Abstract
Light quality and biostimulants regulate alkaloid biosynthesis and promote plant growth, but their combined effects on vindoline (VDL) and catharanthine (CAT) production in Catharanthus roseus remain underexplored. This study investigated the impact of different LED spectra and an arbuscular mycorrhizal fungi-based biostimulant (BS) on VDL and CAT production in indoor-grown C. roseus. After a 60-day pretreatment under white LEDs, plants were exposed to eight treatments: white (W, control), red (R), blue (B), and red-blue (RB) light, and their combinations with BS. Samples were collected before treatments (T0) and 92 days after pretreatment (T1). No mycorrhizal development was observed. VDL was detected in both roots and leaves, with higher levels in roots. R produced significantly higher mean concentrations of both VDL and CAT than W. BS significantly increased mean concentrations and total yields of both alkaloids than the untreated condition. The combination of R and BS produced the highest mean concentrations and total yields of VDL and CAT. In particular, it resulted in a significantly higher mean concentration and total yield of VDL compared to sole W. Total yields increased from T0 to T1, primarily due to a substantial rise in root yield. In conclusion, combining R and BS proved to be the most effective strategy to enhance VDL and CAT production by maximizing their total yields, which also increased over time due to greater root contribution. This underscores the importance of combining targeted treatments with harvesting at specific stages to optimize alkaloid production under controlled conditions.
1. Introduction
Catharanthus roseus (L.) G. Don is an important medicinal plant known for producing monoterpenoid indole alkaloids (MIAs) such as vinblastine (VBL) and vincristine (VCR), which are widely used as anti-cancer drugs [1]. Newer derivatives like vinorelbine, vindesine, and vinflunine have been developed based on the structure of VBL and are similarly used in cancer treatment [2]. However, the production of these drugs is constrained by the extremely low concentrations of VBL and VCR in the dry leaves of C. roseus, typically around 0.01% and 0.0003%, respectively [3]. To address this limitation, semi-synthetic approaches have been developed that couple vindoline (VDL) and catharanthine (CAT), the biosynthetic precursors abundant in C. roseus plants, to produce these valuable drugs [4].
However, plant properties, including their metabolic pathways, are significantly influenced by cultivation techniques and external environmental factors. In particular, C. roseus is a perennial plant native to subtropical and tropical regions, with an optimal growth temperature ranging between 21 and 27 °C [5]. In most Mediterranean climates, C. roseus cannot be cultivated outdoors year-round due to temperatures dropping below 18 °C between November and March. To ensure consistent quality and maximize yields of VDL and CAT, cultivation under controlled artificial conditions becomes essential. Modern indoor farming techniques, such as vertical farming with artificial lighting, provide a solution by allowing for precise control over environmental variables including light, temperature, and humidity [6,7].
In modern indoor cultivation systems, LED (light-emitting diode) lighting has emerged as a powerful tool for ensuring adequate light intensity and spectral composition, which are crucial for the optimal growth and development of plants. Beyond supporting basic growth, LED lighting can “tune” plants to enhance the accumulation of specific secondary metabolites by modulating their biosynthetic pathways [8,9,10,11,12,13,14,15]. Over the past decade, LED lighting has been explored as a means to stabilize the supply of VBL and VCR by optimizing the production of their precursors, VDL and CAT. Fukuyama et al. [16] observed a notable enhancement in plant growth parameters when plants were exposed to red light. However, this increased growth did not translate into significant variations in the production levels of VDL or CAT across different light conditions. Their subsequent research [17] identified that the optimal red light intensity for maximizing VDL and CAT production per plant ranged between 150 and 300 μmol m−2 s−1. Similarly, Quadri et al. [11,13] reported that red light at 150 μmol m−2 s−1 generally promoted higher levels of vindoline and catharanthine, although these increases were not statistically significant.
LED lighting has also been extensively employed to enhance secondary metabolite production in other medicinal plant species. For instance, in Hypericum perforatum L. (cv. Topas) cultivated under hydroponic conditions, red LED light has been shown to promote biomass accumulation, flowering, and the synthesis of secondary metabolites [18]. Furthermore, Zhang et al. [19] reported that a combination of red and blue light enhanced artemisinin accumulation in Artemisia annua by upregulating key genes involved in its biosynthetic pathway, including amorpha-4,11-diene synthase (ADS) and cytochrome P450 monooxygenase (CYP71AV1). In addition, Sambuco et al. [20] reported that in Coleus blumei, both blue and red-blue light significantly influenced the accumulation of rosmarinic acid, quercetin, and apigenin in leaves.
In parallel with advances in light manipulation, biostimulant applications have emerged as powerful tools to improve plant health and metabolite production. Among these, biostimulants derived from arbuscular mycorrhizal fungi (AMF) have demonstrated potential for enhancing biomass and secondary metabolite accumulation in medicinal plants, such as C. roseus [21,22]. AMF has been associated with improved plant growth, enhanced nutrient uptake, and, more recently, increased secondary metabolite accumulation in medicinal plants. Studies have shown that AMF inoculation can influence alkaloid synthesis and accumulation, depending on the plant stage and organ examined [23,24]. Specifically, AMF inoculation in C. roseus has been associated with higher biomass yields [25,26] and increased quantities of VBL, VCR, VDL, and CAT due to mycorrhization [26]. Beyond AMF, complex biostimulant formulations often combine various ingredients, including other microorganisms (e.g., mycorrhizal and non-mycorrhizal fungi, bacterial endosymbionts) and bioactive substances such as vermicompost, humic compounds, amino acids, seaweed extracts, potassium salts, phosphates, and phytohormones. These formulations have been widely applied to stimulate secondary metabolism in medicinal plants. Their commercial use represents a viable agronomic strategy to enhance both biomass yield and phytochemical content [27]. For example, the inoculation of Anethum graveolens seeds and foliar application of vermicompost enriched with Azotobacter chroococcum and Azospirillum lipoferum significantly increased umbel number, dry weight, and seed yield [28]. Similar improvements have been observed in coriander, celery, fennel, turmeric, and hyssop. Foliar glutamine application (500 mg L−1) maximized steroid content [29], while Aminolforte treatment in Aloe vera enhanced antioxidant enzyme activity and phenolic accumulation [30]. In Matricaria chamomilla, treatments with spermidine, stigmasterol, vermicompost, and amino acids improved both morphology and the accumulation of bioactive compounds [31,32,33]. Likewise, the application of humic and trans-cinnamic acids, phytohormones (cytokinins, auxins, gibberellic acid), and commercial formulations (Aminolforte, Kadostim, Fosnutren, Humiforte) promoted secondary metabolite production in Ocimum basilicum [34,35,36] and Calendula officinalis [22,27,37].
Despite the individual benefits of LED light and AMF-based biostimulants, their combined use on the production of alkaloids in C. roseus has not been thoroughly investigated. Therefore, this study aims to investigate the combined effects of LED light and AMF-based biostimulants on the concentrations and yields of VDL and CAT, with the ultimate goal of identifying the optimal combinations of light and biostimulant that maximize the production of these compounds.
2. Materials and Methods
2.1. Plant Material and Growing Condition
Seedlings of C. roseus “Titan Really Red” approximately 40 days old and at the stage of 2–3 pairs of leaves were procured from a large commercial nursery, which provided the seedlings in specialized cell trays. The seedlings were then immediately transplanted into 1.4 L square plastic pots (dimensions: 10 × 10 cm; height: 17 cm; Bamaplast, Pistoia, Italy) filled with professional soil mix (VIV COCCO TIIRENO 2; Vigorplant, Lodi, Italy) and transferred to an environmentally controlled growth room where they were cultivated for 60 days (pretreatment acclimatation period) with a 16 h light period, a photosynthetic photon flux density (PPFD) of ~100 μmol m−2 s−1 provided by white LED lights (C-LED Extended white combo 150 W, 3221 K; C-LED S.r.l, Imola, Italy) and a temperature of 23 °C. PPFD was measured at the top of the canopy using an LP471/PAR quantum radiometric sensor (Delta Ohm S.r.l., Padua, Italy). Throughout the experimental test, plants were irrigated with tap water, adjusted to a pH of 6 using nitric acid (38%), as needed. Since C. roseus is perennial in a climate-controlled environment, thrives in a wide range of soil types, and is recognized for its resilience in dry and nutrient-poor conditions, no fertilization was applied during the trial. This approach was chosen to eliminate biochemical and metabolic responses caused by factors other than the light and/or Bacillus subtilis treatments. At the end of this period plants were selected based on uniformity and good health status and were allocated to their respective treatment groups as described below.
2.2. Experimental Treatments
Eight experimental treatments were applied, derived from the combination of four LED light spectra with two AMF-based biostimulant (BS) conditions (Table 1, Figure S1). These treatments resulted in a total of eight treatment codes (TC) (Table 1). The full-spectrum white LED (W) treatment was selected as the control because of its dual function: first, as a proxy for natural sunlight in indoor conditions—due to its broad spectral distribution—and second, as a practical standard in vertical farming, where white LEDs are widely adopted in commercial practice.
Table 1.
Experimental treatments.
The plants were exposed to the light treatments in the same growth room used for the pretreatment acclimatation period. The photoperiod, temperature, and relative humidity of the chamber are illustrated in Table 1. PPFD was measured at the canopy level using the same quantum radiometric sensor employed during the pretreatment acclimatation period (LP471/PAR, Delta Ohm S.r.l., Padua, Italy).
A commercial AMF based-biostimulant was used to inoculate the plants. This commercial AMF inoculum was preferred to a laboratory inoculum because it better represents possible practical application of AMF in the cultivation of medicinal plants, at least insofar as inoculum quantity and quality are concerned. This commercial AMF based-biostimulant composition and characteristics are shown in Table 2. The treatment with the BS was applied immediately before subjecting the plants to the various light treatments. The pots of the plants designated for treatment with the BS received a 40 g dose of the respective product (40 g of product per 1.4 L of substrate per pot). This dose was distributed into four cavities, each 10 cm deep, with 10 g per cavity, positioned directly below the transplanted seedlings.
Table 2.
Composition and characteristics of the AMF-based biostimulant (BS).
2.3. Samplings
Leaf and root samples were collected to assess dry weights (DWs) and the concentrations of VDL and CAT. Additionally, root samples were harvested to investigate mycorrhizal presence. To monitor temporal changes in DWs, concentrations, yields, and to evaluate mycorrhizal colonization, plants were sampled at two distinct time points: T0 (immediately before the initiation of AMF-based biostimulant and LED light treatments) and T1 (92 days after pretreatment—DAP). At T0, five plants were randomly selected for alkaloid analysis and mycorrhizal colonization assessment. At T1, seven plants per treatment group were sampled for alkaloid analysis, and three additional plants per treatment group were examined for AMF colonization. This methodology allowed for a comprehensive evaluation of biochemical and mycorrhizal responses throughout the study period.
2.4. Evaluation of Mycorrhizal Colonization
The visualization of arbuscular mycorrhizae was performed using the method developed by Vierheilig et al. [38]. Briefly, this protocol involves root decolorization in a 10% KOH solution for 35 min at 120 °C. After decolorization, the samples were rinsed with distilled water to remove any residual KOH. Subsequently, the roots were stained for 10 min at 90 °C in a 5% acetic acid solution containing 5% “Blue Pelikan” ink. After a final rinse to eliminate excess stain, the stained samples were mounted on microscope slides for further microscopic observation.
2.5. Quantitative Biochemical Analyses of Alkaloids
The HPLC-DAD-MS/MS analysis was conducted using a Waters Alliance e2695 chromatographic system (Waters Corporation, Milford, MA, USA) with an autosampler, paired with a Waters 2998 photo diode array detector and a Waters Micromass Quattro Micro triple-quadrupole mass spectrometer with an electrospray ion source operating in positive ionization mode (ESI+). Data processing was carried out using Waters MassLynx 4.1 software. The separations were achieved on a Waters XTerra MS C18 column (100 × 2.1 mm I.D., 3.5 µm), maintained at room temperature and fitted with a Waters VanGuard XTerra C18 guard column (Waters Corporation, Milford, MA, USA). The mobile phase consisted of 0.15% aqueous formic acid (component A) and 0.15% formic acid in acetonitrile (component B), flowing at a constant rate of 0.3 mL/min. The gradient program of the mobile phase started with A:B 90:10 (V/V) for 1 min, ramped to A:B 70:30 (V/V) over 1 min, maintained for 3 min, then ramped to A:B 50:50 (V/V) over 1 min and maintained for 3 min, before returning to initial conditions over 1 min and maintaining for 1 min for column re-equilibration. The mobile phase components were filtered through Sartorius membrane filters (47 mm diameter, polyamide, 0.2 µm pore size) and degassed using an ultrasonic bath. For VDL and CAT HPLC-DAD-MS/MS quantitative analysis, the DAD detector scanned from 220 to 400 nm, and multiple reaction monitoring (MRM) transitions were used for MS detection in ESI+ mode. MS parameters were optimized for maximum ion abundance by direct infusion of reference standard solutions (1 µg/mL in methanol) at 20 μL/min. The optimized parameters were as follows: ion source voltage, 3.5 kV; ion source temperature, 125 °C; desolvation temperature, 380 °C; desolvation gas flow, 600 L/h; extractor potential, 3.2 V; collision exit potential, 1 V. N2 was used as the desolvation gas and Ar as the collision gas. The precursor and product ions, along with dwell time, cone voltage, and collision energy, were optimized for each analyte (Table 3).
Table 3.
Analyte-dependent MRM MS parameters.
Samples were dried at 40 °C until a constant weight was achieved, ground using an IKA A11-1 electric analytical mill (IKA-Werke GmbH & Co. KG, Staufen im Breisgau, Germany), and 0.25 g of the powdered material was extracted with 2.5 mL of 70% (V/V) ethanol for 24 h with continuous stirring. This extraction was repeated three times, then the pooled extract was filtered through a Büchner funnel, and the solvent was evaporated in a vacuum concentrator (Savant SpeedVac SPD210, Thermo Fisher Scientific Inc., Waltham, MA, USA) at 40 °C to obtain the crude extracts. Appropriate amounts of the extracts were dissolved in methanol to achieve a working concentration of 1 mg/mL, centrifuged, and the supernatant was filtered through 25 mm Ø, 0.45 µm pore size nylon syringe filters. The filtered solution was diluted and subjected to a microextraction by packed sorbent (MEPS) clean-up procedure using an SGE (Melbourne, VIC, Australia) Analytical Science apparatus. This included a 100 μL HPLC syringe with a removable needle and a BIN (barrel insert and needle) containing an M1 (C8+SCX mixed mode) sorbent. The sorbent was activated with 200 μL of methanol, equilibrated with 200 μL of ultrapure water, and then a mixture of 100 μL diluted methanolic extracts, 100 μL ultrapure water, and 5 μL vindoline-d3 (internal standard-IS) was loaded into the syringe and discharged 10 times. A washing step was performed with 100 μL of water, followed by 100 μL of a 90:10 (V/V) water/methanol mixture, and subsequently eluted by aspirating and releasing 500 μL of methanol. The eluate was vacuum-dried, resuspended in 100 μL of a component A:B (70:30, V/V) mixture, and subsequently injected into the HPLC-DAD-MS/MS system.
2.6. Experimental Design and Statistical Analysis
A factorial experimental design (4 × 2) was used to investigate the effects of two factors (light spectrum with four levels: “W”, “R”, “B”, “RB”; BS treatment with two levels: “YES”, “NO”) on various parameters of C. roseus. This resulted in eight treatments, each with seven replicates. Replicates were randomly assigned to individual shelves within the controlled growth chamber, and treatments were allocated to them at random. Preliminary uniformity tests verified that environmental conditions were homogeneous across all shelves, with no significant differences detected. Throughout the experiment, conditions were also further continuously monitored to ensure they remained uniform, homogeneous, and stable across all replicates receiving the treatments.
The analyzed parameters included:
Dry weight (DW) of leaves, roots, and leaves + roots (total);
Concentration and yield of catharanthine (CAT) and vindoline (VDL) in leaves and roots;
Mean concentrations of VDL and CAT in the plant;
Total plant yields of CAT and VDL.
To calculate the yields, total yields of VDL and CAT, as well as the mean concentrations of these compounds in the plant, the following formulas were applied:
where A refers to alkaloid concentrations, specifically VDL or CAT.
Baseline data at T0 (before treatment) were obtained by averaging the yields, concentrations, and dry weights of five sampled plants.
The statistical analysis for this study was performed using R Studio version 4.3.3. Linear models (lm) were used to assess the effects of “Light” and “BS”, and their interaction on the dependent variables. Normality and homogeneity of variances were checked using quantile–quantile and residual plots, respectively. Variables not meeting these assumptions were transformed: logarithmic transformation for root CAT yield and total CAT yield, and Box–Cox transformation for leaf VDL yield using the “make.tran” function from the “emmeans” package [39]. p-values were obtained using the Anova function (Type III) from the car package [40]. Results were analyzed with the emmeans function from the emmeans package [39] to calculate estimated marginal means (EMMs). When necessary, EMMs were back-transformed to their original scale for interpretation using the type = “response” argument. Pairwise comparisons (more than two means) were conducted using the Tukey method with Benjamini–Hochberg adjustment applied via the multcomp::cld function in the multcomp package on EMMs [41]. Simple comparisons (only two means) were performed using T-tests via multcomp::cld on EMMs (no multiplicity correction). All statistical analyses were performed at a significance level of 0.05. Data visualization was carried out with the ggplot function from the ggplot2 package [42], and results are presented as means ± SE.
3. Results and Discussion
3.1. Mycorrhizal Colonization
Our analysis revealed that mycorrhizal colonization did not occur in any of the root samples analyzed, neither at T0 nor at T1. The total absence of mycorrhizal colonization across all treatments in this study can be attributed to the high nutrient content of the soil mix (1200 g/m3 soluble NPK, 1500 g/m3 organic N, and micronutrients). As noted in the literature, in nutrient-rich environments (soils or substrates), particularly those with high phosphorus availability due to the addition of easily soluble fertilizers, plants reduce their dependence on mycorrhizal fungi, sometimes becoming “immune” to colonization. Under such conditions, plants stop or severely limit the “cost” of the symbiosis (specifically, the allocation of sugars to the fungi) since they can meet their nutritional needs independently, without relying on the additional benefits of nutrient uptake typically provided by mycorrhizal associations.
3.2. ANOVA Results
The results of the ANOVA are presented in Table 4. Although the interaction between light and BS was significant only for leaf VDL concentration and leaf VDL yield, it was analyzed across all response variables (analysis of all light:BS combinations) for the following reasons: (1) the presence of significant differences among various combinations, (2) to provide a more comprehensive understanding of the results and facilitate their discussion, and (3) to identify the treatment combination that maximizes the production of VDL and CAT. Additionally, despite the non-significant main effect of light on DW (leaves, roots, total), we have included this factor in our discussion to elucidate the results of yield in the subsequent sections.
Table 4.
Results from the two-way ANOVA. Effect of LED light and AMF biostimulant (BS) on growth parameters, alkaloid concentrations, and yields of in C. roseus. Significant differences at p ≤ 0.05 (*), p ≤ 0.01 (**), and p ≤ 0.001 (***); 0.05 ≤ p ≤ 0.1 (.) indicates a non-significant trend close to the significance threshold (marginal significance); ns = non-significant difference.
3.3. Effect of LED Light and BS on DW, Concentrations, and Yields
3.3.1. Leaf, Root and Total DW
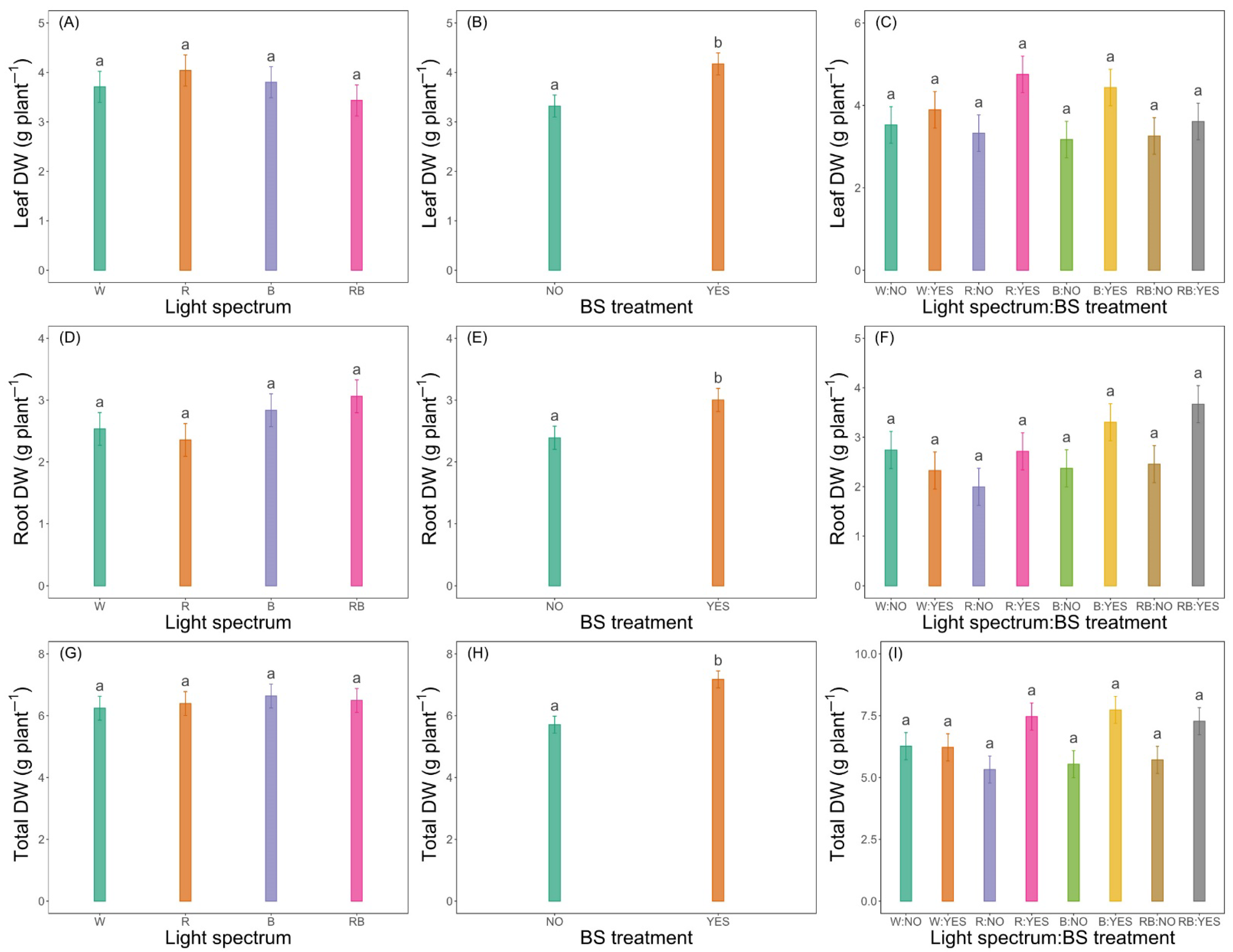
Analysis of the main effect of light revealed that R light, RB light, and B light resulted in higher leaves (Figure 1A; e.g., +8.9% compared to W light), roots (Figure 1D; e.g., +20.9% compared to W light), and total DW (Figure 1G; e.g., +6.4% compared to W light), respectively, compared to all other light treatments. However, these differences were not significant. Focusing on the main effect of BS, the DW of leaves (Figure 1B), roots (Figure 1E), and the total DW (Figure 1H) was significantly greater in plants treated with the BS compared to those that did not receive the treatment (+25.6%, +25.5%, and +25.6%, respectively). Given the absence of mycorrhizae, the effect on dry matter can be attributed to the remaining (bioadditive) component of the biostimulant. The interaction between biostimulants and increased biomass is often associated with enhanced photosynthetic efficiency. It is well established that biostimulants can either enhance the biosynthesis or reduce the degradation of chlorophylls, thereby influencing their concentration in leaves and consequently improving photosynthetic activity, electron transport in the photosystems, and overall biomass [43]. Vernieri et al. [44] observed an increase in root biomass following biostimulant treatments; this response may be related to the presence of compounds (e.g., humic substances and algal extracts) capable of inducing hormone-like effects, thereby modifying the plant’s hormonal balance [45]. The increase in root biomass, in particular, could be attributed to the action of auxin-like substances. Nofal et al. [46] studied the influence of some biostimulants (humic acid, salicylic acid, and chitosan) on vegetative and rooting growth parameters as well as some chemical constituents of a local variety of C. roseus and reported that dry weights of leaves and roots were significantly increased due to the applied biostimulants when compared to control treatment. Finally, the analysis of all light:BS combinations revealed that the DW of leaves, roots, and total DW was higher in the R:YES (Figure 1C; e.g., +34.9% compared to W:NO), RB:YES (Figure 1F; e.g., +33.9% compared to W:NO), and B:YES (Figure 1I; e.g., +23.4% compared to W:NO) treatments compared to all other combinations, respectively, although these differences were not significant. These results show how the addition of the BS at the wavelengths that most stimulate dry mass contributes to a generally higher DW (leaves, roots, and total).
Figure 1.
Effects of LED light spectrum and an AMF-based biostimulant (BS) on leaf, root, and total DW in C. roseus. (Panels A–C) show DW in leaves; (Panels D–F) illustrate DW in roots; and (Panels G–I) present total DW. (Panels A,D,G) depict the main effect of light spectrum; (Panels B,E,H) display the main effect of BS treatment; while (Panels C,F,I) represent the interaction between light treatments and BS application (all light:BS combinations). Plants were grown for 92 days under four light treatments (W, R, B, RB) with (YES) or without (NO) BS application. Bars represent the standard error (n = 7). Means with different letters within each panel are significantly different at the 5% level by Tukey’s method with Benjamini–Hochberg adjustment (interactions and main effect of light) and by T-test (main effect of BS).
3.3.2. Leaf and Root Concentrations and Yields
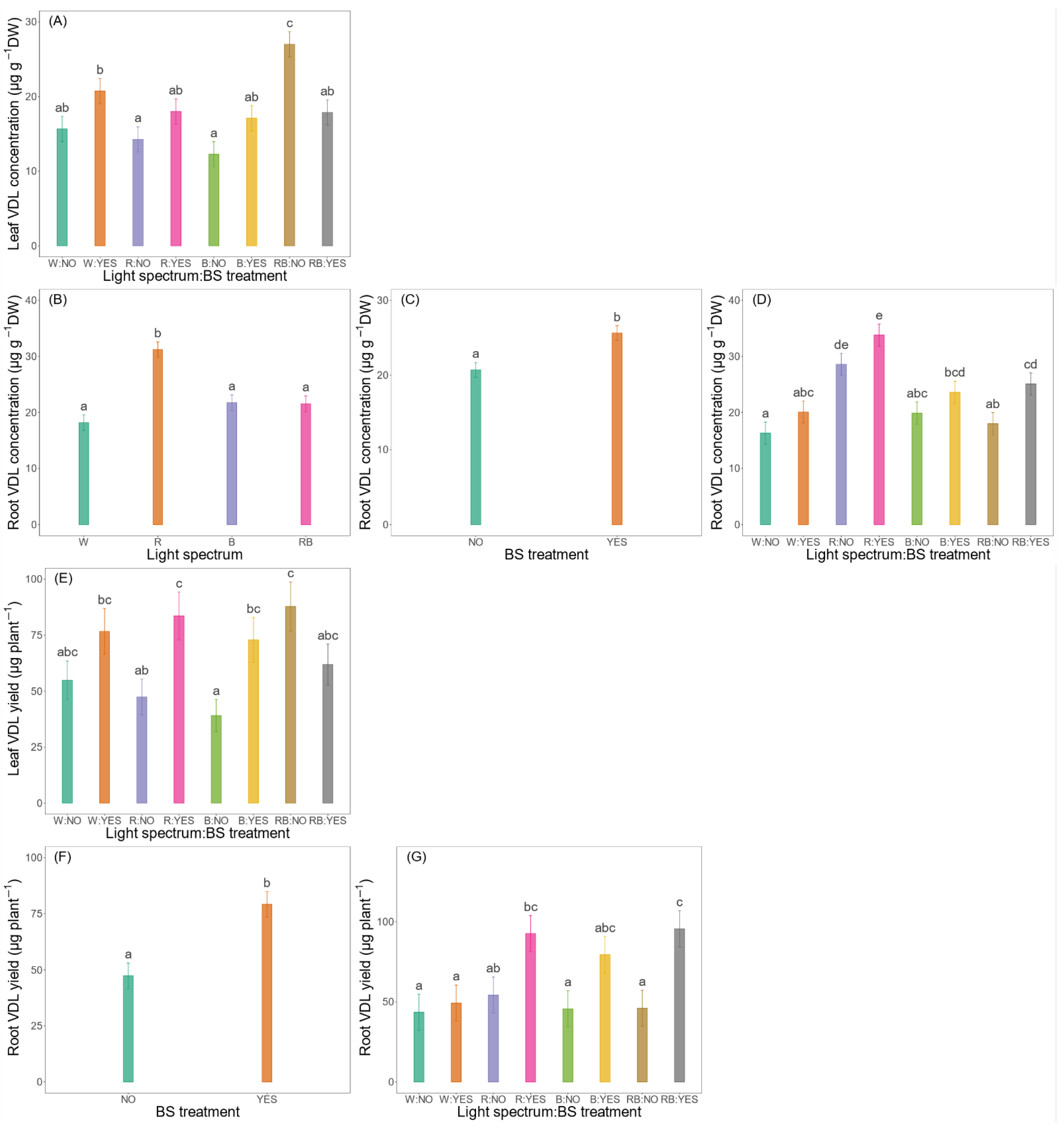
Figure 2A, show VDL concentration in the leaves comparing means of all light:BS combinations. The highest VDL concentration was identified in the RB:NO treatment. RB:NO treatment resulted in a significantly higher VDL concentration than all the other treatment combinations (+119.5%, +88.8%, +72.0%, +57.9%, +50.8%, +50%, and +30.4% compared to B:NO, R:NO, W:NO, B:YES, RB:YES, R:YES, and W:YES combinations, respectively). Except for the plants grown under RB light, where the addition of BS suppressed leaf VDL concentration, the experimental treatments that received BS exhibited higher leaf VDL concentrations than those without BS, though the differences were not significant. Regarding leaf CAT concentration, analysis of the main effect of light (Figure 3A) showed that R light produced the highest CAT concentration. Specifically, leaf CAT concentration under R light was significantly higher than B light (+27.2%) and greater, although statistically comparable, than the other light treatments. Additionally, there were no significant differences between W, B, and RB light. The analysis of the main effect of the BS (Figure 3B) showed that the BS treatment produced a leaf CAT concentration that was significantly higher than untreated control (+12.3%). Focusing on the analysis of all light:BS combinations (Figure 3C), R:YES treatment exhibited the highest leaf CAT concentration. Specifically, leaf CAT levels under the R:YES treatment were significantly higher compared to those under the B:NO treatment (+119.5%) and were also greater than those in the other treatments, although these differences were not significant. Concerning root VDL concentration, the analysis of the main effect of light (Figure 2B) highlighted that R light resulted in a significantly higher concentration compared to all other treatments (+71.4%, +45.1%, and +43.8% compared to W, RB, and B light, respectively). Moreover, root VDL concentration was statistically comparable between W, B, and RB light. The analysis of the main effect of BS (Figure 2C) revealed that the BS treatment produced a significantly higher root VDL concentration compared to the treatment without the BS (+23.7%). Comparing means of all light:BS combinations (Figure 2D), R:YES treatment produced a significantly higher root VDL concentration than W:NO, RB:NO, B:NO, W:YES, B:YES, RB:YES, and RB:YES combinations (+107.4%, +87.8%, +69.8%, +68.2%, +45.1%, and +34.7%, respectively), but statistically comparable to R:NO. Regarding root CAT concentration, the analysis of the main effect of light (Figure 3D) revealed that B light resulted in the highest CAT levels. Although CAT concentrations under B light were higher than those under RB and R light, these differences were not significant. However, CAT levels in plants treated with B and RB light were significantly higher than those in plants exposed to W light (+34.0% and +33%, respectively). Additionally, there were no significant differences between R and W light. The analysis of the main effect of BS (Figure 3E) revealed that plants treated with the BS exhibited a significantly higher root CAT concentration compared to untreated plants (+17.3%). When comparing means of all light:BS combinations (Figure 3F), although RB:YES treatment resulted in the highest root CAT concentration, no significant differences were observed among any of the treatment combinations.
Figure 2.
Effects of LED light spectrum and an AMF-based biostimulant (BS) on VDL concentrations and yields in C. roseus. (Panel A) shows VDL concentration in leaves; (Panels B–D) illustrate VDL concentration in roots. (Panel E) presents VDL yield in leaves; (Panels F,G) display total VDL yield in roots. (Panels B,C,F) illustrate the main effects of light (B) and BS (C,F), whereas (Panels A,D,E,G) represent the interaction between light spectrum and BS treatment (all light:BS combinations). Plants were grown for 92 days under four light treatments (W, R, B, RB) with (YES) or without (NO) BS application. Bars represent the standard error (n = 7). Means with different letters within each panel are significantly different at the 5% level by Tukey’s method with Benjamini–Hochberg adjustment (interactions and main effect of light) and by T-test (main effect of BS).
Figure 3.
Effects of LED light spectrum and an AMF-based biostimulant (BS) on CAT concentrations and yields in C. roseus. (Panels A–C) show CAT concentrations in leaves; (Panels D–F) illustrate CAT concentrations in roots. (Panels G,H) present yields in leaves, while (Panels I–K) illustrate yield in roots. (Panels A,B,D,E,G,I,J) focus on the main effects of light spectrum (A,D,I) and BS treatment (B,E,G,J), whereas (Panels C,F,H,K) represent the interaction between light spectrum and BS application (all light:BS combinations). Plants were cultivated for 92 days under four light conditions (W, R, B, RB) with (YES) or without (NO) BS application. Bars represent the standard error (n = 7). Means with different letters within each panel are significantly different at the 5% level by Tukey’s method with Benjamini–Hochberg adjustment (interactions and main effect of light) and by T-test (main effect of BS).
Light had a significant impact on VDL and CAT levels in both leaves and roots. Fukuyama et al. [16] reported that leaf concentrations of VDL and CAT were higher under RB light compared to other light treatments tested (R, B, and W), although these differences were not significant. Our results align with those of Fukuyama et al. [16] regarding VDL levels; however, for CAT, our results differ somewhat, as R light appears to have a more pronounced stimulatory effect compared to other wavelengths, particularly B light.
Although the existing literature consistently reports the absence of VDL in plant roots [47,48,49], our findings reveal its presence in the underground organs of C. roseus. Notably, the total average concentration (means of all observations at the final sampling time) of VDL in the roots (23.2 ± 1.0 µg/g DW) is actually higher than in the leaves (17.9 ± 0.8 µg/g DW). Additionally, to date, no studies have investigated the effect of light on the content of VDL and CAT in the roots of C. roseus. Regarding VDL, our findings indicate that R light seems to play a crucial role in the biosynthesis of this alkaloid in the roots. According to Liu et al. [50], in C. roseus, R light induced VDL production by increasing the expression of the transcription factor gene GATA1 and vindoline pathway genes tabersonine-16-hydroxylase2 (T16H2), tabersonine-3-oxygenase (T3O), tabersonine-3-reductase (T3R), desacetoxyvindoline-4-hydroxylase (D4H), and deacetylvindoline-4-O-acetyltransferase (DAT). However, these authors analyzed only the aerial parts of C. roseus. We believe that these genes may also be expressed in the roots and/or that there might be a translocation from the aerial parts to the underground organs.
On the other hand, concerning CAT, our results indicate that B light, particularly when applied alone but also when combined with R light (RB light), may exert a greater role in the production of this secondary compound in the roots. Previous studies [51,52] have reported that B light can stimulate the concentration of MIAs; however, these studies have focused solely on the aerial parts of the plant or the entire plant, rather than the roots.
On a general level, the BS markedly improved VDL and CAT concentrations in both leaves and roots, suggesting a significant enhancement in the plant’s overall biochemical productivity. This improvement was observed in the absence of mycorrhizal development, indicating that the effect of BS on the plant’s biochemical processes does not depend on the bioactive component (bioactive particles) of the biostimulant, but rather on its bioadditive component. Humic substances, seaweed extracts, and keratin contained in the BS are rich sources of organic nitrogen (N) in the form of proteins, peptides, and amino acids such as tryptophan, tyrosine, and phenylalanine [53,54,55,56,57]. Since alkaloids are nitrogenous compounds, the availability of nitrogen is crucial for their biosynthesis and accumulation in plants [58].
In C. roseus, the biosynthesis of MIAs involves the interplay between two key metabolic pathways: the indole pathway, which utilizes amino acids, and the terpenoid pathway, which is driven by monoterpenoids. Central to this process are the precursors tryptophan and geraniol. Tryptophan undergoes decarboxylation to form tryptamine, while geraniol is first hydroxylated to 10-hydroxygeraniol, which is subsequently further enzymatically transformed into secologanin. These two intermediates—tryptamine and secologanin—play crucial roles in the synthesis of strictosidine, a vital precursor for the formation of a diverse group of MIAs, including VDL and CAT [59,60].
Adding precursors like tryptophan and phenylalanine has been shown to enhance alkaloid production in cell suspension and hairy root cultures of C. roseus [61,62]. Tryptophan feeding at specific culture stages can mimic auxin effects, increasing the metabolic flux of indole alkaloids [62].
Biostimulants such as humic substances and seaweed extracts, which contain phytohormones like auxins and cytokinins, have also been shown to positively affect gene involved in MIA production [63,64,65]. External application of auxins can induce TDC activity in C. roseus seedlings [66], while cytokinin enhances the expression of G10H gene [67]. Both TDC and G10H are essential for the biosynthesis of tryptamine and 10-hydroxygeraniol, respectively [59,60], as the enzymes encoded by these genes catalyze the formation of these key precursors.
Moreover, Nofal et al. [46] reported that the total alkaloid concentration in C. roseus leaves was enhanced by all tested biostimulant products (salicylic acid, humic acids, and chitosan) compared to the untreated control. Fertilizers such as Patentkali, which provide potassium and magnesium, also support alkaloid production. In particular, research by Chang et al. [68] on C. roseus highlighted that higher potassium levels (80–100 mM) in C. roseus cultures enhance alkaloid production and upregulate genes critical for biosynthesis. Similarly, Boldyreva and Velichko [69] showed that doubling magnesium in the nutrient medium boosted alkaloid biosynthesis in C. roseus callus tissues by 33%.
Considering the combination of light and BS, the VDL concentration in the leaves is maximized when RB light is not combined with the BS, suggesting an inhibitory action of the BS when combined with this wavelength. On the other hand, the enhanced leaf CAT concentration and improved root VDL concentration observed under R:YES combination appear to result from the additive effects of the BS and R light. Specifically, the BS seems to amplify the benefits of R light, leading to higher concentrations of these compounds. In contrast, the behavior of root CAT concentration shows a distinct pattern. Although root CAT levels were slightly lower under RB light (RB:NO) compared B light (B:NO), the addition of the BS with RB light tended to slightly increase root CAT concentration relative to the combination of B light with BS. Despite this trend, ANOVA did not reveal a statistically significant interaction between light and BS. This suggests that while the BS may have an additive effect on root CAT concentration, this effect is slightly more pronounced under RB light. This could be due to more favorable environmental conditions or enhanced compatibility of RB light with the BS. For instance, RB light might influence plant surface chemistry or improve BS absorption, thereby enhancing its effectiveness.
Figure 2E illustrates the leaf VDL yield comparing all light:BS combinations. The RB:NO treatment achieved the highest VDL yield, significantly surpassing the B:NO (+124.8%) and R:NO (+84.3%) combinations, though it was statistically similar to the other combinations. Although not statistically significant, the RB:NO treatment also resulted in a notable +60.1% increase in leaf VDL yield compared to the control (W:NO). The highest leaf VDL yield observed under the RB:NO treatment is to be attributed to the significant increase in the leaf VDL concentration under RB:NO rather than an increase in DW under this treatment. Indeed, the analysis of average relative percentage variations (ARPV: the average of the percentage variations between a reference treatment and multiple treatments; for clarity, when the variations specifically refer to increases, this will be called the Average Relative Percentage Increase (ARPI), while for decreases, it will be referred to as the Average Relative Percentage Decrease (ARPD)) shows that, with RB:NO, there was a +67.1% increase in leaf VDL concentration and a −12.9% decrease in leaf DW.
This suggests that sole RB light is crucial for maximizing leaf VDL yield by significantly enhancing the alkaloid concentration in the leaves. This result contrasts with the findings of Fukuyama et al. [16], who reported that both leaf VDL and CAT yields were higher under R light due to increased biomass rather than differences in alkaloid concentrations compared to other light treatments (W, B, RB), although no significant differences were observed among the various light conditions. Similarly, the R:YES combination resulted in a higher leaf VDL content compared to the other treatment combinations, leading to a 52.3% increase over the control (W:NO). However, in this case, the increased leaf VDL yield under R:YES is primarily due to a greater effect of the R:YES combination on leaf DW rather than on the concentration of this alkaloid in the leaves under the same treatment (ARPV with R:YES: +33.4% for leaf DW; +6.6% for leaf VDL concentration). Overall, consistent with the observations made for leaf VDL concentrations, treatments with BS generally resulted in higher leaf VDL yields compared to those without BS, with the exception of plants grown under RB light. Specifically, the B:YES and R:YES combinations showed a significantly higher VDL yield compared to their B:NO and R:NO counterparts, respectively, while the W:YES treatment was statistically comparable to the W:NO treatment. This finding further emphasizes the inhibitory effect of BS when used in conjunction with RB light.
Concerning leaf CAT yield, the analysis of the main effect of BS (Figure 3G) revealed that plants treated with the BS exhibited a significantly higher CAT yield than untreated plants (+41.8%). While both leaf DW and CAT concentration contributed significantly to the increased leaf CAT yield under BS treatment, the primary driver of this enhancement was the increase in leaf DW. This suggests that the improved leaf CAT yield is largely attributable to the enhanced leaf biomass associated with BS treatment, indicating that BS primarily boosts CAT production by increasing leaf DW. Focusing on the analysis of all light:BS combinations (Figure 3H), the R:YES treatment resulted in the highest leaf CAT yield. Specifically, the R:YES combination produced a significantly higher leaf CAT yield compared to the B:NO, W:NO, RB:NO, and R:NO combinations (+119.4%, +87.2%, +84.3%, and +72.5%, respectively), but it was statistically comparable to that of the RB:YES, B:YES, and W:YES combinations. Although the R:YES treatment showed the highest leaf CAT yield due to both increased leaf DW and elevated leaf CAT concentration under this combination, the primary contribution to this enhanced yield was the increased leaf DW (ARPV under R:YES: +33.4% for DW, +26.9% for leaf CAT concentration). However, the increase in leaf CAT concentration provided a secondary benefit when the BS was used in conjunction with R light. Moreover, unlike the results observed for leaf VDL yield, our findings are consistent with those reported by Fukuyama et al. [16]. Specifically, the treatment with sole R light (R:NO) resulted in a higher, though statistically comparable, leaf CAT yield compared to the treatments with sole W (W:NO), B (B:NO), and RB (RB:NO) light.
Regarding root VDL yield, the analysis of the main effect of BS (Figure 2F) showed that plants treated with the BS exhibited a significantly higher VDL yield compared to non-treated plants (+67.1%). This increase can be attributed to both enhanced DW and elevated VDL concentration under BS treatment. However, the primary factor driving this enhancement was the increased root DW. This suggests that while BS contributed to both higher DW and elevated VDL levels, the major factor for the increased VDL yield was the higher DW in the roots. The analysis of all light combinations (Figure 2G) showed that the highest root VDL yield was achieved with the RB:YES treatment. Specifically, the RB:YES treatment resulted in a significantly higher root VDL yield compared to the W:NO, B:NO, RB:NO, W:YES, and R:NO combinations (+119%, +108.5%, +107.2%, +93.7%, and +75.9%, respectively). However, RB:YES combination did not show significant differences when compared to the B:YES and R:YES treatments. The enhanced root VDL yield observed with the RB:YES combination was primarily due to the increased root DW achieved with RB:YES combination, rather than an increment in root VDL concentration due to this treatment (ARPV with RB:YES: +46.5% for root DW, +16.3% for root VDL content). This shows that the RB:YES combination enhances root VDL yield by primarily improving root dry mass. In this case as well, the R:YES combination, following RB:YES, proved to be the most effective in enhancing root VDL content, resulting in a significantly greater increase compared to the W:NO, B:NO, RB:NO, and W:YES combinations (+112.4%, +102.2%, +100.9%, and +87.8%, respectively), but statistically comparable to the RB:YES and B:YES and combinations. This finding was primarily due to the increased VDL concentration in the roots under R:YES rather than an increase in root DW under this treatment (ARPV under R:YES: +61.6% for root VDL content, +4.5% for root DW).
With respect to root CAT yield, the analysis of the main effect of light (Figure 3I) revealed that the RB light treatment produced the highest CAT yield. Specifically, plants treated with RB light exhibited a significantly higher root CAT yield compared to those receiving W light (+60.3%). However, their yield was statistically comparable to that of plants grown under the other light treatments. Additionally, root CAT yield in plants treated with B light was significantly higher than that in plants exposed to W light (+54.6%) and was also higher, though statistically comparable to that in plants subjected to R and RB light. The enhanced root CAT yield observed under RB light is largely attributed to an enhancement in root CAT concentration, but also to an increase in root dry mass. Although the main effect of light was not significant for root dry mass in the ANOVA, examining the ARPV under RB treatment shows that the increased root dry mass notably contributed to the improved root CAT yield under the RB spectrum (+19.5% for root DW, +12.7% for root CAT content). This suggests that, although root CAT concentration under RB did show an increase, the greater root growth—despite the non-significant main effect of light—is the primary driver of the increased root CAT yield. In other words, the increase in root CAT yield under RB is mainly linked to greater root growth rather than a remarkable increase in root CAT content. This suggests that the RB treatment not only supported higher root CAT concentration but also promoted more robust root growth, highlighting a potential advantage of RB light in optimizing the root CAT yield. The analysis of the main effect of BS (Figure 3J) showed that BS-treated plants had a significantly higher root CAT yield compared to untreated plants (+45.8%). While BS treatment significantly enhanced both root DW and CAT concentration, the primary factor contributing to the higher CAT yield was the increased root DW. Furthermore, the analysis of all light combinations (Figure 3K) indicated that the highest CAT yield was achieved with the RB:YES treatment. Specifically, the RB:YES treatment resulted in a significantly higher root CAT yield compared to the W:NO, B:NO, RB:NO, W:YES, and R:NO combinations (+119%, +108.5%, +107.2%, +93.7%, and +75.9%, respectively). However, no significant differences were observed between the R:YES treatment and the B:YES or R:YES treatments. The enhanced root CAT yield observed with the RB:YES combination resulted from both increased DW and higher concentration of this compound under the combined RB light and BS conditions. However, the primary contribution to this enhancement was given by the root DW (ARPV under RB:YES: +46.5% for root DW, +26.9% for root CAT concentration). This further highlights the importance of root DW in enhancing the root yield of CAT.
3.3.3. Mean Concentrations and Total Yields
Focusing on the mean concentrations in the plant, the analysis of the main effect of light on VDL (Figure 4A) revealed that the mean VDL concentration was the highest in plants treated with RB light. Specifically, RB light resulted in a significantly higher mean VDL concentration compared to W and B light (+23.8% and +27.3%, respectively), but it was statistically comparable to that of R light. R light also led to a significantly higher mean VDL concentration than W and B light (+22.2% and +18.8%, respectively). Additionally, no significant differences were observed between W and B light. The enhanced mean VDL concentration observed under RB light treatment was primarily driven by the notable average increase in leaf VDL concentration (+38.2%) with RB light, which had the most substantial impact on the overall result.
Figure 4.
Effects of LED light spectrum and an AMF-based biostimulant (BS) on mean VDL and CAT concentrations and total VDL and CAT yields in C. roseus. (Panels A–C) show the mean VDL concentration; (Panels D–F) illustrate the mean CAT concentration. Total VDL yield is displayed in (Panels G,H), and total CAT yield is presented in (Panels I,J). (Panels A,B,D,E,G,I) highlight the main effects of light spectrum (A,D) and BS treatment (B,E,G,I), whereas (Panels C,F,H,J) illustrate the interaction between light spectrum and BS application (all light:BS combinations). Plants were grown for 92 days under four light conditions (W, R, B, RB) with (YES) or without (NO) BS application. Bars represent the standard error (n = 7). Means with different letters within each panel are significantly different at the 5% level by Tukey’s method with Benjamini–Hochberg adjustment (interactions and main effect of light) and by T-test (main effect of BS).
A secondary contribution was provided by the average increase in root DW under RB (+19.5%), which further supported the overall enhancement. In contrast, the slight ARPD in root VDL concentration and leaf DW under RB (−4.6% and −10.8%, respectively) had minor negative effects, but these were insufficient to counteract the dominant positive contributions. Therefore, the elevated mean VDL concentration under RB light was predominantly driven by the increase in leaf VDL concentration, with root DW acting as a complementary factor. The elevated mean VDL concentration under R light may, instead, be mainly attributed to the dramatic ARPI in root VDL concentration (+53.4%) under R light and, secondarily, to the ARPI in leaf DW (+11%) under the same condition. Indeed, under R light, leaf VDL content and root DW decreased on average (ARPD) by 10% and 15.5%, respectively. These findings indicate that RB light was especially effective in enhancing VDL biosynthesis in leaves and also supported root dry mass accumulation, leading to the highest mean VDL concentration in the plant. Conversely, R light was more effective in increasing VDL levels in roots and also promoted leaf dry mass accumulation, resulting in a high mean VDL concentration. The analysis of the main effect of BS (Figure 4B) revealed that plants treated with BS exhibited a significantly higher mean VDL concentration compared to untreated plants (+15.1%). This enhancement can be attributed to two main factors. Firstly, the BS increased similarly both the DW of leaves and roots. However, since these DWs appear in both the numerator and denominator of the formula used to calculate mean concentrations, their net impact on the mean concentration of VDL was balanced. Secondly, the most notable increase was observed in the root VDL concentration (+23.70% ARPI vs. +6.40% ARPI for leaf VDL content), which played a substantial role in elevating the overall mean concentration. This further underscores that the BS not only enhances plant biomass but also boosts the production of VDL in the roots.
Furthermore, the analysis of all light:BS combinations (Figure 4C) showed that the highest mean VDL concentration was achieved with the R:YES treatment combination. Specifically, the R:YES treatment resulted in a significantly higher mean VDL concentration compared to the B:NO (+51.9%) and W:NO (+51.0%) combinations, but it was statistically comparable to the other treatment combinations. This result was primarily due to the increased VDL levels observed in the roots under this treatment (ARPV under R:YES: +61.6 for root VDL content, +33.4% for leaf DW, +6.6% for leaf VDL concentration, +4.5% for root DW), highlighting the central role of root VDL under R:YES conditions in enhancing mean VDL levels.
When analyzing the mean CAT content, the main effect of light (Figure 4D) highlighted that plants exposed to R light exhibited the highest mean CAT concentration. Specifically, R light led to a significantly higher mean CAT concentration compared to W light (+22.6%), and while it also produced higher concentrations than B and RB light, these differences were not significant. Additionally, no significant differences were found between W, B, and RB light. The highest mean CAT concentration under R light was primarily driven by two factors: a remarkable rise in in CAT concentration in the leaves under this treatment (+19.3% ARPI), which had the most substantial impact on the overall mean concentration, and an increase in leaf DW under R light, which further amplified this effect. These increases allowed for balancing the low ARPI under R light of root CAT concentration (+4.7%) and the ARPD under the same treatment of the root DW. Therefore, these results suggest that R light treatment was effective in boosting both leaf CAT levels and leaf dry mass, demonstrating its potential for improving mean CAT concentration.
The analysis of the main effect of BS (Figure 4E) showed that plants treated with BS produced a significantly higher mean CAT concentration compared to untreated plants (+14.6%). Similar to the effect on mean VDL concentration, this increase can be attributed to the pronounced impact of BS on both leaf and root CAT concentrations, as well as on leaf and root DW. However, this enhancement is attributed primarily to two factors. Firstly, the BS led to an increase in both leaf and root DW, which substantially contributed to the elevated mean CAT concentration. Furthermore, the increase in CAT concentration in the roots played a significant role in further enhancing the mean CAT concentration. Although the rise in leaf CAT concentration was less pronounced, the treatment overall optimized CAT levels within the plant. Overall, these findings showed BS treatment significantly enhanced VDL and CAT levels, particularly in root tissues. Moreover, the analysis of all light:BS combinations (Figure 4F) revealed that, although the R:YES combination resulted in the highest mean concentration of CAT, no significant differences were observed among any of the treatment combinations. The higher mean CAT content under R:YES can be attributed to two primary factors: The most influential was the notable increase (ARPI) in leaf DW under R:YES combination, which had the greatest impact on the overall mean CAT content. The second factor was the substantial increase (ARPI) in leaf CAT concentration under R:YES treatment, which amplified the effect of the increased leaf DW. In contrast, root factors played a lesser role in determining the mean CAT concentration under R:YES. These findings emphasize that optimizing leaf DW and leaf CAT levels using R light combined with BS is essential for maximizing mean CAT concentration.
Focusing on the total yields, the analysis of the main effect of BS revealed that plants treated with BS exhibited a significantly higher total yields of both VDL (Figure 4G) and CAT (Figure 4I) compared to untreated plants (+45.3% and +43.7%, respectively). This improvement is largely due to overall increases in both leaf and root yields resulting from BS treatment. Specifically, the increase in total VDL yield under BS was primarily driven by a larger boost in root VDL yield relative to leaf VDL yield under BS conditions. In contrast, the total CAT yield was similarly influenced by the increase in root CAT yield and leaf CAT yield. However, the increase in root CAT yield played a slightly more prominent role. These results indicate that the beneficial effects of BS treatment are more pronounced in the root yields for both VDL and CAT, with improvements in root yields being the main factor behind the significant increases in total yields. Furthermore, the analysis of all light:BS combinations highlighted that the R:YES combination resulted in the highest values for both total VDL (Figure 4H) and CAT (Figure 4J) yields. Specifically, regarding VDL, the R:YES treatment produced significantly higher total yields compared to the B:NO, W:NO, and R:NO combinations (+104.1%, +78.6%, and +70.5%, respectively), but was statistically comparable to the other treatment combinations. This finding was primarily due to the substantial increase in root VDL yield under these conditions. Although the increase of leaf VDL yield was also considerable with the R:YES combination, it was the pronounced enhancement in root VDL yield under R:YES that had the most significant impact on the total VDL yield (ARPV under R:YES: +42.2% for leaf VDL yield, +69.6% for root VDL yield). These findings underscore the pivotal role of the R:YES treatment in optimizing root yield, which in turn maximizes the total VDL yield. Moreover, they suggests that further optimization of root yield could be crucial for achieving even higher total VDL yield. Regarding CAT, the R:YES combination resulted in a significantly higher total yield compared to the B:YES combination (+80.5%). While no statistically significant differences were observed when compared to other treatment combinations, the R:YES combination notably increased total CAT yield relative to most treatments (for instance, +62.0% compared to W:NO and +59.7% compared to RB:NO). The enhanced total CAT yield observed under the R:YES combination was predominantly due to a notable ARPI in leaf CAT yield under this treatment (+73.5%). Although the ARPI in root CAT yield was relatively lower under R:YES combination (+16.5%), the marked improvement in leaf CAT yield was sufficient to achieve a superior total CAT yield compared to other treatments. These results highlight the critical importance of optimizing leaf CAT yield through the R:YES treatment to maximize total CAT yield.
Alkaloids are typically classified as secondary metabolites that accumulate in response to environmental or biotic stress, where they serve as defensive compounds. Nonetheless, in the present study, the combination of R and BS treatment led to the highest total yields of VDL and CAT, despite being associated with favorable growth conditions and minimal stress.
As previously discussed, red light has been shown to promote biomass accumulation in C. roseus and enhance alkaloid production [16,70], as well as modulate specific metabolic pathways through the activation of transcription factors and genes involved in the biosynthesis of VDL and CAT [50]. These effects, as also confirmed by our findings, indicate that red light in C. roseus acts not as a stressor, but rather as a positive regulatory signal. Consistent with previous studies, it appears to function as a metabolic enhancer capable of stimulating key transcriptional and biosynthetic mechanisms underlying vindoline and catharanthine biosynthesis, while simultaneously promoting biomass growth. Consequently, red light contributes to increased overall alkaloid yield by fostering both plant growth and secondary metabolism under favorable, non-stressful conditions.
In parallel, the biostimulant used in this study includes a bioactive matrix composed of organic nitrogen sources (e.g., humic substances, seaweed extracts, keratin-derived proteins, peptides, and amino acids such as tryptophan, tyrosine, and phenylalanine), which serve as essential precursors or intermediates in alkaloid biosynthetic pathways. Moreover, the presence of hormone-like compounds (e.g., auxin- and cytokinin-like substances from seaweed and humic extracts), along with macroelements such as potassium and magnesium (e.g., from Patentkali), may positively influence the expression of biosynthetic genes while enhancing photosynthetic efficiency by improving chlorophyll biosynthesis and stability, electron transport, and, ultimately, dry biomass accumulation.
Therefore, the increased alkaloid yield observed under the R+BS treatment is likely the result of hormonally and metabolically mediated stimulation of both primary and secondary metabolism, rather than a response to stress.
In summary, alkaloid production in C. roseus under R and BS treatment appears to be regulated by a multifactorial network integrating light and nutritional cues. This integrated signaling enhances both growth and secondary metabolism, even under non-stressful environmental conditions.
3.4. Effects of Sampling Time on DW, Concentrations, and Yields
Figure 5A–C show the DW of leaves, roots, and total dry DW, respectively, at the two sampling times tested (T0 and T1). From T0 to T1, the DW of leaves, roots, and total biomass increased by 316.7%, 167.3%, and 237.2%, respectively.
Figure 5.
Comparison of changes in DW, VDL, and CAT concentrations and yields between sampling time 0 (T0) and 1 (T1): (Panels A–C) represent leaf, root, and total dry weight (DW); (Panels D–F) illustrate leaf, root, and mean VDL concentrations; (Panels G–I) show leaf, root, and mean CAT concentrations; (Panels J–L) depict leaf, root, and total VDL yield; and (Panels M–O) display leaf, root, and total CAT yield. At T0, five plants were randomly selected for alkaloid analysis. At T1, seven plants per treatment were sampled for the same analysis. Data are presented as mean ± standard error (n = 5 for T0, n = 56 for T1).
The concentrations of VDL and CAT in both leaves and roots at sampling times T0 and T1 are presented in Figure 5D (leaf VDL), Figure 5G (leaf CAT), Figure 5E (root VDL), and Figure 5H (root CAT). Between T0 and T1, leaf concentrations of VDL and CAT decreased by 42.4% and 60.4%, respectively. Pan et al. [71] observed the levels of TIAs in the leaves of C. roseus from the seedling to the flowering stage. They reported that plants, which matured and began flowering approximately 65–75 days post-sowing, exhibited peak concentrations of VDL and CAT on day 44 (1.37 mg g−1 DW and 2.79 mg g−1 DW, respectively). These levels then declined as flowering progressed. Similarly, Guo et al. [72] observed that the concentrations of VDL and CAT increased with plant age, being higher in ~45-day-old plants compared to ~37-day-old plants. From T0 to T1, the concentration of VDL in the roots increased by 1833.3%, while CAT concentration rose by 205.1%, revealing a trend that contrasts with the patterns observed in the leaves. These results—the decline in vindoline and catharanthine concentrations in leaves, accompanied by a parallel increase in their levels in roots—may be explained by two non-exclusive mechanisms. The first is in situ biosynthesis of both alkaloids via local expression of biosynthetic pathway genes and transcription factors (e.g., GATA1, T16H2, D4H, DAT, SGD). However, although vindoline has classically been reported as leaf-specific and, for catharanthine, no inter-organ long-distance transport has been demonstrated in C. roseus, we propose that the primary mechanism responsible for these observations is the active translocation of both VDL and CAT from their site of origin in the leaves (source) to the roots (sink) via the phloem. Our data thus lead us to hypothesize that these alkaloids move through the phloem. Mechanistically, VDL and CAT may first be exported from mesophyll cells into the apoplast by specific plasma membrane transporters—likely members of the ATP-binding cassette (ABC) or multidrug and toxic compound extrusion (MATE) families—which have been identified and functionally characterized in C. roseus [73,74] and are known to mediate alkaloid efflux in a range of plant species. Once in the apoplastic space adjacent to phloem sieve elements, these alkaloid–transporter complexes could be loaded into sieve tubes and mobilized by mass flow, driven by the proton–sucrose symport system, thus entering the phloem stream and traveling toward developing roots. Upon arrival in the root apoplast, VDL and CAT are likely imported into parenchymal cells via the same or similar ABC/MATE transporters. Inside the cell, vacuolar sequestration is likely mediated by tonoplast-localized transporters that use the proton gradient established by vacuolar H+-ATPases, thereby preventing back-diffusion and enabling stable accumulation of both alkaloids in root tissues.
Furthermore, even in this case, the total average concentration of VDL in the roots, averaged across all observations from T0 to T1, was higher than that in the leaves (21.4 ± 1.9 µg g−1 DW and 19.0 ± 0.9 µg g−1 DW, respectively). This result further underscores the preferential accumulation of VDL in the root tissues, highlighting a potentially critical aspect of its biosynthesis and distribution. The mean VDL concentration in the plant (Figure 5F) increased from T0 to T1 by 30.9%. This increase is primarily attributable to the rise in the VDL concentration in the roots, further improved by the increase in root DW. Despite the decrease in leaf VDL concentration, the high increase in leaf DW partially compensated for this effect. Therefore, the critical role of the roots in the accumulation of VDL was decisive for the overall observed increase. The mean CAT concentration (Figure 5I) was higher at T0 compared to time T1, decreasing by 30.3% over time. This decrease is primarily attributed to the pronounced reduction in CAT concentration in the leaves relative to the roots from T0 to T1. Although CAT concentration in the roots increased by T1, the predominant contribution to the decrease over time in mean CAT levels was from the leaf CAT content.
The leaf and root yields of VDL at the two different time points are shown in Figure 5J,K, respectively, while the leaf and root yields of CAT at the same time points are depicted in Figure 5M,N, respectively. The leaf yields of VDL and CAT increased by 135.6% (from 28.4 ± 4.38 µg plant−1 to 66.6 ± 3.8 µg plant−1) and 65.4% (from 65.4 ± 8.1 µg plant−1 to 108.2 ± 6.7 µg plant−1), respectively, from T0 to T1, in contrast to the decreasing trend observed in their leaf concentrations. This increase in leaf yields is attributable to the observed rise in DW between T0 and T1. Root yields of VDL and CAT rose dramatically by 5175.0% (1.2 ± 0.2 µg plant−1 to 63.3 ± 4.7 µg plant−1) and 721.5% (from 7.9 ± 0.5 µg plant−1 to 64.9 ± 4.9 µg plant−1), respectively, from the first to the second time point. Contrary to leaf yields, this substantial boost in root yields can be attributed to both an increase in root DW and, more notably, a higher concentration of these compounds within the underground organs. This underscores the crucial role that roots play in accumulating these alkaloids. The total yields of VDL and CAT at the two different time points are reported in Figure 5L,O. The total yields of VDL and CAT increased by 337.4% and 136.2%, respectively, from T0 to T1. This significant increase in VDL yield is primarily attributed to a substantial rise in root yields, which markedly outpaced the increase observed in leaf yields. This indicates that root growth has been a critical factor in enhancing the overall total VDL yield. Similarly, the increase in total CAT yield was influenced by both root and leaf contributions, but the root yield had a more pronounced effect. Although leaf yield also contributed to the overall increase, the rise in root yield greatly exceeded that of leaf yield, emphasizing the pivotal role of root yield in the total CAT yield enhancement. Although in absolute value the root yields of VDL and CAT at T0 and T1 were lower than the leaf yields, the dramatic increase in root yields contributed proportionally much more to obtaining higher total yields of VDL and CAT. These results suggest that prioritizing strategies to improve root growth conditions could be more effective for optimizing both VDL and CAT production.
4. Conclusions
In this study, the effects of the combination of LED light and a BS on the concentrations and yields of VDL and CAT in C. roseus plants was investigated for the first time. The results may be summarized as follows:
General Effects:
VDL distribution and tissue-specific accumulation: VDL was not only detected in the roots but also exhibited a higher total average concentration compared to the leaves.
Overall biostimulant effect on growth and alkaloid production: the application of the BS was effective in increasing dry weights, but also concentrations and yields of VDL and CAT. However, since mycorrhizae did not develop in any of the experimental treatments, this effect may be attributable to the bioadditive component of the product.
Dry weights (DWs):
Effects of sampling time: Leaf, root, and total DW increased with plant age.
Effects of LED light and BS: Neither light treatment alone nor in combination with BS had a significant impact on the dry weight of leaves, roots, or the total dry weight of the plants.
Concentrations:
Effects of sampling time: VDL and CAT concentrations in the leaves tended to decrease with plant age, while concentrations in the roots increased, suggesting a potential transfer of these compounds from the leaves to the roots as the plant matures. Moreover, the mean concentration of VDL increased with plant age, whereas CAT concentration decreased, suggesting a significant accumulation of VDL in the roots during maturation.
Effects of LED light and BS: Regarding the leaves, RB light (RB:NO) significantly enhanced VDL biosynthesis, thereby maximizing its concentration, while R light favored CAT levels and, when combined with the BS, maximized CAT content. Regarding the roots, R light significantly stimulated VDL concentration, while B light, either alone or combined with R light (RB), significantly promoted CAT levels. The combination of R light with BS significantly stimulated root VDL content, maximizing its levels, while the combination of RB light with BS maximized root CAT levels. At the level of leaves plus roots (mean concentrations), R light, alone or in combination with B light (RB), significantly favored mean VDL concentration, while R light significantly promoted mean CAT concentration. Notably, the combination of R light and BS significantly enhanced mean VDL concentration, maximizing its levels, and maximized mean CAT concentration.
Yields:
Effects of sampling time: the yields of VDL and CAT increased with plant maturation. Notably, as the plants grew, root yields made a notably greater contribution to the overall increase in VDL and CAT yields than leaf yields, underscoring the crucial role of root development in enhancing total yields.
Effects of LED light and BS: Regarding the leaves, RB light (RB:NO) maximized VDL yield, while the combination of R light and BS was equally effective as sole RB light (RB:NO) in promoting VDL yield and significantly enhanced CAT yield, maximizing its level. Concerning the roots, B light, either alone or combined with R light (RB), significantly promoted CAT yield. The combination of RB light and BS significantly increased root VDL yield, maximizing its levels, and maximized root CAT yield; the combination of R light and BS significantly promoted root VDL yield. At the level of leaves plus roots (total yields), the combination of R light and BS significantly enhanced the total VDL yield and improved the total CAT yield, while also maximizing their respective levels.
In conclusion, to enhance the production of VDL and CAT in C. roseus, it is essential to treat the plants with R in combination with BS and to harvest them after 92 days of treatment. This integrated strategy maximizes not only the mean concentrations but also the total yields of these pharmaceutically important alkaloids, particularly by promoting their accumulation in the roots.
However, while this study highlights the potential of red LED light and biostimulants in enhancing alkaloid production in C. roseus, other considerations should be addressed:
Environmental and Economic Implications:
Energy Savings with R LED Light: Red light is well known for its higher photon efficacy compared to other wavelengths, meaning it produces more photosynthetically active photons per unit of energy consumed. This translates into lower electricity costs for indoor farming systems, reducing operational expenses while also minimizing the carbon footprint of artificial lighting. This reduction in energy usage can be crucial for large-scale production, making it not only cost-effective but also contributing significantly to the sustainability of cultivation systems.
Reduced Fertilizer Dependency with Biostimulants: The use of BS enhanced alkaloid production and biomass, suggesting that plants can achieve higher productivity with lower fertilizer inputs. This not only lowers fertilizer costs but also reduces nutrient runoff and environmental pollution, making the system more sustainable. The reduction in fertilizer usage also mitigates the environmental impact, contributing to more sustainable agricultural practices in the long term.
Synergistic Benefits of R Light and BS: The combination of R light and BS provides a cost-effective and environmentally friendly solution by maximizing secondary metabolite production while minimizing both energy and fertilizer inputs. This dual advantage makes it an ideal strategy for resource-efficient indoor cultivation, with strong implications for sustainable agriculture and pharmaceutical plant production.
Limitations and Future Directions:
Vindoline Root Accumulation and Transport Mechanisms:
A remarkable and unexpected finding of this study is the unexpectedly higher vindoline concentration in roots than the leaves. This suggests that root vindoline accumulation may involve both local biosynthesis and long-distance transport from leaves. To clarify these mechanisms, future research should
- (i)
- Investigate the expression of vindoline-related biosynthetic genes in root tissues;
- (ii)
- Examine potential transport processes responsible for alkaloid movement between organs;
- (iii)
- Combine biochemical and molecular approaches to distinguish in situ synthesis from phloem-mediated translocation.
These broader investigations will help resolve the balance between local production and systemic transport, deepening our understanding of vindoline and catharanthine distribution in C. roseus.
Lack of Mycorrhizal Development: Despite the application of a biostimulant containing mycorrhizal fungi, no mycorrhizal colonization was observed in any treatment. This raises questions about the suitability of the substrate, environmental conditions, or possible inhibitory interactions. Future studies should investigate the factors limiting mycorrhizal establishment and explore strategies to enhance beneficial microbial symbioses. For example, future research could test alternative mycorrhizal strains, optimize growth conditions, or adjust the substrate composition to improve mycorrhizal colonization.
Effects on Long-Term Plant Physiology: This study focused on short-term responses to LED spectra and BS. Further research is needed to assess how these treatments impact long-term plant growth, secondary metabolism, and overall plant health across multiple growth cycles.
Energy Use and Economic Viability: While R LEDs are known for their high photon efficacy, a detailed energy consumption analysis in large-scale production systems would provide clearer insights into cost savings and sustainability benefits. This would help farmers and producers make informed decisions about the feasibility of implementing these systems on a broader scale.
Optimizing Light:BS Interactions: The study demonstrated that R light and BS synergistically enhance alkaloid production, but the underlying physiological mechanisms remain unclear. Future research should investigate how specific light wavelengths influence BS activity at a molecular level, optimizing their combined effects to enhance alkaloid biosynthesis further.
Exploration of Additional Experimental Variables for Optimization: To further improve VDL and CAT production, future studies should investigate the effects of varying LED light intensities and broader spectral ranges, including UV-A and UV-B radiation, which are known to influence secondary metabolism. Additionally, experimenting with different photoperiod regimes could uncover optimal light/dark cycles for alkaloid biosynthesis. The use of varying doses and formulations of biostimulants should also be tested to determine dose–response relationships and potential synergistic effects. Finally, integrating combined abiotic stressors or elicitors, such as temperature variations or drought conditions, in conjunction with light and biostimulants may provide novel approaches to further enhance alkaloid yields.
Implementation Strategies and Practical Considerations for Large-Scale Production: although the combination of red LED light and biostimulants shows strong potential for enhancing VDL and CAT production, translating these findings to large-scale commercial cultivation requires addressing practical challenges such as system scalability, cost-effectiveness, and reproducibility under diverse environmental conditions. Future efforts should focus on optimizing cultivation protocols tailored to industrial settings, including fine-tuning light regimes, biostimulant formulations, and harvesting schedules. Additionally, integrating automated monitoring and control systems could improve resource efficiency and consistency of alkaloid yields. Addressing substrate suitability and microbial interactions will also be key to ensuring sustainable and stable production. By systematically overcoming these challenges, this technology can be optimized for efficient, cost-effective, and environmentally sustainable pharmaceutical alkaloid production at scale.
Addressing these issues will contribute to the development of more efficient, scalable, and sustainable cultivation strategies for high-value medicinal plants. By combining cost-effective lighting systems, biostimulants, and sustainable agricultural practices, this approach holds the potential for advancing resource-efficient indoor farming and the production of important bioactive compounds for pharmaceutical applications. Through further investigation, these methods could become central to the future of sustainable agriculture, with positive implications for both economic viability and environmental impact.
Supplementary Materials
The following supporting information can be downloaded at: https://www.mdpi.com/article/10.3390/horticulturae11070828/s1, Figure S1. Treatments with LED light spectra and arbuscular mycorrhizal fungi-based biostimulant (BS). The plants were placed under four different LED light spectra: white light (A), red light (B), blue light (C), and a combination of blue and red light (RB, 6:1) (D). For plants treated with BS, the application was conducted just before subjecting them to the light treatments. Each pot received a 40-gram dose of the product, divided into four cavities, each 10 cm deep, with 10 grams placed in each cavity directly beneath the transplanted seedlings.
Author Contributions
A.Q.: Conceptualization, Methodology, Formal Analysis, Investigation, Data Curation, Visualization, Writing—Original Draft; B.S.: Methodology, Investigation; M.T.: Methodology, Investigation; P.T.: Supervision, Methodology, Resources; D.T.: Methodology, Resources, Supervision; L.M.: Methodology, Resources, Writing—Original Draft, Supervision; M.P.: Methodology, Resources, Writing—Original Draft; A.Z.: Methodology, Resources, Writing—Original Draft; F.P.: Methodology, Writing—Original Draft; A.B.: Methodology, Resources, Supervision, Investigation, Writing—Original Draft, Project Administration. All authors have read and agreed to the published version of the manuscript.
Funding
This research received no external funding.
Data Availability Statement
Data will be made available on request.
Acknowledgments
We would like to thank the ISA Institute of Advanced Studies which, thanks to the ISA Doctoral Prize (ISA DP) award, contributed to the implementation of the experiment, and C-Led s.r.l. Imola (IT) for the collaboration in designing and making LED lamps for the specific needs of this research.
Conflicts of Interest
The authors declare no competing interests.
References
- Carter, S.K.; Livingston, R.B. Plant products in cancer chemotherapy. Cancer Treat. Rep. 1976, 60, 1141–1156. [Google Scholar] [PubMed]
- Roepke, J.; Salim, V.; Wu, M.; Thamm, A.M.K.; Murata, J.; Ploss, K.; Boland, W.; De Luca, V. Vinca drug components accumulate exclusively in leaf exudates of Madagascar periwinkle. Proc. Natl. Acad. Sci. USA 2010, 107, 15287–15292. [Google Scholar] [CrossRef] [PubMed]
- Guéritte, F.; Fahy, J. The vinca alkaloids. In Anticancer Agents from Natural Products, 2nd ed.; Kingston, D., Cragg, G., Newman, D., Eds.; CRC Press: New York, NY, USA, 2005; pp. 177–188. [Google Scholar]
- Hirata, K.; Akagi, T.; Duangteraprecha, S.-E.; Honda, M.; Sakamoto, Y.; Nagase, H.; Miyamoto, K. Catharanthine Oxidation in Flavin Mononucleotide-Mediated Catharanthine-Vindoline Coupling Reaction for Synthesis of Dimeric Indole Alkaloids under Near-Ultraviolet Light. J. Biosci. Bioeng. 1999, 87, 781–786. [Google Scholar] [CrossRef]
- Blazich, F.A.; Henry, P.H.; Wise, F.C. Seed germination of annual vinca responds to irradiation and temperature. Hortscience 1995, 30, 357–359. [Google Scholar] [CrossRef]
- Nagy, K.; Darkó, É.; Szalai, G.; Janda, T.; Jókai, Z.; Ladányi, M.; Rady, M.R.; Dernovics, M. UPLC-ESI-QTOF-MS assisted targeted metabolomics to study the enrichment of vinca alkaloids and related metabolites in Catharanthus roseus plants grown under controlled LED environment. J. Pharm. Biomed. Anal. 2023, 235, 115611. [Google Scholar] [CrossRef]
- Vatistas, C.; Avgoustaki, D.D.; Bartzanas, T. A Systematic Literature Review on Controlled-Environment Agriculture: How Vertical Farms and Greenhouses Can Influence the Sustainability and Footprint of Urban Microclimate with Local Food Production. Atmosphere 2022, 13, 1258. [Google Scholar] [CrossRef]
- Darko, E.; Heydarizadeh, P.; Schoefs, B.; Sabzalian, M.R. Photosynthesis under artificial light: The shift in primary and secondary metabolism. Philos. Trans. R. Soc. B Biol. Sci. 2014, 369. [Google Scholar] [CrossRef]
- Olle, M.; Viršilė, A.; Olle, M.; Viršilė, A. The effects of light-emitting diode lighting on greenhouse plant growth and quality. Agric. Food Sci. 2013, 22, 223–234. [Google Scholar] [CrossRef]
- Singh, D.; Basu, C.; Meinhardt-Wollweber, M.; Roth, B. LEDs for energy efficient greenhouse lighting. Renew. Sustain. Energy Rev. 2015, 49, 139–147. [Google Scholar] [CrossRef]
- Quadri, A.; Barbaresi, A.; Tassinari, P.; Bertaccini, A.; Contaldo, N.; Mercolini, L.; Protti, M.; Montalbetti, R.; Laurita, R.; Torreggiani, D. Enhancement of vindoline and catharanthine production in Catharanthus roseus by LED light and plasma activated water. PLoS ONE 2024, 19, e0315542. [Google Scholar] [CrossRef]
- Eftekhari, M.; Javid, M.G.; Aliniaeifard, S.; Nicola, S. Alteration of Flower Yield and Phytochemical Compounds of Saffron (Crocus sativus L.) by Application of Different Light Qualities and Growth Regulators. Horticulture 2023, 9, 169. [Google Scholar] [CrossRef]
- Quadri, A.; Barbaresi, A.; Tassinari, P.; Bertaccini, A.; Contaldo, N.; Mercolini, L.; Protti, M.; Montalbetti, R.; Laurita, R.; Torreggian, D. Use of LED light and plasma activated water (PAW) to stimulate pharmaceutical compound production in Catharanthus roseus plants. Acta Hortic. 2025, 1423, 255–268. [Google Scholar] [CrossRef]
- Trenta, M.; Quadri, A.; Sambuco, B.; Perez Garcia, C.A.; Barbaresi, A.; Tassinari, P.; Torreggiani, D. Green Roof Management in Mediterranean Climates: Evaluating the Performance of Native Herbaceous Plant Species and Green Manure to Increase Sustainability. Buildings 2025, 15, 640. [Google Scholar] [CrossRef]
- Chiocchio, I.; Barbaresi, A.; Barbanti, L.; Mandrone, M.; Poli, F.; Torreggiani, D.; Trenta, M.; Tassinari, P. Effects of LED supplemental lighting on the growth and metabolomic profile of Taxus baccata cultivated in a smart greenhouse. PLoS ONE 2022, 17, e0266777. [Google Scholar] [CrossRef]
- Fukuyama, T.; Ohashi-Kaneko, K.; Ono, E.; Watanabe, H. Growth and alkaloid yields of Catharanthus roseus (L.) G. Don cultured under red and blue LEDs. Shokubutsu Kankyo Kogaku 2013, 25, 175–182. [Google Scholar] [CrossRef]
- Fukuyama, T.; Ohashi-Kaneko, K.; Watanabe, H. Estimation of optimal red light intensity for production of the pharmaceutical drug components, vindoline and catharanthine, contained in Catharanthus roseus (L.) G. Don. Environ. Control Biol. 2015, 53, 217–220. [Google Scholar] [CrossRef]
- Karimi, M.; Ahmadi, N.; Ebrahimi, M. Red LED light promotes biomass, flowering and secondary metabolites accumulation in hydroponically grown Hypericum perforatum L. (cv. Topas). Ind. Crops Prod. 2022, 175, 114239. [Google Scholar] [CrossRef]
- Zhang, D.; Sun, W.; Shi, Y.; Wu, L.; Zhang, T.; Xiang, L. Red and blue light promote the accumulation of artemisinin in Artemisia Annua L. Molecules 2018, 23, 1329. Molecules 2018, 23, 1329. [Google Scholar] [CrossRef]
- Sambuco, B.; Quadri, A.; Trenta, M.; Tassinari, P.; Torreggiani, D.; Barbaresi, A.; Mercolini, L.; Protti, M. Enhancing secondary metabolites accumulation in Coleus blumei through LED light application. Acta Hortic. 2025, 1, 243–254. [Google Scholar] [CrossRef]
- Farouk, S.; Al-Huqail, A.A.; El-Gamal, S.M.A. Improvement of Phytopharmaceutical and Alkaloid Production in Periwinkle Plants by Endophyte and Abiotic Elicitors. Horticulturae 2022, 8, 237. [Google Scholar] [CrossRef]
- Machado VPde, O.; Pacheco, A.C.; Carvalho, M.E.A. Effect of biostimulant application on production and flavonoid content of marigold (Calendula officinalis L.). Rev. Ceres 2014, 61, 983–988. [Google Scholar] [CrossRef]
- Andrade, S.A.L.; Malik, S.; Sawaya, A.C.H.F.; Bottcher, A.; Mazzafera, P. Association with arbuscular mycorrhizal fungi influences alkaloid synthesis and accumulation in Catharanthus roseus and Nicotiana tabacum plants. Acta Physiol. Plant 2013, 35, 867–880. [Google Scholar] [CrossRef]
- Raei, Y.; Weisany, W. Arbuscular mycorrhizal fungi associated with some aromatic and medicinal plants. Bull. Environ. Pharmacol. Life Sci. 2013, 2, 129–138. [Google Scholar]
- Cartmill, A.D.; Valdez-Aguilar, L.A.; Bryan, D.L.; Alarcón, A. Arbuscular mycorrhizal fungi enhance tolerance of vinca to high alkalinity in irrigation water. Sci. Hortic. 2008, 115, 275–284. [Google Scholar] [CrossRef]
- Ratti, N.; Verma, H.N.; Gautam, S.P. Effect of Glomus species on physiology and biochemistry of Catharanthus roseus. Indian. J. Microbiol. 2010, 50, 355–360. [Google Scholar] [CrossRef]
- Rafiee, H.; Mehrafarin, A.; Qaderi, A.; Kalate Jari, S.; Naghdi Badi, H. Phytochemical, agronomical and morphological responses of pot marigold (Calendula officinalis L.) to foliar application of bio-stimulators (bioactive amino acid compounds). J. Med. Plants 2013, 12, 48–61. [Google Scholar]
- Darzi, M.T.; Hazi, M.S. Effects of the application of organic manure and biofertilizer on the fruit yield and yield components in Dill (Anethum graveolens). J. Med. Plants Res. 2012, 6, 3345–3350. [Google Scholar] [CrossRef]
- El-Sharabasy, S.; Farag, M.A.; El-Emerym, G. Effect of amino acids on the growth and production of steroids in date palm using tissue culture technique. Researcher 2012, 4, 75–84. [Google Scholar]
- Ardabili, Z.; Moghadam, A.; Ardebili, N.; Omics, A.P.-P. 2012 undefined The induced physiological changes by foliar application of amino acids in Aloe vera, L. plants. Plant Omics 2012, 5, 279–284. [Google Scholar]
- Omer, E.; Said-Al-Ahl, H.; El-Gendy, A.; Shaban, K. Effect of amino acids application on production, volatile oil and chemical composition of chamomile cultivated in saline soil at sinai. J. Appl. Sci. Res. 2013, 9, 3006–3021. [Google Scholar]
- Haj, M.R.; Hadi, S.; Taghi Darz, M.; Ghandehari, Z.; Riazi, G. Effects of vermicompost and amino acids on the flower yield and essential oil production from Matricaria chamomile L. J. Med. Plants Res. 2011, 5, 5611–5617. [Google Scholar]
- El-Din, K.M.G.; El-Wahed, M.S.A.A. Effect of some amino acids on growth and essential oil content of chamomile plant. Int. J. Agric. Biol. 2005, 7, 376–380. [Google Scholar]
- Rahimi, S.; Mr, D.-M.; Naghdi, B. Changes in essential oil composition and leaf traits of basil affected by bio-stimulators/fertilizers application. J. Med. Plants 2013, 12, 83–92. [Google Scholar]
- Befrozfar, M.R.; Habibi, D.; Asgharzadeh, A.; Sadeghi-Shoae, M.; Tookalloo, M.R. Vermicompost, plant growth promoting bacteria and humic acid can affect the growth and essence of basil (Ocimum basilicum L.). Ann Biol Res 2013, 4, 8–12. [Google Scholar] [CrossRef]
- Mehrafarin, A.; Badi, H.N.; Khalighi, F. Effects of bio-stimulators and bio-fertilizers on morphological traits of basil (Ocimum bacilicum L.). Ann Biol Res 2013, 4, 146–151. [Google Scholar]
- Rafiee, H.; Mehrafarin, A.; Labbafi, M.; Qaderi, A.; Naghdi Badi, H. Mineral elements and biochemical analysis of Calendula officinalis L. affected by bio-stimulators. Trakia J. Sci. 2015, 13, 27–35. [Google Scholar] [CrossRef]
- Vierheilig, H.; Schweiger, P.; Brundrett, M. An overview of methods for the detection and observation of arbuscular mycorrhizal fungi in roots. Physiol. Plant 2005, 125, 393–404. [Google Scholar] [CrossRef]
- Lenth, R. emmeans: Estimated Marginal Means, Aka Least-Squares Means. R Package Version 1.8.4-1. 2023. Available online: https://CRAN.R-project.org/package=emmeans (accessed on 8 July 2025).
- Fox, J.; Weisberg, S. An R Companion to Applied Regression +16,000 Citations; Sage: Thousand Oaks, CA, USA, 2019; Volume 2016. [Google Scholar]
- Hothorn, T.; Bretz, F.; Westfall, P. Simultaneous Inference in General Parametric Models. Biom. J. 2008, 50, 346–363. [Google Scholar] [CrossRef]
- Wickham, H. ggplot2: Elegant Graphics for Data Analysis; Springer: New York, NY, USA, 2016; ISBN 978-3-319-24277-4. Available online: https://ggplot2.tidyverse.org (accessed on 8 July 2025).
- Bulgari, R.; Cocetta, G.; Trivellini, A.; Vernieri, P.; Ferrante, A. Biostimulants and crop responses: A review. Biol. Agric. Hortic. 2015, 31, 1–17. [Google Scholar] [CrossRef]
- Vernieri, P.; Borghesi, E.; Tognoni, F.; Serra, G.; Ferrante, A.; Piaggesi, A. Use of biostimulants for reducing nutrient solution concentration in floating system. Acta Hortic. 2006, 718, 477–484. [Google Scholar] [CrossRef]
- Khan, W.; Rayirath, U.P.; Subramanian, S.; Jithesh, M.N.; Rayorath, P.; Hodges, D.M.; Critchley, A.T.; Craigie, J.S.; Norrie, J.; Prithiviraj, B. Seaweed extracts as biostimulants of plant growth and development. J. Plant Growth Regul. 2009, 28, 386–399. [Google Scholar] [CrossRef]
- Nofal, E.M.S.; Menesy Fardous, A.; Abd El-Hady, W.M.; Shehab El-Deen Eman, G. Effect of bio-stimulants (Humic acid, salicylic acid and Chitosan) on rose periwinkle (Catharanthus roseus L.). Appl Ecol Env. Res 2021, 19, 971–980. [Google Scholar] [CrossRef]
- Endo, T.; Goodbody, A.; Misawa, M. Alkaloid production in root and shoot cultures of Catharanthus roseus. Planta Med. 1987, 53, 479–482. [Google Scholar] [CrossRef]
- Mall, M.; Singh, P.; Kumar, R.; Shanker, K.; Gupta, A.K.; Khare, P.; Ajit, K.; Shasany, A.K.; Khatoon, S.; Sundaresan, V.; et al. Phenotypic, genetic and expression profiling of a vindoline-rich genotype of Catharanthus roseus. South. Afr. J. Bot. 2021, 139, 50–57. [Google Scholar] [CrossRef]
- Shukla, A.K.; Shasany, A.K.; Verma, R.K.; Gupta, M.M.; Mathur, A.K.; Khanuja, S.P.S. Influence of cellular differentiation and elicitation on intermediate and late steps of terpenoid indole alkaloid biosynthesis in Catharanthus roseus. Protoplasma 2010, 242, 35–47. [Google Scholar] [CrossRef]
- Liu, Y.; Patra, B.; Pattanaik, S.; Wang, Y.; Yuan, L. GATA and phytochrome interacting factor transcription factors regulate light-induced vindoline biosynthesis in Catharanthus roseus. Plant Physiol. 2019, 180, 1336–1350. [Google Scholar] [CrossRef]
- Matsuura, H.N.; Fragoso, V.; Paranhos, J.T.; Rau, M.R.; Fett-Neto, A.G. The bioactive monoterpene indole alkaloid N.;β-d-glucopyranosyl vincosamide is regulated by irradiance quality and development in Psychotria leiocarpa. Ind. Crops Prod. 2016, 86, 210–218. [Google Scholar] [CrossRef]
- Liu, Y.; Song, L.; Yu, W.; Hu, Y.; Ma, X.; Wu, J.; Ying, J. Light quality modifies camptothecin production and gene expression of biosynthesis in Camptotheca acuminata Decne seedlings. Ind. Crops Prod. 2015, 66, 137–143. [Google Scholar] [CrossRef]
- Kirfel, J.; Magin, T.M.; Reichelt, J. Keratins: A structural scaffold with emerging functions. Cell. Mol. Life Sci. 2003, 60, 56–71. [Google Scholar] [CrossRef]
- Bryndina, L.; Ilyina, N.; Baklanova, O.; Moiseyeva, E. Comparative evaluation of biostimulator efficiency on corn seeds germination: Keratin protein and preparation Ribav Extra. IOP Conf. Ser. Earth Environ. Sci. 2019, 392, 012068. [Google Scholar] [CrossRef]
- Thiviya, P.; Gamage, A.; Gama-Arachchige, N.S.; Merah, O.; Madhujith, T. Seaweeds as a Source of Functional Proteins. Phycology 2022, 2, 216–243. [Google Scholar] [CrossRef]
- Baltazar, M.; Correia, S.; Guinan, K.J.; Sujeeth, N.; Bragança, R.; Gonçalves, B. Recent Advances in the Molecular Effects of Biostimulants in Plants: An Overview. Biomolecules 2021, 11, 1096. [Google Scholar] [CrossRef] [PubMed]
- Sionkowska, A.; Skopinska-Wiłniewska, J.; Kozłowska, J.; Płanecka, A.; Kurzawa, M. Photochemical behaviour of hydrolysed keratin. Int. J. Cosmet. Sci. 2011, 33, 503–508. [Google Scholar] [CrossRef]
- Naeem, M.; Aftab, T.; Idrees, M.; Alam, M.M.; Masroor, M.A.K.; Uddin, M. Plant efficacy and alkaloids production in sadabahar (Catharanthus roseus L.): Role of potent pgrs and mineral nutrients. In Catharanthus roseus: Current Research and Future Prospects; Springer: Berlin/Heidelberg, Germany, 2017; pp. 35–57. [Google Scholar] [CrossRef]
- Morey, K.J.; Peebles, C.A.M. Hairy roots: An untapped potential for production of plant products. Front. Plant Sci. 2022, 13, 937095. [Google Scholar] [CrossRef] [PubMed]
- Liu, Y.; Patra, B.; Singh, S.K.; Paul, P.; Zhou, Y.; Li, Y.; Wang, Y.; Pattanaik, S.; Yuan, L. Terpenoid indole alkaloid biosynthesis in Catharanthus roseus: Effects and prospects of environmental factors in metabolic engineering. Biotechnol. Lett. 2021, 43, 2085–2103. [Google Scholar] [CrossRef]
- Moreno, P.R.H.; Van Der Heijden, R.; Verpoorte, R. Elicitor-mediated induction of isochorismate synthase and accumulation of 2,3-dihydroxy benzoic acid in Catharanthus roseus cell suspension and shoot cultures. Plant Cell Rep. 1994, 14, 188–191. [Google Scholar] [CrossRef]
- Shanks, J.V.; Rijhwani, S.K.; Morgan, J.; Vani, S.; Bhadra, R.; Ho, C.-H. Quantification of Metabolic Fluxes for Metabolic Engineering of Plant Products. In Plant Cell and Tissue Culture for the Production of Food Ingredients; Fu, T.J., Singh, G., Curtis, W.R., Eds.; Springer: Boston, MA, USA, 1999; pp. 45–60. [Google Scholar] [CrossRef]
- Hamza, B.; Suggars, A. Biostimulants: Myths and Realities. TurfGrass Trends 2001, 8, 6–10. [Google Scholar]
- Nardi, S.; Ertani, A.; Francioso, O. Soil–root cross-talking: The role of humic substances. J. Plant Nutr. Soil. Sci. 2017, 180, 5–13. [Google Scholar] [CrossRef]
- Nardi, S.; Pizzeghello, D.; Schiavon, M.; Ertani, A. Scientia Agricola Plant biostimulants: Physiological responses induced by protein hydrolyzed-based. Sci. Agric. V 2016, 73, 18–23. [Google Scholar] [CrossRef]
- Aerts, R.J.; Alarco, A.-M.; De Luca, V. Auxins Induce Tryptophan Decarboxylase Activity in Radicles of Catharanthus Seedlings. Plant Physiol. 1992, 100, 1014–1019. [Google Scholar] [CrossRef]
- Papon, N.; Bremer, J.; Vansiri, A.; Andreu, F.; Rideau, M.; Crèche, J. Cytokinin and ethylene control indole alkaloid production at the level of the MEP/terpenoid pathway in Catharanthus roseus suspension cells. Planta Med. 2005, 71, 572–574. [Google Scholar] [CrossRef] [PubMed]
- Chang, B.-W.; Cong, W.-W.; Chen, Q.; Zu, Y.-G.; Tang, Z.-H. The influence of different forms and concentrations of potassium nutrition on growth and alkaloid metabolism in Catharanthus roseus seedlings. J. Plant Interact. 2014, 9, 370–377. [Google Scholar] [CrossRef]
- Boldyreva, Y.; Velichko, N. Effect of the compounds of mineral nutrition on the Catharanthus roseus callus tissue growth and synthesis of alkaloids. Biotekhnologiya 2003, 19, 53–62. [Google Scholar]
- Ohashi-Kaneko, K.; Fukuyama, T.; Nakai, A.; Usami, H.; Ono, E.; Watanabe, H. Growth and alkaloids production in Madagascar periwinkle plants grown under red LED. IFAC Proc. Vol. 2013, 46, 274–277. [Google Scholar] [CrossRef]
- Pan, Q.; Saiman, M.Z.; Rianika Mustafa, N.; Verpoorte, R.; Tang, K. A simple and rapid HPLC-DAD method for simultaneously monitoring the accumulation of alkaloids and precursors in different parts and different developmental stages of Catharanthus roseus plants. J. Chromatogr. B 2016, 1014, 10–16. [Google Scholar] [CrossRef]
- Guo, X.R.; Chang, B.W.; Zu, Y.G.; Tang, Z.H. The impacts of increased nitrate supply on Catharanthus roseus growth and alkaloid accumulations under ultraviolet-B stress. J. Plant Interact. 2014, 9, 640–646. [Google Scholar] [CrossRef]
- Yu, F.; De Luca, V. ATP-binding cassette transporter controls leaf surface secretion of anticancer drug components in Catharanthus roseus. Proc. Natl. Acad. Sci. USA 2013, 110, 15830–15835. [Google Scholar] [CrossRef]
- González, M. Cloning and Characterization of Transporter Genes Potentially Involved in the Transmembrane Transport of the Alkaloids from the Medicinal Plant. Master’s Thesis, Universidade do Porto, Porto, Portugal, 2013. [Google Scholar]
Disclaimer/Publisher’s Note: The statements, opinions and data contained in all publications are solely those of the individual author(s) and contributor(s) and not of MDPI and/or the editor(s). MDPI and/or the editor(s) disclaim responsibility for any injury to people or property resulting from any ideas, methods, instructions or products referred to in the content. |
© 2025 by the authors. Licensee MDPI, Basel, Switzerland. This article is an open access article distributed under the terms and conditions of the Creative Commons Attribution (CC BY) license (https://creativecommons.org/licenses/by/4.0/).




