Abstract
Members of DOMAIN OF UNKNOWN FUNCTION 679 membrane proteins (DMPs) have the DUF679 domain, which plays an important role in the process of plant fertilization. In this study, bioinformatics methods were used to identify and analyze the DMP gene family in pepper. The location of the expression of the DMP gene family was explored according to the transient expression of Nicotiana benthamiana, and its expression patterns in different tissues and abiotic stress treatments were analyzed by qRT-PCR. A total of 17 CaDMP genes were identified from the three capsicum varieties, and sub-cellular localization prediction showed that CaDMPs were located on the cell membrane. Phylogenetic analysis showed that CaDMP5 in subgroup Ⅳ was highly homologous with haploid induction genes in Arabidopsis and maize, and its expression level in reproductive organs was significantly higher than that in other tissues, suggesting that CaDMP5 could be a candidate gene for haploid induction in pepper. The expression of CaDMPs increased to varying degrees after different stress treatments, indicating that the DMP gene plays an important role in plant growth and development. The CaDMP gene family was systematically analyzed in this study, which provided preliminary insights for the further research of Capsicum haploid breeding.
1. Introduction
Membrane proteins on the plasma membrane of gametes play an important role in the recognition and fusion of male and female gametes during double fertilization, a unique sexual reproduction process in flowering plants [1,2]. For example, male gamete membrane proteins GCS1/HAP2 and GEX2 could directly regulate gamete fusion [3,4], and the EC1 protein secreted by egg cells could enable sperm to obtain fusion ability [5].
DMPs play an important role in regulating plant growth and development. In recent years, it has been found that they can be used as the target gene for haploid induction. Zhong found ZmDMP in maize and used the mutant lines of the ZmDMP gene as haploid induction lines, which were widely used in maize breeding [6]. Ten members of the DMP genes family were identified at the genome-wide level of Arabidopsis thaliana, and different members had unique expression patterns in different tissues and organs. The loss of function of AtDMP8 and AtDMP9, homologous genes of ZmDMP in Arabidopsis thaliana, could also induce the production of maternal haploids [7]. Systematic analyses of the DMP family in cotton (Gossypium spp.) found that cotton DMP genes were involved in plant aging and reproductive processes, among which GhDMP8-A/-D and GbDMP8-A/-D could be used as candidate genes for cotton haploid induction [8]. It has been shown that the knockdown of DMP9 will lead to the single fertilization of central cells and cause seed abortion [9]. The ZmDMP-like protein was found to be conserved in many dicotyledonous plants, and the DMP-based haploid induction system has been successfully applied to several plant species.
Double haploid (DH) technology has become one of the most attractive techniques in the field of plant biotechnology and has a significant and valuable advantage over traditional approaches in crop breeding [10]. The main ways to obtain pepper haploids are through pepper anthers culture and pepper microspore culture [11]. Although remarkable achievements have been made in the production of haploids by in vitro induction, anthers cultivation has been limited by genotype dependence, plant growth state, pretreatment, culture conditions, and high contamination rate [12]. Microspore culture can overcome some of the above problems, but it started late, and the induction system is not perfect, so this method is not effective yet [13]. On the contrary, using gene editing technology to achieve haploid-inducible lines can rapidly achieve the targeted improvement of inbred lines [14], so it is urgent to identify haploid-inducible genes and create haploid-inducible lines of pepper. Pepper is an annual or limited perennial plant in the Solanaceae family, rich in capsaicin and vitamin C, and plays an important role in many fields such as agriculture, pharmaceuticals, and food processing [15]. The DMP genes family has been studied in a variety of crops, but it has not been reported in pepper, and the mechanism of its action in the process of reproduction and development is especially poorly understood. In this study, six DMP family members were identified in the whole genome of “Zunla-1”. Analyses of their physical and chemical properties, chromosome distribution, phylogenetic relationship, conserved motifs, gene structures, and expression patterns of various organs were conducted, which provided reference for further functional studies of DMP genes in pepper and explored potential candidate DMP genes for pepper haploid breeding.
2. Material and Methods
2.1. Identification and Physicochemical Analysis of DMP Gene Family in Pepper
We downloaded the whole-genome and proteome data of “Zunla-1” (v2.0), Capsicum chinense (v1.2), and CM334 (v2.0) from the Sol Genomics Network (https://solgenomics.net/organism/Capsicum_annuum/genome, accessed on 12 March 2024) [16], the DMP genes of Arabidopsis thaliana were obtained from the published article [7], and the published AtDMPs protein sequences were obtained from the Arabidopsis Information Resource (TAIR, version 10, http://www.arabidopsis.org, accessed on 12 March 2024) [17].
The Hidden Markov Model (HMM) profiles of the DMPs conservative domain (serial number PF05078) were downloaded from the Pfam database (http://pfam-legacy.xfam.org/, accessed on 12 March 2024) [18]. Subsequently, a search for the CaDMP genes were conducted from the pepper genome-wide database using the online tool Hmmer web search (the E-value was less than 1e-10) [19], then SMART (http://smart.embl-heidelberg.de/, accessed on 12 March 2024) [20] and Batch web CD-Search tools (https://www.ncbi.nlm.nih.gov/Structure/bwrpsb/bwrpsb.cgi, accessed on 12 March 2024) [21] were used to screen and identify the domain of the obtained DMP genes, and finally the DMP candidate genes were identified.
Furthermore, the physicochemical properties of CaDMP genes were analyzed using the ExPASy tool (http://web.expasy.org/, accessed on 14 March 2024), including length, molecular weight, number of amino acids, and isoelectric point [22]. Subcellular localization of CaDMP genes was predicted using the Euk-mPLoc 2.0 (http://www.csbio.sjtu.edu.cn/bioinf/euk-multi-2/, accessed on 14 March 2024) [23]. The number of transmembrane domains (TM) was predicted using the TMHMM Server v2.0 (https://services.healthtech.dtu.dk/services/TMHMM-2.0/, accessed on 14 March 2024) [24].
2.2. Multiple Sequence Alignment and Phylogenetic Analysis of DMP Genes
To investigate the phylogenetic relationships of DMP genes, DMPs sequences were obtained from three pepper cultivars (Zunla-1, Caz; CM334, Cam; Capsicum chinense, Cac), Arabidopsis thaliana (A. thaliana), maize (Z. mays), tomato (S. lycopersicum), Nicotiana tabacum (N. tabacum), cotton (G. hirsutum), eggplant (S. melongena), and rice (O. sativa). Based on previous research, we obtained the whole-genome sequences of rice from the Ensembl Plants database (http://plants.Ensembl.org/index.html, accessed on 21 April 2024) and eggplant from the Eggplant Genome Database (http://www.eggplant-hq.cn/Eggplant/home/index, accessed on 21 April 2024) [25], and we subsequently obtained DMP homologous protein sequences by blastp. The DMPs of cotton [8], maize [6], and tomato [26] were obtained from published articles.
Multiple sequence alignment analysis of DMP amino acid sequences of A. thaliana, maize, tomato, N. tabacum, cotton, eggplant, rice, and three pepper cultivars were performed using MEGA [27]. The Bootstrap method was used to test the tree with 1000 replicates, and the phylogenetic tree was constructed using the Poisson model and neighbor-joining method with partial deletion of gap parameters.
2.3. Analysis of Conserved Domain, Gene Structure, and Conserved Protein Motif of DMP Family Genes
The conserved domains files of CaDMPs were downloaded in the NCBI web CD-search tool.
The conserved motifs of CaDMPs were identified by Multiple Em from the Motif Elicitation5.5.3 (MEME5.5.3) website (https://meme-suite.org/meme/tools/meme, accessed on 27 April 2024) [28]. The structures of DMP genes were analyzed using the nwk file of the phylogenetic tree and genome annotation file in the online tool the Gene Structure Display Server (GSDS) 2.0 (http://gsds.gao-lab.org/, accessed on 27 April 2024) [29]. Figures of phylogenetic trees along with gene structure, motifs, and conserved domains of three peppers and Arabidopsis DMPs were drawn with Tbtools v2.906 software [30].
2.4. Chromosomal Locations, Cis-Acting Elements Analysis, and Collinearity Analysis of DMP Genes in Pepper
The physical locations of CaDMPs were obtained in the genome annotation file downloaded from the Sol Genomics database and visualized with Tbtools. The DMP collinearity pairs between “Zunla-1”, A. thaliana, and S. lycopersicum were extracted in Tbtools and used for collinearity mapping [30].
The 2000 bp upstream sequences of the DMP genes were extracted as promotors using Tbtools, and the online website Plant Cis-Acting Regulatory Element (http://bioinformatics.psb.ugent.be/webtools/plantcare/html/, accessed on 28 April 2024) was used to obtain the cis-acting element results, which were visualized by Tbtools [31].
2.5. Gene Expression Analysis and Sample Stress Treatment
Total RNA was extracted from pepper variety “851”, including roots, stems, leaves, mononuclear anther, and trinuclear anther using the FG-Plant RNA Isolation Kit (Nobelab, Beijing, China) according to the instructions. These five parts of RNA were converted into cDNA and then used as the template for qRT-PCR. The specific primers and internal reference gene sequences of CaDMP are shown in Table S1.
The full and sterilized seeds of pepper were immersed in distilled water for 24 h and sprouted in a constant temperature incubator at 28 °C, then bred in a seedling bowl containing substrate (vermiculite: nutrient soil = 3:1), and grown in a light culture room. The parameters were set at 28 °C/23 °C (day/night) with the photoperiod of 16 h/8 h (light/dark) and a light intensity of 20,000 lx [16]. When the seedlings grew to 5–6 true leaves, we selected the seedlings with similar growth and no disease and insect pests for abiotic stress treatment. The treatment conditions of the experimental group were 10 °C, 42 °C, 5%PEG6000, and 200 mM NaCl, respectively. The control group was treated with distilled water. Five seedlings were treated in each group, and three replicates were set up. The leaves of the seedlings were collected at 0, 0.5, 1, 3, 6, 12, and 24 h after treatment, respectively. The samples were collected and immediately frozen in liquid nitrogen and then stored at −80 °C for subsequent processing.
QRT-PCR was carried out using ChamQ Universal SYBR Qpcr Master Mix (Vazyme, Nanjing, China) according to the manufacturer’s instructions. All samples were independently repeated three times, and the relative expression data of CaDMPs were calculated using the 2−ΔΔCt method. [32].
2.6. Transient Expression of the CaDMP Genes in Nicotiana benthamiana
The CaDMP genes were cloned into pCAMBIA2300 vector, and the empty vector pCAMBIA2300 was used as a control. The above vectors were transformed into Agrobacterium tumefaciens strain GV3101, respectively. When N. benthamiana grew to 4–5 leaves, the infecting liquid was injected into the leaves of the tobacco with a syringe. Green fluorescent protein (GFP) signals in leaves were observed by laser scanning confocal microscopy (Olympus, Tokyo, Japan) after 24 h of dark culture and 12 h of light culture at 25 °C. The primer sequences used for vector construction are shown in Table S2.
3. Results
3.1. Identification of DMP Genes and Analysis of Physicochemical Properties in Pepper
Based on the genomic information of pepper, 17 CaDMP genes were identified in “Zunla-1”, Capsicum chinense (C.ch), and CM334 after blast with the DMP protein sequences of A. thaliana. The number of CaDMP genes of “Zunla-1”, C.ch, and CM334 was six, six, and five, respectively. All these genes were renamed according to their chromosome locations. The open reading frame of CaDMP genes ranged from 519 bp (CazDMP2) to 1671 bp (CacDMP6), and the number of encoded amino acids ranged from 172 to 556. The molecular weight varied from 18.89 kDa to 61.53 kDa, the theoretical isoelectric point (pI) ranged from 5.6 (CamDMP2) to 9.17 (CazDMP6), and most proteins had pI values greater than 7. The prediction of CaDMPs’ subcellular localization showed that most CaDMPs existed in the cell membrane and some were also distributed extracellularly (CazDMP5, CamDMP3, CamDMP5, CacDMP4), which is consistent with the function of DMPs. Two proteins were distributed only outside the cell (CamDMP2, CacDMP5), and only one protein was distributed in the chloroplast (CacDMP6). According to TM region prediction, most CaDMPs have four transmembrane regions, and a few have 2–3, suggesting that members of the CaDMPs family may have conserved structures (Table 1).
Table 1.
The information of the CaDMP gene family.
3.2. Phylogenetic Analysis of CaDMP Genes
To further explore the homology of the CaDMP family among different species, we constructed phylogenetic trees in MEGA 7.0 using the NJ method based on the DMPs protein sequences of three cultivars of pepper, A. thaliana, Z. mays, S. lycopersicum, N. tabacum, G. hirsutum, S. melongena, and O. sativa (Figure 1). A total of 77 homologous DMP genes were found in the above species. The DMP genes in these plant species are shown in Table S3. Phylogenetic trees showed that the DMP gene families of these plants could be divided into six subfamilies: I, II, III, V, IV, and VI. Among them, CazDMP5, CamDMP3, and CacDMP6 were in the same branch as ZmDMP, SlDMP, AtDMP8, and AtDMP9, which had been reported to induce maternal haploids with inactivation mutations. This indicates that they may have the same function and can be used as candidate genes to induce haploid production in pepper.
Figure 1.
Phylogenetic relationships of DMP genes from pepper (Caz; Cac; Cam), A. thaliana (At), Z. mays (Zm), S. lycopersicum (Sl), N. tabacum (Nt), G. hirsutum (Gh), S. melongena (Sm), and O. sativa (Os). The figures I to VI indicated that all DMP genes could be divided into six subfamilies.
3.3. Analysis of Conserved Domain, Gene Structure, and Conserved Protein Motif of DMP Family Genes
Based on phylogenetic trees, we analyzed the sequence features of DMPs in three cultivars of pepper and A. thaliana, including gene structure, conserved domains, and conserved protein motifs, which were closely related to gene function. MEME server was used to predict 10 different conserved motifs of DMPs (Figure 2B). Motifs 1, 2, 3, and 4 were prevalent among members of the DMP family, and most of the DMP members within the same subfamily had the same motifs, indicating that the gene family of DMP is relatively conservative in genetic evolution. In other words, the functions of DMPs in the same subfamily may be similar, while certain motifs in some subfamilies, such as motif 7 and motif 8, exist in only one subfamily, suggesting that certain motifs may provide special functional effects on DMP genes.
Figure 2.
Conserved motifs, gene structure, and conserved domains of DMP genes of A. thaliana and three cultivars of pepper. (A) Phylogenetic tree constructed according to the NJ method using MEGA 7; (B) motifs of A. thaliana and three pepper cultivars were different motifs are represented by different colored boxes; (C) schematic diagram of conserved domains; (D) schematic diagram of gene structures.
CaDMPs have only one typically conserved DMP domain, which is the same as the A. thaliana protein structure, the transmembrane domain varies from two to four, and DMP domain sites in the same subfamily are highly conserved, which indicates that DMPs play an important role in the evolutionary process (Figure 2C).
Visual analysis of DMP gene structure by the GSDS 2.0 online website showed that most DMP gene family members contain only one exon structure, CazDMP2, AtDMP7, CazDMP5, CamDMP3, and CacDMP6 all contain two exons, and one intron was closed-size (Figure 2D). These results also indicate that DMP genes located in the same subfamily have similar genetic structures.
3.4. Chromosomal Locations and Collinearity of CaDMP
The analysis of chromosome mapping showed that DMP gene family members were unevenly distributed on four of the 12 chromosomes of Zunla-1, one DMP gene family member was distributed on chr01, chr04, and chr09 respectively, and three DMP gene family members were distributed on chr08 (Figure 3A). The collinearity map analysis of Zunla-1 with A. thaliana and S. lycopersicum showed that there was one collinear relationship between Zunla-1 and A. thaliana, while there were four collinear relationships between Zunla-1 and S. lycopersicum, indicating that the genetic similarity between Zunla-1 and S. lycopersicum was higher and the relationship was closer (Figure 3B; Table S4).
Figure 3.
Chromosomal locations and collinearity of DMP genes. (A) DMP chromosome mapping, where the scale on the left was used to estimate the length of chromosomes and the DMP genes of Zunla-1 were distributed on four chromosomes; (B) collinearity analysis map of Zunla-1 with A. thaliana and S. lycopersicum, where the blue line highlighted indicates collinear gene pairs, and the prefixes “Ca”, “At”, and “Sl” represent C. annuum of Zunla-1, A. thaliana, and S. lycopersicum, respectively.
3.5. Analysis of Cis-Acting Elements of DMP Gene Promoter in Pepper
The analysis results of cis-acting elements of the DMP gene in pepper are shown in Figure 4 (the CaDMP in the following articles and pictures stands for CazDMP above). The DMP promoter region included many basic elements, such as photoresponse-related cis-acting element Box 4, MRE, 3-AF1 binding site, G-box, GT1-motif, low-temperature corresponding cis-acting element LTR, anaerobic induction-required cis-acting element ARE, cis-acting element involved in salicylic acid responsiveness as-1 element, and MYB binding site involved in drought-inducibility MBS, indicating that the DMP genes of pepper are involved in the hormone response, stress response, and other plant growth processes (Table S5).
Figure 4.
Analysis of cis-acting element in the DMP gene family of Zunla-1.
3.6. Expression of DMP Gene in Different Tissues of Pepper
The qRT-PCR analysis of CaDMP (CazDMP) genes expression showed that CaDMP1 was the only gene with the highest relative expression in the stem, while CaDMP2 and CaDMP3 had the highest relative expression in the root (Figure 5B). The expression levels of CaDMP4, CaDMP5, and CaDMP6 were the highest in trinucleate anthers, indicating that these three genes may play an important role in the anther maturation process. At the same time, CaDMP5 was in the same subfamily as ZmDMP, AtDMP8, and AtDMP9 in phylogenetic analysis, and it was speculated that they may have similar functions, that CaDMP5 participates in the reproductive process of pollination and fertilization, and can be used as a candidate gene for haploid induction.
Figure 5.
The relative expression levels of CaDMP genes in the root, stem, leaf, mononucleate anther, and trinucleate anther. (A) Different tissues of pepper, including the root, stem, leaf, mononucleate anther, and trinucleate anther; (B) the relative expression levels of CaDMP genes. “MA” represents mononucleate anther and “TA” represents trinucleate anther. Different lowercase letters on the bar indicate significant differences among treatments (p < 0.05).
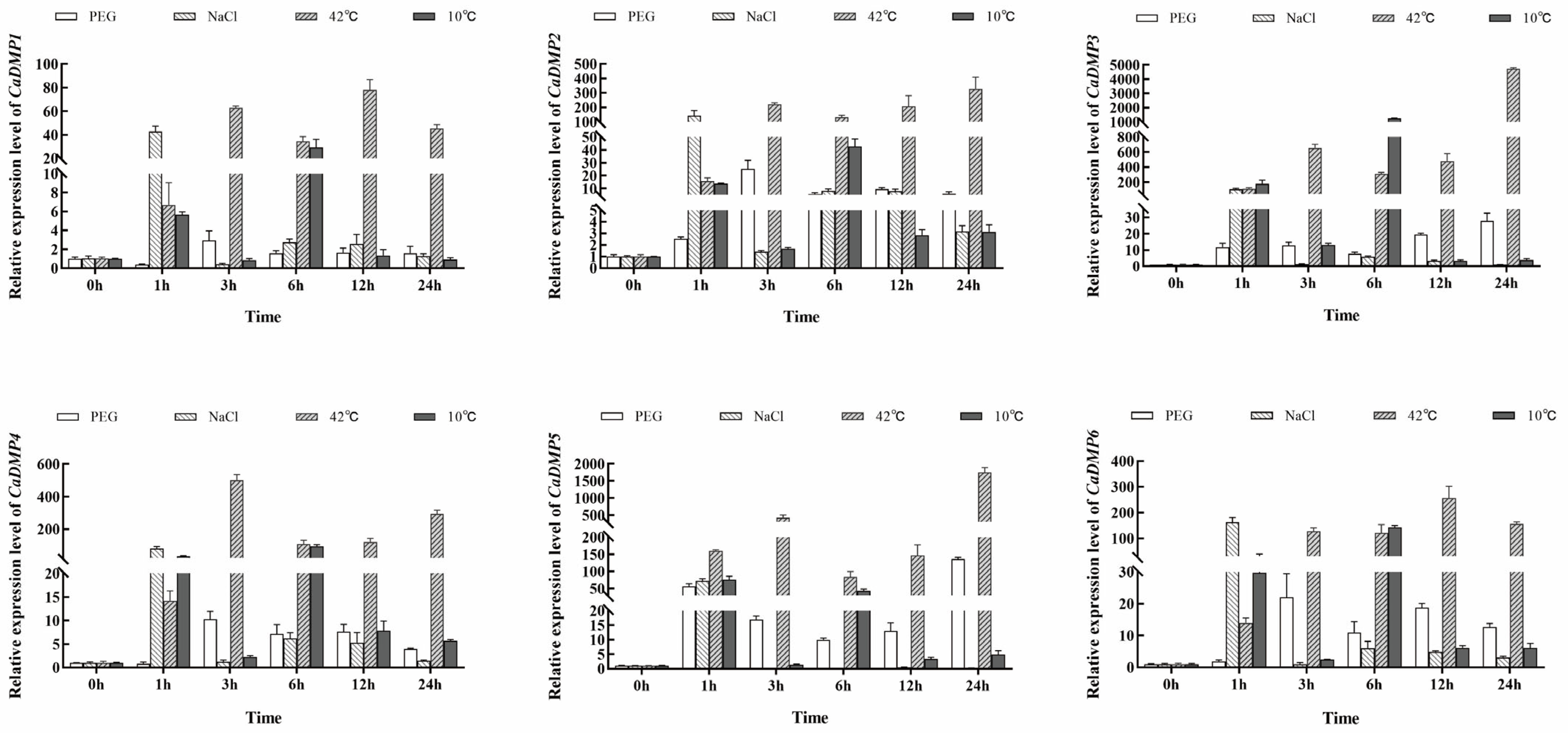
3.7. Expression Analysis of CaDMP Genes under Different Abiotic Stresses
In order to further explore whether CaDMP responds to abiotic stress, we explored the expression of CaDMP in pepper leaves under four kinds of stress. As shown in Figure 6, the expression levels of all genes were upregulated in the four kinds of stress, and the response to high temperature was the most obvious. This was followed by salt stress, which was the most sensitive, and all genes showed a peak value after 1 h of treatment. CaDMP1, CaDMP3, and CaDMP4 were less sensitive to osmotic stress than other stresses, and their expression levels changed little. Except for CaDMP5, all genes showed the same trend of up-regulation and then decrease in response to low temperature. It is speculated that CaDMPs may play a positive regulatory function in the resistance of pepper to drought stress, osmotic stress, cold stress, and heat stress.
Figure 6.
The relative expression of CaDMP genes under cold stress (10 °C), heat stress (42 °C), salt stress (200 mM NaCl), and osmotic stress (5%PEG6000).
3.8. Transient Expression of the CaDMP Genes in Nicotiana benthamiana
The prediction of CaDMPs’ subcellular localization was verified by the transient expression of CaDMP genes in N. benthamiana. As shown in Figure 7, 35S: eGFP represented an empty vector. Its expression localization in tobacco was in the cell membrane and nucleus. Compared with the empty vector, all CaDMP genes were located on the cell membrane, which was the same as the predicted results on the Euk-mPLoc 2.0 website, indicating that this gene family plays an important role on the membrane.
Figure 7.
Subcellular localization of CaDMPs proteins in tobacco leaf. Scale bars: 40 μm.
4. Discussion
Recent studies have revolutionized the traditional breeding system of haploid induction owing to the identification and application of DMPs, which have been utilized in some crops [6,7,26]. However, few studies on their functions in pepper have been conducted. In the current study, bioinformatics analysis shows that a total of 17 DMP genes were identified, including six in Zunla-1, six in Capsicum chinense, and five in CM334. Sequence analysis showed that these DMP genes had similar structures, and each DMP contained a conserved DUF679 domain and 3–5 TM. Most of the DMP genes in pepper had no introns, suggesting that they may have special functions. Studies on the AtDMP8 and AtDMP9 genes found that the subcellular localization of the two genes were located on the cell membrane, and it was found that the fusion of sperm-egg cells was hindered by DMP mutations [33]. All the six DMP proteins in Zunla-1 were located on the cell membrane, suggesting that the DMP gene in pepper may also be involved in the specific recognition or fusion process of plant spermatozoa cells.
In the current study, RT-qPCR analysis revealed that DMPs participate in plant growth and development. However, the expression levels of different DMP genes in tissues of pepper were different, which were closely related to their functions. Both CaDMP5 and CaDMP6 had the highest expression levels in trinuclear anthers, indicating that they play an important role in the process of pollen maturation. Compared with other genes, CaDMP6 was also highly expressed in other organs, suggesting that CaDMP5 was specifically expressed in anthers. In phylogenetic analysis, CaDMP5 belongs to the same subfamily as ZmDMP, AtDMP8, AtDMP9, and SlDMP; subcellular localization results indicated that CaDMP5 was located on the cell membrane, consistent with the results of ZmDMP, AtDMP8, AtDMP8, and SlDMP [6,7,26]. Therefore, we speculate that CaDMP5 may be involved in the reproductive processes of pollination and fertilization. Knocking out CaDMP5 may also have the ability to induce pepper monoploids, making it a candidate gene for creating haploid inducers.
According to the analysis of cis-acting elements in the DMP promoter, many cis-elements related to growth, stress, and plant hormone signaling were found in the DMP promoter region. The expression of DMP was up-regulated in leaves under cold, heat, salt, and osmotic stresses, suggesting that CaDMP played an important role in responding to abiotic stress. It also provided a new idea for the follow-up study of pepper response to biological and abiotic stress.
Compared with the traditional methods of obtaining homozygous breeding lines through extensive selfing or backcrossing, haploid breeding technology can produce homozygous DH lines within one generation, which can effectively shorten the time of obtaining pure lines and improve breeding efficiency [34]. The induction of haploid generation by genetic engineering technology has been reported several times before. MATRILINEAL/PHOSPHOLIPASE A1/NOT LIKE DAD (MTL/PLA1/NLD) is a pollen-specific phospholipase gene, which plays a key role in pollen development, germination, and pollen tube growth [35]. Frameshift mutation of MTL in maize can induce haploid production [36]. Knocking out the homologous genes of MTL in rice, wheat, and foxtail millet can induce haploid production, with a haploid induction rate of 6%, 5.88–15.66%, and 2.8%, respectively [37,38,39]. Studies have found that this type of gene is conservative only in monocotyledonous plants and is not applicable for selecting haploid induction genes in dicotyledonous plants. Arabidopsis thaliana has induced haploid generation by manipulating the centromere-specific histone CENH3 protein [40]. When the cnh3 null-mutant-expressing altered CENH3 protein was crossed with the wild type, the chromosomes in the mutant were eliminated and haploid offspring were produced. However, cenh3 mutations are difficult to obtain and the haploid induction efficiency in other plants is much lower than that in Arabidopsis, so the haploid induction line based on this is not widely used.
Zhong first discovered the DMP gene in maize, and the single base mutation in the first TM domain of the DMPs in maize increased the efficiency of maize haploid induction, which opened a new path for the creation of crop haploid lines [6]. DMP mutants have also been proved to be efficient and genotype-independent in tomato maternal HI [26], thereby increasing the percentage of aborted seeds and ovules. The latest research has shown a mutant of GhDMP in cotton with a haploid induction rate (HIR) as high as 1.06%; knocking out the CsDMP gene in cucumber can also induce haploid production, with a haploid induction rate ranging from 0.09% to 0.4% [41,42]. The adoption of such a method in pepper has great potential, but whether it can successfully induce haploids remains to be explored. In summary, combined with the above analysis, it can be inferred that CaDMP5 is a haploid induction candidate gene in pepper, which can be used for subsequent studies.
5. Conclusions
In this study, based on the genome and transcriptome of Capsicum annuum, the DMP gene family of pepper was systematically identified and analyzed at the whole-genome level. The results showed that a total of 17 DMP genes were identified in three cultivars of pepper. CaDMPs in Zunla-1 were differently expressed in different tissues, and the functions of homologous genes were differentiated. The expression of CaDMP5 in anther was significantly higher than that in other tissues, which could be used as a candidate gene for haploid induction in pepper. This study has important significance for the development of pepper haploid breeding and provides a certain research basis for further exploring the gene function of CaDMP.
Supplementary Materials
The following supporting information can be downloaded at https://www.mdpi.com/article/10.3390/horticulturae10070679/s1. Table S1: The primers used for qRT-PCR in this study. Table S2: The primers for subcellular localization. Table S3: Sequence information for phylogenetic trees. Table S4: Collinearity analyses of DMP gene family between Zunla-1, A. thaliana, and S. lycopersicum. Table S5: Analysis of CaDMP cis-elements.
Author Contributions
Y.Z. (Yamin Zhang) and D.Z.: bioinformatic analysis, conducted the experiments, and wrote original draft; X.L.: performed the experiments and analyzed the data; J.H.: methodology; Z.C. and N.X.: writing—review; Y.Z. (Yike Zhong) and S.Y.: bioinformatic analysis; L.Q.: revised the manuscript; B.L.: provided pepper seeds; M.T.A.: bioinformatic analysis; W.L. and H.S.: conceived and designed the experiments. All authors have read and agreed to the published version of the manuscript.
Funding
This research was supported by the Funding of Joint Research on Agricultural Variety Improvement of Henan Province (2022010501).
Data Availability Statement
The datasets generated during and/or analyzed during the current study are available from the corresponding author upon reasonable request.
Acknowledgments
We are grateful to Nissim Yonash (Israel’s National Crop Gene Bank, Israel) for his valid comments and revisions to this article.
Conflicts of Interest
Author Bo Li and Wenyue Li were employed by the Henan OULAND Seed Industry Co., Ltd. The remaining authors declare that the research was conducted in the absence of any commercial or financial relationships that could be construed as a potential conflict of interest.
References
- Mori, T.; Kawai-Toyooka, H.; Igawa, T.; Nozaki, H. Gamete Dialogs in Green Lineages. Mol. Plant 2015, 8, 1442–1454. [Google Scholar] [CrossRef] [PubMed]
- Dresselhaus, T.; Sprunck, S.; Wessel, G.M. Fertilization Mechanisms in Flowering Plants. Curr. Biol. 2016, 26, R125–R139. [Google Scholar] [CrossRef] [PubMed]
- Mori, T.; Kuroiwa, H.; Higashiyama, T.; Kuroiwa, T. GENERATIVE CELL SPECIFIC 1 is essential for angiosperm fertilization. Nat. Cell Biol. 2005, 8, 64–71. [Google Scholar] [CrossRef] [PubMed]
- von Besser, K.; Frank, A.C.; Johnson, M.A.; Preuss, D. Arabidopsis HAP2(GCS1) is a sperm-specific gene required for pollen tube guidance and fertilization. Development 2006, 133, 4761–4769. [Google Scholar] [CrossRef]
- Sprunck, S.; Hackenberg, T.; Englhart, M.; Vogler, F. Same same but different: Sperm-activating EC1 and ECA1 gametogenesis-related family proteins. Biochem. Soc. Trans. 2014, 42, 401–407. [Google Scholar] [CrossRef] [PubMed]
- Zhong, Y.; Liu, C.; Qi, X.; Jiao, Y.; Wang, D.; Wang, Y.; Liu, Z.; Chen, C.; Chen, B.; Tian, X.; et al. Mutation of ZmDMP enhances haploid induction in maize. Nat. Plants 2019, 5, 575–580. [Google Scholar] [CrossRef] [PubMed]
- Zhong, Y.; Chen, B.; Li, M.; Wang, D.; Jiao, Y.; Qi, X.; Wang, M.; Liu, Z.; Chen, C.; Wang, Y.; et al. A DMP-triggered in vivo maternal haploid induction system in the dicotyledonous Arabidopsis. Nat. Plants 2020, 6, 466–472. [Google Scholar] [CrossRef] [PubMed]
- Zhu, S.; Wang, X.; Chen, W.; Yao, J.; Li, Y.; Fang, S.; Lv, Y.; Li, X.; Pan, J.; Liu, C.; et al. Cotton DMP gene family: Characterization, evolution, and expression profiles during development and stress. Int. J. Biol. Macromol. 2021, 183, 1257–1269. [Google Scholar] [CrossRef] [PubMed]
- Takahashi, T.; Mori, T.; Ueda, K.; Yamada, L.; Nagahara, S.; Higashiyama, T.; Sawada, H.; Igawa, T. The male gamete membrane protein DMP9/DAU2 is required for double fertilization in flowering plants. Development 2018, 145, dev170076. [Google Scholar] [CrossRef]
- Dwivedi, S.L.; Britt, A.B.; Tripathi, L.; Sharma, S.; Upadhyaya, H.D.; Ortiz, R. Haploids: Constraints and opportunities in plant breeding. Biotechnol. Adv. 2015, 33, 812–829. [Google Scholar] [CrossRef]
- Supena, E.D.J.; Suharsono, S.; Jacobsen, E.; Custers, J.B.M. Successful development of a shed-microspore culture protocol for doubled haploid production in Indonesian hot pepper (Capsicum annuum L.). Plant Cell Rep. 2005, 25, 1–10. [Google Scholar] [CrossRef] [PubMed]
- Ochoa-Alejo, N. Anther Culture of Chili Pepper (Capsicum spp.). In Plant Cell Culture Protocols; Humana Press: Totowa, NJ, USA, 2012; pp. 227–231. [Google Scholar]
- Kim, M.; Jang, I.-C.; Kim, J.-A.; Park, E.-J.; Yoon, M.; Lee, Y. Embryogenesis and plant regeneration of hot pepper (Capsicum annuum L.) through isolated microspore culture. Plant Cell Rep. 2007, 27, 425–434. [Google Scholar] [CrossRef] [PubMed]
- Ren, J.; Wu, P.; Trampe, B.; Tian, X.; Lübberstedt, T.; Chen, S. Novel technologies in doubled haploid line development. Plant Biotechnol. J. 2017, 15, 1361–1370. [Google Scholar] [CrossRef] [PubMed]
- Hernández-Pérez, T.; Gómez-García, M.d.R.; Valverde, M.E.; Paredes-López, O. Capsicum annuum(hot pepper): An ancient Latin-American crop with outstanding bioactive compounds and nutraceutical potential. A review. Compr. Rev. Food Sci. Food Saf. 2020, 19, 2972–2993. [Google Scholar] [CrossRef] [PubMed]
- Zhao, S.; Gou, B.; Wang, Y.; Yang, N.; Duan, P.; Wei, M.; Zhang, G.; Wei, B. Identification and relative expression analysis of CaFRK gene family in pepper. 3 Biotech 2022, 12, 137. [Google Scholar] [CrossRef]
- Reiser, L.; Bakker, E.; Subramaniam, S.; Chen, X.; Sawant, S.; Khosa, K.; Prithvi, T.; Berardini, T.Z.; Harris, T. The Arabidopsis Information Resource in 2024. Genetics 2024, 227, iyae027. [Google Scholar] [CrossRef] [PubMed]
- Li, Y.; Li, D.; Xiao, Q.; Wang, H.; Wen, J.; Tu, J.; Shen, J.; Fu, T.; Yi, B. An in planta haploid induction system in Brassica napus. J. Integr. Plant Biol. 2022, 64, 1140–1144. [Google Scholar] [CrossRef] [PubMed]
- Finn, R.D.; Clements, J.; Eddy, S.R. HMMER web server: Interactive sequence similarity searching. Nucleic Acids Res. 2011, 39 (Suppl. 2), W29–W37. [Google Scholar] [CrossRef] [PubMed]
- Letunic, I.; Khedkar, S.; Bork, P. SMART: Recent updates, new developments and status in 2020. Nucleic Acids Res. 2021, 49, D458–D460. [Google Scholar] [CrossRef]
- Wang, J.; Chitsaz, F.; Derbyshire, M.K.; Gonzales, N.R.; Gwadz, M.; Lu, S.; Marchler, G.H.; Song, J.S.; Thanki, N.; Yamashita, R.A.; et al. The conserved domain database in 2023. Nucleic Acids Res. 2023, 51, D384–D388. [Google Scholar] [CrossRef]
- Artimo, P.; Jonnalagedda, M.; Arnold, K.; Baratin, D.; Csardi, G.; de Castro, E.; Duvaud, S.; Flegel, V.; Fortier, A.; Gasteiger, E.; et al. ExPASy: SIB bioinformatics resource portal. Nucleic Acids Res. 2012, 40, W597–W603. [Google Scholar] [CrossRef]
- Martin, D.P.; Chou, K.-C.; Shen, H.-B. A New Method for Predicting the Subcellular Localization of Eukaryotic Proteins with Both Single and Multiple Sites: Euk-mPLoc 2.0. PLoS ONE 2010, 5, e9931. [Google Scholar]
- Krogh, A.; Larsson, B.; von Heijne, G.; Sonnhammer, E.L.L. Predicting transmembrane protein topology with a hidden markov model: Application to complete genomes. J. Mol. Biol. 2001, 305, 567–580. [Google Scholar] [CrossRef] [PubMed]
- Wei, Q.; Wang, J.; Wang, W.; Hu, T.; Hu, H.; Bao, C. A high-quality chromosome-level genome assembly reveals genetics for important traits in eggplant. Hortic. Res. 2020, 7, 153. [Google Scholar] [CrossRef] [PubMed]
- Zhong, Y.; Chen, B.; Wang, D.; Zhu, X.; Li, M.; Zhang, J.; Chen, M.; Wang, M.; Riksen, T.; Liu, J.; et al. In vivo maternal haploid induction in tomato. Plant Biotechnol. J. 2021, 20, 250–252. [Google Scholar] [CrossRef] [PubMed]
- Hall, B.G. Building Phylogenetic Trees from Molecular Data with MEGA. Mol. Biol. Evol. 2013, 30, 1229–1235. [Google Scholar] [CrossRef]
- Bailey, T.L.; Boden, M.; Buske, F.A.; Frith, M.; Grant, C.E.; Clementi, L.; Ren, J.; Li, W.W.; Noble, W.S. MEME SUITE: Tools for motif discovery and searching. Nucleic Acids Res. 2009, 37, W202–W208. [Google Scholar] [CrossRef] [PubMed]
- Hu, B.; Jin, J.; Guo, A.-Y.; Zhang, H.; Luo, J.; Gao, G. GSDS 2.0: An upgraded gene feature visualization server. Bioinformatics 2015, 31, 1296–1297. [Google Scholar] [CrossRef]
- Chen, C.; Chen, H.; Zhang, Y.; Thomas, H.R.; Frank, M.H.; He, Y.; Xia, R. TBtools: An Integrative Toolkit Developed for Interactive Analyses of Big Biological Data. Mol. Plant 2020, 13, 1194–1202. [Google Scholar] [CrossRef]
- Lescot, M.; Déhais, P.; Thijs, G.; Marchal, K.; Moreau, Y.; Van de Peer, Y.; Rouzé, P.; Rombauts, S. PlantCARE, a database of plant cis-acting regulatory elements and a portal to tools for in silico analysis of promoter sequences. Nucleic Acids Res. 2002, 30, 325–327. [Google Scholar] [CrossRef]
- Livak, K.J.; Schmittgen, T.D. Analysis of Relative Gene Expression Data Using Real-Time Quantitative PCR and the 2−ΔΔCT Method. Methods 2001, 25, 402–408. [Google Scholar] [CrossRef]
- Cyprys, P.; Lindemeier, M.; Sprunck, S. Gamete fusion is facilitated by two sperm cell-expressed DUF679 membrane proteins. Nat. Plants 2019, 5, 253–257. [Google Scholar] [CrossRef]
- Kelliher, T.; Starr, D.; Su, X.; Tang, G.; Chen, Z.; Carter, J.; Wittich, P.E.; Dong, S.; Green, J.; Burch, E.; et al. One-step genome editing of elite crop germplasm during haploid induction. Nat. Biotechnol. 2019, 37, 287–292. [Google Scholar] [CrossRef]
- Kim, H.J.; Ok, S.H.; Bahn, S.C.; Jang, J.; Oh, S.A.; Park, S.K.; Twell, D.; Ryu, S.B.; Shin, J.S. Endoplasmic Reticulum– and Golgi-Localized Phospholipase A2 Plays Critical Roles in Arabidopsis Pollen Development and Germination. Plant Cell 2011, 23, 94–110. [Google Scholar] [CrossRef]
- Kelliher, T.; Starr, D.; Richbourg, L.; Chintamanani, S.; Delzer, B.; Nuccio, M.L.; Green, J.; Chen, Z.; McCuiston, J.; Wang, W.; et al. MATRILINEAL, a sperm-specific phospholipase, triggers maize haploid induction. Nature 2017, 542, 105–109. [Google Scholar] [CrossRef]
- Yao, L.; Zhang, Y.; Liu, C.X.; Liu, Y.; Wang, Y.L.; Liang, D.W.; Liu, J.T.; Sahoo, G.; Kelliher, T. OsMATL mutation induces haploid seed formation in indica rice. Nat. Plants 2018, 4, 530–533. [Google Scholar] [CrossRef]
- Liu, C.X.; Zhong, Y.; Oi, X.L.; Chen, M.; Li, Z.K.; Chen, C.; Tian, X.L.; Li, I.L.; Jiao, Y.Y.; Wang, D.; et al. Extension of the in vivo haploid induction system from diploid maize to hexaploid wheat. Plant Biotechnol. J. 2020, 18, 316–318. [Google Scholar] [CrossRef]
- Cheng, Z.X.; Sun, Y.; Yang, S.H.; Zhi, H.; Yin, T.; Ma, X.J.; Zhang, H.S.; Diao, X.M.; Guo, Y.; Li, X.H.; et al. Establishing in planta haploid inducer line by edited SiMTL in foxtail millet (Setaria italica). Plant Biotechnol. J. 2021, 19, 1089–1091. [Google Scholar] [CrossRef]
- Kelliher, T.; Starr, D.; Wang, W.; McCuiston, J.; Zhong, H.; Nuccio, M.L.; Martin, B. Maternal Haploids Are Preferentially Induced by CENH3-tailswap Transgenic Complementation in Maize. Front. Plant Sci. 2016, 7, 414. [Google Scholar] [CrossRef]
- Long, L.; Feng, Y.M.; Shang, S.Z.; Zhao, J.R.; Hu, G.Y.; Xu, F.C.; Song, C.P.; Jin, S.X.; Gao, W. In vivo maternal haploid induction system in cotton. Plant Physiol. 2024, 194, 1286–1289. [Google Scholar] [CrossRef]
- Yin, S.; Li, S.; Sun, L.; Shi, K.X.; Fan, S.S.; Liu, X.W.; Ren, H.Z. Mutating the maternal haploid inducer gene CsDMP in cucumber produces haploids in planta. Plant Physiol. 2024, 194, 1282–1285. [Google Scholar] [CrossRef]
Disclaimer/Publisher’s Note: The statements, opinions and data contained in all publications are solely those of the individual author(s) and contributor(s) and not of MDPI and/or the editor(s). MDPI and/or the editor(s) disclaim responsibility for any injury to people or property resulting from any ideas, methods, instructions or products referred to in the content. |
© 2024 by the authors. Licensee MDPI, Basel, Switzerland. This article is an open access article distributed under the terms and conditions of the Creative Commons Attribution (CC BY) license (https://creativecommons.org/licenses/by/4.0/).






