Abstract
Recently, grafting has been used to improve abiotic stress resistance in crops. Here, using watermelon ‘Zaojia 8424’ (Citrullus lanatus) as scions, three different gourds (Lagenaria siceraria, 0526, 2505, and 1226) as rootstocks, and non-grafted plants as controls (different plants were abbreviated as 0526, 2505, 1226, and 8424), the effect of cold stress on various physiological and molecular parameters was investigated. The results demonstrate that the improved cold tolerance of gourd-grafted watermelon was associated with higher chlorophyll and proline content, and lower malondialdehyde (MDA) content, compared to 8424 under cold stress. Furthermore, grafted watermelons accumulated fewer reactive oxygen species (ROS), accompanied by enhanced antioxidant activity and a higher expression of enzymes related to the Calvin cycle. In conclusion, watermelons with 2505 and 0526 rootstocks were more resilient compared to 1226 and 8424. These results confirm that using tolerant rootstocks may be an efficient adaptation strategy for improving abiotic stress tolerance in watermelon.
1. Introduction
Cold stress is one of the key environmental factors that severely affect plant growth and development, especially for watermelon (Citrullus lanatus). Watermelon is an important global fruit due to its economic importance and nutritional qualities, it contains a great quantity of antioxidants and may mitigate oxidative damage in tissues. Originating from Africa and tropical regions in Asia, watermelon is sensitive to low temperatures. The best growing conditions for watermelon are between 21 and 29 °C. When the temperature drops to 10 °C, watermelon stops growing and it even dies at temperatures below 1 °C [1]. Extreme weather frequently occurs in China, especially during the seedling stage, such as winter, late autumn, and early spring, in which watermelon usually suffers cold stress. Thus, it is hard to grow the fruit and obtain high yields. Therefore, the study of how to improve cold resistance in watermelon has become a vital part of watermelon breeding projects. One way to improve cold tolerance is to graft plants onto rootstocks with higher cold tolerance [2,3,4,5,6,7].
Grafting originated in Japan in the late 1920s and was initially used to improve resistance to soil pathogens [8]. Since then, the use of grafting has spread around the world. In Korea and Japan, approximately 95% and 92% of the land area, respectively, is cultivated with grafted watermelon [9]. Recently, grafting was proposed as a promising approach to improve tolerance to abiotic stress and can represent an efficient technique for reducing or eliminating losses in production. Over the years, many studies have demonstrated the ability of grafting to enhance salt tolerance in different plants, such as melon (Cucumis melo L.) [10], pumpkin (Cucurbita moschata D.) [4], cucumber (Cucumis sativus L.) [11], grapevines (Vitis vinifera L.) [12], and watermelon [13]. Other studies have demonstrated that grafting induces resistance to high temperatures [14] and water stress [15], improves the yield and quality of watermelon under low potassium supply [16], and enhances nutrient uptake [17], among other things. However, to date, there are few studies concerning the results of grafting with appropriate rootstocks for cold tolerance in watermelon.
Accumulating evidence has demonstrated that certain stresses lead to oxidative stress by overproducing reactive oxygen species (ROS), such as superoxide anions (O2−) and hydrogen peroxide (H2O2). The improved performance of grafted plants, especially under abiotic stress, is usually associated with the higher accumulation of osmolytes, such as proline, as well as higher antioxidant enzyme activity, such as that of superoxide dismutase (SOD), peroxidase (POD), and catalase (CAT), which protect the cellular systems from the cytotoxic damage by ROS [18,19]. Moreover, some studies have shown that grafted plants have enhanced tolerance to stress via the induced the expression of some key genes, especially those related to photosynthesis. Li et al. [20] identified novel photosynthetic proteins in grafted cucumber seedlings. Similarly, Yang et al. [21] found that the amelioration of photosynthetic capacity in grafted watermelon seedlings under salt stress might be due to enzymes of the Calvin cycle. They further proved that rootstock grafting watermelon seedlings enhanced the gene expression of enzymes related to ribulose-1,5-bisphosphate (RuBP) regeneration under salt stress [22]. Xu et al. [7], who analyzed the transcriptomic results of grafted watermelon under cold stress, found 702 genes that were differentially expressed, among which 180 genes associated with photosynthesis were downregulated. These studies demonstrated that rootstocks could regulate gene expression patterns, especially those related to photosynthesis, in scions under stress.
Recently, different authors have demonstrated that the effects of grafting on plant growth and stress tolerance depend on different rootstocks [12,13,23,24]. Therefore, selecting suitable rootstocks with higher compatibility and resistance is a promising strategy. However, studies on rootstock screening to improve watermelon’s cold tolerance are lacking and urgently required. Due to their vigorous root systems, bottle gourd (L. siceraria Standl) and pumpkin have been used as rootstocks by watermelon growers to improve fruit quality and sensory parameters [4]. Recently, some local bottle gourd genotypes that may have potential for use as a rootstock against stress tolerance were selected and bred by the Ningbo Academy of Agricultural Sciences, but no studies have been performed on them. Information about the molecular responses of grafted watermelon to cold stress is also limited. Therefore, this investigation aimed to understand the mechanisms by which grafted watermelon can develop improved cold resistance. The ‘ZaoJia 8424’ watermelon was chosen for grafting onto three gourd rootstocks to evaluate ROS and osmolyte accumulation, membrane stability, antioxidant defense system, and the expression level of photosynthesis-related genes. The performed study will help to explain cold-tolerant mechanisms in grafted horticultural crops, which may be useful when exploring potential rootstocks to improve watermelon cold tolerance.
2. Materials and Methods
2.1. Plant Material and Treatments
The watermelon (Citrullus lanatus (Thunb.) Matsum. and Nakai) cv. ZaoJia 8424 was used as a scion, and two cold-tolerant gourds (L. siceraria Standl. cv. LS0525, and LS0526) and a cold-sensitive gourd (L. siceraria Standl. cv. LS1226) were selected as rootstocks. The rootstock-grafted watermelon plants have been abbreviated as 2505, 0526, and 1226, respectively. The nongrafted watermelon plants (abbreviated as 8424) were used as controls. The watermelon and gourds used here were selected and bred by the Ningbo Academy of Agricultural Sciences of China.
The seeds of the gourds (rootstocks) and watermelons (scion and nongrafted plants) were sown on May 5 and 8 in a sand/soil/peat (1:1:1 by volume) mixture. The scion plants were grafted onto the rootstock six days after the watermelon scion seeds were sown using the method of Lee [25]. To improve graft formation, transparent plastic film was used to cover the seedlings. All grafted seedlings were kept in the shade for 72 h. To ensure the stability of relative humidity, the plastic film was opened every day and completely removed 7 days after grafting. Then, all different seedlings were grown under the following conditions in the greenhouse: approximately 28/23 ± 1 °C (D/N) with 60% relative humidity, a 12 h photoperiod, and a photosynthetic photon flux density (PPFD) of 300 μmol·m−2 · s−. After the third true leaves had fully unfolded, 12 plants of uniform size from each group were transplanted into different pots (one seedling per pot) and cultivated in an illuminating incubator under the controlled environment described above. After another two days of acclimation, the plants were randomly distributed to two identical illuminating incubators; one was a control group, and the other was a cold stress group. The control group remained in the same conditions, while the experimental group was subjected to cultivation for two days with a temperature of 20/15 °C (D/N) and then for five days under 10/6 °C (D/N). Samples were collected at the same time, i.e., after one week from both control and cold-stressed plants (2-day acclimation period and 5 days under cold exposure). The third leaves from the tops of different groups were harvested and used for H2O2 and O2− detection, each replicated three times. The remaining leaves were also sampled immediately and frozen in liquid N2 before being kept at −80 °C. Leaves from the same position were used to measure the same parameter.
2.2. Chlorophyll Content and Plant Growth Measurements
Chlorophyll content was measured spectrophotometrically according to Porra et al. [26]. The height and stem diameter of seedlings from each treatment were measured using a ruler and vernier caliper, respectively. The dry weights were determined after drying at 105 °C for 10 min and then at 70 °C for 72 h. The total number of leaves was counted on each plant.
2.3. Measurements of ROS, MDA, and Proline Content
Histochemical staining of O2− was performed using nitroblue tetrazolium (NBT) [27]. Leaf stalks were immediately combined with 0.1% NBT (w/v) in 25 mmol L−1 K-HEPES buffer (pH7.8) and kept at 25 °C in the dark for 4 h. After the leaves were boiled in 95% ethanol, they were photographed. The different staining colors indicated the different degrees of lipid peroxidation.
Detection of H2O2 in the leaves and measurements of O2− generation, H2O2, and MDA content were all carried out according to our previous methods [28]. Proline content was analyzed according to the method of Bates et al. [29].
2.4. Antioxidant Enzyme Analysis
The extraction of antioxidant enzymes and the determination of those enzyme activities (SOD, CAT, and POD) were all carried out according to our previous methods [18], while the activity of GPX was measured following Huang et al. [30]. Electrophoretic separation of POD and CAT bands was performed as described by Lu et al. [18] and Woodbury et al. [31].
2.5. Gene Expression Analysis
Leaves of different watermelons were used to extract total RNA using the TRI Reagent (Takara Bio Inc. Dalian, China) according to the manufacturer’s protocol. Reverse transcription reactions were performed using a PrimeScript RT Reagent Kit with genomic DNA Eraser (Takara Bio Inc. Dalian, China). Suitable primers were designed based on the National Center for Biotechnology Information (NCBI) and the watermelon genome sequence in the cucurbit genomics database. All primers used in this study are provided in Table 1. Quantitative gene expression analysis was performed using a Light Cycler 480 II, Roche Real Time PCR System (Roche Diagnostics Ltd., Basel, Switzerland). qPCR was carried out in a 20 μL reaction mixture containing 1 μL diluted first-strand cDNA, 125 nM of each primer, and 10 μL Lightcycler 480 SYBR Green I Master (Roche Diagnostics GmbH, Mannhein, Germany). The 2−ΔΔCt method was used to determine the relative change in gene expression [32], and melt curve analysis (from 55 to 94 °C) was used to determine the specificity of PCR amplification. All measurements were performed in triplicate, and the data are presented as the means and their standard errors.
Table 1.
Gene-specific primers designed for qRT-PCR.
2.6. Statistical Methods
All data were statistically analyzed with SPSS 13.0 software (SPSS Chicago, IL, USA). Two-way analyses of variance (ANOVA) were used to evaluate the effects of rootstock and cold treatment. Tukey’s honestly significant difference (HSD, p ≤ 0.05) post hoc test was performed to test the existence of statistical differences between different rootstocks under normal and cold-stressed conditions.
3. Results
3.1. Growth Parameters
Under control conditions, all the grafted seedlings exhibited higher growth rates than non-grafted 8424, among which 2505 and 0526 exhibited the best performance trend, followed by 1226 (Table 2). Cold stress caused remarkable changes, and the growth of 8424 was significantly inhibited, whereas the growth inhibition of grafted plants was clearly alleviated, and the level significantly varied depending on rootstock genotypes, among which 2505 and 0526 were better than 1226. All growth parameters under cold stress decreased significantly compared with the control, with 2505 and 0526 having a smaller decrease than 1226. These results indicate that grafting increased the tolerance of watermelon seedlings to cold stress, and the degree of resistance depended on the rootstock. These growth parameters were significantly influenced by both different rootstocks and cold stress, and a significant interaction of rootstock and cold was observed (Table 2).
Table 2.
Effects of graft combinations and cold stress on watermelon seedlings.
3.2. Chlorophyll Content
Photosynthetic pigments play a significant role in plant photosynthesis. Under control conditions, the chlorophyll content of grafted watermelon was significantly higher than that of non-grafted 8424 (Table 3). Under cold stress conditions, chlorophyll content decreased significantly, and the reduction was greater in 8424 (37%) and 1226 (34%) than in 2505 (26%) and 0526 (25%) compared with normal conditions (Table 3). No significant changes were found in the ratios of Chl a/b under normal conditions, while the ratio of Chl a/b in grafted seedlings was significantly higher than that in non-grafted 8424 under cold stress.
Table 3.
Variability of total chlorophyll content and ratio of Chl a/b between different graft combinations after cold stress.
3.3. Oxidative Stress Evaluation
The accumulation of H2O2 in leaves was reflected by necrotic lesions, which were easily detected by chlorophyll bleaching. Obviously, under control conditions (Figure 1A), the accumulation of H2O2 in grafted 1226 and non-grafted 8424 was higher than in grafted 2505 and 0526. Necrotic lesions were mainly located on the leaf base and main veins in 2505 and 0526 leaves, while in 1226 and 8424 leaves, even the small veins had brown spots. Furthermore, significant brown spot accumulation was observed in 1226 and 8424 leaves under cold stress conditions, while this phenomenon was slight in 2505 and 0526 leaves (Figure 1A). The measurement of H2O2 content (Figure 1C) matched the effects of H2O2 accumulation in leaves. Under control conditions, no significant difference was found in H2O2 content between grafted and non-grafted watermelons, whereas cold stress noticeably increased the H2O2 content in 8424 and 1226, which, compared with the controls, increased by 56.3% and 21.1%, respectively.
Figure 1.
Effects of cold stress on the accumulation of H2O2 (A) and O2− (B), as well as the content of H2O2 (C) and O2− producing rate (D) in leaves of different watermelon seedlings. The numbers 0526, 2505, and 1226 represent watermelon grafted onto three different gourds, while 8424 means non-grafted watermelon. Scale bars correspond to 2 cm. Data are the mean ± SE. Bars with different letters indicate a significant difference (p < 0.05).
Figure 1B shows the results of O2− generation and accumulation in the inoculated leaves by nitroblue tetrazolium staining. The trend in O2− concentration was similar to that of H2O2. Under control conditions, more dark blue staining was detected in 8424, followed by 1226, whereas very little dark blue staining was found in 2505 and 0526. Cold stress improved the accumulation of O2−, which was reflected in greater NBT staining spots, especially in 8424, where the blue color was sinificantly deepened. The influence of cold stress on the O2− production rates of different seedlings was also measured (Figure 1D). Under control conditions, no significant difference was observed between grafted seedlings in terms of O2− production rate, whereas in 8424, the O2− production rate was significantly higher. Furthermore, cold stress induced a sharp increase in the O2− production rate in 8424 (34.0%), while a lower increase was observed in 2505, 0526, and 1226, the rates for which were increased by 26.8%, 24.3%, and 14.9%, respectively. The interaction of rootstocks × cold stress significantly affected the H2O2 content and O2− production rate.
3.4. Lipid Peroxidation and Proline Accumulation
Lipid peroxidation, reflected by MDA content, usually accompanies ROS accumulation. Under control conditions, the MDA content was significantly higher in 8424 than in grafted seedlings (Figure 2A). A sharp increase was observed when seedlings were exposed to cold stress. The MDA content of 8424 underwent the greatest increase under cold stress (50.0%), and 0526 and 1226 showed intermediate increases (39.5% and 34.1%, respectively). A minimal increase was displayed by 2505 (18.6%). Under control conditions, no significant differences in the level of proline content were observed between grafted and non-grafted seedlings (Figure 2B). Although cold stress promoted leaf proline content, a significantly greater increase was observed in grafted seedlings than in non-grafted 8424. When compared with the corresponding controls, proline accumulation in 2505 and 1226 was increased by 79.2% and 66.9%, respectively, while in 0526 and 8424, the increase was only 57.4% and 49.1%, respectively. Moreover, the interaction of rootstocks × cold stress significantly affected the MDA and proline contents.
Figure 2.
Effects of low temperature on MDA (A) and proline (B) content in leaves of different grafted seedlings. Data are the mean ± SE. Bars with different letters indicate a significant difference (p < 0.05).
3.5. Antioxidant Enzyme Activity
The effect of cold stress on the activities of SOD, CAT, POD, and GPX in leaves of different watermelons is shown in Figure 3A–D. SOD is the first enzyme in the enzymatic antioxidative pathway. Under control conditions, SOD enzymatic activity was significantly higher in grafted 2505 and 0526 than in grafted 1226 and non-grafted 8424 (Figure 3A). Cold stress decreased the SOD activity of both grafted and self-rooted watermelons compared with the control, while the reduction was less notable in 2505 and 0526 (25% and 28%, respectively) than in 1226 and 8424 (31% and 32%, respectively). In contrast, cold stress increased the CAT activity of both grafted and self-rooted seedlings (Figure 3B). However, the values in grafted watermelons were significantly higher than those in non-grafted 8424 under both control and cold stress conditions. Conversely, the activity of POD was severely inhibited in both grafted and non-grafted seedlings when they were exposed to cold stress (Figure 3C). A lesser decrease was observed in plants grafted onto 0526 (17.7%), 1226 (23.4%), and 2505 (24.5%) than in non-grafted 8424 (30.3%). The GPX activity was reduced by cold stress in non-grafted 8424 (25.2%) (Figure 3D), while in grafted seedlings, cold stress led to a considerable increase in GPX activity (5.5%, 16.8%, and 21.3% for 0526, 2505, and 1226, respectively). Moreover, the activities of those enzymes were all significantly affected by the interaction of rootstocks × cold.
Figure 3.
Effect of low temperature on activities of SOD, CAT, POD, and GPX (A–D) in leaves of different grafted seedlings. Data are the mean ± SE. Bars with different letters indicate a significant difference (p < 0.05).
To evaluate the enzyme activity as stimulated by cold stress, polyacrylamide gel electrophoresis analysis of enzyme isoform patterns was performed. No significant differences were found in POD and GPX isoforms (data not shown), but there was a significant difference in SOD and CAT isoforms (Figure 4 and Figure 5). At least five isoforms were detected in the leaves of different watermelon seedlings under both control and cold stress conditions, while CAT 6 was only found under cold stress conditions. The cold-induced increase in CAT enzyme activity coincided with the increased expression of CAT isoforms. Under both control and stress conditions, the expression of CAT isoforms in grafted watermelons was much higher than that in non-grafted 8424 (Figure 4). Conversely, the expression of SOD isoforms was downregulated by cold stress (Figure 5). Under control conditions, at least nine isoforms were detected in different seedlings, with SOD1–3 and 6–8 being the major ones, while under cold stress conditions, the expression of these isoforms was greatly diminished. Similar to CAT isoforms, the expression of SOD isoforms in grafted watermelons was also much stronger than in non-grafted 8424, among which 0526 displayed the highest expression, followed by 2505 and 1226. The differences observed in the SOD isoform patterns match the changes in total SOD activity described above.
Figure 4.
CAT isozymes in leaves of different grafted seedlings (different numbers represent different bands).
Figure 5.
SOD isozymes in leaves of different grafted seedlings (different numbers represent different bands).
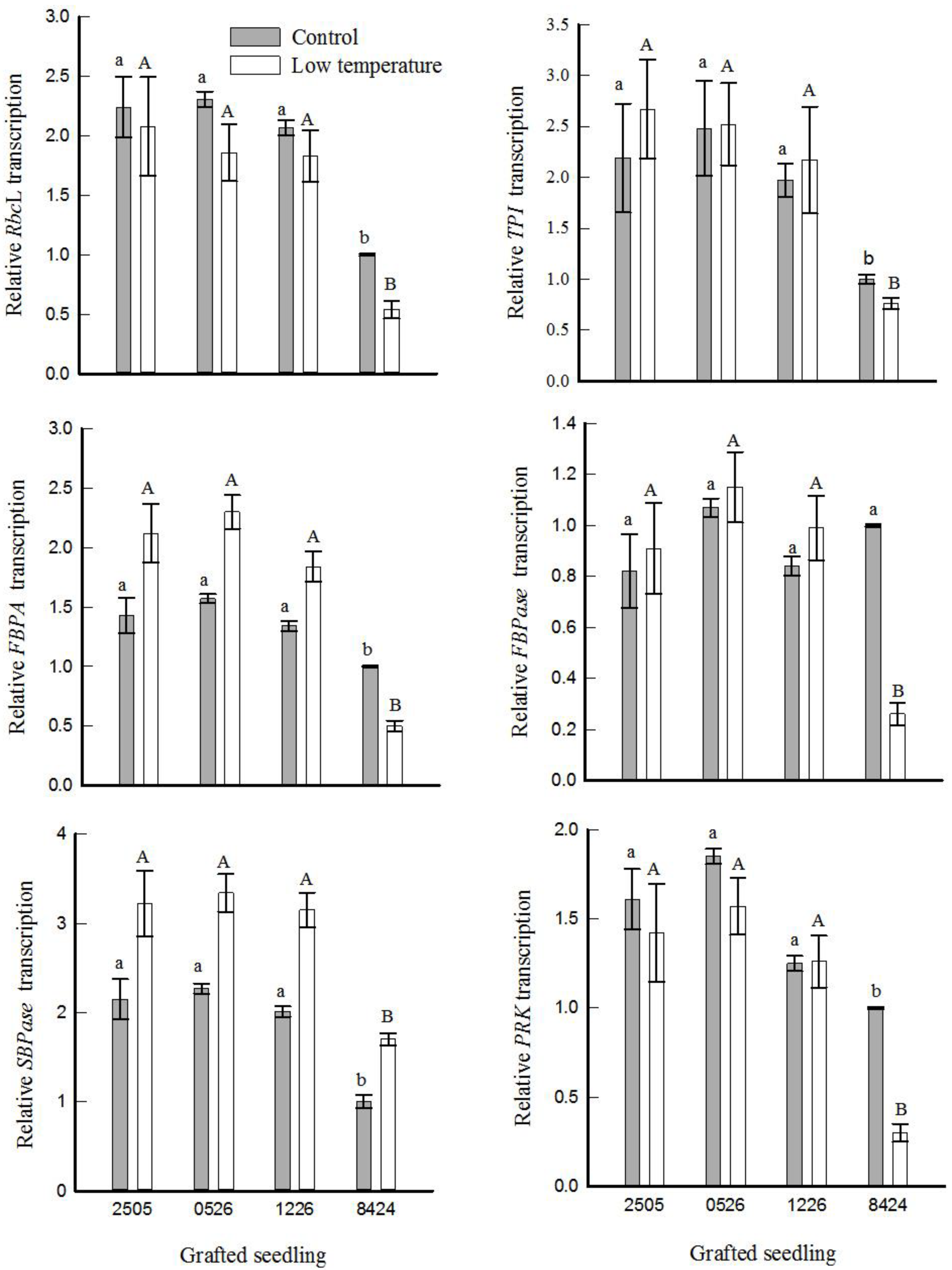
3.6. Gene Expression
Quantitative expression analyses were used to evaluate the association of the selected genes with cold resistance, as well as their differential expression under stress conditions in different watermelon seedlings, and the results are shown in Figure 6. Grafting increased the expressions of RbcL, TPI, FBPA, SBPase, and PRK, whereas the expression of FBPase was only slightly upregulated in 0526, while it decreased in 2505 and 1226. The expression of SBPase was significantly upregulated by cold stress in both grafted and non-grafted seedlings, while the expressions of TPI, FBPA, and SBPase were only enhanced by cold stress in grafted watermelons and decreased in non-grafted 8424. The expressions of RbcL and PRK were reduced in all four seedlings by cold stress. The expression of these six genes in grafted watermelons was higher than those in non-grafted 8424 under cold stress. Moreover, the interaction of rootstocks × cold significantly affected the expressions of RbcL, TPI, FBPA, and SBPase.
Figure 6.
qRT-PCR analysis of the studied genes. Total RNA was extracted from scion leaves, converted to cDNA, and subjected to comparative real-time RT-PCR quantification. Relative transcript levels from qRT-PCR are the mean ± SE of three replicates. Bars with different letters indicate a significant difference (p < 0.05).
4. Discussion
Grafting is a widely used technique in plants for improving tolerance to abiotic stress [10,11,12,13]. The results of the present study showed that grafted plant growth was significantly better than that of non-grafted 8424, especially under cold stress (Table 1). Furthermore, plants grafted on 2505 and 0526 rootstocks showed better tolerance to cold stress than the plants grafted onto 1226. The results demonstrate that grafting improved watermelon tolerance to cold stress, but the inhibition level varied depending on rootstock genotypes. Similarly, Ramón et al. [17] reported that sweet pepper (Capsicum annuum L.), when grafted with appropriate rootstocks, could overcome the negative effects of heat stress conditions. Yan et al. [13] also stated that the use of ‘Kaijia No.1’ rather than ‘Jingxin No.2’ or ‘Quanneng Tiejia’ improved watermelon salt tolerance. In the present study, the superior performances of 2505 and 0526 under cold stress conditions were attributed to the use of an appropriate rootstock, which can absorb more water and nutrients than 8424 and 1226. Our results indicate that rootstock genotypes might play a crucial role in resistance to abiotic stress.
The chlorophyll content reflects the physiological status of plants and is closely related to photosynthetic potential and primary production. The present study shows that the chlorophyll content increased significantly in grafted plants under normal conditions (Table 2), while no significant difference was found in the ratio of Chl a/b. Under cold stress conditions, a reduction in chlorophyll content was observed in 8424 and grafted watermelons, whereas these values were higher in the latter, indicating that the grafted watermelon alleviated the photosynthetic inhibition induced by cold stress. Similarly, Yan et al. [13] showed that the chlorophyll content increased in grafted watermelons under salt stress conditions, and Tao et al. [33] also indicated that cucumber plants grafted onto bitter melon (Momordica charantia L.) had higher chlorophyll contents than self-grafted plants. The reduced chlorophyll content in stressed plants could be attributed to decreased chlorophyll synthesis, faster chlorophyll degradation, or both.
Environmental stress leads to the accumulation of ROS, which are highly toxic to plants, causing necrotic symptoms [34]. The ROS concentration is a good indicator of oxidative stress. Our results show the greater accumulation of H2O2 and O2− in non-grafted 8424 (Figure 1), whereas in gourd-grafted plants, this accumulation was relatively lower, indicating that gourd grafting alleviated the inhibition of oxidative stress. This difference was even clearer under cold stress conditions. Cold stress induced more severe oxidative stress in non-grafted 8424 plants than in grafted plants, as manifested by their high ROS accumulation. Among the three rootstocks, 2505 and 0526 were considered more cold-resistant than 1226, which suggests that the different degrees of oxidative stress induced by cold stress were closely related to the rootstock genotype. Similar observations for cold tolerance in grafted grapevines (Vitis vinifera L.) [35] and salt tolerance in grafted watermelons [13] have been reported, whereby plants using tolerant rootstocks displayed lower ROS accumulation than those using sensitive rootstocks.
An increase in ROS accumulation under abiotic stress parallels increased lipid peroxidation. MDA, as the final product of peroxidation, is responsible for cell membrane damage [36]. Our results show that, under control conditions, the degree of lipid peroxidation in 8424 and 1226 was significantly higher than that in 0526 and 2505, while upon exposure to cold stress, the MDA content in 8424 increased more pronouncedly than that in grafted watermelons (Figure 2A), indicating that the damage caused by cold injury in 8424 was more serious than that in grafted watermelons. Among the tested rootstocks, 2505 showed the lowest increase. The results confirm that rootstock grafting enhanced the cold tolerance of watermelon, but this was genotype dependent. These findings validate the results of previous investigations, wherin chilling injury increased MDA accumulation [19].
As a compatible solute, proline plays an important role in protecting enzymes from denaturation in order to stabilize the machinery of protein synthesis [37]. Proline accumulation during stress conditions was also thought to be correlated with tolerance. Our results also showed that cold stress promoted the accumulation of proline (Figure 2B), especially in grafted seedlings, indicating that grafting improvs the cold tolerance of watermelon by promoting proline accumulation. These results are also similar to those of Krasensky and Jonak [38], who found that proline was accumulated under abiotic stress conditions in many plant species.
To alleviate oxidative damage under stress conditions, plants have developed a series of effective detoxification mechanisms, among which antioxidant enzymes play an important role [15,35]. In the present research, the activities of these antioxidant enzymes (SOD, CAT, POD, and GPX) were higher in grafted seedlings than in the non-grafted 8424 (Figure 3), which indicates that grafted seedlings counteracted oxidative stress by elevation the antioxidant enzyme activity so as to scavenge ROS and protected the membrane from damage. Compared to normal conditions, the CAT and GPX activities increased when plants were exposed to low temperatures, while the POD and SOD activities decreased. Among the three different rootstocks, 2505 and 0526 showed higher increments and lower reductions. This suggests that CAT and GPX might play a crucial role in antioxidant defense. The cold-induced increase in CAT enzyme activity was likely due to the enhanced expression of CAT isoforms (Figure 4), while the decrease in SOD enzyme activity was also correlated with the decreased expression of SOD isoforms (Figure 5). Similar results were also obtained in other studies, which reported that CAT played an important role in alleviating the oxidative injuries induced by low temperatures [39,40]. Other studies found that SOD activity [39] and POD activity [41] increased under cold stress conditions. Recently, Yan et al. [13] reported that SOD activity, as well as CAT, POD, and APX activity, were increased in watermelon grafted onto P2, which suggests this grafted seedling had a higher H2O2 scavenging capacity than those using other rootstocks. These contrasting reports indicate that different plants might employ different pathways to cope with oxidative stress. Here, CAT and GPX might play a more important role in impeding the accumulation of ROS under cold stress.
Abiotic stress is known to influence gene expression. As the last rate-limiting step in carbon fixation, the carboxylated activity of Rubisco is closely related to the Rubisco large subunit (RBCL) and RuBP [42]. In this study, the transcript levels of the Rubisco large subunit (RbcL) and enzymes involved in RuBP regeneration were analyzed (Figure 6). As shown in Figure 6, the higher transcript level of RbcL in grafted plants, especially under stress conditions, implies the existence of a correlation between cold tolerance and RbcL expression, while the latter ameliorates the photosynthetic capacity. As the main genes encoding enzymes required for RuBP regeneration, triose-3-phosphate isomerase (TPI) and fructose-1,6-bisphosphate aldolase (FBPA) catalyze two triose-3-phosphates to fructose-1,6-bisphosphate (FBP). Fructose-1,6-bisphosphatase (FBPase) catalyzes the hydrolysis of FBP to fructose-6-bisphosphatase (Fru6P), while sedoheptulose-1,7-bisphosphatase (SBPase) catalyzes the conversion of sedoheptulose-1,7-bisphosphate (SBP) to sedoheptulose 7-phosphate (Sed7P). Ribulose phosphate epimerase (RuPE) and ribulose-5-phosphate kinase (PRK) are the last rate-limiting enzymes in RuBP synthesis. Except for RuPE, which was almost unchanged between different gourd-grafted and non-grafted plants (data not shown), and FBPase, in which there was no significant difference between plants under control conditions, the other genes of gourd-grafted plants were expressed much more highly than those of non-grafted plants, especially under cold stress. These results imply that gourd-grafted watermelons could sense cold-induced changes early, and reponse with quick regulations at the transcript level so as to guarantee greater RuBP regeneration, which would activate the carboxylated activity of Rubisco and result in higher carboxylation efficiency.
5. Conclusions
The selection of stress-tolerant rootstocks might be a promising approach to alleviate the detrimental effects of abiotic stress on watermelon productivity. In the present study, the results show that the cold-induced inhibition of growth was significantly ameliorated in gourd-grafted watermelons, as manifested by physiological indices, such as much better growth parameters; much higher chlorophyll and proline contents; lower levels of ROS and lipid peroxidation; higher antioxidant enzyme activities, especially CAT and GPX; and higher expression levels of enzymes related to the Calvin cycle. Overall, as evidenced by the presented data, watermelon grafted with 2505 and 0526 rootstocks showed better resilience than those grafted with 1226 and 8424.
Author Contributions
K.L. performed the experiments. K.L. and J.S. wrote the manuscript. Q.L. participated in the low temperature stress treatment and the determination of physiological characteristics. X.L. participated in organization and discussion regarding the manuscript. X.L. and S.J. designed the research. All authors have read and agreed to the published version of the manuscript.
Funding
This research was funded by the National Key Research and Development Program of China, grant number 2019YFE0118900, the Zhejiang Provincial Natural Science Foundation of China, grant number LY18C06000, and Ningbo Natural Science Foundation, grant number 2017A610293.
Institutional Review Board Statement
Not applicable.
Informed Consent Statement
Not applicable.
Data Availability Statement
All datasets generated for this study are included in the article.
Acknowledgments
We thank the National Key Research and Development Program of China (2019YFE0118900), the Zhejiang Provincial Natural Science Foundation of China (LY18C06000) and Ningbo Natural Science Foundation (2017A610293) for supporting this work.
Conflicts of Interest
The authors declare no conflict of interest.
References
- Noh, J.; Kim, J.M.; Sheikh, S.; Lee, S.G.; Lim, J.H.; Seong, M.H.; Jung, G.T. Effect of heat treatment around the fruit set region on growth and yield of watermelon [Citrullus lanatus (Thunb.) Matsum. and Nakai]. Physiol. Mol. Biol. Plants 2013, 19, 509–514. [Google Scholar] [CrossRef]
- Hao, J.; Gu, F.; Zhu, J.; Lu, S.; Liu, Y.; Li, Y.; Chen, W.; Wang, L.; Fan, S.; Xian, C.J. Low night temperature affects the phloem ultrastructure of lateral branches and Raffinose Family Oligosaccharide (RFO) accumulation in RFO-Transporting plant Melon (Cucumismelo, L.) during fruit expansion. PLoS ONE 2016, 11, e0160909. [Google Scholar] [CrossRef]
- Machado, D.F.S.P.; Ribeiro, R.V.; da Silveira, J.A.G.; Filho, J.R.M.; Machado, E.C. Rootstocks induce contrasting photosyn-thetic responses of orange plants to low night temperature without affecting the antioxidant metabolism. Theor. Exp. Plant Phys. 2013, 25, 26–35. [Google Scholar] [CrossRef]
- Niu, M.; Xie, J.; Sun, J.; Huang, Y.; Kong, Q.; Nawaz, M.A.; Bie, Z. A shoot based Na+ tolerance mechanism observed in pumpkin—An important consideration for screening salt tolerant rootstocks. Sci. Hortic. 2017, 218, 38–47. [Google Scholar] [CrossRef]
- Ntatsi, G.; Savvas, D.; Kläring, H.-P.; Schwarz, D. Growth, Yield, and metabolic responses of temperature-stressed tomato to grafting onto rootstocks differing in cold tolerance. J. Am. Soc. Hortic. Sci. 2014, 139, 230–243. [Google Scholar] [CrossRef]
- Wang, Z.M.; Chai, F.M.; Zhu, Z.F.; Elias, G.K.; Xin, H.P.; Liang, Z.C.; Li, S.H. The inheritance of cold tolerance in seven in-terspecifific grape populations. Sci. Hortic. 2020, 266, 109260. [Google Scholar] [CrossRef]
- Xu, J.H.; Zhang, M.; Liu, G.; Yang, X.P.; Hou, X.L. Comparative transcriptome profifiling of chilling stress responsiveness in grafted watermelon seedlings. Plant Physiol. Biochem. 2016, 109, 561e570. [Google Scholar] [CrossRef]
- Kawaide, T. Utilization of rootstocks in cucurbits production in Japan. Jpn. Agric. Res. Q. 1985, 18, 284–289. [Google Scholar]
- Lee, J.-M.; Kubota, C.; Tsao, S.J.; Bie, Z.; Echevarria, P.H.; Morra, L.; Oda, M. Current status of vegetable grafting: Diffusion, grafting techniques, automation. Sci. Hortic. 2010, 127, 93–105. [Google Scholar] [CrossRef]
- Yarşi, G.; Altuntas, O.; Sivaci, A.; Dasgan, H.Y. Effects of salinity stress on plant growth and mineral composition of grafted and un-grafted Galia C8 melon cultivar. Pak. J. Bot. 2017, 49, 819–822. [Google Scholar]
- Xu, Y.; Guo, S.-R.; Li, H.; Sun, H.-Z.; Na, L.; Shu, S.; Sun, J. Resistance of cucumber grafting rootstock pumpkin cultivars to chilling and salinity stresses. Hort. Sci. Technol. 2017, 35, 220–231. [Google Scholar] [CrossRef]
- Lo’ay, A.A.; Abo EL-Ezz, S.F. Performance of ‘Flame seedless’ grapevines grown on different rootstocks in response to soil salinity stress. Sci. Hortic. 2021, 275, 109704. [Google Scholar] [CrossRef]
- Yan, Y.; Wang, S.; Wei, M.; Gong, B.; Shi, Q. Effect of different rootstocks on the salt stress tolerance in watermelon seedlings. Hortic. Plant J. 2018, 4, 239–249. [Google Scholar] [CrossRef]
- Li, H.; Liu, S.S.; Yi, C.Y.; Wang, F.; Zhou, J.; Xia, X.J.; Shi, K.; Zhou, Y.H.; Yu, J.Q. Hydrogen peroxide mediates abscisic acid-induced HSP 70 accumulation and heat tolerance in grafted cucumber plants. Plant Cell Environ. 2014, 37, 2768–2780. [Google Scholar] [CrossRef]
- Sánchez-Rodríguez, E.; Romero, L.; Ruiz, J. Accumulation of free polyamines enhances the antioxidant response in fruits of grafted tomato plants under water stress. J. Plant Physiol. 2016, 190, 72–78. [Google Scholar] [CrossRef] [PubMed]
- Zhong, Y.Q.; Chen, C.; Nawaz, M.A.; Jiao, Y.Y.; Zheng, Z.H.; Shi, X.F.; Xie, W.T.; Yu, Y.G.; Guo, J.; Zhu, S.H.; et al. Using rootstock to increase watermelon fruit yield and quality at low potassium supply: A comprehensive analysis from agronomic, physiological and transcriptional perspective. Sci. Hortic. 2018, 241, 144–151. [Google Scholar] [CrossRef]
- Ramón, G.-M.; Yaiza, G.P.; Mary-Rus, M.-C.; Salvador, L.-G.; Ángeles, C. Suitable rootstocks can alleviate the effects of heat stress on pepper plants. Sci. Hortic. 2021, 290, 110529. [Google Scholar]
- Chen, S.; Yi, L.; Korpelainen, H.; Yu, F.; Liu, M. Roots play a key role in drought-tolerance of poplars as suggested by reciprocal grafting between male and female clones. Plant Physiol. Biochem. 2020, 153, 81–91. [Google Scholar] [CrossRef]
- Kumar, P.; Rouphael, Y.; Cardarelli, M.; Colla, G. Vegetable grafting as a tool to improve drought resistance and water use efficiency. Front. Plant Sci. 2017, 8, 1–4. [Google Scholar] [CrossRef]
- Li, Y.J.; Liang, G.Y.; Liu, X.J.; Liu, D.C.; Fang, C. Proteomic study on grafted and non-grafted cucumber (Cucumis sativus L.). Acta. Hortic. Sin. 2009, 36, 1147–1152. [Google Scholar]
- Yang, Y.; Wang, L.; Tian, J.; Li, J.; Sun, J.; He, L.; Guo, S.; Tezuka, T. Proteomic study participating the enhancement of growth and salt tolerance of bottle gourd rootstock-grafted watermelon seedlings. Plant Physiol. Biochem. 2012, 58, 54–65. [Google Scholar] [CrossRef]
- Yang, Y.; Yu, L.; Wang, L.; Guo, S. Bottle gourd rootstock-grafting promotes photosynthesis by regulating the stomata and non-stomata performances in leaves of watermelon seedlings under NaCl stress. J. Plant Physiol. 2015, 186, 50–58. [Google Scholar] [CrossRef]
- Han, Q.; Guo, Q.; Korpelainen, H.; Niinemets, Ü.; Li, C. Rootstock determines the drought resistance of poplar grafting com-binations. Tree Physiol. 2019, 39, 1855–1866. [Google Scholar] [CrossRef]
- Usanmaz, S.; Abak, K. Plant growth and yield of cucumber plants grafted on different commercial and local rootstocks grown under salinity stress. Saudi J. Biol. Sci. 2019, 26, 1134–1139. [Google Scholar] [CrossRef] [PubMed]
- Lee, J.-M. Cultivation of grafted vegetables, I. current status, grafting methods, and benefits. HortScience 1994, 29, 235–239. [Google Scholar] [CrossRef]
- Porra, R.J.; Thompson, W.A.; Kriedemann, P.E. Determination of accurate extinction coefficients and simultaneous equations for assaying chlorophylls a and b extracted with four different solvents: Verification of the concentration of chlorophyll standards by atomic absorption spectroscopy. Biochim. Biophys. Acta Bioenerg. 1989, 975, 384–394. [Google Scholar] [CrossRef]
- Airaki, M.; Leterrier, M.; Mateos, R.M.; Valderrama, R.; Chaki, M.; Barroso, J.B.; Delrío, L.A.; Palma, J.M.; Corpas, F.J. Metabolism of reactive oxygen species and reactive nitrogen species in pepper (Capsicum annuum L.) plants under low temperature stress. Plant Cell Environ. 2012, 35, 281–295. [Google Scholar] [CrossRef] [PubMed]
- Lu, K.; Ding, W.; Zhu, S.; Jiang, D. Salt-induced difference between Glycine cyrtoloba and G. max in anti-oxidative ability and K+ vs. Na+ selective accumulation. Crop. J. 2016, 4, 129–138. [Google Scholar] [CrossRef][Green Version]
- Bates, L.S.; Waldren, R.P.; Teare, I.D. Rapid determination of free proline for water-stress studies. Plant Soil 1973, 39, 205–207. [Google Scholar] [CrossRef]
- Huang, Z.A.; Jiang, D.A.; Yang, Y.; Sun, J.W.; Jin, S.H. Effects of nitrogen deficiency on gas exchange, chlorophyll fluorescence, and antioxidant enzymes in leaves of rice plants. Photosynthetica 2004, 42, 357–364. [Google Scholar] [CrossRef]
- Woodbury, W.; Spencer, A.; Stahmann, M. An improved procedure using ferricyanide for detecting catalase isozymes. Anal. Biochem. 1971, 44, 301–305. [Google Scholar] [CrossRef]
- Livak, K.J.; Schmittgen, T.D. Analysis of relative gene expression data using real-time quantitative PCR and the 2−ΔΔCT method. Methods 2001, 25, 402–408. [Google Scholar] [CrossRef] [PubMed]
- Tao, M.-Q.; Jahan, M.S.; Hou, K.; Shu, S.; Wang, Y.; Sun, J.; Guo, S.-R. Bitter melon (Momordica charantia L.) rootstock improves the heat tolerance of cucumber by regulating photosynthetic and antioxidant defense pathways. Plants 2020, 9, 692. [Google Scholar] [CrossRef]
- Soares, C.; Carvalho, M.; Azevedo, R.A.; Fidalgo, F. Plants facing oxidative challenges—A little help from the antioxidant networks. Environ. Exp. Bot. 2019, 161, 4–25. [Google Scholar] [CrossRef]
- Lo’ay, A.A.; Doaa, M.H. The potential of vine rootstocks impacts on ‘Flame Seedless’ bunches behavior under cold storage and antioxidant enzyme activity performance. Sci. Hortic. 2020, 260, 108844. [Google Scholar] [CrossRef]
- Wakeel, A.; Xu, M.; Gan, Y. Chromium-induced reactive oxygen species accumulation by altering the enzymatic antioxidant system and associated cytotoxic, genotoxic, ultrastructural, and photosynthetic changes in plants. Int. J. Mol. Sci. 2020, 21, 728. [Google Scholar] [CrossRef] [PubMed]
- Szabados, L.; Savouré, A. Proline: A multifunctional amino acid. Trends Plant Sci. 2010, 15, 89–97. [Google Scholar] [CrossRef]
- Krasensky, J.; Jonak, C. Drought, salt, and temperature stress-induced metabolic rearrangements and regulatory networks. J. Exp. Bot. 2012, 63, 1593–1608. [Google Scholar] [CrossRef]
- Petrić, M.; Jevremović, S.; Trifunović, M.; Tadić, V.; Milošević, S.; Dragićević, M.; Subotić, A. The effect of low temperature and GA3 treatments on dormancy breaking and activity of antioxidant enzymes in Fritillaria meleagris bulblets cultured in vitro. Acta Physiol. Plant. 2013, 35, 3223–3236. [Google Scholar] [CrossRef]
- Xu, S.-C.; Li, Y.-P.; Hu, J.; Guan, Y.-J.; Ma, W.-G.; Zheng, Y.-Y.; Zhu, S.-J. Responses of Antioxidant enzymes to chilling stress in tobacco seedlings. Agric. Sci. China 2010, 9, 1594–1601. [Google Scholar] [CrossRef]
- Song, G.; Hou, W.; Wang, Q.; Wang, J.; Jin, X. Effect of low temperature on eutrophicated waterbody restoration by Spirodela polyrhiza. Bioresour. Technol. 2006, 97, 1865–1869. [Google Scholar] [CrossRef] [PubMed]
- Whitney, S.M.; Houtz, R.L.; Alonso, H. Advancing our understanding and capacity to engineer nature’s CO2-sequestering enzyme, Rubisco. Plant Physiol. 2011, 155, 27–35. [Google Scholar] [CrossRef] [PubMed]
Publisher’s Note: MDPI stays neutral with regard to jurisdictional claims in published maps and institutional affiliations. |
© 2021 by the authors. Licensee MDPI, Basel, Switzerland. This article is an open access article distributed under the terms and conditions of the Creative Commons Attribution (CC BY) license (https://creativecommons.org/licenses/by/4.0/).





