Next Article in Journal
Odour Fingerprints of Black (Tuber mesentericum) and Bianchetto (Tuber borchii) Truffles from Different Areas of the Campania Region
Next Article in Special Issue
The Shelf Life of Yellow Passion Fruit with an Edible Biocomposite Coating Based on Chitosan, Graphene Oxide Nanoparticles, and Beeswax
Previous Article in Journal
A Review of Traditional Applications, Geographic Distribution, Botanical Characterization, Phytochemistry, and Pharmacology of Hypericum ascyron L.
Previous Article in Special Issue
Chitosan Coatings with Essential Oils against Colletotrichum gloeosporioides (Penz.) Penz. and Sacc. in Annona muricata L. Fruits
 
 
Font Type:
Arial Georgia Verdana
Font Size:
Aa Aa Aa
Line Spacing:
Column Width:
Background:
Article

Application of Procyanidins from Aronia melanocarpa (Michx.) Elliott in Fresh-Cut Apple Preservation

1
School of Pharmacy and Food Science, Zhuhai College of Science and Technology, Zhuhai 519041, China
2
College of Life Science, Jilin University, Changchun 130015, China
3
Zhuhai Lizhu Microsphere Technology Co., Ltd., Zhuhai 519000, China
4
College of Life Science, Dalian Minzu University, Dalian 116600, China
*
Author to whom correspondence should be addressed.
Horticulturae 2024, 10(6), 556; https://doi.org/10.3390/horticulturae10060556
Submission received: 6 May 2024 / Revised: 20 May 2024 / Accepted: 23 May 2024 / Published: 25 May 2024
(This article belongs to the Special Issue Postharvest Application of Edible Coatings on Fruits and Vegetables)

Abstract

The aim of this study was to find a purely natural and effective preservative that could be used in fresh-cut apples extracting proanthocyanidin (PC) components from black chokeberry (Aronia melanocarpa (Michx.) Elliott) using DESs (deep eutectic solvents). DM130 microporous resins were used in purification experiments to obtain proanthocyanidin purifiers with a higher content. To investigate the free radical scavenging ability (DPPH, ·OH, O2, ABTS) of the resulting proanthocyanidin purifiers, experiments were conducted due to their potent antioxidant properties. The results show that the polyphenol extract from black chokeberry demonstrated an excellent antioxidant capacity, with more than 95% scavenging of DPPH, ABTS and superoxide anion at concentrations above 0.1 mg/mL. Furthermore, the antibacterial efficacy of the product was also evaluated. The results of this study on the inhibitory ability of bacteria demonstrated that PC exhibited superior inhibitory efficacy against E. coli and S. aureus, with inhibitory circles of 16 ± 0.11 mm and 18 ± 0.09 mm, respectively. Conversely, PC demonstrated no inhibitory efficacy against A. niger and Penicillium sp. Finally, the effect of PC in preserving fresh-cut apples was tested in terms of weight loss, hardness, appearance and total number of microorganisms. The results demonstrated a 26.44% reduction in weight loss and a 13.5% increase in hardness, as well as a 98% reduction in total bacterial counts in apple pieces treated with 5 mg/mL of PC in comparison to those left untreated.

1. Introduction

Black chokeberry (Aronia melanocarpa (Michx.) Elliott) is a shrub species that contains a wide range of active compounds including polysaccharides, flavonoids, proanthocyanidins, and organic acids. The plant is known for containing the most abundant proanthocyanidins of any other plant, with 5 fold the proanthocyanidins content found in blueberries and 80 fold the proanthocyanidins content present in grapes [1,2]. Cellulosic additives made from the pulp of Nigella sativa fruits have been widely used in health food and health medicines. The team led by Slimestad employed electron spray mass spectrometry–liquid chromatography mass spectrometry to identify and analyze the chemical structure of flavonoids in black chokeberry [3,4]. They discovered six flavonoids, including 7-O-β-glucuronic acid, 3-O-β-galactoside, and 3-O-β-glucoside, with 3-O-β-galactoside being the most abundant at 30.2 mg/100 g. Numerous studies have demonstrated that blackberries possess the highest concentration of proanthocyanidins in the plant body. Additionally, black chokeberry account for 43% to 55% of the fruit’s proanthocyanidins content [5,6]. Black chokeberry exhibit a range of health benefits such as antioxidant [7], anti-inflammatory [8,9], antibacterial [10], anticancer [11], and hepatoprotective properties [12].
Proanthocyanidins (PC) is a general term referring to a large class of polyphenol compounds [13], and a large amount of research literature has shown that oligomeric proanthocyanidins (OPC) in its species have super antioxidant capacity, and is now recognized as the most effective natural antioxidant among natural products, capable of Efficiently scavenging free radicals in the human body.
Currently, the primary techniques for capturing proanthocyanidins from natural sources are solvent extraction, ultrasound-assisted extraction, microwave-assisted extraction, supercritical CO2 fluid extraction, and other methods [14,15,16]. However, most of the solvent extraction, ultrasound-assisted extraction, and microwave-assisted extraction methods utilize chemical solvents for extraction. The use of chemical solvents presents a potential risk to human health. Furthermore, due to the disparate composition and polarity of the chemical solvents employed in the extraction process, the extracted substances frequently exhibit disparate pharmacological activities. On the contrary, supercritical CO2 fluid extraction can be employed as a more optimal alternative. The method of supercritical CO2 fluid extraction exhibits elevated extraction efficiency, alongside relatively high quality of the extracts obtained. However, its utilization demands expensive instruments and extractants, leading to excessive extraction costs [17]. Deep eutectic solvents (DESs) are liquid mixtures created with hydrogen-bonded acceptors like choline chloride and hydrogen-bonded donors such as sugars, organic acids, and polyols under specific conditions [18]. These DESs possess several benefits: simple and fast preparation, inexpensive and readily available, biodegradable, non-toxic, with high extraction efficiency, and reusable [19]. Consequently, they have found widespread application in natural product active ingredient extraction [20].
Fresh-cut fruit, also known as cut fruit and packaged fruit, is widely recognized for its convenience [21]. The processing steps involved in the production of fresh-cut fruit include peeling, cutting, packing and other treatments of fresh fruits, with the objective of making them easy to consume in specific environments (e.g., catering) [22]. The freshness, nutrition and convenience of cut fruit have been widely recognized by consumers in Europe, America, Japan and other countries. However, the process of cutting fruits results in a series of changes, including browning, odor, loss of nutrients and a shortened shelf-life, which collectively make storage difficult [23,24]. Currently, there are four main types of fresh-cut fruit preservation techniques: physical preservation, chemical preservation, natural product extract preservation and biological preservation [25]. The two principal physical preservation techniques are low-temperature cold chain technology and cold sterilization technology. Nevertheless, these methods entail harsh preservation conditions, high costs, and a proclivity for damage to fresh-cut fruits. Nevertheless, chemical preservation techniques are frequently linked with the potential for contamination by preservative residues, which may present a risk to human health and the environment [26]. It is therefore of great importance to identify a natural preservative that is convenient, safe, residue free and low cost.
In this study, proanthocyanidins from black chokeberry were extracted and purified using a deep eutectic solvent with ultrasonic microwave-assisted extraction. The bacteriostatic and antioxidant abilities were then verified, and the purified proanthocyanidins were finally applied in the preservation of fresh-cut apples. The application of the purified proanthocyanidins to fresh-cut apples was found to preserve the freshness of the apples. This study provides a new idea for the food industry and the application of black chokeberry.

2. Materials and Methods

2.1. Instruments and Equipment

UV spectrophotometer (Shimadzu, UV-2600i, Kyoto, Japan); frozen centrifuges (1248R, Genecompany, Hong Kong, China); texture analyzer (Bosin, TA. TOUCH, Shanghai, China); Handy plate® Count Plate (Huankai, Handy plate®, Guangzhou, China); Colorimeter (CR-10 PLUS, Konica Minolta, Tokyo, Japan); E. coli (ATCC 25922); S. aureus (ATCC 25923); A. niger (ATCC16404); and Penicillium sp (FSCC197001).
Macroporous resin DM130 were purchased from Donghong Chemical Co., Ltd., Dongguan, China; DPPH, ABTS, hydroxyl radicals, superoxide anion generation rapid detection kits are from China Nanjing Jiancheng Biotechnology Research Institute. Conventional reagents were purchased from China Shanghai Sinopharm Chemical Reagent Co., Ltd., Shanghai, China.

2.2. Preparation of DESs

Choline chloride and malonic acid were mixed in a beaker in the mass ratio range of (1:0.1, 1:0.2~1:1.5) and subjected to magnetic stirring at 60~80 °C for a period of 2~4 h. The mixture was then cooled to room temperature and subjected to stabilization experiments at room temperature, 4 °C, and −20 °C, respectively.

2.3. Single-Factor Test

Freshly freeze-dried black chokeberry was crushed using a mortar and then sieved through a 60–80 mesh. They were stored at a temperature of −20 °C in a plastic bag that was protected from light. To accurately measure 1 g of freeze-dried black fruit powder, a brown centrifuge tube was utilized. A certain amount of extraction solvent was added to the tube and mixed before ultrasonic extraction was carried out under certain conditions. The tube was then centrifuged at 8000 r/min for 15 min, yielding the crude anthocyanin extract of blackcurrant. The basic conditions for extraction were set at a 1:1.2 solvent ratio, 30% solvent water content, 1:10 g/mL material–liquid ratio, 40 min extraction time, 45 °C extraction temperature, and 300 W ultrasonic power. For each test, a single condition was modified whilst keeping all other conditions constant. The extraction rate was employed as an indicator to investigate the influence of diverse variables on the extraction rate.

2.4. Determination of Proanthocyanidin Content and Extraction Rate

An amount of 50 mg of proanthocyanidin standard was weighed precisely, dissolved in methanol into a 50 mL brown volumetric flask, and ultrasonicated for 30 s to obtain 1 mg/mL proanthocyanidin mother liquor. The absorbance was measured at 550 nm by gradient dilution with an enzyme marker, and the standard curve was plotted with the concentration as the horizontal coordinate and the absorbance as the vertical coordinate.
The extraction rate (ER) is calculated according to the following formula:
ER ( % ) = C × V × N m × 10 3 × 100 %
C = mass concentration of proanthocyanidins in the extract as calculated by the standard curve(mg/mL); V = extract volume(mL); N = dilution factor; m = quality of black fruits (mg).

2.5. Orthogonal Test

A six-factor, three-level orthogonal test was conducted based on a solvent ratio of 1:1.2, a solvent water content of 10%, a material–liquid ratio of 1:15, an extraction time of 40 min, an extraction temperature of 50 °C and ultrasonic power of 200 W. The results of this test are presented below.

2.6. Purify

The material was purified using macroporous resin DM130 under the following conditions: the sample was loaded onto the resin at a rate of 2 mL/min and a volume of 6 BV, then left to stand for 2 h. The resin was then eluted first with distilled water at a flow rate of 3 mL/min and a column volume of 8 BV, followed by elution with 30% ethanol at a volume of 3 BV. The eluent was collected, evaporated using rotary evaporation until no alcohol flavor remained, and then lyophilized. The purity of the final product was calculated using a specific formula.
Purity ( % ) = m 0 m 1 × 100 %
m 0 = content of proanthocyanidins in the purified material (mg); m 1 = mass of purified material weighed (mg).

2.7. Antioxidant Capacity

2.7.1. DPPH Radical Scavenging Activity

The DPPH radical scavenging capacity kit was used to determine the scavenging capacity of PC for DPPH. Briefly, purified PC samples were accurately weighed and prepared into different concentrations of working solution using 30% ethanol, while Vc (Vitamin C) was used as a positive control at the same concentration. All experiments were performed in triplicate and DPPH scavenging activity was calculated as follows:
Scavenging   activity   ( % ) = [ 1 ( A 1 A 0 ) A 2 ] × 100 %
where A 0 is the absorbance of the sample only (sample without DPPH solution), A 1 is the absorbance of the sample with DPPH solution and A 2 is the absorbance of the control (DPPH solution without sample).

2.7.2. Hydroxyl Radical Scavenging Activity

Samples were processed as described in Section 2.7.1 and then assayed using a hydroxyl radical assay kit with Vc as a positive control. Hydroxyl anion radical scavenging activity was calculated according to the following formula:
Scavenging   activity   ( % ) = [ 1 ( A 1 A 0 ) A 2 ] × 100 %
where A 0 is the absorbance of the sample only (sample without ·OH solution), A 1 is the absorbance of the sample with ·OH solution and A 2 is the absorbance of the control (·OH solution without sample).

2.7.3. ABTS Radical Scavenging Activity

The ABTS radical scavenging activity of PC was determined according to reported methods with minor modifications as follows [27]. An ABTS radical stock solution was prepared by mixing 7.0 mmol/mL ABTS solution and 2.45 mmol/mL K2(SO4)2 solution in equal proportions. The ABTS radical stock solution was diluted with phosphate buffer (10 mmol/L, pH = 7.4) and the absorbance of the solution was measured at 734 nm on a full-wavelength enzyme calibrator at a wavelength of 0.7 ± 0.02. The solution was stored in the dark. Sample solutions of different concentrations and Vc control samples were prepared using pure water as the solvent. The absorbance of the sample at 734 nm was then measured in an enzyme labelling instrument
Scavenging   activity   ( % ) = ( A 3 A 1 + A 2 ) A 3 × 100 %
The absorbance of the sample is taken as A1, the absorbance of the K2(SO4)2 solution instead of the ABTS working solution is taken as A2, and the absorbance of pure water instead of the sample is taken as A3.

2.7.4. Superoxide Anion Radical Scavenging Activity

Samples were processed as described in Section 2.7.1 and then assayed using a superoxide anion radical assay kit with Vc as a positive control. Superoxide anion radical scavenging activity was calculated according to the following formula:
Scavenging   activity   ( % ) = [ ( A 0 A 1 ) A 0 ] × 100 %
where A 0 is the absorbance value of the control group and A 1 is the absorbance value of the sample group.

2.8. Bacteriostatic Activity

2.8.1. Inhibition Circle

To determine the size of the inhibition circle of PC using the Oxford cup method, 20 μL of PC at concentrations of 100 mg/mL, 50 mg/mL and 25 mg/mL were taken and added to the Oxford cup and the bacteria were incubated in an nutrient agar (NA) Petri dish at 37 °C for 24 h and the fungi were incubated in a Potato dextrose agar (PDA) Petri dish at 30 °C for 4 d. Measurement of the size of the inhibition circle at the end of the experiment.

2.8.2. Minimum Inhibitory Concentration (MIC)

Inoculum for each strain was prepared by suspending one isolated colony from a solid plate in liquid medium. After 24 h of growth at the appropriate temperature, the suspension was prepared in distilled water to obtain a final inoculum of 5 × 105 to 5 × 106 colony-forming units (CFU)/mL per bacterium. Gradient dilutions of PCs were prepared by adding TTC (triphenyltetrazolium chloride) to the liquid medium and dispensing in 96-well plates. A volume of equal to that of the bacterial strain was added to each well of a microtiter plate containing 100 µL of the serial extract dilution. After incubation for 24 h, the minimal inhibition level (MIC) was determined using an enzyme marker at 540 nm.

2.8.3. Growth Inhibition Curve

A 5 × 105 to 5 × 106 (CFU)/mL bacterial solution was inoculated into NB (Nutrient Broth) medium with a PC concentration of 25 mg/mL and incubated at 37 °C for 72 h. The number of colonies was detected at each 12 h interval. The medium without added PC served as control group 1, while the medium containing an equal amount of 30% ethanol served as control group 2.

2.9. Fresh-Cut Apple Preservation

2.9.1. Pretreatment

Apples were selected that are uniform in size, color and ripeness, and free of wounds, pests and diseases. The apples were washed with sterile water and dried at 25 °C in a sterile environment. The apples were cut into 1 cm × 1 cm cubes. The apple pieces were subjected to a series of preservation solutions (30% ethanol, PC at concentrations of 5 mg/mL and 25 mg/mL, for a period of 15 min). The preservative from the surface of the apple pieces was drained and they were placed in PET fruit packaging boxes. These boxes were then stored in a refrigerator at 7 °C for seven days, with measurements taken every two days for weight, color change, and other data. In lieu of the preservation solution, distilled water was employed as a control. One experimental group was tested on 4 blocks of apples per day, repeated three times for a total of 12 apple block. The samples were tested on four separate occasions on days 1, 3, 5, and 7, with the total number of apple block samples at 48. The weight loss and appearance rate of the apples were first recorded each day, and then the texture of the 12 apples in the three groups was analyzed.

2.9.2. Weight Loss Rate

The change in the weight of the apple blocks per day was quantified using the weighing method. Three trials were conducted for each group. The rate of weight loss was expressed as a percentage of the initial weight. The following formula was employed to calculate the rate of weight loss of the apple blocks:
Weight   loss   rate   ( % ) = ( W 0 W 1 ) W 0
where W 0 and W 1 are the weights of the apple blocks at day 0 and day n, respectively.

2.9.3. Firmness

The hardness of the apple blocks was quantified using a texture analyzer with a P50 probe, a contact pressure of 50 gf, a compressive deformation of 40% and a mode of texture profile analysis test method with a pre-test speed of 3 mm/s, a test speed of 1 mm/s and a post-test speed of 3 mm/s. The hardness of the apple blocks was quantified using a tetrameter with a P50 probe, a contact pressure of 50 gf and a compressive deformation of 40%. Three replicates were conducted for each treatment group.

2.9.4. Appearances

Brightness L* of apple blocks from different treatment groups was measured during storage using a colorimeter. The experiment was repeated three times for each group. Additionally, photographic documentation of apple blocks should be undertaken.

2.9.5. Total Number of Bacterial Colonies

Apple homogenates were prepared by placing 5 g of apple cubes into a sterile homogenizing bag containing 10 mL of PBS buffer and homogenizing for 3 min in a tapping homogenizer. A gradient concentration of apple homogenate was then prepared by placing 2 mL of apple homogenate into a test tube containing 18 mL of PBS buffer and shaking well to dilute. This process was repeated until the desired concentration was achieved. 1 mL apple homogenate was pipetted into the center of the Handy plate®, which was then left to stand for fivemin, with the transparent side facing upwards. The plate was then placed in a 37 °C incubator, where the colonies were observed and counted after 48 h. Each group of experiments was repeated three times.

3. Results

3.1. Preparation of Proanthocyanidin Extract

3.1.1. Preparation of DESs

Figure 1 illustrates that choline chloride and malonic acid could not form the eutectic system at a ratio of 1:0.1–1:0.3, but did form the eutectic system at a ratio of 1:0.4–1:1.5. However, the eutectic system at a ratio of 1:1.1–1:1.5 underwent solidification during low-temperature freezing stabilization experiments at −20 °C, indicating the instability of the hydrogen bonding within the eutectic system in this ratio range at ultra-low temperatures.

3.1.2. Standard Curve

The regression equation for the standard curve was Y = 12.938X + 0.0381, with an R2 value of 0.9996 indicating good linearity in the 0 to 0.01 mg/mL range. Figure 2 displays the standard curve.

3.1.3. Single-Factor Test

To enable the comparison of a single variable’s impact on the extraction of proanthocyanidins from black-fruited adeno-ribbed rowan, the experiment utilized the regression equation of the standard curve. This method transformed the extract’s absorbance to the proanthocyanidin content, ensuring accurate results.
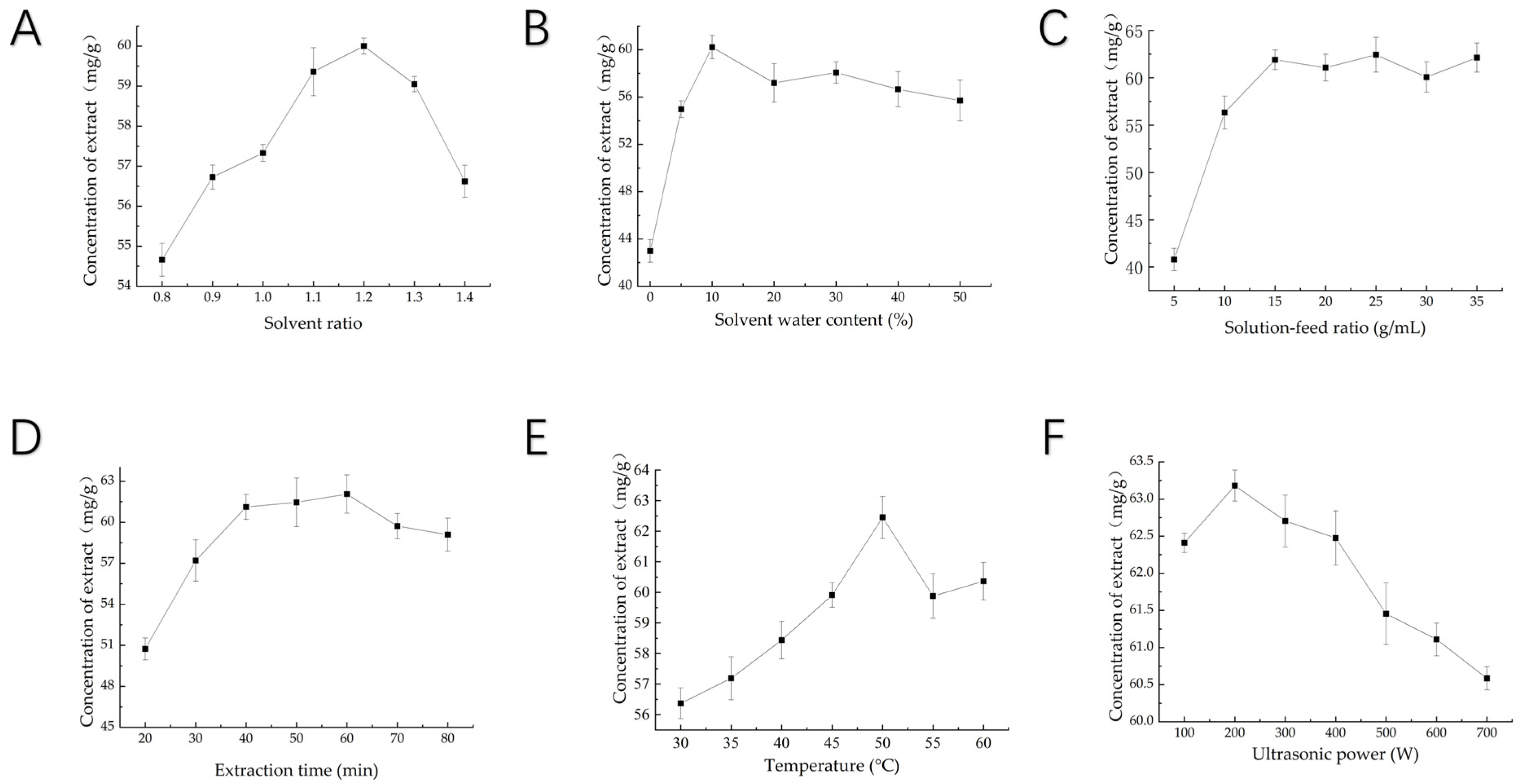
Figure 3A illustrates the impact of varying ratios of hydrogen bond acceptors and donors using DESs on the extraction of proanthocyanidins from Adenophora nigra. As the ratio of choline chloride to malonic acid increased, the level of proanthocyanidins in the Adenophora nigra extract displayed an initial increase followed by a subsequent decrease. At a solvent ratio of 1:1.2, the proanthocyanidins content of the extract peaked at 59.99 mg/g before declining. Therefore, we selected the extraction solvent in this experiment to be the DESs with a choline chloride to malonic acid ratio of 1:1.2.
Due to its viscosity, the prepared DESs was unable to be fully mixed with the freeze-dried black chokeberry powder. According to previous reports, the addition of distilled water can improve the fluidity of the solvent system and enhance extraction efficiency. Therefore, we investigated the impact of DESs water content on proanthocyanidin extraction from black chokeberry in this experiment. As depicted in Figure 3B, the proanthocyanidin content in the extract reaches the highest value of 60.29 mg/g when the solvent water content reaches 10%. Subsequently, the content decreases. Thus, the DESs containing 10% water content was determined as the optimal extraction solvent in this study.
Figure 3C illustrates the impact of varying material–liquid ratios on extracting proanthocyanidins from black chokeberry. The extracted contents display an ascending then plateauing trend when increasing the material–liquid ratio. At a ratio of 1:15 g/mL, the extracted proanthocyanidin content peaked at 60.87 mg/g, after which it remained relatively stable. To minimize the extraction costs, the experiment deemed 1:15 g/mL as the ideal material–liquid proportion for extraction.
Figure 3D depicts the impact of various extraction times on the extraction efficacy of proanthocyanidins from black chokeberry. The extraction yield showed an increasing trend, followed by stabilization with time. When the extraction time reached 40 min, the proanthocyanidin content in the crude extract reached a maximum value of 61.04 mg/g approaching equilibrium, remaining relatively stable in subsequent extractions. To enhance extraction efficiency and save time, we selected 40 min as the optimal extraction duration. The reduction in proanthocyanidin content after 70 min can be attributed to the detrimental effects of prolonged ultrasonic exposure on the structure and polymerization of proanthocyanidins.
Figure 3E demonstrates the impact of varied extraction temperatures regarding the extraction of proanthocyanidins from black chokeberry. It is observed that crude liquor’s proanthocyanidin content attained its highest value of 62.49 mg/g at 50 °C. However, the content of proanthocyanidins lowered significantly in subsequent trials. Although proanthocyanidin content could be retrieved at 60 °C, it has been reported in literature that temperatures beyond 55 °C can cause damage to the proanthocyanidin structure. Thus, 50 °C was chosen as the optimal extraction temperature in this experiment to preserve the integrity of proanthocyanidins in black chokeberry.
Figure 3F depicts the impact of varied ultrasonic power on the extraction of proanthocyanidins from black chokeberry. The proanthocyanidin content in the crude liquor peaked at 63.18 mg/g when the ultrasonic power was 200 W, after which it declined in the extract. Therefore, the optimal ultrasonic power was determined to be 200 watts. It was observed that the proanthocyanidin content decreased after reaching 300 watts. This could potentially be attributed to the excessive power output, which may have caused structural damage to the proanthocyanidins or caused the phenolic hydroxyl group in their structure to combine with other components in the solvent [28].

3.1.4. Orthogonal Test

Based on the one-way experiment, the ideal solvent ratio, water content, solution-free ratio (S-F ratio), extraction time, extraction temperature and ultrasonic power were determined. Two sets of conditions, before and after optimization, were subjected to an orthogonal experiment with six factors and three levels. The factor table for the orthogonal experiments is shown in Table 1.

3.1.5. Purify

The percentage of proanthocyanidins in the purified product obtained after purification using DM130 macroporous resin was calculated to be 82.4% by equation.

3.2. In Vitro Antioxidant Capacity

Figure 4A demonstrates that there is a significant difference (p ≤ 0.05) in the ability of purified black chokeberry procyanidins and VC to DPPH· scavenging ability in the concentration range of 0.1–4 mg/mL, and both increase in efficiency with increasing concentration. Proanthocyanidins at 1 mg/mL achieved a maximum clearance of 100%, and the remaining clearance capacity remained consistent while maintaining a positive correlation trend with VC.
As shown in Figure 4B, there was no significant difference between the ·OH scavenging ability of purified black chokeberry proanthocyanidins and VC in the concentration range of 0.1–4 mg/mL (p ≤ 0.05), and both increased with the rise of concentration, and the two reached the maximum scavenging effect at a concentration of 0.5 mg/mL with a scavenging rate of 100%, and the scavenging rate no longer changed thereafter with the rise of concentration and The ·OH scavenging ability was the same for both.
As shown in Figure 4C, there was a significant difference (p ≤ 0.05) between the ability of purified black chokeberry proanthocyanidins and VC to O2 scavenging ability in the concentration range of 0.1–4 mg/mL, and the trend of both remained unchanged for the maximum scavenging effect, and the scavenging effect of proanthocyanidins was slightly lower than that of VC on ·OH scavenging ability.
As illustrated in Figure 4D, there was no significant disparity (p > 0.05) in ABTS scavenging ability efficacy between purified black chokeberry proanthocyanidin and VC within the concentration range of 0.1–4 mg/mL. In addition, the trend for both remained constant up to the maximum scavenging effect at 1 mg/mL, and their effect on ABTS scavenging ability was mostly identical.

3.3. In Vitro Bacteriostatic Activity

3.3.1. Circle of Inhibition Size

Table 2 illustrates the inhibitory effect of PC on bacteria at varying concentrations. The results demonstrate that PC is capable of effectively inhibiting bacteria. As the concentration increased, the size of the inhibition zone also increased in a corresponding manner. Furthermore, the inhibitory effect on E. coli was less pronounced than that on S. aureus. The table indicates that PC exhibited no inhibitory effect on fungi. Figure 5 illustrates the size of the inhibition circle of PC against the four tested bacteria.

3.3.2. Determination of Minimum Inhibitory Concentration (MIC)

As demonstrated in Table 3, the minimum inhibitory concentration (MIC) of the purified proanthocyanidins was 25 mg/mL for E. coli and 5 mg/mL for S. aureus. The proanthocyanidins employed in this study were solubilized in a 30% ethanol solution. 30% ethanol solution was also employed as a control experiment. The results demonstrated that the 30% ethanol solution lacked bacteriostatic properties. Furthermore, the results demonstrated that proanthocyanidins are not fungistatic against fungi. Consequently, the growth curves of Penicillium sp. and Aspergillus niger are not presented in this experiment.

3.3.3. Growth Inhibition Curve

The growth curves of E. coli and S. aureus are shown in Figure 6A,B, which indicate that the growth of E. coli and S. aureus was almost completely inhibited by the treatment group of proanthocyanidin purified with 5 mg/mL concentration from 0–72 h. The growth of E. coli and S. aureus was inhibited by the treatment group of 30% ethanol, whereas the growth curves of the two bacteria treated with 30% ethanol had a delay period of 36 h.

3.4. Fresh-Cut Apple Preservation

3.4.1. Weight Loss Rate

It is important to note that a significant area of tissue is exposed to the air following the fresh-cutting of apples, which can result in water loss [29,30]. Therefore, the weight loss rate is a crucial indicator for the evaluation of fresh-cut fruits. As demonstrated in Table 4, there was a statistically significant difference (p ≤ 0.05) in weight loss between the 5 mg/mL PC-treated groups in comparison to the other two groups during the storage process. The 5 mg/mL PC treatment group exhibited a reduction in weight loss, which may be attributed to the efficacy of PC soaking in preventing the surface of freshly cut apples from coming into contact with air.

3.4.2. Firmness

When the outside of fresh fruits and vegetables are exposed to the air, they are highly susceptible to microbial attack and send browning [28]. Consequently, the concept of firmness assumes significance when evaluating the quality of fresh-cut fruits and vegetables. The results of the firmness experiment on PC-treated apple blocks are presented in Table 5. Both the treatment and control groups exhibited a gradual decline in hardness over the course of the experiment. The hardness of the control group decreased by 27.95% after seven days of storage compared to the initial value. The results of the PC treatments varied considerably. The 5 mg/mL PC treatment was more effective in maintaining the firmness of the apple pieces by only 14.5% after seven days.

3.4.3. Appearance Changes

The hue of newly cut fruit and vegetables is a crucial aspect that significantly impacts consumer preferences. Table 6 presents the L* results of apple blocks following different treatments. The results indicate a reduction in L* values for 5 mg/mL apple blocks, although this is not statistically significant. This phenomenon can be attributed to the fact that the PC itself is red, which in turn affects the apple block. This suggests that the PC solution has a limited effect on the L* of apple blocks, despite their red color.
Appearance is a key factor influencing the quality of freshly cut fruit and vegetables and the degree of variation in quality. Figure 7 shows the photographs of apple blocks with different treatments for 7 days, and the results showed that the control and 30% ethanol treatments would not inhibit the browning of apple blocks, and all of them showed different degrees of brown spots after 7 days. The degree of browning after 7 days of PC treatment at a concentration of 5 mg/mL was significantly lower than that of the control group, which proves that the PC treatment at a concentration of 5 mg/mL can effectively inhibit the browning of apple blocks.

3.4.4. Determination of Total Bacterial Count

As shown in Figure 8, the total number of bacteria contained in the PC-treated group at a concentration of 5 mg/mL PC was significantly different from the 30% ethanol-treated group and the control group during the 0–10 d storage period (p ≤ 0.05), mainly because PC has a strong bacterial inhibitory capacity and completely inhibited bacterial growth during 0–4 d. Compared to the control group, the 30% ethanol-treated group inhibited bacterial growth during 4–8 d, but finally did not reduce the total number of bacteria. Compared to the control group, the 30% ethanol-treated group inhibited the growth of bacteria in d 4–8, but did not ultimately reduce the total number of bacteria. On the other hand, the total number of bacteria in the control group increased proportionally from 0–6 d, probably due to the exudation of sugars from its surface, which provided a suitable environment for bacterial growth.

4. Discussion

It has been demonstrated that proanthocyanidins possess antimicrobial properties [31]. Nevertheless, there is a paucity of research on the utilization of black chokeberry extracted proanthocyanidins as a preservative for natural products. A combination of DESs and the ultrasonic microwave method was employed to extract proanthocyanidins. DESs was utilized to extract proanthocyanidins from black chokeberry. The six optimum extraction conditions were determined through the optimization of DESs ratios, solvent water content, material–liquid ratio, extraction time, extraction temperature, and ultrasonic power. The proanthocyanidins were then purified by applying macroporous resin. The results show that proanthocyanidins extracted from blackberries can be well extracted using DESs. extracted from black chokeberry using DESs was approximately twice that of 70% ethanol. This indicates that the use of DESs can markedly enhance extraction efficiency. The outcomes are consistent with those of Rodrigo T. Neto et al. The deep eutectic solvent is more conducive to the extraction of proanthocyanidins [32]. Finally, the crude material underwent purification using macroporous resin, resulting in a purified material that contained 82.4% proanthocyanidins. The purification of the extracted proanthocyanidins by the macroporous adsorbent resin method yielded satisfactory results, with a purification rate comparable to that observed in previous studies [33].
It is well documented that fresh fruits and vegetables are susceptible to the growth of microorganisms, including food-borne pathogens and fungi, during the preservation process [34,35]. The proliferation of these microorganisms results in the rapid deterioration and shortened shelf-life of freshly cut fruits and vegetables [36]. Proanthocyanidins extracted from black chokeberry in this study showed strong inhibitory activity against E. coli and S. aureus. This is consistent with the results reported by previous authors who have shown PC in the inhibition of E. coli and S. aureus, such as X Li’s study on the inhibition of S. aureus by larch bark procyanidins [37] and PA Pinzón-Arango’s study on the effect of cranberry procyanidins on E. coli, among others [38]. One of the antimicrobial mechanisms of PC is the presence of a significant proportion of phenolic hydroxyl groups in its structure, which can disrupt cell membranes and increase the permeability of bacterial membranes. This, in turn, can result in the leakage of bacterial cell contents, a decrease in indirect metabolism or metabolic disturbances due to the loss of ATP and other intracellular metabolites [39,40]. The same phenolic hydroxyl group also exhibits a notable antioxidant capacity [41]. For instance, J Chen has conducted a comprehensive investigation into the antioxidant capacity of phenolic hydroxyl groups in phenolic acid compounds, which has revealed that they exhibit remarkable antioxidant properties [42]. In the present study, the proanthocyanidins extract from black chokeberry demonstrated an excellent antioxidant capacity, with more than 95% scavenging of DPPH, ABTS and superoxide anion at concentrations above 0.1 mg/mL.
Extracted proanthocyanidins from black chokeberry demonstrate remarkable antibacterial and antioxidant properties, rendering them an ideal natural preservative for freshly cut fruits and vegetables. Their efficacy lies in their ability to inhibit microbial growth and reproduction, while simultaneously preventing the oxidation and decomposition of nutrients within the fruits and vegetables. The firmness and appearance of fruits and vegetables are two of the most important criteria by which people evaluate their goodness [43]. In the control group, a decrease in the L* value of the apple pieces was observed during the storage period, indicating a decrease in brightness, a dull surface texture with browning and the appearance of light reddish spots on the surface. Upon immersion, a red coating was observed on the surface of the apple block, though the effect on brightness was not significant. In terms of weight loss and hardness, the excessive PC concentration led to the leakage of the contents of the apple block, resulting in a decrease in hardness and an increase in weight loss. The PC solution at a concentration of 5 mg/mL exhibited a light orange color. The findings of the Lishan Liang et al. study of proanthocyanidins in ume plums were comparable to those of the previous study [44].Additionally, browning was reduced, which is likely due to the formation of a subtle coating on the surface of the apple pieces by the PC solution, which protects them. Finally, the total number of microorganisms in the apple blocks was quantified in order to ascertain the efficacy of the PC coating. The results demonstrated that the PC coating effectively inhibited the growth and reproduction of microorganisms on the surface of fresh-cut apples, with a significantly lower total number of microorganisms observed in the PC experimental group compared to the control group.
The findings of this study offer valuable insights into the potential applications of black chokeberry’s proanthocyanidins as preservatives in fruits and vegetables. However, several aspects must be addressed to facilitate their use on a larger scale in the future. The primary challenge for the widespread use of black chokeberry proanthocyanidins as preservatives is the industrialization of these compounds. Therefore, the development and optimization of extraction processes on a larger scale is essential. It is similarly vital to implement effective cultivation techniques in order to guarantee a sustainable and reliable supply of raw materials. In conclusion, the preparation of natural ingredients for use as preservatives in fruits and vegetables remains a significant challenge.

5. Conclusions

In this thesis, PC from black chokeberry were extracted using low-eutectic solvents assisted by ultrasonication. The crude extract was purified by DM130 macroporous resin, and then the purified extract was investigated for antioxidant and bacteriostatic activities. Finally, it was utilized for fresh-cut apple preservation applications. Experiments showed that DESs could extract PC from black chokeberry with a 63.72% extraction rate. Subsequently, antioxidant and antimicrobial activity studies confirmed its ability to act as a preservative. PC is bacteriostatic against both E. coli and S. aureus, and 5 mg/mL of PC can inhibit the growth of both bacteria. Finally, it was applied to fresh-cut apples to slow down weight loss, softening and total microbial count of apple pieces.

Author Contributions

Conceptualization, S.L. and W.H.; data curation, J.C. and S.; formal analysis, S.L. and S.; funding acquisition, W.H.; investigation, S.L. and S.; methodology, S.L. and J.C.; project administration, W.H.; resources, S.; Software, J.C. and C.C.; supervision, W.H.; validation, J.C. and C.C.; visualization, C.C.; writing—original draft, S.L. and J.C.; writing—review and editing, S.L., J.C., S. and W.H. All authors have read and agreed to the published version of the manuscript.

Funding

This research was supported by the ”13th Five-Year Plan” for the National Key Research and Development Program (No. 2016YFD0400903), the ”12th Five-Year Plan” for the National Science and Technology Support Program (No. 2012BAD38B05), the National Natural Science Foundation of China (No. 31471923, 31172009), and the Zhuhai College of Science and Technology “Three Levels” Talent Construction Project.

Data Availability Statement

All data and materials are available on request from the corresponding author. The data are not publicly available due to ongoing researches using a part of the data.

Acknowledgments

The support from the Laboratory, School of Pharmacy and Food Science, Zhuhai College of Science and Technology, is appreciated.

Conflicts of Interest

Author Jiajia Chen was employed by the company Zhuhai Lizhu Microsphere Technology Co., Ltd. The remaining authors declare that the research was conducted in the absence of any commercial or financial relationships that could be construed as a potential conflict of interest.

References

  1. Kobus, Z.; Nadulski, R.; Wilczyński, K.; Kozak, M.; Guz, T.; Rydzak, L. Effect of the black chokeberry (Aronia melanocarpa (Michx.) Elliott) juice acquisition method on the content of polyphenols and antioxidant activity. PLoS ONE 2019, 14, e0219585. [Google Scholar] [CrossRef] [PubMed]
  2. Wawer, I.; Wolniak, M.; Paradowska, K. Solid state NMR study of dietary fiber powders from aronia, bilberry, black currant and apple. Solid State Nucl. Magn. Reson. 2006, 30, 106–113. [Google Scholar] [CrossRef] [PubMed]
  3. Krenn, L.; Steitz, M.D.; Schlicht, C.; Kurth, H.; Gaedcke, F. Anthocyanin- and proanthocyanidin-rich extracts of berries in food supplements–analysis with problems. Die Pharm. 2007, 62, 803–812. [Google Scholar]
  4. Slimestad, R.; Torskangerpoll, K.; Nateland, H.S.; Johannessen, T.C.; Giske, N.H. Flavonoids from black chokeberries, Aronia melanocarpa. J. Food Compos. Anal. 2005, 18, 61–68. [Google Scholar] [CrossRef]
  5. Kim, J.H.; Auger, C.; Kurita, I.; Anselm, E.; Rivoarilala, L.O.; Lee, H.J.; Lee, K.W.; Schini-Kerth, V.B. Aronia melanocarpa juice, a rich source of polyphenols, induces endothelium-dependent relaxations in porcine coronary arteries via the redox-sensitive activation of endothelial nitric oxide synthase. Nitric Oxide Biol. Chem. 2013, 35, 54–64. [Google Scholar] [CrossRef] [PubMed]
  6. Jakobek, L.; Šeruga, M.; Medvidović-Kosanović, M.; Novak, I. Antioxidant Activity and Polyphenols of Aronia in Comparison to other Berry Species. Agric. Conspec. Sci. 2007, 72, 301–306. [Google Scholar]
  7. Olas, B.; Wachowicz, B.; Nowak, P.; Kędzierska, M.; Tomczak, A.; Stochmal, A.; Oleszek, W.; Jeziorski, A.; Piekarski, J.H. Studies on antioxidant properties of polyphenol-rich extract from berries of Aronia melanocarpa in blood platelets. J. Physiol. Pharmacol. Off. J. Pol. Physiol. Soc. 2008, 59, 823–835. [Google Scholar]
  8. Howell, A.B. Cranberry Proanthocyanidins and the Maintenance of Urinary Tract Health. Crit. Rev. Food Sci. Nutr. 2002, 42, 273–278. [Google Scholar] [CrossRef] [PubMed]
  9. Hou, D.-X.; Yanagita, T.; Uto, T.; Masuzaki, S.; Fujii, M. Anthocyanidins inhibit cyclooxygenase-2 expression in LPS-evoked macrophages: Structure-activity relationship and molecular mechanisms involved. Biochem. Pharmacol. 2005, 70, 417–425. [Google Scholar] [CrossRef]
  10. Handeland, M.; Grude, N.; Torp, T.; Slimestad, R. Black chokeberry juice (Aronia melanocarpa) reduces incidences of urinary tract infection among nursing home residents in the long term—A pilot study. Nutr. Res. 2014, 34, 518–525. [Google Scholar] [CrossRef]
  11. Gąsiorowski, K.; Szyba, K.; Brokos, B.; Oszmiański, J. Antimutagenic activity of anthocyanins isolated from Aronia melanocarpa fruits. Cancer Lett. 1997, 119, 37–46. [Google Scholar] [CrossRef] [PubMed]
  12. Ohgami, K.; Ilieva, I.B.; Shiratori, K.; Koyama, Y.; Jin, X.-H.; Yoshida, K.; Kase, S.; Kitaichi, N.; Suzuki, Y.; Tanaka, T.; et al. Anti-inflammatory effects of aronia extract on rat endotoxin-induced uveitis. Investig. Ophthalmol. Vis. Sci. 2005, 46, 275–281. [Google Scholar] [CrossRef] [PubMed]
  13. Zhong, H.; Xue, Y.; Lu, X.; Shao, Q.; Cao, Y.; Wu, Z.; Chen, G. The effects of different degrees of procyanidin polymerization on the nutrient absorption and digestive enzyme activity in mice. Molecules 2018, 23, 2916. [Google Scholar] [CrossRef] [PubMed]
  14. Aires, A. Phenolics in foods: Extraction, analysis and measurements. Phenolic Compd. 2017, 61–88. [Google Scholar] [CrossRef]
  15. Sun, X.; Jin, Z.; Yang, L.; Hao, J.; Zu, Y.; Wang, W.; Liu, W. Ultrasonic-assisted extraction of procyanidins using ionic liquid solution from Larix gmelinii bark. J. Chem. 2013, 2013, 541037. [Google Scholar] [CrossRef]
  16. Da Porto, C.; Decorti, D.; Natolino, A. Water and ethanol as co-solvent in supercritical fluid extraction of proanthocyanidins from grape marc: A comparison and a proposal. J. Supercrit. Fluids 2014, 87, 1–8. [Google Scholar] [CrossRef]
  17. King, J.W. Supercritical fluid extraction: Present status and prospects. Grasas Y Aceites 2002, 53, 8–21. [Google Scholar] [CrossRef]
  18. Biernacki, K.; Souza, H.i.K.; Almeida, C.u.M.; Magalhães, A.L.; Gonçalves, M.P. Physicochemical properties of choline chloride-based deep eutectic solvents with polyols: An experimental and theoretical investigation. ACS Sustain. Chem. Eng. 2020, 8, 18712–18728. [Google Scholar] [CrossRef]
  19. Zhang, Z.; Liang, T. Applications of Green Deep Eutectic Solvents (DESs) in Synthetic Transformations. Green Solvents Org. Synth. 2024, 199–236. [Google Scholar] [CrossRef]
  20. Oliva, E.; Mir-Cerdà, A.; Sergi, M.; Granados, M.; Sentellas, S.; Saurina, J. Green extraction of phenolic compounds from strawberry waste based on natural deep eutectic solvents. Int. J. Food Sci. Technol. 2024, 59, 3967–3977. [Google Scholar] [CrossRef]
  21. Pareek, S. Fresh-cut fruits and vegetables: Technology, physiology, and safety. Science 2004, 71, S615–S620. [Google Scholar]
  22. Martín-Belloso, O.; Soliva-Fortuny, R.; Oms-Oliu, G. Fresh-cut fruits. Handb. Fruits Fruit Process. 2006, 129–144. [Google Scholar] [CrossRef]
  23. Rux, G.; Efe, E.; Ulrichs, C.; Huyskens-Keil, S.; Hassenberg, K.; Herppich, W.B. Effects of pre-processing hot-water treatment on aroma relevant VOCs of fresh-cut apple slices stored in sugar syrup. Foods 2020, 9, 78. [Google Scholar] [CrossRef] [PubMed]
  24. Curutchet, A.; Dellacassa, E.; Ringuelet, J.A.; Chaves, A.R.; Viña, S.Z. Nutritional and sensory quality during refrigerated storage of fresh-cut mints (Mentha × piperita and M. spicata). Food Chem. 2014, 143, 231–238. [Google Scholar] [CrossRef] [PubMed]
  25. Singh, S.; Alam, M. Preservation of fresh-cut fruits and vegetables: Current status and emerging technologies. Stewart Postharvest Rev. 2012, 8, 1–10. [Google Scholar]
  26. Lebelo, K.; Malebo, N.; Mochane, M.J.; Masinde, M. Chemical contamination pathways and the food safety implications along the various stages of food production: A review. Int. J. Environ. Res. Public Health 2021, 18, 5795. [Google Scholar] [CrossRef] [PubMed]
  27. Tan, M.; Chang, S.; Liu, J.; Li, H.; Xu, P.; Wang, P.; Wang, X.; Zhao, M.; Zhao, B.; Wang, L.; et al. Physicochemical Properties, Antioxidant and Antidiabetic Activities of Polysaccharides from Quinoa (Chenopodium quinoa Willd.) Seeds. Molecules 2020, 25, 3840. [Google Scholar] [CrossRef] [PubMed]
  28. Jirasuteeruk, C.; Theerakulkait, C. Ultrasound-assisted extraction of phenolic compounds from mango (Mangifera indica cv. Chok Anan) peel and its inhibitory effect on enzymatic browning of potato puree. Food Technol. Biotechnol. 2019, 57, 350. [Google Scholar] [CrossRef] [PubMed]
  29. Fan, X.; Sokorai, K.J.; Liao, C.H.; Cooke, P.; Zhang, H.Q. Antibrowning and antimicrobial properties of sodium acid sulfate in apple slices. J. Food Sci. 2009, 74, M485–M492. [Google Scholar] [CrossRef]
  30. Lai, W.-F. Design and application of self-healable polymeric films and coatings for smart food packaging. NPJ Sci. Food 2023, 7, 11. [Google Scholar] [CrossRef]
  31. Unusan, N. Proanthocyanidins in grape seeds: An updated review of their health benefits and potential uses in the food industry. J. Funct. Foods 2020, 67, 103861. [Google Scholar] [CrossRef]
  32. Neto, R.T.; Santos, S.A.O.; Oliveira, J.; Silvestre, A.J.D. Tuning of Proanthocyanidin Extract’s Composition through Quaternary Eutectic Solvents Extraction. Antioxidants 2020, 9, 1124. [Google Scholar] [CrossRef]
  33. Musdzalifah, M.; Fahrurrozi, M.; Sediawan, W.; Susanti, D. Separation of proanthocyanidin from red sorghum seed extract using macroporous resin. In IOP Conference Series: Earth and Environmental Science; IOP Publishing: Bristol, UK, 2022; Volume 963, p. 012043. [Google Scholar]
  34. Yao, J.; Chen, W.; Fan, K. Novel Efficient Physical Technologies for Enhancing Freeze Drying of Fruits and Vegetables: A Review. Foods 2023, 12, 4321. [Google Scholar] [CrossRef] [PubMed]
  35. Rico, D.; Martin-Diana, A.B.; Barat, J.; Barry-Ryan, C. Extending and measuring the quality of fresh-cut fruit and vegetables: A review. Trends Food Sci. Technol. 2007, 18, 373–386. [Google Scholar] [CrossRef]
  36. Giannakourou, M.C.; Tsironi, T.N. Application of processing and packaging hurdles for fresh-cut fruits and vegetables preservation. Foods 2021, 10, 830. [Google Scholar] [CrossRef]
  37. Li, X.; He, C.; Song, L.; Li, T.; Cui, S.; Zhang, L.; Jia, Y. Antimicrobial activity and mechanism of Larch bark procyanidins against Staphylococcus aureus. Acta Biochim. Biophys. Sin. 2017, 49, 1058–1066. [Google Scholar] [CrossRef] [PubMed]
  38. Pinzón-Arango, P.A.; Holguin, K.; Camesano, T.A. Impact of cranberry juice and proanthocyanidins on the ability of Escherichia coli to form biofilms. Food Sci. Biotechnol. 2011, 20, 1315–1321. [Google Scholar] [CrossRef]
  39. Di Pasqua, R.; Betts, G.; Hoskins, N.; Edwards, M.; Ercolini, D.; Mauriello, G. Membrane toxicity of antimicrobial compounds from essential oils. J. Agric. Food Chem. 2007, 55, 4863–4870. [Google Scholar] [CrossRef] [PubMed]
  40. Thapa, D.; Losa, R.; Zweifel, B.; Wallace, R.J. Sensitivity of pathogenic and commensal bacteria from the human colon to essential oils. Microbiology 2012, 158, 2870–2877. [Google Scholar] [CrossRef]
  41. Vuolo, M.M.; Lima, V.S.; Junior, M.R.M. Phenolic compounds: Structure, classification, and antioxidant power. In Bioactive compounds; Elsevier: Amsterdam, The Netherlands, 2019; pp. 33–50. [Google Scholar]
  42. Chen, J.; Yang, J.; Ma, L.; Li, J.; Shahzad, N.; Kim, C.K. Structure-antioxidant activity relationship of methoxy, phenolic hydroxyl, and carboxylic acid groups of phenolic acids. Sci. Rep. 2020, 10, 2611. [Google Scholar] [CrossRef]
  43. Del-Valle, V.; Hernández-Muñoz, P.; Guarda, A.; Galotto, M.J. Development of a cactus-mucilage edible coating (Opuntia ficus indica) and its application to extend strawberry (Fragaria ananassa) shelf-life. Food Chem. 2005, 91, 751–756. [Google Scholar] [CrossRef]
  44. Liang, L.; Qiu, H.; Liu, Y.; Liu, Y.; Weng, L.; Zhong, W.; Meng, F. Exploring the potential of ume-derived proanthocyanidins: Novel applications for blueberry preservation. Front. Microbiol. 2023, 14, 1265993. [Google Scholar] [CrossRef] [PubMed]
Figure 1. DESs in different ratios ((A), choline chloride: malonate = 1.3:0.3; (B), choline chloride: malonate = 1:0.8; (C), choline chloride: malonate = 1:1.4—one week at 20 °C).
Figure 1. DESs in different ratios ((A), choline chloride: malonate = 1.3:0.3; (B), choline chloride: malonate = 1:0.8; (C), choline chloride: malonate = 1:1.4—one week at 20 °C).
Horticulturae 10 00556 g001
Figure 2. Proanthocyanidin standard curve. Tested at 30 °C and 67% humidity with an absorption wavelength of 550 nm.
Figure 2. Proanthocyanidin standard curve. Tested at 30 °C and 67% humidity with an absorption wavelength of 550 nm.
Horticulturae 10 00556 g002
Figure 3. (A) is the effect of different DESs ratios on the extraction of proanthocyanidins. 0.8, 0.9, 1, 1.1, 1.2, 1.3, 1.4 indicates choline chloride: malonic acid = 1:0.8, 1:0.9, 1:1, 1:1.1, 1:1.2, 1:1.3, 1:1.4; (B) is the effect of solvent water content on extraction; (C) is the effect of solution-feed ratio on extraction; (D) is the effect of extraction time ratio on extraction; (E) is the effect of extraction temperature ratio on extraction; (F) is the effect of ultrasound power ratio on extraction. Error bars show the standard deviation of the mean (n = 3).
Figure 3. (A) is the effect of different DESs ratios on the extraction of proanthocyanidins. 0.8, 0.9, 1, 1.1, 1.2, 1.3, 1.4 indicates choline chloride: malonic acid = 1:0.8, 1:0.9, 1:1, 1:1.1, 1:1.2, 1:1.3, 1:1.4; (B) is the effect of solvent water content on extraction; (C) is the effect of solution-feed ratio on extraction; (D) is the effect of extraction time ratio on extraction; (E) is the effect of extraction temperature ratio on extraction; (F) is the effect of ultrasound power ratio on extraction. Error bars show the standard deviation of the mean (n = 3).
Horticulturae 10 00556 g003
Figure 4. In vitro antioxidant capacity of proanthocyanidins of black chokeberry; (A) is DPPH scavenging ability; (B) is ·OH scavenging ability; (C) is O2 scavenging ability; and (D) is ABTS scavenging ability; Error bars show the standard deviation of the mean (n = 3). The same lowercase letters indicate significant differences between samples of different treatment groups with the same storage time (n = 3, p ≤ 0.05).
Figure 4. In vitro antioxidant capacity of proanthocyanidins of black chokeberry; (A) is DPPH scavenging ability; (B) is ·OH scavenging ability; (C) is O2 scavenging ability; and (D) is ABTS scavenging ability; Error bars show the standard deviation of the mean (n = 3). The same lowercase letters indicate significant differences between samples of different treatment groups with the same storage time (n = 3, p ≤ 0.05).
Horticulturae 10 00556 g004
Figure 5. Photographs of the circle of inhibition of proanthocyanidins against four test bacteria (1: 30% ethanol solution; 2: 100 mg/mL; 3: 50 mg/mL; 4: 25 mg/mL).
Figure 5. Photographs of the circle of inhibition of proanthocyanidins against four test bacteria (1: 30% ethanol solution; 2: 100 mg/mL; 3: 50 mg/mL; 4: 25 mg/mL).
Horticulturae 10 00556 g005
Figure 6. Changes in the colony counts of both E. coli (A) and S. aureus (B) under variable treatments at 37 °C.; Error bars show the standard deviation of the mean (n = 3). The same lowercase letters indicate significant differences between samples of different treatment groups with the same storage time (n = 3, p ≤ 0.05).
Figure 6. Changes in the colony counts of both E. coli (A) and S. aureus (B) under variable treatments at 37 °C.; Error bars show the standard deviation of the mean (n = 3). The same lowercase letters indicate significant differences between samples of different treatment groups with the same storage time (n = 3, p ≤ 0.05).
Horticulturae 10 00556 g006
Figure 7. Changes in the appearance of freshly cut apples; the experiments were carried out at a temperature of 7 °C ± 0.5 °C and humidity of 67% ± 7% and normal grade indoor environment.
Figure 7. Changes in the appearance of freshly cut apples; the experiments were carried out at a temperature of 7 °C ± 0.5 °C and humidity of 67% ± 7% and normal grade indoor environment.
Horticulturae 10 00556 g007
Figure 8. Changes in total bacterial counts of freshly cut apples Error bars show the standard deviation of the mean (n = 3). The same lowercase letters indicate significant differences between samples of different treatment groups with the same storage time (n = 3, p ≤ 0.05).
Figure 8. Changes in total bacterial counts of freshly cut apples Error bars show the standard deviation of the mean (n = 3). The same lowercase letters indicate significant differences between samples of different treatment groups with the same storage time (n = 3, p ≤ 0.05).
Horticulturae 10 00556 g008
Table 1. Orthogonal experiment factor table L18 (36).
Table 1. Orthogonal experiment factor table L18 (36).
No.Solvent Ratio
A
Water Content (%) BS-F Ratio
D
Extraction Time (min)
C
Temperature (°C)
E
Ultrasonic Power (W)
F
Concentration (mg/g)
11.1510304510040.01
21.1515405530059.48
31.11020305520061.21
41.11010505030056.6
51.11520405010059.12
61.11515504520061.48
71.2520305030060.29
81.2510505520056.12
91.21015405020063.72
101.21020504510062.09
111.21515305510052.98
121.21510404530058.16
131.3520404520051.65
141.3515505010059.64
151.31015304530060.65
161.31010405510058.79
171.31510305020057.59
181.31520505530056.53
K1337.90327.19332.73327.27334.04332.63
K2353.36363.06350.92357.95356.96351.77
K3344.85345.86352.46350.89345.11351.71
k1112.63109.06110.91109.09111.35110.88
k2117.79121.02116.97119.32118.99117.26
k3114.95115.29117.49116.96115.04117.24
R5.1511.966.5810.237.646.38
Factor weightB > D > E > C > F > A
Best combinationA2B2C3D2E2F2
Optimum levelA2
(1:1.2)
B2
(10%)
C3
(40 min)
D2
(1:15 g/mL)
E2
(50 °C)
F2
(200 w)
Table 2. Inhibitory effect of proanthocyanidins of black chokeberry on test bacteria.
Table 2. Inhibitory effect of proanthocyanidins of black chokeberry on test bacteria.
StrainsInhibition Circle Diameter (mm)
30% Ethanol100 mg/mL50 mg/mL25 mg/mL
E. coli-16 ± 0.1114 ± 0.1410 ± 0.21
S. aureus-18 ± 0.0916 ± 0.1712 ± 0.24
Penicillium sp.----
A. niger----
“-” indicates no inhibitory effect.
Table 3. MIC of proanthocyanidin black chokeberry.
Table 3. MIC of proanthocyanidin black chokeberry.
SampleMIC (mg/mL)
E. coliS. aureusPenicillium sp.A. niger
proanthocyanidin255--
30% ethanol----
“-” indicates no inhibitory effect.
Table 4. Changes in weight loss rate of fresh-cut apples.
Table 4. Changes in weight loss rate of fresh-cut apples.
GroupsWeight Loss Rate (%)
1 Day3 Day5 Day7 Day
5 mg/mL PC1.12 ± 0.47 a2.46 ± 0.56 a3.48 ± 0.47 a6.76 ± 0.68 a
Control1.93 ± 0.55 a4.76 ± 0.83 b6.71 ± 0.91 b9.19 ± 0.85 b
30% ethanol1.25 ± 0.35 a3.84 ± 0.71 b5.38 ± 1.21 ab8.85 ± 0.83 b
Different letters represent significant differences between different treatment groups on the same day (p ≤ 0.05).
Table 5. Variation in firmness of fresh-cut apples.
Table 5. Variation in firmness of fresh-cut apples.
GroupsFirmness (gf)
1 Day3 Day5 Day7 Day
5 mg/mL PC243.78 ± 8.43 a225.32 ± 5.43 b218.43 ± 6.47 c208.43 ± 7.68 a
Control247.51 ± 6.89 a212.76 ± 5.07 a190.75 ± 6.23 ab178.33 ± 6.12 b
30% ethanol245.57 ± 7.32 a215.14 ± 5.02 ab196.03 ± 6.54 b182.71 ± 7.46 b
Different letters represent significant differences between different treatment groups on the same day (p ≤ 0.05).
Table 6. Changes in fresh-cut apples L*.
Table 6. Changes in fresh-cut apples L*.
GroupsL*
1 Day3 Day5 Day7 Day
5 mg/mL PC76.43 ± 7.68 a67.34 ± 5.43 a64.45 ± 6.47 a62.56 ± 4.3 a
Control75.13 ± 3.89 a68.63 ± 3.47 a67.13 ± 2.54 a66.23 ± 2.22 a
30% ethanol70.33 ± 3.92 a67.87 ± 2.64 a66.8 ± 2.63 a64.13 ± 3.93 a
Different letters represent significant differences between different treatment groups on the same day (p ≤ 0.05).
Disclaimer/Publisher’s Note: The statements, opinions and data contained in all publications are solely those of the individual author(s) and contributor(s) and not of MDPI and/or the editor(s). MDPI and/or the editor(s) disclaim responsibility for any injury to people or property resulting from any ideas, methods, instructions or products referred to in the content.

Share and Cite

MDPI and ACS Style

Li, S.; Chen, J.; Sarengaowa; Chen, C.; Hu, W. Application of Procyanidins from Aronia melanocarpa (Michx.) Elliott in Fresh-Cut Apple Preservation. Horticulturae 2024, 10, 556. https://doi.org/10.3390/horticulturae10060556

AMA Style

Li S, Chen J, Sarengaowa, Chen C, Hu W. Application of Procyanidins from Aronia melanocarpa (Michx.) Elliott in Fresh-Cut Apple Preservation. Horticulturae. 2024; 10(6):556. https://doi.org/10.3390/horticulturae10060556

Chicago/Turabian Style

Li, Shangjian, Jiajia Chen, Sarengaowa, Chen Chen, and Wenzhong Hu. 2024. "Application of Procyanidins from Aronia melanocarpa (Michx.) Elliott in Fresh-Cut Apple Preservation" Horticulturae 10, no. 6: 556. https://doi.org/10.3390/horticulturae10060556

APA Style

Li, S., Chen, J., Sarengaowa, Chen, C., & Hu, W. (2024). Application of Procyanidins from Aronia melanocarpa (Michx.) Elliott in Fresh-Cut Apple Preservation. Horticulturae, 10(6), 556. https://doi.org/10.3390/horticulturae10060556

Note that from the first issue of 2016, this journal uses article numbers instead of page numbers. See further details here.

Article Metrics

Back to TopTop