Next Article in Journal
Fermentation of Corn By-Products: From Agrifood Waste to Higher Value Antioxidant Products
Previous Article in Journal
Enhancement of Enzymatic Hydrolysis of Sugarcane Bagasse by the Combination of Delignification Pretreatment and Polysorbate 80
 
 
Font Type:
Arial Georgia Verdana
Font Size:
Aa Aa Aa
Line Spacing:
Column Width:
Background:
Article

Optimal Production of Ganoderma formosanum Mycelium with Anti-Melanogenic Activity

1
Institute of Biochemistry and Molecular Biology, National Yang Ming Chiao Tung University, Taipei 11221, Taiwan
2
Institute of Food Science and Technology, College of Bioresources and Agriculture, National Taiwan University, Taipei 10617, Taiwan
3
Institute of Biotechnology, National Taiwan University, Taipei 10617, Taiwan
4
Department of Materials Science and Engineering, School of Energy and Environment, City University of Hong Kong, Hong Kong 999077, China
5
Shenzhen Research Institute, City University of Hong Kong, Shenzhen 518057, China
6
Department of Optometry, Asia University, Taichung 41354, Taiwan
7
Department of Food Science and Biotechnology, National Chung Hsing University, Taichung 40227, Taiwan
8
Department of Medical Research, China Medical University Hospital, Taichung 404327, Taiwan
*
Authors to whom correspondence should be addressed.
Fermentation 2023, 9(4), 372; https://doi.org/10.3390/fermentation9040372
Submission received: 16 March 2023 / Revised: 8 April 2023 / Accepted: 10 April 2023 / Published: 12 April 2023

Abstract

Ganoderma formosanum is a medicinal mushroom endemic to Taiwan. The extraction of G. formosanum mycelium using ethyl acetate showed a significant reduction of melanin activity due to the inhibition of tyrosinase. To optimize the production of G. formosanum mycelium with anti-melanogenic activity, different variables (carbon sources and concentrations, initial pH value, and temperature) were investigated. According to the results, the optimal conditions included the utilization of 50 g/L lactose as the carbon source at pH 7 and 25 °C for 9 days. Afterward, the G. formosanum ethanolic extracts-optimized (GFE-O) was used to study the anti-melanogenic activity in vitro and in vivo. In B16-F10 melanoma cells treated with GFE-O (0.1 mg/mL), the intracellular melanin content was reduced to 76% compared to the control group. By applying GFE-O (0.05 mg/mL) in vivo on zebrafish embryo, hypopigmentation was observed, and the melanin content was reduced to 62% compared to the control with no toxicological effects. The results showed that the optimal inoculation conditions can provide the basis for future large-scale production of G. formosanum mycelium to maximize the extraction of anti-melanogenic ingredients.

1. Introduction

Melanin is a natural pigment formed to protect skin from UV-induced DNA damage; however, excessive melanin may cause dermatological issues such as age spots, freckles, and hyperpigmentation [1,2]. There are five types of melanin, namely eumelanin, neuromelanin, pheomelanin, promelanin, and allomelanin. Except for allomelanin, the other four types of melanin are synthesized from tyrosine by which tyrosinase is the rate-limiting enzyme of this process [3]. Tyrosinase (E.C. 1.14.18.1) is a multifunctional oxidase enzyme with copper as the cofactor and is found in most living organisms. People seek skin care agents for skin lightening, especially in Asia. Therefore, tyrosinase inhibitors are developed to reduce the melanin content, which can be of commercial value in cosmetics and other skin lightening applications [4,5,6,7,8]. There are many phytochemicals reported with tyrosinase inhibition activity, especially flavonoids such as anthocyanidins, aurones, chalcones, flavones, flavanols, isoflavones, and flavanones, which have been investigated for their ability to inhibit tyrosinase and reduce melanin formation [9]. Kojic acid, isolated from Apergillus flavus, A. oryzae, A. tamarii, and A. parasiticus, has potent tyrosinase inhibitory activity and is generally used as a standard treatment in tyrosinase inhibitors studies and as a skin whitening ingredient in skin conditionings [10]. The possible mechanisms of the above mentioned tyrosinase inhibitors are their capacity to reduce back o-dopaquinone to dopa, o-dopaquinone scavengers, alternative enzyme substrates such as some phenolic compounds, and nonspecific and specific enzyme inactivators [9].
Ganoderma species are popular medicinal mushrooms in Asia, and Ganoderma formosanum (GF) is a medicinal mushroom endemic to Taiwan. Extracts prepared from the fruiting bodies, mycelium, and cultured broth of GF have been reported to possess numerous biological activities including antiviral, antitumor, neuroprotection, immunomodulation, skin lightening, and reduction of chemotherapy side effects [4,11,12]. In previous studies, Ganoderma formosanum exopolysaccharides (GF-EPS) could inhibit tumor growth in tumor-bearing mouse through the activation of natural killer cells [12]. Further investigation indicated that GF-EPS stimulates the Th1 immune responses and ameliorates airway hyperresponsiveness [13]. Furthermore, GF-EPS activates the innate immune response of the macrophage, which protects mice from Listeria monocytogenes infection [14]. In another study, small molecules from GF mycelium were reported to have high potentials in skin lightening applications. Using the ethanolic extracts of GF (50–200 ppm), the inhibitory effects of tyrosinase could be observed in B6-F10 melanoma cells and melanin in zebrafish model [2]. Moreover, other mushrooms, such as Ganoderma weberianum, Trametes versicolor and Antrodia cinnamomea also demonstrated similar characteristics [7,8,15]. Nonetheless, a systematic study to produce an industrial scale size of GF mycelium with anti-melanogenic activity still requires further investigation.
The objective of this study is to optimize the liquid fermentation culture medium composition for improving the anti-melanogenic activity of GF mycelium extracts by using the one-step-at-a-time method. The type of carbon source (fructose, glucose, lactose and sucrose) along with their concentrations (20, 35, 50, 65, 80 g/L), initial pH (3.5, 4.5, 5.5, 6.5, 7, and 7.5), and temperature (20, 25, 30, 35, and 40 °C) are evaluated. Afterward, the obtained GF mycelium extract is further examined using B16-F10 cells and a zebrafish model to study the anti-melanogenic activity.

2. Materials and Methods

2.1. Preparation and Extraction of Ganoderma formosanum

Ganoderma formosanum (ATCC 76537; GF) was purchased from American Type culture Collection, ATCC (Manassas, VA, USA) and was cultured on a potato dextrose agar (PDA; Acumedia, Baltimore, MD, USA) plate. The mycelium (8 mm) was cut and cultured again on a PDA plate at 25 °C for another 10 days. Later, the mycelium was cut into pieces; the pieces were then used as seed inoculum for the culture optimization experiments.
The pieces of mycelium were freeze-dried and weighted. To break the cell wall of the mycelia, they were autoclaved at 121 °C for 20 min. Then, ethanol (25-fold the mycelium weight) was used in the extraction process of mycelia by stirring at room temperature for 1 h before being centrifuged at 7500× g, at 10 °C for 10 min. The supernatant was collected while the pellet was extracted again with ethanol using the same procedure. Once both supernatants were combined, they were filtered and concentrated under low pressure. Afterwards, the concentrated Ganoderma formosanum extract (GFE) was freeze-dried and stored for future experiments.

2.2. Optimization of Culture Condition

In order to obtain mycelial extracts with the best tyrosinase inhibition activity, culture condition optimization tests were conducted based on a basal medium (6.6% glucose, 0.75% yeast extract, 0.088% K2HPO4·3H2O, 0.05% MgSO4·7H2O, 0.005% Vit. B1). The carbon source, initial pH, and culture temperature were examined according to our previous report [16]. For the carbon source optimization, four types of carbohydrates (fructose, glucose, lactose, and sucrose) at different concentrations (2–8%) were tested (20, 35, 50, 65, 80 g/L). The initial pH of the medium was adjusted to 3.5, 4.5, 5.5, 6.5, 7, and 7.5 for mycelium growth [17]. In order to test the optimal temperature, the mycelium was cultivated in five different temperatures (20, 25, 30, 35, and 40 °C) [16,18]. The yield of mycelium was recorded.

2.3. Cell Culture

Murine melanoma cell line B16-F10 (BCRC 60031) was purchased from Bioresource Collection and Research Center, Hsin-Chu, Taiwan. B16-F10 cells were cultured and maintained in Dulbecco’s modified Eagle’s medium (DMEM), supplemented with 10% fetal bovine serum (FBS, Hyclone, Logan, UT, USA), 50 μg/mL of streptomycin, and 50 U/mL of penicillin were used for cells culture, and then incubated at 37 °C with 5% CO2.

2.4. Cell Viability

Cell viability was measured by the WST-1 reagent. In short, B16-F10 cells (1 × 104) were seeded in 96-well plate (Corning Inc, Corning, New York, US) and cultured overnight. GFE (10–200 ppm) was added and incubated for 48 h. Afterward, the CCK-8 reagent (Cyrusbioscience, New Taipei City, Taiwan) was used to determine cell viability according to a previous study [2]. After 24 h of incubation, the new medium containing various concentrations (10, 25, 50, 100, 200 ppm of GFE-O) of G. formosanum mycelium extract fractions were tested for the following 48 h of cultivation. Finally, the tested sample medium was decanted and refilled with WST-1 reagent for 30 min. Thermo Multiskan GO (Thermo Scientific, Waltham, MA, USA) was used for cell viability calculation. Untreated cells measured for their absorbance at 450 nm were noted as 100% viability.

2.5. Determination of Melanin

To determine the melanin content in cells, melanin was extracted according to previous reports [19,20] with modification. Briefly, the cultured B16-F10 cells were washed with PBS three times. The cells were lysed by adding 1N NaOH and treated at 60 °C for 1 h before being centrifuged. The supernatants were collected and measured using the absorbance at 405 nm and calculated against a known standard curve of commercial melanin (Sigma, St. Louis, MO, USA). The concentration of melanin was determined using a melanin solution (0–100 μg/mL) to plot the standard curve.

2.6. Tyrosinase Inhibition Assay

Tyrosinase inhibition assay was performed according to a previous study [21] using L-DOPA as a substrate of tyrosinase. Briefly, mushroom tyrosinase (50 U/mL) and GFE were mixed well before adding L-DOPA. Then the mixture was incubated for 20 min at room temperature. Kojic acid was used as a positive control. The absorbance at 475 nm was used to determine tyrosinase activity. The percent inhibition of tyrosinase activity was calculated as follows: % inhibition = [1 − (C − D)/(A − B)] × 100, while A and B represent the absorbance of vehicle control with and without tyrosinase, respectively. Alternatively, the letters C and D represent the absorbance of the experimental group with and without tyrosinase, respectively.

2.7. Maintenance of Zebrafish

Zebrafish were obtained from the TechComm Zebrafish Core, National Taiwan University (Taipei, Taiwan) and cultured at 28 °C on a 14/10 h light/dark cycle. Embryos from natural spawning, which was cultured in Danieau’s medium, was supplemented with 50 μg/mL of penicillin and 50 μg/mL of streptomycin at 28 °C [2]. All zebrafish maintenance followed the guidelines for the use of laboratory animals and was approved by the Institutional Animal Care and Use Committee at National Taiwan University (IACUC number: NTU105-EL-00082).

2.8. In Vivo Safety Evaluation

Before the investigation of melanogenic inhibitory activity in vivo, the GFE was tested on the safety of zebrafish by measuring the survival rate and heart rate. Synchronized and dechorionated zebrafish embryos (7–55 h post fertilization, hpf) were treated with tested extracts at various concentrations in 96-well plates (3 embryos/well) containing 0.2 mL of Danieau’s buffer. The heart rate of zebrafish at 55 hpf was measured by video recording and counting with camera (DFK 23U274, The Image Source, Taipei, Taiwan) under a stereomicroscope (Olympus-SZ61, Olympus Optical Co., Tokyo, Japan). Meanwhile, the survival rate of zebrafish was recorded. The obtained results were represented as average heart rate per minute and compared with vehicle control.

2.9. Anti-Melanogenic Assay In Vivo: Phenotype-Based Evaluation

The phenotype-based evaluation of zebrafish was performed according to a previous study [21]. Briefly, the embryo was placed into a 96-well (3 embryos/well) with 0.2 mL Danieau’s medium. From 7 to 55 hpf, the medium was replaced daily with a new medium containing the GFE (in 1% DMSO) or vehicle control (1% DMSO). Kojic acid was used as positive treatment in this assay. The pigmentation of zebrafish was observed under the stereomicroscope when replacing the medium. After 48 h of treatment, the zebrafish were anesthetized using tricaine methanesulfonate solution (Sigma, St. Louis, MO, USA) and then mounted on 2% methyl cellulose on top of a depression slide. The images under stereomicroscope (Olympus-SZ61, Olympus Optical Co., Tokyo, Japan) were taken via a camera (DFK 23U274, The Image Source, Taipei, Taiwan).

2.10. Anti-Melanogenic Assay In Vivo: Melanin Content Measurement

To evaluate the anti-melanogenic effects of GFE in vivo, zebrafish embryos were treated with GFE from 7 to 55 h after fertilization (hpf) to measure the melanin content and evaluate the phenotype. The anti-melanogenic effects of GFE were tested according to a previous report [21]. Briefly, after 7 hpf incubation, the zebrafish culture medium was replaced with a new medium containing the GFE (in 1% DMSO) or vehicle (1% DMSO) (at least about 35 synchronized zebrafish embryos/treatment group). After the treatment, Tissue PE LBTM lysis buffer (G-BIOSCIENCES, Maryland Heights, MO, USA) supplemented with protease inhibitor was used for homogenization. The amount of protein was quantified by Bradford assay using bovine serum albumin as a standard. The melanin content was determined as previously described and normalized with protein content.

2.11. Statistics

All the data were obtained from at least three independent experiments and expressed as means ± SD. Statistical analysis was performed by ANOVA with Duncan’s multiple range test. Means with different letters indicate that they are significantly different (p < 0.05).

3. Results

3.1. Optimization of Submerged Fermentation Conditions

To obtain GFE with the best anti-melanogenic activity, culture condition optimization assays were conducted. Four factors were considered, including the initial pH of culture medium, carbon source, carbohydrate concentration, and culture temperature. All the designed conditions were tested under a nine-day culture according to our previous study [16].
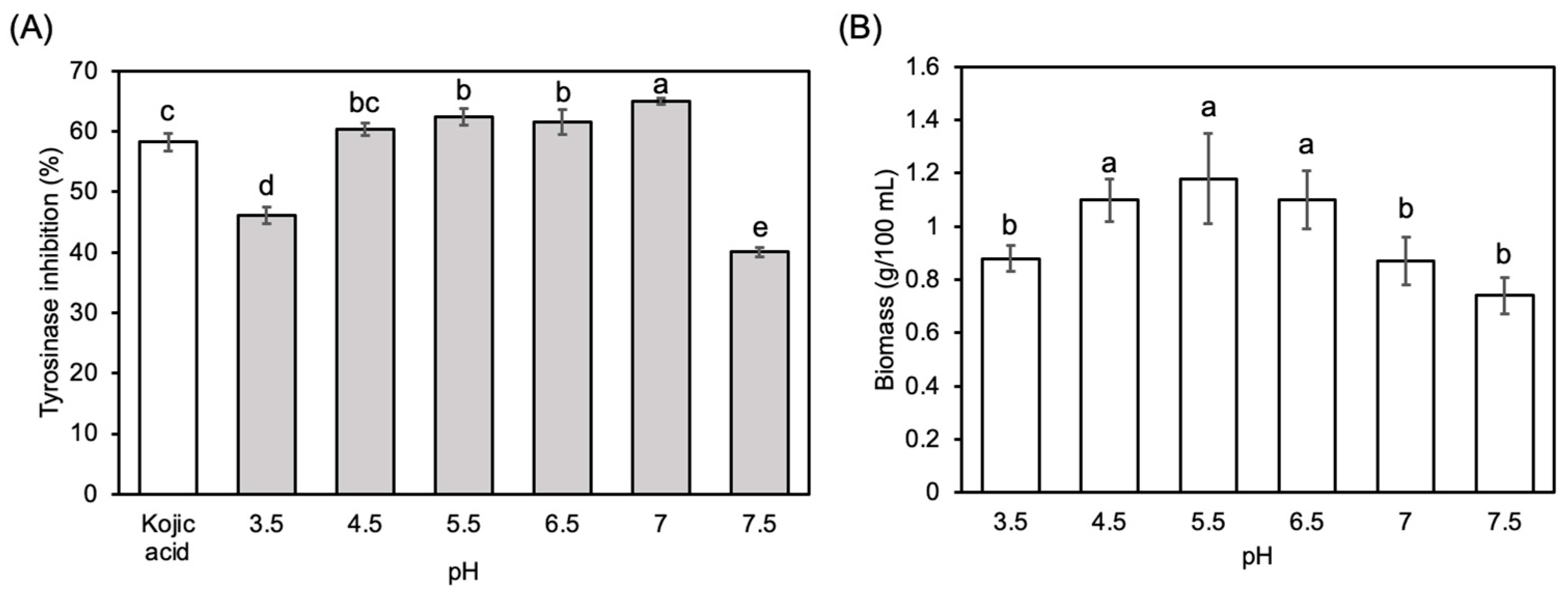
The initial pH was reported to be the factor affecting the growth of GF, including the biomass of mycelia and metabolites production. We first investigated the initial pH for GFE with the best tyrosinase inhibition activity. The results showed that when the pH was increased from 3.5 to 5.5, the tyrosinase inhibition activity of GFE also increased from 46% to 62% (Figure 1A). The tyrosinase inhibitory activity was comparable when the starting pH was at 5.5 and 6.5. When the starting pH was adjusted to 7, the GFE showed the maximum tyrosinase inhibition activity of 65% (p < 0.05). However, when the initial pH was increased to 7.5, the tyrosinase inhibition from GFE was the lowest. When the pH range was between 3.5 and 5.5, the biomass of GF-EPS increased. On the other hand, when the pH range was between pH 5.5 and 7, the biomass slightly decreased (Figure 1B). Based on the obtained results, the initial pH 7 was adopted for future experiments.
Four carbon sources, glucose, fructose, lactose, and sucrose, at 5 concentrations (20, 35, 50, 65, and 80 g/L) were tested to determine the GFE with the best tyrosinase inhibition activity (Figure 2). As the glucose and fructose concentration increased, the mycelium biomass also increased. However, the maximum biomass occurred when the glucose and fructose concentrations were 65 g/L, and higher concentration (80 g/L) of the sugars led to a decline of biomass. On the other hand, a gradual increase in lactose and sucrose concentrations (20–80g/L) resulted in the growth of biomass.
Further studies to analyze tyrosinase showed that GFE obtained from 50 g/L of lactose showed the most superior inhibitory activity compared to other carbon sources (28.3–48.3%), while that from sucrose displayed the least. Meanwhile, the ones obtained from either 35 g/L of glucose or fructose possessed relatively high tyrosinase inhibition activity (26.9% and 14.1%, respectively). Therefore, lactose (50 g/L) was selected as the condition for future investigations.
Using various temperatures to study the tyrosinase inhibition activity of GFE, the results indicated that 20 °C and 25 °C showed similar tyrosinase inhibition activity to kojic acid (0.25 mg/mL) (Figure 3A). In addition, an increase of mycelium biomass could be observed as the temperature rose from 20 °C to 30 °C, but no biomass growth was observed at 35 °C and beyond (Figure 3B). According to the yield and tyrosinase inhibition activity, 25 °C was selected as the optimized culture temperature. Consequently, the optimized condition for GFE-optimized (GFE-O) is comprised of lactose 50 g/L, with the initial pH 7 at 25 °C for 9 days (Table 1).

3.2. Study of Anti-Melanogenic Activity In Vitro

The GFE-O was further tested for anti-melanogenic effects in vitro. In the study, B16-F10 cells were treated with GFE-O (10–200 ppm) for 48 h. According to the results, there was no significant cell death in GFE-O treated cells (Figure 4A). Then, a comparative study between GFE-O and kojic acid was conducted on B16-F10 cells to analyze the melanin content; the results are expressed as the relative melanin content of a single cell. Based on the finding, the melanin content of GFE-treated (100 ppm) cells is 76.25 ± 9.82%, while the melanin activity of kojic acid-treated (50 ppm) cells is about 50%, compared to vehicle control (Figure 4B). The results show that GFE obtained from the optimized culture condition possesses inhibitory effects on melanin production in B16-F10 cells with no significant cytotoxicity.

3.3. Study of Anti-Melanogenic Activity In Vivo

The in vivo safety assessment of GFE-O in zebrafish was evaluated by the embryo mortality, heart rate, and morphology at 55 hpf. The results showed that the survival rate and heart rate of zebrafish from GFE-O (50 ppm) were similar to that of the control group (Figure 5A,B). Furthermore, the morphologic observation results indicated that the size and tail shape (curved trunk or tail bending) were not observed after GFE-O treatment (Figure 5C). The melanin content was further analyzed to evaluate the anti-melanogenic activity of GFE-O in zebrafish. The results illustrated that both GFE-O (50 ppm) and kojic acid (40 ppm) treatment for 48 h significantly reduced the melanin content to 62.0% and 40.23%, respectively (p < 0.01) (Figure 5).

4. Discussion

Skin-lightening products can reduce the pigment named melanin in skin. Most people who use the products use them to treat skin problems such as blemish, age spots, acne scars, or tanning. Although numerous skin lightening agents have been discovered, the discovery of comparative natural and safe skin lightening agents are necessary due to the concerns about adverse effects of current skin lightening products. For example, the extract from A. cinnamomea mycelia exhibited anti-melanogenesis activity. Fifty percent of ethanol extracted fraction reduced 30% intracellular melanin of B16-F10 cells through the suppression of both tyrosinase activity and its protein expression. G. formosanum is a precious and rare endemic mushroom of Taiwan and only grows on the endemic evergreen Liquidamber formosana [4]. G. formosanum mycelium extracts have been proven to possess numerous bioactive components such as polysaccharides, triterpenes, meroterpenoids, steroids, alkaloids, nucleosides, and nucleobases, which are beneficial to human health [2,4,11].
In this study, the one-step-at-a-time method was adopted for optimizing the growth of G. formosanum while producing metabolites with skin-lightening effect simultaneously. The optimal cultivation condition of G. formosanum was the utilization of 50 g/L lactose as the carbon source at pH 7 and 25 °C for 9 days. The yield and composition of mycelium produced by mushrooms are affected by the carbon sources provided. In our previous study, the mycelial biomass yield was higher when fructose was used instead of lactose, sucrose, or glucose as the carbon source [16]. The final mycelium production from optimal medium is 17.5 g/L, which is 1.13 times higher than that from basic medium. In this study, the yield of mycelium biomass increased proportionally to the carbon sources concentration (20 to 80 g/L). The final mycelium production from optimal medium reached 11.5 g/L. However, the increase of tyrosinase inhibition activity did not positively correspond with the increase of biomass as hypothesized. One possible reason may be due to the high concentration of carbon source. A study reported that the growth of mycelium and production of metabolites was suppressed when the concentration of carbon sources was greater than 35 g/L. This phenomenon was caused by the decrease of dissolved oxygen and rise of osmotic pressure [22], which could explain the inconsistent trend of biomass and tyrosinase activity observed in this study. Another possible reason is that the produced anti-melanogenesis compounds are secondary metabolites that are produced only at the late stationary phase under stress [23]. When monosaccharides such as glucose and fructose were utilized as carbon source, the tyrosinase activity from the extract was much lower than kojic acid. However, when sucrose was used as the carbon source, the tyrosinase inhibition activity of GFE could only be observed when G. formosanum mycelium grew at 35 g/L. The tyrosinase inhibition activity of GFE was the highest when lactose was used, compared to other carbohydrates in this study. This finding suggests that G. formosanum can also utilize galactose, a composition of lactose, for growth as well as production of metabolites that possess tyrosinase inhibition activity.
As previous studies suggested, B16-F10 melanoma cells were adopted as a platform for the discovery of melanogenic inhibitors [8]. Our results showed that GFE can inhibit melanin synthesis by suppressing the level of tyrosinase activity in B16-F10 melanoma cells and the tyrosinase inhibitory effect of GFE is slightly less than that of kojic acid in the cell model (Figure 3 and Figure 4B). Meanwhile, kojic acid is a fungal metabolite that is one of the most broadly used ingredients in skin-whitening cosmetic industry [24]. However, the limited application of kojic acid lies in its instability in an aerobic environment and light. Moreover, the use of kojic acid is prohibited in skin care in Japan due to its potential carcinogenic activity [25]. Finding substitutes is therefore becoming important. Nevertheless, the results indicate that GFE is effective in improving hypopigmentation and has potential as a skin-whitening ingredient with less cytotoxicity. Our results suggest that GFE is comparable to other medicinal mushrooms, Ophiocordyceps sinensis [26], Cordyceps militaris [27], and some Ganoderma species [28], plant extracts such as Achillea biebersteinii extract [29] and even pure compounds [30]. For example, Strzępek-Gomółka et al. reported that Achillea biebersteinii extract exhibited excellent anti-tyrosinae activity, and, meanwhile, fraxetin-8-O-glucoside, quercetin-O-glucopyranose, schaftoside/isoschaftoside, gmelinin B, 1,3-dicaffeoylquinic acid (1,3-DCQA), and ferulic acid were found in the fractions with the highest skin lightening potential by using HPLC-ESI-Q-TOF-MS/MS analysis [29].
The obstacles of traditional in vivo animal tests, such as mouse models, is that it is laborious, uneconomic, and compound-consuming. Hence, zebrafish have gradually become a popular animal model for biochemical studies due to their physiological and genetic similarity to mammals as well as small size, which contributes to easy handling and maintenance. Furthermore, using zebrafish as a study model can easily achieve a large number of sample size and high efficiency since the testing samples can penetrate through the skin and gills [31]. Moreover, direct image analysis is a useful tool to examine the physiological phenotyping of zebrafish [31]. The embryo of zebrafish can be used to screen biological active components by observing the heart rate and survival rate of a fertilized egg. Heart rate is an important factor in determining the toxicity of testing materials because the heart is the first organ to develop in zebrafish [32]. In this study, in which zebrafish embryos were treated with GFE-O samples, the survival rate (Figure 5A) and heart rate (Figure 5B) are comparable between vehicle control, kojic acid (40 mM; 5600 ppm), and GFE-O (50 ppm) groups. The results suggest that there is no significant toxicity from GFE-O. Since the zebrafish are almost transparent in the early stage of post fertilization, the melanin pigments can be observed on the surface of zebrafish without any complicated experimental procedures [33,34]. According to this study, the surface pigmentation study is conducted after 48 h of treatment (55 hpf). The finding indicates that GFE-O can suppress one-third of melanin content compared to vehicle control (Figure 5C,D). Above all, the in vivo zebrafish system can provide strong evidence for GFE’s effectiveness in hypopigmentation.

5. Conclusions

This study focuses on the medium optimization process to identify the optimal culture condition for G. formosanum mycelium ethanolic extracts (GFE-O) with tyrosinase inhibition activity. According to the result, lactose (50 g/L) was chosen as the carbon source. Moreover, the initial pH and temperature of the culture medium were adjusted to 7 and 25 °C, respectively. The samples were inoculated for 9 days. In B16-F10 melanoma cells treated with GFE-O (0.1 mg/mL), the intracellular melanin content was reduced to 76% compared to the control group. By applying GFE-O (0.05 mg/mL) in vivo on zebrafish embryo, hypopigmentation was observed, and the melanin content was reduced to 62% compared to the control with no toxicological effects. The results are comparable to the one from the commercial compound—kojic acid. Future studies may examine the scale-up submerged fermentation system of G. formosanum mycelium for commercial purposes. It should also be noted that additional research is vital to identify the active ingredients within the extracts on human skin care.

Author Contributions

Methodology, H.-Y.C. and H.-W.L.; validation, H.-Y.C. and H.-Y.H.; formal analysis, Y.-W.L. and H.-W.L.; investigation, C.-M.L. and D.K.; resources, C.-W.H. and K.-C.C.; data curation, Y.-W.L. and C.-M.L.; writing—original draft, Y.-W.L., C.-M.L. and H.-W.L.; Writing—review and editing, D.K., H.-Y.H., C.-W.H. and K.-C.C.; supervision, H.-Y.C., H.-Y.H., K.-C.C. and C.-W.H.; project administration, H.-W.L. and K.-C.C.; funding acquisition, C.-W.H. and K.-C.C. All authors have read and agreed to the published version of the manuscript.

Funding

This work was funded by the National Science and Technology Council, Taiwan (MOST 106-2628-E-002-009-MY3 and 109-2628-E-002-007-MY3).

Institutional Review Board Statement

All zebrafish maintenance followed the guidelines for the use of laboratory animals and was approved by the Institutional Animal Care and Use Committee at National Taiwan University (IACUC number: NTU105-EL-00082).

Informed Consent Statement

Not applicable.

Data Availability Statement

The data that support the findings of this study are provided in this article.

Conflicts of Interest

The authors declare no conflict of interest.

References

  1. Brenner, M.; Hearing, V.J. The Protective Role of Melanin against UV Damage in Human Skin. Photochem. Photobiol. 2008, 84, 539–549. [Google Scholar] [CrossRef] [PubMed]
  2. Hsu, K.-D.; Chen, H.-J.; Wang, C.-S.; Lum, C.-C.; Wu, S.-P.; Lin, S.-P.; Cheng, K.-C. Extract of Ganoderma Formosanum Mycelium as a Highly Potent Tyrosinase Inhibitor. Sci. Rep. 2016, 6, 32854. [Google Scholar] [CrossRef] [PubMed]
  3. Cao, W.; Zhou, X.; McCallum, N.C.; Hu, Z.; Ni, Q.Z.; Kapoor, U.; Heil, C.M.; Cay, K.S.; Zand, T.; Mantanona, A.J.; et al. Unraveling the Structure and Function of Melanin through Synthesis. J. Am. Chem. Soc. 2021, 143, 2622–2637. [Google Scholar] [CrossRef] [PubMed]
  4. Hsu, K.-D.; Cheng, K.-C. From Nutraceutical to Clinical Trial: Frontiers in Ganoderma Development. Appl. Microbiol. Biotechnol. 2018, 102, 9037–9051. [Google Scholar] [CrossRef]
  5. Lo, Y.-H.; Lin, R.-D.; Lin, Y.-P.; Liu, Y.-L.; Lee, M.-H. Active Constituents from Sophora Japonica Exhibiting Cellular Tyrosinase Inhibition in Human Epidermal Melanocytes. J. Ethnopharmacol. 2009, 124, 625–629. [Google Scholar] [CrossRef]
  6. Wang, K.-H.; Lin, R.-D.; Hsu, F.-L.; Huang, Y.-H.; Chang, H.-C.; Huang, C.-Y.; Lee, M.-H. Cosmetic Applications of Selected Traditional Chinese Herbal Medicines. J. Ethnopharmacol. 2006, 106, 353–359. [Google Scholar] [CrossRef]
  7. Lai, Y.-J.; Hsu, K.-D.; Huang, T.-J.; Hsieh, C.-W.; Chan, Y.-H.; Cheng, K.-C. Anti-Melanogenic Effect from Submerged Mycelial Cultures of Ganoderma weberianum. Mycobiology 2019, 47, 112–119. [Google Scholar] [CrossRef]
  8. Chen, H.-Y.; Cheng, K.-C.; Wang, H.-T.; Hsieh, C.-W.; Lai, Y.-J. Extracts of Antrodia Cinnamomea Mycelium as a Highly Potent Tyrosinase Inhibitor. J. Cosmet. Dermatol. 2021, 20, 2341–2349. [Google Scholar] [CrossRef]
  9. Obaid, R.J.; Mughal, E.U.; Naeem, N.; Sadiq, A.; Alsantali, R.I.; Jassas, R.S.; Moussa, Z.; Ahmed, S.A. Natural and Synthetic Flavonoid Derivatives as New Potential Tyrosinase Inhibitors: A Systematic Review. RSC Adv. 2021, 11, 22159–22198. [Google Scholar] [CrossRef]
  10. Saeedi, M.; Eslamifar, M.; Khezri, K. Kojic Acid Applications in Cosmetic and Pharmaceutical Preparations. Biomed. Pharmacother. 2019, 110, 582–593. [Google Scholar] [CrossRef]
  11. Chiang, C.-Y.; Hsu, K.-D.; Lin, Y.-Y.; Hsieh, C.-W.; Liu, J.-M.; Lu, T.-Y.; Cheng, K.-C. The Antiproliferation Activity of Ganoderma Formosanum Extracts on Prostate Cancer Cells. Mycobiology 2020, 48, 219–227. [Google Scholar] [CrossRef]
  12. Kuo, H.-C.; Liu, Y.-W.; Lum, C.-C.; Hsu, K.-D.; Lin, S.-P.; Hsieh, C.-W.; Lin, H.-W.; Lu, T.-Y.; Cheng, K.-C. Ganoderma formosanum Exopolysaccharides Inhibit Tumor Growth via Immunomodulation. Int. J. Mol. Sci. 2021, 22, 11251. [Google Scholar] [CrossRef] [PubMed]
  13. Pi, C.-C.; Wang, H.-Y.; Lu, C.-Y.; Lu, F.L.; Chen, C.-J. Ganoderma Formosanum Polysaccharides Attenuate Th2 Inflammation and Airway Hyperresponsiveness in a Murine Model of Allergic Asthma. Springerplus 2014, 3, 297. [Google Scholar] [CrossRef]
  14. Wang, C.-L.; Pi, C.-C.; Kuo, C.-W.; Zhuang, Y.-J.; Khoo, K.-H.; Liu, W.-H.; Chen, C.-J. Polysaccharides Purified from the Submerged Culture of Ganoderma Formosanum Stimulate Macrophage Activation and Protect Mice against Listeria Monocytogenes Infection. Biotechnol. Lett. 2011, 33, 2271–2278. [Google Scholar] [CrossRef]
  15. Chou, C.; Tsai, M.; Lu, H.; Chang, C.; Cheng, K.; Jhan, M.; Hsieh, C. Enzymatic Hydrolysates Obtained from Trametes Versicolor Polysaccharopeptides Protect Human Skin Keratinocyte against AAPH-induced Oxidative Stress and Inflammatory. J. Cosmet. Dermatol. 2019, 18, 2011–2018. [Google Scholar] [CrossRef] [PubMed]
  16. Hsu, K.-D.; Wu, S.-P.; Lin, S.-P.; Lum, C.-C.; Cheng, K.-C. Enhanced Active Extracellular Polysaccharide Production from Ganoderma Formosanum Using Computational Modeling. J. Food Drug Anal. 2017, 25, 804–811. [Google Scholar] [CrossRef] [PubMed]
  17. Fang, Q.-H.; Zhong, J.-J. Effect of Initial PH on Production of Ganoderic Acid and Polysaccharide by Submerged Fermentation of Ganoderma lucidum. Process Biochem. 2002, 37, 769–774. [Google Scholar] [CrossRef]
  18. Yang, F.-C.; Liau, C.-B. Effects of Cultivating Conditions on the Mycelial Growth of Ganoderma Lucidum in Submerged Flask Cultures. Bioprocess Eng. 1998, 19, 233–236. [Google Scholar] [CrossRef]
  19. Lin, R.-D.; Chen, M.-C.; Liu, Y.-L.; Lin, Y.-T.; Lu, M.-K.; Hsu, F.-L.; Lee, M.-H. New Whitening Constituents from Taiwan-Native Pyracantha koidzumii: Structures and Tyrosinase Inhibitory Analysis in Human Epidermal Melanocytes. Int. J. Mol. Sci. 2015, 16, 28598–28613. [Google Scholar] [CrossRef]
  20. Satooka, H.; Cerda, P.; Kim, H.-J.; Wood, W.-F.; Kubo, I. Effects of matsutake mushroom scent compounds on tyrosinase and murine B16-F10 melanoma cells. Biochem. Biophys. Res. Commun. 2017, 487, 840–846. [Google Scholar] [CrossRef]
  21. Hsu, K.-D.; Chan, Y.-H.; Chen, H.-J.; Lin, S.-P.; Cheng, K.-C. Tyrosinase-Based TLC Autography for Anti-Melanogenic Drug Screening. Sci. Rep. 2018, 8, 401. [Google Scholar] [CrossRef] [PubMed]
  22. Fang, Q.-H.; Zhong, J.-J. Submerged Fermentation of Higher Fungus Ganoderma Lucidum for Production of Valuable Bioactive Metabolites—Ganoderic Acid and Polysaccharide. Biochem. Eng. J. 2002, 10, 61–65. [Google Scholar] [CrossRef]
  23. Wang, Z.; Feng, X.; Liu, C.; Gao, J.; Qi, J. Diverse Metabolites and Pharmacological Effects from the Basidiomycetes Inonotus Hispidus. Antibiotics 2022, 11, 1097. [Google Scholar] [CrossRef] [PubMed]
  24. Phasha, V.; Senabe, J.; Ndzotoyi, P.; Okole, B.; Fouche, G.; Chuturgoon, A. Review on the Use of Kojic Acid—A Skin-Lightening Ingredient. Cosmetics 2022, 9, 64. [Google Scholar] [CrossRef]
  25. Zilles, J.C.; dos Santos, F.L.; Kulkamp-Guerreiro, I.C.; Contri, R.V. Biological Activities and Safety Data of Kojic Acid and Its Derivatives: A Review. Exp. Dermatol. 2022, 31, 1500–1521. [Google Scholar] [CrossRef]
  26. Tang, C.-Y.; Wang, J.; Liu, X.; Chen, J.-B.; Liang, J.; Wang, T.; Simpson, W.R.; Li, Y.-L.; Li, X.-Z. Medium Optimization for High Mycelial Soluble Protein Content of Ophiocordyceps Sinensis Using Response Surface Methodology. Front. Microbiol. 2022, 13, 1055055. [Google Scholar] [CrossRef]
  27. Prommaban, A.; Sriyab, S.; Marsup, P.; Neimkhum, W.; Sirithunyalug, J.; Anuchapreeda, S.; To-anun, C.; Chaiyana, W. Comparison of Chemical Profiles, Antioxidation, Inhibition of Skin Extracellular Matrix Degradation, and Anti-Tyrosinase Activity between Mycelium and Fruiting Body of Cordyceps militaris and Isaria tenuipes. Pharm. Biol. 2022, 60, 225–234. [Google Scholar] [CrossRef]
  28. Sułkowska-Ziaja, K.; Zengin, G.; Gunia-Krzyżak, A.; Popiół, J.; Szewczyk, A.; Jaszek, M.; Rogalski, J.; Muszyńska, B. Bioactivity and Mycochemical Profile of Extracts from Mycelial Cultures of Ganoderma spp. Molecules 2022, 27, 275. [Google Scholar] [CrossRef]
  29. Strzępek-Gomółka, M.; Gaweł-Bęben, K.; Angelis, A.; Antosiewicz, B.; Sakipova, Z.; Kozhanova, K.; Głowniak, K.; Kukula-Koch, W. Identification of Mushroom and Murine Tyrosinase Inhibitors from Achillea Biebersteinii Afan. Extract. Molecules 2021, 26, 964. [Google Scholar] [CrossRef]
  30. Boo, Y.C. Human Skin Lightening Efficacy of Resveratrol and Its Analogs: From in Vitro Studies to Cosmetic Applications. Antioxidants 2019, 8, 332. [Google Scholar] [CrossRef]
  31. MacRae, C.A.; Peterson, R.T. Zebrafish as a Mainstream Model for In Vivo Systems Pharmacology and Toxicology. Annu. Rev. Pharmacol. Toxicol. 2023, 63, 43–64. [Google Scholar] [CrossRef] [PubMed]
  32. Ling, D.; Chen, H.; Chan, G.; Lee, S.M.-Y. Quantitative Measurements of Zebrafish Heartrate and Heart Rate Variability: A Survey between 1990–2020. Comput. Biol. Med. 2022, 142, 105045. [Google Scholar] [CrossRef] [PubMed]
  33. Logan, D.W.; Burn, S.F.; Jackson, I.J. Regulation of Pigmentation in Zebrafish Melanophores. Pigment Cell Res. 2006, 19, 206–213. [Google Scholar] [CrossRef] [PubMed]
  34. Choi, T.-Y.; Kim, J.-H.; Ko, D.H.; Kim, C.-H.; Hwang, J.-S.; Ahn, S.; Kim, S.Y.; Kim, C.-D.; Lee, J.-H.; Yoon, T.-J. Zebrafish as a New Model for Phenotype-Based Screening of Melanogenic Regulatory Compounds. Pigment Cell Res. 2007, 20, 120–127. [Google Scholar] [CrossRef] [PubMed]
Figure 1. Ganoderma formosanum submerged fermentation using culture medium at different initial pH. (A) Tyrosinase inhibition activity of G. formosanum extracts (GFE; 1 mg/mL) obtained from medium with different initial pH. Kojic acid (0.25 mg/mL) was used as a positive control. (B) Biomass of GF-EPS obtained from medium with different initial pH. Means with different letters indicate that they are significantly different (p < 0.05).
Figure 1. Ganoderma formosanum submerged fermentation using culture medium at different initial pH. (A) Tyrosinase inhibition activity of G. formosanum extracts (GFE; 1 mg/mL) obtained from medium with different initial pH. Kojic acid (0.25 mg/mL) was used as a positive control. (B) Biomass of GF-EPS obtained from medium with different initial pH. Means with different letters indicate that they are significantly different (p < 0.05).
Fermentation 09 00372 g001
Figure 2. Culture medium supplied with different carbon sources for Ganoderma formosanum submerged fermentation. (A) Tyrosinase inhibition activity of G. formosanum extracts (GFE; 1 mg/mL) obtained from medium containing glucose, fructose, lactose, and sucrose (20–80 g/L). Kojic acid (0.25 mg/mL) was used as the positive control. (B) Biomass of GF-EPS obtained from different carbon sources. Means with different letters indicate that they are significantly different (p < 0.05).
Figure 2. Culture medium supplied with different carbon sources for Ganoderma formosanum submerged fermentation. (A) Tyrosinase inhibition activity of G. formosanum extracts (GFE; 1 mg/mL) obtained from medium containing glucose, fructose, lactose, and sucrose (20–80 g/L). Kojic acid (0.25 mg/mL) was used as the positive control. (B) Biomass of GF-EPS obtained from different carbon sources. Means with different letters indicate that they are significantly different (p < 0.05).
Fermentation 09 00372 g002
Figure 3. Investigation of tyrosinase inhibition activity from Ganoderma formosanum at different temperatures. (A) Tyrosinase inhibition activity of G. formosanum extracts (GFE; 1 mg/mL) at different culture temperatures. Kojic acid (0.25 mg/mL) was used as a positive control. (B) Biomass of GF-EPS from different carbon sources. Means with different letters indicate that they are significantly different (p < 0.05).
Figure 3. Investigation of tyrosinase inhibition activity from Ganoderma formosanum at different temperatures. (A) Tyrosinase inhibition activity of G. formosanum extracts (GFE; 1 mg/mL) at different culture temperatures. Kojic acid (0.25 mg/mL) was used as a positive control. (B) Biomass of GF-EPS from different carbon sources. Means with different letters indicate that they are significantly different (p < 0.05).
Fermentation 09 00372 g003
Figure 4. Ganoderma formosanum cultured under optimized fermentation conditions. (A) Cell viability of B6-F10 cells treated with G. formosanum extracts obtained from optimal fermentation conditions (GFE-O; 10–200 ppm). (B) Relative melanin content of B6-F10 cells treated with kojic acid (50 ppm) and GFE-O (100 ppm). Means with different letters indicate that they are significantly different (p < 0.05).
Figure 4. Ganoderma formosanum cultured under optimized fermentation conditions. (A) Cell viability of B6-F10 cells treated with G. formosanum extracts obtained from optimal fermentation conditions (GFE-O; 10–200 ppm). (B) Relative melanin content of B6-F10 cells treated with kojic acid (50 ppm) and GFE-O (100 ppm). Means with different letters indicate that they are significantly different (p < 0.05).
Fermentation 09 00372 g004
Figure 5. Anti-melanogenic effects of optimal cultured Ganoderma formosanum on zebrafish. Zebrafish were treated with vehicle as control, kojic acid (40 mM), and GFE-O (50 ppm) for 48 h. Survival rate (A) and heart rate (B) of zebrafish embryos were analyzed as % of control. (C) Representative images of zebrafish embryos treated with GFE-O (50 ppm) and kojic acid (40 mM) at 55 h post fertilization (hpf) (48 h treatment). Depigmenting efficacy of GFE and kojic acid on zebrafish were photographed under stereomicroscope at the same magnification. (1) Zebrafish embryo without treatment as a control, (2) 40 mM kojic acid as a positive control, (3) 50 ppm GFE. (D) The melanin content was analyzed and expressed as % of the vehicle as control. Means with different letters indicate that they are significantly different (p < 0.05). the data were obtained from at least three independent experiments and expressed as means ± SD. Means with different letters indicate that they are significantly different (p < 0.05).
Figure 5. Anti-melanogenic effects of optimal cultured Ganoderma formosanum on zebrafish. Zebrafish were treated with vehicle as control, kojic acid (40 mM), and GFE-O (50 ppm) for 48 h. Survival rate (A) and heart rate (B) of zebrafish embryos were analyzed as % of control. (C) Representative images of zebrafish embryos treated with GFE-O (50 ppm) and kojic acid (40 mM) at 55 h post fertilization (hpf) (48 h treatment). Depigmenting efficacy of GFE and kojic acid on zebrafish were photographed under stereomicroscope at the same magnification. (1) Zebrafish embryo without treatment as a control, (2) 40 mM kojic acid as a positive control, (3) 50 ppm GFE. (D) The melanin content was analyzed and expressed as % of the vehicle as control. Means with different letters indicate that they are significantly different (p < 0.05). the data were obtained from at least three independent experiments and expressed as means ± SD. Means with different letters indicate that they are significantly different (p < 0.05).
Fermentation 09 00372 g005
Table 1. Mycelia yield and tyrosinase inhibition rate after using the optimized culture conditions.
Table 1. Mycelia yield and tyrosinase inhibition rate after using the optimized culture conditions.
Group *Biomass (g/100 mL)Tyrosinase Inhibition (%)
Control (basal medium)1.02 ± 0.0215.6 ± 1.81
Optimal medium1.15 ± 0.0553.4 ± 3.82
* Data was expressed as mean ± standard deviation (n = 3).
Disclaimer/Publisher’s Note: The statements, opinions and data contained in all publications are solely those of the individual author(s) and contributor(s) and not of MDPI and/or the editor(s). MDPI and/or the editor(s) disclaim responsibility for any injury to people or property resulting from any ideas, methods, instructions or products referred to in the content.

Share and Cite

MDPI and ACS Style

Liu, Y.-W.; Liu, C.-M.; Chen, H.-Y.; Khumsupan, D.; Hsu, H.-Y.; Lin, H.-W.; Hsieh, C.-W.; Cheng, K.-C. Optimal Production of Ganoderma formosanum Mycelium with Anti-Melanogenic Activity. Fermentation 2023, 9, 372. https://doi.org/10.3390/fermentation9040372

AMA Style

Liu Y-W, Liu C-M, Chen H-Y, Khumsupan D, Hsu H-Y, Lin H-W, Hsieh C-W, Cheng K-C. Optimal Production of Ganoderma formosanum Mycelium with Anti-Melanogenic Activity. Fermentation. 2023; 9(4):372. https://doi.org/10.3390/fermentation9040372

Chicago/Turabian Style

Liu, Yen-Wenn, Chi-Mei Liu, Hung-Yueh Chen, Darin Khumsupan, Hsien-Yi Hsu, Hui-Wen Lin, Chang-Wei Hsieh, and Kuan-Chen Cheng. 2023. "Optimal Production of Ganoderma formosanum Mycelium with Anti-Melanogenic Activity" Fermentation 9, no. 4: 372. https://doi.org/10.3390/fermentation9040372

APA Style

Liu, Y.-W., Liu, C.-M., Chen, H.-Y., Khumsupan, D., Hsu, H.-Y., Lin, H.-W., Hsieh, C.-W., & Cheng, K.-C. (2023). Optimal Production of Ganoderma formosanum Mycelium with Anti-Melanogenic Activity. Fermentation, 9(4), 372. https://doi.org/10.3390/fermentation9040372

Note that from the first issue of 2016, this journal uses article numbers instead of page numbers. See further details here.

Article Metrics

Back to TopTop