Abstract
The market value of litchi fruit is declining quickly due to its susceptibility to disease and rapid pericarp browning. Slightly acidic electrolyzed water (SAEW) treatment is recognized as a safe disinfection technology that not only preserves the quality of postharvest produce, but also enhances disease resistance. This study assessed the efficacy of SAEW in preserving litchi fruit and boosting its resistance to disease. Litchi fruit underwent treatment with SAEW at various available chlorine concentrations (ACC) (10, 25, 50, and 75 mg/L) and subsequently stored at 25 °C for a duration of six days. The results revealed that SAEW with an ACC of 25 mg/L markedly improved the postharvest quality of litchi fruits, reduced disease incidence, and enhanced the appearance of the pericarp and nutrient levels in the arils. Additionally, this treatment enhanced the levels of disease resistance-related compounds, including lignin, flavonoids, and total phenolics, in the pericarp of litchis during the later storage stages (p < 0.05). Furthermore, in the final three days of storage, there were also noticeable increases (p < 0.01) in the activities of pericarp disease resistance enzymes (DREs), such as phenylalanine ammonialyase, cinnamate-4-hydroxylase, 4-coumarate CoA ligase, cinnamyl alcohol dehydrogenase, peroxidase, polyphenol oxidase, chitinase, and β-1,3-glucanase. Based on these results, it was concluded that SAEW triggered DRE activities and increased the accumulation of disease resistance-related compounds by regulating the phenylpropane pathway to suppress disease development, and elevated the storage quality of harvested litchi fruit. Consequently, SAEW has proven to be an effective and safe method for enhancing the storability of litchi fruit.
1. Introduction
Litchi (Litchi chinensis Sonn.), pertaining to the Sapindaceae family, is indigenous to southern China [1,2]. Since the appealing color of litchi pericarp and the juicy, fragrant taste of litchi aril, litchi has been cultivated in various countries [3,4]. The fruit reaches maturity during the hot and humid summer season, and once harvested, it exhibits vigorous respiration, rendering it exceptionally vulnerable to microbial invasion and rapid deterioration [5]. To improve the durability of postharvest litchi fruit, various treatments have been implemented to enhance the disease resistance. The predominant methods employed for the postharvest preservation of litchi fruit in commercial settings are still sulfur dioxide fumigation and chemical disinfectants soaking [1]. However, the usage of chemicals in litchi preservation might lead to the presence of residues, posing health risks to consumers, promoting resistance among pathogens, and causing environmental pollution [6]. Therefore, it is crucial to find safer and economically viable alternatives in the postharvest management of litchi fruit.
Slightly acidic electrolyzed water (SAEW) is a powerful and versatile disinfectant that can be generated through the electrolysis of water containing sodium chloride [7,8]. Since it has a slightly acidic pH level, typically ranging from around pH 5 to pH 6.5, hypochloric acid (HOCl), the primary free chlorine form of SAEW, effectively enhances microbial inactivation [9]. The available chlorine concentration (ACC) is an important indicator for SAEW, closely related to its antimicrobial ability. Research over the past decade has highlighted the potential of SAEW in industries such as fruit and vegetable preservation due to its effective disinfection, minimal impact on the physiochemical qualities of fresh produce, and the ability to reduce enzymatic browning [10,11,12]. Tango et al. [13] found that treating apples with 3 min SAEW (pH = 5.42, ACC = 30 mg/L) and distilled water resulted in reductions in Escherichiav coli O157:H7 population by 2.28 and 0.72 log CFU/g, respectively, and for Listeria monocytogenes, the reductions were 2.3 and 0.48 log CFU/g, respectively. The sterilization effects on tomatoes were 2.73 and 2.35 log CFU/g reductions for E. coli O157:H7 and L. monocytogenes, respectively. Ding et al. [14] indicated that SAEW (pH = 6.49, ACC = 34 mg/L) effectively reduced total aerobic bacteria and yeasts/molds on fresh strawberry fruits, achieving reductions of 1.07 and 1.04 log, respectively. Similar reductions of 1.45 log and 1.1 log were observed on cherry tomatoes. Additionally, SAEW had no significant impact on the firmness, anthocyanin, vitamin C, and titratable acidity (TA) contents of strawberries and cherry tomatoes. Guentzel et al. [15] demonstrated that SAEW (pH = 6.3–6.5, ACC = 50 and 100 mg/L) effectively inactivates Botrytis cinerea or Monilinia fructicola in vitro and mitigates infection in strawberries.
In our preliminary experiments, it was found that SAEW treatment with 25 mg/L ACC could significantly suppress disease occurrence and improve the postharvest storability of litchi fruits. However, SAEW with 25 mg/L ACC could not inhibit the mycelial growth of Colletotrichum gloeosporioides, one of the main pathogenic fungi of litchi, in vitro culture [4]. The direct inhibitory effect of SAEW was tested on C. gloeosporioides instead of Peronophythora litchii because C. gloeosporioides was identified as the main pathogen isolated from the “Hushanwanli” litchi fruit. Lin et al. [16] discovered that acidic electrolyzed water (AEW) with a pH of 2.5 and ACC of 40 mg/L increased disease resistance enzyme (DRE) activities, stimulated lignin accumulation, and resulted in improved disease resistance, inhibited disease development, and enhanced storage quality in wampee fruit. Tang et al. [17] suggested that treating longan fruit with AEW (pH = 2.5, ACC = 80 mg/L) suppressed disease occurrence, increased the activities of phenylalanine ammonia-lyase (PAL), chitinase (CHI), β-1,3-glucanase (GLU), cinnamate-4-hydroxylase (C4H), and 4-coumarate CoA ligase (4-CL), and elevated H2O2 levels. Fan et al. [18] indicated that AEW triggered gene expressions related to phenylpropanoid and flavonoid biosynthesis in longan through transcriptome analysis. In addition, the metabolome analysis revealed that AEW-treated longan fruit had higher levels of coumarin, phenolic acid, and tannin compared to non-treated longan. It has been concluded that AEW controlled postharvest diseases resulting from fungal infections by not only directly inhibiting the pathogen, but also by enhancing the resistance of the host [19]. Therefore, we speculated that SAEW improves the postharvest storability of litchi fruit by inducing resistance to the pathogens rather than directly inhibiting them. Plant-induced resistance is considered an enhanced defensive capability stimulated by biotic and abiotic elicitors that trigger cellular defense responses against pathogen invasion. Induced resistance commonly operates through two mechanisms: direct induction and defense priming [20]. Direct induction occurs simultaneously with an elicitor, often redirecting energy and metabolites from growth to resistance, which may impact overall plant quality. In contrast, defense priming activates pathogenesis-related proteins after an initial elicitor exposure, enabling plants to mount a quicker and more robust response to future stressors [21,22]. As a cost-effective strategy, defense priming conserves resources under low disease pressure, and potentiates rapid and intensified defenses under high stress, making it an adaptive strategy for managing fruit health [23,24].
Firstly, this study intended to optimize the use of SAEW for enhancing the quality of postharvest litchi fruit. Different ACCs of SAEW were investigated, and the optimal treatment condition was determined. Furthermore, the impact of this optimal treatment on fruit disease development was examined. Several key DREs such as PAL, C4H, 4-CL, cinnamyl alcohol dehydrogenase (CAD), peroxidase (POD), polyphenol oxidase (PPO), CHI, and GLU along with disease-resistant substances including lignin, flavonoids, and total phenols, were analyzed. The study is beneficial for developing techniques to delay disease development and enhance fruit quality in litchi.
2. Materials and Methods
2.1. SAEW and Samples
SAEW was purchased from Shanghai Deyinfeike Enterprise Development Co., Ltd. (Shanghai, China). The RC-3F high-density chlorine meter (Kasahara Chemical Instruments Corp., Kuki-shi, Japan) was used to determine the ACC of SAEW.
Commercially mature ‘Hushanwanli’ litchi fruits were harvested from a well-managed orchard in Yongchun County, Fujian, China, and subsequently transported to our lab within 3 h. Litchi fruits that were uniform in color and size and free from any injuries were chosen as the research sample. The selected litchi fruits were washed with deionized water (DW) for further experiment.
Sixty litchi fruits were employed to assess their attributes on the day of harvest (day 0). The 360 fruits in each group were immersed in various ACC of SAEW, specifically 0 (DW, control), 10, 25, 50, and 75 mg/L, with corresponding pH values of 5.23, 5.19, 5.10, and 5.06. After immersion for 5 min, all samples underwent air drying for 2 h at 25 °C, and were then packed in polyethylene film bags with a thickness of 20 μm. Each bag contained 20 fruits and was stored under conditions of 25 °C temperature and 85% relative humidity for a duration of 6 days. Throughout this storage period, 60 fruits were selected daily from three bags in each group to evaluate the quality of the litchi fruit. This process aimed to determine the optimal ACC of SAEW to enhance the storage quality of litchi. Furthermore, the mechanism by which the SAEW treatment at the optimal ACC postponed disease development and preserved litchi fruit storability, by regulating disease resistance metabolism, was investigated using a fresh batch of litchi fruits. The treatment procedure and storage conditions were consistent with those previously mentioned.
2.2. Measurement of the Pericarp Browning Index, Fruit Disease Index, and Commercially Acceptable Fruit Rate
Twenty (1 bag) litchis were used to assess the pericarp browning index (PBI) following a slightly modified method described by Shen et al. [25]. Since all the indexes were conducted in triplicate, there were totally 60 (3 bags) litchis used to determine the PBI. Browning scales are described as follows: 0, no browning; 1, slight browning, compared to the entire litchi pericarp, the browning area is less than 5%; 2, browning area ranges from 5% to 25%; 3, browning area ranges from 26% to 50%; 4, browning area ranges from 51% to 75%; 5, browning area more than 75%. The PBI was determined using the equation PBI = Σ (SQ)/T, where S represents the degree of browning scales on the litchi pericarp and Q is the quantity associated with each scale; T is the total count of the litchi fruits evaluated.
As defined by Jiang et al. [1], 20 litchis were randomly selected to evaluate the proportion of lesion coverage on the fruit surface using five designated scales: 0, no lesion; 1, compared to the entire litchi pericarp, the lesion area is less than 25%; 2, lesions range from 25% to 50%; 3, lesions range from 51% to 75%; 4, lesions more than 75%. The disease index (DI) was determined using the equation DI = Σ (SQ)/4T, where S represents the degree of disease scales on the litchi pericarp and Q is the quantity associated with each scale; T is the total count of litchi fruits evaluated; 4 is the highest disease scales.
The method proposed by Jiang et al. [1] was employed to evaluate the proportion of commercially acceptable fruit, which involved selecting 20 fruits daily and identifying those with a browning index of no more than 2 and showing no signs of pathogen presence on their surface.
2.3. Determination of Respiration Rate and Weight Loss of Litchi Fruit and Cell Membrane Permeability in Litchi Pericarp
The F-950 portable CO2 analyzer (Beijing Huayitongtai Environmental Technology Co., Ltd., Beijing, China) was used to measure the respiration rate of litchi fruit. First, the initial CO2 concentration (C0) in the measurement chamber was recorded, and then, a bag (20 litchis) of litchi fruit was placed in the measurement chamber. After 1 h, the CO2 concentration (Ct) was recorded. The following formula was used to calculate the respiratory rate of the litchi fruit, and the result was expressed in mg CO2·kg−1·h−1. Respiration rate = (Ct − C0)·V·44 × 103/Vmol·M·h, where V is the volume of measurement chamber; 44 is the molar mass of CO2; Vmol is calculated by the formula Vmol = [(273 + T)/273] × 22.41, and T is temperature of measurement chamber.
The weight loss of litchi fruit was documented using the method described by Jiang et al. [1]. Weight loss percentage was determined by comparing the final weight to the initial weight of the litchi fruit, and was expressed as a percentage.
Thirty pericarp discs, derived from 10 litchis, were utilized to measure the membrane permeability of the litchi pericarp following the methods outlined by Jiang et al. [1]. The membrane permeability rate was expressed as a percentage.
2.4. Measurement of Color Variations
According to Lin et al. [16], the chromaticity values L*, a* and b* of ten individual litchis were measured using a Minolta CR 400 chromameter (Konica Minolta Sensing, Inc., Osaka, Japan).
2.5. Measurement of Nutritional Properties
The nutritional properties were evaluated using protocols described by Lai et al. [26]. For this analysis, 10 fruits were prepared to measure total soluble solids (TSSs), total soluble sugar, TA, and vitamin C content in the samples.
The TSS level of litchi aril was measured using a pocket refractometer (PAL-1, Atago Corp., Tokyo, Japan).
One gram of aril from 10 litchi fruits was ground with 20 mL of distilled water, mixed with 10 mL of 6 mol/L HCl, and boiled for 30 min. After adding a drop of phenolphthalein, the mixture was neutralized with 6 mol/L NaOH. The clarified supernatant was then obtained for measuring the total soluble sugar content.
Ten grams of aril from ten litchi fruits were ground with distilled water and the resulting homogenate was filtered to obtain the supernatant. A 20 mL sample of this supernatant was analyzed for titratable acidity using an automatic potentiometric titrator (ET18, Mettler Toledo Instrument Co., Ltd., Shanghai, China), employing 0.01 mol/L NaOH as the titrant.
One gram of aril from 10 litchi fruits was ground with 6 mL of 15% (w/v) trichloroacetic acid, centrifuged, and the supernatant collected. One mL of this supernatant was used to determine the vitamin C content. The concentration of vitamin C is expressed in grams per kilogram (g/kg), whereas the TSS, total soluble sugars, and TA are expressed as percentages (%).
2.6. Appraisal of Pericarp Lignin, Flavonoid, and Total Phenolic Contents
The lignin content of the litchi pericarp was determined by analyzing 10 g of tissue from 20 litchi fruits, following the protocols described by Lin et al. [16]. Lignin content was quantified and expressed in grams per kilogram (g/kg).
The methodology by Jiang et al. [1], with minor modifications, was used to assess the flavonoid and total phenolic contents in litchi pericarp. A sample of 1 g of pericarp tissue from 10 litchis was blended in 8 mL of methanol containing 1% (v/v) HCl at 4 °C. The resulting homogenate was extended to a final volume of 25 mL with the same methanol–HCl mixture, filtered through a 0.45 μm membrane, and further diluted to 100 mL. The solutions’ absorbances were measured at wavelengths of 325 nm and 280 nm. For quantifying flavonoids, a catechin standard calibration curve was plotted within a range from 5 to 100 μg/mL, with the content expressed in catechin equivalents (g CE per kg of litchi pericarp). The total phenolic content was evaluated using gallic acid as the standard and expressed in grams of gallic acid (g GA) per kg of pericarp.
2.7. Appraisal of Litchi Pericarp DRE Activities
The activities of litchi pericarp DREs were assessed by referring to the methods used by Wang et al. [27] and Lin et al. [16].
One gram of pericarp tissue from 10 litchis was homogenized with 10 mL of 0.2 M sodium acetate buffer (pH 5.2) containing 5 mM β-mercaptoethanol, 8% (w/v) polyvinyl pyrrolidone (PVP), and 1 mM EDTA, followed by centrifugation. The resulting supernatant was collected for the assessment of CHI and GLU enzymatic activities. The reaction system for determining CHI activity was prepared by combining 2.5 mL of sodium acetate buffer (pH 4.8), 0.5 mL of a 10 g/L (w/v) chitin suspension, and 1 mL of enzyme solution. One unit of CHI activity was defined as the amount of enzyme that produced 1 μg of N-acetyl-D-glucosamine per hour. GLU activity was assessed using the 3,5-dinitrosalicylic acid (DNS) method. The assay mixture for determining GLU activity included 2.5 mL of buffer (pH 4.8), 0.5 mL of 0.1% (w/v) laminaran, and 1 mL of crude enzyme solution. One unit of GLU activity was defined as the amount of enzyme that produced 1 mg of glucose per hour.
One gram of pericarp tissue from ten litchis was homogenized with 10 mL of 50 mM phosphate-buffered saline (PBS, pH 5.5), containing 2% (w/v) PVP. After centrifugation, the supernatant was collected for assessing the activities of PPO, POD, and PAL. The activity of PPO was measured using pyrocatechol following a spectrophotometric method. Then, 0.1 mL of the enzyme solution was mixed with 2.9 mL of 10 mM pyrocatechol in 0.01 M sodium phosphate buffer (pH 5.5). The change in absorbance at 400 nm was monitored over a period of 3 min at 25 °C. A single unit of PPO activity was defined as the enzyme quantity causing a 0.01 increase in absorbance per minute. For the measurement of POD activity, 1 mL of the enzyme solution to be tested was transferred, 3.0 mL of 50 mM pH 5.5 PBS was added, as well as 1 mL of 50 mM guaiacol, and 1 mL of 2% H2O2, and incubated in a 35 °C water bath for 10 min. Then, 2 mL of 20% TCA was added to stop the reaction. Inactivated enzyme was used as the control and distilled water as the reference. The absorbance was measured at 470 nm. One unit of POD activity was defined as a change of 0.001 in OD470 nm per minute, and the results expressed in units per mg protein. For the measurement of PAL activity, a 0.5 mL aliquot of the supernatant was incubated with 3 mL of borate buffer (50 mM, pH 8.8) and 1 mL of L-phenylalanine (20 mM) for 60 min at 37 °C. The reaction was terminated by adding 0.5 mL of 6 M HCl. PAL activity was assessed by measuring the production of cinnamate, detected at an absorbance of 290 nm. One unit of PAL activity was defined as the amount producing a change of one optical density at 290 nm per milligram of protein.
One gram of pericarp tissue from ten litchis was blended with 6 mL of 50 mM Tris-HCl (pH 8.0), which included 25% (v/v) propanetriol and 100 mM dithiothreitol, followed by centrifugation. The resulting supernatant was collected to evaluate 4-CL activity. The reaction involved adding 0.5 mL of enzyme extract to 1 mL of reaction buffer containing 15 mM p-coumarate, 50 mM ATP, 15 μM MgCl2, and 1 mM CoA, all dissolved in a 50 mM Tris-HCl buffer (pH 7.5). This mixture was then incubated at 30 °C for 30 min. The activity of 4-CL was assessed by the enzyme’s ability to decrease the absorbance at 333 nm by 0.01 per minute, with activity expressed in units per milligram of protein.
One gram of pericarp tissue from 10 litchis was homogenized with 6 mL of 100 mM PBS at pH 6.25, containing 15 mM β-mercaptoethanol, 1 mM EDTA, and 0.1% (w/v) PVP, followed by centrifugation. The resulting supernatant was used to assess CAD activity. Then, 1 mL of enzyme solution was transferred, and1 mL of 50 mmol/L pH 6.25 PBS, 1 mL of 2 mM nicotinamide adenine dinucleotide phosphate (NADP), and 1 mL of 1 mM trans-cinnamic acid were added. It was then immediately incubated at 37 °C for 30 min, then 0.1 mL of 6.0 M HCl added to stop the reaction. Subsequently, the optical density (OD) was measured at 340 nm. Inactivated enzyme was used as a control. One unit of enzyme activity (U) was defined as a change of 0.01 in OD per minute, and the results expressed as units per mg of protein.
One gram of pericarp tissue from 10 litchis was homogenized with 6 mL of 50 mM Tris-HCl at pH 8.9, which included 10 μM leupeptin hemisulfate salt, 0.15% (w/v) PVP, 15 mM β-mercaptoethanol, 4 mM MgCl2, 5 mM ascorbic acid, 10% (v/v) propanetriol, and 1 mM phenylmethylsulfonyl fluoride, followed by centrifugation. The supernatant from this process was used to determine C4H activity. The enzyme extract (0.5 mL) was combined with 2.5 mL of reaction buffer containing 0.2 μM trans-cinnamic acid, 2 μM nicotinamide adenine dinucleotide phosphate disodium salt (NADP-Na2) and 5 μM glucose 6-phosphate sodium salt (G-6-P-Na2) in a 50 mM Tris-HCl buffer at pH 8.9. The reaction was conducted at 35 °C for 30 min using a mixture that included 0.5 mL of enzyme extract and 2.5 mL of reaction buffer, which consisted of 50 mM phosphate buffer with 2 mM 2-mercaptoethanol, 2 mM trans-cinnamic acid, and 0.5 mM NADPH. The reaction was terminated by adding 1 mL of 6 M HCl. C4H activity was defined as the amount of enzyme that produced a 0.01 increase in absorbance at 340 nm per minute, and it was quantified in units per mg of protein.
Moreover, protein concentrations in these enzyme solutions were quantified using the method outlined by Bradford [28]. The activities of DREs were expressed in units per kilogram (U/kg).
2.8. Statistical Analysis
The measure of each index was repeated three times. The SPSS 24.0 (IBM Corp., New York, NY, USA) software was used for the statistical analyses of the experimental data based on a one-way ANOVA and Duncan’s test. In the figures, data are presented as the mean ± standard error (n = 3). Differences among treatments are denoted by asterisks, indicating significant (*: p < 0.05) or highly significant (**: p < 0.01) differences. The Pearson correlation coefficient was used to analyze the data. The correlation heatmap was performed with OriginPro (OriginLab Corporation, Northampton, MA, USA), version 2021.
3. Results
3.1. Influences of the SAEW Treatment on Pericarp Browning and Fruit Disease Development and Commercially Acceptable Fruit Rate of Litchi Fruit
Figure 1A exhibits the effects of SAEW treatment on the appearance quality of litchi fruit during storage. In the initial stages of storage, litchi fruits treated with SAEW showed a marginally fresher red tint to their pericarp compared to those in the control group, although the difference was not statistically significant. During the mid-storage period, SAEW treatment effectively mitigated pericarp browning and disease spot formation in litchi fruits, achieving optimal results with SAEW at a concentration of 25 mg/L ACC. At the end of the storage period, SAEW significantly controlled the occurrence of diseases.

Figure 1.
Impact of SAEW on the appearance quality of litchi fruit during storage (A). Influences of SAEW treatment on the pericarp browning index (PBI) (B), fruit disease index (DI), (C) and commercially acceptable fruit rate (CAFR) (D) of litchi fruit during storage. Asterisks denote significant differences (*: p < 0.05, **: p < 0.01) between litchi fruit treated with 25 mg/L ACC SAEW and the control.
Figure 1B illustrates that the PBI of litchi fruit progressively increased with storage duration across all treatment conditions. However, the SAEW treatments slowed down the development of pericarp browning, especially for the SAEW treatments with 25 mg/L ACC, displaying a notably lower (p < 0.01) PBI compared with the control group during day 3 to day 6.
As depicted in Figure 1C, all the litchi fruits were intact without any disease symptoms on the first day of storage, but the DI of the control litchi fruit rose quickly from day 2 to the end of storage. Regarding the SAEW-treated litchi fruits, they was still soundness on the second day of storage. Except the 25 mg/L ACC-SAEW-treated litchi fruits, all the SAEW-treated groups showed some disease symptoms on the third day of storage, but the increase rate of DI was more moderate compared to the control group during the middle-to-late storage period. Statistical analysis revealed that the group treated with 25 mg/L ACC-SAEW exhibited a notably lower DI than the control group from day 4 to day 6 (p < 0.01).
The standard for commercially acceptable fruit is a browning index not exceeding 2 and no presence of disease spots. As depicted in Figure 1D, the commercially acceptable fruit rate (CAFR) of the control litchi experienced a rapid decline from day 1 to the end of storage. Compared to the quick decrease in CAFR in the control group, the CAFR of SAEW-treated litchi fruits decreased much more slowly, with the best effect observed in the 25 mg/L ACC group.
3.2. Influences of SAEW Treatment on the Pericarp Color of Litchi Fruit
The objective measurement of pericarp color in litchi fruit utilized the CIE L*a*b* system. This system, endorsed by the United States food industry, is effective for assessing color differences and monitoring color changes during food processing and storage. The L* value indicates the darkness to lightness of the color, ranging from 0 to 100. A negative-to-positive a* value indicates the green-to-red color range, while a negative-to-positive b* value indicates the blue-to-yellow color range. The chromaticity levels of L*, a*, and b* in postharvest litchis exhibited a declining trend during storage (Figure 2), but all the SAEW-treated litchis maintained higher values of L*, a*, and b* than the control litchis, with the most effective concentration in the SAEW treatments being 25 mg/L ACC. From the above experimental results, it could be inferred that SAEW treatment maintained the bright and vibrant red color of litchis.

Figure 2.
Influences of SAEW treatment on the values of chromaticity L* (A), a* (B), b* (C) of litchi fruit during storage. Asterisks denote significant differences (*: p < 0.05, **: p < 0.01) between litchi fruit treated with 25 mg/L ACC SAEW and the control.
3.3. Influences of the SAEW Treatment on the Storage Behavior of Litchi Fruit
Figure 3A illustrates that the respiration rate of litchi fruit increased during the storage period regardless of the different treatments. However, the SAEW treatments inhibited the enhancement of postharvest respiration, especially for the SAEW treatments with 25 mg/L ACC, displaying a notably lower (p < 0.01) respiration rate compared with the control group during day 3 to day 6.
Figure 3.
Influences of SAEW treatment on respiration rate (A), weight loss, (B) and membrane permeability rate (C) of litchi fruit during storage. Asterisks denote significant differences (*: p < 0.05, **: p < 0.01) between litchi fruit treated with 25 mg/L ACC SAEW and the control.
With increasing storage time, the weight loss (Figure 3B) of litchis exhibited an upward trend, irrespective of treatments. The four different concentrations of SAEW treatments inhibited the increase in weight loss, especially for the SAEW treatments with 25 mg/L ACC, displaying a significantly lower (p < 0.01) weight loss compared with the control group on the last day of storage.
Maintaining the integrity of cellular membrane structures is essential for preserving fruit quality and prolonging the shelf life of litchi fruit. Cellular membrane permeability acts as a marker for cell damage and the aging process in harvested fruit. As depicted in Figure 3C, regardless of the treatments, the cellular membrane permeability rate of litchi fruit increased over the storage period. However, the SAEW treatments, particularly with 25 mg/L ACC, effectively inhibited the increase in membrane permeability, exhibiting a significantly lower (p < 0.01) rate of membrane permeability compared to the control group from day 3 to day 5.
3.4. Influences of SAEW Treatment on the Nutrient Content of Litchi Aril
As depicted in Figure 4A, the content of TSS in all treated litchis decreased during storage. Nonetheless, litchis treated with SAEW, especially the 25 mg/L ACC SAEW treatment, exhibited higher TSS levels. Notably, TSS content differences between the control group and the litchis treated with 25 mg/L ACC SAEW were statistically significant on day 5 (p < 0.05) and day 6 (p < 0.01).
Figure 4.
Influences of SAEW treatment on the contents of TSS (A), total soluble sugar (B), TA, (C) and vitamin C (D) in litchi fruit during storage. Asterisks denote significant differences (*: p < 0.05, **: p < 0.01) between litchi fruit treated with 25 mg/L ACC SAEW and the control.
The total soluble sugar content across all five treatments showed a decreasing trend throughout the storage period. Among them, the litchis treated with SAEW, especially those receiving the 25 mg/L ACC treatment, consistently exhibited higher total soluble sugar content than the control litchis during the whole storage period. This is in line with the situation of TSS, as on day 5 (p < 0.05) and day 6 (p < 0.01), the SAEW-treated litchis containing 25 mg/L ACC exhibited significantly higher total soluble sugar content compared to the control litchis.
As depicted in Figure 4C, the application of SAEW treatment effectively prevented the decline in TA content during the initial five days of storage. This drop in TA content is primarily attributed to the depletion of organic acids, which serve as a crucial source for respiratory tricarboxylic acid cycle. Interestingly, the TA content of the control litchis exhibited a slight increase on day 6, which is consistent with the fruit acidification observed in litchi fruit treated with chitosan [1]. In contrast, the SAEW treatment, particularly the application of 25 mg/L ACC, effectively slowed down the decline in TA content from day 1 to day 5, ultimately mitigating the acidification observed at the final stage (day 6) of storage.
The ability of vitamin C to donate electrons gives it powerful antioxidant properties. As demonstrated in Figure 4D, there was a decline in the vitamin C content within the aril of control litchi fruit during storage. However, the SAEW treatment mitigated the decline in vitamin C content, maintaining higher levels than the control group during storage. Statistical analysis revealed that from day 3 to day 5 of storage, the vitamin C content in the arils of litchi fruits treated with 25 mg/L ACC SAEW consistently exceeded that of the control fruit, exhibiting statistically significant differences (p < 0.05).
Therefore, treating harvested litchis with SAEW (specifically 25 mg/L ACC) could potentially lead to increased nutrient levels in the aril.
3.5. Influences of SAEW Treatment on the Disease Resistance-Related Substances of Litchi Pericarp
Further investigation explored the mechanism through which 25 mg/L ACC SAEW effectively reduced fruit disease and enhanced the storage quality of harvested litchis by modulating disease resistance metabolism.
Figure 5A demonstrates the changes in pericarp lignin content in litchi fruit. Initially, there was a slight increase in lignin content in the control fruit from days 0 to 3, followed by a gradual decrease from days 3 to 6. Similarly, the SAEW-treated litchis exhibited a moderate increase in lignin content from days 0 to 3, which was then swiftly reduced from days 3 to 6. Furthermore, the SAEW-treated fruit displayed higher lignin levels compared to the control fruit, reaching significant levels (p < 0.05) only from day 3 to day 6.

Figure 5.
Influences of SAEW treatment on lignin (A), flavonoid (B), and total phenolic (C) contents in litchi pericarp during storage. Asterisks denote significant differences (*: p < 0.05, **: p < 0.01) between litchi fruit treated with 25 mg/L ACC SAEW and the control.
Figure 5B illustrates that the flavonoid content in the pericarp of control litchis initially surged during the first two days of storage, experienced a modest rise from day 2 to day 3, and subsequently declined sharply from day 3 to day 6; while the SAEW-treated litchis had a similar trend with the increase in flavonoid content from 0 to 3 days was slightly higher than that of control litchis, and the rate of decrease from 3 to 6 days was much slower than the that of control litchis. It is worth noting that the flavonoid content in the SAEW-treated group was higher on the last day of storage than on the day of harvest.
As depicted in Figure 5C, the total phenolic content in the pericarp of harvested litchis demonstrated a significant decline throughout the storage period. However, the SAEW-treated fruit exhibited a pronounced effect in preserving a higher content of total phenolics compared to the control group, particularly during the final stage of storage (days 4 to 6).
Consequently, SAEW treatment increased the contents of disease resistance-related substances in the pericarp of harvested litchis, particularly during the later stages of storage.
3.6. Influences of SAEW Treatment on the Disease Resistance Enzyme Activities of Litchi Pericarp
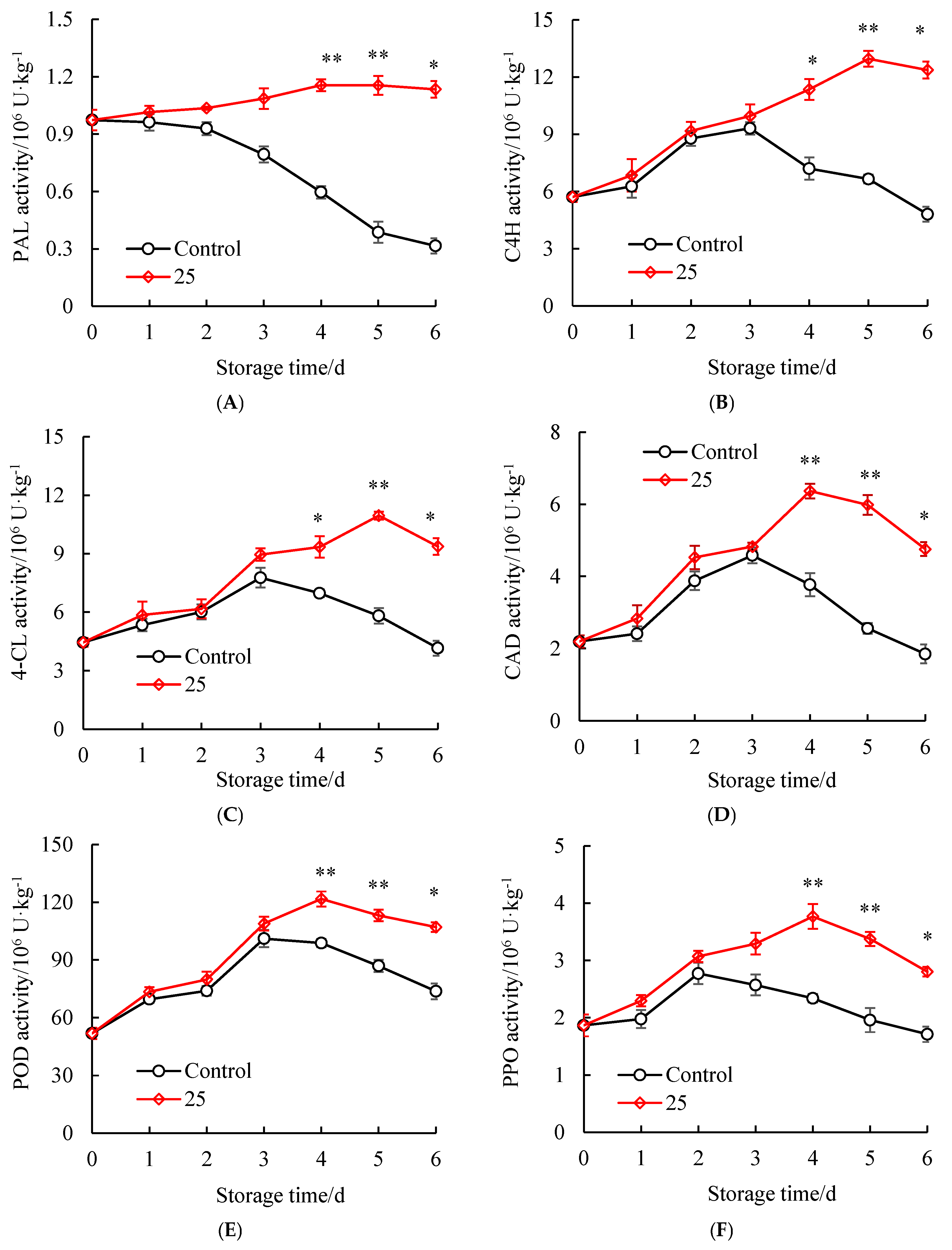
Figure 6A demonstrates that the PAL activity in the pericarp of control fruit decreased throughout the storage period. In contrast, litchis treated with SAEW showed a slight increase in PAL activity over the first three days, followed by a moderate rise from day 3 to day 4, and then a decrease on the last two days. By day 6, the PAL activity of treated litchis was 3.60 times higher than that of control litchis.

Figure 6.
Influences of SAEW treatment on PAL (A), C4H (B), 4-CL (C), CAD (D), POD (E), PPO (F), CHI (G), and GLU (H) activities in litchi pericarp during storage. Asterisks denote significant differences (*: p < 0.05, **: p < 0.01) between litchi fruit treated with 25 mg/L ACC SAEW and the control.
As depicted in Figure 6B, the activity of pericarp C4H in control litchis increased during day 0 to day 3, but showed a declining trend from day 3 to day 6. SAEW treatment had a minimal impact on the C4H activity of litchi pericarp in the first three days, but significantly enhanced enzyme activity from day 3 to day 6.
As depicted in Figure 6C,D, the trends of pericarp 4-CL and CAD activity in control litchis were similar to that of the C4H activity. All three enzyme activities increased during the first three days of storage, but decreased during the following three days of storage. SAEW treatment only slightly increased the activities of 4-CL and CAD during the first three days of storage, which was not significant. However, it substantially enhanced the enzyme activities of 4-CL and CAD during the later phase of storage.
Figure 6E demonstrates that the activity of pericarp POD in control litchis increased during day 0 to day 3, then exhibited a decrease trend from day 3 to day 6. In contrast, the activity of POD in SAEW-treated litchis increased during the initial four days of storage, following a moderate decline on the last two days. Although the activity of POD in the SAEW-treated litchi was higher than the control during the whole storage period, it only reached a significantly higher level in the last three days.
As demonstrated in Figure 6F, the pericarp PPO activity in the control litchis increased during the initial two days of storage, then displayed a decreasing trend for the next four days. Conversely, the PPO activity in SAEW-treated litchis increased during the initial four days of storage, followed by a decline on the last two days. By day 4, the PPO activity of treated litchis was 1.61 times higher than that of control litchis.
As shown in Figure 6G, during the early stage (day 0 to day 3) of storage, the activity of pericarp CHI in control litchis showed an increasing trend, while during the later stage (day 3 to day 6) of storage, it displayed a decreasing trend. However, the activity of pericarp CHI in SAEW-treated litchis consistently increased throughout the whole storage period, only reached a significantly higher level in the final two days.
As depicted in Figure 6H, the trends of pericarp GLU activity in control litchis were similar to that of the CHI activity. However, SAEW treatment did not result in a constantly increasing trend of GLU activity throughout the entire storage period, which only caused an increasing trend in the first four days of storage, followed by a moderate decline in the last two days, but reached a significantly higher activity than control fruit in the final three days.
Based on the above, SAEW treatment could significantly enhance the activities of DRE in postharvest litchi fruit during the later stages of storage.
4. Discussion
4.1. SAEW Treatment Improved the Postharvest Quality and Storability of Fresh Produce
Postharvest litchi fruit is highly susceptible to quality degradation, such as pericarp browning and disease development, which all impede the maintenance of fruit quality. Recent decades of research have revealed that, beyond its disinfection capabilities, AEW also influences the physiological metabolism of postharvest fruits and vegetables, playing a crucial role in enhancing quality and prolonging the shelf life of fresh produce [18]. Han et al. [29] demonstrated that the use of slightly acidic electrolyzed water ice (SAEWI) treatment within the cold chain circulation model effectively delayed the postharvest quality decline and enhanced the accumulation of bioactive compounds in broccoli. The study of Feng et al. [30] demonstrated that SAEW (pH = 5.5, ACC = 30 mg/L) + ultrasound treatment considerably reduced weight loss, maintained firmness, delayed color alteration, and conserved levels of total phenolics and ascorbic acid.
In this study, SAEW treatment enhanced the quality of harvested litchis, manifesting in improved storage characteristics, pericarp appearance, and nutrient content of the pulp. This improvement was reflected in reduced decay incidence, higher levels of chromaticity L* and a* values, increased contents of TSS, vitamin C, and titratable acidity, along with minimized weight loss during storage. Among the four tested ACCs (10 mg/L, 25 mg/L, 50 mg/L, and 75 mg/L), the 25 mg/L ACC-SAEW treatment exhibited the most effective preservation effects.
In the latest study of Zhang et al. [31], the litchi fruit treated with SAEW at an ACC concentration of 40 mg/L had the lowest browning index at the end of storage, and further study indicated that SAEW treatment not only curbed pericarp browning and minimized fruit weight loss in litchi, but also sustained a higher rate of commercially acceptable fruit. They also revealed that SAEW enhances the antioxidant capacities and ROS scavenging mechanisms in litchis, diminishes ROS generation and aggregation, and alleviates membrane lipid peroxidation, thereby effectively maintaining the fruit’s quality and extending its shelf life.
Compared to the study by Zhang et al. [31], although both experiments treated post-harvest litchi fruits with SAEW, the varieties of litchi used were different. Zhang et al. used “Zhuangyuanhong” as the test material, while our experiment used “Hushanwanli”. Consequently, the optimal treatment conditions derived were different; Zhang et al. employed a 40 mg/L ACC SAEW with a soaking duration of 10 min, whereas our study utilized a 25 mg/L ACC SAEW for a 5 min soak. The potential reasons may include the fact that the “Hushiwanli” variety of litchi has a thinner pericarp and higher maturity compared to the “Zhuangyuanhong” variety. The color parameters L*, a*, and b* measured in the pericarp of “Hushiwanli” were 37.3, 32.6, and 30.0, respectively, whereas in “Zhuangyuanhong”, these parameters were 35.4, 29.6, and 17.5, respectively, on the harvest day of the fruits. Consequently, “Hushiwanli” requires milder processing conditions due to these differences. These two experiments indicated that different varieties of litchi require different suitable treatment conditions when treated with SAEW.
In this study, 25 mg/L ACC SAEW treatment likely strikes a balance between antimicrobial efficacy and minimal physiological damage to the fruit. SAEW with a lower ACC may not be adequate to effectively reduce the populations of spoilage and pathogenic microorganisms on the litchi surface. Insufficient microbial control can lead to faster spoilage and a decrease in the postharvest quality of litchi fruits. SAEW with a higher ACC may enhance antimicrobial efficacy, but can also lead to deleterious effects on the fruit tissues. A higher ACC may cause phytotoxic reactions, such as tissue degradation, which compromise the integrity and aesthetic quality of litchi fruits. Further research is needed to understand the reasons behind the significant differences in the preservation effects of SAEW with varying ACC levels on litchi fruits.
4.2. Induced Disease Resistance by SAEW Treatment Improved the Storability of Postharvest Litchi Fruit
The defense system of fresh produce against pathogen invasion involves the accumulation of secondary metabolites such as lignin, flavonoids, and phenolics [16,17]. The biosynthesis of lignin includes two primary pathways: the general phenylpropanoid pathway, which converts phenylalanine to feruloyl-CoA through several steps, and the specific monolignol pathway, which transforms feruloyl-CoA into various monolignols [18]. The above pathways involve various enzymes, including PAL, C4H, 4-CL, CAD, POD, PPO, CHI, and GLU, among others [32]. PAL acts as the rate-limiting enzyme during the initial step, catalyzing the transformation of phenylalanine into cinnamic acid [33,34]. Following this, cinnamic acid undergoes hydroxylation by C4H at the para-position, resulting in the production of para-coumaric acid, which is then catalyzed by 4CL to form paracoumaroyl CoA. para-Coumaric acid can also undergo further hydroxylation to yield caffeic acid, which is converted into ferulic acid and sinapic acid by the action of caffeic acid 3-O-methyltransferase [23]. Cinnamoyl-CoA reductase converts cinnamoyl-CoA derivatives into hydroxycinnamaldehydes, while CAD catalyzes the conversion of hydroxycinnamaldehydes into their corresponding alcohols, both processes being critical for lignin biosynthesis [33]. Flavonoid and phenolic, important metabolites derived from the phenylpropanoid pathway, act as inducible phytoalexins that help treat microbial diseases [18]. By converting phenolic compounds into quinones, PPO produces substances that are highly toxic to pathogens [16]. CHI and GLU can defend against pathogen invasion and participate in the disruption and degradation of the pathogen cell wall [18].
The experimental data from the present study demonstrated that SAEW treatment significantly induced the activities of DRE related to the synthesis of lignin, flavonoids, and phenolics, including PAL, 4-CL, C4H, CAD, POD, and CHI, during the later storage period (from day 4 to day 6; CHI was an exception, as its activity was notably enhanced from day 5 to day 6). Meanwhile, the lignin, flavonoid, and total phenolic contents of SAEW-treated litchi fruit were higher than those of the control litchi fruit from day 4 to day 6. Analysis of the correlations revealed that the disease index was negatively related to lignin (r = −0.88 **), flavonoid (r = −0.67), and total phenolics (r = −0.86 **)(Figure 7). The research by Lin et al. [16] notably demonstrated that AEW significantly enhanced DRE activities, specifically increasing PPO and CHI from day 2 to day 8, and PAL, 4-CL, C4H, CAD, and GLU from day 4 to day 8. Additionally, it markedly stimulated lignin accumulation during the same period (day 4 to day 8). Fan et al. [18] discovered that, in comparison to control longan fruit, AEW-treated longan fruit exhibited 34 differentially expressed genes (DEGs) related to phenylpropanoid and flavonoid biosynthesis. Conspicuously, PAL, 4-CL, CAD, POD, and CHI showed elevated expression levels on days 2 and 4 of a 6-day storage period, highlighting their critical involvement in AEW-induced disease resistance. As shown in the two aforementioned experiments, other studies on AEW treatment inducing fruit disease resistance have also found that AEW treatment could enhance the activity of DREs or the expression of DRE genes starting from the early stages of storage. However, in our study, the increase in DRE activities of litchi fruit treated with SAEW occurred in the later stages of storage. What are the reasons that cause such differences?
Figure 7.
Analysis of the correlations among the disease index, disease resistance compounds, and disease resistance enzyme activities of litchi fruit during storage (*: p < 0.05, **: p < 0.01, ***: p < 0.001).
It was speculated that a low-ACC (25 mg/L) SAEW might trigger a priming defense in treated litchi fruit, whereas AEW promoted resistance through direct induction in treated fruit. In the preliminary research, it was confirmed that SAEW with 25 mg/L ACC did not have a direct inhibitory effect on C. gloeosporioides in vitro. In the control group, disease symptoms began to appear on the litchi fruits mainly from the third day, while in the treated group, symptoms emerged on the fifth day and were significantly milder compared to those on the control group’s fruits during the same timeframe. A 5 min soaking treatment with SAEW were not able to eliminate pathogens, but it might potentially weaken their infective ability. Subsequently, even as these pathogens regained their ability to infect and prepare to continue targeting litchi fruits, the severity of the disease might be mitigated due to the defense priming effect induced by SAEW treatment. This could partially explain why the SAEW treatment significantly induced the activities of DREs and the accumulations of disease resistance metabolites from day 4 to day 6 (Figure 8).
Figure 8.
Possible mechanism of the SAEW-enhanced storability and quality properties of litchi fruit by priming defense.
In the future, experiments will be carried out to validate the aforementioned hypothesis. Initially, it can be assessed whether SAEW treatment diminishes the infective potential of C. gloeosporioides on litchi fruits. Subsequently, litchi fruits treated with SAEW may be stored for two days prior to inoculation with C. gloeosporioides, to determine if the litchi fruit’s disease resistance system can mount a faster response to the pathogen infection. In Arabidopsis, the primed state can be detected through various molecular markers, which include increased levels of pattern recognition receptors such as FLS2 and CERK1, enhanced accumulation of mitogen-activated protein kinases MPK3 and MPK6, augmented expression of transcription factor genes like WRKYs and MYC2, modifications to histones such as trimethylation of lysine residue 4 in histone H3, and DNA hypomethylation [35,36]. Therefore, experiments will also be designed at the molecular-marker level to ascertain if SAEW induces defense priming.
5. Conclusions
The results revealed that SAEW treatment with 25 mg/L ACC significantly hindered the progression of disease, enhancing the storability and quality attributes of “Hushanwanli” litchi fruit. The different varieties of litchi necessitate specific treatment conditions when subjected to SAEW. This preservation effect can likely be attributed to the regulation of the phenylpropane pathway, the enhancement of disease resistance enzymes activities, and an increase in the levels of disease resistance compounds such as lignin, flavonoids, and total phenolics, particularly noticeable during the latter stages of storage. Further research should delve into optimizing SAEW treatment conditions tailored for various litchi cultivars to maximize the preservation effects. Additionally, exploring the molecular mechanisms underlying the interactions between SAEW treatments and disease resistance in litchi fruits would provide valuable insights. Continuing this line of inquiry could lead to more effective, sustainable practices in the preservation and enhancement of fruit quality in the agricultural industry.
Author Contributions
Conceptualization, X.J. and X.L.; methodology, H.C. and Y.L.; software, Y.C. (Yazhen Chen); validation, X.J. and Y.C. (Yihui Chen); formal analysis, Y.C. (Yazhen Chen); investigation, X.J.; resources, X.L.; data curation, Y.L.; writing—original draft preparation, X.J.; writing—review and editing, H.C.; visualization, Y.L.; supervision, Y.C. (Yihui Chen); project administration, H.C.; funding acquisition, X.J. All authors have read and agreed to the published version of the manuscript.
Funding
This research was funded by the Natural Science Foundation of Fujian Province of China (grant nos. 2023J01902 and 2020J05158) and the Research Start-up Project of Introduced Talent of Quanzhou Normal University of Fujian Province of China (grant no. H19006).
Data Availability Statement
The datasets produced during this study can be obtained by contacting the corresponding author upon request.
Conflicts of Interest
The authors declare no conflicts of interest.
Abbreviations
The following abbreviations are used in this manuscript:
| 4-CL | 4-coumarate CoA ligase |
| ACC | Available chlorine concentration |
| C4H | Cinnamate-4-hydroxylase |
| CAD | Cinnamyl alcohol dehydrogenase |
| CAFR | Commercially acceptable fruit rate |
| CHI | Chitinase |
| DI | Disease index |
| DRE | Disease resistance enzyme |
| GLU | β-1,3-glucanase |
| SAEW | Slightly acidic electrolyzed water |
| PAL | Phenylalanine ammonia-lyase |
| PBI | Pericarp browning index |
| POD | Peroxidase |
| PPO | Polyphenol oxidase |
| ROS | Reactive oxygen species |
| TA | Titratable acidity |
References
- Jiang, X.J.; Lin, H.T.; Shi, J.; Neethirajan, S.; Lin, Y.F.; Chen, Y.H.; Wang, H.; Lin, Y.X. Effects of a novel chitosan formulation treatment on quality attributes and storage behavior of harvested litchi fruit. Food Chem. 2018, 252, 134–141. [Google Scholar] [CrossRef] [PubMed]
- Fang, F.; Liu, B.; Fu, L.; Tang, H.; Li, Y.; Pang, X.; Zhang, Z. Water supply via pedicel reduces postharvest pericarp browning of litchi (Litchi chinensis) fruit. Foods 2024, 13, 814. [Google Scholar] [CrossRef] [PubMed]
- Yang, Q.; Shi, D.; Ren, Y.; Yang, C.; Qu, H.; Jiang, Y.; Li, T. Vitexin is a potential postharvest treatment for ameliorating litchi fruit pericarp browning by regulating autophagy. Postharvest Biol. Technol. 2024, 216, 113061. [Google Scholar] [CrossRef]
- Cao, X.; Li, F.; Xu, H.; Li, H.; Wang, S.; Wang, G.; West, J.S.; Wang, J. Characterization of Colletotrichum species infecting litchi in Hainan, China. J. Fungi 2023, 9, 1042. [Google Scholar] [CrossRef] [PubMed]
- Xiao, J.; Xie, Y.; Kong, X.; Peng, K.; Zhu, H.; Jiang, M.; Qu, H. Involvement of LcmiR482e-LcACA2 mediated energy metabolism in senescence of harvested litchi fruit. Postharvest Biol. Technol. 2024, 208, 112676. [Google Scholar] [CrossRef]
- Situ, J.; Zheng, L.; Xu, D.; Gu, C.; Xi, P.; Deng, Y.; Hsiang, T.; Jiang, Z. Screening of effective biocontrol agents against postharvest litchi downy blight caused by Peronophythora litchii. Postharvest Biol. Technol. 2023, 198, 112249. [Google Scholar] [CrossRef]
- Akther, S.; Islam, M.R.; Alam, M.; Alam, M.J.; Ahmed, S. Impact of slightly acidic electrolyzed water in combination with ultrasound and mild heat on safety and quality of fresh cut cauliflower. Postharvest Biol. Technol. 2023, 197, 112189. [Google Scholar] [CrossRef]
- Du, Y.; Tian, Q.; Li, G.; Yi, J.; Hu, X.; Jiang, Y. Advanced application of slightly acidic electrolyzed water for fresh-cut fruits and vegetables preservation. Food Res. Intl. 2024, 195, 114996. [Google Scholar] [CrossRef]
- Sun, Y.; Qiu, W.; Fang, X.; Zhao, X.; Xu, X.; Li, W. Hydrogen-rich water treatment of fresh-cut kiwifruit with slightly acidic electrolytic water: Influence on antioxidant metabolism and cell wall stability. Foods 2023, 12, 426. [Google Scholar] [CrossRef]
- Tyagi, A.; Chen, X.; Shabbir, U.; Chelliah, R.; Oh, H.D. Effect of slightly acidic electrolyzed water on amino acid and phenolic profiling of germinated brown rice sprouts and their antioxidant potential. LWT Food Sci. Technol. 2022, 157, 113119. [Google Scholar] [CrossRef]
- Suo, K.; Zhang, Y.; Feng, Y.; Yang, Z.; Zhou, C.; Chen, W.; Wang, J. Ultrasonic synergistic slightly acidic electrolyzed water processing to improve postharvest storage quality of Chinese bayberry. Ultrason. Sonochem. 2023, 101, 106668. [Google Scholar] [CrossRef] [PubMed]
- Song, H.; Yoon, S.; Ha, J. Effects of slightly acidic electrolysed water spraying and ultraviolet C light-emitting diode irradiation combination on the inactivation kinetics of Escherichia coli biofilms on food contact surfaces. Food Control 2023, 152, 109879. [Google Scholar] [CrossRef]
- Tango, C.N.; Khan, I.; Ngnitcho Kounkeu, P.-F.; Momna, R.; Hussain, M.S.; Oh, D.H. Slightly acidic electrolyzed water combined with chemical and physical treatments to decontaminate bacteria on fresh fruits. Food Microbiol. 2017, 67, 97–105. [Google Scholar] [CrossRef] [PubMed]
- Ding, T.; Ge, Z.; Shi, J.; Xu, Y.T.; Jones, C.L.; Liu, D.H. Impact of slightly acidic electrolyzed water (SAEW) and ultrasound on microbial loads and quality of fresh fruits. LWT Food Sci. Technol. 2015, 60, 1195–1199. [Google Scholar] [CrossRef]
- Guentzel, J.L.; Callan, M.A.; Liang Lam, K.; Emmons, S.A.; Dunham, V.L. Evaluation of electrolyzed oxidizing water for phytotoxic effects and pre-harvest management of gray mold disease on strawberry plants. Crop Prot. 2011, 30, 1274–1279. [Google Scholar] [CrossRef]
- Lin, Y.; Chen, H.; Dong, S.; Chen, Y.; Jiang, X.; Chen, Y. Acidic electrolyzed water maintains the storage quality of postharvest wampee fruit by activating the disease resistance. Foods 2024, 13, 1556. [Google Scholar] [CrossRef]
- Tang, J.Y.; Chen, H.B.; Lin, H.T.; Hung, Y.C.; Xie, H.L.; Chen, Y.H. Acidic electrolyzed water treatment delayed fruit disease development of harvested longans through inducing the disease resistance and maintaining the ROS metabolism systems. Postharvest Biol. Technol. 2021, 171, 111349. [Google Scholar] [CrossRef]
- Fan, Z.Q.; Fang, L.; Liu, Q.Q.; Lin, H.T.; Lin, M.S.; Lin, Y.F.; Wang, H.; Hung, Y.C.; Chen, Y.H. Comparative transcriptome and metabolome reveal the role of acidic electrolyzed oxidizing water in improving postharvest disease resistance of longan fruit. Food Chem. 2024, 449, 139235. [Google Scholar] [CrossRef]
- Zhang, W.; Cao, J.; Jiang, W. Application of electrolyzed water in postharvest fruits and vegetables storage: A review. Trends Food Sci. Technol. 2021, 114, 599–607. [Google Scholar] [CrossRef]
- Li, P.Q.; Liang, C.Q.; Jiao, J.H.; Ruan, Z.; Sun, M.J.; Zhao, J.C.; Wang, T.; Zhong, S.Y. Exogenous priming of chitosan induces resistance in Chinese prickly ash against stem canker caused by Fusarium zanthoxyli. Int. J. Biol. Macromol. 2024, 259, 129119. [Google Scholar] [CrossRef]
- Li, M.Q.; Zhang, X.H.; Li, J.Q.; Ali, M.; Wang, Y.T.; Liu, X.L.; Li, F.J.; Li, X.A. GABA primes defense responses against Botrytis cinerea in tomato fruit by modulating ethylene and JA signaling pathway. Postharvest Biol. Technol. 2024, 208, 112665. [Google Scholar] [CrossRef]
- Ji, N.; Wang, J.; Zuo, X.; Li, Y.; Li, M.; Wang, K.; Jin, P.; Zheng, Y. PpWRKY45 is involved in methyl jasmonate primed disease resistance by enhancing the expression of jasmonate acid biosynthetic and pathogenesis-related genes of peach fruit. Postharvest Biol. Technol. 2021, 172, 111390. [Google Scholar] [CrossRef]
- Chen, O.; Deng, L.L.; Ruan, C.Q.; Yi, L.H.; Zeng, K.F. Pichia galeiformis induces resistance in postharvest citrus by activating the phenylpropanoid biosynthesis pathway. J. Agric. Food Chem. 2021, 69, 2619–2631. [Google Scholar] [CrossRef] [PubMed]
- Deng, J.; Bi, Y.; Zhang, Z.; Xie, D.; Ge, Y.; Li, W.; Wang, J.; Wang, Y. Postharvest oxalic acid treatment induces resistance against pink rot by priming in muskmelon (Cucumis melo L.) fruit. Postharvest Biol. Technol. 2015, 106, 53–61. [Google Scholar] [CrossRef]
- Shen, W.; Li, W.; Shao, Y.; Zeng, J. Proanthocyanidin delays litchi peel browning by inhibiting ethylene biosynthesis, respiratory metabolism, and phenol oxidase activities. Sci. Hort. 2023, 309, 111677. [Google Scholar] [CrossRef]
- Lai, D.; Shao, X.; Xiao, W.; Fan, C.; Liu, C.; He, H.; Tian, S.; Kuang, S. Suppression of fruit decay and maintenance of storage quality of litchi by Photorhabdus luminescens Hb1029 treatment. Sci. Hortic. 2020, 259, 108836. [Google Scholar] [CrossRef]
- Wang, K.; Jin, P.; Han, L.; Shang, H.; Tang, S.; Rui, H.; Duan, Y.; Kong, F.; Kai, X.; Zheng, Y. Methyl jasmonate induces resistance against Penicillium citrinum in Chinese bayberry by priming of defense responses. Postharvest Biol. Technol. 2014, 98, 90–97. [Google Scholar] [CrossRef]
- Bradford, M.M. Rapid and sensitive method for quantitation of microgram quantities of protein utilizing principle of proteindye binding. Anal. Biochem. 1976, 72, 248–254. [Google Scholar] [CrossRef]
- Han, Y.; He, X.; Luo, S.; Hu, H.; Li, P. The regulatory effect of slightly acidic electrolyzed water ice on the postharvest quality decline and glucosinolate metabolism of broccoli. Postharvest Biol. Technol. 2024, 215, 113015. [Google Scholar] [CrossRef]
- Feng, Y.; Suo, K.; Zhang, Y.; Yang, Z.; Zhou, C.; Shi, L.; Chen, W.; Wang, J.; Wang, C.; Zheng, Y. Ultrasound synergistic slightly acidic electrolyzed water treatment of grapes: Impacts on microbial loads, wettability, and postharvest storage quality. Ultrason. Sonochem. 2024, 103, 106751. [Google Scholar] [CrossRef]
- Zhang, J.; Chen, X.; Liu, Q.; Li, M.; Feng, S.; Lin, M.; Chen, Y.; Lin, H. Slightly acidic electrolyzed water treatment enhances the quality attributes and the storability of postharvest litchis through regulating the metabolism of reactive oxygen species. Food Chem. X 2024, 23, 101644. [Google Scholar] [CrossRef] [PubMed]
- Yadav, V.; Wang, Z.Y.; Wei, C.H.; Amo, A.; Ahmed, B.; Yang, X.Z. Phenylpropanoid pathway engineering: An emerging approach towards plant defense. Pathogens 2020, 9, 312. [Google Scholar] [CrossRef] [PubMed]
- You, W.; Zhang, J.; Ru, X.; Xu, F.; Wu, Z.; Jin, P.; Zheng, Y.; Cao, S. CaCl2 promoted phenolics accumulation via the CmCAMTA4-mediated transcriptional activation of phenylpropane pathway and energy metabolism in fresh-cut cantaloupe. Postharvest Biol. Technol. 2024, 207, 112599. [Google Scholar] [CrossRef]
- Zou, Y.Y.; Yang, S.S.; Ren, Q.M.; Chen, J.Y.; Wang, K.T.; Li, C.H.; Zheng, Y.H. Extracellular self-DNA as a DAMP signal for induced systemic resistance to anthracnose rot in postharvest loquat fruit via EjRAV2-EjERF39 module. Postharvest Biol. Technol. 2024, 216, 113023. [Google Scholar] [CrossRef]
- Conrath, U.; Beckers, G.J.M.; Langenbach, C.J.G.; Jaskiewicz, M.R. Priming for enhanced defense. Annu. Rev. Phytopathol. 2015, 53, 97–119. [Google Scholar] [CrossRef]
- Martinez-Medina, A.; Flors, V.; Heil, M.; Mauch-Mani, B.; Pieterse, C.M.J.; Pozo, M.J.; Ton, J.; Van Dam, N.M.; Conrath, U. Recognizing plant defense priming. Trends Plant Sci. 2016, 21, 818–822. [Google Scholar] [CrossRef]
Disclaimer/Publisher’s Note: The statements, opinions and data contained in all publications are solely those of the individual author(s) and contributor(s) and not of MDPI and/or the editor(s). MDPI and/or the editor(s) disclaim responsibility for any injury to people or property resulting from any ideas, methods, instructions or products referred to in the content. |
© 2025 by the authors. Licensee MDPI, Basel, Switzerland. This article is an open access article distributed under the terms and conditions of the Creative Commons Attribution (CC BY) license (https://creativecommons.org/licenses/by/4.0/).











