTM K-97 and 0.2% biosynthesized 3S4MPA for SafAleTM S-33, in a 15 °P wort after 7 days at 24 °C and 3 days at 4 °C). SafAleTM K-97 produces more sulfanylalkyl alcohols, while SafAleTM S-33 transforms them more readily to sulfanylalkyl esters. Unfortunately, all investigated S. cerevisiae yeasts act less efficiently on glutathionylated S-conjugates (≤0.1% under the same conditions). This is likely because of low gamma-glutamyl transferase or carboxypeptidase activity, required to first transform the tripeptide to cysteine [52,53]. More recently, the opposite behavior was observed for some lager S. pastorianus yeasts, the efficiency of release from glutathionylated precursors reaching 0.3% (as compared to only 0.02% from Cys-precursors under identical experimental conditions) [54].
The aim of the present work was to determine how efficiently the commercial SafBrewTM LA-01 (Saccharomyces cerevisiae var. chevalieri) yeast releases free thiols from S-conjugates, both in a 15 °P wort (as previously used for screening ale and lager yeasts) and under NABLAB primary fermentation conditions. The efficiencies of 3SHol, 3SPol, and 3S4MPol release from both kinds of S-conjugates were assessed using GC-PFPD after the selective silver cartridge extraction of free polyfunctional thiols. Other volatile fermentation odorants (Ehrlich-derived fermentation thiols, esters, dimethylsulfide, and phenols) were also determined in the NABLAB media (headspace/splitless-GC-MS/PFPD techniques). The consumption of sugars was monitored using HPLC-ELSD and using alcohol measurement.
2. Experimental
2.1. Chemicals
Absolute ethanol (99%), acetonitrile, anhydrous sodium sulfate, chloroform, dichloromethane, 37% hydrochloric acid, methanol, potassium hydroxide, sodium chloride and sodium hydroxide were purchased from VWR International (Leuven, Belgium). 2-Acetylthiophene, >98% L-cysteine hydrochloride monohydrate, decane, dimethylsulfide, Discovery Ag-ion SPE tube 6 mL, ethyl acetate, ethyl decanoate, ethyl hexanoate, ethylmethylsulfide, ethyl octanoate, 4-ethylphenol, 4-ethylguaiacol, D-(+)-glucose, isobutanol, maltotriose, 3-methylbutanol, 3-methylbutyl acetate, 1-naphtol, 2-pentanol, n-propanol, L-rhamnose, 2-sulfanylethan-1-ol (2SEol), 2-sulfanylethyl acetate (2SEA), 3-sulfanylhexan-1-ol (3SHol), 6-sulfanylhexan-1-ol, 3-sulfanylhexyl acetate (3SHA), 3-sulfanylpropan-1-ol (3SProl), 3-sulfanylpropyl acetate (3SPrA), vanillin, 4-vinylguaiacol and 4-vinylphenol were obtained from Sigma-Aldrich (Overijse, Belgium). D-(-)-fructose, maltose monohydrate, and saccharose were purchased from Merck (Darmstadt, Germany). Milli-Q water was used (Millipore, Bedford, MA, USA).
2.2. Synthesis of S-Conjugates
All the S-conjugates, Cys-3SHol, G-3SHol, Cys-3S4MPol, G-3S4MPol, Cys-3SPol, and G-3SPol, were synthesized prior to this work according to the methods of Gros et al., Kankolongo et al., and Chenot et al. [47,48,55]. Mixtures of S-conjugate diastereomers were obtained. Accurate weights of pure solids (>99%) were diluted into 1 mL of water just before spiking them into the wort.
2.3. Yeasts
Dry yeast SafBrewTM LA-01 (maltose/maltotriose-negative S. cerevisiae var. chevalieri; here purified before use on a Petri dish and propagated in YPS liquid media at 24 °C) and SafAleTM K-97 (dry yeast selected for its high efficiency to release thiols from Cys-conjugated) from Fermentis Lesaffre (Marcq-en-Barœul, France) were used in the fermentation trials. Additionally, the lager yeast L7 previously identified as the most efficient S. pastorianus yeast to release thiols from G-conjugates was obtained from the INBr collection (UCLouvain, Louvain-la-Neuve, Belgium).
2.4. Fermentation of Wort Spiked with Cys-3SPol/3SHol/3S4MPol or G-3SPol/3SHol/3S4MPol
Wort was produced from Pilsen malt (Castle Malting, Beloeil, Belgium) in a 60-L-scale pilot plant (Coenco, Oostkamp, Belgium). A 19 °Plato unhopped wort was obtained after 90 min of boiling and freezing after clarification until the fermentation trials. Yeasts were pitched (K-97 at 0.46 g/L, L7 and LA-01 at 5 million cells/mL) into 250 mL wort at 15 °P (obtained by diluting the original 19 °Plato wort with water). The worts had been spiked beforehand with Cys-3SPol, Cys-3S4MPol and Cys-3SHol (15 mg/kg each), or G-3SPol, G-3S4MPol and G-3SHol (15 mg/kg each). The fermentations were conducted for 7 days at 24 °C (+3 days at 4 °C) under shaking at 80 rpm (Labwit ZWY-240 incubator shaker). For LA-01, an additional fermentation was conducted in a 6 °P wort (more usual for NABLABs production) for 3 days at 20 °C (+3 days at 4 °C). Experiments were performed in duplicate.
2.5. Alcohol Content and Extracts Analysis of Fermented Wort with SafBrewTM LA-01
Prior to analysis, fermented samples were filtered through paper filters (MN 614 ¼ Macherey-Nagel, Düren, Germany). Alcohol content and real extract were determined with the DM4500 apparatus (Anton Paar GmbH, Graz, Austria).
2.6. Analysis of Fermentable Sugars Using High Performance Liquid Chromatography—Evaporative Light Scattering Detection (HPLC-ELSD)
The consumption of fermentable sugars by LA-01 was monitored in the fermentation media. Fructose, glucose, saccharose, maltose and maltotriose were quantitated using HPLC-ELSD. Sugars (containing L-rhamnose as internal standard IST) were recovered from wort or beer through a SPE cartridge (Sep-Pak®® C18, Waters, Milford, MA, USA). Separation was performed on a Prevail Carbohydrate ES 250 × 4.6 mm, 5 µm column (Grace, Columbia, MD, USA) using isocratic elution with acetonitrile–water (75:25, v/v) at a flow rate of 1.0 mL/min. The column temperature was kept at 25 °C and the injection volume was 10 µL. Chromatograms were acquired with an ELSD. Compound identification was performed using injection of commercial standards and quantitation was achieved using the calibration curves.
2.7. Free Polyfunctional Thiols Extraction from Fermented Spiked Wort with a Selective Ag Cartridge and Quantification Using Gas Chromatography—Pulsed Flame Photometric Detection (GC-PFPD)
Free polyfunctional thiols extraction from fermented spiked wort was previously optimized by Chenot et al. [51]. Here, 6-sulfanylhexan-1-ol (instead of 4-methoxy-2-methylbutane-2-thiol) was added as IST at 2 µg/L to 150 mL fermented wort, which was then saturated with NaCl and stirred with 50 mL dichloromethane for 15 min. The mixture was centrifuged at 4500 rpm for 15 min. The recovered organic phase was loaded onto a Discovery Ag-ion SPE cartridge conditioned beforehand with 10 mL dichloromethane. The cartridge was rinsed with 10 mL dichloromethane, then with 20 mL acetonitrile, and finally with 10 mL ultrapure water (reversed cartridge in this last case). Free thiols were released from the Ag cartridge through percolating 20 mL washed cysteine solution (4 × 20 mL dichloromethane for washing 215 mg cysteine in 20 mL water). The eluent was extracted twice with bidistilled dichloromethane (5 mL for 5 min and 10 mL for 10 min). The resulting organic phase was dried on anhydrous sodium sulfate and concentrated to 250 µL in a Danish–Kuderna distillation apparatus and to 70 µL on a Dufton column at 45 °C. 2-Acetylthiophene was added as external standard (EST, 0.5 mL at 200 µg/L added before concentration).
One microliter of free thiol extract was analyzed with an Agilent 6890N gas chromatograph equipped with a splitless injector maintained at 250 °C. Compounds were analyzed with a wall-coated open tubular apolar capillary column (CP-Sil 5 CB, 50 m × 0.32 mm, 1.2 µm). The helium pressure was set at 90 kPa. The oven temperature was programmed to increase from 36 to 85 °C at 20 °C/min, then to 145 °C at 1 °C/min, and finally to 220 °C at 3 °C/min and was held for 30 min. The column was connected to an OI Analytical PFPD detector (model 5380, combustor internal diameter: 2 mm). The following parameters were selected for the PFPD detector: temperature, 250 °C; voltage, 600 V; gate width, 18 ms; gate delay, 6 ms; trigger level, 400 mV; pulse frequency, 3.33 Hz. PFPD chromatograms were recorded throughout elution. The ChemStation software (version B.04.03) was used to process the resulting data. For all thiols, the IST-relative recovery factor was set at 1. The following equation was used for quantitation of the commercially available standards 2SEol, 3SProl, 2SEA, 3SPrA, 3SHA, and 3SHol (X):
For the commercially unavailable standards, 3SPol, 3SPA, 3S4MPol and 3S4MPA (X), the good equimolarity of the PFPD detector enabled us to set the IST-relative molar response coefficients at 1 and to apply only the corrective molar weight ratio as described in the following equation:
2.8. Release Efficiency Determination
The efficiency of release of free XOH (sulfanylalkyl alcohol) from bound XOH was calculated with the following equation:
For the corresponding esters, the efficiency of release of free XA (sulfanylalkyl acetate) from bound XOH was calculated in alcohol equivalents:
The results are given as mean values of duplicates.
2.9. Quantification of Esters and Higher Alcohols Using Static Headspace—Gas Chromatography—Mass Spectrometry (HS-GC-MS)
A total of 40 µL 2-pentanol solution (2500 mg/L; final concentration = 20 mg/L) used as IST and NaCl in excess (2 g) were added to 5 mL fermented samples in a headspace vial, which was immediately closed before analysis. The vials were incubated at 60 °C and automatically shaken for 30 min before the injection of 500 µL of headspace (Automatic injector CTC Analytics Combipal, Hamilton 2.5-mL syringe at 70 °C). Esters and higher alcohols were analyzed with the column described above for free thiols, in this case on an Agilent Technologies 7890 NB GC hyphenated to a single quadrupole mass spectrometer (Agilent 5977B MSD, Agilent Technologies, Santa Clara, CA, USA) operating in single ion monitoring (SIM) mode with electron ionization at 70 eV. The carrier gas was helium, and the pressure was set at 65 kPa. The oven temperature was programmed to start at 32 °C for 5 min and then to rise from 32 to 140 °C at 8 °C/min, from 140 to 180 °C at 15 °C/min, and was finally held for 30 min. The following m/z ions were analyzed: 45 and 55 for 2-pentanol (IST), 42 and 59 for n-propanol, 61 and 70 for ethyl acetate, 43 and 74 for isobutanol, 55 and 70 for 3-methylbutanol, 70 and 87 for 3-methylbutyl acetate, 88 and 99 for ethyl hexanoate, 88 and 127 for ethyl octanoate, and 88 and 101 for ethyl decanoate. Chromatograms were recorded throughout elution. Agilent OpenLab software (version 2.1) was used to record the resulting data. A standard addition procedure was applied for each compound (X). The standard addition slope A was used according to the following equation (IST relative recovery factor set at 1): X concentration (in µg/L) = 1/A × IST concentration (in µg/L) × (X area/IST area).
2.10. Quantification of Dimethylsulfide Using HS-GC-PFPD
To 5 mL fermented samples in a headspace vial 300 µL ethylmethylsulfide solution (500 µg/L; final concentration = 30 µg/L) as IST and NaCl in excess (2 g) was added, and the vial was immediately closed before analysis. The vials were incubated at 45 °C and automatically shaken for 15 min before injection of 500 µL headspace (Gerstel automatic injector, MultiPurposeSampler MPS2, Gerstel 2.5-mL syringe at 50 °C). Dimethylsulfide was analyzed with the same column and the same gas chromatograph described above for free thiols. The carrier gas was helium and the pressure was set at 90 kPa. The oven temperature was programmed to start at 40 °C for 10 min, to rise from 40 to 85 °C at 20 °C/min and then held at 250 °C for 10 min (RT = 7.2 and 11.5 min for dimethylsulfide and IST, respectively). The column was connected to the OI Analytical PFPD detector described for free thiol analysis, while the same operational parameters and chromatograms were recorded with the same software. A standard addition procedure for dimethylsulfide was applied.
2.11. Quantification of Volatile Phenols Using GC-MS after Specific Liquid-Liquid Extraction
Volatile phenols were extracted from fermented samples according to a procedure derived from Scholtes et al. [56]. To 50 mL beer, 100 µL IST (50 mg/L 1-naphtol, final concentration = 100 µg/L), 1 mL 37% hydrochloric acid and 6.45 g NaCl was added. After complete salt dissolution, 150 mL chloroform/methanol (3:1, v/v) was added and the mixture stirred for 10 min at 1500 rpm. The lower organic phase was retained, whereas the aqueous phase was extracted a second time in the same manner. The collected 300 mL organic phase was then shaken with 50 mL of 10% potassium hydroxide solution for 10 min at 1500 rpm. The upper aqueous phase (pH 13) was recovered and the lower organic phase extracted once again. The pH of the aqueous phase was then adjusted to pH 9 with hydrochloric acid and extracted twice with 25 mL bidistilled dichloromethane after stirring for 10 min at 1500 rpm. The combined organic phase was dried with anhydrous sodium sulfate and 0.1 mL EST (50 mg/L decane) was added to the extract before concentration to 0.5 mL in a Danish–Kuderna apparatus at 45 °C (total concentration factor = 100).
One microliter of phenols extract was analyzed under the same conditions mentioned above for esters and higher alcohols (gas chromatograph, mass spectrometer, column, carrier gas, software), except here with splitless injection (250 °C). The oven temperature was raised from 36 °C to 85 °C at 20 °C/min, to 145 °C at 1 °C/min, then to 194 °C at 3 °C/min, at last to 250 °C at 30 °C/min, and held for 30 min. The following m/z values were monitored in SIM mode: 144 and 115 for 1-naphtol (IST), 107 and 122 for 4-ethylphenol, 120 and 91 for 4-vinylphenol, 137 and 152 for 4-ethylguaiacol, 150 and 135 for 4-vinylguaiacol, and 151 and 152 for vanillin. Calibration curves (with areas relative to IST) were constructed for quantification of each compound.
2.12. Statistical Analyses
All analytical measurements were carried out in duplicate. Multiple comparisons of means were performed with Student–Newman–Keuls tests (JMP Program 17). Values sharing no common letter are significantly different (p < 0.05).
3. Results and Discussion
3.1. Free Thiol Release from Cysteinylated and Glutathionylated Sulfanylalkyl Alcohols under Different Fermentation Conditions
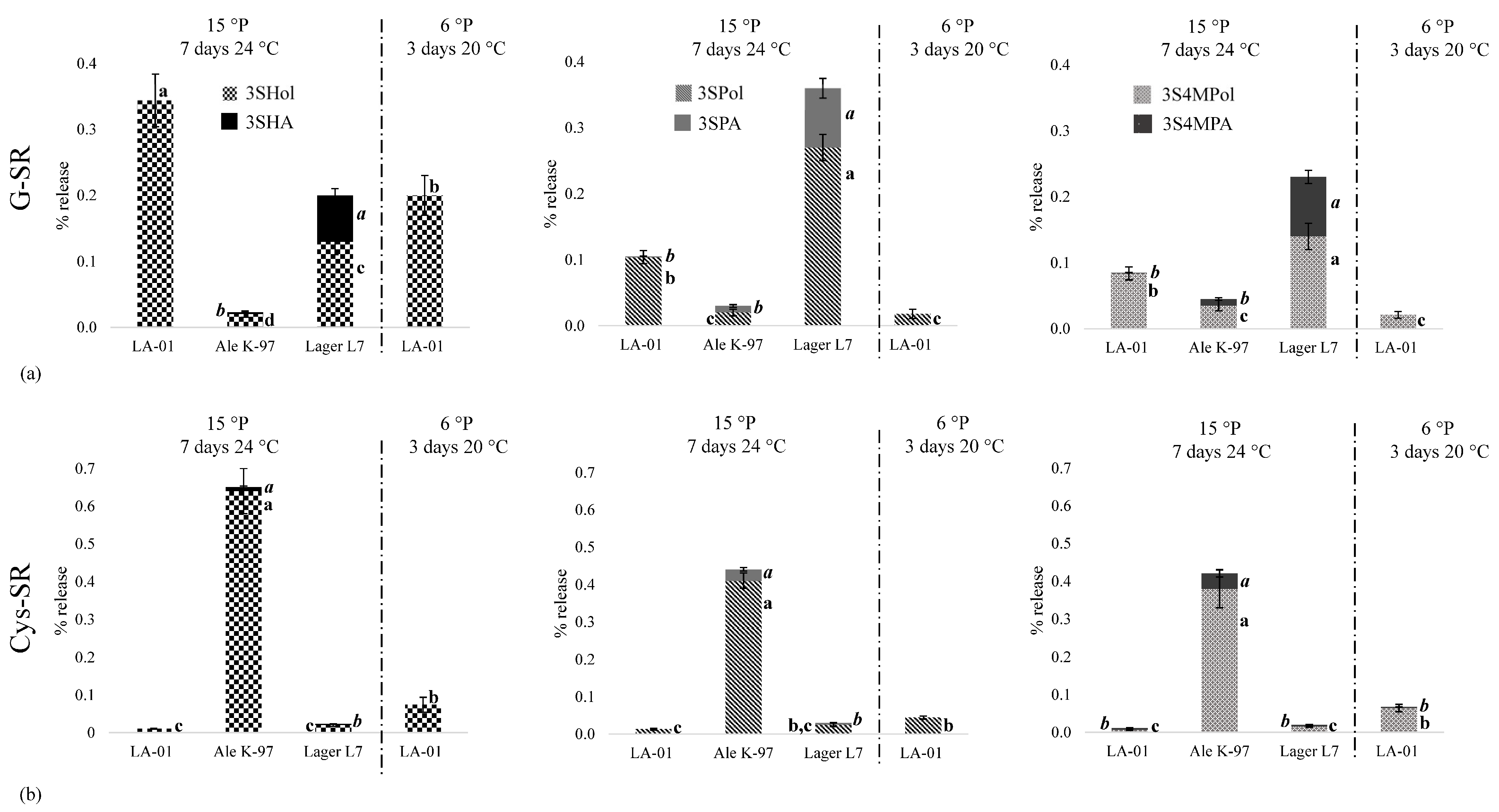
In order to compare the thiol release efficiency of the maltose/maltotriose-negative S.cerevisiae var. chevalieri strain SafBrewTM LA-01 with those of SafAleTM K-97 (ale yeast) and L7 (lager yeast) previously investigated by Chenot et al. [51,54], the levels of sulfanylalkyl alcohols and acetates were first determined after seven days at 24 °C in a 15 °P wort spiked with Cys- or G- 3SPol, -3SHol, and -3S4MPol.
For the release of free thiols from their glutathionylated S-conjugates (see Figure 1a), SafBrewTM LA-01 proved much more efficient than the most performing S. cerevisiae strains previously screened by Chenot et al. [51] (0.08–0.34% vs. 0.02–0.04% for K-97). It even released more 3SHol than S. pastorianus L7 (0.34% vs. 0.13%), the most productive lager yeast identified by Chenot et al. [54]. This behavior was intriguing, as ale yeasts usually show a poor release from glutathionylated precursors. A strong preference was observed for G-3SHol as compared to G-3SPol and G-3S4MPol. Also surprising was the low efficiency of the thiol release from the cysteinylated precursors (0.006–0.013% vs. 0.38–0.64% for K-97) in the presence of SafBrewTM LA-01, despite its classification as a S. cerevisiae yeast (Figure 1b).
Figure 1.
Sulfanylalkyl alcohols and acetates released and/or biosynthesized (%) upon fermentation of a wort (15 or 6 °P) spiked with (a) 15 mg/L of G-3SHol, -3SPol and -3S4MPol or (b) 15 mg/L of Cys-3SHol, -3SPol and -3S4MPol. Values with different letters are significantly different (p < 0.05) according to the Student–Newman–Keuls test (in italic for acetates).
Next, similar spiking experiments were conducted with SafBrewTM LA-01 under fermentation conditions closer to those used by brewers to produce NABLABs (6 °P wort, 3 days at 20 °C). As previously shown by Chenot et al. for ale yeasts [51], a wort density below 15 °P did not favor thiol release (and subsequent ester biosynthesis). Yet even at 6 °P, thiol release from G-3SHol by SafBrewTM LA-01 was as high after 3 days at 20 °C (0.2%) as the release by L7 under the best conditions (more 3SHol balanced by less 3SHA). A much lower efficiency was measured with G-3SPol and G-3S4MPol (0.02%). On the other hand, the release from Cys-precursors was more efficient at 6 °P, reaching 0.07% for 3SHol (much higher than with L7 at 15 °P).
The four Ehrlich-derived thiols were also found in our fermentation media (Table 1). All concentrations were significantly higher at 6 °P than at 15 °P, although always under the perception thresholds as is usual for these empyreumatic thiols.
Table 1.
Concentrations (μg/L) of free thiols derived from the Ehrlich pathway in worts (15 or 6 °P) fermented with SafBrewTM LA-01.
3.2. Sugar Consumption and Ethanol, Dimethylsulfide, Higher Alcohols, Esters, and Phenols Formation in the NABLAB-Fermentation-like Media
According to what was known of SafBrewTM LA-01, only glucose, fructose, and saccharose were consumed over three days at 20 °C in the 6 °P wort (Table 2). This led to 0.4% (v/v) ethanol, in accordance with EU legislation for a NAB (≤0.5%). In the 15 °P wort, 1.2% (v/v) was found after seven days at 24 °C.
Table 2.
Remaining sugars, alcohol content and real extract, higher alcohols, esters, dimethylsulfide, and phenols under both sets of fermentation conditions with SafBrewTM LA-01.
Only very low levels of total higher alcohols (33 mg/L at 6 °P/3 days at 20 °C and 50 mg/L at 15 °P/7 days at 24 °C) and total esters (1.5 mg/L at 6 °P/3 days at 20 °C and 2.0 mg/L at 15 °P/7 days at 24 °C) were found with SafBrewTM LA-01 under either set of the fermentation conditions [57], all below the respective sensory thresholds. Surprisingly, 3-methylbutyl acetate (+0.05 mg/L), ethyl hexanoate (+0.1 mg/L), and ethyl octanoate (+0.08 mg/L) showed slightly higher levels at 6 °P than at 15 °P, like the Ehrlich sulfanylalkyl esters.
The 15 °P wort fermented with SafBrewTM LA-01 reached 14 μg/L dimethylsulfide (perception threshold: 48 μg/L in NAB [9]), versus only 5 μg/L in the 6 °P wort. Higher density is known to favor dimethylsulfoxide reduction through fermentation, as well as the choice of yeast (S. cerevisiae more efficient than S. pastorianus) [58]. As recently shown by Simon et al. [8], even at a low level, dimethylsulfide, an essential contributor to the typical aroma of lagers (cooked-vegetable, canned corn, onion), intensifies the lack of fruity flavors in NABLABs.
As expected, SafBrewTM LA-01 was confirmed to be a POF+ yeast [42], with 642 μg/L 4-vinylphenol and 810 μg/L 4-vinylguaiacol produced after three days at 20 °C in the 6 °P wort (levels well above the sensory thresholds). Logically, the concentrations of these compounds were higher in the 15 °P wort [59]. The decarboxylation of ferulic acid to 4-vinylguaiacol is a typical property of some S. cerevisiae yeasts, in contrast to S. pastorianus strains. SafBrewTM LA-01 can thus give NABLABs a white beer character, with spicy clove aromas. Yet, in contrast to findings on Brettanomyces yeasts, neither 4-ethylguaiacol nor 4-ethylphenol was significantly produced by vinyl reduction [60].
4. Conclusions
The maltose-negative Saccharomyces cerevisiae var. chevalieri strain SafBrewTM LA-01 was found to release fruity thiols from their glutathionylated S-conjugates with a significantly higher efficiency than the best S. pastorianus and S. cerevisiae strains previously screened, upon fermentation for seven days in a 15 °P wort at 24 °C (0.34% vs. 0.13% for L7 and 0.02% for K-97 on G-3SHol). Also surprising, despite its classification as a S. cerevisiae strain, the efficiency with which it used cysteinylated precursors was low, albeit slightly higher at 6 °P (3 days at 20 °C) than at 15 °P. Under these conditions, only 0.4% (v/v) ethanol was formed. Furthermore, as expected, the POF+ character of SafBrewTM LA-01 resulted in high levels of 4-vinylguaiacol.
Author Contributions
Conceptualization, M.S. and S.C.; Methodology, M.S., R.C. and P.J.; Software, M.S.; Validation, S.C.; Formal analysis, M.S. and S.C.; Investigation, M.S.; Resources, R.C., P.J. and S.C.; Data curation, M.S. and R.C.; Writing—original draft, M.S. and S.C.; Writing—review & editing, P.J. and S.C.; Visualization, S.C.; Supervision, S.C.; Project administration, S.C.; Funding acquisition, S.C. All authors have read and agreed to the published version of the manuscript.
Funding
This research received no external funding.
Institutional Review Board Statement
Not applicable.
Informed Consent Statement
Not applicable.
Data Availability Statement
The original contributions presented in the study are included in the article, further inquiries can be directed to the corresponding author.
Conflicts of Interest
Author Philippe Janssens was employed by the company Fermentis by Lesaffre. The remaining authors declare that the research was conducted in the absence of any commercial or financial relationships that could be construed as a potential conflict of interest. The authors declare no conflict of interest.
Abbreviations
NABs: non-alcoholic beers, LABs: low-alcoholic beers, 3SHol: 3-sulfanylhexan-1-ol, 3SPol: 3-sulfanylpentan-1-ol, 3S4MPol: 3-sulfanyl-4-methylpentan-1-ol, 3SHA: 3-sulfanylhexyl acetate, 3S4MPA: 3-sulfanyl-4-methylpentyl acetate, 3SPA: 3-sulfanylpentyl acetate, Cys-: cysteinylated, G-: glutathionylated, IST: internal standard, EST: external standard, PFPD: pulsed flame photometric detector, SIM: single ion monitoring, HS: headspace, POF: phenolic off-flavors, EU: European Union, ABV: alcohol by volume, GC: gas chromatography, MS: mass spectrometer, °P: °Plato, HPLC: high performance liquid chromatography, ELSD: evaporative light scattering detector, SPE: solid phase extraction.
References
- Brányik, T.; Silva, D.P.; Baszczyňski, M.; Lehnert, R.; e Silva, J.B.A. A review of methods of low alcohol and alcohol-free beer production. J. Food Eng. 2012, 108, 493–506. [Google Scholar] [CrossRef]
- Sohrabvandi, S.; Mousavi, S.M.; Razavi, S.H.; Mortazavian, A.M.; Rezaei, K. Alcohol-free beer: Methods of production, sensorial defects, and healthful effects. Food Rev. Int. 2010, 26, 335–352. [Google Scholar] [CrossRef]
- Montanari, L.; Marconi, O.; Mayer, H.; Fantozzi, P. Production of alcohol-free beer. In Beer in Health and Disease Prevention; Academic Press: Cambridge, MA, USA, 2009; pp. 61–75. [Google Scholar]
- Muller, C.; Neves, L.E.; Gomes, L.; Guimarães, M.; Ghesti, G. Processes for alcohol-free beer production: A review. Food Sci. Technol. 2019, 40, 273–281. [Google Scholar] [CrossRef]
- Capece, A.; Romaniello, R.; Siesto, G.; Romano, P. Conventional and non-conventional yeasts in beer production. Fermentation 2018, 4, 38. [Google Scholar] [CrossRef]
- Müller, M.; Bellut, K.; Tippmann, J.; Becker, T. Physical methods for dealcoholization of beverage matrices and their impact on quality attributes. ChemBioEng Rev. 2017, 4, 310–326. [Google Scholar] [CrossRef]
- Piornos, J.A.; Koussissi, E.; Balagiannis, D.P.; Brouwer, E.; Parker, J.K. Alcohol-free and low-alcohol beers: Aroma chemistry and sensory characteristics. Compr. Rev. Food Sci. Food Saf. 2023, 22, 233–259. [Google Scholar] [CrossRef]
- Simon, M.; Collin, S. Increasing dimethylsulfide and polyfunctional thiols, an opportunity to enhance the fruity flavors of NABLABs. J. Am. Soc. Brew. Chem. 2024, 1–12. [Google Scholar] [CrossRef]
- Piornos, J.A.; Balagiannis, D.P.; Methven, L.; Koussissi, E.; Brouwer, E.; Parker, J.K. Elucidating the odor-active aroma compounds in alcohol-free beer and their contribution to the worty flavor. J. Agric. Food Chem. 2020, 68, 10088–10096. [Google Scholar] [CrossRef] [PubMed]
- Simon, M.; Vuylsteke, G.; Collin, S. Flavor defects of fresh and aged NABLABs: New challenges against oxidation. J. Am. Soc. Brew. Chem. 2023, 81, 533–543. [Google Scholar] [CrossRef]
- Simon, M.; Collin, S. Why oxidation should be still more feared in NABLABs: Fate of polyphenols and bitter compounds. Beverages 2022, 8, 61. [Google Scholar] [CrossRef]
- Bellut, K.; Arendt, E.K. Chance and challenge: Non-Saccharomyces yeasts in nonalcoholic and low alcohol beer brewing—A review. J. Am. Soc. Brew. Chem. 2019, 77, 77–91. [Google Scholar] [CrossRef]
- Simões, J.; Coelho, E.; Magalhães, P.; Brandão, T.; Rodrigues, P.; Teixeira, J.A.; Domingues, L. Exploiting non-conventional yeasts for low-alcohol beer production. Microorganisms 2023, 11, 316. [Google Scholar] [CrossRef] [PubMed]
- Yabaci Karaoglan, S.; Jung, R.; Gauthier, M.; Kinčl, T.; Dostálek, P. Maltose-negative yeast in non-alcoholic and low-alcoholic beer production. Fermentation 2022, 8, 273. [Google Scholar] [CrossRef]
- Bellut, K.; Michel, M.; Zarnkow, M.; Hutzler, M.; Jacob, F.; Atzler, J.J.; Arendt, E.K. Screening and application of Cyberlindnera yeasts to produce a fruity, non-alcoholic beer. Fermentation 2019, 5, 103. [Google Scholar] [CrossRef]
- Johansson, L.; Nikulin, J.; Juvonen, R.; Krogerus, K.; Magalhães, F.; Mikkelson, A.; Gibson, B. Sourdough cultures as reservoirs of maltose-negative yeasts for low-alcohol beer brewing. Food Microbiol. 2021, 94, 103629–103640. [Google Scholar] [CrossRef] [PubMed]
- Rautio, J.; Londesborough, J. Maltose transport by brewer’s yeasts in brewer’s wort. J. Inst. Brew. 2003, 109, 251–261. [Google Scholar] [CrossRef]
- Bellut, K.; Michel, M.; Zarnkow, M.; Hutzler, M.; Jacob, F.; De Schutter, D.P.; Arendt, E.K. Application of non-Saccharomyces yeasts isolated from kombucha in the production of alcohol-free beer. Fermentation 2018, 4, 66. [Google Scholar] [CrossRef]
- Huige, N.J.; Sanchez, G.W.; Leidig, A.R. Process for Preparing a Nonalcoholic (Less the 0.5 Volume Percent Alcohol) Malt Beverage. Patent US4970082A, 13 November 1990. [Google Scholar]
- De Francesco, G.; Turchetti, B.; Sileoni, V.; Marconi, O.; Perretti, G. Screening of new strains of Saccharomycodes ludwigii and Zygosaccharomyces rouxii to produce low-alcohol beer. J. Inst. Brew. 2015, 121, 113–121. [Google Scholar] [CrossRef]
- Saerens, S.; Swiegers, J.H. Production of Low-Alcohol or Alcohol-Free Beer with Pichia kluyveri Yeast Strains. WO2014135673A2, 12 September 2014. [Google Scholar]
- Lai, Y.T.; Hsieh, C.W.; Lo, Y.C.; Liou, B.K.; Lin, H.W.; Hou, C.Y.; Cheng, K.C. Isolation and identification of aroma-producing non-Saccharomyces yeast strains and the enological characteristic comparison in wine making. LWT 2022, 154, 112653–112666. [Google Scholar] [CrossRef]
- Vaštík, P.; Rosenbergová, Z.; Furdíková, K.; Klempová, T.; Šišmiš, M.; Šmogrovičová, D. Potential of non-Saccharomyces yeast to produce non-alcoholic beer. FEMS Yeast Res. 2022, 22, foac039. [Google Scholar] [CrossRef]
- Liu, Y.; Li, H.; Du, J. Non-alcoholic beer production by Saccharomycodes ludwigii. Food Sci. 2011, 32, 186–190. [Google Scholar]
- Mortazavian, A.M.; Razavi, S.H.; Mousavi, S.M.; Malganji, S.; Sohrabvandi, S. The effect of Saccharomyces strain and fermentation conditions on quality parameters of non-alcoholic Beer. Arch. Adv. Biosci. 2014, 5, 109–114. [Google Scholar]
- Anfang, N.; Brajkovich, M.; Goddard, M.R. Co-fermentation with Pichia kluyveri increases varietal thiol concentrations in Sauvignon Blanc. Aust. J. Grape Wine Res. 2009, 15, 1–8. [Google Scholar] [CrossRef]
- Vicente, J.; Calderón, F.; Santos, A.; Marquina, D.; Benito, S. High potential of Pichia kluyveri and other Pichia species in wine technology. Int. J. Mol. Sci. 2021, 22, 1196. [Google Scholar] [CrossRef]
- Méndez-Zamora, A.; Gutiérrez-Avendaño, D.O.; Arellano-Plaza, M.; De la Torre González, F.J.; Barrera-Martínez, I.; Gschaedler Mathis, A.; Casas-Godoy, L. The non-Saccharomyces yeast Pichia kluyveri for the production of aromatic volatile compounds in alcoholic fermentation. FEMS Yeast Res. 2020, 20, foaa067. [Google Scholar] [CrossRef] [PubMed]
- Canonico, L.; Agarbati, A.; Comitini, F.; Ciani, M. Unravelling the potential of non-conventional yeasts and recycled brewers spent grains (BSG) for non-alcoholic and low alcohol beer (NABLAB). LWT 2023, 190, 115528–115536. [Google Scholar] [CrossRef]
- Escribano, R.; González-Arenzana, L.; Garijo, P.; Berlanas, C.; López-Alfaro, I.; López, R.; Gutiérrez, A.R.; Santamaría, P. Screening of enzymatic activities within different enological non-Saccharomyces yeasts. J. Food Sci. Technol. 2017, 54, 1555–1564. [Google Scholar] [CrossRef]
- Benito, S.; Hofmann, T.; Laier, M.; Lochbühler, B.; Schüttler, A.; Ebert, K.; Fritsch, S.; Röcker, J.; Rauhut, D. Effect on quality and composition of Riesling wines fermented by sequential inoculation with non-Saccharomyces and Saccharomyces cerevisiae. Eur. Food Res. Technol. 2015, 241, 707–717. [Google Scholar] [CrossRef]
- Sohrabvandi, S.; Razavi, S.H.; Mousavi, S.M.; Mortazavian, A.; Rezaei, K. Application of Saccharomyces rouxii for the production of non-alcoholic beer. Food Sci. Biotechnol. 2009, 18, 1132–1137. [Google Scholar]
- Canonico, L.; Agarbati, A.; Comitini, F.; Ciani, M. Torulaspora delbrueckii in the brewing process: A new approach to enhance bioflavour and to reduce ethanol content. Food Microbiol. 2016, 56, 45–51. [Google Scholar] [CrossRef]
- Nikulin, J.; Aisala, H.; Gibson, B. Production of non-alcoholic beer via cold contact fermentation with Torulaspora delbrueckii. J. Inst. Brew. 2022, 128, 28–35. [Google Scholar] [CrossRef]
- Jackowski, M.; Czepiela, W.; Hampf, L.; Żuczkowski, W.; Dymkowski, T.; Trusek, A. Comparison of two commercially available strains, Saccharomycodes ludwigii and Torulaspora delbrueckii, for the production of low-alcohol beer. Beverages 2023, 9, 66. [Google Scholar] [CrossRef]
- De Francesco, G.; Sannino, C.; Sileoni, V.; Marconi, O.; Filippucci, S.; Tasselli, G.; Turchetti, B. Mrakia gelida in brewing process: An innovative production of low alcohol beer using a psychrophilic yeast strain. Food Microbiol. 2018, 76, 354–362. [Google Scholar] [CrossRef]
- Güzel, N.; Güzel, M.; Bahçeci, K.S. Nonalcoholic beer. In Trends in Non-Alcoholic Beverages; Academic Press: Cambridge, MA, USA, 2020; pp. 167–200. [Google Scholar]
- Methner, Y.; Hutzler, M.; Zarnkow, M.; Prowald, A.; Endres, F.; Jacob, F. Investigation of non-Saccharomyces yeast strains for their suitability for the production of non-alcoholic beers with novel flavor profiles. J. Am. Soc. Brew. Chem. 2022, 80, 341–355. [Google Scholar] [CrossRef]
- Methner, Y.; Dancker, P.; Maier, R.; Latorre, M.; Hutzler, M.; Zarnkow, M.; Jacob, F. Influence of varying fermentation parameters of the yeast strain Cyberlindnera saturnus on the concentrations of selected flavor components in non-alcoholic beer focusing on (E)-β-damascenone. Foods 2022, 11, 1038. [Google Scholar] [CrossRef] [PubMed]
- Bellut, K.; Krogerus, K.; Arendt, E.K. Lachancea fermentati strains isolated from kombucha: Fundamental insights, and practical application in low alcohol beer brewing. Front. Microbiol. 2020, 11, 764–785. [Google Scholar] [CrossRef] [PubMed]
- Bellut, K.; Michel, M.; Hutzler, M.; Zarnkow, M.; Jacob, F.; De Schutter, D.P.; Arendt, E.K. Investigation into the potential of Lachancea fermentati strain KBI 12.1 for low alcohol beer brewing. J. Am. Soc. Brew. Chem. 2019, 77, 157–169. [Google Scholar]
- Fermentis. The Ideal Yeast for Low- and No-Alcohol Beers-SafBrew™ LA-01. Available online: https://fermentis.com/en/product/safbrew-la-01/ (accessed on 14 February 2024).
- Lodder, J. The Yeasts: A Taxonomic Study, Part 1, 2nd ed.; North-Holland Pub. Co.: Amsterdam, The Netherlands, 1970. [Google Scholar]
- Atputharajah, J.D.; Widanapathirana, S.; Samarajeewa, U. Microbiology and biochemistry of natural fermentation of coconut palm sap. Food Microbiol. 1986, 3, 273–280. [Google Scholar] [CrossRef]
- Ahmad, M.; Chaudhury, A.R.; Ahmad, K.U. Studies on toddy yeast. Mycologia 1954, 46, 708–720. [Google Scholar] [CrossRef]
- Rettberg, N.; Lafontaine, S.; Schubert, C.; Dennenlöhr, J.; Knoke, L.; Diniz Fischer, P.; Thörner, S. Effect of production technique on pilsner-style non-alcoholic beer (NAB) chemistry and flavor. Beverages 2022, 8, 4. [Google Scholar] [CrossRef]
- Gros, J.; Peeters, F.; Collin, S. Occurrence of odorant polyfunctional thiols in beers hopped with different cultivars. First evidence of an S-cysteine conjugate in hop (Humulus lupulus L.). J. Agric. Food Chem. 2012, 60, 7805–7816. [Google Scholar] [CrossRef] [PubMed]
- Chenot, C.; Robiette, R.; Collin, S. First evidence of the cysteine and glutathione conjugates of 3-sulfanylpentan-1-ol in hop (Humulus lupulus L.). J. Agric. Food Chem. 2019, 67, 4002–4010. [Google Scholar] [CrossRef] [PubMed]
- Bonnaffoux, H.; Roland, A.; Schneider, R.; Cavelier, F. Spotlight on release mechanisms of volatile thiols in beverages. Food Chem. 2021, 339, 127628–127639. [Google Scholar] [CrossRef] [PubMed]
- Wakabayashi, H.; Wakabayashi, M.; Eisenreich, W.; Engel, K.H. Stereochemical course of the generation of 3-mercaptohexanal and 3-mercaptohexanol by β-lyase-catalyzed cleavage of cysteine conjugates. J. Agric. Food Chem. 2004, 52, 110–116. [Google Scholar] [CrossRef] [PubMed]
- Chenot, C.; de Chanvalon, E.T.; Janssens, P.; Collin, S. Modulation of the sulfanylalkyl acetate/alcohol ratio and free thiol release from cysteinylated and/or glutathionylated sulfanylalkyl alcohols in beer under different fermentation conditions. J. Agric. Food Chem. 2021, 69, 6005–6012. [Google Scholar] [CrossRef] [PubMed]
- Cordente, A.G.; Capone, D.L.; Curtin, C.D. Unravelling glutathione conjugate catabolism in Saccharomyces cerevisiae: The role of glutathione/dipeptide transporters and vacuolar function in the release of volatile sulfur compounds 3-mercaptohexan-1-ol and 4-mercapto-4-methylpentan-2-one. Appl. Microbiol. Biotechnol. 2015, 99, 9709–9722. [Google Scholar] [CrossRef] [PubMed]
- Wolf, A.E.; Dietz, K.J.; Schröder, P. Degradation of glutathione S-conjugates by a carboxypeptidase in the plant vacuole. FEBS Lett. 1996, 384, 31–34. [Google Scholar] [CrossRef] [PubMed]
- Chenot, C.; Donck, W.; Janssens, P.; Collin, S. Malt and hop as sources of thiol S-conjugates: Thiol-releasing property of lager yeast during fermentation. J. Agric. Food Chem. 2022, 70, 3272–3279. [Google Scholar] [CrossRef] [PubMed]
- Kankolongo, M.-L.; Decourriere, L.; Lorenzo-Alonso, C.-J.; Bodart, E.; Robiette, R.; Collin, S. 3-Sulfanyl-4-methylpentan-1-ol in dry-hopped beers: First evidence of glutathione S-conjugates in hop (Humulus lupulus L.). J. Agric. Food Chem. 2016, 64, 8572–8582. [Google Scholar] [CrossRef]
- Scholtes, C.; Nizet, S.; Collin, S. Guaiacol and 4-methylphenol as specific markers of torrefied malts. Fate of volatile phenols in special beers through aging. J. Agric. Food Chem. 2014, 62, 9522–9528. [Google Scholar] [CrossRef]
- Verstrepen, K.J.; Derdelinckx, G.U.Y.; Dufour, J.P.; Winderickx, J.; Thevelein, J.M.; Pretorius, I.S.; Delvaux, F.R. Flavor-active esters: Adding fruitiness to beer. J. Biosci. Bioeng. 2003, 96, 110–118. [Google Scholar] [CrossRef] [PubMed]
- Anness, B.J.; Bamforth, C.W. Dimethyl sulphide—A review. J. Inst. Brew. 1982, 88, 244–252. [Google Scholar] [CrossRef]
- Vanbeneden, N.; Van Roey, T.; Willems, F.; Delvaux, F.; Delvaux, F.R. Release of phenolic flavour precursors during wort production: Influence of process parameters and grist composition on ferulic acid release during brewing. Food Chem. 2008, 111, 83–91. [Google Scholar] [CrossRef]
- Vanbeneden, N.; Gils, F.; Delvaux, F.; Delvaux, F.R. Formation of 4-vinyl and 4-ethyl derivatives from hydroxycinnamic acids: Occurrence of volatile phenolic flavour compounds in beer and distribution of Pad1-activity among brewing yeasts. Food Chem. 2008, 107, 221–230. [Google Scholar] [CrossRef]
Disclaimer/Publisher’s Note: The statements, opinions and data contained in all publications are solely those of the individual author(s) and contributor(s) and not of MDPI and/or the editor(s). MDPI and/or the editor(s) disclaim responsibility for any injury to people or property resulting from any ideas, methods, instructions or products referred to in the content. |
© 2024 by the authors. Licensee MDPI, Basel, Switzerland. This article is an open access article distributed under the terms and conditions of the Creative Commons Attribution (CC BY) license (https://creativecommons.org/licenses/by/4.0/).
