Abstract
A new biphasic organic solvent, phenoxyethanol-maleic acid, was carried out to pretreat and fractionate vinegar residue into glucan, xylan and lignin under mild conditions. Additional effects of key factors, temperature and phenoxyethanol concentration, on vinegar residue, were evaluated. Under the biphasic system (0.5% maleic acid, 60% phenoxyethanol), 140 °C cooking vinegar residue for 1 h, 80.91% of cellulose retention in solid residue, 75.44% of hemicellulose removal and 69.28% of lignin removal were obtained. Optimal identified conditions resulted in maximum XOS of 47.3%. Then, the solid residue was enzymatically digested with a glucose yield of 82.67% at 72 h with the addition of 2.5 g/L bovine serum albumin. Finally, the residue was characterized by SEM, FTIR, XRD and BET analysis. This work demonstrated the phenoxyethanol-maleic acid pretreatment yielded XOS, fermentable sugar, and lignin with high processibility.
1. Introduction
Vinegar residue (VR) is the principal byproduct left during the vinegar brewing industry by solid-state fermentation; cereals (sorghum, wheat bran, rice, millet) are usually used as raw materials to produce vinegars with characteristic flavors. In China, more than 3 million tons of VR are produced yearly. At the scale of manufacturing, the major disposal techniques of VR are landfill and incineration. These technologies generate secondary air and soil contamination and cause the bio-resources waste. In order to reduce its damage to the environment, there is an urgent need to create alternate disposal options for VR. The contents of VR mainly include cellulose (22.96–34.91%), hemicellulose (16.22–39.8%), lignin (9.2–24.78%) and ash (5.62–13.17%) [1]. Therefore, developing a financially viable biorefinery process of VR relies on the effective use and conversion of cellulose, hemicellulose and lignin. Biorefinery efficiency strongly relies on efficient pretreatment; therefore, an effective pretreatment step is required to accelerate the hydrolysis process and obtain the whole composition of VR.
Several pretreatment techniques have been studied over the past few years, including liquid hot water, acid and alkali reagents, organosolv and deep eutectic solvent (DES) [2,3,4,5,6]. Due to their capacity to boost lignin and solvent recyclability, organosolv pretreatment has recently gained much attention in the biorefinery industry [7]. In contrast, organosolv techniques use water-miscible organic compounds, making lignin separation and chemical recovery procedures more complicated. Therefore, an ideal technology for biorefinery is a biphasic reaction system with immiscible organic and liquid phases [2,8,9]. Phenoxyethanol has been deemed a safe and environmentally friendly organic solvent because it is biocompatible and biodegradable [10,11]. In this system, the solid fraction contains cellulose that can be converted into glucose by enzymatic hydrolysis and pretreatment. However, the dissolved hemicellulose and lignin stay in the liquid and organic phases, respectively. The xylan in hemicellulose can be broken down into xylose, xylitol and xylooligosaccharides (XOS) [12,13]. XOS is a promising value-added product as it explicitly promotes the development of probiotic bacteria in the human intestine [14].
Recently, Zheng et al. [11] used phenoxyethanol-acid system to pretreat bamboo, resulting in a higher enzymatic hydrolysis. However, further research is needed into the phenoxyethanol-acid system since sulfuric acid is typically used; and this invariably results in an excessive breakdown of xylan to unwanted byproducts such as xylose and 5-HMF, which reduces the yield of XOS [15]. Meanwhile, sulfuric acid is a non-renewable chemical that could eventually have a potential resource crisis as the supply-demand increases. Organic acid pretreatment has generated much interest as one of the high potential methods for promoting enzymatic saccharification of lignocellulosic materials [16,17]. In contrast, organic acids are often preferred for XOS production due to their many advantages, which including higher oligomeric sugar yields and fewer degradation by-products. Maleic acid (MA) is an organic acid that humans may consume and has found primary use in the pharmaceutical and resin industries [18]. In wheat straw pretreatment, maleic acid has been seen as a viable alternative to sulfuric acid since it degrades xylose into furfural at a considerably slower rate and nevertheless has the same potential to boost enzymatic digestibility at 30% (w/w) of solid loading [19].
In this study, we investigated an integrated biorefinery using phenoxyethanol-MA biphasic pretreatment of VR. Additionally, the optimal reaction temperature and phenoxyethanol concentration values were examined to obtain the highest yield of XOS and glucose. Scan electron microscopy (SEM) was used to monitor physical changes, and Fourier transforms infrared spectroscopy (FTIR) was used to analyze functional groups in the processed biomass to learn more about its structural features. Brunauer-Emmett-Teller (BET) was applied to calculate the specific surface and average pore volume and size, and the crystallinity of VR before and after pretreatment was characterized by the X-ray diffraction (XRD). This research successfully built a green biorefinery technology for efficiently co-producing XOS and glucose from VR using phenoxyethanol-MA biphasic pretreatment and enzymatic hydrolysis.
2. Materials and Methods
2.1. Raw Material and Enzyme
Vinegar residue was obtained from Jiangsu University of Science and Technology. The untreated VR composition was as follows (%, dry weight basis): glucan 25.84%, xylan 23.79% and total lignin 25.23%. Novozymes (NA, Franklinton, OH, USA) supplied the cellulase formula Cellic® CTec2 with 170 FPU/mL activity.
2.2. Phenoxyethanol-MA Pretreatment
In a 100 mL reactor, we performed the biphasic phenoxyethanol-MA pretreatment by combining phenoxyethanol and 0.5% MA solution at several concentrations (20, 40 and 60% phenoxyethanol, v/v). Specifically, a solid-liquid ratio of 1:10 (w/v) was used to add 6 g of VR into the reactor. The reactor was placed in an oil bath and heated at different temperatures (120, 140, 160 °C). Pretreatment was followed by rapid cooling of the reactor and physical separation of the mixtures; the soil residue was washed with hot water (60 °C) and kept at 4 °C for future testing. The liquid and organic phases were stored at −20 °C for further investigation.
As reported previously, pretreatment yield, delignification, cellulose degradation and xylan removal were calculated as reported by Madadi et al. [20].
2.3. Enzymatic Hydrolysis of Pretreated VR
The pretreated VR was subjected to 72 h of enzymatic hydrolysis with a substrate loading of 2% (w/v), a cellulase loading of 15 FPU/g glucans, pH 4.8 (0.05 M citrate buffer) at 50 °C for 150 rpm. In addition, before adding the cellulase enzyme, the pretreated substrates and buffer were incubated at 50 °C for 60 min with 2.5 g/L bovine serum albumin (BSA) to alleviate the inhibition of surface lignin on enzymatic hydrolysis [21]. Throughout the enzymatic hydrolysis, aliquots were taken to determine the total amount of sugars. Glucose yield was calculated as shown in Equation (1)
2.4. Measuring Different Physicochemical Properties of Pretreated VR
The crystallinity of VR before and after pretreatment was characterized by the X-ray diffraction (XRD) method described by Huang et al. [22]. The crystallinity index (CrI) was calculated by Equation (2):
I002 is the diffraction intensity of (002) cellulose lattice I, and Iam is the diffraction intensity of the amorphous region with 2θ = 18.3°.
FTIR spectrometer (Thermo Fisher Scientific, Waltham, MA, USA) was adopted to determine the chemical linkage modifications of VR with a scanning range of 4000–40 cm−1. A JSM-7600F (Hitachi, Tokyo, Japan) instrument was used to collect surface morphology data. Using Brunauer-Emmett-Teller (BET), we determined the average pore volume and size and the specific surface area.
2.5. Analytical Methods
Pretreated VR chemical compositions were determined using NREL’s standard protocol [23]. Sugar concentrations were determined using a high-performance liquid chromatography (HPLC) (Agilent, Palo Alto, LA, USA) system with an Aminex HPX-87H column (300 × 7.8 mm) and a refractive index (RI) detector for use in further compositional analysis and enzymatic hydrolysis. The eluent was a 0.05 M H2SO4 solution flowing at 0.6 mL/min at 50 °C [24].
2.6. XOS Analysis
In this work, xylooligosaccharides (DP 2–6) were defined as the combination of xylobiose (X2), xylotriose (X3), xylotetraose (X4), xylopentaose (X5) and xylohexaose (X6). High-performance anion exchange chromatography (HPAEC, Dionex ICS-3000, Waltham, MA, USA) was used to quantitatively measure XOS quantities [25]. The concentration of XOS DP > 6 was calculated by deducting X2–X6 amounts of total XOS. The XOS yields were calculated as reported by Equation (3) [26].
In order to ensure accuracy, we ran all of our pretreatment and enzymatic hydrolysis studies twice. Data were summarized using a mean ± standard deviation.
3. Results and Discussion
3.1. Effects of Phenoxyethanol-Maleic Acid Pretreatment on the Composition of VR
Biphasic systems with varying solvent ratios and reaction temperatures were extensively tested to find the best conditions for the phenoxyethanol-maleic acid pretreatment of VR. Following pretreatment with phenoxyethanol and maleic acid, the principal chemical components of VR across a range of circumstances are summarized in Table 1.
Table 1.
Pretreatment yield and compositions change of VR.
Table 1 shows that the unpretreated VR consisted of 25.84% cellulose, 23.70% xylan and 25.20% lignin. The phenoxyethanol pretreatment system could not remarkably change the biomass components described by the previous study [11]. However, increasing the temperature from 120 °C to 160 °C and the phenoxyethanol concentration from 20% to 60% during phenoxyethanol-MA pretreatment reduced the xylan and lignin levels. At 120 °C, increasing the solvent ratio from 20% to 60% dropped the solid recovery yield from 64.14% to 59.59% and the glucan recovery yield from 90.26% to 85.28% while increasing the lignin removal yield from 37.95% to 48.5% and the xylan removal yield from 45.65% to 53.28%. Using the same pretreatment system at 140 °C and 160 °C, xylan removal yield was enhanced from 70.52% to 75.4% and 73.85% to 82.63%, respectively. Furthermore, phenoxyethanol-MA pretreatment considerably increased the degree of delignification at 140 °C (55.79–69.28%) and 160 °C (68.74–78.52%).
Pretreatment with phenoxyethanol-MA had no appreciable impact on cellulose breakdown and resulted in the retention of the vast majority of glucan (80–90%). The maleic acid solution first destroyed the lignin-carbohydrate complex (LCC) linkages, and then the lignin in the cell wall was solubilized by phenoxyethanol, resulting in the removal of most of the xylan and lignin [27]. In accordance with prior research, Table 1 shows that raising the phenoxyethanol concentration and temperature during pretreatment effectively reduced the lignin and xylan while retaining most of the glucan in the pretreated solid phases [28]. Moreover, pretreatment introduced into the biomass ought to allow for high enzymatic hydrolysis efficiency. Consequently, the advantages of the pretreatment effects on the solid must be evaluated against the value of the xylan degradation product. This research suggests that producing value-added XOS may bolster the economic sustainability of a VR biorefinery.
3.2. Effects of Phenoxyethanol-Maleic Acid Pretreatment on XOS Distribution
In terms of biomass prebiotic value, XOS is among the most promising [29]. XOS is made up of xylose chains ranging in length from two to ten, with or without arabinose and glucuronic side chains, and the degree of polymerization (DP) of these chains greatly affects their biological activity. Research shows that DP from 2–6 (especially DP 2–3) has been used in many different settings [30]. Consequently, the influence of pretreatment severity on the rate of xylan degradation and the yield of XOS by phenoxyethanol-MA pretreatment was investigated.
As presented in Figure 1a, the XOS yield increased from 16.7% (120 °C, 20% phenoxyethanol) to 47.3% (140 °C, 60% phenoxyethanol) and then decreased to 9.7% (160 °C, 60% phenoxyethanol). The amount of XOS showed the same trade (The amount of XOS increased from 3.5 g/L (120 °C, 20% phenoxyethanol) to 9.4 g/L (140 °C, 60% phenoxyethanol) and then decreased to 1.9 g/L (160 °C, 60% phenoxyethanol)). The quantity of xylose raised with temperature and phenoxyethanol increasing, peaking at 64.3% (160 °C, 60% phenoxyethanol). It was examined that MA pretreatment can produce a high XOS yield (52.9%) at 155 °C for 26 min with 0.5% MA [18]. Figure 1b shows the maximum XOS was obtained at 140 °C, 60% phenoxyethanol with 30.06% xylobiose (X2), 22.26% xylotriose (X3), 14.48% xylotetraose (X4), 13.90% xylopentaose (X5) and 10.26% xylohexaose (X6). It was noticed that the X2, X3 and X4 accounted for the main part of XOS, making them perfect for application in functional foods [31].
Figure 1.
Xylose and XOS yields at different pretreatment (a) relative percentages of XOS at different pretreatment (b) in VR.
Figure 1b shows that XOS with DP > 6 were present in the hydrolysates. Xylanase has been shown to increase the XOS yield by converting high DP XOS present in hydrolysates or isolated xylan into low DP XOS [32]. At 140 °C and 60% phenoxyethanol, the greatest amount of XOS (47.3%) was produced, along with the highest concentration (9.02%) of XOS (DP > 6). Using a phenoxyethanol-MA pretreatment, VR may acquire XOS in a single step without adding xylanase since there would be less XOS with a high DP. The pretreatment of VR with phenoxyethanol-MA was more beneficial and convenient for the production of XOS.
The relationship between delignification and xylan removal is summarized in Figure 2a. Delignification shows a high positive linear connection (R2 = 0.9092), as can be seen. Meanwhile, R2 = 0.8908 showed a linear relationship between delignification level and xylose yield. A high R2 value indicates that delignification significantly affected xylose yield and xylan elimination. Non-linear regression analysis showed an R2 = 0.7508 relationship between delignification and XOS yield (Figure 2b). The results showed that delignification was crucial to XOS production, with the yield increasing and then decreasing with time. Furthermore, the connection between delignification and XOS with DP > 6 is seen in Figure 2b. The result implied that delignification plotted non-linear correlation at R2 = 0.9516 with XOS of DP >6 when fitted.
Figure 2.
Impact of delignification on xylan removal and xylose yield (a). Impact of delignification on XOS yield and XOS DP > 6 yield (b).
3.3. Enzymatic Hydrolysis of Solid Residue
The effectiveness of enzymatic hydrolysis is a crucial criterion for evaluating the cellulose conversion of lignocellulose, which is one of the most significant procedures in the validity use of lignocellulose [33]. The enzymatic hydrolysis efficiency of pretreated VR solid at several temperatures and solvent ratios is shown in Figure 3a–c. Increasing the solvent ratio in the system increased the enzymatic digestibility of the phenoxyethanol-MA pretreated VR. Significantly, increasing the solvent ratio from 20% to 60% boosted the enzymatic hydrolysis yields of pretreated VR from 28.85% to 50.86% (120 °C), from 55.14% to 73.09% (140 °C) and from 69.68% to 81.09% (160 °C). A linear relationship was discovered between the degree of delignification (R2 = 0.9853) and the xylan removal yield (R2 = 0.9185) with the enzymatic digestibility of pretreated VR (Figure 3e,f). Delignification and xylan removal may have helped improve enzymatic hydrolysis efficiency, as shown by their high R2 values. For enzymatic hydrolysis of lignocellulose and hemicellulose, removing lignin and hemicellulose may increase the exposed surface area so enzymes can interact [34].
Figure 3.
Enzymatic hydrolysis yield of pretreated VR at 120 °C (a), 140 °C (b), and 160 °C (c). Enzymatic digestibility of pretreated VR (140 °C, 60% phenoxyethanol) with or without BSA (d). Correlations between xylan removal yield (e) and degree of delignification (f) and enzymatic digestibility of pretreated VR.
The previous data showed that the optimum pretreatment conditions for XOS synthesis (140 °C, 60% phenoxyethanol) did not correspond with those for enzymatic hydrolysis (160 °C, 60% phenoxyethanol). An increase in the efficiency of enzymatic hydrolysis at 140 °C with 60% phenoxyethanol was required to efficiently co-produce glucose and XOS from a monetary and technical standpoint. We have already verified that residual lignin may be a major barrier to enzymatic hydrolysis. Furthermore, using BSA to block the enzyme binding sites on the lignin surface may alleviate the negative effects non-productive binding of enzymes on enzymatic hydrolysis [35]. As suggested in the article, enzymatic hydrolysis was optimized at 140 °C in 60% phenoxyethanol by adding BSA. BSA was added to a buffered suspension prior to the enzyme addition. The results are shown in Figure 3d. The addition of BSA considerably increased the effectiveness of enzymatic hydrolysis, resulting in an increase in hydrolysis yield from 73.09% to 82.67% while maintaining the same enzyme loading (15 FPU/g). It can be conjectured that the surface lignin and residual xylan contents may contribute to the stronger enzyme non-productive binding. Thus, we found that 140 °C with 60% phenoxyethanol was the optimal conditions for simultaneous XOS and glucose production.
3.4. Structural Characterization of Solid Residue
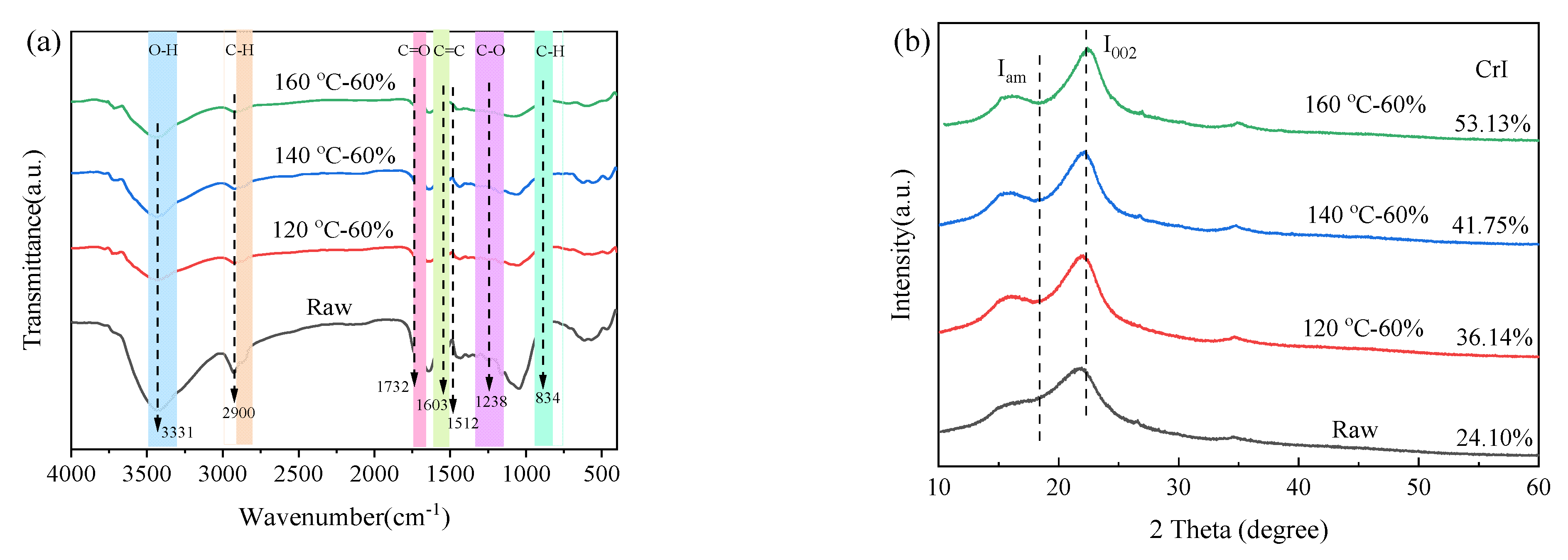
The functional group variation trend of the raw material and phenoxyethanol-MA pretreated VR was analyzed by FTIR (Figure 4a). The hydroxyl group’s (–OH) stretch vibration was seen as an absorption band at 3331 cm−1. In cellulose, hemicellulose and lignin, the hydroxyl groups and hydrogen bonds cause the -OH groups to stretch [36]. Absence of the absorption band near 1732 cm−1, which might be due to C=O bonds stretching vibrations in lignin and hemicelluloses after phenoxyethanol-MA processing, demonstrates that hemicellulose and lignin have been effectively separated [36,37]. The bands at 1603 cm−1 and 1512 cm−1, characteristic of aromatic ring vibration, were progressively weaker in the samples during the pretreatment, suggesting that more lignin was separated [38]. Additionally, the Guaiacyl’s (G) C-O bond has been considerably reduced following phenoxyethanol-MA pretreatment, which may account for the absorption band of about 1238 cm−1 [39]. The overall shifts in the aforementioned functional groups were consistent with the experimental results from the control groups and provided adequate verification of the efficacy of phenoxyethanol-MA pretreatment on simultaneous separation of lignin and hemicellulose.

Figure 4.
Characterization of different samples. (a) FTIR spectra of different samples. (b) XRD spectra and (c) SEM images of different samples.
X-ray diffraction was used to compare the crystallinity of raw and pretreated VR samples to learn how phenoxyethanol-MA treatment altered the crystal structure of the VR. The findings are shown in Table 2 and Figure 4b. Phenoxyethanol-MA processed samples had a higher CrI (36.14–53.13%), as the ratio of crystalline to amorphous cellulose was enhanced, in comparison to the raw samples (24.10%), owing to the pretreatment process. After being pretreated with phenoxyethanol-MA, VR’s BET surface area grew from 1.82 m2/g to 12.41 m2/g, and its average pore size shrank from 17.68 nm to 8.36 nm. The overall pore volume in VR after treatment increased 6.2-times (from 0.009 to 0.056 nm).
Table 2.
BET surface area, average pore size, pore volume and crystallinity (CrI) of solid residue.
SEM was used to analyze the effect of pretreatment on the surface of raw VR and phenoxyethanol-MA pretreated VR (Figure 4c). The raw VR fibers were prominent for being densely packed and reasonably smooth, neither of which facilitated cellulase accessibility. Some attached cellulose fragments were dissolved during the 120 °C, 60%. phenoxyethanol pretreatment, leading to a rougher sample surface. However, no delamination or holes formed, indicating inadequate separation of lignin and hemicellulose. In contrast, pretreatment at 140 °C and 160 °C with 60% phenoxyethanol resulted in a considerably rough surface of the VRs, followed by the formation of a large number of delamination, suggesting that most of the lignin and hemicellulose were effectively separated. The above data show that pretreated VR has a higher enzymatic hydrolysis rate because its BET surface area is larger, its cellulose crystallinity index is higher and its rough morphologies are better.
3.5. Mass Balance of Phenoxyethanol-Maleic Acid Pretreatment
This research demonstrated that XOS and glucose may be effectively co-produced using a sequential phenoxyethanol-MA pretreatment and enzymatic hydrolysis. Figure 5 shows a mass balance at the optimum conditions (140 °C, 60% phenoxyethanol) regarding XOS and glucose yields. An amount of 1000 g of dry raw VR solid (258.4 g of glucan, 237.9 g of xylan, and 252.3 g of lignin) yielded 725 g of VR containing 209.1 g of glucan, 179.5 g of xylan and 174.8 g of lignin after phenoxyethanol-MA pretreatment (140 °C, 60% phenoxyethanol). Concurrently, the pretreatment liquid yielded 28.2 g of xylose, 82.7 g of XOS and 11.9 g of low DP xylans. Using BSA to aid in the enzymatic hydrolysis of the phenoxyethanol-MA pretreatment residue, glucose output was increased to 169.6 g. Based on these findings, VR can co-produce XOS and glucose, adding to the data pool that VR may be considered for future biorefinery applications.
Figure 5.
Mass balance for phenoxyethanol-MA pretreatment process.
4. Conclusions
In brief, an effective and facile biphasic fractionation system was presented. In our study, the satisfactory of co-production of XOS and glucose from VR was experimentally verified. The highest yield of XOS achieved was 47.3% at 140 °C with 60% phenoxyethanol. Under this circumstance, simple addition of BSA raised enzymatic hydrolysis yields to 82.67%. The biphasic pretreatment led to increased pore size and crystallinity, which increasing the glucose yield. Overall, phenoxyethanol-MA pretreatment could achieve the co-production of XOS and glucose from VR, VR is a underlying biorefinery feedstocks.
Author Contributions
Y.Z.: Investigation, Writing—original draft. R.T.: Investigation, Formal analysis, Visualization, Software. Y.Y.: Supervision. Z.Y.: Writing—review and editing, Supervision. K.W.: Writing—review and editing, Supervision. Y.W.: Writing—review and editing, Supervision. P.L.: Writing—review and editing, Supervision. D.H.: Writing-review and editing, Supervision. All authors have read and agreed to the published version of the manuscript.
Funding
This work was supported by the National Natural Science Foundation of China (Grant No. 32072202) and Social Development Project of Zhenjiang (Grant No. CS2022001).
Institutional Review Board Statement
Not applicable.
Informed Consent Statement
Not applicable.
Data Availability Statement
All data generated or analyzed during this study are included in this article.
Conflicts of Interest
The authors declare that they have no known competing financial interests or personal relationships that could have appeared to influence the work reported in this paper.
References
- Wang, K.; Yu, Y.; Liu, S.; Zhu, Y.; Liu, P.; Yu, Z.; Wang, Y. A review of the current state and future prospects in resource recovery of Chinese cereal vinegar residue. Foods 2022, 11, 3256. [Google Scholar] [CrossRef]
- Xue, B.; Yang, Y.; Zhu, M.; Sun, Y.; Li, X. Lewis acid-catalyzed biphasic 2-methyltetrahydrofuran/H2O pretreatment of lignocelluloses to enhance cellulose enzymatic hydrolysis and lignin valorization. Bioresour. Technol. 2018, 270, 55–61. [Google Scholar] [CrossRef] [PubMed]
- Liu, K.; Jiang, B.; Wang, Q.; Yang, L.; Lu, B.; Li, X.; Yuan, H. Study on the conditions of pretreating vinegar residue with sodium hydroxide for simultaneous saccharification and fermentation to produce alcohol and xylose. Food Sci. Technol. Res. 2020, 26, 381–388. [Google Scholar] [CrossRef]
- Ran, G.; Li, D.; Zheng, T.; Liu, X.; Chen, L.; Cao, Q.; Yan, Z. Hydrothermal pretreatment on the anaerobic digestion of washed vinegar residue. Bioresour. Technol. 2018, 248, 265–271. [Google Scholar] [CrossRef] [PubMed]
- Yin, X.; Cai, T.; Liu, C.; Ma, Y.; Hu, J.; Jiang, J.; Wang, K. A novel solvothermal biorefinery for production of lignocellulosic xylooligosaccharides, fermentable sugars and lignin nano-particles in biphasic system. Carbohydr. Polym. 2022, 295, 119901. [Google Scholar] [CrossRef]
- Yin, X.; Wei, L.; Pan, X.; Liu, C.; Jiang, J.; Wang, K. The pretreatment of lignocelluloses with green solvent as biorefinery preprocess: A minor review. Front. Plant Sci. 2021, 12, 670061. [Google Scholar] [CrossRef]
- Yao, L.; Chen, C.; Yoo, C.G.; Meng, X.; Li, M.; Pu, Y. Insights of ethanol organosolv pretreatment on lignin properties of Broussonetia papyrifera. Acs Sustain. Chem. Eng. 2018, 6, 14767–14773. [Google Scholar] [CrossRef]
- Wang, G.; Qi, S.; Xia, Y.; Parvez, A.M.; Si, C.; Ni, Y. Mild one-pot lignocellulose fractionation based on acid-catalyzed biphasic water/phenol system to enhance components’ processability. Acs Sustain. Chem. Eng. 2020, 8, 2772–2782. [Google Scholar] [CrossRef]
- Islam, M.K.; Rehman, S.; Guan, J.; Lau, C.; Tse, H.; Yeung, C.S.; Leu, S. Biphasic pretreatment for energy and carbon efficient conversion of lignocellulose into bioenergy and reactive lignin. Appl. Energy 2021, 303, 117653. [Google Scholar] [CrossRef]
- Zhang, Q.; Deng, Y.; Tan, X.; Wang, W.; Yu, Q.; Chen, X.; Miao, C.; Guo, Y.; Zhang, Y.; Zhuang, X.; et al. Biphasic fractionation of rice straw under mild condition in acidified 2-phenoxyethanol/water system. Ind. Crop. Prod. 2020, 145, 112091. [Google Scholar] [CrossRef]
- Zheng, Y.; Yu, Y.; Lin, W.; Jin, Y.; Yong, Q.; Huang, C. Enhancing the enzymatic digestibility of bamboo residues by biphasic phenoxyethanol-acid pretreatment. Bioresour. Technol. 2021, 325, 124691. [Google Scholar] [CrossRef]
- Wang, J.; Xu, Y.; Meng, X.; Pu, Y.; Ragauskas, A.; Zhang, J. Production of xylo-oligosaccharides from poplar by acetic acid pretreatment and its impact on inhibitory effect of poplar lignin. Bioresour. Technol. 2021, 323, 124593. [Google Scholar] [CrossRef]
- Zhang, W.; You, Y.; Lei, F.; Li, P.; Jiang, J. Acetyl-assisted autohydrolysis of sugarcane bagasse for the production of xylo-oligosaccharides without additional chemicals. Bioresour. Technol. 2018, 265, 387–393. [Google Scholar] [CrossRef]
- Huang, C.; Yu, Y.; Li, Z.; Yan, B.; Pei, W.; Wu, H. The preparation technology and application of xylo-oligosaccharide as prebiotics in different fields: A review. Front. Nutr. 2022, 9, 996811. [Google Scholar] [CrossRef]
- Corim Marim, A.V.; Gabardo, S. Xylooligosaccharides: Prebiotic potential from agro-industrial residue, production strategies and prospects. Biocatal. Agric. Biotechnol. 2021, 37, 102190. [Google Scholar] [CrossRef]
- Tantayotai, P.; Gundupalli, M.P.; Katam, K.; Rattanaporn, K.; Cheenkachorn, K.; Sriariyanun, M. In-depth investigation of the bioethanol and biogas production from organic and mineral acid pretreated sugarcane bagasse: Comparative and optimization studies. Biocatal. Agric. Biotechnol. 2022, 45, 102499. [Google Scholar] [CrossRef]
- Gundupalli, M.P.; Tantayotai, P.; Chuetor, S.; Cheenkachorn, K.; Joshi, S.; Bhattacharyya, D.; Sriariyanun, M. Improvement of water hyacinth bioconversion by different organic and mineral acid pretreatment and the effect of post-pretreatment washing. BioEnergy Res. 2022. [Google Scholar] [CrossRef]
- Lian, Z.; Zhang, Q.; Xu, Y.; Zhou, X.; Jiang, K. Biorefinery cascade processing for converting corncob to xylooligosaccharides and glucose by maleic acid pretreatment. Bioresour. Technol. 2022, 194, 4946–4958. [Google Scholar] [CrossRef]
- Kootstra, A.M.J.; Beeftink, H.H.; Scott, E.L.; Sanders, J.P.M. Comparison of dilute mineral and organic acid pretreatment for enzymatic hydrolysis of wheat straw. Biochem. Eng. J. 2009, 46, 126–131. [Google Scholar] [CrossRef]
- Madadi, M.; Zahoor; Song, G. One-step lignocellulose fractionation using acid/pentanol pretreatment for enhanced fermentable sugar and reactive lignin production with efficient pentanol retrievability. Bioresour. Technol. 2022, 359, 127503. [Google Scholar] [CrossRef]
- Jia, Y.; Yang, C.; Shen, B.; Ling, Z.; Huang, C.; Li, X.; Lai, C.; Yong, Q. Comparative study on enzymatic digestibility of acid-pretreated poplar and larch based on a comprehensive analysis of the lignin-derived recalcitrance. Bioresour. Technol. 2021, 319, 124225. [Google Scholar] [CrossRef] [PubMed]
- Huang, K.; Mohan, M.; George, A.; Simmons, B.A.; Xu, Y.; Gladden, J.M. Integration of acetic acid catalysis with one-pot protic ionic liquid configuration to achieve high-efficient biorefinery of poplar biomass. Green Chem. 2021, 23, 6036–6049. [Google Scholar] [CrossRef]
- Sluiter, J.B.; Ruiz, R.O.; Scarlata, C.J.; Sluiter, A.D.; Templeton, D.W. Compositional analysis of lignocellulosic feedstocks. 1. Review and description of methods. J. Agric. Food Chem. 2010, 58, 9043–9053. [Google Scholar] [CrossRef] [PubMed]
- Dai, L.; Jiang, W.; Zhou, X.; Xu, Y. Enhancement in xylonate production from hemicellulose pre-hydrolysate by powdered activated carbon treatment. Bioresour. Technol. 2020, 316, 123944. [Google Scholar] [CrossRef] [PubMed]
- Su, Y.; Fang, L.; Wang, P.; Lai, C.; Huang, C.; Ling, Z.; Sun, S.; Yong, Q. Efficient production of xylooligosaccharides rich in xylobiose and xylotriose from poplar by hydrothermal pretreatment coupled with post-enzymatic hydrolysis. Bioresour. Technol. 2021, 342, 125955. [Google Scholar] [CrossRef]
- Lai, C.; Jia, Y.; Wang, J.; Wang, R.; Zhang, Q.; Chen, L.; Shi, H.; Huang, C.; Li, X.; Yong, Q. Co-production of xylooligosaccharides and fermentable sugars from poplar through acetic acid pretreatment followed by poly (ethylene glycol) ether assisted alkali treatment. Bioresour. Technol. 2019, 288, 121569. [Google Scholar] [CrossRef]
- Zhang, Q.; Tan, X.; Wang, W.; Yu, Q.; Wang, Q.; Miao, C.; Guo, Y.; Zhuang, X.; Yuan, Z. Screening solvents based on hansen solubility parameter theory to depolymerize lignocellulosic biomass efficiently under low temperature. Acs Sustain. Chem. Eng. 2019, 7, 8678–8686. [Google Scholar] [CrossRef]
- Liu, J.; Hu, H.; Gong, Z.; Yang, G.; Li, R.; Chen, L.; Huang, L.; Luo, X. Near-complete removal of non-cellulosic components from bamboo by 1-pentanol induced organosolv pretreatment under mild conditions for robust cellulose enzymatic hydrolysis. Cellulose 2019, 26, 3801–3814. [Google Scholar] [CrossRef]
- Liu, Y.; Li, B.; Feng, Y.; Cui, Q. Consolidated bio-saccharification: Leading lignocellulose bioconversion into the real world. Biotechnol. Adv. 2020, 40, 107535. [Google Scholar] [CrossRef]
- Brenelli, L.B.; Bhatia, R.; Djajadi, D.T.; Thygesen, L.G.; Rabelo, S.C.; Leak, D.J.; Franco, T.T.; Gallagher, J.A. Xylo-oligosaccharides, fermentable sugars, and bioenergy production from sugarcane straw using steam explosion pretreatment at pilot-scale. Bioresour. Technol. 2022, 357, 127093. [Google Scholar] [CrossRef]
- Carvalho, A.F.A.; Neto, P.D.O.; Da Silva, D.F.; Pastore, G.M. Xylo-oligosaccharides from lignocellulosic materials: Chemical structure, health benefits and production by chemical and enzymatic hydrolysis. Food Res. Int. 2013, 51, 75–85. [Google Scholar] [CrossRef]
- Lian, Z.; Wang, Y.; Luo, J.; Lai, C.; Yong, Q.; Yu, S. An integrated process to produce prebiotic xylooligosaccharides by autohydrolysis, nanofiltration and endo-xylanase from alkali-extracted xylan. Bioresour. Technol. 2020, 314, 123685. [Google Scholar] [CrossRef]
- Li, H.; Wang, B.; Wen, J.; Cao, X.; Sun, S.; Sun, R. Availability of four energy crops assessing by the enzymatic hydrolysis and structural features of lignin before and after hydrothermal treatment. Energy Convers. Manag. 2018, 155, 58–67. [Google Scholar] [CrossRef]
- Kellock, M.; Maaheimo, H.; Marjamaa, K.; Rahikainen, J.; Zhang, H.; Holopainen-Mantila, U.; Ralph, J.; Tamminen, T.; Felby, C.; Kruus, K. Effect of hydrothermal pretreatment severity on lignin inhibition in enzymatic hydrolysis. Bioresour. Technol. 2019, 280, 303–312. [Google Scholar] [CrossRef]
- Takada, M.; Chandra, R.; Wu, J.; Saddler, J.N. The influence of lignin on the effectiveness of using a chemithermomechanical pulping based process to pretreat softwood chips and pellets prior to enzymatic hydrolysis. Bioresour. Technol. 2020, 302, 122895. [Google Scholar] [CrossRef]
- Arnata, I.W.; Suprihatin, S.; Fahma, F.; Richana, N.; Sunarti, T.C. Cationic modification of nanocrystalline cellulose from sago fronds. Cellulose 2020, 27, 3121–3141. [Google Scholar] [CrossRef]
- Lim, W.; Gunny, A.A.N.; Kasim, F.H.; AlNashef, I.M.; Arbain, D. Alkaline deep eutectic solvent: A novel green solvent for lignocellulose pulping. Cellulose 2019, 26, 4085–4098. [Google Scholar] [CrossRef]
- Zhai, Q.; Li, F.; Long, F.; Wang, F.; Jiang, J.; Hse, C.; Xu, J. Integrated separation process of C5 sugars and phenolics from poplar wood using CO2-assisted hydrolysis followed by hydrogenolysis. Acs Sustain. Chem. Eng. 2019, 7, 526–536. [Google Scholar] [CrossRef]
- Yoo, C.G.; Li, M.; Meng, X.; Pu, Y.; Ragauskas, A.J. Effects of organosolv and ammonia pretreatments on lignin properties and its inhibition for enzymatic hydrolysis. Green Chem. 2017, 19, 26–216. [Google Scholar] [CrossRef]
Disclaimer/Publisher’s Note: The statements, opinions and data contained in all publications are solely those of the individual author(s) and contributor(s) and not of MDPI and/or the editor(s). MDPI and/or the editor(s) disclaim responsibility for any injury to people or property resulting from any ideas, methods, instructions or products referred to in the content. |
© 2023 by the authors. Licensee MDPI, Basel, Switzerland. This article is an open access article distributed under the terms and conditions of the Creative Commons Attribution (CC BY) license (https://creativecommons.org/licenses/by/4.0/).





