The Impact of Varying Levels of Laurus nobilis Leaves as a Sustainable Feed Additive on Ruminal Fermentation: In Vitro Gas Production, Methane and Carbon Dioxide Emissions, and Ruminal Degradability of a Conventional Diet for Ruminants
Abstract
1. Introduction
2. Materials and Methods
2.1. Ingredients and Treatments
2.2. In Vitro Fermentation and Biodegradation
2.3. Sampling and Analysis of Fermentation Variables
2.4. Chemical Analysis
2.5. Calculations and Statistical Analyses
3. Results
3.1. Laurus nobilis
3.2. Biogases Production
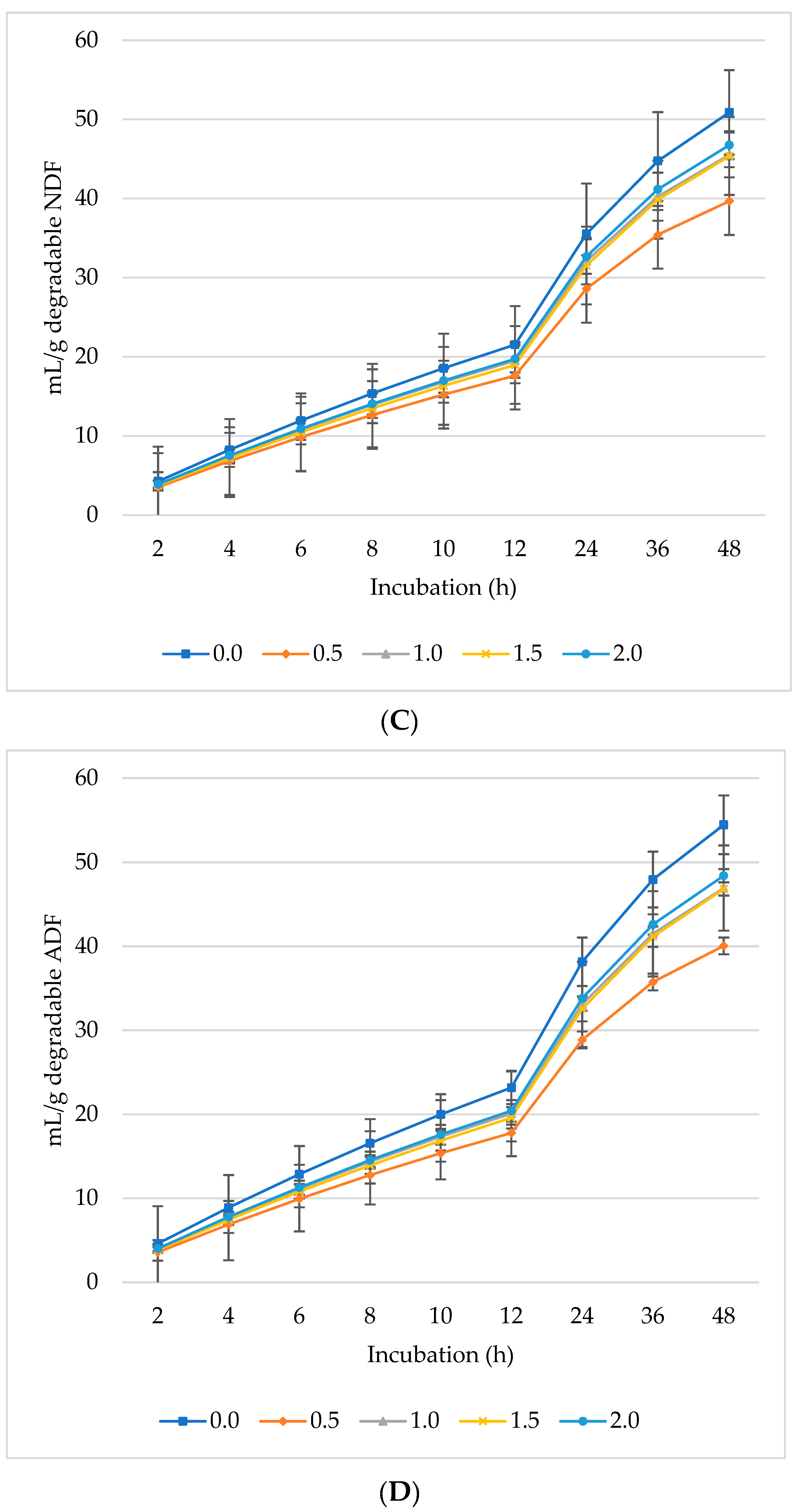
3.3. Degradability and Fermentation
4. Discussion
4.1. Laurus nobilis
4.2. Gas Production
4.3. Methane and Carbon Dioxide Production
4.4. Degradability and Fermentation
5. Conclusions
Funding
Institutional Review Board Statement
Informed Consent Statement
Data Availability Statement
Acknowledgments
Conflicts of Interest
References
- Gerber, P.J.; Steinfeld, H.; Henderson, B.; Mottet, A.; Opio, C.; Dijkman, J.; Falcucci, A.; Tempio, G. Tackling Climate Change through Livestock—A Global Assessment of Emissions and Mitigation Opportunities; Food and Agriculture Organization of the United Nations (FAO): Rome, Italy, 2013; ISBN 978-92-5-107920-1. [Google Scholar]
- Johannisson, J. Prospective Environmental Assessment of Technologies for Mitigating Methane Emissions. Ph.D. Thesis, Universität Ulm, Ulm, Germany, 2023. [Google Scholar]
- Niu, M.; Kebreab, E.; Hristov, A.N.; Oh, J.; Arndt, C.; Bannink, A.; Bayat, A.R.; Brito, A.F.; Boland, T.; Casper, D.; et al. Prediction of Enteric Methane Production, Yield, and Intensity in Dairy Cattle Using an Intercontinental Database. Glob. Chang. Biol. 2018, 24, 3368–3389. [Google Scholar] [CrossRef] [PubMed]
- Opio, C.; Gerber, P.; Mottet, A.; Falcucci, A.; Tempio, G.; MacLeod, M.; Vellinga, T.; Henderson, B.; Steinfeld, H. Greenhouse Gas Emissions from Ruminant Supply Chains—A Global Life Cycle Assessment; Food and Agriculture Organization of the United Nations (FAO): Rome, Italy, 2013. [Google Scholar]
- Morsy, T.A.; Gouda, G.A.G.A.; Kholif, A.E. In Vitro Fermentation and Production of Methane and Carbon Dioxide from Rations Containing Moringa oleifera Leave Silage as a Replacement of Soybean Meal: In Vitro Assessment. Environ. Sci. Pollut. Res. 2022, 29, 69743–69752. [Google Scholar] [CrossRef] [PubMed]
- Kholif, A.E.; Rahman, M.A.; Abo El-Nor, S.A.H.; Morsy, T.A.; Gouda, G.A.; Fahmy, M.; Chahine, M. Efficacy of Salvia officinalis Shrub as a Sustainable Feed Additive for Reducing Ruminal Methane Production and Enhancing Fermentation in Ruminants. Animals 2024, 14, 1648. [Google Scholar] [CrossRef] [PubMed]
- Morsy, T.A.; Kholif, A.E.; Adegbeye, M.J.; Olafadehan, O.A.; Gouda, G.A.; Fahmy, M.; Chahine, M. Lupin Seed Supplementation as a Functional Feed Additive: In Vitro Ruminal Gas, Methane and Carbon Dioxide Production, Fermentation Kinetics, and Nutrient Degradability. Animals 2024, 14, 2119. [Google Scholar] [CrossRef]
- Elghandour, M.M.Y.; Kholif, A.E.; Salem, A.Z.M.; Montes de Oca, R.; Barbabosa, A.; Mariezcurrena, M.; Olafadehan, O.A. Addressing Sustainable Ruminal Methane and Carbon Dioxide Emissions of Soybean Hulls by Organic Acid Salts. J. Clean. Prod. 2016, 135, 194–200. [Google Scholar] [CrossRef]
- Kholif, A.E.; Gouda, G.A.; Fahmy, M.; Morsy, T.A.; Abdelsattar, M.M.; Vargas-Bello-Pérez, E. Fennel Seeds Dietary Inclusion as a Sustainable Approach to Reduce Methane Production and Improve Nutrient Utilization and Ruminal Fermentation. Anim. Sci. J. 2024, 95, e13910. [Google Scholar] [CrossRef] [PubMed]
- Kholif, A.E.; Elghandour, M.M.Y.; Salem, A.Z.M.; Barbabosa, A.; Márquez, O.; Odongo, N.E. The Effects of Three Total Mixed Rations with Different Concentrate to Maize Silage Ratios and Different Levels of Microalgae Chlorella vulgaris on in Vitro Total Gas, Methane and Carbon Dioxide Production. J. Agric. Sci. 2017, 155, 494–507. [Google Scholar] [CrossRef]
- Elghandour, M.M.Y.; Kholif, A.E.; Salem, A.Z.M.; Olafadehan, O.A.; Kholif, A.M. Sustainable Anaerobic Rumen Methane and Carbon Dioxide Productions from Prickly Pear Cactus Flour by Organic Acid Salts Addition. J. Clean. Prod. 2016, 139, 1362–1369. [Google Scholar] [CrossRef]
- Ghimpețeanu, O.M.; Pogurschi, E.N.; Popa, D.C.; Dragomir, N.; Drăgotoiu, T.; Mihai, O.D.; Petcu, C.D. Antibiotic Use in Livestock and Residues in Food—A Public Health Threat: A Review. Foods 2022, 11, 1430. [Google Scholar] [CrossRef]
- Mouliom Mouiche, M.M.; Okah-Nnane, N.H.; Moffo, F.; Djibo, I.; Mapiefou, N.P.; Mpouam, S.E.; Mfopit, Y.M.; Mingoas, J.-P.K.; Tebug, S.F.; Ndukum, J.A. Antibiotic Residues in Foods of Animal Origin in Cameroon: Prevalence, Consumers’ Risk Perceptions, and Attitudes. J. Food Prot. 2024, 87, 100237. [Google Scholar] [CrossRef]
- Awada, F.; Hamade, K.; Kassir, M.; Hammoud, Z.; Mesnard, F.; Rammal, H.; Fliniaux, O. Laurus nobilis Leaves and Fruits: A Review of Metabolite Composition and Interest in Human Health. Appl. Sci. 2023, 13, 4606. [Google Scholar] [CrossRef]
- Dobroslavić, E.; Repajić, M.; Dragović-Uzelac, V.; Elez Garofulić, I. Isolation of Laurus nobilis Leaf Polyphenols: A Review on Current Techniques and Future Perspectives. Foods 2022, 11, 235. [Google Scholar] [CrossRef]
- EFSA. Safety and Efficacy of a Feed Additive Consisting of an Essential Oil from the Leaves of Laurus nobilis L. (Laurel Leaf Oil) for All Animal Species (FEFANA Asbl). EFSA J. 2023, 21, e07875. [Google Scholar] [CrossRef]
- Khayyal, A.; El-Badawy, M.; Ashmawy, T. Effect of Rosemary or Laurel Leaves as Feed Additives on Performance of Growing Lambs. Egypt. J. Nutr. Feed. 2021, 24, 343–356. [Google Scholar] [CrossRef]
- Sızmaz, Ö. Assessment of in Vitro Rumen Fermentation Patterns, Gas Formation and Nutrient Degradation of Laurel Oil. J. Turk. Vet. Med. Soc. 2016, 87, 1–10. [Google Scholar]
- Sallam, S.M.A.; Bueno, I.C.S.; Brigide, P.; Godoy, P.B.; Vitti, D.M.S.; Abdalla, A.L. Production in Efficacy of Eucalyptus Oil on in Vitro Ruminal Fermentation and Methane Production. In Options Méditerranéennes: Série A. Séminaires Méditerranéens; Papachristou, T.G., Parissi, Z.M., Ben Salem, H., Morand-Fehr, P., Eds.; CIHEAM/FAO/NAGREF: Zaragoza, Spain, 2009; Volume 272, pp. 267–272. [Google Scholar]
- Kholif, A.E.; Olafadehan, O.A.; Gouda, G.A.; Fahmy, M.; Morsy, T.A.; Ammar, H.; Hamdon, H.A.; Chahine, M. Turmeric Rhizomes Reduced in Vitro Methane Production and Improved Gas Production and Nutrient Degradability. Anim. Biotechnol. 2024, 35, 2371519. [Google Scholar] [CrossRef]
- Qin, D.-M.; Wang, X.-B.; Zou, N.; Han, C.; Xu, J. Gas Chromatography-Mass Spectrometry (GC-MS) Analysis of the Volatile Oil of Cichorium Glandulosum boiss et Huet and Its Effects on Carbon Tetrachloride-Induced Liver Fibrosis in Rats. Med. Sci. Monit. 2019, 25, 3591–3604. [Google Scholar] [CrossRef]
- Fortina, R.; Glorio Patrucco, S.; Barbera, S.; Tassone, S. Rumen Fluid from Slaughtered Animals: A Standardized Procedure for Sampling, Storage and Use in Digestibility Trials. Methods Protoc. 2022, 5, 59. [Google Scholar] [CrossRef]
- Goering, H.K.; Van Soest, P.J. Forage Fiber Analyses; ARS-USDA: Washington, DC, USA, 1975. [Google Scholar]
- AOAC. Official Methods of Analysis of AOAC International, 16th ed.; AOAC International: Washington, DC, USA, 1997; ISBN 9780935584547. [Google Scholar]
- Van Soest, P.J.; Robertson, J.B.; Lewis, B.A. Methods for Dietary Fiber, Neutral Detergent Fiber, and Nonstarch Polysaccharides in Relation to Animal Nutrition. J. Dairy Sci. 1991, 74, 3583–3597. [Google Scholar] [CrossRef]
- France, J.; Dijkstra, J.; Dhanoa, M.S.; Lopez, S.; Bannink, A. Estimating the Extent of Degradation of Ruminant Feeds from a Description of Their Gas Production Profiles Observed in Vitro: Derivation of Models and Other Mathematical Considerations. Br. J. Nutr. 2000, 83, 143–150. [Google Scholar] [CrossRef]
- Blümmel, M.; Steingaβ, H.; Becker, K. The Relationship between in Vitro Gas Production, in Vitro Microbial Biomass Yield and 15 N Incorporation and Its Implications for the Prediction of Voluntary Feed Intake of Roughages. Br. J. Nutr. 1997, 77, 911–921. [Google Scholar] [CrossRef] [PubMed]
- Menke, K.H.; Raab, L.; Salewski, A.; Steingass, H.; Fritz, D.; Schneider, W. The Estimation of the Digestibility and Metabolizable Energy Content of Ruminant Feedingstuffs from the Gas Production When They Are Incubated with Rumen Liquor in Vitro. J. Agric. Sci. 1979, 93, 217–222. [Google Scholar] [CrossRef]
- de Sousa, D.P.; Damasceno, R.O.S.; Amorati, R.; Elshabrawy, H.A.; de Castro, R.D.; Bezerra, D.P.; Nunes, V.R.V.; Gomes, R.C.; Lima, T.C. Essential Oils: Chemistry and Pharmacological Activities. Biomolecules 2023, 13, 1144. [Google Scholar] [CrossRef] [PubMed]
- Fidan, H.; Stefanova, G.; Kostova, I.; Stankov, S.; Damyanova, S.; Stoyanova, A.; Zheljazkov, V.D. Chemical Composition and Antimicrobial Activity of Laurus nobilis L. Essential Oils from Bulgaria. Molecules 2019, 24, 804. [Google Scholar] [CrossRef] [PubMed]
- Petkova, Z.; Stefanova, G.; Girova, T.; Antova, G.; Stoyanova, M.; Damianova, S.; Gochev, V.; Stoyanova, A.; Zheljazkov, V.D. Phytochemical Investigations of Laurel Fruits (Laurus nobilis). Nat. Prod. Commun. 2019, 14, 1–10. [Google Scholar] [CrossRef]
- Choudhary, D.; Kala, S.P.; Todaria, N.P.; Dasgupta, S.; Kinhal, G.; Kollmair, M. Essential Oil from Bay Leaves in India and Nepal: An Analysis for Quality Oriented Value Chain Development. Int. J. Med. Aromat. Plants 2013, 3, 11–17. [Google Scholar]
- Paparella, A.; Nawade, B.; Shaltiel-Harpaz, L.; Ibdah, M. A Review of the Botany, Volatile Composition, Biochemical and Molecular Aspects, and Traditional Uses of Laurus nobilis. Plants 2022, 11, 1209. [Google Scholar] [CrossRef] [PubMed]
- Woodward, S.L.; Waghorn, G.C.; Ulyatt, M.J.; Lassey, K.R. Early Indications That Feeding Lotus Will Reduce Methane Emissions from Ruminants. Proc. N. Z. Soc. Anim. Prod. 2001, 61, 23–26. [Google Scholar]
- Benchaar, C.; Calsamiglia, S.; Chaves, A.V.; Fraser, G.R.; Colombatto, D.; McAllister, T.A.; Beauchemin, K.A. A Review of Plant-Derived Essential Oils in Ruminant Nutrition and Production. Anim. Feed. Sci. Technol. 2008, 145, 209–228. [Google Scholar] [CrossRef]
- Benchaar, C.; Hassanat, F.; Yang, W.Z. Effects of Active Dried Yeast (Saccharomyces cerevisiae), a Non-Ionic Surfactant, or Their Combination on Gas Production, Rumen Microbial Fermentation and Methane Production in Vitro. Anim. Feed. Sci. Technol. 2024, 307, 115844. [Google Scholar] [CrossRef]
- Salem, A.Z.M.; Kholif, A.E.; Elghandour, M.M.Y.; Hernandez, S.R.; Domínguez-Vara, I.A.; Mellado, M. Effect of Increasing Levels of Seven Tree Species Extracts Added to a High Concentrate Diet on in Vitro Rumen Gas Output. Anim. Sci. J. 2014, 85, 853–860. [Google Scholar] [CrossRef] [PubMed]
- Pastorelli, G.; Simeonidis, K.; Faustini, M.; Le Mura, A.; Cavalleri, M.; Serra, V.; Attard, E. Chemical Characterization and In Vitro Gas Production Kinetics of Alternative Feed Resources for Small Ruminants in the Maltese Islands. Metabolites 2023, 13, 762. [Google Scholar] [CrossRef] [PubMed]
- Elghandour, M.M.Y.; Kholif, A.E.; Bastida, A.Z.; Martínez, D.L.P.; Salem, A.Z.M. In Vitro Gas Production of Five Rations of Different Maize Silage and Concentrate Ratios Influenced by Increasing Levels of Chemically Characterized Extract of Salix babylonica. Turk. J. Vet. Anim. Sci. 2015, 39, 186–194. [Google Scholar] [CrossRef]
- Cedillo, J.; Vázquez-Armijo, J.F.; González-Reyna, A.; Salem, A.Z.M.; Kholif, A.E.; Hernández-Meléndez, J.; Martínez-González, J.C.; de Oca Jiménez, R.M.; Rivero, N.; López, D. Effects of Different Doses of Salix babylonica Extract on Growth Performance and Diet in Vitro Gas Production in Pelibuey Growing Lambs. Ital. J. Anim. Sci. 2014, 13, 609–613. [Google Scholar] [CrossRef]
- Calsamiglia, S.; Busquet, M.; Cardozo, P.W.; Castillejos, L.; Ferret, A. Invited Review: Essential Oils as Modifiers of Rumen Microbial Fermentation. J. Dairy Sci. 2007, 90, 2580–2595. [Google Scholar] [CrossRef] [PubMed]
- Macheboeuf, D.; Morgavi, D.P.; Papon, Y.; Mousset, J.-L.; Arturo-Schaan, M. Dose–Response Effects of Essential Oils on in Vitro Fermentation Activity of the Rumen Microbial Population. Anim. Feed. Sci. Technol. 2008, 145, 335–350. [Google Scholar] [CrossRef]
- Broudiscou, L.P.; Papon, Y.; Broudiscou, A.F. Effects of Dry Plant Extracts on Fermentation and Methanogenesis in Continuous Culture of Rumen Microbes. Anim. Feed. Sci. Technol. 2000, 87, 263–277. [Google Scholar] [CrossRef]
- Kumar, K.; Dey, A.; Rose, M.K.; Dahiya, S.S. Modulating Feed Digestion and Methane Production by Eucalyptus (Eucalyptus citriodora) Leaves Essential Oils in Water Buffalo (Bubalus bubalis). Buffalo Bull. 2022, 41, 41–47. [Google Scholar] [CrossRef]
- Kholif, A.E.; Olafadehan, O.A. Essential Oils and Phytogenic Feed Additives in Ruminant Diet: Chemistry, Ruminal Microbiota and Fermentation, Feed Utilization and Productive Performance. Phytochem. Rev. 2021, 20, 1087–1108. [Google Scholar] [CrossRef]
- Capasso, V.; Lotito, D.; Pugliese, G.; Ruocco, R.A.; Musco, N. Essential Oils and Methanogenesis. A Review. J. Nutr. Ecol. Food Res. 2017, 4, 107–127. [Google Scholar] [CrossRef]
- Wang, K.; Xiong, B.; Zhao, X. Could Propionate Formation Be Used to Reduce Enteric Methane Emission in Ruminants? Sci. Total Environ. 2023, 855, 158867. [Google Scholar] [CrossRef]
- Kamra, D.N.; Patra, A.K.; Chatterjee, P.N.; Kumar, R.; Agarwal, N.; Chaudhary, L.C. Effect of Plant Extracts on Methanogenesis and Microbial Profile of the Rumen of Buffalo: A Brief Overview. Aust. J. Exp. Agric. 2008, 48, 175–178. [Google Scholar] [CrossRef]
- Zmora, P.; Cieślak, A.; Pers-Kamczyc, E.; Szyszka, P.; Szumacher-Strabel, M. An in Vitro Study on the Effect of Sage, Salvia officinalis L., on Rumen Fermentation. J. Anim. Feed. Sci. 2012, 21, 613–623. [Google Scholar] [CrossRef]
- Hosseini, S.M.; Rezaei, J.; Rouzbehan, Y. Nutritive Value of Adiantum capillus-veneris and Salvia officinalis L. Forages and the Effect of Their Dietary Levels on in Vitro Digestibility, Methane Production, Antioxidant Capacity, and Fermentation Parameters. Anim. Prod. Res. 2022, 11, 1–15. [Google Scholar] [CrossRef]
- Haisan, J.; Sun, Y.; Guan, L.L.; Beauchemin, K.A.; Iwaasa, A.; Duval, S.; Barreda, D.R.; Oba, M. The Effects of Feeding 3-Nitrooxypropanol on Methane Emissions and Productivity of Holstein Cows in Mid Lactation. J. Dairy Sci. 2014, 97, 3110–3119. [Google Scholar] [CrossRef] [PubMed]
- Kumar, S.; Dagar, S.S.; Sirohi, S.K.; Upadhyay, R.C.; Puniya, A.K. Microbial Profiles, in Vitro Gas Production and Dry Matter Digestibility Based on Various Ratios of Roughage to Concentrate. Ann. Microbiol. 2013, 63, 541–545. [Google Scholar] [CrossRef]
- Khattab, M.S.A.; Kholif, A.E.; Abd El Tawab, A.M.; Shaaban, M.M.; Hadhoud, F.I.; El-Fouly, H.A.; Olafadehan, O.A. Effect of Replacement of Antibiotics with Thyme and Celery Seed Mixture on the Feed Intake and Digestion, Ruminal Fermentation, Blood Chemistry, and Milk Lactation of Lactating Barki Ewes. Food Funct. 2020, 11, 6889–6898. [Google Scholar] [CrossRef] [PubMed]
- Ryle, M.; Ørskov, E.R. Energy Nutrition in Ruminants; Springer Netherlands: Dordrecht, The Netherlands, 1990; ISBN 978-94-010-6823-9. [Google Scholar]
- Satter, L.D.; Slyter, L.L. Effect of Ammonia Concentration on Rumen Microbial Protein Production in Vitro. Br. J. Nutr. 1974, 32, 199–208. [Google Scholar] [CrossRef]
- Agarwal, N.; Shekhar, C.; Kumar, R.; Chaudhary, L.C.; Kamra, D.N. Effect of Peppermint (Mentha piperita) Oil on in Vitro Methanogenesis and Fermentation of Feed with Buffalo Rumen Liquor. Anim. Feed. Sci. Technol. 2009, 148, 321–327. [Google Scholar] [CrossRef]
- Lee, S.S.; Kim, D.H.; Paradhipta, D.H.V.; Lee, H.J.; Yoon, H.; Joo, Y.H.; Adesogan, A.T.; Kim, S.C. Effects of Wormwood (Artemisia montana) Essential Oils on Digestibility, Fermentation Indices, and Microbial Diversity in the Rumen. Microorganisms 2020, 8, 1605. [Google Scholar] [CrossRef]
- Arjun, S.; Neha, P.; Mohith Sai, S.R.; Ravi, L. Microbial Symbionts in Ruminants. In Microbial Symbionts: Functions and Molecular Interactions on Host; Dharumadurai, D., Ed.; Elsevier: Amsterdam, The Netherlands, 2023; pp. 493–509. [Google Scholar]
- Mandal, S.M.; Chakraborty, D.; Dey, S. Phenolic Acids Act as Signaling Molecules in Plant-Microbe Symbioses. Plant Signal Behav. 2010, 5, 359–368. [Google Scholar] [CrossRef] [PubMed]
- Boucher, S.E.; Ordway, R.S.; Whitehouse, N.L.; Lundy, F.P.; Kononoff, P.J.; Schwab, C.G. Effect of Incremental Urea Supplementation of a Conventional Corn Silage-Based Diet on Ruminal Ammonia Concentration and Synthesis of Microbial Protein. J. Dairy Sci. 2007, 90, 5619–5633. [Google Scholar] [CrossRef] [PubMed]






| Laurus nobilis | CFM 1 | Berseem Hay | Rice Straw | Diet 2,3 | |
|---|---|---|---|---|---|
| Dry matter | 940.4 | 903.2 | 890.1 | 940.3 | 892.8 |
| Organic matter | 955.0 | 922.9 | 884.4 | 851.1 | 819.4 |
| Crude protein | 58.7 | 165.0 | 128.3 | 41.8 | 135.7 |
| Ether extract | 101.2 | 46.8 | 54.4 | 18.8 | 61.8 |
| Nonstructural carbohydrates | 415.1 | 414.0 | 224.2 | 166.1 | 359.1 |
| Neutral detergent fiber | 380.0 | 297.1 | 477.5 | 624.4 | 379.0 |
| Acid detergent fiber | 229.7 | 175.1 | 380.7 | 394.1 | 239.8 |
| Peak | Compound 1 | Formula | RT 2 | Concentration 3 |
|---|---|---|---|---|
| 1 | α-Pinene | C10H16 | 3.67 | 0.91 |
| 2 | β-Pinene | C10H16 | 4.75 | 2.47 |
| 3 | 1,8-cineole | C10H18O | 6.78 | 81.01 |
| 4 | sabinene hydrate isomer | C10H18O | 8.06 | 0.5 |
| 5 | Fenchone | C10H16O | 8.52 | 1.18 |
| 6 | Alloocimene | C10H16 | 8.95 | 0.33 |
| 7 | Linalool | C10H18O | 9.15 | 0.78 |
| 8 | Camphor | C10H16O | 9.93 | 0.73 |
| 9 | α-Terpineol | C10H18O | 11.18 | 1.06 |
| 10 | Estragole | C10H12O | 11.35 | 5.9 |
| 11 | α-Terpinyl acetate | C12H20O2 | 14.17 | 3.91 |
| 12 | trans-Caryophyllene | C15H24 | 15.23 | 0.44 |
| GP Parameters 1 | CH4 Parameters 2 | CO2 Parameters 3 | |||||||||
|---|---|---|---|---|---|---|---|---|---|---|---|
| Level | A | c | Lag | A | c | Lag | % 4 | A | c | Lag | % 4 |
| 0 | 78.1 c | 0.076 | 1.55 bc | 28.6 a | 0.035 | 1.42 b | 29.3 a | 58.8 bc | 0.036 c | 2.47 | 63.5 b |
| 0.5 | 115.9 a | 0.064 | 1.47 c | 25.6 ab | 0.039 | 1.65 ab | 19.7 c | 81.2 a | 0.082 a | 2.27 | 72.1 a |
| 1 | 95.6 b | 0.064 | 1.58 bc | 25.2 ab | 0.036 | 1.74 ab | 22.7 bc | 65.9 b | 0.071 ab | 2.27 | 70.1 a |
| 1.5 | 92.7 b | 0.060 | 1.82 ab | 24.5 ab | 0.034 | 1.97 a | 22.8 bc | 64.1 b | 0.066 b | 2.05 | 70.5 a |
| 2 | 76.3 c | 0.074 | 1.96 a | 23.4 b | 0.035 | 1.87 a | 25.7 ab | 52.6 c | 0.072 ab | 2.13 | 68.7 ab |
| SEM | 2.42 | 0.0072 | 0.064 | 0.90 | 0.0035 | 0.088 | 0.99 | 2.180 | 0.0031 | 0.197 | 1.38 |
| p value | |||||||||||
| Treatment | <0.001 | 0.117 | 0.001 | 0.023 | 0.841 | 0.010 | 0.005 | <0.001 | <0.001 | 0.626 | 0.012 |
| Linear | 0.006 | 0.486 | 0.002 | 0.003 | 0.701 | 0.001 | 0.001 | 0.002 | 0.002 | 0.176 | 0.072 |
| Quadratic | <0.001 | 0.102 | 0.039 | 0.321 | 0.636 | 0.126 | 0.214 | <0.001 | <0.001 | 0.658 | 0.006 |
| Degradability 1 | SCFA 2 | SCFA 3 | Fermentation 4 | |||||||||||||
|---|---|---|---|---|---|---|---|---|---|---|---|---|---|---|---|---|
| Level | dDM | dNDF | dADF | Total | C2 | C3 | C4 | C2 | C3 | C4 | pH | NH3-N | ME | PF24 | MCP | GY24 |
| 0 | 473 b | 439 bc | 412 b | 23.4 b | 11.4 b | 7.90 c | 4.08 | 48.8 | 33.8 | 17.4 | 6.27 | 10.4 | 4.68 b | 7.22 | 328.3 ab | 138.8 |
| 0.5 | 568 a | 547 a | 542 a | 27.5 a | 13.5 a | 9.29 ab | 4.74 | 49.0 | 33.8 | 17.2 | 6.13 | 11.7 | 5.00 a | 6.27 | 368.8 a | 159.5 |
| 1 | 483 b | 455 b | 441 b | 25.9 a | 12.4 ab | 9.39 a | 4.17 | 47.7 | 36.2 | 16.1 | 6.20 | 11.8 | 4.58 b | 6.46 | 318.3 bc | 155.7 |
| 1.5 | 447 bc | 436 bc | 422 b | 23.3 b | 10.7 b | 8.10 bc | 4.50 | 45.9 | 34.7 | 19.3 | 6.17 | 11.5 | 4.44 bc | 6.42 | 293.1 bc | 156.8 |
| 2 | 411 c | 406 c | 392 b | 21.7 b | 10.6 b | 7.46 c | 3.60 | 49.0 | 34.4 | 16.6 | 6.13 | 10.8 | 4.26 c | 6.49 | 271.3 c | 154.3 |
| SEM | 8.9 | 10.5 | 10.7 | 0.407 | 0.40 | 0.276 | 0.195 | 1.51 | 1.08 | 0.71 | 0.039 | 0.38 | 0.063 | 0.258 | 10.79 | 6.15 |
| p value | ||||||||||||||||
| Treatment | <0.001 | 0.047 | 0.042 | <0.001 | 0.002 | 0.002 | 0.108 | 0.571 | 0.517 | 0.171 | 0.171 | 0.123 | 0.001 | 0.161 | 0.009 | 0.212 |
| Linear | <0.001 | 0.045 | 0.041 | 0.001 | 0.006 | 0.039 | 0.082 | 0.583 | 0.535 | 0.091 | 0.091 | 0.631 | <0.001 | 0.139 | 0.002 | 0.175 |
| Quadratic | <0.001 | 0.043 | 0.042 | <0.001 | 0.009 | 0.004 | 0.103 | 0.363 | 0.276 | 0.513 | 0.513 | 0.014 | 0.012 | 0.091 | 0.034 | 0.102 |
Disclaimer/Publisher’s Note: The statements, opinions and data contained in all publications are solely those of the individual author(s) and contributor(s) and not of MDPI and/or the editor(s). MDPI and/or the editor(s) disclaim responsibility for any injury to people or property resulting from any ideas, methods, instructions or products referred to in the content. |
© 2024 by the author. Licensee MDPI, Basel, Switzerland. This article is an open access article distributed under the terms and conditions of the Creative Commons Attribution (CC BY) license (https://creativecommons.org/licenses/by/4.0/).
Share and Cite
Kholif, A.E. The Impact of Varying Levels of Laurus nobilis Leaves as a Sustainable Feed Additive on Ruminal Fermentation: In Vitro Gas Production, Methane and Carbon Dioxide Emissions, and Ruminal Degradability of a Conventional Diet for Ruminants. Fermentation 2024, 10, 387. https://doi.org/10.3390/fermentation10080387
Kholif AE. The Impact of Varying Levels of Laurus nobilis Leaves as a Sustainable Feed Additive on Ruminal Fermentation: In Vitro Gas Production, Methane and Carbon Dioxide Emissions, and Ruminal Degradability of a Conventional Diet for Ruminants. Fermentation. 2024; 10(8):387. https://doi.org/10.3390/fermentation10080387
Chicago/Turabian StyleKholif, Ahmed E. 2024. "The Impact of Varying Levels of Laurus nobilis Leaves as a Sustainable Feed Additive on Ruminal Fermentation: In Vitro Gas Production, Methane and Carbon Dioxide Emissions, and Ruminal Degradability of a Conventional Diet for Ruminants" Fermentation 10, no. 8: 387. https://doi.org/10.3390/fermentation10080387
APA StyleKholif, A. E. (2024). The Impact of Varying Levels of Laurus nobilis Leaves as a Sustainable Feed Additive on Ruminal Fermentation: In Vitro Gas Production, Methane and Carbon Dioxide Emissions, and Ruminal Degradability of a Conventional Diet for Ruminants. Fermentation, 10(8), 387. https://doi.org/10.3390/fermentation10080387
